Приказ Минэкономразвития РФ от 18.12.2015 N 953

"Об утверждении формы технического плана и требований к его подготовке, состава содержащихся в нем сведений, а также формы декларации об объекте недвижимости, требований к ее подготовке, состава содержащихся в ней сведений"
Редакция от 18.12.2015 — Документ утратил силу, см. «Приказ Минэкономразвития РФ от 28.04.2022 N 230»
Показать изменения

Зарегистрировано в Минюсте России 2 марта 2016 г. N 41304


МИНИСТЕРСТВО ЭКОНОМИЧЕСКОГО РАЗВИТИЯ РОССИЙСКОЙ ФЕДЕРАЦИИ

ПРИКАЗ
от 18 декабря 2015 г. N 953

ОБ УТВЕРЖДЕНИИ ФОРМЫ ТЕХНИЧЕСКОГО ПЛАНА И ТРЕБОВАНИЙ К ЕГО ПОДГОТОВКЕ, СОСТАВА СОДЕРЖАЩИХСЯ В НЕМ СВЕДЕНИЙ, А ТАКЖЕ ФОРМЫ ДЕКЛАРАЦИИ ОБ ОБЪЕКТЕ НЕДВИЖИМОСТИ, ТРЕБОВАНИЙ К ЕЕ ПОДГОТОВКЕ, СОСТАВА СОДЕРЖАЩИХСЯ В НЕЙ СВЕДЕНИЙ

В соответствии с частью 13 статьи 24 Федерального закона от 13 июля 2015 г. N 218-ФЗ "О государственной регистрации недвижимости" (Собрание законодательства Российской Федерации, 2015, N 29, ст. 4344), пунктом 1 и подпунктом 5.2.29 Положения о Министерстве экономического развития Российской Федерации, утвержденного постановлением Правительства Российской Федерации от 5 июня 2008 г. N 437 (Собрание законодательства Российской Федерации, 2008, N 24, ст. 2867; N 46, ст. 5337; 2009, N 3, ст. 378; N 18, ст. 2257; N 19, ст. 2344; N 25, ст. 3052; N 26, ст. 3190; N 41, ст. 4777; N 46, ст. 5488; 2010, N 5, ст. 532; N 9, ст. 960; N ю, ст. 1085; N 19, ст. 2324; N 21, ст. 2602; N 26, ст. 3350; N 40, ст. 5068; N 41, ст. 5240; N 45, ст. 5860; N 52, ст. 7104; 2011, N 9, ст. 1251; N 12, ст. 1640; N 14, ст. 1935; N 15, ст. 2131; N 17, ст. 2411, 2424; N 32, ст. 4834; N 36, ст. 5149, 5151; N 39, ст. 5485; N 43, ст. 6079; N 46, ст. 6527; 2012, N 1, ст. 170, 177; N 13, ст. 1531; N 19, ст. 2436, 2444; N 27, ст. 3745, 3766; N 37, ст. 5001; N 39, ст. 5284; N 51, ст. 7236; N 52, ст. 7491; N 53, ст. 7943; 2013, N 5, ст. 391; N 14, ст. 1705; N 33, ст. 4386; N 35, ст. 4514; N 36, ст. 4578; N 45, ст. 5822; N 47, ст. 6120; N 50, ст. 6606; N 52, ст. 7217; 2014, N 6, ст. 584; N 15, ст. 1750; N 16, ст. 1900; N 21, ст. 2712; N 37, ст. 4954; N 40, ст. 5426; N 42, ст. 5757; N 44, ст. 6072; N 48, ст. 6871; N 49, ст. 6957; N 50, ст. 7100, 7123; N 51, ст. 7446; 2015, N 1, ст. 219; N 6, ст. 965; N 7, ст. 1046; N 16, ст. 2388; N 20, ст. 2920; N 22, ст. 3230; N 24, ст. 3479; N 30, ст. 4589; N 36, ст. 5050; N 41, ст. 5671; N 43, ст. 5977; N 44, ст. 6140; N 46, ст. 6377, 6388), приказываю:

1. Утвердить:

форму технического плана (приложение N 1);

требования к подготовке технического плана и состав содержащихся в нем сведений (приложение N 2);

форму декларации об объекте недвижимости (приложение N 3);

требования к подготовке декларации об объекте недвижимости и состав содержащихся в ней сведений (приложение N 4).

2. Настоящий приказ вступает с 1 января 2017 года.

Врио Министра
Н.Р. ПОДГУЗОВ

Приложение N 1
к приказу Минэкономразвития России
от 18.12.2015 N 953

ФОРМА ТЕХНИЧЕСКОГО ПЛАНА

ТЕХНИЧЕСКИЙ ПЛАН
_______________________________________________________________________________________________________
(вид объекта недвижимости, в отношении которого подготовлен технический план, в родительном падеже)
                                         
Общие сведения о кадастровых работах
                                         
1. Технический план подготовлен в результате выполнения кадастровых работ в связи с: __________________________________________________________________________
2. Сведения о заказчике кадастровых работ
3. Сведения о кадастровом инженере
Фамилия, имя, отчество (при наличии отчества) __________________________________
N регистрации в государственном реестре лиц, осуществляющих кадастровую деятельность _____________________________________________________________________
Контактный телефон _________________________________________________________
Почтовый адрес и адрес электронной почты, по которым осуществляется связь с кадастровым инженером _________________________________________________________
Наименование саморегулируемой организации в сфере кадастровых отношений, если кадастровый инженер является членом такой организации _________________________
Сокращенное наименование юридического лица, если кадастровый инженер является работником юридического лица ________________________________________________
N и дата заключения договора на выполнение кадастровых работ _____________________________________________________________________________________________
Дата подготовки технического плана (число, месяц, год)
                                         
Исходные данные
                                         
                                         
1. Перечень документов, использованных при подготовке технического плана
                                         
N п/п Наименование документа Реквизиты документа
1 2 3
                                         
2. Сведения о геодезической основе, использованной при подготовке технического плана
Система координат ______________________
                                         
N п/п Название пункта и тип знака геодезической сети Класс геодезической сети Координаты, м Сведения о состоянии на
"__" _________ г.
X Y
наружного знака пункта центра пункта марки
1 2 3 4 5 6 7 8
                                         
3. Сведения о средствах измерений
                                         
N п/п Наименование прибора (инструмента, аппаратуры) Сведения об утверждении типа средств измерений Реквизиты свидетельства о поверке прибора (инструмента, аппаратуры)
1 2 3 4
                                         
4. Сведения об объекте (объектах) недвижимости, из которого (которых) был образован объект недвижимости
                                         
N п/п Кадастровый номер
1 2
                                         
5. Сведения о помещениях, расположенных в здании, сооружении
                                         
N п/п Кадастровый номер помещения
1 2
                                         
6. Сведения об объектах недвижимости, входящих в состав единого недвижимого комплекса
                                         
N п/п Вид объекта недвижимости, входящего в состав единого недвижимого комплекса Кадастровый номер
1 2 3
                                         
Сведения о выполненных измерениях и расчетах
                                         
                                         
1. Метод определения координат характерных точек контура объекта недвижимости, части (частей) объекта недвижимости
                                         
Номер контура Номера характерных точек контура Метод определения координат
1 2 3
                                         
2. Точность определения координат характерных точек контура объекта недвижимости
                                         
Номер контура Номера характерных точек контура Формулы, примененные для расчета средней квадратической погрешности определения координат характерных точек контура (), м
1 2 3
                                         
3. Точность определения координат характерных точек контура части (частей) объекта недвижимости
                                         
Номер контура Номера характерных точек контура Учетный номер или обозначение части Формулы, примененные для расчета средней квадратической погрешности определения координат характерных точек контура (), м
1 2 3 4
                                         
Описание местоположения объекта недвижимости на земельном участке
                                         
                                         
1. Сведения о характерных точках контура объекта недвижимости
                                         
Зона N ________
Номер контура Номера характерных точек контура Координаты, м R, м Средняя квадратическая погрешность определения координат характерных точек контура (), м Тип контура Глубина, высота, м
X Y
1 2 3 4 5 6 7 8 9
                                         
2. Сведения о предельных глубине и высоте конструктивных элементов объекта недвижимости
                                         
Предельная глубина конструктивных элементов объекта недвижимости, м
Предельная высота конструктивных элементов объекта недвижимости, м
                                         
3. Сведения о характерных точках пересечения контура объекта недвижимости с контуром (контурами) иных зданий, сооружений, объектов незавершенного строительства
                                         
Зона N ________
Номер контура Номера характерных точек контура Координаты, м Средняя квадратическая погрешность определения координат характерных точек контура (), м Тип контура Глубина, высота, м Кадастровый номер
X Y
1 2 3 4 5 6 7 8 9
                                         
Характеристики объекта недвижимости
                                         
N п/п Наименование характеристики Значение характеристики
1 2 3
1 Вид объекта недвижимости
2 Кадастровый номер объекта недвижимости
3 Ранее присвоенный государственный учетный номер объекта недвижимости (кадастровый, инвентарный или условный номер)
4 Кадастровый номер земельного участка (земельных участков), в пределах которого (которых) расположен объект недвижимости
5 Номер кадастрового квартала (кадастровых кварталов), в пределах которого (которых) расположен объект недвижимости
6 Кадастровый номер иного объекта (объектов) недвижимости, в пределах (в состав) которого (которых) расположен объект недвижимости
Номер, тип этажа (этажей), на котором (которых) расположено помещение
7 Адрес объекта недвижимости
Дата последнего обновления записи в государственном адресном реестре "__" __________ 2___ г.
Местоположение объекта недвижимости
Дополнение местоположения объекта недвижимости
8 Назначение объекта недвижимости
Проектируемое назначение объекта незавершенного строительства
9 Наименование объекта недвижимости
10 Количество этажей объекта недвижимости
в том числе подземных
11 Материал наружных стен здания
12 Год ввода объекта недвижимости в эксплуатацию по завершении его строительства
Год завершения строительства объекта недвижимости
13 Площадь объекта недвижимости (P), м2
14 Вид (виды) разрешенного использования объекта недвижимости
15 Основная характеристика сооружения и ее значение
Основная характеристика объекта незавершенного строительства и ее проектируемое значение
16 Степень готовности объекта незавершенного строительства, %
                                         
Сведения о части (частях) объекта недвижимости
                                         
Учетный номер или обозначение части ________________________________________
1. Сведения о местоположении части объекта недвижимости
1.1. Описание местоположения части объекта недвижимости в виде контура
Зона N _____________
                                         
Номера характерных точек контура части объекта недвижимости Координаты, м Средняя квадратическая погрешность определения координат характерных точек контура части объекта недвижимости (), м Тип контура Примечание
X Y
1 2 3 4 5 6
                                         
1.2. Иное описание местоположения части объекта недвижимости
2. Общие сведения о части объекта недвижимости
                                         
N п/п Учетный номер и обозначение части Площадь (P), м2/протяженность, м Характеристика части
1 2 3 4
                                         
Характеристики помещений в здании, сооружении
                                         
N п/п Наименование характеристики Значение характеристики
1 2 3
1 Кадастровый номер либо ранее присвоенный государственный учетный номер помещения (кадастровый, инвентарный или условный номер)
2 Номер, тип этажа (этажей), на котором (которых) расположено помещение
3 Адрес помещения
Дата последнего обновления записи в государственном адресном реестре "__" _________ 2___ г.
Местоположение помещения
Дополнение местоположения помещения
4 Назначение помещения
5 Вид (виды) разрешенного использования
6 Площадь помещения (P), м2
7 Наименование помещения
                                         
Заключение кадастрового инженера
                                         
                                         
Схема геодезических построений
                                         
                                         
Условные обозначения:
                                         
Схема расположения объекта недвижимости (части объекта недвижимости) на земельном участке
                                         
                                         
Условные обозначения:
                                         
Чертеж контура объекта недвижимости (части объекта недвижимости)
                                         
Масштаб 1: ______________
                                         
Условные обозначения:
                                         
План этажа (части этажа), план объекта недвижимости (части объекта недвижимости)
                                         
                                         
Условные обозначения:
                                         
                                         
Приложение
                                         
N п/п Наименование документа
1 2

Приложение N 2
к приказу Минэкономразвития России
от 18.12.2015 N 953

ТРЕБОВАНИЯ К ПОДГОТОВКЕ ТЕХНИЧЕСКОГО ПЛАНА И СОСТАВ СОДЕРЖАЩИХСЯ В НЕМ СВЕДЕНИЙ

I. Общие положения

1. Требования к подготовке технического плана и состав содержащихся в нем сведений (далее - Требования) устанавливают правила оформления технического плана объекта недвижимости (далее - технический план).

2. В соответствии с Федеральным законом от 13 июля 2015 г. N 218-ФЗ "О государственной регистрации недвижимости" <1> (далее - Закон) технический план представляет собой документ, в котором воспроизведены определенные сведения, внесенные в Единый государственный реестр недвижимости (ЕГРН), и указаны сведения о здании, сооружении, помещении или об объекте незавершенного строительства, необходимые для государственного кадастрового учета такого объекта недвижимости, либо сведения о части или частях здания, сооружения, помещения, либо новые необходимые для внесения в ЕГРН сведения.

<1> Собрание законодательства Российской Федерации, 2015, N 29, ст. 4344.

Технический план здания, сооружения может содержать информацию, необходимую для государственного кадастрового учета всех помещений в здании, сооружении. Технический план здания, сооружения в обязательном порядке содержит планы всех этажей здания, сооружения, а при отсутствии у них этажности - планы здания, сооружения.

Технический план здания (многоквартирного дома) в обязательном порядке также содержит полученные в том числе по результатам кадастровых работ сведения, необходимые для осуществления государственного кадастрового учета расположенных в таком здании (многоквартирном доме) помещений (в том числе составляющих общее имущество в таком многоквартирном доме, а также помещений вспомогательного использования), включая сведения о местоположении в здании и площади таких помещений.

Технический план единого недвижимого комплекса содержит также информацию обо всех входящих в состав такого комплекса зданиях и (или) сооружениях.

Технический план помещения составляется в отношении:

помещения (в том числе представляющего собой совокупность нескольких смежных изолированных и (или) обособленных помещений, которые в том числе могут располагаться на нескольких смежных этажах здания либо сооружения один над другим и имеют доступ друг к другу без использования помещений, предназначенных для обслуживания более одного помещения в таком здании либо сооружении), при этом такое помещение должно быть в соответствии с законодательством Российской Федерации изолировано и (или) обособленно от других помещений в здании или сооружении и иметь возможность впоследствии быть самостоятельным предметом гражданского оборота;

части помещения.

3. Технический план состоит из текстовой и графической частей, которые делятся на разделы, обязательные для включения в состав технического плана, и разделы, включение которых в состав технического плана зависит от видов кадастровых работ.

4. К текстовой части относятся следующие разделы:

1) общие сведения о кадастровых работах;

2) исходные данные;

3) сведения о выполненных измерениях и расчетах;

4) описание местоположения объекта недвижимости на земельном участке;

5) характеристики объекта недвижимости;

6) сведения о части (частях) объекта недвижимости;

7) характеристики помещений в здании, сооружении;

8) заключение кадастрового инженера.

5. К графической части технического плана относятся следующие разделы:

1) схема геодезических построений;

2) схема расположения объекта недвижимости (части объекта недвижимости) на земельном участке (далее - Схема);

3) чертеж контура объекта недвижимости (части объекта недвижимости; далее - Чертеж);

4) план этажа (этажей) или части этажа (этажей) здания, сооружения, а в случае отсутствия у здания, сооружения, этажей - план здания, сооружения или части здания, сооружения, с указанием на этом плане структуры и планировки такого здания, сооружения, (далее соответственно - План этажа (этажей), План части этажа (этажей), План здания, сооружения, План части здания, сооружения).

6. В состав технического плана также включается приложение (далее - Приложение).

7. В состав технического плана помещения не включаются разделы "Сведения о выполненных измерениях и расчетах", "Описание местоположения объекта недвижимости на земельном участке", "Характеристики помещений в здании, сооружении", "Схема геодезических построений", "Схема", "Чертеж".

8. В состав технического плана объекта незавершенного строительства не включается раздел "Сведения о части (частях) объекта недвижимости".

9. Раздел "Характеристики помещений в здании, сооружении" включается в состав технического плана здания, сооружения в случае:

выполнения кадастровых работ в связи с созданием или образованием здания, сооружения и помещения (помещений) в нем;

подготовки технического плана в отношении многоквартирного дома;

выполнения кадастровых работ одновременно в отношении всех помещений в здании, если право собственности на это здание уже зарегистрировано в ЕГРН.

10. Раздел "Схема геодезических построений" не включается в состав технического плана в случае использования при выполнении кадастровых работ аналитического или картометрического метода определения координат характерных точек контура здания, сооружения, объекта незавершенного строительства, а также в иных случаях, при которых для определения координат характерных точек контура здания, сооружения, объекта незавершенного строительства не требуется проводить измерения.

11. Обязательному включению в состав технического плана независимо от вида кадастровых работ подлежат следующие разделы:

1) общие сведения о кадастровых работах;

2) исходные данные;

3) сведения о выполненных измерениях и расчетах (кроме случая подготовки технического плана в отношении помещения);

4) характеристики помещений в здании, сооружении (в случаях, предусмотренных пунктом 9 Требований);

5) заключение кадастрового инженера (в случае подготовки технического плана в отношении линейного сооружения, расположенного более чем в одном кадастровом округе);

6) Чертеж (кроме случая подготовки технического плана в отношении помещения, единого недвижимого комплекса);

7) План этажа (этажей), План части этажа (этажей), План объекта недвижимости, План части объекта недвижимости (кроме случая подготовки технического плана в отношении объекта незавершенного строительства и единого недвижимого комплекса);

8) Приложение.

12. В состав технического плана, подготавливаемого в результате кадастровых работ в связи с созданием или образованием здания, сооружения, помещения, объекта незавершенного строительства, изменением сведений о здании, сооружении, помещении, объекте незавершенного строительства, наряду с разделами, указанными в пункте 11 Требований, включаются следующие разделы:

1) описание местоположения объекта недвижимости на земельном участке (кроме случая подготовки технического плана в отношении помещения);

2) характеристики объекта недвижимости;

3) заключение кадастрового инженера (при необходимости);

4) схема геодезических построений, за исключением случаев, установленных пунктом 10 Требований, а также подготовки технического плана в отношении помещения;

5) Схема (кроме случая подготовки технического плана в отношении помещения).

13. В случае если в результате кадастровых работ в связи с созданием или образованием здания, сооружения, помещения, изменением сведений о здании, сооружении, помещении одновременно выполнялись кадастровые работы по образованию части (частей) такого здания, сооружения, помещения, в состав технического плана наряду с разделами, указанными в пункте 11 Требований, включаются следующие разделы:

1) описание местоположения объекта недвижимости на земельном участке (кроме случая подготовки технического плана в отношении помещения);

2) характеристики объекта недвижимости;

3) сведения о части (частях) объекта недвижимости;

4) заключение кадастрового инженера (при необходимости);

5) схема геодезических построений, за исключением случаев, установленных пунктом 10 Требований, а также подготовки технического плана в отношении помещения;

6) Схема.

14. В состав технического плана, подготавливаемого в результате кадастровых работ в связи с образованием либо изменением части (частей) здания, сооружения, помещения, за исключением случая, если одновременно выполнялись кадастровые работы в связи с созданием либо образованием здания, сооружения, помещения, либо изменением сведений о здании, сооружении, помещении и образованием, либо изменением части (частей) здания, сооружения, помещения, наряду с разделами, указанными в пункте 11 Требований, включаются следующие разделы:

1) сведения о (части) частях объекта недвижимости;

2) заключение кадастрового инженера (при необходимости);

3) схема геодезических построений (при необходимости, кроме случая подготовки технического плана в отношении помещения);

4) Схема (кроме случая подготовки технического плана в отношении помещения).

15. В состав технического плана, подготавливаемого в результате кадастровых работ в связи с созданием или образованием здания, сооружения и помещения (помещений) в нем, наряду с разделами, указанными в пункте 11 Требований, включаются следующие разделы:

1) описание местоположения объекта недвижимости на земельном участке;

2) характеристики объекта недвижимости;

3) заключение кадастрового инженера;

4) схема геодезических построений, за исключением случаев, установленных пунктом 10 Требований;

5) Схема.

16. В состав технического плана, подготавливаемого в результате кадастровых работ в связи с созданием единого недвижимого комплекса, в том числе из учтенных в ЕГРН объединенных единым назначением зданий, сооружений, неразрывно связанных физически или технологически, либо расположенных на одном земельном участке, изменением сведений о едином недвижимом комплексе, образованием либо изменением части (частей) единого недвижимого комплекса наряду с разделами, указанными в пункте 11 Требований, включаются следующие разделы:

1) характеристики объекта недвижимости;

2) сведения о части (частях) объекта недвижимости (при необходимости);

3) заключение кадастрового инженера с обоснованием наличия неразрывной физической или технологической связи между включаемыми в единый недвижимый комплекс зданиями, сооружениями;

4) Схема.

В технический план единого недвижимого комплекса, подготовленный в связи с завершением строительства объектов недвижимости, если в соответствии с проектной документацией предусмотрена эксплуатация таких объектов как единого недвижимого комплекса, также включаются разделы "Исходные данные", "Сведения о выполненных измерениях и расчетах", "Описание местоположения объекта недвижимости на земельном участке", "Характеристики объекта недвижимости", "Характеристики помещений в здании, сооружении", "Сведения о (части) частях объекта недвижимости", "Заключение кадастрового инженера (при необходимости)", "Схема геодезических построений", "Схема", "Чертеж", "План этажа (этажей), План части этажа (этажей), План объекта недвижимости, План части объекта недвижимости", "Приложение" (при необходимости), содержащие сведения в отношении каждого входящего в состав единого недвижимого комплекса объекта недвижимости (далее - блок разделов технического плана единого недвижимого комплекса). Количество блоков разделов технического плана единого недвижимого комплекса должно соответствовать количеству включаемых в его состав зданий и (или) сооружений. Наименование каждого раздела в блоке разделов технического плана единого недвижимого комплекса должно содержать сведения о порядковом номере и виде объекта недвижимости в соответствии с графой "1" реквизита "6" раздела "Исходные данные", содержащего сведения о едином недвижимом комплексе, виде такого объекта недвижимости (например, "Исходные данные (N 1 здание)"). Блоки разделов технического плана единого недвижимого комплекса включаются в технический план единого недвижимого комплекса последовательно в соответствии с порядковыми номерами таких объектов недвижимости в графе "1" реквизита "6" раздела "Исходные данные", содержащего сведения о едином недвижимом комплексе.

В технический план единого недвижимого комплекса, подготавливаемый в связи с созданием единого недвижимого комплекса, блоки разделов технического плана единого недвижимого комплекса в отношении учтенных в ЕГРН зданий, сооружений не включаются.

В технический план единого недвижимого комплекса, подготавливаемый в связи с изменением сведений о едином недвижимом комплексе, включаются блоки разделов технического плана единого недвижимого комплекса в отношении изменяемых учтенных в ЕГРН зданий, сооружений или в отношении включаемых в состав единого недвижимого комплекса учтенных в ЕГРН зданий, сооружений взамен исключаемых из него зданий, сооружений.

17. Технический план оформляется в виде отдельного документа в отношении каждого созданного объекта недвижимости, за исключением случаев, указанных в пункте 16 Требований. При одновременном образовании объектов недвижимости в результате преобразования объекта недвижимости (объектов недвижимости) либо в случае образования объекта недвижимости и (или) образования (изменения) части (частей) здания, сооружения, помещения, единого недвижимого комплекса технический план оформляется в виде одного документа. При этом количество разделов "Описание местоположения объекта недвижимости на земельном участке", "Характеристики объекта недвижимости", "Заключение кадастрового инженера" (при необходимости), "Схема геодезических построений", "Схема", "Чертеж", "План этажа (этажей), План части этажа (этажей), План объекта недвижимости, План части объекта недвижимости", за исключением случая, установленного пунктом 7 Требований, должно соответствовать количеству образуемых объектов недвижимости. Названные разделы технического плана заполняются в отношении каждого образуемого объекта недвижимости.

18. В случае подготовки технического плана в отношении отдельных типов сооружений (линейных и тому подобных), расположенных более чем в одном кадастровом округе (далее - линейное сооружение), такой технический план оформляется в виде одного документа, содержащего сведения как в отношении всего сооружения, так и в отношении каждой части сооружения, расположенной в определенном кадастровом округе (далее - условная часть линейного сооружения). При этом в наименовании разделов "Описание местоположения объекта недвижимости на земельном участке", "Характеристики объекта недвижимости" технического плана линейного сооружения, заполняемые в отношении соответствующей условной части сооружения, указывается обозначение такой условной части сооружения в виде номера кадастрового округа, в котором расположена такая условная часть.

II. Общие требования к подготовке технического плана

19. Технический план объекта недвижимости составляется на основе сведений ЕГРН о таком объекте недвижимости, об объектах недвижимости, входящих в его состав (для единого недвижимого комплекса) или расположенных в нем, а также о земельном участке (земельных участках), в границах которого (которых) расположен соответствующий объект недвижимости, - выписок из ЕГРН о таком объекте недвижимости, земельном участке. Если объект недвижимости расположен на нескольких земельных участках, при подготовке технического плана используются выписки из ЕГРН обо всех земельных участках, в границах которых расположен соответствующий объект недвижимости.

При подготовке технического плана в результате выполнения кадастровых работ в отношении здания (многоквартирного дома), государственный кадастровый учет которого ранее не осуществлялся, используются также выписки из ЕГРН о жилых и нежилых помещениях, расположенных в таком здании (многоквартирном доме (при наличии в ЕГРН таких сведений).

Копии документов, содержащих сведения ЕГРН, в состав Приложения не включаются. Реквизиты документов, содержащих сведения ЕГРН, указываются в разделе "Исходные данные" технического плана.

20. Сведения о здании, за исключением сведений о местоположении такого здания на земельном участке и его площади, указываются в техническом плане на основании представленной заказчиком кадастровых работ проектной документации такого здания.

Сведения о сооружении, за исключением сведений о местоположении такого сооружения на земельном участке и его площади застройки, указываются в техническом плане на основании представленной заказчиком кадастровых работ проектной документации такого сооружения.

Сведения об объекте незавершенного строительства, за исключением сведений о местоположении такого объекта недвижимости на земельном участке и степени готовности объекта незавершенного строительства, указываются в техническом плане на основании представленных заказчиком кадастровых работ разрешения на строительство такого объекта и проектной документации такого объекта недвижимости.

Сведения о наименовании, назначении единого недвижимого комплекса указываются в техническом плане на основании представленной заказчиком кадастровых работ проектной документации такого объекта недвижимости, если технический план подготавливается в связи с завершением строительства объектов недвижимости, и проектной документацией предусмотрена эксплуатация таких объектов в виде единого недвижимого комплекса.

Сведения о помещении, за исключением сведений о площади помещения и его местоположении в пределах этажа здания или сооружения либо в пределах здания или сооружения, либо в пределах соответствующей части здания или сооружения, указываются в техническом плане на основании представленных заказчиком кадастровых работ разрешения на ввод здания или сооружения, в которых расположено помещение, в эксплуатацию, проектной документации здания или сооружения, в которых расположено помещение. В случаях, установленных законодательством Российской Федерации, сведения о помещениях указываются в техническом плане на основании проекта перепланировки и акта приемочной комиссии, подтверждающего завершение перепланировки.

Если законодательством Российской Федерации в отношении объектов недвижимости не предусмотрены подготовка и (или) выдача указанных разрешений и проектной документации, соответствующие сведения указываются в техническом плане на основании декларации, составленной и заверенной правообладателем объекта недвижимости или правообладателем земельного участка, на котором расположен такой объект недвижимости (далее - Декларация). Декларация прилагается к техническому плану и является его неотъемлемой частью и включается в состав Приложения.

В случае если на момент принятия решения о вводе объекта в эксплуатацию для принятия указанного решения законодательством Российской Федерации о градостроительной деятельности не предусматривалось представление технического плана объекта недвижимости, сведения о здании (за исключением сведений о местоположении здания на земельном участке и о его площади) указываются в техническом плане также на основании разрешения на ввод объекта в эксплуатацию.

В случае отсутствия разрешения на ввод здания или сооружения в эксплуатацию, проектной документации таких объектов недвижимости сведения о здании или сооружении (за исключением сведений о местоположении таких объектов недвижимости на земельном участке и об их площади, площади застройки) указываются в техническом плане также на основании представленного заказчиком кадастровых работ технического паспорта такого объекта недвижимости, изготовленного до 1 января 2013 г. и (или) утвержденного в установленном федеральным законом порядке акта о приемке в эксплуатацию соответствующего объекта.

В случае отсутствия разрешения на строительство на объект незавершенного строительства, проектной документации на объект незавершенного строительства сведения о таком объекте недвижимости, за исключением сведений о местоположении такого объекта недвижимости на земельном участке, указываются в техническом плане также на основании представленного заказчиком кадастровых работ технического паспорта такого объекта недвижимости, изготовленного до 1 января 2013 года. При этом в случае если, по мнению кадастрового инженера, необходимо дополнительное обоснование результатов кадастровых работ, согласно пункту 50 Требований в разделе "Заключение кадастрового инженера" приводится соответствующая информация.

В случае отсутствия разрешения на ввод здания или сооружения в эксплуатацию, проектной документации таких объектов недвижимости сведения о помещении, за исключением сведений о его местоположении в пределах этажа здания или сооружения либо в пределах здания или сооружения, либо в пределах соответствующей части здания или сооружения и его площади, указываются в техническом плане также на основании представленных заказчиком кадастровых работ технического паспорта помещения, изготовленного до 1 января 2013 г., или изготовленного до 1 января 2013 г. технического паспорта здания или сооружения, в котором расположено помещение, и (или) утвержденного в установленном федеральным законом порядке акта о приемке в эксплуатацию соответствующих объектов. При этом в случае если, по мнению кадастрового инженера, необходимо дополнительное обоснование результатов кадастровых работ, согласно пункту 50 Требований в разделе "Заключение кадастрового инженера" приводится советующая информация. Если для подготовки технического плана использовались иные документы, предусмотренные федеральными законами, их копии также включаются в состав Приложения.

В случае подготовки технического плана на основе проектной документации в состав Приложения включаются копии тех листов проектной документации, которые содержат включенные в состав технического плана сведения об объекте недвижимости, а также сведения о наименовании такой документации.

21. Технический план подготавливается в форме электронного документа в виде XML-документа, заверенного усиленной квалифицированной электронной подписью кадастрового инженера, и оформляется в виде файлов в формате XML (далее - XML-документ), созданных с использованием XML-схем и обеспечивающих считывание и контроль представленных данных.

XML-схемы, используемые для формирования XML-документов, считаются введенными в действие по истечении двух месяцев со дня их размещения на официальном сайте федерального органа исполнительной власти, уполномоченного Правительством Российской Федерации на осуществление государственного кадастрового учета, государственной регистрации прав, ведение Единого государственного реестра недвижимости и предоставление сведений, содержащихся в Едином государственном реестре недвижимости (далее - уполномоченный орган), в информационно-телекоммуникационной сети "Интернет" (далее - официальный сайт).

При изменении нормативных правовых актов, устанавливающих форму и требования к подготовке технического плана, уполномоченный орган изменяет XML-схемы, при этом обеспечивает на официальном сайте возможность публичного доступа к текущей актуальной версии и предыдущим (утратившим актуальность) версиям.

Средства усиленной квалифицированной электронной подписи кадастрового инженера должны быть сертифицированы в соответствии с законодательством Российской Федерации и совместимы со средствами квалифицированной электронной подписи, применяемыми уполномоченным органом, его территориальными органами, подведомственным ему государственным учреждением.

Информация о требованиях к совместимости, квалифицированному сертификату ключа электронной подписи, обеспечению возможности подтверждения подлинности усиленной квалифицированной электронной подписи кадастрового инженера размещается на официальном сайте.

Документы, подготовленные на бумажном носителе, которые в соответствии с Требованиями подлежат включению в состав приложения, оформляются в форме электронных образов бумажных документов в виде файлов в формате PDF, подписанных усиленной квалифицированной электронной подписью кадастрового инженера, подготовившего технический план. План этажа либо План части этажа, а в случае отсутствия у здания, сооружения этажей - План здания, сооружения либо План части здания, сооружения оформляются в виде файла в формате JPEG.

Электронный образ документа должен обеспечивать визуальную идентичность его бумажному оригиналу в масштабе 1:1. Качество представленных электронных образов документов и документов в формате JPEG должно позволять в полном объеме прочитать текст документа и распознать его реквизиты. Если бумажный документ состоит из двух и более листов, электронный образ такого бумажного документа в формате PDF формируется в виде одного файла. Для сканирования документов необходимо использовать полноцветный режим с разрешением 300 dpi. Документы в формате JPEG должны быть выполнены в 24-битном цветовом пространстве. Разрешение изображения не должно быть меньше 250 dpi и больше 450 dpi.

В случае если законодательством Российской Федерации допускается подготовка документа, подлежащего включению в состав Приложения, в форме электронного документа, такой документ может быть включен в состав Приложения в форме электронного документа.

Подлежащий включению в состав Приложения электронный документ, выданный органом государственной власти, органом местного самоуправления, организацией, заверяется усиленной квалифицированной электронной подписью уполномоченного должностного лица такого органа государственной власти, органа местного самоуправления, организации, а электронный документ, подготовленный физическим лицом, - усиленной квалифицированной электронной подписью такого физического лица.

В случае если местоположение здания, сооружения или объекта незавершенного строительства по желанию заказчика кадастровых работ дополнительно устанавливается посредством пространственного описания конструктивных элементов здания, сооружения или объекта незавершенного строительства, в состав Приложения включается модель такого здания, сооружения, объекта незавершенного строительства, содержащая пространственное описание его конструктивных элементов, в том числе с учетом высоты или глубины таких конструктивных элементов, в виде электронного документа в одном из форматов: DXF, RVT, PLN, SKP (далее - 3D-модель объекта недвижимости), который заверяется усиленной квалифицированной электронной подписью кадастрового инженера, подготовившего технический план.

22. Все записи, за исключением установленных законодательством Российской Федерации случаев, производятся на русском языке. Числа записываются арабскими цифрами, за исключением сведений, указанных в подпункте 7 пункта 43, подпункта 3 пункта 48 Требований.

23. Если договором подряда предусмотрена подготовка технического плана в том числе на бумажном носителе, то технический план подготавливается дополнительно в форме документа на бумажном носителе, заверенного подписью и печатью кадастрового инженера, подготовившего такой план; незаполненные реквизиты разделов текстовой части технического плана в форме документа на бумажном носителе не исключаются, в таких реквизитах проставляется знак "-" (прочерк).

III. Требования к оформлению текстовой части технического плана

24. Виды выполненных кадастровых работ указываются в реквизите "1" раздела "Общие сведения о кадастровых работах" в виде связного текста, например:

созданием ________________ (указывается вид объекта недвижимости: здания, сооружения, объекта незавершенного строительства, помещения, единого недвижимого комплекса), расположенного по адресу: ___________ (указывается адрес или местоположение объекта недвижимости);

созданием _______________ (указывается вид объекта недвижимости: здания, сооружения, помещения, единого недвижимого комплекса), расположенного по адресу: ___________ (указывается адрес или местоположение соответствующего объекта недвижимости) и образованием части (частей) ___________ (указывается вид объекта недвижимости: здания, сооружения, помещения, единого недвижимого комплекса);

созданием __________ (указывается вид объекта недвижимости: здания, сооружения), расположенного по адресу: _________________ (указывается адрес или местоположение объекта недвижимости) и ___________ (указывается количество) помещений в нем, в том числе ___________ (указывается количество) жилых и ___________ (указывается количество) нежилых помещений;

образованием _________________ (указывается количество) объекта недвижимости (объектов недвижимости), расположенного (расположенных): ____________ (указывается адрес или местоположение объекта недвижимости (объектов недвижимости) в результате ___________ (указывается способ образования) объекта недвижимости (объектов недвижимости) с кадастровым номером (кадастровыми номерами): ___________;

образованием ___________ (указывается вид объекта недвижимости: здания, сооружения, помещения, единого недвижимого комплекса), расположенного по адресу: ___________ (указывается адрес или местоположение здания, сооружения, помещения, единого недвижимого комплекса) и образованием части (частей) здания, сооружения, помещения, единого недвижимого комплекса;

образованием части (частей) ___________ (указывается вид объекта недвижимости: здания, сооружения, помещения, единого недвижимого комплекса) с кадастровым номером: ________________;

изменением сведений о (указывается характеристика) ___________ (указывается вид объекта недвижимости в соответствующем падеже) с кадастровым номером:_______________, в том числе в связи с исправлением ошибки;

изменением сведений о ________ (указывается характеристика) _________ (указывается вид объекта недвижимости в соответствующем падеже: здания, сооружения, помещения, единого недвижимого комплекса) с кадастровым номером: __________ и образованием либо изменением части (частей) _______ (указывается вид объекта недвижимости: здания, сооружения, помещения, единого недвижимого комплекса);

изменением сведений о части (частях) _______ (указывается вид объекта недвижимости: здания, сооружения, помещения, единого недвижимого комплекса) с кадастровым номером: ________.

25. В реквизите "2" раздела "Общие сведения о кадастровых работах" технического плана приводятся сведения о заказчике кадастровых работ:

в отношении физического лица - фамилия, имя, отчество (отчество указывается при наличии), страховой номер индивидуального лицевого счета (при его отсутствии - наименование и реквизиты документа, удостоверяющего личность, адрес постоянного места жительства или преимущественного пребывания в соответствии с федеральной информационной адресной системой). При заполнении реквизита "2" раздела "Общие сведения о кадастровых работах" технического плана в отношении физического лица в Приложение включается согласие такого лица на обработку его персональных данных (сбор, систематизацию, накопление, хранение, уточнение (обновление, изменение), использование, распространение (в том числе передачу), обезличивание, блокирование, уничтожение персональных данных, а также иные действия, необходимые для обработки его персональных данных в рамках предоставления органами регистрации прав в соответствии с законодательством Российской Федерации государственных услуг), в том числе в автоматизированном режиме, включая принятие решений на их основе органом регистрации прав, в целях предоставления государственной услуги;

в отношении юридического лица, органа государственной власти, органа местного самоуправления - полное наименование, основной государственный регистрационный номер, идентификационный номер налогоплательщика. В отношении иностранного юридического лица указывается полное наименование, страна регистрации (инкорпорации), регистрационный номер, дата регистрации, адрес (место нахождения) в стране регистрации (инкорпорации), адрес электронной почты, а также при наличии идентификационный номер налогоплательщика, основной государственный регистрационный номер.

26. В реквизите "3" раздела "Общие сведения о кадастровых работах" технического плана указываются дата подготовки окончательной редакции технического плана кадастровым инженером (дата завершения кадастровых работ), а также следующие сведения о кадастровом инженере:

1) фамилия, имя, отчество (отчество при наличии);

2) номер регистрации в государственном реестре лиц, осуществляющих кадастровую деятельность;

3) контактный телефон;

4) почтовый адрес и адрес электронной почты, по которым осуществляется связь с кадастровым инженером;

5) сокращенное наименование юридического лица, если кадастровый инженер является работником юридического лица, которое заключило договор подряда на выполнение кадастровых работ, адрес местонахождения юридического лица;

6) наименование саморегулируемой организации в сфере кадастровых отношений, если кадастровый инженер является членом такой организации;

7) номер и дата заключения договора на выполнение кадастровых работ.

27. В реквизите "1" раздела "Исходные данные" указываются реквизиты документов, на основании которых подготовлен технический план, а также документов, использованных при подготовке технического плана. Первыми указываются сведения о документах, на основании которых подготовлен технический план.

В случае если при подготовке технического плана использовались картографические материалы, в графе "3" реквизита "1" раздела "Исходные данные" в отношении соответствующего картографического произведения указываются: вид (наименование), масштаб, форма, дата его создания, дата последнего обновления (при наличии).

28. В реквизите "2" раздела "Исходные данные" указываются сведения о государственной геодезической сети или опорной межевой сети, которые применялись при выполнении кадастровых работ:

1) система координат;

2) название пункта и тип знака геодезической сети;

3) класс геодезической сети;

4) координаты пунктов;

5) сведения о состоянии наружного знака пункта, центра пункта и его марки.

В графах "6", "7", "8" реквизита "2" раздела "Исходные данные" указываются сведения о состоянии (сохранности) соответственно наружного знака пункта, центра пункта, марки на дату выполненного при проведении кадастровых работ обследования и слова "сохранился", "утрачен" или "не обнаружен" в зависимости от их состояния.

В реквизите "2" раздела "Исходные данные" должны быть указаны сведения не менее чем о трех пунктах государственной геодезической сети или опорной межевой сети, использованных при выполнении кадастровых работ.

В случае применения при выполнении кадастровых работ картометрического или аналитического метода определения координат характерных точек контура здания, сооружения, объекта незавершенного строительства указываются сведения только о системе координат.

29. В реквизите "3" раздела "Исходные данные" указываются следующие сведения о средствах измерений:

1) наименование прибора (инструмента, аппаратуры);

2) сведения об утверждении типа средств измерений (номер в Государственном реестре средств измерений, срок действия свидетельства);

3) реквизиты свидетельства о поверке прибора (инструмента, аппаратуры).

30. Значения координат пунктов опорной межевой сети, государственной геодезической сети или координат характерных точек контура здания (части здания), сооружения (части сооружения), объекта незавершенного строительства в техническом плане указываются в метрах с округлением до 0,01 метра.

31. В реквизите "4" раздела "Исходные данные" указывается кадастровый номер (кадастровые номера) объекта (объектов) недвижимости, в результате преобразования которого (которых) в соответствии с законодательством Российской Федерации был образован объект недвижимости. Заполняется в случае подготовки технического плана в связи с образованием объекта недвижимости.

32. Реквизит "5" раздела "Исходные данные" заполняется при подготовке технического плана в связи с созданием здания, сооружения в случае, если помещения, расположенные в таком здании, сооружении на момент подготовки такого технического плана учтены в ЕГРН. При этом раздел "Характеристики помещений в здании, сооружении" в отношении таких помещений в техническом плане здания, сооружения не заполняется.

33. В реквизите "6" раздела "Исходные данные" указываются сведения об объектах недвижимости, входящих в состав единого недвижимого комплекса. Заполняется при подготовке технического плана в отношении единого недвижимого комплекса. В блоке разделов технического плана единого недвижимого комплекса реквизит "6" раздела "Исходные данные" не заполняется.

В графе "1" реквизита "6" раздела "Исходные данные" указывается порядковый номер объекта недвижимости, входящего в состав единого недвижимого комплекса.

В графе "2" реквизита "6" раздела "Исходные данные" указывается вид объекта недвижимости (здание, сооружение), входящего в состав единого недвижимого комплекса.

В графе "3" реквизита "6" раздела "Исходные данные" указывается кадастровый номер объекта недвижимости, входящего в состав единого недвижимого комплекса, в случае если сведения о таком здании, сооружении содержатся в ЕГРН.

34. Раздел "Описание местоположения объекта недвижимости на земельном участке" заполняется в отношении зданий, сооружений, объектов незавершенного строительства.

В технический план включаются координаты характерных точек контура здания, сооружения, объекта незавершенного строительства, который представляет замкнутую линию, образуемую проекцией внешних границ ограждающих конструкций такого здания, сооружения, объекта незавершенного строительства на горизонтальную плоскость, проходящую на уровне примыкания такого здания, сооружения, объекта незавершенного строительства к поверхности земли. Местоположение характерных точек контура определяется кадастровым инженером.

В случае если здание, сооружение, объект незавершенного строительства имеет наземные, надземные и (или) подземные конструктивные элементы, контур такого здания, сооружения, объекта незавершенного строительства на земельном участке определяется как совокупность контуров, образованных проекцией внешних границ наземных, надземных и (или) подземных ограждающих конструкций (в том числе колонн, арок (проездов), галерей, консолей, балконов и т.п.) такого здания, сооружения, объекта незавершенного строительства на горизонтальную плоскость, проходящую на уровне примыкания такого здания, сооружения, объекта незавершенного строительства к поверхности земли.

В случае если здание, сооружение, объект незавершенного строительства полностью расположено ниже уровня поверхности земли и не имеет конструктивных элементов, обеспечивающих примыкание к поверхности земли, контур такого объекта недвижимости образуется проекцией внешних границ ограждающих конструкций такого здания, сооружения, объекта незавершенного строительства на горизонтальную плоскость, проходящую на уровне поверхности земли.

Проекции наземных, надземных, подземных конструктивных элементов здания, сооружения, объекта незавершенного строительства, а также местоположение точек контуров таких конструктивных элементов определяются кадастровым инженером и отображаются на Чертеже, Схеме специальными условными знаками (Приложение к Требованиям).

В случае если сооружение является протяженным, контур такого сооружения (части сооружения) может быть также отображен в виде разомкнутой линии, образуемой точками, расположенными на центральной оси сооружения, между начальной и конечной точками сооружения.

При необходимости контур сооружения, в том числе протяженного, может быть отображен на Чертеже и Схеме комбинированным способом - в виде сочетания замкнутых и разомкнутых линий.

В случае если контур сооружения, представляющий собой замкнутую линию, является окружностью, в технический план включаются координаты центра такой окружности и значение радиуса (например, в случае если сооружение является скважиной, резервуаром, колодцем).

Если объект незавершенного строительства является сооружением, строительство которого не завершено, контур такого объекта незавершенного строительства может быть определен с учетом особенностей определения контура сооружения.

Контур единого недвижимого комплекса представляет собой совокупность контуров зданий, сооружений, входящих в состав такого единого недвижимого комплекса.

В случае если местоположение здания, сооружения, объекта незавершенного строительства по желанию заказчика кадастровых работ дополнительно устанавливается посредством пространственного описания конструктивных элементов такого здания, сооружения, объекта незавершенного строительства, в контур здания, сооружения, объекта незавершенного строительства также включаются координаты характерных точек:

пересечения проекций конструктивных элементов различной глубины, высоты здания, сооружения, объекта незавершенного строительства с контуром такого здания, сооружения, объекта незавершенного строительства (в том числе арки (проезды), галереи, консоли), в метрах с округлением до 0,01 метра;

пересечения контура здания, сооружения, объекта незавершенного строительства с контуром (контурами) иных зданий, сооружений, объектов незавершенного строительства, в метрах с округлением до 0,01 метра, если такое пересечение имеет место.

35. В случае если контур здания, сооружения, объекта незавершенного строительства представляет собой совокупность отдельных контуров, в графе "1" реквизитов "1" и "2" раздела "Сведения о выполненных измерениях и расчетах", а также в графе "1" реквизитов "1" и "3" раздела "Описание местоположения объекта недвижимости на земельном участке" приводится номер контура в виде:

порядкового номера каждого отдельного контура такого здания, сооружения, объекта незавершенного строительства в соответствии с его обозначением на Чертеже, если сведения о таком здании, сооружении, объекте незавершенного строительства отсутствуют в кадастре недвижимости;

кадастрового номера здания, сооружения, объекта незавершенного строительства и порядкового номера соответствующего контура здания, сооружения, объекта незавершенного строительства в соответствии с его обозначением на Чертеже, если сведения о таком здании, сооружении, объекте незавершенного строительства внесены в кадастр недвижимости, который в этом случае указывается в скобках арабскими цифрами (например, 19:05:010203:45(1), 19:05:010203:45(2).

В остальных случаях указанные графы не заполняются.

В указанном случае в разделе "Заключение кадастрового инженера" приводится информация об общем количестве обособленных контуров здания, сооружения, объекта незавершенного строительства.

36. В графе "2" реквизитов "1", "2"и "3" раздела "Сведения о выполненных измерениях и расчетах", а также в графе "2" реквизитов "1" и "3" раздела "Описание местоположения объекта недвижимости на земельном участке" указываются номера характерных точек контура.

37. В графе "3" реквизита "1" раздела "Сведения о выполненных измерениях и расчетах" указывается метод определения координат характерных точек контура здания (части здания), сооружения (части сооружения), объекта незавершенного строительства, который применялся при осуществлении кадастровых работ:

1) геодезический метод (триангуляции, полигонометрии, трилатерации, прямых, обратных или комбинированных засечек и иные геодезические методы);

2) метод спутниковых геодезических измерений (определений);

3) фотограмметрический метод;

4) картометрический метод;

5) аналитический метод.

В случае если координаты характерных точек контура здания, сооружения, объекта незавершенного строительства определялись несколькими методами, в графе "3" реквизита "1" раздела "Сведения о выполненных измерениях и расчетах" вносятся наименования всех примененных методов определения координат характерных точек контура здания, сооружения, объекта незавершенного строительства с указанием номеров соответствующих характерных точек контура в графе "2" (например, от н1 до н2 - геодезический метод).

38. Формулы, примененные для расчета средней квадратической погрешности определения координат характерных точек контура здания (части здания; ), сооружения (части сооружения; ), объекта незавершенного строительства (), указываются в соответствии с требованиями, установленными в соответствии с частью 13 статьи 24 Закона.

39. В графе "3" реквизита "2", графе "4" реквизита "3" раздела "Сведения о выполненных измерениях и расчетах" указываются формулы, примененные для расчета средней квадратической погрешности определения координат характерных точек контура здания (части здания; ), сооружения (части сооружения; ), объекта незавершенного строительства (), с подставленными в них значениями и результатом вычислений.

В случаях применения при осуществлении кадастровых работ для определения координат характерных точек контура здания (части здания), сооружения (части сооружения), объекта незавершенного строительства метода спутниковых геодезических измерений с использованием программного обеспечения в графе "3" реквизита "2", графе "4" реквизита "3" раздела "Сведения о выполненных измерениях и расчетах" может быть указано только значение средней квадратической погрешности.

40. Список характерных точек контура объекта недвижимости в графе "2" реквизита "1" раздела "Описание местоположения объекта недвижимости на земельном участке" нумеруется сквозной нумерацией точек и для замкнутого контура должен завершаться обозначением начальной точки, за исключением случая представления контура сооружения, объекта незавершенного строительства в виде разомкнутой линии.

В графе "7" реквизита "1" раздела "Описание местоположения объекта недвижимости на земельном участке" указывается тип контура - наземный, надземный или подземный, в случаях когда здание, сооружение, объект незавершенного строительства имеет наземные, надземные и (или) подземные конструктивные элементы.

Если характерная точка является характерной точкой разных типов контуров здания, сооружения, объекта незавершенного строительства, то такая точка указывается в списке характерных точек контура каждого типа.

Если контур здания, сооружения, объекта незавершенного строительства представляет совокупность контуров при заполнении реквизита "1" раздела "Описание местоположения объекта недвижимости на земельном участке", сведения о координатах характерных точек каждого контура заполняются последовательно и отделяются друг от друга обозначением контура.

Если контур здания, сооружения, объекта незавершенного строительства представляет собой две замкнутые линии, образуемые проекцией внешних и внутренних границ ограждающих конструкций (стен) здания, сооружения, объекта незавершенного строительства на горизонтальную плоскость, проходящую на уровне примыкания такого здания, сооружения, объекта незавершенного строительства к поверхности земли, в графе "2" реквизита "1" раздела "Описание местоположения объекта недвижимости на земельном участке" сначала приводится список характерных точек внешнего контура здания, сооружения, объекта незавершенного строительства, а затем, сведения о внутреннем контуре. Сведения о внешнем и внутреннем контурах заполняются последовательно и отделяются друг от друга наименованием контура (внешний или внутренний контур).

Если контур сооружения, в том числе сооружения, строительство которого не завершено, представляет собой окружность, в соответствующих графах раздела реквизита "1" раздела "Описание местоположения объекта недвижимости на земельном участке" указываются координаты точки, являющейся центром такой окружности, а также величина радиуса такой окружности с округлением до 0,01 метра.

В случае если объект недвижимости расположен в нескольких зонах картографической проекции в реквизитах "1", "3" раздела "Описание местоположения объекта недвижимости на земельном участке" указываются координаты характерных точек контура объекта недвижимости в соответствующей зоне картографической проекции. Количество реквизитов должно соответствовать количеству зон картографической проекции.

В случае если местоположение здания, сооружения, объекта незавершенного строительства по желанию заказчика кадастровых работ дополнительно устанавливается посредством пространственного описания конструктивных элементов такого здания, сооружения, объекта незавершенного строительства подлежат заполнению графы "8", "9" реквизита "1" раздела "Описание местоположения объекта недвижимости на земельном участке", реквизиты "2", "3" раздела "Описание местоположения объекта недвижимости на земельном участке", в состав Приложения включается 3D-модель объекта недвижимости, выполненная в масштабе 1:1 с координатной привязкой к государственной геодезической сети или опорной межевой сети, которые применялись при выполнении кадастровых работ.

В графе "8" реквизита "1" раздела "Описание местоположения объекта недвижимости на земельном участке" указывается в метрах с округлением до 0,1 метра расстояние от точки пересечения проекции конструктивного элемента с контуром такого здания, сооружения, объекта незавершенного строительства (далее - ) до точки начала такого конструктивного элемента здания, сооружения, объекта незавершенного строительства в данной характерной точке контура (далее - глубина, высота или ). В графе "9" реквизита "1" раздела "Описание местоположения объекта недвижимости на земельном участке" указывается в метрах с округлением до 0,1 метра расстояние от до точки окончания такого конструктивного элемента здания, сооружения, объекта незавершенного строительства в данной характерной точке контура (далее - глубина, высота или ).

В реквизите "2" раздела "Описание местоположения объекта недвижимости на земельном участке" указываются, в метрах с округлением до 0,1 метра, глубина, высота в крайней точке конструктивного элемента здания, сооружения, объекта незавершенного строительства, определяющего предельную глубину, высоту такого здания, сооружения, объекта незавершенного строительства.

При этом, если точка, определяющая глубину, высоту конструктивного элемента здания, сооружения, объекта незавершенного строительства, расположена ниже уровня , то значение такой глубины, высоты указывается со знаком "-", если выше, то со знаком "+", если совпадает с , то указывается "0" (например, предельная глубина конструктивных элементов здания, сооружения, объекта незавершенного строительства "- 2,6", предельная высота конструктивных элементов здания, сооружения, объекта незавершенного строительства "+ 3").

В реквизите "3" раздела "Описание местоположения объекта недвижимости на земельном участке" приводится список характерных точек пересечения контура здания, сооружения, объекта незавершенного строительства с контуром (контурами) иных зданий, сооружений, объектов незавершенного строительства, если такое пересечение имеет место.

В графе "6" реквизита "3" раздела "Описание местоположения объекта недвижимости на земельном участке" указывается тип контура характерной точки пересечения - наземный, надземный или подземный, в случаях когда точка принадлежит контуру наземного, надземного и (или) подземного конструктивного элемента здания, сооружения, объекта незавершенного строительства.

В графах "7", "8" реквизита "3" раздела "Описание местоположения объекта недвижимости на земельном участке" указываются в метрах с округлением до 0,1 метра соответственно глубина, высота конструктивного элемента (конструктивных элементов) здания, сооружения, объекта незавершенного строительства в данной характерной точке пересечения контура здания, сооружения, объекта незавершенного строительства с контуром (контурами) иных зданий, сооружений, объектов незавершенного строительства.

В графе "9" реквизита "3" раздела "Описание местоположения объекта недвижимости на земельном участке" указываются кадастровые номера зданий, сооружений, объектов незавершенного строительства, контур которых пересекает в данной характерной точке контур здания, сооружения, объекта незавершенного строительства, в отношении которого подготавливается технический план, в случае, если сведения о координатах характерных точек контура таких зданий, сооружений, объектов незавершенного строительства содержатся в кадастре недвижимости с нормативной точностью.

3D-модель объекта недвижимости должна содержать сведения о глубине и высоте всех конструктивных элементов такого здания, сооружения, объекта незавершенного строительства, в том числе:

1) координаты (в метрах с округлением до 0,01 метра и с указанием погрешности определения) точек пересечения:

проекций конструктивных элементов различной высоты здания, сооружения, объекта незавершенного строительства с контуром такого здания, сооружения, объекта незавершенного строительства;

контура здания, сооружения, объекта незавершенного строительства с контурами иных зданий, сооружений, объектов незавершенного строительства;

2) глубину, высоту каждого конструктивного элемента в точке пересечения проекций конструктивных элементов различной глубины, высоты здания, сооружения, объекта незавершенного строительства с контуром такого здания, сооружения, объекта незавершенного строительства, в метрах с округлением до 0,1 метра;

3) глубину, высоту конструктивных элементов здания, сооружения, объекта незавершенного строительства в точке пересечения контура здания с контуром (контурами) иных зданий, сооружений, объектов незавершенного строительства, в метрах с округлением до 0,1 метра;

4) глубину, высоту крайней точки конструктивного элемента здания, сооружения, объекта незавершенного строительства, определяющего его предельную глубину, высоту, в метрах с округлением до 0,1 метра.

41. Разделы "Характеристики объекта недвижимости", "Характеристики помещений в здании, сооружении", за исключением сведений о площади здания, помещения и площади застройки сооружения, заполняются в соответствии с документами, указанными в пункте 20 Требований. Площадь здания, помещения, площадь застройки сооружения определяется в соответствии с требованиями к определению площади здания, сооружения или помещения, установленными на основании части 13 статьи 24 Закона.

В случае подготовки технического плана в отношении линейного сооружения раздел "Характеристики объекта недвижимости" оформляется как в отношении всего линейного сооружения, так и в отношении каждой условной части линейного сооружения. В разделе "Характеристики объекта недвижимости", оформленном в отношении условной части линейного сооружения, указываются сведения, описывающие исключительно условную часть линейного сооружения, при этом наименование раздела дополняется указанием обозначения условной части линейного объекта, расположенной в соответствующем кадастровом округе.

42. В случае если технический план подготовлен в результате выполнения кадастровых работ в связи с изменением сведений ЕГРН об объекте недвижимости, заполнению подлежат строки раздела "Характеристики объекта недвижимости", содержащие новые значения соответствующих характеристик объекта недвижимости, подлежащие внесению в ЕГРН, за исключением сведений, содержащихся в подпунктах 1, 2, 3 пункта 43 Требований.

43. В раздел "Характеристики объекта недвижимости" включаются следующие сведения о соответствующих объектах недвижимости:

1) вид объекта недвижимости, в отношении которого подготавливается технический план (здание, сооружение, помещение, объект незавершенного строительства, единый недвижимый комплекс);

2) кадастровый номер объекта недвижимости, в случае если технический план подготовлен в результате выполнения кадастровых работ в связи с изменением сведений ЕГРН о таком объекте недвижимости, в том числе в связи с исправлением ошибки;

3) ранее присвоенный государственный учетный номер (указывается кадастровый, инвентарный или условный номер, если такой номер был присвоен в установленном законодательством Российской Федерации порядке органом, уполномоченным на присвоение такого номера), дата присвоения соответствующего номера, а также сведения о присвоившем такой номер органе (организации). Если объекту ранее присвоено несколько государственных учетных номеров, указывается информация обо всех таких номерах. При отсутствии названных сведений указанная строка не заполняется;

4) кадастровый номер земельного участка (земельных участков), на котором (которых, под которым, которыми) расположено здание, сооружение, объект незавершенного строительства, единый недвижимый комплекс.

В случае подготовки технического плана линейного сооружения указываются сведения в отношении всего линейного сооружения и в отношении каждой условной части линейного сооружения (номер кадастрового округа, кадастровый номер земельного участка (земельных участков), в пределах которого (которых) расположена условная часть линейного сооружения). Указанное правило также применяется в отношении линейного сооружения, строительство которого не завершено;

5) номер кадастрового квартала (кадастровых кварталов), в пределах которого (которых) расположен объект недвижимости;

6) кадастровый номер иного объекта (объектов) недвижимости, в пределах которого (которых) расположено здание, сооружение, помещение, объект незавершенного строительства. В отношении помещения заполнению подлежит также строка "Номер, тип этажа (этажей), на котором (которых) расположено помещение".

Если здание, сооружение, объект незавершенного строительства, единый недвижимый комплекс расположены на нескольких земельных участках и при этом сведения о некоторых земельных участках отсутствуют в ЕГРН, то в столбце "3" графы "4" раздела "Характеристики объекта недвижимости" указываются через запятую кадастровые номера земельных участков, а в столбце "3" графы "6" номера кадастровых кварталов, в границах которых расположены здание, сооружение, объект незавершенного строительства, единый недвижимый комплекс;

7) адрес здания, сооружения, помещения, объекта незавершенного строительства в структурированном в соответствии с федеральной информационной адресной системой (ФИАС) виде на основании сведений, предоставленных оператором информационной адресной системы, осуществляющим ведение государственного адресного реестра.

В случае отсутствия в государственном адресном реестре адреса здания, сооружения, помещения, объекта не завершенного строительства, присвоенного в порядке, установленном до вступления в силу постановления Правительства Российской Федерации от 19 ноября 2014 г. N 1221 "Об утверждении правил присвоения, изменения и аннулирования адресов" <2>, адрес здания, сооружения, помещения, объекта незавершенного строительства вносится в технический план на основании акта органа государственной власти или органа местного самоуправления, уполномоченных на присвоение адресов объектам недвижимости.

<2> Собрание законодательства Российской Федерации, 2014, N 48, ст. 6861; 2015, N 18, ст. 2707; N 33, ст. 4853.

Копия документа, подтверждающего присвоение адреса, включается в состав Приложения.

При отсутствии присвоенного в установленном порядке адреса здания, сооружения, помещения, объекта незавершенного строительства заполняется строка "Местоположение объекта недвижимости", в которой в структурированном в соответствии с ФИАС виде указывается местоположение здания, сооружения, помещения, объекта незавершенного строительства с указанием: слов "Российская Федерация", наименования субъекта Российской Федерации, муниципального образования, населенного пункта (город, село), улицы (проспект, шоссе, переулок, бульвар) - при наличии, номера здания (сооружения), номера помещения, в том числе с учетом сведений, содержащихся в документах, указанных в пункте 20 Требований.

В строке "Дополнение местоположения объекта недвижимости" указываются сведения о местоположении здания, сооружения, помещения, объекта незавершенного строительства, в случае если оно не указано в структурированном в соответствии с ФИАС виде.

Если здание, сооружение, объект незавершенного строительства расположены в границах территории садоводческого, огороднического или дачного некоммерческого объединения граждан, в описании местоположения объекта недвижимости в строке "Дополнение местоположения объекта недвижимости" указывается наименование такого некоммерческого объединения. В случае расположения здания, сооружения, объекта незавершенного строительства на землях лесного фонда в указанной строке указываются: наименование лесничества и лесопарка, номера лесных кварталов, к которым относится лесной участок, в границах которого расположено здание, сооружение, объект незавершенного строительства (если такие номера имеются).

В отношении линейного сооружения, а также линейного сооружения, незавершенного строительством, указывается наименование субъектов Российской Федерации, муниципальных образований, населенных пунктов, на территории которых располагается такое линейное сооружение.

В случае если адрес, присвоенный зданию, сооружению, объекту незавершенного строительства, по сведениям, предоставленным оператором информационной адресной системы, осуществляющим ведение государственного адресного реестра, не совпадает с адресом земельного участка, в границах которого расположено такое здание, сооружение, объект незавершенного строительства, а также в случаях включения здания, сооружения, объекта незавершенного строительства в состав единого недвижимого комплекса, предприятия как имущественного комплекса в разделе "Заключение кадастрового инженера" отражается соответствующая информация.

Реквизиты документа, подтверждающего присвоение адреса, указываются в реквизите "1" раздела "Исходные данные";

8) в столбце "3" графы "8" раздела "Характеристики объекта недвижимости" указывается назначение здания, сооружения, помещения, единого недвижимого комплекса.

В отношении здания, помещения указывается назначение - "нежилое" или "жилое".

Дополнительно для нежилых помещений, предназначенных для обслуживания всех остальных помещений в здании, сооружении (далее - помещение вспомогательного использования), указываются слова "помещение вспомогательного использования", для нежилых помещений, относящихся к имуществу общего пользования в многоквартирном доме, указываются слова "общее имущество в многоквартирном доме".

Для жилых помещений указывается вид жилого помещения "квартира", "комната (в квартире)".

В отношении сооружения указывается назначение в соответствии с документами, на основании которых подготовлен технический план (для линейного сооружения указываются сведения в отношении всего сооружения).

В случае если в документах, указанных в пункте 20 Требований, отсутствуют сведения о назначении сооружения, назначение сооружения в техническом плане указывается с учетом приведенных в пункте 44 Требований групп (подгрупп) видов назначений сооружений, которые применяются исключительно в целях оформления технического плана.

В отношении объекта незавершенного строительства в соответствующей строке графы "8" раздела "Характеристики объекта недвижимости" указываются сведения о проектируемом назначении объекта незавершенного строительства, в соответствии с документами, на основании которых подготовлен технический план;

9) наименование (если оно имеется) здания, сооружения, помещения, объекта незавершенного строительства, единого недвижимого комплекса;

10) количество этажей, в том числе подземных этажей, если объектом недвижимости является здание или сооружение (при наличии этажности у здания или сооружения). Если здание, сооружение имеет различное количество этажей - указывается наименьшее и наибольшее значение этажей с интервалом (например, 14 - 18);

11) материал наружных стен здания (например, кирпич, бетон, прочий камень, деревянный, деревянно-каменный, металлический, прочий);

12) год ввода здания, сооружения в эксплуатацию по завершении его строительства в соответствии с разрешением на ввод такого здания, сооружения в эксплуатацию. Если в соответствии с федеральным законом выдача разрешения на ввод такого объекта в эксплуатацию не предусматривается, в соответствующей строке приводится год завершения строительства;

13) площадь здания, помещения (в квадратных метрах с округлением до 0,1 кв. метра);

14) вид (виды) разрешенного использования здания, сооружения, помещения;

15) одна или несколько открытых, общедоступных основных характеристик (тип и значение (в отношении объекта незавершенного строительства проектируемое значение) сооружения, объекта незавершенного строительства, определяемых на основании документов, указанных в пункте 20 Требований:

- протяженность в метрах с округлением до 1 метра;

- глубина, глубина залегания в метрах с округлением до 0,1 метра;

- площадь, площадь застройки в квадратных метрах с округлением до 0,1 кв. метра;

- объем в кубических метрах с округлением до 1 куб. метра;

- высота в метрах с округлением до 0,1 метра;

16) степень готовности объекта незавершенного строительства в процентах с учетом сведений, содержащихся в документах, указанных в пункте 20 Требований.

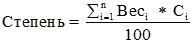
Степень готовности объекта незавершенного строительства определяется кадастровым инженером по одному из следующих правил:

В соответствии со сметой на строительство по формуле:

,

где:

Степень - степень готовности объекта незавершенного строительства (%);

Объем выполненных работ - стоимость фактически выполненных работ (руб.);

Стоимость строительства - стоимость строительства в соответствии со сметой на строительство объекта (руб.).

В соответствии с готовностью конструктивных элементов объекта по формуле:

,

где:

Степень - степень готовности объекта незавершенного строительства (%);

i - номер конструктивного элемента по порядку;

n - общее количество конструктивных элементов в объекте;

- значение удельного веса i-ого конструктивного элемента в объекте (%);

- доля построенной части i-ого конструктивного элемента (%).

Для объектов незавершенного строительства, представляющих собой здания, строительство которых не завершено, для расчета степени готовности в соответствии с готовностью конструктивных элементов используется следующий перечень конструктивных элементов: фундамент, стены и перегородки, перекрытия, крыша, полы, окна и двери, оборудование, прочие работы.

44. Назначение сооружения в техническом плане указывается с учетом следующих групп (подгрупп) видов назначений сооружений, которые применяются исключительно в целях оформления технического плана в случае, если в указанных в пункте 20 Требований документах отсутствуют сведения о назначении сооружения:

1) сооружения топливно-энергетического, металлургического, химического или нефтехимического производства, в том числе:

1.1. сооружения электроэнергетики;

1.2. сооружения топливной промышленности;

1.3. сооружения нефтеперерабатывающей промышленности;

1.4. сооружения нефтяных месторождений;

1.5. сооружения добывающей промышленности;

1.6. сооружения газохимического комплекса;

1.7. сооружения угольной и сланцевой добывающей промышленности;

1.8. сооружения черной металлургии;

1.9. сооружения горнорудных предприятий;

1.10. сооружения цветной металлургии;

1.11. сооружения для добычи цветных металлов;

1.12. сооружения для химических и нефтехимических производств;

1.13. сооружения химико-фармацевтического производства;

1.14. сооружения органического синтеза;

2) сооружения машиностроительного производства, в том числе:

2.1. сооружения авиастроения;

2.2. сооружения судостроительного производства;

2.3. сооружения судостроительной промышленности;

3) сооружения гидротехнические;

4) сооружения лесной промышленности;

5) сооружения мукомольно-крупяной и комбикормовой промышленности;

6) сооружения сельскохозяйственного производства, в том числе:

6.1. сооружения животноводства;

6.2. сооружения ирригационных и мелиоративных систем;

6.3. сооружения рыборазведенческие;

7) сооружения транспорта и связи, в том числе:

7.1. сооружения железнодорожного транспорта;

7.2. сооружения линий метрополитена;

7.3. сооружения водного транспорта;

7.4. сооружения дорожного транспорта;

7.5. сооружения городского электрического транспорта;

7.6. сооружения воздушного транспорта;

7.7. сооружения трубопроводного транспорта;

7.8. сооружения связи;

8) сооружения строительной индустрии;

9) иные сооружения производственного назначения;

10) сооружения коммунального хозяйства, в том числе:

10.1. сооружения водозаборные;

10.2. сооружения очистные водоснабжения;

10.3. сооружения канализации;

11) сооружения по охране окружающей среды и рациональному природопользованию, в том числе:

11.1. сооружения противоэрозионные гидротехнические и противоселевые;

11.2. сооружения противооползневые;

11.3. сооружение по охране атмосферного воздуха;

12) сооружения спортивно-оздоровительные;

13) сооружения культуры и отдыха;

14) сооружения исторические;

15) сооружения науки и образования;

16) сооружения обороны;

17) сооружения гражданской обороны (в том числе сооружения обеспечения защиты от чрезвычайных ситуаций).

Назначение сооружения указывается в соответствии с подгруппой видов назначения сооружений (например, "1.1. сооружение электроэнергетики", "7.8. сооружение связи").

При отсутствии в указанном пункте настоящих Требований подгруппы вида назначения сооружения, соответствующей фактическому назначению такого сооружения, сооружение может быть отнесено к группе видов назначения сооружений (например, "2) сооружение машиностроительного производства", "4) сооружение лесной промышленности").

При отсутствии в указанном пункте настоящих Требований вида назначения сооружения, соответствующего фактическому назначению сооружения, в графе "8" раздела "Характеристики объекта недвижимости" указывается "иное сооружение". При этом в скобках указывается фактическое назначение сооружения.

45. Раздел "Сведения о части (частях) объекта недвижимости" заполняется в отношении здания, сооружения, помещения, единого недвижимого комплекса в целях определения пределов действия установленного (устанавливаемого) ограничения (обременения) прав, в случае если установленное (устанавливаемое) ограничение прав (обременение) распространяется на часть такого объекта недвижимости. При этом в графической части технического плана специальными условными знаками обозначаются границы установленного (устанавливаемого) ограничения (обременения) прав (границы части объекта недвижимости).

В случае если установленное (устанавливаемое) ограничение (обременение) прав распространяется на часть здания, сооружения контур которой может быть отображен на Чертеже, сведения о местоположении характерных точек границ части такого здания, сооружения приводятся в реквизите "1.1" раздела "Сведения о части (частях) объекта недвижимости". При этом в случае если часть здания, сооружения расположена в нескольких зонах картографической проекции, в реквизите "1.1" раздела "Сведения о части (частях) объекта недвижимости" указываются координаты характерных точек границ части здания, сооружения в соответствующей зоне картографической проекции. Количество реквизитов должно соответствовать количеству зон картографической проекции. При этом для замкнутого контура список характерных точек границ части здания, сооружения должен завершаться обозначением начальной точки.

В графе "5" реквизита "1.1" раздела "Сведения о части (частях) объекта недвижимости" указывается тип контура - наземный, надземный или подземный, в случаях когда здание, сооружение, объект незавершенного строительства имеет наземные, надземные и (или) подземные конструктивные элементы.

В случаях когда установленное (устанавливаемое) ограничение (обременение) прав распространяется на часть здания, сооружения, помещения в пределах этажа (части этажа), нескольких этажей, в реквизите "1.2" раздела "Сведения о части (частях) объекта недвижимости" в виде связного текста приводится описание такой части (например, приводятся номера помещений на Плане этажа (части этажа).

Сведения о каждой части здания, сооружения, помещения, единого недвижимого комплекса в разделе "Сведения о части (частях) объекта недвижимости" приводятся последовательно с указанием обозначения части объекта недвижимости.

При заполнении технического плана обозначение образуемой части здания, сооружения, помещения, единого недвижимого комплекса указывается в виде сочетания строчных букв русского алфавита:

для зданий - "чз" с числом, записанным арабскими цифрами (например, чз1);

для сооружений - "чс" с числом, записанным арабскими цифрами (например, чс1);

для помещений - "чп" с числом, записанным арабскими цифрами (например, чп1);

для единых недвижимых комплексов - "ченк" с числом, записанным арабскими цифрами (например, ченк1).

В реквизите "2" раздела "Сведения о части (частях) объекта недвижимости" в отношении здания, сооружения, помещения указываются следующие сведения:

1) порядковый номер части объекта недвижимости;

2) учетный номер или обозначение части;

3) площадь части (в квадратных метрах с округлением до 0,1 кв. метра) или протяженность части (в метрах с округлением до 1 метра);

4) характеристика части.

Сведения о части (частях) единого недвижимого комплекса указываются в реквизите "2" раздела "Сведения о части (частях) объекта недвижимости", при этом в столбце "2" указываются кадастровые номера зданий, сооружений, на которые распространяются ограничения (обременения) прав. Пределы действия установленного (устанавливаемого) ограничения (обременения) прав в конкретном здании, сооружении, входящем в состав единого недвижимого комплекса, указываются и описываются в блоке разделов такого объекта недвижимости технического плана единого недвижимого комплекса в соответствии с особенностями, предусмотренными настоящими Требованиями для конкретного вида объектов недвижимости.

46. Содержание установленного (устанавливаемого) ограничения (обременения) прав приводится в графе "4" реквизита "2" раздела "Сведения о части (частях) объекта недвижимости" на основании актов органов государственной власти или органов местного самоуправления, договоров или соглашений (в том числе предварительных), вступивших в законную силу судебных актов. В данном случае копии таких документов включаются в состав Приложения.

47. Раздел "Характеристики помещений в здании, сооружении" содержит последовательно сведения о характеристиках каждого помещения в здании, сооружении и заполняется в отношении всех помещений в здании, сооружении.

48. В раздел "Характеристики помещения (помещений) в здании, сооружении" включаются следующие сведения:

1) кадастровый номер или ранее присвоенный государственный учетный номер (кадастровый, инвентарный или условный номер, если такой номер был присвоен в установленном законодательством Российской Федерации порядке органом, уполномоченным на присвоение такого номера), дата присвоения соответствующего номера, а также сведения о присвоившем такой номер органе (организации), при отсутствии таких сведений указанная строка не заполняется;

2) номер, тип этажа (этажей), на котором (которых) расположено помещение;

3) присвоенный в установленном порядке адрес, а при его отсутствии - местоположение помещения с указанием: слов "Российская Федерация", наименования субъекта Российской Федерации, муниципального образования, населенного пункта (например, город, село), улицы (например, проспект, шоссе, переулок, бульвар), номера многоквартирного дома). При этом дополнительно указываются вид муниципального образования (например, муниципальный район, городской округ, поселение) и тип (вид) городского (например, город, поселок) либо сельского (например, село, деревня) поселения;

4) назначение помещения (жилое или нежилое, дополнительно для нежилых помещений, составляющих общее имущество в здании, сооружении, указываются слова "общее имущество в здании или сооружении", для нежилых помещений, являющихся помещениями вспомогательного использования, указываются слова "помещение вспомогательного использования"; для жилых помещений указывается вид жилого помещения "квартира", "комната (в квартире)");

5) вид или виды разрешенного использования помещения;

6) площадь помещения (в квадратных метрах с округлением до 0,1 кв. метра);

7) наименование помещения при наличии такого наименования.

49. В случае если на момент подготовки технического плана здания, сооружения государственный кадастровый учет помещения в таком здании, сооружении осуществлен в установленном порядке, в строке "1" раздела "Характеристики помещений в здании, сооружении" указывается кадастровый номер помещения, иные строки в указанном случае не заполняются.

50. Раздел "Заключение кадастрового инженера" оформляется кадастровым инженером в виде связного текста.

В случае если в ходе кадастровых работ выявлены ошибки, допущенные при установлении местоположения объекта недвижимости (ранее допущенные реестровые ошибки), несоответствие площади здания, помещения, площади застройки сооружения, указанной в документах, предусмотренных пунктом 20 Требований, и площади здания, помещения, площади застройки сооружения, определенной с учетом Требований, установленных на основании части 13 статьи 24 Закона, а также в иных случаях, в том числе при изменении проектной документации или когда, по мнению кадастрового инженера, необходимо дополнительное обоснование результатов кадастровых работ, в разделе "Заключение кадастрового инженера" приводятся обоснование значения площади здания, помещения, площади застройки сооружения, иной характеристики объекта недвижимости, определение которой осуществлено кадастровым инженером, в том числе результаты необходимых измерений и расчетов, предложения кадастрового инженера по устранению выявленных ошибок (при их наличии), иная информация, документы, подтверждающие изменение проектной документации включаются в состав приложения технического плана.

При подготовке технического плана в отношении здания, сооружения в котором расположены помещения, заявленные на государственный кадастровый учет, в случае если в ходе кадастровых работ выявлено несоответствие кадастровых сведений о помещении и сведений, включенных в технический план по результатам кадастровых работ, в такой технический план также включается раздел "Заключение кадастрового инженера".

В случае подготовки технического плана единого недвижимого комплекса в разделе "Заключение кадастрового инженера" такого технического плана указываются сведения, характеризующие единый недвижимый комплекс, в том числе в случаях, если единый недвижимый комплекс является таковым, поскольку совокупность составляющих его объединенных единым назначением зданий, сооружений неразрывно связана технологически, указываются сведения о содержании такой технологической связи.

В случае подготовки технического плана линейного сооружения в разделе "Заключение кадастрового инженера" указываются сведения о количестве условных частей линейного сооружения, номерах кадастровых округов, в которых они расположены.

IV. Требования к оформлению графической части технического плана

51. В графической части технического плана здания, сооружения, объекта незавершенного строительства воспроизводятся сведения выписки из ЕГРН о земельном участке, Плана этажа (этажей), Плана здания, сооружения, объекта незавершенного строительства, а также указывается местоположение такого здания, сооружения, объекта незавершенного строительства на земельном участке, сведения о котором указаны в разделе "Исходные данные".

При подготовке графической части технического плана могут быть использованы иные документы (в том числе картографические материалы), позволяющие определить местоположение соответствующего здания, сооружения, объекта незавершенного строительства в границах земельного участка.

Графическая часть технического плана помещения оформляется на основе поэтажного плана, являющегося частью проектной документации, графической части технического паспорта здания (или сооружения), сведения о которых указаны в разделе "Исходные данные".

При отсутствии указанных документов, а также в случае изменения в установленном порядке проектной документации и не отражения таких изменений в поэтажных планах в целях оформления графической части технического плана кадастровым инженером по результатам выполненных измерений чернилами или пастой синего цвета изготавливается внемасштабный, но с соблюдением пропорций, чертеж с обозначением данных, необходимых для оформления Плана этажа либо Плана здания (сооружения, объекта незавершенного строительства). Указанный чертеж (копия чертежа) включается в состав Приложения.

В чертеже производится зарисовка контура наружных капитальных стен здания, контура стен пристроек, крылец, ступеней, а также оконных и дверных проемов по всему наружному периметру стен или частично.

Наружные измерения здания производятся выше цоколя на уровне оконных проемов с точностью до 1 см. Начальной точкой измерения линии (стены) считается угол дома.

Измерения производятся с одновременной последовательной записью размеров, начиная от одного из наружных углов здания до начала и конца оконных и дверных проемов или их осей, начала и конца архитектурных выступов, колонн и прочих элементов по всему периметру стен основного здания и пристроек. В тех местах, где измерения по всему периметру стен недоступны в связи с примыкающими соседними зданиями, длина стены определяется путем суммирования внутренних размеров помещений и толщины стен и перегородок.

Результаты измерений должны быть записаны таким образом, чтобы обеспечить читаемость чертежа. Исправления результатов измерений в чертеже производятся путем перечеркивания неправильного и написания сверху верного значения.

52. Для оформления графической части технического плана применяются специальные условные знаки в соответствии с Приложением к Требованиям.

53. Раздел "Схема геодезических построений" оформляется в соответствии с материалами измерений, содержащими сведения о геодезическом обосновании кадастровых работ.

54. Схема предназначена для отображения местоположения здания, сооружения, объекта незавершенного строительства относительно границ:

1) земельного участка (при наличии в ЕГРН описания местоположения границ земельного участка в виде списка координат характерных точек), а также других объектов недвижимого имущества, расположенных в границах земельного участка;

2) кадастрового квартала (при отсутствии в ЕГРН описания местоположения границ земельного участка в виде списка координат характерных точек).

55. На Схеме отображаются:

1) границы земельного участка (земельных участков), его (их) частей;

2) контур здания (части здания), сооружения (части сооружения), объекта незавершенного строительства, в отношении которого проводятся кадастровые работы;

3) необходимые обозначения.

На Схеме допускается отображать местоположение контуров здания (части здания), сооружения (части сооружения), объекта незавершенного строительства и иных объектов недвижимости, расположенных в границах соответствующего земельного участка, а также местоположение улиц, дорог общего пользования, иных объектов, позволяющих определить местоположение здания (части здания), сооружения (части сооружения), объекта незавершенного строительства.

На Схеме технического плана единого недвижимого комплекса отображается местоположение зданий, сооружений, входящих в состав единого недвижимого комплекса, на основании сведений блоков разделов технического плана единого недвижимого комплекса соответствующих зданий, сооружений в соответствии с пунктом 54 Требований, физические или технологические связи таких зданий, сооружений (при возможности их графического отображения), а также границы земельного участка (земельных участков), на котором (которых) расположен единый недвижимый комплекс.

56. Чертеж оформляется в масштабе, обеспечивающем читаемость местоположения характерных точек контура здания, сооружения, объекта незавершенного строительства. Чертеж составляется таким образом, чтобы в поле его изображения отображался весь контур здания, сооружения, объекта незавершенного строительства.

Допускается показывать местоположение отдельных элементов контура здания, сооружения, объекта незавершенного строительства в виде выносок или врезок, оформляемых на отдельных листах в составе Чертежа.

На Чертеже отображаются:

1) местоположение характерных точек контура здания, сооружения, объекта незавершенного строительства (а в случаях, предусмотренных Требованиями, - дополнительно местоположение контура части здания, сооружения);

2) необходимые обозначения.

Типы контуров здания, сооружения, объекта незавершенного строительства указываются на Чертеже соответствующими условными знаками.

57. Графическая часть технического плана оформляется в масштабе 1:100 на листах формата A4, а в случае, когда местоположение здания, сооружения, помещения, объекта незавершенного строительства не может быть отображено на листе указанного формата, графическая часть технического плана может оформляться на листах больших форматов и (или) в масштабе 1:200. Оформление плана этажа (части этажа) здания, сооружения производится с точностью до +/-0,5 мм при помощи масштабной линейки с миллиметровыми делениями или с применением средств компьютерной графики.

При этом технический план здания, сооружения в обязательном порядке содержит планы всех этажей здания, сооружения, а при отсутствии у них этажности планы здания, сооружения.

58. План этажа либо План здания, сооружения, объекта незавершенного строительства размещается симметрично краям листа. Сторона главного фасада в плане должна располагаться внизу, параллельно нижнему краю листа. В случае если невозможно определить главный фасад, внизу, параллельно нижнему краю листа, располагается южная сторона здания. При этом в левом верхнем углу листа указывается направление сторон света, а в разделе "Заключение кадастрового инженера" делается соответствующая запись.

Расстояние между планом этажа (части этажа) здания, этажа (части этажа) сооружения, этажа объекта незавершенного строительства и краями листа не должно быть менее 2 - 3 см.

59. На Плане этажа либо Плане здания, сооружения, объекта незавершенного строительства отображаются в масштабе в соответствии с размерами на поэтажном плане, являющемся частью проектной документации, в графической части технического паспорта здания, сооружения, объекта незавершенного строительства или чертеже:

стены и перегородки, в том числе внутренние;

окна и двери;

лестницы, балконы;

внутренние выступы стен;

необходимые условные обозначения, в том числе для указания местоположения образованной или существующей части здания, сооружения.

60. План этажа либо План здания, сооружения, объекта незавершенного строительства оформляется после проверки суммы измерений, выполненных снаружи здания, сооружения, объекта незавершенного строительства, и суммы измерений, выполненных внутри здания, сооружения, объекта незавершенного строительства по той же стороне (с учетом толщины стен и перегородок).

Оформление Плана этажа либо Плана здания, сооружения, объекта незавершенного строительства осуществляется путем последовательного нанесения на него фасадной линии здания, сооружения, объекта незавершенного строительства, боковых линий здания, сооружения, объекта незавершенного строительства, капитальных стен, перегородок, проемов и лестниц.

61. По центру Плана этажа, сверху на листе указывается тип этажа (например, цокольный этаж, 1-й этаж).

62. На Плане этажа либо Плане здания, сооружения, объекта незавершенного строительства параллельно направлению соответствующих стен и перегородок отображаются выполненные линейные измерения с абриса (чертежа) либо отображаются соответствующие размеры с поэтажного плана, являющегося частью проектной документации.

63. Все цифры на Плане этажа либо Плане здания, сооружения, объекта незавершенного строительства отображаются параллельно нижнему краю листа или его правой стороне и располагаются перпендикулярно линиям измерения.

64. План части этажа, а при отсутствии этажей у здания, сооружения - План части здания, сооружения оформляются в случае, если помещение расположено в пределах изолированной части этажа здания, сооружения либо части здания, сооружения (подъезд здания, отдельная блок-секция).

План части этажа, а при отсутствии этажей у здания, сооружения - План части здания, сооружения оформляются в соответствии с пунктами 51 - 63 Требований. При этом на Плане части этажа, а при отсутствии этажей у здания, сооружения - Плане части здания, сооружения указывается обозначение такой части (например, подъезд N 1).

65. В случае если помещение расположено в пределах нескольких этажей здания, сооружения в состав графической части включаются соответствующие планы этажей здания, сооружения либо планы соответствующих частей этажей здания, сооружения.

66. При подготовке технического плана здания, сооружения, в котором расположены помещения, заявленные на государственный кадастровый учет, на Плане этажа или Плане части этажа здания, сооружения, а при отсутствии этажей у здания, сооружения - на Плане здания, сооружения либо Плане части здания, сооружения, оформленных в соответствии с настоящими

Требованиями, отображаются:

1) местоположение помещений - границы геометрической фигуры, образованной внутренними сторонами наружных ограждающих конструкций помещений (а в случаях, предусмотренных настоящими Требованиями, - дополнительно местоположение части помещений), с отображением внутренних стен, перегородок, дверных проемов, и его номер на этаже;

2) предусмотренные Требованиями обозначения и надписи.

67. В разделе "Приложение" последовательно приводится перечень документов, включаемых в состав Приложения.

В столбце "1" раздела "Приложение" указывается порядковый номер документа в Приложении, в столбце "2" раздела "Приложение" указывается наименование такого документа.

Приложение
к Требованиям к подготовке
технического плана и составу
содержащихся в нем сведений

СПЕЦИАЛЬНЫЕ УСЛОВНЫЕ ЗНАКИ

N п/п Название условного знака Изображение Описание изображения
1 Контур здания, сооружения, объекта незавершенного строительства (контур части здания, сооружения), размеры которого могут быть переданы в масштабе разделов графической части для изображения применяются условные знаки N 4, N 5
2 Контур здания, сооружения, объекта незавершенного строительства, размеры которого не могут быть переданы в масштабе разделов графической части (может быть использован только на Схеме) квадрат черного цвета с длиной стороны 3 мм
3 Контур сооружения, объекта незавершенного строительства представляющий собой окружность, размеры которой не могут быть переданы в масштабе разделов графической части круг черного цвета диаметром 3,0 мм
4 Часть контура:
а) существующая часть контура здания, сооружения, объекта незавершенного строительства, существующий наземный конструктивный элемент здания, сооружения, объекта незавершенного строительства сплошная линия черного цвета, толщиной 0,2 мм
б) вновь образованная часть контура здания, сооружения, объекта незавершенного строительства вновь образованный наземный конструктивный элемент здания, сооружения, объекта незавершенного строительства сплошная линия красного цвета, толщиной 0,2 мм (допускается линия черного цвета, выделенная маркером красного цвета шириной до 3 мм)
в) существующий надземный конструктивный элемент здания, сооружения, объекта незавершенного строительства штрихпунктирная линия синего цвета толщиной 0,2 мм, длиной штриха 2 мм, интервалом между штрихами и пунктирами 1 мм
г) вновь образованный надземный конструктивный элемент здания, сооружения, объекта незавершенного строительства штрихпунктирная линия красного цвета толщиной 0,2 мм, длиной штриха 2 мм, интервалом между штрихами и пунктирами 1 мм
д) существующий подземный конструктивный элемент здания, сооружения, объекта незавершенного строительства штрихпунктирная линия черного цвета толщиной 0,2 мм, длиной штриха 2 мм, интервалом между штрихами и пунктирами 1 мм
е) вновь образованный подземный конструктивный элемент здания, сооружения, объекта незавершенного строительства штрихпунктирная линия красного цвета толщиной 0,2 мм, длиной штриха 2 мм, интервалом между штрихами и пунктирами 1 мм
5 Характерные точки контура здания, сооружения, объекта незавершенного строительства:
а) характерная точка контура здания, сооружения, объекта незавершенного строительства круг черного цвета диаметром 1,0 мм
б) характерная точка пересечения контура здания, сооружения, объекта незавершенного строительства с контуром (контурами) иных зданий, сооружений, объектов незавершенного строительства окружность черного цвета диаметром 1,0 мм
6 Части здания, сооружения:
а) существующая часть здания, сооружения пунктирная линия черного цвета, толщиной 0,2 мм
б) вновь образованная часть здания, сооружения пунктирная линия красного цвета толщиной 0,2 мм
7 Часть границы геометрической фигуры:
существующего помещения сплошная линия черного цвета, толщиной 0,4 мм
существующей части помещения пунктирная линия черного цвета, толщиной 0,2 мм
вновь образованного помещения сплошная линия красного цвета, толщиной 0,2 мм
вновь образованной части помещения пунктирная линия красного цвета, толщиной 0,2 мм
8 Стена с окном и дверью Сплошные линии черного цвета, толщиной 0,2 мм, перпендикулярные границе геометрической фигуры
9 Лестница
10 Дверь остекленная (на балкон, лоджию)
11 Веранда
12 Терраса
13 Перегородка

Приложение N 3
к приказу Минэкономразвития России
от 18.12.2015 N 953

ФОРМА ДЕКЛАРАЦИИ ОБ ОБЪЕКТЕ НЕДВИЖИМОСТИ

Декларация об объекте недвижимости
 
1. Вид, назначение и наименование объекта недвижимости
1.1. Вид объекта недвижимости
помещение
здание
сооружение
объект незавершенного строительства
единый недвижимый комплекс
1.2. Назначение здания
жилое
нежилое
1.3. Назначение помещения
жилое
нежилое
1.4. Вид жилого помещения
квартира
комната
1.5. Назначение сооружения
1.6. Проектируемое назначение объекта незавершенного строительства
1.7. Назначение единого недвижимого комплекса
1.8. Наименование объекта недвижимости
2. Адрес (местоположение) объекта недвижимости
Субъект Российской Федерации
Муниципальное образование (вид, наименование)
Населенный пункт (тип, наименование)
Наименование некоммерческого объединения граждан
Улица (проспект, переулок)
Номер дома (владения, участка)
Номер корпуса (строения)
Номер квартиры
Номер комнаты
Иное
3. Номер кадастрового квартала (кадастровых кварталов), в котором (которых) находится объект недвижимости
4. Кадастровый номер
земельного участка (земельных участков)
помещения (помещений)
здания (сооружения)
квартиры, в которой расположена комната
5. Описание объекта недвижимости
5.1. Описание здания, помещения
Площадь (здания, помещения) (кв. м)
Этаж
Количество этажей
в том числе подземных
Год ввода в эксплуатацию
Год завершения строительства
Материал наружных стен здания
кирпич
бетон
камень
деревянный
прочий
смешанный
5.2. Описание сооружения
Количество этажей
в том числе подземных
Год ввода в эксплуатацию
Год завершения строительства
Тип и значение основной характеристики
протяженность (м)
глубина (глубина залегания) (м)
площадь (кв. м)
объем (куб. м)
высота (м)
площадь застройки (кв. м)
5.3. Описание объекта незавершенного строительства
Проектируемое значение основной характеристики объекта незавершенного строительства
протяженность (м)
глубина (глубина залегания) (м)
площадь (кв. м)
объем (куб. м)
высота (м)
площадь застройки (кв. м)
Степень готовности (%)
5.4. Описание единого недвижимого комплекса
Кадастровые номера зданий, сооружений, входящих в состав единого недвижимого комплекса
6 <1> Правообладатель объекта недвижимости (земельного участка, на котором находится здание, сооружение, объект незавершенного строительства)
6.1. Физическое лицо
Фамилия
Имя
Отчество (указывается при наличии)
Страховой номер индивидуального лицевого счета (указывается при наличии)
Вид и номер документа, удостоверяющего личность
Выдан
Адрес постоянного места жительства или преимущественного пребывания
Почтовый индекс
Субъект Российской Федерации
Город
Район
Населенный пункт (село, поселок)
Улица (проспект, переулок)
Номер дома (владения, участка)
Номер корпуса (строения)
Номер квартиры (комнаты)
Адрес электронной почты
6.2. Юридическое лицо
Полное наименование
ОГРН
Дата государственной регистрации
ИНН
Страна регистрации (инкорпорации)
Дата регистрации
Регистрационный номер
Почтовый индекс
Почтовый адрес
Субъект Российской Федерации
Город
Район
Населенный пункт (село, поселок)
Улица (проспект, переулок)
Номер дома (владения, участка)
Номер корпуса (строения)
Адрес электронной почты
6.3. Публичное образование
6.3.1. Российская Федерация
6.3.2. Субъект Российской Федерации
Полное наименование
6.3.3. Муниципальное образование
Полное наименование
6.3.4. Иностранное государство
Полное наименование
7. Сведения о представителе правообладателя объекта недвижимости (земельного участка, на котором расположено здание, сооружение, объект незавершенного строительства)
7.1. Физическое лицо
Реквизиты документа, подтверждающего полномочия представителя правообладателя
Фамилия
Имя
Отчество (указывается при наличии)
Страховой номер индивидуального лицевого счета (указывается при наличии)
Вид и номер документа, удостоверяющего личность
Выдан
Адрес постоянного места жительства или преимущественного пребывания
Почтовый индекс
Субъект Российской Федерации
Город
Район
Населенный пункт (село, поселок)
Улица (проспект, переулок)
Номер дома (владения, участка)
Номер корпуса (строения)
Номер квартиры (комнаты)
Адрес электронной почты
7.2. Юридическое лицо
Реквизиты документа, подтверждающего полномочия представителя правообладателя
Полное наименование
ОГРН
Дата государственной регистрации
ИНН
Страна регистрации (инкорпорации)
Дата регистрации
Регистрационный номер
Почтовый индекс
Почтовый адрес
Субъект Российской Федерации
Город
Район
Населенный пункт (село, поселок)
Улица (проспект, переулок)
8. Правоустанавливающие, правоудостоверяющие документы на объект недвижимости (земельный участок, на котором расположено здание, сооружение, объект незавершенного строительства)
9. Достоверность и полноту сведений, указанных в настоящей декларации, подтверждаю
10. Согласие на обработку его персональных данных (сбор, систематизацию, накопление, хранение, уточнение (обновление, изменение), использование, распространение (в том числе передачу), обезличивание, блокирование, уничтожение персональных данных, а также иные действия, необходимые для обработки его персональных данных в рамках предоставления органами регистрации прав в соответствии с законодательством Российской Федерации государственных услуг), в том числе в автоматизированном режиме, включая принятие решений на их основе органом регистрации прав, в целях предоставления государственной услуги, подтверждаю
11. Приложение
Дата

<1> Если правообладателями являются участники общей собственности, в декларации об объекте недвижимости (далее - Декларация) указываются сведения об одном из них. Сведения об остальных участниках общей собственности приводятся в приложении к Декларации в том же объеме, что и в Декларации. В этом случае в реквизите "6" указывается "список приведен в приложении на листах". В случае если Декларация оформляется в форме электронного документа, количество реквизитов "6" должно соответствовать количеству участников общей долевой собственности. Декларация подписывается всеми участниками общей собственности.

Приложение N 4
к приказу Минэкономразвития России
от 18.12.2015 N 953

ТРЕБОВАНИЯ К ПОДГОТОВКЕ ДЕКЛАРАЦИИ ОБ ОБЪЕКТЕ НЕДВИЖИМОСТИ И СОСТАВ СОДЕРЖАЩИХСЯ В НЕЙ СВЕДЕНИЙ

1. Настоящие Требования устанавливают правила оформления декларации об объекте недвижимости, а также определяют состав содержащихся в ней сведений (далее - Декларация).

2. Декларация составляется и заверяется правообладателем объекта недвижимости или его представителем (далее - лицо, заполнившее Декларацию) в отношении здания, сооружения, помещения или объекта незавершенного строительства (далее - объект недвижимости). В отношении единого недвижимого комплекса Декларация составляется и заверяется правообладателем зданий, сооружений, государственный кадастровый учет которых осуществлен в Едином государственном реестре недвижимости (ЕГРН) и права на которые зарегистрированы в ЕГРН.

При этом Декларация о созданных объектах недвижимости составляется и заверяется правообладателем земельного участка, на котором находятся здание, сооружение, объект незавершенного строительства. Декларация о бесхозяйных объектах недвижимости составляется и заверяется органом местного самоуправления (уполномоченным органом исполнительной власти городов федерального значения Москвы, Санкт-Петербурга, Севастополя), на территории которого находится такой объект недвижимости.

3. В соответствии с Федеральным законом от 13 июля 2015 г. N 218-ФЗ "О государственной регистрации недвижимости" (далее - Закон) <1> Декларация является неотъемлемой частью технического плана.

<1> Собрание законодательства Российской Федерации, 2015, N 29, ст. 4344.

4. Декларация заполняется в случае, если законодательством Российской Федерации в отношении соответствующего объекта недвижимости не предусмотрены подготовка и (или) выдача разрешения на ввод здания, сооружения в эксплуатацию, проектной документации здания, сооружения, объекта незавершенного строительства, разрешения на строительство объекта незавершенного строительства, технического паспорта помещения, изготовленного до 1 января 2013 г., или изготовленного до 1 января 2013 г. технического паспорта здания или сооружения, в котором расположено помещение, а также в случаях, установленных законодательством Российской Федерации, - проекта перепланировки и акта приемочной комиссии, подтверждающего завершение перепланировки помещения.

5. В состав Декларации включаются следующие реквизиты: "Вид, назначение и наименование объекта недвижимости", "Адрес (местоположение) объекта недвижимости", "Номер кадастрового квартала (кадастровых кварталов), в котором (которых) находится объект недвижимости", "Кадастровый номер", "Описание объекта недвижимости", "Правообладатель объекта недвижимости (земельного участка, на котором находится здание, сооружение, объект незавершенного строительства)", "Сведения о представителе правообладателя объекта недвижимости (земельного участка, на котором находится здание, сооружение, объект незавершенного строительства)", "Правоустанавливающие, правоудостоверяющие документы на объект недвижимости (земельный участок, на котором расположено здание, сооружение, объект незавершенного строительства)", "Достоверность и полноту сведений, указанных в настоящей декларации, подтверждаю", "Согласие на обработку его персональных данных (сбор, систематизацию, накопление, хранение, уточнение (обновление, изменение), использование, распространение (в том числе передачу), обезличивание, блокирование, уничтожение персональных данных, а также иные действия, необходимые для обработки его персональных данных в рамках предоставления органами регистрации прав в соответствии с законодательством Российской Федерации государственных услуг), в том числе в автоматизированном режиме, включая принятие решений на их основе органом регистрации прав, в целях предоставления государственной услуги", "Документ, подтверждающий полномочия представителя правообладателя", "Приложение".

6. Декларация может оформляться в форме электронного или бумажного документа. Все записи, за исключением установленных законодательством Российской Федерации случаев, производятся на русском языке. Числа записываются арабскими цифрами.

7. При оформлении Декларации в форме электронного документа Декларация подготавливается в виде XML-документа, созданного с использованием XML-схем, обеспечивающего считывание и контроль представленных данных, и заверяется усиленной квалифицированной электронной подписью лица, заполнившего Декларацию.

XML-схемы, используемые для формирования XML-документов, считаются введенными в действие по истечении двух месяцев со дня их размещения на официальном сайте федерального органа исполнительной власти, уполномоченного Правительством Российской Федерации на осуществление государственного кадастрового учета, государственной регистрации прав, ведение Единого государственного реестра недвижимости и предоставление сведений, содержащихся в Едином государственном реестре недвижимости (далее - уполномоченный орган), в информационно-телекоммуникационной сети "Интернет" (далее - официальный сайт).

При изменении нормативных правовых актов, устанавливающих форму и требования к подготовке Декларации, уполномоченный орган изменяет XML-схему, при этом обеспечивает на официальном сайте возможность публичного доступа к текущей актуальной версии и предыдущим (утратившим актуальность) версиям.

Средства усиленной квалифицированной электронной подписи лица, заполнившего Декларацию, должны быть сертифицированы в соответствии с законодательством Российской Федерации и совместимы со средствами квалифицированной электронной подписи, применяемыми уполномоченным органом, его территориальными органами, подведомственным ему государственным учреждением.

Информация о требованиях к совместимости, сертификату ключа подписи, обеспечению возможности подтверждения подлинности усиленной квалифицированной электронной подписи лица, заполнившего Декларацию, размещается на официальном сайте.

8. Декларация в форме бумажного документа должна быть прошита и скреплена подписью лица, заполнившего Декларацию. Подпись лица, которое вправе действовать от имени юридического лица без доверенности, подпись представителя соответствующего органа государственной власти или органа местного самоуправления заверяются оттиском печати соответствующего юридического лица или органа.

Подпись и расшифровка подписи лица, заполнившего Декларацию, проставляется на обороте последнего листа Декларации с указанием даты подготовки Декларации.

9. Оформление Декларации в форме бумажного документа может производиться с применением технических средств, а также ручным (от руки) или комбинированным способом. Внесение текстовых сведений ручным способом производится разборчиво тушью, чернилами или пастой синего цвета. Оформление Декларации карандашом, а также опечатки, подчистки, приписки, зачеркивания и иные исправления не допускаются. Декларация оформляется на листах формата A4.

10. Нумерация листов Декларации, подготовленной в форме бумажного документа, является сквозной в пределах документа.

Если сведения, относящиеся к какому-либо реквизиту, не умещаются на одном листе, допускается размещать их на нескольких листах либо на обороте соответствующего листа. В указанном случае на каждом листе либо на каждой странице воспроизводятся слова "Декларация об объекте недвижимости" и название соответствующего реквизита Декларации.

Незаполненные строки реквизитов Декларации не исключаются, в таких реквизитах проставляется знак "-" (прочерк).

11. В реквизите "Вид, назначение и наименование объекта недвижимости" в выбранных ячейках проставляется знак "V".

При этом указываются следующие сведения:

для здания - один из видов назначения здания (нежилое или жилое);

для помещения - один из видов назначения помещения (жилое или нежилое), для жилых помещений дополнительно указывается вид помещения (комната в квартире или квартира в многоквартирном доме). Дополнительно для нежилых помещений, предназначенных для обслуживания всех остальных помещений в здании, сооружении (далее - помещение вспомогательного использования), указываются слова "помещение вспомогательного использования", для нежилых помещений, относящихся к имуществу общего пользования в многоквартирном доме, указываются слова "общее имущество в многоквартирном доме";

для сооружения в строке "Назначение сооружения" - назначение с учетом следующих групп (подгрупп) видов назначений сооружений, которые применяются в целях оформления Декларации:

1) сооружения топливно-энергетического, металлургического, химического или нефтехимического производства, в том числе:

1.1. сооружения электроэнергетики;

1.2. сооружения топливной промышленности;

1.3. сооружения нефтеперерабатывающей промышленности;

1.4. сооружения нефтяных месторождений;

1.5. сооружения добывающей промышленности;

1.6. сооружения газохимического комплекса;

1.7. сооружения угольной и сланцевой добывающей промышленности;

1.8. сооружения черной металлургии;

1.9. сооружения горнорудных предприятий;

1.10. сооружения цветной металлургии;

1.11. сооружения для добычи цветных металлов;

1.12. сооружения для химических и нефтехимических производств;

1.13. сооружения химико-фармацевтического производства;

1.14. сооружения органического синтеза;

2) сооружения машиностроительного производства, в том числе:

2.1. сооружения авиастроения;

2.2. сооружения судостроительного производства;

2.3. сооружения судостроительной промышленности;

3) сооружения гидротехнические;

4) сооружения лесной промышленности;

5) сооружения мукомольно-крупяной и комбикормовой промышленности;

6) сооружения сельскохозяйственного производства, в том числе:

6.1. сооружения животноводства;

6.2. сооружения ирригационных и мелиоративных систем;

6.3. сооружения рыборазведенческие;

7) сооружения транспорта и связи, в том числе:

7.1. сооружения железнодорожного транспорта;

7.2. сооружения линий метрополитена;

7.3. сооружения водного транспорта;

7.4. сооружения дорожного транспорта;

7.5. сооружения городского электрического транспорта;

7.6. сооружения воздушного транспорта;

7.7. сооружения трубопроводного транспорта;

7.8. сооружения связи;

8) сооружения строительной индустрии;

9) иные сооружения производственного назначения;

10) сооружения коммунального хозяйства, в том числе:

10.1. сооружения водозаборные;

10.2. сооружения очистные водоснабжения;

10.3. сооружения канализации;

11) сооружения по охране окружающей среды и рациональному природопользованию, в том числе:

11.1. сооружения противоэрозионные гидротехнические и противоселевые;

11.2. сооружения противооползневые;

11.3. сооружения по охране атмосферного воздуха;

12) сооружения спортивно-оздоровительные;

13) сооружения культуры и отдыха;

14) сооружения исторические;

15) сооружения науки и образования;

16) сооружения обороны;

17) сооружения гражданской обороны (в том числе сооружения обеспечения защиты от чрезвычайных ситуаций).

Назначение сооружения указывается в соответствии с подгруппой видов назначения сооружений (например, "1.1. сооружение электроэнергетики", "7.8. сооружение связи").

При отсутствии подгруппы вида назначения сооружения, соответствующей фактическому назначению такого сооружения, сооружение может быть отнесено к группе видов назначения сооружений (например, "2) сооружение машиностроительного производства", "4) сооружение лесной промышленности").

При отсутствии вида назначения сооружения, соответствующего фактическому назначению сооружения, в строке "Назначение сооружения" указывается "иное сооружение". При этом в скобках указывается фактическое назначение сооружения.

В строке "Проектируемое назначение объекта незавершенного строительства" указывается проектируемое назначение здания, сооружения, строительство которых не завершено.

В строке "Назначение единого недвижимого комплекса" указывается назначение единого недвижимого комплекса.

В строке "Наименование объекта недвижимости" указывается наименование здания, сооружения, помещения, единого недвижимого комплекса (если оно имеется).

12. В реквизите "Адрес (местоположение) объекта недвижимости" указывается адрес объекта недвижимости в структурированном в соответствии с федеральной информационной адресной системой (ФИАС) виде на основании сведений, предоставленных оператором информационной адресной системы, осуществляющим ведение государственного адресного реестра.

В случае отсутствия в государственном адресном реестре адреса объекта недвижимости, присвоенного в порядке, установленном до вступления в силу постановления Правительства Российской Федерации от 19 ноября 2014 г. N 1221 "Об утверждении правил присвоения, изменения и аннулирования адресов" <1>, адрес объекта недвижимости вносится в Декларацию на основании акта органа государственной власти или органа местного самоуправления, уполномоченных на присвоение адресов объектам недвижимости.

<1> Собрание законодательства Российской Федерации, 2014, N 48, ст. 6861; 2015, N 18, ст. 2707; N 33, ст. 4853.

При отсутствии присвоенного в установленном порядке адреса объекта недвижимости в строке "Иное" указывается местоположение объекта недвижимости с указанием наименования субъекта Российской Федерации, муниципального образования, населенного пункта, улицы (проспекта, шоссе, переулка, бульвара), а также, при наличии, номера здания (сооружения), номера помещения.

13. В реквизите "Номер кадастрового квартала (кадастровых кварталов), в котором (которых) находится объект недвижимости" указывается учетный номер (номера) кадастрового квартала (кадастровых кварталов), в котором (которых) находится объект недвижимости, единый недвижимый комплекс.

14. В случае если Декларация заполняется в отношении здания, сооружения, объекта незавершенного строительства, единого недвижимого комплекса, в реквизите "Кадастровый номер" в отношении земельного участка (участков) указывается кадастровый номер земельного участка (земельных участков), в границах которого (которых) расположено такое здание, сооружение, объект незавершенного строительства, единый недвижимый комплекс (при наличии таких сведений).

В случае если здание, сооружение, объект незавершенного строительства, единый недвижимый комплекс расположены на нескольких земельных участках, на часть из которых сведения отсутствуют в ЕГРН, в строке "Кадастровый номер земельного участка (участков)" указываются через запятую кадастровые номера земельных участков, в реквизите "Номер кадастрового квартала (кадастровых кварталов), в котором (которых) находится объект недвижимости" указываются учетные номера кадастровых кварталов, в границах которых расположены здание, сооружение, объект незавершенного строительства, единый недвижимый комплекс.

В случае если Декларация заполняется в отношении здания или сооружения, в реквизите "Кадастровый номер" в отношении помещения (помещений) указывается кадастровый номер (кадастровые номера) помещения (помещений), расположенного в здании или сооружении (при наличии таких сведений).

В случае если Декларация заполняется в отношении помещения, в реквизите "Кадастровый номер" в отношении здания (сооружения) указывается кадастровый номер здания (сооружения), в пределах которого расположено помещение (при наличии таких сведений).

В случае если Декларация заполняется в отношении комнаты, в реквизите "Кадастровый номер" в отношении квартиры, в которой расположена комната, указывается кадастровый номер квартиры, в пределах которой расположена комната (при наличии таких сведений).

15. Строки "Описание здания, помещения" реквизита "Описание объекта недвижимости" включают следующие сведения:

1) площадь здания (помещения) с округлением до 0,1 кв. метра;

2) номер этажа, на котором расположено помещение, если объектом недвижимости является помещение;

3) количество этажей, в том числе подземных, если объектом недвижимости является здание;

4) год ввода в эксплуатацию или год завершения строительства, если объектом недвижимости является здание;

5) материал наружных стен, если объектом недвижимости является здание.

16. Строки "Описание сооружения" реквизита "Описание объекта недвижимости" включают следующие сведения:

1) количество этажей, в том числе подземных;

2) год ввода в эксплуатацию или год завершения строительства;

3) тип и значение основной характеристики, указываемые исходя из следующего:

для линейных сооружений (в том числе линейных подземных сооружений) - протяженность в метрах с округлением до 1 метра;

для подземных сооружений - глубина (глубина залегания) в метрах с округлением до 0,1 метра;

для площадных сооружений - площадь в квадратных метрах с округлением до 0,1 кв. метра;

для сооружений, предназначенных для хранения (например, нефтехранилищ, газохранилищ), - объем в кубических метрах с округлением до 1 куб. метра;

для высотных сооружений (например, вышек, матч) - высота в метрах с округлением до 0,1 метра;

для иных сооружений - площадь застройки в квадратных метрах с округлением до 0,1 кв. метра.

Если сооружение обладает несколькими типами характеристик, в Декларации указываются сведения обо всех таких характеристиках.

17. Строки "Описание объекта незавершенного строительства" реквизита "Описание объекта недвижимости" заполняются исходя из следующего:

1) если объект незавершенного строительства представляет собой здание, строительство которого не завершено, в строке "площадь (кв. м)" указывается значение площади здания, строительство которого не завершено, в квадратных метрах с округлением до 0,1 кв. метра;

2) если объект незавершенного строительства представляет собой сооружение, строительство которого не завершено, в выбранной строке указывается значение основной характеристики такого сооружения, исходя из следующего:

2.1. для линейных сооружений (в том числе линейных подземных сооружений) - протяженность в метрах с округлением до 1 метра;

2.2. для подземных сооружений - глубина (глубина залегания) в метрах с округлением до 0,1 метра;

2.3. для площадных сооружений - площадь в квадратных метрах с округлением до 0,1 кв. метра;

2.4. для сооружений, предназначенных для хранения (например, нефтехранилищ, газохранилищ), - объем в кубических метрах с округлением до 1 куб. метра;

2.5. для высотных сооружений (например, вышек, матч) - высота в метрах с округлением до 0,1 метра;

2.6. для иных сооружений - площадь застройки в квадратных метрах с округлением до 0,1 кв. метра;

Если объект незавершенного строительства является сооружением, строительство которого не завершено, и обладает несколькими типами основных характеристик, в Декларации указываются сведения обо всех таких основных характеристиках.

3) в строке "Степень готовности (%)" указывается степень готовности объекта незавершенного строительства, определенная по одному из следующих правил:

3.1. в соответствии со сметой на строительство по формуле:

,

где:

Степень - степень готовности объекта незавершенного строительства (%);

Объем выполненных работ - стоимость фактически выполненных работ (руб.);

Стоимость строительства - стоимость строительства в соответствии со сметой на строительство объекта (руб.);

3.2. в соответствии с готовностью конструктивных элементов объекта по формуле:

,

где:

Степень - степень готовности объекта незавершенного строительства (%);

i - номер конструктивного элемента по порядку;

n - общее количество конструктивных элементов в объекте;

- значение удельного веса i-ого конструктивного элемента в объекте (%);

- доля построенной части i-ого конструктивного элемента (%).

Для объектов незавершенного строительства, представляющих собой здания, строительство которых не завершено, для расчета степени готовности в соответствии с готовностью конструктивных элементов используется следующий перечень конструктивных элементов: фундамент, стены и перегородки, перекрытия, крыша, полы, окна и двери, оборудование, прочие работы.

18. В строке "Описание единого недвижимого комплекса" реквизита "Описание объекта недвижимости" указываются кадастровые номера зданий, сооружений, входящих в состав единого недвижимого комплекса.

19. В реквизите "Правообладатель объекта недвижимости (земельного участка, на котором расположено здание, сооружение, объект незавершенного строительства)" указываются следующие сведения:

в отношении физического лица - фамилия, имя, отчество (отчество указывается при наличии), страховой номер индивидуального лицевого счета (при его отсутствии - наименование и реквизиты документа, удостоверяющего личность, адрес постоянного места жительства или преимущественного пребывания в соответствии с федеральной информационной адресной системой);

в отношении юридического лица (в том числе органа государственной власти или органа местного самоуправления, выступающего от имени правообладателя - публичного образования) - полное наименование, идентификационный номер налогоплательщика, основной государственный регистрационный номер, дата государственной регистрации, адрес (место нахождения) постоянно действующего исполнительного органа (в случае отсутствия постоянного действующего исполнительного органа - иного органа или лица, имеющих право действовать от имени юридического лица без доверенности), адрес электронной почты;

в отношении иностранного юридического лица - полное наименование, страна регистрации (инкорпорации), регистрационный номер, дата регистрации, адрес (место нахождения) в стране регистрации (инкорпорации), адрес электронной почты, а также при наличии идентификационный номер налогоплательщика, основной государственный регистрационный номер;

в отношении Российской Федерации в соответствующей ячейке проставляется знак "V";

в отношении субъекта Российской Федерации, муниципального образования, иностранного государства в соответствующей ячейке проставляется знак "V", а в соответствующей строке указывается полное наименование субъекта Российской Федерации, муниципального образования (согласно уставу муниципального образования) или иностранного государства.

20. В случае если Декларация оформляется представителем правообладателя объекта недвижимости, в том числе лицом, имеющим право действовать без доверенности от имени соответствующего юридического лица, органа государственной власти, органа местного самоуправления, в реквизите "Сведения о представителе правообладателя объекта недвижимости (земельного участка, на котором находится здание, сооружение, объект незавершенного строительства)" указываются следующие сведения:

о физическом лице, непосредственно заполнившем и подписавшем Декларацию, - реквизиты документа, подтверждающего полномочия действовать от имени представляемого физического или юридического лица, фамилия, имя, отчество (отчество указывается при наличии), страховой номер индивидуального лицевого счета (при его отсутствии - наименование и реквизиты документа, удостоверяющего личность, адрес постоянного места жительства или преимущественного пребывания в соответствии с ФИАС. Если данное физическое лицо действует от имени органа государственной власти Российской Федерации, органа государственной власти субъекта Российской Федерации или органа местного самоуправления и является при этом руководителем или иным работником такого органа, указываются - реквизиты документа, подтверждающего полномочия действовать от имени данного органа, фамилия, имя, отчество (отчество указывается при наличии);

в отношении представляемого российского юридического лица (в том числе органа государственной власти или органа местного самоуправления) - полное наименование, идентификационный номер налогоплательщика, основной государственный регистрационный номер, дата государственной регистрации, адрес (место нахождения) постоянно действующего исполнительного органа (в случае отсутствия постоянного действующего исполнительного органа - иного органа или лица, имеющих право действовать от имени юридического лица без доверенности), адрес электронной почты;

в отношении представляемого иностранного юридического лица - полное наименование, страна регистрации (инкорпорации), регистрационный номер, дата регистрации, адрес (место нахождения) в стране регистрации (инкорпорации), адрес электронной почты, а также при наличии идентификационный номер налогоплательщика, основной государственный регистрационный номер.

21. В реквизите "Правоустанавливающие, правоудостоверяющие документы на объект недвижимости (земельный участок, на котором расположено здание, сооружение, объект незавершенного строительства)" указываются наименования, номера, даты документов, устанавливающих и (или) удостоверяющих право на объект недвижимости.

В случае заполнения Декларации лицами, право которых на земельный участок, здание, сооружение, объект незавершенного строительства считается возникшим в силу федерального закона вне зависимости от момента государственной регистрации этого права в ЕГРН, указываются реквизиты документа (документов), являющегося (являющихся) основанием возникновения права на соответствующий объект недвижимости или норма федерального закона, в соответствии с которой возникает право собственности на объект недвижимости вне зависимости от момента государственной регистрации этого права в ЕГРН.

22. В случае если Декларация заполняется в отношении созданного объекта недвижимости, реквизиты "Правообладатель объекта недвижимости (земельного участка, на котором находится здание, сооружение, объект незавершенного строительства)" и "Правоустанавливающие, правоудостоверяющие документы на объект недвижимости (земельный участок, на котором находится здание, сооружение, объект незавершенного строительства)" заполняются в отношении лица, обладающего соответствующим земельным участком на праве собственности, пожизненного наследуемого владения, постоянного (бессрочного) пользования, аренды земельного участка (далее - правообладатель земельного участка), реквизит "Сведения о представителе правообладателя объекта недвижимости (земельного участка, на котором находится здание, сооружение, объект незавершенного строительства, единый недвижимый комплекс)" - в отношении представителя правообладателя земельного участка.

23. В случае если Декларация заполняется в отношении бесхозяйного объекта недвижимости, реквизиты "Правообладатель объекта недвижимости (земельного участка, на котором находится здание, сооружение, объект незавершенного строительства)" и "Правоустанавливающие, правоудостоверяющие документы на объект недвижимости (земельный участок, на котором находится здание, сооружение, объект незавершенного строительства)" заполняются в отношении органа местного самоуправления (органа исполнительной власти городов федерального значения - Москвы, Санкт-Петербурга, Севастополя), на территории которого находится такой объект недвижимости, реквизит "Сведения о представителе правообладателя объекта недвижимости (земельного участка, на котором находится здание, сооружение, объект незавершенного строительства, единый недвижимый комплекс единый недвижимый комплекс)" - в отношении представителя такого органа.

В указанном случае в реквизите "Правоустанавливающие, правоудостоверяющие документы на объект недвижимости (земельный участок, на котором находится здание, сооружение, объект незавершенного строительства)" указываются сведения о том, что объект является бесхозяйным и реквизиты документов, подтверждающих, что объект недвижимого имущества не имеет собственника или его собственник неизвестен, или от права собственности на него собственник отказался (при их наличии).

24. Копии правоустанавливающих, правоудостоверяющих документов на объект недвижимости (земельный участок, на котором находится объект недвижимости), а также копии документов, подтверждающих полномочия представителя правообладателя, включаются в состав приложения к Декларации.