Приказ ФАС РФ от 25.02.2016 N 187/16

"Об утверждении Административного регламента Федеральной антимонопольной службы по исполнению государственной функции по осуществлению государственного контроля за экономической концентрацией в области использования водных объектов"
Редакция от 25.02.2016 — Документ утратил силу, см. «Приказ ФАС РФ от 12.11.2021 N 1260/21»

Зарегистрировано в Минюсте России 24 марта 2016 г. N 41540


ФЕДЕРАЛЬНАЯ АНТИМОНОПОЛЬНАЯ СЛУЖБА

ПРИКАЗ
от 25 февраля 2016 г. N 187/16

ОБ УТВЕРЖДЕНИИ АДМИНИСТРАТИВНОГО РЕГЛАМЕНТА ФЕДЕРАЛЬНОЙ АНТИМОНОПОЛЬНОЙ СЛУЖБЫ ПО ИСПОЛНЕНИЮ ГОСУДАРСТВЕННОЙ ФУНКЦИИ ПО ОСУЩЕСТВЛЕНИЮ ГОСУДАРСТВЕННОГО КОНТРОЛЯ ЗА ЭКОНОМИЧЕСКОЙ КОНЦЕНТРАЦИЕЙ В ОБЛАСТИ ИСПОЛЬЗОВАНИЯ ВОДНЫХ ОБЪЕКТОВ

В целях реализации пункта 4 статьи 22 Федерального закона от 26 июля 2006 г. N 135-ФЗ "О защите конкуренции" (Собрание законодательства Российской Федерации, 2006, N 31 (ч. I), ст. 3434; 2007, N 49, ст. 6079; 2008, N 18, ст. 1941; N 27, ст. 3126; N 45, ст. 5141; 2009, N 29, ст. 3601; N 29, ст. 3610; N 52 (ч. I), ст. 6450; N 52 (ч. I), ст. 6455; 2010, N 15, ст. 1736; N 19, ст. 2291; N 49, ст. 6409; 2011, N 10, ст. 1281; N 27, ст. 3873; N 27, ст. 3880; N 29, ст. 4291; N 48, ст. 6728; N 30 (ч. I), ст. 4590; N 50, ст. 7343; 2012, N 31, ст. 4334; N 53 (ч. I), ст. 7643; 2013, N 27, ст. 3436; N 27, ст. 3477; N30 (ч. I), ст. 4084; N 44, ст. 5633; N 51, ст. 6695; N 52 (ч. I), ст. 6961; N 52 (ч. I), ст. 6988; 2014, N 23, ст. 2928; N 30 (ч. I), ст. 4266; 2015, N 27, ст. 3947; N 29 (ч. I), ст. 4339; N 29 (ч. I), ст. 4342, ст. 4350, ст. 4376; N 41 (ч.1), ст. 5629) и в соответствии с постановлением Правительства Российской Федерации от 08 апреля 2009 г. N 314 "Об утверждении Правил осуществления государственного контроля за экономической концентрацией в области использования водных объектов" (Собрание законодательства Российской Федерации, 2009, N 15, ст. 1843) и постановлением Правительства Российской Федерации от 16 мая 2011 г. N 373 "О разработке и утверждении административных регламентов исполнения государственных функций и административных регламентов предоставления государственных услуг" (Собрание законодательства Российской Федерации, 2011, N 22, ст. 3169; N 35, ст. 5092; 2012, N 28, ст. 3908; N 36, ст. 4903; N 50, ст. 7070; N 52, ст. 7507; 2014, N 5, ст. 506) приказываю:

1. Утвердить прилагаемый административный регламент Федеральной антимонопольной службы по исполнению государственной функции по осуществлению государственного контроля за экономической концентрацией в области использования водных объектов.

2. Контроль исполнения настоящего приказа оставляю за собой.

Руководитель
И.Ю. АРТЕМЬЕВ

УТВЕРЖДЕН
Приказом ФАС России
от 25.02.2016 N 187/16

АДМИНИСТРАТИВНЫЙ РЕГЛАМЕНТ ФЕДЕРАЛЬНОЙ АНТИМОНОПОЛЬНОЙ СЛУЖБЫ ПО ИСПОЛНЕНИЮ ГОСУДАРСТВЕННОЙ ФУНКЦИИ ПО ОСУЩЕСТВЛЕНИЮ ГОСУДАРСТВЕННОГО КОНТРОЛЯ ЗА ЭКОНОМИЧЕСКОЙ КОНЦЕНТРАЦИЕЙ В ОБЛАСТИ ИСПОЛЬЗОВАНИЯ ВОДНЫХ ОБЪЕКТОВ

I. Общие положения

Наименование государственной функции

1.1. Государственная функция по осуществлению государственного контроля за экономической концентрацией в области использования водных объектов (далее - государственная функция).

Наименование федерального органа исполнительной власти, исполняющего государственную функцию

1.2. Исполнение государственной функции осуществляется Федеральной антимонопольной службой (далее - ФАС России) и ее территориальными органами (далее вместе - антимонопольный орган).

Перечень нормативных правовых актов, регулирующих исполнение государственной функции

1.3. Антимонопольный орган исполняет государственную функцию в соответствии с:

Водным кодексом Российской Федерации (Собрание законодательства Российской Федерации, 2006, N 23, ст. 2381; N 50, ст. 5279; 2007, N 26, ст. 3075; 2008, N 29, ст. 3418; 2009, N 30, ст. 3735; N 52, ст. 6441; 2011, N 1, ст. 32; N 30, ст. 4590, 4594, 4596, 4605; N 50, ст. 7359; N 29, ст. 4281; N 48, ст. 6732; 2012, N 26, ст. 3446; 2013, N 19, ст. 2314; N 27, ст. 3440; N 43, ст. 5452; 2014, N 26, ст. 3387; N 42, ст. 5615; N 43, ст. 5799; 2015, N 1 (ч. I), ст. 11, ст. 12, ст. 52; N 29 (ч. I), ст. 4347, 4359,4370; N 48 (ч. I), ст. 6723);

Федеральным законом от 26.07.2006 N 135-ФЗ "О защите конкуренции" (далее - Закон о защите конкуренции) (Собрание законодательства Российской Федерации, 2006, N 31 (ч. I), ст. 3434; 2007, N 49, ст. 6079; 2008, N 18, ст. 1941; N 27, ст. 3126; N 45, ст. 5141; 2009, N 29, ст. 3601; N 29, ст. 3610; N 52 (ч. I), ст. 6450; N 52 (ч. I), ст. 6455; 2010, N 15, ст. 1736; N 19, ст. 2291; N 49, ст. 6409; 2011, N 10, ст. 1281; N 27, ст. 3873; N 27, ст. 3880; N 29, ст. 4291; N 48, ст. 6728; N 30 (ч. I), ст. 4590; N 50, ст. 7343; 2012, N 31, ст. 4334; N 53 (ч. I), ст. 7643; 2013, N 27, ст. 3436; N 27, ст. 3477; N 30 (ч. I), ст. 4084; N 44, ст. 5633; N 51, ст. 6695; N 52 (ч. I), ст. 6961; N 52 (ч. I), ст. 6988; 2014, N 23, ст. 2928; N 30 (ч. I), ст. 4266; 2015, N 27, ст. 3947; N 29 (ч. I), ст. 4339; N 29 (ч. I), ст. 4342, ст. 4350, ст. 4376; N 41 (ч. I), ст. 5629);

Федеральным законом от 26.12.2008 N 294-ФЗ "О защите прав юридических лиц и индивидуальных предпринимателей при осуществлении государственного контроля (надзора) и муниципального контроля" (Собрание законодательства Российской Федерации, 2008, N 52 (ч. I), ст. 6249; 2009, N 18, ст. 2140; N 29, ст. 3601; 2009, N 48, ст. 5711; 2009, N 52, ст. 6441; 2010, N 17, ст. 1988; N 31, ст. 4160; ст. 4193, ст. 4196; N 32, ст. 4298; N 18, ст. 2142; 2011, N 7, ст. 905; N 30, ст. 4590; N 48, ст. 6728; N 23, ст. 3263; N 17, ст. 2310; N 1, ст. 20; 2012, N 19, ст. 2281; N 26, ст. 3446; N 31, ст. 4320, ст. 4322; N 47, ст. 6402; 2013, N 49 (ч. I) ст. 6338; N 52, ст. 6961, ст. 6979, ст. 6981; N 30, ст. 4041; N 27, ст. 3477; N 9, ст. 874; 2014, N 11, ст. 1092; ст. 1098; N 26, ст. 3366; N 30, ст. 4220, ст. 4235, ст. 4243; N 42, ст. 5615; N 48, ст. 6659; 2015, N 1, ст. 53, ст. 64, ст. 72, ст. 85; N 18, ст. 2614; N 27, ст. 3950; N 29 (ч. I), ст. 4339, ст. 4362, ст. 4372; N 48 (ч. I), ст. 6707);

Федеральным законом от 02.05.2006 N 59-ФЗ "О порядке рассмотрения обращений граждан Российской Федерации" (Собрание законодательства Российской Федерации, 2006, N 19, ст. 2060; 2010, N 27, ст. 3410; N 31, ст. 4196; 2013, N 19, ст. 2307; N 27, ст. 3474; 2014, N 48, ст. 6638; N 45, ст. 6206);

Постановлением Правительства Российской Федерации от 30.06.2004 N 331 "Об утверждении Положения о Федеральной антимонопольной службе" (Собрание законодательства Российской Федерации, 2004, N 31, ст. 3259; 2006, N 45, ст. 4706; N 49 (ч. II), ст. 5223; 2007, N 7, ст. 903; N 13, ст. 1316; N 44, ст. 5089; N 46, ст. 5337; 2009, N 3, ст. 378; N 2, ст. 248; N 39, ст. 4613; 2010, N 9, ст. 960; N 25, ст. 3181; N 26, ст. 3350; 2011, N 14, ст. 1935; N 18, ст. 2645; N 44, ст. 6269; 2012, N 27, ст. 3741, N 39, ст. 5283, N 52, ст. 7518; 2013, N 35, ст. 4514; N 36, ст. 4578; N 45, ст. 5822; 2014, N 35, ст. 4774; 2015, N 1 (ч. II), ст. 279, ст. 1543; N 37, ст. 5153; N 44, ст. 6133; N 49, ст. 6994; N 1 (ч. II), ст. 239);

Постановлением Правительства Российской Федерации от 07.04.2004 N 189 "Вопросы Федеральной антимонопольной службы" (Собрание законодательства Российской Федерации, 2004, N 15, ст. 1482; N 31, ст. 3259; 2006, N 23, ст. 2527; 2007, N 1 (ч. II), ст. 292; 2008, N 14, ст. 1414; N 44, ст. 5089; 2009, N 6, ст. 738, N 39, ст. 4613; 2011, N 6, ст. 888; 2012, N 36, ст. 4909; 2015, N 1 (ч. II), ст. 279; N 37, ст. 5150, ст. 5153; N 44, ст. 6133);

Постановлением Правительства Российской Федерации от 16.05.2011 N 373 "О разработке и утверждении административных регламентов исполнения государственных функций и административных регламентов предоставления государственных услуг" (Собрание законодательства Российской Федерации, 2011, N 22, ст. 3169; N 35, ст. 5092; 2012, N 28, ст. 3908; N 36, ст. 4903; N 50, ст. 7070; N 52, ст. 7507; 2014, N 5, ст. 506);

Постановлением Правительства Российской Федерации от 08.04.2009 N 314 "Об утверждении Правил осуществления государственного контроля за экономической концентрацией в области использования водных объектов" (Собрание законодательства Российской Федерации, 2009, N 15, ст. 1843);

Постановлением Правительства Российской Федерации от 09.06.2007 N 359 "Об утверждении условий признания доминирующим положения финансовой организации (за исключением кредитной организации) и правил установления доминирующего положения финансовой организации (за исключением кредитной организации)" (Собрание законодательства Российской Федерации, 2007, N 24, ст. 2926; 2013, N 23, ст. 2921; N 36, ст. 4578);

Приказом ФАС России от 25.05.2012 N 345 "Об утверждении административного регламента Федеральной антимонопольной службы по исполнению государственной функции по установлению доминирующего положения хозяйствующего субъекта при рассмотрении заявлений, материалов, дел о нарушении антимонопольного законодательства и при осуществлении государственного контроля за экономической концентрацией" (зарегистрирован в Минюсте России 09.08.2012 N 25157) <*>;

<*> Приказ ФАС России от 24.12.2015 N 1313 "О внесении изменений в Административный регламент Федеральной антимонопольной службы по исполнению государственной функции по установлению доминирующего положения хозяйствующего субъекта при рассмотрении заявлений, материалов, дел о нарушении антимонопольного законодательства и при осуществлении государственного контроля за экономической концентрацией, утвержденный приказом ФАС России от 25.05.2012 N 345" (Зарегистрировано в Минюсте России 15.02.2016 N 41099).

ПриказомФАС России от 24.08.2012 N 544 "Об утверждении порядка пересмотра предписания, выданного в случаях, установленных статьей 33 Федерального закона от 26.07.2006 N 135-ФЗ "О защите конкуренции" (зарегистрирован в Минюсте России 26.02.2013 N 27316);

ПриказомФАС России от 28.04.2010 N 220 "Об утверждении Порядка проведения анализа состояния конкуренции на товарном рынке" (зарегистрирован в Минюсте России 02.08.2010 N 18026), с изменениями, внесенными приказами ФАС России от 03.02.2012 N 65 (зарегистрирован в Минюсте России 21.03.2012 N 23545); от 12.03.2013 N 143/13 (зарегистрирован в Минюсте России 29.05.2013 N 28571); от 30.01.2015 N 33/15 (зарегистрирован в Минюсте России 27.02.2015 N 36267); от 23.11.2015 N 1132/15 (зарегистрирован в Минюсте России 07.12.2015 N 39985);

Приказом ФАС России от 23.07.2015 N 649/15 "Об утверждении Положения о территориальном органе Федеральной антимонопольной службы" (зарегистрирован в Минюсте России 24.08.2015 N 38653);

Приказом ФАС России от 20.11.2006 N 293 "Об утверждении формы предоставления перечня лиц, входящих в одну группу лиц" (далее - Приказ ФАС России N 293) (зарегистрирован в Минюсте России 04.12.2006 N 8552), с изменениями, внесенными приказами ФАС России от 12.12.2007 N 424 (зарегистрирован в Минюсте России 29.12.2007 N 10854), от 24.11.2008 N 497 (зарегистрирован в Минюсте России 28.01.2009 N 13187), от 09.03.2010 N 114 (зарегистрирован в Минюсте России 04.05.2010 N 17098), от 26.12.2011 N 897 (зарегистрирован в Минюсте России 09.04.2012 N 23763), от 29.11.2012 N 724/12 (зарегистрирован в Минюсте России 06.02.2013 N 26867); от 03.04.2014 N 228/14 (зарегистрирован в Минюсте России 29.04.2014 N 32137); от 23.11.2015 N 1132/15 (зарегистрирован в Минюсте России 07.12.2015 N 39985);

Приказом ФАС России от 04.08.2011 N 569 "Об утверждении Положения о порядке подготовки и проведения проверок деятельности территориальных органов ФАС России" (далее - Приказ ФАС России N 569) (зарегистрирован в Минюсте России 01.11.2011 N 22183), с изменениями, внесенными приказом ФАС России от 29.01.2015 N 31/15 (зарегистрирован в Минюсте России 27.02.2015 N 36309).

Предмет государственного контроля

1.4. Предметом государственного контроля является соблюдение требований антимонопольного законодательства Российской Федерации при совершении лицом (группой лиц) сделок, иных действий, в результате которых оно (они) получает право пользования водными объектами (частью или частями таких водных объектов), находящимися в федеральной собственности, собственности субъектов Российской Федерации, собственности муниципальных образований.

Положения Административного регламента Федеральной антимонопольной службы по исполнению государственной функции по осуществлению государственного контроля за экономической концентрацией в области использования водных объектов (далее - Регламент) не распространяются на случаи осуществления государственного контроля за экономической концентрацией, предусмотренные главой 7 Закона о защите конкуренции.

Права и обязанности должностных лиц при осуществлении государственного контроля

1.5. Права должностных лиц при осуществлении государственного контроля:

- получать по мотивированному требованию в установленный срок от коммерческих и некоммерческих организаций, их должностных лиц, федеральных органов исполнительной власти, их должностных лиц, органов государственной власти субъектов Российской Федерации, их должностных лиц, органов местного самоуправления, их должностных лиц, а также государственных внебюджетных фондов, их должностных лиц, физических лиц, в том числе индивидуальных предпринимателей, с соблюдением требований законодательства Российской Федерации о государственной или иной охраняемой законодательством Российской Федерации тайне, документы и сведения необходимые для осуществления антимонопольным органом государственной функции (далее - документы и сведения).

1.6. Обязанности должностных лиц при осуществлении государственного контроля:

- не разглашать информацию, составляющую государственную, или иную охраняемую законодательством Российской Федерации тайну, полученную антимонопольным органом, за исключением случаев, установленных законодательством Российской Федерации;

- исполнять государственную функцию в соответствии с настоящим Регламентом, Закономо защите конкуренции, и иными нормативными правовыми актами, регулирующими отношения, возникающие в связи с исполнением государственной функции.

Права и обязанности лиц, в отношении которых осуществляются мероприятия по контролю

1.7. Права лиц, в отношении которых осуществляются мероприятия по контролю:

- получать полную, актуальную и достоверную информацию о порядке исполнения государственной функции;

- осуществлять свои права и обязанности самостоятельно или через представителя;

- направлять жалобы в антимонопольный орган;

- обратиться в установленном порядке в суд с исками о восстановлении нарушенных прав, возмещении убытков, включая упущенную выгоду, возмещении вреда, причиненного имуществу.

1.8. Обязанности лиц, в отношении которых осуществляются мероприятия по контролю:

- представлять в антимонопольный орган (его должностным лицам) в установленный срок необходимые антимонопольному органу в соответствии с возложенными на него полномочиями уведомления, документы и сведения необходимые для осуществления антимонопольным органом государственной функции.

Результат исполнения государственной функции

1.9. Результатом исполнения государственной функции являются принимаемые и выдаваемые антимонопольным органом решения согласно пункту 3.37 настоящего Регламента.

II. Требования к порядку исполнения государственной функции

Порядок информирования об исполнении государственной функции

2.1. Сведения о ФАС России:

место нахождения - Садовая-Кудринская ул., д. 11, г. Москва, Д-242, ГСП-3, 125993.

2.2. График работы ФАС России:

День недели Часы работы
Понедельник - четверг 09.00 - 18.00
Пятница 09.00 - 16.45
Суббота, воскресенье Выходной день

Справочные телефоны ФАС России

2.3. Общественная приемная - (499) 755-23-23.

2.4. Группа входящей корреспонденции - (499) 755-23-23, доб. 088.

2.5. Группа исходящей корреспонденции - (499) 755-23-23, доб. 088.

2.6. Факс - (499) 755-23-24; (499) 755-23-23 (тон. N 3).

Адрес официального сайта и электронной почты ФАС России

2.7. Официальный сайт ФАС России в информационно-телекоммуникационный сети "Интернет" - www.fas.gov.ru (далее - официальный сайт ФАС России).

2.8. Адрес электронной почты в информационно-телекоммуникационный сети "Интернет" - delo@fas.gov.ru (далее - адрес электронной почты).

2.9. Сведения о месте нахождения, справочных телефонах, адресах официального сайта и электронной почты территориальных органов ФАС России содержатся в Приложении N 1 к настоящему Регламенту, а также на официальном сайте ФАС России.

Порядок получения информации заинтересованными лицами по вопросам исполнения государственной функции и сведений о ходе исполнения функции

2.10. Информация по вопросам порядка исполнения государственной функции, сведения о результатах исполнения государственной функции предоставляется сотрудниками антимонопольного органа по телефону, на личном приеме, а также размещаются на официальном сайте антимонопольного органа в информационно-телекоммуникационной сети "Интернет" (далее - официальный сайт антимонопольного органа), в Федеральной государственной информационной системе "Единый портал государственных и муниципальных услуг (функций)" www.gosuslugi.ru.

2.11. По телефону, на личном приеме сотрудники антимонопольного органа предоставляют информацию по следующим вопросам:

- о входящем номере, под которым зарегистрировано заявление, материалы в системе делопроизводства;

- о нормативных правовых актах, на основании которых антимонопольный орган исполняет государственную функцию;

- о требованиях к заверению документов и сведений;

- о месте размещения на официальном сайте антимонопольного органа, портале государственных и муниципальных услуг (функций) справочных материалов по вопросам исполнения государственной функции.

2.12. С момента подачи уведомления Заявитель имеет право на получение сведений о результатах исполнения государственной функции по телефону, на личном приеме, а также с использованием информационно-технологической и коммуникационной инфраструктуры, в том числе портала государственных и муниципальных услуг (функций).

Порядок, форма и место размещения информации по вопросам исполнения государственной функции

2.13. Информация о процедуре исполнения антимонопольным органом государственной функции размещается:

- на официальном сайте антимонопольного органа;

- на портале государственных и муниципальных услуг (функций);

- на информационных стендах антимонопольного органа и (или) в раздаточных информационных материалах (брошюрах, буклетах).

2.14. На официальном сайте антимонопольного органа размещается следующая информация:

- наименование и почтовый адрес антимонопольного органа;

- номера телефонов, по которым можно получить необходимую информацию;

- график работы антимонопольного органа;

- перечень документов, необходимых для исполнения государственной функции;

- текст настоящего Регламента с приложениями.

2.15. На информационном стенде, размещаемом в помещении Общественной приемной ФАС России, должна содержаться следующая информация:

- почтовый адрес ФАС России, график работы, номера телефонов, по которым можно получить необходимую информацию, адреса официального сайта и электронной почты ФАС России, адрес портала государственных и муниципальных услуг (функций);

- порядок получения информации по процедуре исполнения государственной функции;

- обязанности сотрудников антимонопольного органа при ответе на телефонные звонки, устные и письменные обращения.

Сведения о размере платы за услуги организаций, участвующих в исполнении государственной функции, взимаемой с лица, в отношении которого проводятся мероприятия по контролю

2.16. Плата за услуги организаций, участвующих в исполнении государственной функции, с лица, в отношении которого проводятся мероприятия по контролю, не взимается.

Срок исполнения государственной функции

2.17. Срок исполнения государственной функции составляет 30 дней с момента регистрации в ФАС России уведомления и документов, указанных в пункте 3.10 настоящего Регламента.

2.18. Срок исполнения государственной функции может быть продлен в соответствии с пунктом 3.39 настоящего Регламента.

2.19. Общий срок исполнения государственной функции при условии его продления по основаниям, предусмотренным подпунктом "б" пункта 3.37 настоящего Регламента не может превышать 3 месяцев и исчисляется со дня представления в антимонопольный орган уведомления с приложением к нему документов и сведений, указанных в пункте 3.10 настоящего Регламента.

III. Состав, последовательность и сроки выполнения административных процедур (действий), требования к порядку их выполнения, в том числе особенности выполнения административных процедур (действий) в электронной форме

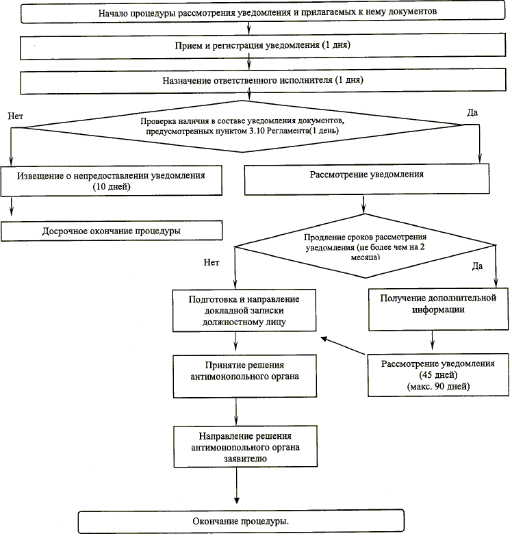
3.1. Исполнение антимонопольным органом государственной функции включает в себя следующие административные процедуры (блок-схема административных процедур приведена в Приложении N 2 к Регламенту):

3.1.1. представление уведомления в антимонопольный орган;

3.1.2. рассмотрение уведомления в антимонопольном органе;

3.1.3. получение заинтересованными лицами результата исполнения государственной функции.

Представление уведомления в антимонопольный орган

3.2. Уведомления представляются Заявителями, согласно правилам, установленным в пунктах 3.3 - 3.7 настоящего Регламента.

3.3. Антимонопольный орган должен быть уведомлен:

а) лицом (группой лиц) о предоставлении ему (им) в установленном порядке в пользование части акватории водного объекта, если такое лицо (группа лиц) получает право пользования более чем 100 тыс. кв. метров акватории водного объекта, при условии, что до этого получения такое лицо (группа лиц) не имело права пользования частью акватории водного объекта или имело право пользования менее чем 100 тыс. кв. метров акватории этого водного объекта;

б) лицом (группой лиц), которому (которым) предоставлено в пользование не менее чем 100 тыс. кв. метров акватории водного объекта, о получении в пользование части акватории водного объекта, если площадь акватории водного объекта, являющегося предметом сделки или взаимосвязанных сделок, иных действий, превышает 100 тыс. кв. метров акватории этого водного объекта;

в) лицом (группой лиц), распоряжающимся менее чем 50 процентами голосующих акций акционерного общества, о приобретении голосующих акций этого акционерного общества, если в результате такого приобретения это лицо (группа лиц) получает право распоряжаться более чем 50 процентами таких голосующих акций акционерного общества, владеющего правом пользования частью акватории водного объекта, площадь которого превышает размер, предусмотренный подпунктами "а" и "б" настоящего пункта;

г) лицом (группой лиц), распоряжающимся менее чем 50 процентами долей в уставном капитале общества с ограниченной ответственностью, о приобретении долей в уставном капитале этого общества с ограниченной ответственностью, если в результате такого приобретения это лицо (группа лиц) получает право распоряжаться более чем 50 процентами указанных долей общества с ограниченной ответственностью, владеющего правом пользования частью акватории водного объекта, площадь которого превышает размер, предусмотренный подпунктами "а" и "б" настоящего пункта;

д) лицом (группой лиц) о приобретении им (ими) в результате одной или нескольких сделок (в том числе на основании договора доверительного управления имуществом, договора о совместной деятельности или договора поручения) прав, позволяющих определять условия осуществления лицом предпринимательской деятельности или осуществлять функции его исполнительного органа, если в результате такого приобретения это лицо (группа лиц) получает право контролировать лицо, владеющее правом пользования частью акватории водного объекта, площадь которого превышает размер, предусмотренный подпунктами "а" и "б" настоящего пункта;

е) лицом (группой лиц) о слиянии или присоединении лиц, если в результате такого слияния или присоединения вновь созданное или реорганизованное лицо (группа лиц) получит право пользования частью акватории водного объекта, площадь которого превышает размер, предусмотренный подпунктами "а" и "б" настоящего пункта.

3.4. При осуществлении указанных в пункте 3.3 настоящего Регламента сделок, а также иных действий лицом (группой лиц), в результате которых оно (они) получает право пользования водными объектами (частью или частями таких водных объектов), находящимися в федеральной собственности, уведомление представляется в ФАС России - не позднее чем через сорок пять дней после даты осуществления таких сделок.

3.5. При осуществлении лицом (группой лиц) сделок, указанных в пункте 3.3 настоящего Регламента, а также иных действий, в результате которых оно (они) получает право пользования водными объектами (частью или частями таких водных объектов), за исключением водных объектов (частей водных объектов), указанных в пункте 3.4 настоящего Регламента, уведомление представляется в территориальный орган ФАС России (далее - территориальный орган) по месту нахождения таких водных объектов - не позднее чем через сорок пять дней после даты осуществления таких сделок.

3.6. Антимонопольный орган, получивший уведомление с нарушением срока его представления, в семидневный срок со дня получения уведомления направляет такое уведомление с приложенными к нему документами и сведениями в другой антимонопольный орган, с учетом положений 3.4 и 3.5 настоящего Регламента, уведомив об этом заявителя.

3.7. ФАС России в семидневный срок со дня получения уведомления передает уведомление для рассмотрения в соответствующий территориальный орган с учетом положений пункта 3.5 настоящего Регламента, уведомив об этом заявителя.

3.8. ФАС России может запросить у территориального органа уведомление для самостоятельного рассмотрения.

ФАС России может передать на рассмотрение в территориальный орган уведомление, которое с учетом пункта 3.4 настоящего Регламента подлежит рассмотрению в ФАС России, уведомив об этом заявителя.

Территориальный орган в семидневный срок со дня получения запроса ФАС России о передаче ему уведомления, которое с учетом положений пункта 3.5 настоящего Регламента подлежит рассмотрению в территориальном органе, обязан передать соответствующее уведомление с приложенными к нему документами для рассмотрения в ФАС России, уведомив об этом заявителя.

Решение ФАС России о передаче уведомления, которое в соответствии с пунктом 3.4 настоящего Регламента подлежит рассмотрению ФАС России, принимается в семидневный срок с момента получения уведомления, и в течение указанного срока должно быть направлено в территориальный орган вместе с приложенными к уведомлению документами и сведениями.

3.9. Уведомление оформляется в произвольной форме и подписывается заявителем, или иным лицом, уполномоченным заявителем на его подписание. К уведомлению прилагаются документы и сведения на бумажном носителе. Документы и сведения, представляемые с уведомлением, могут также быть представлены в электронном виде.

3.10. Одновременно с уведомлением в антимонопольный орган представляются:

1) в отношении юридического лица - копии учредительных документов, заверенные в установленном порядке, в отношении физического лица - заявителя - данные документа, удостоверяющего его личность с указанием фамилии, имени, отчества, серии и (или) номера документа, даты и места его выдачи, органа, выдавшего документ;

2) копии следующих документов, заверенные в установленном порядке:

- договор водопользования - в случае, если право пользования водным объектом предоставлено в соответствии с договором;

- решение о предоставлении водного объекта в пользование - в случае, если право пользования водным объектом предоставлено в соответствии со статьей 21 Водного кодекса Российской Федерации;

3) сведения об основных показателях хозяйственной деятельности, основных покупателях (потребителях) продукции, работ (услуг), а также о закупках продукции, работ (услуг), сырья и комплектующих по форме в соответствии с Приложением N 3 к настоящему Регламенту.

Указанные сведения представляются за период два года, предшествующих дню представления уведомления, либо в течение срока осуществления деятельности заявителя, если он составляет менее чем два года;

4) копии документов, подтверждающих право на осуществление видов деятельности, если в соответствии с законодательством Российской Федерации для их осуществления требуются специальные разрешения;

5) перечень лиц, входящих в одну группу лиц с заявителем, на момент осуществления сделки, иных действий, с указанием оснований, по которым такие лица входят в эту группу, в соответствии с формой установленной приказом ФАС России N 293 или заявление в письменной форме о том, что заявитель такими сведениями не располагает;

6) перечень лиц, входящих в одну группу лиц с указанными в пункте 3.3 настоящего Регламента лицами, с указанием оснований, по которым такие лица входят в эту группу, по форме, установленной приказом ФАС России N 293 или заявление в письменной форме о том, что заявитель такими сведениями не располагает.

3.11. В случае представления не в полном объеме документов и сведений, указанных в пункте 3.10 настоящего Регламента, уведомление считается непредставленным и подлежит возврату в соответствии с пунктом 3.30 настоящего Регламента.

3.12. В случае если для осуществления государственной функции антимонопольному органу необходимы дополнительные документы и сведения, кроме предусмотренных пунктом 3.10 настоящего Регламента, антимонопольный орган вправе направить соответствующий запрос заявителю.

В случае если указанные в пункте 3.10 настоящего Регламента копии документов, подтверждающих право на осуществление видов деятельности (если в соответствии с законодательством Российской Федерации для их осуществления требуются специальные разрешения), не представлены заявителем, по межведомственному запросу антимонопольного органа уполномоченные органы предоставляют сведения о наличии таких разрешений.

3.13. Коммерческая тайна, служебная тайна или иная охраняемая законом тайна, содержащаяся в документах и сведениях, не может служить основанием отказа в их представлении антимонопольному органу. При этом заявитель должен указать исчерпывающий перечень документов и сведений, составляющих коммерческую тайну (за исключением документов и сведений, которые не могут являться коммерческой тайной в соответствии с законодательством Российской Федерации), служебную или иную охраняемую законом тайну.

3.14. Прилагаемые документы должны представлять собой копии оригиналов (надлежащим образом оформленные и заверенные в порядке, установленном законодательством Российской Федерации). Лицо, подписывающее уведомление, должно подтвердить достоверность и полноту таких копий. К уведомлению должна быть приложена опись всех представленных документов и сведений.

3.15. Уведомление, а также прилагаемые документы и сведения должны быть представлены на русском языке. В случае обращения в антимонопольный орган заявителя, являющегося иностранным лицом, документы должны быть представлены на иностранном языке с переводом на русский язык (с проставлением апостиля компетентного органа государства, в котором этот документ был составлен).

3.16. Копии учредительных документов, представленные юридическим или физическим лицом, а также копии учредительных документов лица, являющегося объектом экономической концентрации, должны быть представлены в прошитом виде и заверены печатью лица (при наличии), от имени которого подается уведомление.

Если уведомление представляется физическим лицом, то документы и сведения представляются в прошитом виде и заверяются подписью физического лица.

Подпись физического лица, обязанного представлять уведомление в антимонопольный орган, на доверенности, выданной другому физическому лицу - уполномоченному представителю, должна быть заверена в соответствии с законодательством Российской Федерации.

3.17. При невозможности заявителем в полном объеме представить документы и сведения, указанные в пункте 3.10 настоящего Регламента, документы и сведения представляются в неполном объеме, с указанием причины невозможности представления заявителем соответствующих документов и сведений, а также источника, где они могут быть получены, в том числе информацию о контактном лице (наименование, местонахождение, почтовый адрес, телефон).

3.18. Уведомление вместе с документами и сведениями представляется в антимонопольный орган следующими способами:

- доставка заявителем лично;

- доставка курьером под расписку;

- направление заказным почтовым отправлением с уведомлением о вручении;

- в электронной форме с использованием информационно-технологической и коммуникационной инфраструктуры, в том числе портала государственных и муниципальных услуг (функций).

3.19. Уведомление считается представленным со дня его поступления в антимонопольный орган со всеми документами и сведениями в полном объеме, согласно пункту 3.10 настоящего Регламента, либо со дня представления заявителем сведений о причинах невозможности представления указанных документов или сведений.

3.20. Нахождение документов за пределами Российской Федерации не может служить основанием для отказа в их представлении антимонопольному органу.

3.21. Заявитель при подаче уведомления или в течение срока рассмотрения уведомления в дополнение к необходимым документам может представить в антимонопольный орган любую информацию, которая, по мнению заявителя, является важной для принятия решения по уведомлению.

Рассмотрение уведомления в антимонопольном органе

3.22. Работник антимонопольного органа регистрирует уведомление:

- в день поступления уведомления, если оно поступило по почте заказным письмом; в электронной форме с использованием информационно-технологической и коммуникационной инфраструктуры, в том числе портала государственных и муниципальных услуг (функций), либо представлено курьером;

- в присутствии заявителя (представителя), если уведомление представлено им лично.

3.23. По требованию заявителя (представителя) работник антимонопольного органа, осуществляющий регистрацию уведомления, делает отметку на втором экземпляре уведомления. В отметке на экземпляре заявителя содержатся дата регистрации уведомления, номер регистрации и подпись работника антимонопольного органа, осуществившего регистрацию.

3.24. Уведомление, доставленное в антимонопольный орган в последний день установленного срока представления уведомления до часа, когда в антимонопольном органе по установленным правилам прекращается рабочий день, либо сданное в организацию связи до двадцати четырех часов последнего дня указанного срока, считается представленным в срок.

3.25. Зарегистрированное уведомление в течение 1 дня направляется в структурное подразделение антимонопольного органа, ответственное за рассмотрение уведомлений в соответствующей сфере деятельности (далее - ответственное структурное подразделение).

3.26. Уведомление подлежит рассмотрению в антимонопольном органе в срок указанный в пункте 2.17 настоящего Регламента.

3.27. Течение срока рассмотрения уведомления начинается со дня получения антимонопольным органом уведомления.

3.28. Руководитель (исполняющий обязанности руководителя) ответственного структурного подразделения в течение одного дня назначает ответственного исполнителя по рассмотрению уведомления (далее - исполнитель).

3.29. Исполнитель в течение 5 дней со дня получения уведомления проверяет наличие документов и сведений, предусмотренных пунктом 3.10 настоящего Регламента.

3.30. В случае представления не в полном объеме необходимых документов и сведений, указанных в пункте 3.10 настоящего Регламента, без указания причины невозможности представления заявителем соответствующих документов и сведений, а также источника, где они могут быть получены, уведомление считается непредставленным, о чем антимонопольный орган в десятидневный срок уведомляет заявителя. При этом срок хранения антимонопольным органом представленных документов, в течение которого заявитель вправе истребовать их, составляет четырнадцать дней с даты получения заявителем уведомления.

3.31. В случае направления антимонопольным органом уведомления с приложением документов и сведений для рассмотрения в другой антимонопольный орган в соответствии с пунктами 3.7 - 3.8 настоящего Регламента, проверку полноты представленных документов и сведений осуществляет антимонопольный орган, уполномоченный на рассмотрение представленного уведомления.

3.32. В случае представления с уведомлением всех необходимых для рассмотрения документов и сведений, а также отсутствия необходимости направления уведомления в соответствующий территориальный орган, такое уведомление подлежит рассмотрению по существу.

3.33. В соответствии с пунктом 10 части 1 статьи 23 Закона о защите конкуренции при рассмотрении уведомления антимонопольный орган оценивает положение заявителя на соответствующем товарном рынке, на предмет доминирования.

3.34. При рассмотрении уведомлений антимонопольный орган проводит анализ и оценку состояния конкурентной среды на соответствующих товарных рынках.

Анализ состояния конкурентной среды на товарном рынке проводится в целях оценки положения заявителя на соответствующем товарном рынке, на предмет доминирования, а также в целях подтверждения того, что сделка, иные действия, указанные в уведомлении, не могут привести к ограничению конкуренции.

3.35. По результатам рассмотрения уведомления по существу, исполнитель осуществляет подготовку докладной записки, содержащей информацию о совершенной сделке, иных действиях, подлежащих государственному контролю, лицах, участвующих в такой сделке, иных действиях, результатах анализа и оценки состояния конкурентной среды, выводах о необходимости принятия соответствующих решений по результатам рассмотрения уведомления (далее - докладная записка).

3.36. Докладная записка представляется заместителю руководителя антимонопольного органа, курирующего ответственное структурное подразделение с проектом решения по результатам рассмотрения уведомления, в соответствии с пунктом 3.37 настоящего Регламента.

Получение заинтересованными лицами результата исполнения государственной функции

3.37. По результатам рассмотрения уведомления антимонопольный орган принимает одно из следующих решений:

а) о принятии к сведению уведомления, если сделка, иное действие, заявленные в уведомлении не могут привести к ограничению конкуренции;

б) о продлении срока рассмотрения уведомления в связи с необходимостью его дополнительного рассмотрения, а также получения дополнительной информации для принятия предусмотренного подпунктами "а" и "в" настоящего пункта решения по результатам рассмотрения уведомления, если установлено, что заявленные в уведомлении сделка, иные действия могут привести к ограничению конкуренции, в том числе в результате возникновения или усиления доминирующего положения заявителя.

в) о принятии к сведению уведомления и одновременной выдаче заявителю предписания, предусмотренного пунктом 2 части 1 статьи 23 Закона о защите конкуренции об осуществлении действий, направленных на обеспечение конкуренции.

3.38. Решение антимонопольного органа направляется заявителю в письменном виде заказным почтовым отправлением или вручается заявителю лично, либо уполномоченному представителю, по письменному заявлению заявителя.

3.39. Указанный в пункте 2.17 настоящего Регламента срок рассмотрения уведомления может быть продлен не более чем на два месяца, в связи с необходимостью его дополнительного рассмотрения.

Дополнительное рассмотрение проводится антимонопольным органом в том случае, если заявленная в уведомлении сделка, иные действия содержат признаки ограничения конкуренции.

Антимонопольный орган устанавливает признаки ограничения конкуренции на основании данных, содержащихся в документах и сведениях, представленных вместе с уведомлением.

В случае принятия решения о продлении срока рассмотрения уведомления антимонопольный орган информирует заявителя о принятом решении, путем направления ему информационного письма.

При осуществлении дополнительного рассмотрения антимонопольный орган на своем официальном сайте в сети "Интернет" размещает сведения о сделке, иных действиях, заявленных в уведомлении. Заинтересованные лица могут представить в антимонопольный орган сведения о влиянии на состояние конкуренции такой сделки, иных действий.

3.40. В случае принятия антимонопольным органом решения, предусмотренного подпунктом "в" пункта 3.37 настоящего Регламента, в предписании указываются:

- причины, по которым сделка, а также иные действия привели или могут привести к ограничению конкуренции, в том числе в результате возникновения или усиления доминирующего положения заявителя;

- описание действий, которые заявитель (группа лиц, в которую входит заявитель) должны осуществить в целях обеспечения конкуренции;

- срок исполнения предписания.

3.41. Предписание антимонопольного органа направляется заявителю в письменном виде с уведомлением о вручении либо, по письменному заявлению заявителя вручается заявителю или уполномоченному представителю заявителя лично.

3.42. В соответствии с Приказом ФАС России от 24.08.2012 N 544 "Об утверждении порядка пересмотра предписания, выданного в случаях, установленных статей 33 Федерального закона от 26.07.2006 N 135-ФЗ "О защите конкуренции" антимонопольный орган по заявлению лица, которому в предусмотренных настоящим регламентом случаях выдано предписание, а также по собственной инициативе может пересмотреть содержание предписания или порядок его исполнения в связи с возникновением существенных обстоятельств, которые наступили после его вынесения и исключают возможность и (или) целесообразность исполнения предписания полностью или его части.

К существенным обстоятельствам относятся изменение продуктовых или географических границ товарного рынка, состава продавцов или покупателей, утрата хозяйствующим субъектом доминирующего положения. Изменение предписания не может ухудшать положение лица, которому выдано такое предписание.

3.43. Неисполнение предписания антимонопольного органа влечет за собой ответственность в случаях, установленных законодательством Российской Федерации об административных правонарушениях.

IV. Порядок и формы контроля за исполнением государственной функции

Порядок осуществления текущего контроля за соблюдением и исполнением ответственными должностными лицами антимонопольного органа положений Регламента и иных нормативных правовых актов, устанавливающих требования к исполнению государственной функции, а также за принятием ими решений

4.1. ФАС России организует и осуществляет контроль соблюдения и исполнения должностными лицами антимонопольного органа положений настоящего Регламента и иных нормативных правовых актов, устанавливающих требования к исполнению государственной функции, а также за принятием ими решений.

4.2. Текущий контроль соблюдения и исполнения государственной функции осуществляется в порядке, установленном настоящим Регламентом и приказами ФАС России, и включает в себя проведение проверок полноты и качества исполнения государственной функции, соблюдения порядка ее исполнения, выявление и устранение нарушений, рассмотрение заявлений, материалов заявителей и подготовку на них ответов, принятие решений по жалобам на действия (бездействие) антимонопольного органа, его должностных лиц.

4.3. Текущий контроль за соблюдением и исполнением государственной функции должностными лицами ФАС России в рамках установленной компетенции осуществляется начальниками структурных подразделений, заместителями руководителя и руководителем ФАС России. Текущий контроль за соблюдением и исполнением государственной функции должностными лицами территориального органа ФАС России осуществляется заместителями руководителя и руководителем соответствующего территориального органа.

4.4. Текущий контроль за соблюдением порядка совершения действий, определенных административными процедурами по исполнению государственной функции и принятием решений, предусмотренных настоящим Регламентом, осуществляется должностными лицами антимонопольного органа, указанными в пункте 4.3 настоящего Регламента, и осуществляется постоянно путем проведения еженедельных совещаний, а также согласования (визирования) проектов решений, принимаемых при осуществлении административных процедур, иных документов, содержащих результаты административных действий.

Порядок и периодичность осуществления плановых и внеплановых проверок полноты и качества исполнения государственной функции, в том числе порядок и формы контроля за полнотой и качеством исполнения государственной функции

4.5. Формой контроля за полнотой и качеством исполнения должностными лицами антимонопольного органа государственной функции является осуществление ФАС России плановых и внеплановых проверок.

4.6. Целью проведения плановых и внеплановых проверок является соблюдение и исполнение должностным лицами антимонопольного органа государственной функции, в том числе своевременности и полноты рассмотрения заявлений, материалов заявителей, обоснованности и законности принятия по ним решений.

4.7. Внеплановые проверки полноты и качества исполнения государственной функции проводятся:

- структурным подразделением ФАС России по поручению руководителя ФАС России на основании поступивших в ФАС России жалоб на действия (бездействие) территориального органа, должностного лица ФАС России;

- структурным подразделением территориального органа ФАС России по поручению руководителя соответствующего территориального органа на основании поступивших в территориальный орган ФАС России жалоб на действия (бездействие) должностного лица территориального органа.

4.8. Плановые проверки полноты и качества исполнения территориальным органом ФАС России государственной функции проводятся в рамках комплексных проверок территориальных органов ФАС России, осуществляемых в соответствии с приказами ФАС России, на основании годовых планов работы ФАС России.

Порядок подготовки и проведения проверок деятельности территориальных органов ФАС России осуществляется в соответствии с приказом ФАС России N 569.

Ответственность должностных лиц антимонопольного органа за решения и действия (бездействие), принимаемые (осуществляемые) ими в ходе исполнения государственной функции

4.9. Руководитель и (или) заместитель руководителя антимонопольного органа несет ответственность за несвоевременное принятие решений, предусмотренных настоящим Регламентом в соответствии с законодательством Российской Федерации.

Руководитель ответственного структурного подразделения несет ответственность за несвоевременное и (или) ненадлежащее выполнение административных процедур (действий) по рассмотрению заявлений, материалов в соответствии с законодательством Российской Федерации.

Ответственный исполнитель несет ответственность за несвоевременное рассмотрение заявлений, материалов в соответствии с законодательством Российской Федерации.

4.10. Пределы дисциплинарной ответственности лиц, указанных в пункте 4.9 настоящего Регламента, определяются в соответствии с их должностными регламентами.

4.11. За решения и действия (бездействие), принимаемые (осуществляемые) ими в ходе исполнения государственной функции, должностные лица антимонопольного органа, также несут гражданско-правовую, административную или уголовную ответственность по основаниям и в порядке, установленным законодательством Российской Федерации.

Требования к порядку и формам контроля за исполнением государственной функции, в том числе со стороны граждан, их объединений и организаций

4.12. Граждане, их объединения и организации в случае нарушения настоящего Регламента вправе обратиться с жалобой в антимонопольный орган.

Жалоба может быть представлена на личном приеме, осуществляемом должностным лицом антимонопольного органа, направлена почтовым отправлением или в электронной форме с использованием информационно-технологической и коммуникационной инфраструктуры, в том числе портала государственных и муниципальных услуг (функций).

V. Досудебный (внесудебный) порядок обжалования действий (бездействия) антимонопольного органа, а также должностных лиц ФАС России

Информация для заинтересованных лиц об их праве на досудебное (внесудебное) обжалование действий (бездействия) и решений, принятых (осуществляемых) в ходе исполнения государственной функции

5.1. Заинтересованные лица вправе обжаловать действия (бездействие) антимонопольного органа их должностных лиц, принятых (осуществляемых) ими в ходе исполнения государственной функции, в досудебном (внесудебном) порядке.

Предмет досудебного (внесудебного) обжалования

5.2. Предметом досудебного (внесудебного) обжалования являются действия (бездействие) антимонопольного органа, его должностных лиц.

Исчерпывающий перечень оснований для приостановления рассмотрения жалобы и случаев, в которых ответ на жалобу не дается

5.3. Оснований для приостановления рассмотрения жалобы законодательством Российской Федерации не предусмотрено.

5.4. В случае если в жалобе не указаны имя и фамилия гражданина, направившего жалобу, почтовый адрес, по которому должен быть направлен ответ, ответ на жалобу не дается.

5.5. Жалоба, в которой обжалуется судебное решение, в течение семи дней со дня регистрации возвращается заявителю, направившему жалобу, с разъяснением порядка обжалования данного судебного решения.

5.6. Антимонопольный орган при получении письменной жалобы, в котором содержатся нецензурные либо оскорбительные выражения, угрозы жизни, здоровью и имуществу должностного лица, а также членов его семьи, вправе оставить жалобу без ответа по существу поставленных в ней вопросов и сообщить заявителю, направившему жалобу, о недопустимости злоупотребления правом.

5.7. В случае, если текст письменной жалобы не поддается прочтению, ответ на жалобу не дается и она не подлежит направлению на рассмотрение в государственный орган или должностному лицу в соответствии с их компетенцией, о чем в течение семи дней со дня регистрации жалобы сообщается заявителю, направившему жалобу, если его фамилия и почтовый адрес поддаются прочтению.

5.8. В случае, если в письменной жалобе заявителя содержится вопрос, на который ему неоднократно (два и более раз) давались письменные ответы по существу в связи с ранее направляемыми жалобами, и при этом в жалобе не приводятся новые доводы или обстоятельства, руководитель (заместитель руководителя) антимонопольного органа вправе принять решение о безосновательности очередного обращения и прекращении переписки с заявителем по данному вопросу. О данном решении уведомляется заявитель, направивший жалобу.

5.9. Если причины, по которым ответ по существу поставленных в жалобе вопросов не мог быть дан, в последующем были устранены, заявитель вправе вновь направить жалобу в антимонопольный орган.

5.10. Если ответ по существу поставленного в жалобе вопроса не может быть дан без разглашения сведений, составляющих государственную или иную охраняемую федеральным законом тайну, заявителю, направившему жалобу, заявителю сообщается о невозможности дать ответ по существу поставленного в ней вопроса в связи с недопустимостью разглашения указанных сведений.

Основания для начала процедуры досудебного (внесудебного) обжалования

5.11. Основанием для начала процедуры досудебного (внесудебного) обжалования является жалоба, направленная в антимонопольный орган.

5.12. Заявители имеют право направить жалобу в письменной форме или в форме электронного документа.

Жалоба может быть направлена по почте, с использованием информационно-технологической и коммуникационной инфраструктуры, в том числе портала государственных и муниципальных услуг (функций), а также может быть принята при личном приеме заявителя.

5.13. Заявитель в письменной жалобе в обязательном порядке указывает либо наименование антимонопольного органа, либо фамилию, имя, отчество соответствующего должностного лица, либо должность соответствующего лица, а также наименование юридического лица, подающего жалобу, адрес его местонахождения, контактный телефон, либо фамилию, имя, отчество (последнее при наличии) (в случае подачи жалобы от имени физического лица), почтовый адрес, по которому должен быть направлен ответ на жалобу, уведомление о переадресации жалобы, излагает суть жалобы, ставит подпись и дату. В подтверждение своих доводов заявитель вправе приложить к жалобе документы и материалы либо их копии.

5.14. В жалобе, поступившей в антимонопольный орган в форме электронного документа, заявитель в обязательном порядке указывает наименование юридического лица, подающего жалобу, адрес его местонахождения, контактный телефон, либо свои фамилию, имя, отчество (в случае подачи жалобы от имени физического лица), адрес электронной почты, если ответ должен быть направлен в форме электронного документа, и почтовый адрес, если ответ должен быть направлен в письменной форме. Заявитель вправе приложить к такой жалобе необходимые документы и материалы в электронной форме.

5.15. При рассмотрении жалобы руководитель антимонопольного органа рассматривает:

- документы, представленные заявителем;

- материалы объяснения, представленные должностным лицом;

- результаты исследований, проверок.

Права заинтересованных лиц на получение информации и документов, необходимых для обоснования и рассмотрения жалобы

5.16. Получать информацию по следующим вопросам:

- о входящем номере, под которым зарегистрирована в системе делопроизводства жалоба;

- о нормативных правовых актах, на основании которых ФАС России исполняет государственную функцию;

- о требованиях к заверению документов и сведений;

- о месте размещения на официальном сайте ФАС России в информационно-телекоммуникационной сети "Интернет" справочных материалов по вопросам исполнения государственной функции.

Органы государственной власти и должностные лица, которым может быть направлена жалоба заявителя в досудебном (внесудебном) порядке

5.17. На нарушения настоящего Регламента антимонопольным органом, должностными лицами ФАС России жалоба может быть подана в ФАС России.

5.18. На нарушения настоящего Регламента должностными лицами территориального органа ФАС России жалоба может быть подана в соответствующий территориальный орган.

5.19. Жалоба, поданная с нарушением требований установленных пунктами 5.13 и 5.14 настоящего Регламента, с подтверждающими документами направляется получившим ее антимонопольным органом в течение десяти рабочих дней со дня ее регистрации в соответствующий антимонопольный орган с уведомлением заявителя о переадресации жалобы.

5.20. Заявитель вправе отозвать жалобу до момента вынесения решения по данной жалобе.

Срок рассмотрения жалобы

5.21. Поступившая жалоба рассматривается антимонопольным органом в течение тридцати дней со дня регистрации.

5.22. Срок рассмотрения жалобы может быть продлен в случае принятия руководителем антимонопольного органа решения о необходимости проведения проверки по жалобе, запроса дополнительной информации, но не более чем на тридцать дней.

5.23. Решение о продлении срока рассмотрения жалобы сообщается заявителю в письменном виде с указанием причин продления.

Результат досудебного (внесудебного) обжалования

5.24. Решение по жалобе на действия (бездействие) должностного лица территориального органа ФАС России принимает руководитель соответствующего территориального органа.

Решение по жалобе на действия (бездействие) территориального органа ФАС России, должностного лица ФАС России принимает руководитель ФАС России.

5.25. По результатам рассмотрения жалобы на действия (бездействие) антимонопольного органа, его должностного лица руководитель антимонопольного органа принимает одно из следующих решений:

- признать действия (бездействие) антимонопольного органа, его должностного лица соответствующими настоящему Регламенту и отказать в удовлетворении жалобы;

- признать действия (бездействие) антимонопольного органа, его должностного лица не соответствующими настоящему Регламенту полностью или в части и удовлетворить жалобу полностью или в части. В этом случае ответственным исполнителем по жалобе в целях установления факта нарушения законодательства Российской Федерации о государственной гражданской службе Российской Федерации и применения дисциплинарного взыскания, либо принятия решения о других видах ответственности, представляется руководителю антимонопольного органа служебная записка с изложением сути нарушения и указанием должностных лиц его допустивших, для принятия решения о проведении в отношении государственных гражданских служащих служебной проверки.

5.26. Решение руководителя антимонопольного органа оформляется в письменной форме.

5.27. Копия решения направляется заявителю в течение трех рабочих дней с даты изготовления в полном объеме.

5.28. Служебная записка, с приложением решения указанного в пункте 5.26, с резолюцией руководителя ФАС России направляется в Управление государственной службы ФАС России не позднее одного рабочего дня, следующего за днем изготовления решения в полном объеме.

Служебная записка, с приложением решения указанного в пункте 5.26, с резолюцией руководителя территориального органа ФАС России направляется должностному лицу, ответственному за работу по противодействию коррупции, не позднее одного рабочего дня, следующего за днем изготовления решения в полном объеме.

5.29. Действия по исполнению решения руководителя антимонопольного органа должны быть совершены в течение десяти дней со дня принятия решения по жалобе, если в решении не установлен иной срок для их совершения.

Приложение N 1
к Регламенту

ФЕДЕРАЛЬНАЯ АНТИМОНОПОЛЬНАЯ СЛУЖБА

Садовая-Кудринская, 11, Москва, Д-242, ГСП-3, 125993
E-mail: delo@fas.gov.ru
Телефон для справок:
(499) 255-23-23 (общественная приемная)
Факс - (499) 755-23-24; (499) 755-23-23 (тон. N 3)

ПЕРЕЧЕНЬ ТЕРРИТОРИАЛЬНЫХ ОРГАНОВ ФАС РОССИИ, ИСПОЛНЯЮЩИХ ГОСУДАРСТВЕННУЮ ФУНКЦИЮ

N п/п Полное и сокращенное наименования территориального органа Справочные телефоны, адрес официального сайта, адрес электронной почты Наименование субъекта РФ, на территории которого осуществляет свою деятельность ТО Местонахождение (юридический адрес)
1. Управление Федеральной антимонопольной службы по Республике Адыгея (Адыгейское УФАС России) тел.: (8772) 57-03-05;
факс: (8772) 57-05-22;
http://adygea.fas.gov.ru;
эл. почта: to01@fas.gov.ru
Республика Адыгея ул. Ленина, д. 40, г. Майкоп, Республика Адыгея, 385000
2. Управление Федеральной антимонопольной службы по Алтайскому краю (Алтайское краевое УФАС России) тел.: (3852) 24-54-56;
факс: (3852) 24-68-81;
http://altk.fas.gov.ru;
эл. почта: to22@fas.gov.ru
Алтайский край пр-т Калинина, д. 8, г. Барнаул, Алтайский край, 656002 (местонахождение)
656059, Алтайский край, г. Барнаул, ул. Пролетарская, 65 (почтовый)
3. Управление Федеральной антимонопольной службы по Республике Алтай (Алтайское республиканское УФАС России) тел.: (388-22) 2-70-47;
факс: (388-22) 4-71-39;
http://altr.fas.gov.ru;
эл. почта: to04@fas.gov.ru
Республика Алтай ул. Улагашева, д. 13, г. Горно-Алтайск, Республика Алтай, 649000
4. Управление Федеральной антимонопольной службы по Амурской области (Амурское УФАС России) тел.: (4162) 52-00-07;
факс: (4162) 52-00-35;
http://amur.fas.gov.ru;
эл. почта: to28@fas.gov.ru
Амурская область ул. Амурская, д. 150, г. Благовещенск, Амурская обл., 675000
5. Управление Федеральной антимонопольной службы по Архангельской области (Архангельское УФАС России) тел.: (8182) 20-70-31;
факс: (8182) 21-54-45;
http://arhangelsk.fas.gov.ru
эл. почта: to29@fas.gov.ru
Архангельская область ул. К. Либкнехта, д. 2, г. Архангельск, Архангельская обл., 163000
6. Управление Федеральной антимонопольной службы по Астраханской области (Астраханское УФАС России) тел.: (8512) 39-06-47;
факс: (8512) 39-05-80;
http://astrahan.fas.gov.ru;
эл. почта: to30@fas.gov.ru
Астраханская область ул. Шаумяна, д. 47, г. Астрахань, Астраханская обл., 414000
7. Управление Федеральной антимонопольной службы по Республике Башкортостан (Башкортостанское УФАС России) тел.: (347) 273-34-05;
факс: (347) 272-58-82;
http://bash.fas.gov.ru;
эл. почта: to02@fas.gov.ru
Республика Башкортостан ул. Пушкина, д. 95, г. Уфа, Республика Башкортостан, 450008
8. Управление Федеральной антимонопольной службы по Белгородской области (Белгородское УФАС России) тел.: (4722) 32-16-92;
факс: (4722) 32-16-92;
http://belgorod.fas.gov.ru;
эл. почта: to31@fas.gov.ru
Белгородская область ул. Преображенская, д. 82, г. Белгород, Белгородская обл., 308000
9. Управление Федеральной антимонопольной службы по Брянской области (Брянское УФАС России) тел.: (4832) 64-33-93;
факс: (4832) 64-33-93;
http://bryansk.fas.gov.ru;
эл. почта: to32@fas.gov.ru
Брянская область ул. Дуки, д. 80, г. Брянск, Брянская обл., 241050
10. Управление Федеральной антимонопольной службы по Республике Бурятия (Бурятское УФАС России) тел.: (3012) 21-33-72;
факс: (3012) 21-33-72;
http://buryatia.fas.gov.ru;
эл. почта: to03@fas.gov.ru
Республика Бурятия ул. Ленина, д. 55, г. Улан-Удэ, Республика Бурятия, 670003
11. Управление Федеральной антимонопольной службы по Владимирской области (Владимирское УФАС России) тел.: (4922) 43-10-25;
факс: (4922) 53-14-53;
http://vladimir.fas.gov.ru;
эл. почта: to33@fas.gov.ru
Владимирская область ул. Большая Московская, д. 1, г. Владимир, Владимирская обл., 600000
12. Управление Федеральной антимонопольной службы по Волгоградской области (Волгоградское УФАС России) тел.: (8442) 24-22-65;
факс: (8442) 24-22-76;
http://volgograd.fas.gov.ru;
эл. почта: to34@fas.gov.ru
Волгоградская область ул. 7-я Гвардейская, д. 12, г. Волгоград, Волгоградская обл., 400005
13. Управление Федеральной антимонопольной службы по Вологодской области (Вологодское УФАС России) тел.: (8172) 72-85-89;
факс: (8172) 72-46-64;
http://vologda.fas.gov.ru
эл. почта: to35@fas.gov.ru
Вологодская область ул. Пушкинская, д. 25, г. Вологда, Вологодская обл., 160035
14. Управление Федеральной антимонопольной службы по Воронежской области (Воронежское УФАС России) тел.: (4732) 51-98-57;
факс: (4732) 55-92-44;
http://voronezh.fas.gov.ru;
эл. почта: to36@fas.gov.ru
Воронежская область ул. Карла Маркса, д. 55, г. Воронеж, 394000 (почтовый)
ул. Плехановская, 53, г. Воронеж (местонахождение) 394030
15. Управление Федеральной антимонопольной службы по Республике Дагестан (Дагестанское УФАС России) тел.: (8722) 98-30-27;
факс: (8722) 67-21-41;
http://dagestan.fas.gov.ru;
эл. почта: to05@fas.gov.ru
Республика Дагестан пл. Ленина, д. 2, г. Махачкала, Республика Дагестан, 367000
16. Управление Федеральной антимонопольной службы по Еврейской автономной области (Еврейское УФАС России) тел.: (42622) 2-00-47;
факс: (42622) 6-01-84;
http://eao.fas.gov.ru;
эл. почта: to79@fas.gov.ru
Еврейская автономная область ул. Постышева, д. 3, г. Биробиджан, Еврейская автономная обл., 679014
17. Управление Федеральной антимонопольной службы по Забайкальскому краю (Забайкальское УФАС России) тел.: (3022) 35-18-41;
факс: (3022) 32-12-31;
http://zab.fas.gov.ru;
эл. почта: to75@fas.gov.ru
Забайкальский край ул. Лермонтова, д. 14, г. Чита, (местонахождение) 672000
18. Управление Федеральной антимонопольной службы по Ивановской области (Ивановское УФАС России) тел.: (4932) 32-85-73;
факс: (4932) 32-63-60;
http://ivanovo.fas.gov.ru;
эл. почта: to37@fas.gov.ru
Ивановская область ул. Жарова, д. 10, г. Иваново, Ивановская обл., 153000
19. Управление Федеральной антимонопольной службы по Республике Ингушетия (Ингушское УФАС России) тел.: (8732) 22-87-28;
факс: (8732) 22-87-28;
http://che-in.fas.gov.ru;
эл. почта: to06@fas.gov.ru
Республика Ингушетия ул. Победы, д. 3, корп. С, г. Назрань, Республика Ингушетия, 386102
20. Управление Федеральной антимонопольной службы по Иркутской области (Иркутское УФАС России) тел.: (3952) 24-24-09;
факс: (3952) 24-32-26;
http://irkutsk.fas.gov.ru;
эл. почта: to38@fas.gov.ru
Иркутская область ул. Российская, д. 17, г. Иркутск, Иркутская обл., 664025
21. Управление Федеральной антимонопольной службы по Кабардино-Балкарской Республике (Кабардино-Балкарское УФАС России) тел.: (8662) 40-95-12;
факс: (8662) 40-92-82;
http://kbr.fas.gov.ru;
эл. почта: to07@fas.gov.ru
Кабардино-Балкарская Республика ул. Тарчокова, д. 18, г. Нальчик, Кабардино-Балкарская Республика, 360030
22. Управление Федеральной антимонопольной службы по Калининградской области (Калининградское УФАС России) тел.: (4012) 53-72-01;
факс: (4012) 53-72-00;
http://kaliningrad.fas.gov.ru;
эл. почта: to39@fas.gov.ru
Калининградская область ул. Барнаульская, д. 4, г. Калининград, Калининградская обл., 236006
23. Управление Федеральной антимонопольной службы по Республике Калмыкия (Калмыцкое УФАС России) тел.: (84722) 4-13-97;
факс: (84722) 4-13-31;
http://kalmykia.fas.gov.ru;
эл. почта: to08@fas.gov.ru
Республика Калмыкия ул. Лермонтова, д. 4, г. Элиста, Республика Калмыкия, 358000
24. Управление Федеральной антимонопольной службы по Калужской области (Калужское УФАС России) тел.: (4842) 56-47-89;
факс: (4842) 57-65-92;
http://kaluga.fas.gov.ru;
эл. почта: to40@fas.gov.ru
Калужская область пл. Старый Торг, д. 5, г. Калуга, Калужская обл., 248000
25. Управление Федеральной антимонопольной службы по Камчатскому краю (Камчатское УФАС России) тел.: (4152) 41-26-23;
факс: (4152) 42-58-74;
http://kamchatka.fas.gov.ru;
эл. почта: to41@fas.gov.ru
Камчатский край, Корякский автономный округ ул. Ленинградская, д. 90, г. Петропавловск-Камчатский, Камчатский край, 683002
26. Управление Федеральной антимонопольной службы по Карачаево-Черкесской Республике (Карачаево-Черкесское УФАС России) тел.: (8782) 26-68-75;
факс: (8782) 26-64-55;
http://kchr.fas.gov.ru;
эл. почта: to09@fas.gov.ru
Карачаево-Черкесская Республика пр-т Ленина, д. 38, г. Черкесск, Карачаево-Черкесская Республика, 369000
27. Управление Федеральной антимонопольной службы по Республике Карелия (Карельское УФАС России) тел.: (8142) 78-27-69;
факс: (8142) 78-33-78;
http://karelia.fas.gov.ru;
эл. почта: to10@fas.gov.ru
Республика Карелия наб. Варкауса, д. 1А, г. Петрозаводск, Республика Карелия, 185028
28. Управление Федеральной антимонопольной службы по Кемеровской области (Кемеровское УФАС России) тел.: (3842) 36-49-41;
факс: (3842) 36-77-83;
http://kemerovo.fas.gov.ru;
эл. почта: to42@fas.gov.ru
Кемеровская область ул. Ноградская, д. 5, г. Кемерово, Кемеровская обл., 650000
29. Управление Федеральной антимонопольной службы по Кировской области (Кировское УФАС России) тел.: (8332) 64-73-31;
факс: (8332) 64-96-26;
http://kirov.fas.gov.ru;
эл. почта: to43@fas.gov.ru
Кировская область ул. Карла Либкнехта, д. 55, г. Киров, Кировская обл., 610020
30. Управление Федеральной антимонопольной службы по Республике Коми (Коми УФАС России) тел.: (8212) 20-17-14;
факс: (8212) 21-41-29;
http://komi.fas.gov.ru;
эл. почта: to11@fas.gov.ru
Республика Коми ул. Интернациональная, д. 160, корпус А, г. Сыктывкар, ГСП-2, Республика Коми, 167982
31. Управление Федеральной антимонопольной службы по Костромской области (Костромское УФАС России) тел.: (4942) 35-03-23;
факс: (4942) 35-67-48;
http://kostroma.fas.gov.ru;
эл. почта: to44@fas.gov.ru
Костромская область ул. Калиновская, д. 38, г. Кострома, Костромская обл., 156013
32. Управление Федеральной антимонопольной службы по Краснодарскому краю (Краснодарское УФАС России) тел.: (8861) 253-66-22;
факс: (8861) 253-66-82;
http://krasnodar.fas.gov.ru;
эл. почта: to23@fas.gov.ru
Краснодарский край ул. Коммунаров, д. 235, г. Краснодар, Краснодарский край, 350020
33. Управление Федеральной антимонопольной службы по Красноярскому краю (Красноярское УФАС России) тел.: (391) 211-00-00;
факс: (391) 211-01-14;
http://krsk.fas.gov.ru;
эл. почта: to24@fas.gov.ru
Красноярский край пр-т Мира, д. 81д, г. Красноярск, Красноярский край, 660017
34. Управление Федеральной антимонопольной службы по Республике Крым и городу Севастополю (Крымское УФАС России) тел.: 38 0652 544638
факс: 38 0652 252431
http://krym.fas.gov.ru;
эл. почта: to82@fas.gov.ru
Республика Крым и город Севастополь ул. Александра Невского, д. 1, г. Симферополь, Республика Крым, 295000
35. Управление Федеральной антимонопольной службы по Курганской области (Курганское УФАС России) тел.: (3522) 46-39-55;
факс: (3522) 46-39-85;
http://kurgan.fas.gov.ru;
эл. почта: to45@fas.gov.ru
Курганская область ул. Гоголя, д. 56, г. Курган, Курганская область, 640000
36. Управление Федеральной антимонопольной службы по Курской области (Курское УФАС России) тел.: (4712) 70-08-15;
факс: (4712) 56-22-04;
http://kursk.fas.gov.ru;
эл. почта: to46@fas.gov.ru
Курская область ул. Марата, д. 9, г. Курск, Курская обл., 305000
37. Управление Федеральной антимонопольной службы по Ленинградской области (Ленинградское УФАС России) тел.: (812) 274 30 70;
факс: (812) 274 30 70;
http://lenobl.fas.gov.ru;
эл. почта: to47@fas.gov.ru
Ленинградская область ул. Смольного, д. 3, г. Санкт-Петербург, 191124
38. Управление Федеральной антимонопольной службы по Липецкой области (Липецкое УФАС России) тел.: (4742) 27-14-82;
факс: (4742) 27-14-82;
http://lipetsk.fas.gov.ru;
эл. почта: to48@fas.gov.ru
Липецкая область пл. Плеханова, д. 1, г. Липецк, Липецкая обл., 398050
39. Управление Федеральной антимонопольной службы по Магаданской области (Магаданское УФАС России) тел.: (4132) 60-64-20;
факс: (4132) 62-77-74;
http://magadan.fas.gov.ru;
эл. почта: to49@fas.gov.ru
Магаданская область ул. Портовая, д. 8, г. Магадан, Магаданская обл., 685000
40. Управление Федеральной антимонопольной службы по Республике Марий Эл (Марийское УФАС России) тел.: (8362) 42-08-55;
факс: (8362) 56-60-56;
http://mari-el.fas.gov.ru;
эл. почта: to12@fas.gov.ru
Республика Марий Эл ул. Волкова, д. 164, г. Йошкар-Ола, Республика Марий Эл, 424000
41. Управление Федеральной антимонопольной службы по Республике Мордовия (Мордовское УФАС России) тел.: (8342) 47-14-55;
факс: (8342) 24-34-62;
http://mordovia.fas.gov.ru;
эл. почта: to13@fas.gov.ru
Республика Мордовия пр. Ленина, д. 14, пом. 3, г. Саранск, Республика Мордовия, 430005
42. Управление Федеральной антимонопольной службы по г. Москве (Московское УФАС России) тел.: (495) 784-75-05;
факс: (499) 238-48-81;
http://moscow.fas.gov.ru;
эл. почта: to77@fas.gov.ru
Москва Мясницкий проезд, д. 4, стр. 1, г. Москва, 107078
43. Управление Федеральной антимонопольной службы по Московской области (Московское областное УФАС России) тел.: (499) 500-15-30;
факс: (499) 500-15-36;
http://mo.fas.gov.ru;
эл. почта: to50@fas.gov.ru
Московская область Карамышевская набережная, д. 44, г. Москва, 123423
44. Управление Федеральной антимонопольной службы по Мурманской области (Мурманское УФАС России) тел.: (8152) 68-50-42;
факс: (8152) 68-50-43;
http://murmansk.fas.gov.ru;
эл. почта: to51@fas.gov.ru
Мурманская область ул. Книповича, д. 9а, г. Мурманск, Мурманская обл., 183038
45. Управление Федеральной антимонопольной службы по Ненецкому автономному округу (Ненецкое УФАС России) тел.: (81853) 2-19-60;
факс: (81853) 4-01-54;
http://nao.fas.gov.ru;
эл. почта: to83@fas.gov.ru
Ненецкий автономный округ ул. Пырерка, д. 15, г. Нарьян-Мар, Ненецкий автономный округ, 166000
46. Управление Федеральной антимонопольной службы по Нижегородской области (Нижегородское УФАС России) тел.: (831) 430-03-55;
факс: (831) 434-14-70;
http://n-novgorod.fas.gov.ru;
эл. почта: to52@fas.gov.ru
Нижегородская область пл. Горького, д. 6, г. Нижний Новгород, Нижегородская обл., 603000
47. Управление Федеральной антимонопольной службы по Новгородской области (Новгородское УФАС России) тел.: (8162) 77-74-51;
факс: (8162) 73-88-11;
http://novgorod.fas.gov.ru;
эл. почта: to53@fas.gov.ru
Новгородская область Воскресенский б-р, д. 3, г. Великий Новгород, Новгородская область, 173002
48. Управление Федеральной антимонопольной службы по Новосибирской области (Новосибирское УФАС России) Тел.: (383) 223-82-42;
Факс: (383) 223-02-65;
http://novosibirsk.fas.gov.ru;
эл. почта: to54@fas.gov.ru
Новосибирская область ул. Кирова, д. 3, г. Новосибирск-11, Новосибирская обл., 630011
49. Управление Федеральной антимонопольной службы по Омской области (Омское УФАС России) тел.: (3812) 32-06-96;
факс: (3812) 32-06-96;
http://omsk.fas.gov.ru;
эл. почта: to55@fas.gov.ru
Омская область пр-т К. Маркса, д. 12А, г. Омск, Омская обл., 644010
50. Управление Федеральной антимонопольной службы по Оренбургской области (Оренбургское УФАС России) тел.: (3532) 78-66-17;
факс: (3532) 77-80-70;
http://orenburg.fas.gov.ru;
эл. почта: to56@fas.gov.ru
Оренбургская область ул. 9-го Января, д. 64, г. Оренбург, Оренбургская обл., 460046
51. Управление Федеральной антимонопольной службы по Орловской области (Орловское УФАС России) тел.: (4862) 47-53-57;
факс: (4862) 45-44-20;
http://orel.fas.gov.ru;
эл. почта: to57@fas.gov.ru
Орловская область ул. Салтыкова-Щедрина, д. 21, г. Орел, Орловская обл., 302028
52. Управление Федеральной антимонопольной службы по Пензенской области (Пензенское УФАС России) тел.: (8412) 55-14-02;
факс: (8412) 52-03-70;
http://penza.fas.gov.ru;
эл. почта: to58@fas.gov.ru
Пензенская область ул. Урицкого, д. 127, г. Пенза, Пензенская обл., 440000
53. Управление Федеральной антимонопольной службы по Пермскому краю (Пермское УФАС России) тел.: (342) 23-51-200;
факс: (342) 2-35-10-67;
http://perm.fas.gov.ru;
эл. почта: to59@fas.gov.ru
Пермский край ул. Ленина, д. 64, офис 713, г. Пермь, Пермский край, 614990
54. Управление Федеральной антимонопольной службы по Приморскому краю (Приморское УФАС России) тел.: (423) 222-94-95;
факс: (423) 222-28-44;
http://primorie.fas.gov.ru;
эл. почта: to25@fas.gov.ru
Приморский край ул. 1-я Морская, д. 2, г. Владивосток, Приморский край, 690007
55. Управление Федеральной антимонопольной службы по Псковской области (Псковское УФАС России) тел.: (8112) 66-55-53;
факс: (8112) 66-55-53;
http://pskov.fas.gov.ru;
эл. почта: to60@fas.gov.ru
Псковская область ул. Кузнецкая, д. 13, г. Псков, Псковская обл., 180017
56. Управление Федеральной антимонопольной службы по Ростовской области (Ростовское УФАС России) тел.: (863) 263-31-04;
факс: (863) 240-99-59;
http://rostov.fas.gov.ru;
эл. почта: to61@fas.gov.ru
Ростовская область пр-т Ворошиловский, д. 2/2, офис 403, г. Ростов-на-Дону, Ростовская обл., 344006
57. Управление Федеральной антимонопольной службы по Рязанской области (Рязанское УФАС России) тел.: (4912) 25-21-50;
факс: (4912) 27-44-95;
http://ryazan.fas.gov.ru;
эл. почта: to62@fas.gov.ru
Рязанская область ул. Ленина, д. 34, г. Рязань, Рязанская обл., 390000
58. Управление Федеральной антимонопольной службы по Самарской области (Самарское УФАС России) тел.: (846) 200-15-36;
факс: (846) 200-15-37;
http://samara.fas.gov.ru;
эл. почта: to63@fas.gov.ru
Самарская область ул. Ерошевского, д. 3а, г. Самара, Октябрьский район, Самарская область, 443086
59. Управление Федеральной антимонопольной службы по Санкт-Петербургу (Санкт-Петербургское УФАС России) тел.: (812) 313-04-30;
факс: (812) 315-78-51;
http://spb.fas.gov.ru;
эл. почта: to78@fas.gov.ru
Санкт-Петербург 4-я линия В.О., д. 13, лит. А, г. Санкт-Петербург, 199004
60. Управление Федеральной антимонопольной службы по Саратовской области (Саратовское УФАС России) тел.: (8452) 27-96-42;
факс: (8452) 27-93-14;
http://saratov.fas.gov.ru;
эл. почта: to64@fas.gov.ru
Саратовская область ул. Вольская, д. 81, г. Саратов, Саратовская обл., 410012
61. Управление Федеральной антимонопольной службы по Сахалинской области (Сахалинское УФАС России) тел.: (4242) 42-94-93;
факс: (4242) 42-40-71;
http://sahalin.fas.gov.ru;
эл. почта: to65@fas.gov.ru
Сахалинская область Коммунистический пр-т, д. 27/А, г. Южно-Сахалинск, Сахалинская обл., 693011
62. Управление Федеральной антимонопольной службы по Свердловской области (Свердловское УФАС России) тел.: (343) 377-00-83;
факс: (343) 377-00-63;
http://sverdlovsk.fas.gov.ru;
эл. почта: to66@fas.gov.ru
Свердловская область ул. Московская, д. 11, г. Екатеринбург, Свердловская обл., 620014
63. Управление Федеральной антимонопольной службы по Республике Северная Осетия - Алания (Северо-Осетинское УФАС России) тел.: (8672) 54-23-23;
факс: (8672) 54-23-23;
http://so-alania.fas.gov.ru;
эл. почта: to15@fas.gov.ru
Республика Северная Осетия - Алания ул. Шмулевича, д. 8а, г. Владикавказ, Республика Северная Осетия - Алания, 362019
64. Управление Федеральной антимонопольной службы по Смоленской области (Смоленское УФАС России) тел.: (4812) 38-63-49;
факс: (4812) 38-62-22;
http://smolensk.fas.gov.ru;
эл. почта: to67@fas.gov.ru
Смоленская область ул. Октябрьской Революции, д. 14-а, г. Смоленск, Смоленская обл., 214000
65. Управление Федеральной антимонопольной службы по Ставропольскому краю (Ставропольское УФАС России) тел.: (8652) 35-84-93;
факс: (8652) 35-51-19;
http://stavropol.fas.gov.ru;
эл. почта: to26@fas.gov.ru
Ставропольский край ул. Ленина, д. 384, г. Ставрополь, Ставропольский край, 355003
66. Управление Федеральной антимонопольной службы по Тамбовской области (Тамбовское УФАС России) тел.: (4752) 71-33-88;
факс: (4752) 71-35-33;
http://tambov.fas.gov.ru;
эл. почта: to68@fas.gov.ru
Тамбовская область ул. Державинская, д. 1, г. Тамбов, Тамбовская обл., 392000
67. Управление Федеральной антимонопольной службы по Республике Татарстан (Татарстанское УФАС России) тел.: (843) 236-89-22;
факс: (843) 238 19 46;
http://fasrt.fas.gov.ru;
эл. почта: to16@fas.gov.ru
Республика Татарстан ул. Московская, д. 55, г. Казань, Республика Татарстан, 420021
68. Управление Федеральной антимонопольной службы по Тверской области (Тверское УФАС России) тел.: (4822) 32-08-32;
факс: (4822) 32-08-32;
http://tver.fas.gov.ru;
эл. почта: to69@fas.gov.ru
Тверская область ул. Советская, д. 23, г. Тверь, Тверская обл., 170100
69. Управление Федеральной антимонопольной службы по Томской области (Томское УФАС России) тел.: (3822) 51-50-61;
факс: (3822) 51-29-80;
http://tomsk.fas.gov.ru;
эл. почта: to70@fas.gov.ru
Томская область пр-т Ленина, д. 111, офис 50, г. Томск, Томская обл., 634069
70. Управление Федеральной антимонопольной службы по Тульской области (Тульское УФАС России) тел.: (4872) 33-14-95;
факс: (4872) 35-93-65;
http://tula.fas.gov.ru
эл. почта: to71@fas.gov.ru
Тульская область ул. Жаворонкова, д. 2, г. Тула, Тульская обл., 300012
71. Управление Федеральной антимонопольной службы по Республике Тыва (Тывинское УФАС России) тел.: (39422) 2-57-87;
факс: (39422) 2-58-08;
http://tuva.fas.gov.ru;
эл. почта: to17@fas.gov.ru
Республика Тыва ул. Красноармейская, д. 100, офис 30, г. Кызыл, Республика Тыва, 667000
72. Управление Федеральной антимонопольной службы по Тюменской области (Тюменское УФАС России) тел.: (3452) 50-31-55;
факс: (3452) 50-59-14;
http://tyumen.fas.gov.ru;
эл. почта: to72@fas.gov.ru
Тюменская область ул. Холодильная, д. 58а, г. Тюмень, Тюменская обл., 625048
73. Управление Федеральной антимонопольной службы по Удмуртской Республике (Удмуртское УФАС России) тел.: (3412) 57-22-50;
факс: (3412) 57-22-60;
http://udmurtia.fas.gov.ru;
эл. почта: to18@fas.gov.ru
Удмуртская Республика ул. Ухтомского, д. 24, г. Ижевск, Удмуртская Республика, 426009
74. Управление Федеральной антимонопольной службы по Ульяновской области (Ульяновское УФАС России) тел.: (8422) 41-32-14;
факс: (8422) 41-32-03;
http://ulyanovsk.fas.gov.ru;
эл. почта: to73@fas.gov.ru
Ульяновская область ул. Спасская, д. 8, г. Ульяновск, Ульяновская обл., 432970
75. Управление Федеральной антимонопольной службы по Хабаровскому краю (Хабаровское УФАС России) тел.: (4212) 32-88-10;
факс: (4212) 32-40-57;
http://habarovsk.fas.gov.ru;
эл. почта: to27@fas.gov.ru
Хабаровский край ул. Запарина, д. 67, г. Хабаровск, Хабаровский край, 680000
76. Управление Федеральной антимонопольной службы по Республике Хакасия (Хакасское УФАС России) тел.: (3902) 22-27-59;
факс: (3902) 22-27-59;
http://hakasia.fas.gov.ru;
эл. почта: to19@fas.gov.ru
Республика Хакасия ул. Вяткина, д. 3, г. Абакан, Республика Хакасия, 655017
77. Управление Федеральной антимонопольной службы по Ханты-Мансийскому автономному округу - Югре (Ханты-Мансийское УФАС России) тел.: (3467) 33-50-06;
факс: (3467) 33-24-74;
http://hmao.fas.gov.ru;
эл. почта: to86@fas.gov.ru
Ханты-Мансийский автономный округ - Югра ул. Чехова, д. 12а, г. Ханты-Мансийск, Ханты-Мансийский автономный округ - Югра, 628011
78. Управление Федеральной антимонопольной службы по Челябинской области (Челябинское УФАС России) тел.: (351) 263-68-80;
факс: (351) 263-88-71;
http://chel.fas.gov.ru;
эл. почта: to74@fas.gov.ru
Челябинская область пр-т Ленина, д. 59, г. Челябинск, Челябинская обл., 454111
79. Управление Федеральной антимонопольной службы по Чеченской Республике (Чеченское УФАС России) тел.: (8712) 22-22-90
факс: (8712) 22-34-94
http://chechnya.fas.gov.ru
эл. почта: to20@fas.gov.ru
Чеченская Республика Старопромысловское шоссе, д. 40, г. Грозный, Чеченская Республика, 364020
80. Управление Федеральной антимонопольной службы по Чувашской Республике - Чувашии (Чувашское УФАС России) тел.: (8352) 58-42-08;
факс: (8352) 58-40-13;
http://chuvashia.fas.gov.ru;
эл. почта: to21@fas.gov.ru
Чувашская Республика - Чувашия Московский пр-т, д. 2, г. Чебоксары, Чувашская Республика - Чувашия, 428018
81. Управление Федеральной антимонопольной службы по Чукотскому автономному округу (Чукотское УФАС России) тел.: (42722) 2-66-01;
http://chukotka.fas.gov.ru;
эл. почта: to87@fas.gov.ru
Чукотский автономный округ ул. Энергетиков, д. 13, г. Анадырь, Чукотский автономный округ, 689000
82. Управление Федеральной антимонопольной службы по Республике Саха (Якутия) (Якутское УФАС России) тел.: (4112) 42-29-69;
факс: (4112) 42-29-41;
http://sakha.fas.gov.ru;
эл. почта: to14@fas.gov.ru
Республика Саха (Якутия) ул. Аммосова, д. 18, офис 407, г. Якутск, Республика Саха (Якутия), 677000
83. Управление Федеральной антимонопольной службы по Ямало-Ненецкому автономному округу (Ямало-Ненецкое УФАС России) тел.: (34922) 3-49-98;
факс: (34922) 3-41-26;
http://yamal.fas.gov.ru;
эл. почта: to89@fas.gov.ru
Ямало-Ненецкий автономный округ ул. Губкина, д. 13, г. Салехард, Ямало-Ненецкий автономный округ, 629001
84. Управление Федеральной антимонопольной службы по Ярославской области (Ярославское УФАС России) тел.: (4852) 72-95-20;
факс: (4852) 32-93-71;
http://yaroslavl.fas.gov.ru
эл. почта: to76@fas.gov.ru
Ярославская область ул. Свободы, д. 46, г. Ярославль, Ярославская обл., 150000

Приложение N 2
к Регламенту

БЛОК-СХЕМА ИСПОЛНЕНИЯ ФАС РОССИИ ГОСУДАРСТВЕННОЙ ФУНКЦИИ ПО ОСУЩЕСТВЛЕНИЮ ГОСУДАРСТВЕННОГО КОНТРОЛЯ ЗА ЭКОНОМИЧЕСКОЙ КОНЦЕНТРАЦИЕЙ В ОБЛАСТИ ИСПОЛЬЗОВАНИЯ ВОДНЫХ ОБЪЕКТОВ

Приложение N 3
к Регламенту

СВЕДЕНИЯ ОБ ОСНОВНЫХ ПОКАЗАТЕЛЯХ ХОЗЯЙСТВЕННОЙ ДЕЯТЕЛЬНОСТИ, ОСНОВНЫХ ПОКУПАТЕЛЯХ (ПОТРЕБИТЕЛЯХ) ПРОДУКЦИИ, РАБОТ (УСЛУГ), А ТАКЖЕ О ЗАКУПКАХ ПРОДУКЦИИ, РАБОТ (УСЛУГ), СЫРЬЯ И КОМПЛЕКТУЮЩИХ

1 Общая информация об уполномоченных представителях лица, обратившегося в антимонопольный орган с уведомлением
1.1 Для юридических лиц указывается наименование юридического лица и его место нахождения, ФИО, номер телефона, факса руководителя.
Для физических лиц указывается ФИО, документ, удостоверяющий личность, место жительства, номер телефона.
1.2 Номер телефона, факса контактного лица представителя, с которым могут связаться сотрудники антимонопольного органа.
1.3 Письменное доказательство полномочий представителя.
1.4 Адрес, по которому антимонопольным органом могут направляться все сообщения и решения.
2 Сведения (документы), определяющие предмет и содержание сделки, иного действия, подлежащих государственному контролю
2.1 При предоставлении в пользование акватории водного объекта:
заверенные в установленном порядке:
а) договор водопользования - в случае, если право пользования водным объектом предоставлено в соответствии с договором;
б) решение о предоставлении водного объекта в пользование - в случае, если право пользования водным объектом предоставлено в соответствии со статьей 21 Водного кодекса Российской Федерации.
- сведения об основных характеристиках водного объекта (наименование и вид водного объекта, принадлежность к гидрографической единице, водохозяйственному участку, субъект(ы) Российской Федерации, на территории которого расположен водный объект, назначение водного объекта, площадь зеркала водного объекта (всего объекта в км2) (Форма N 1 к Приложению N 3 Регламента);
- схематическое изображение в графической форме водного объекта и акватории водного объекта, с указанием координат местонахождения, и размещения средств и объектов водопользования, а также пояснительная записка к ним.
2.2 При приобретении акций (долей) указать цель совершенной сделки, информацию о планируемых изменениях в деятельности приобретателя и (или) в географии его деловых операций. Приложить договор, документы, подтверждающие переход права собственности на:
а) акции - выписка из реестра акционеров, выписка по счету ДЕПО, выписка из журнала операций по переходу права собственности на акции по состоянию на дату подачи уведомления, иное;
б) доли - копия нотариального удостоверения сделки, направленной на отчуждение доли или части доли в уставном капитале общества, либо в случаях, не требующих нотариального удостоверения, копия свидетельства о внесении изменений в государственный реестр юридических лиц на основании правоустанавливающих документов.
2.2.1 По приобретенным голосующим акциям (долям) в уставном капитале хозяйственного общества указывается:
- количество акций (долей) и их номинальная стоимость;
- доля в процентах от общего числа голосующих акций (долей).
2.2.2 Если одновременно приобретаются (приобретены) акции без права голоса, указать:
- количество акций и их номинальная стоимость;
- доля в процентах от общего числа акций без права голоса в уставном капитале хозяйственного общества;
- возможность конвертации акций без права голоса в голосующие акции (с приложением соответствующего документа (решение общего собрания акционеров о невыплате дивидендов)).
2.2.3 Указать объем прав приобретателя по отношению к хозяйственному обществу, акции (доли) которого приобретаются (приобретены), до совершения сделки, в том числе:
а) прав распоряжения голосами, воплощенными в акциях (долях) хозяйственного общества:
- количество, номинальная стоимость имеющихся до совершения сделки голосующих акций (долей в уставном капитале), а также их доля в процентах от общего числа голосующих акций (долей в уставном капитале) хозяйственного общества;
- количество, номинальная стоимость имеющихся до совершения сделки акций (долей) без права голоса и их доля в процентах от уставного капитала хозяйственного общества, возможность конвертации акций без права голоса в голосующие акции;
б) прав определять условия ведения хозяйственным обществом его предпринимательской деятельности (с указанием решений хозяйственного общества, определяемых приобретателем акций (долей), и основания для принятия таких решений).
2.2.4 Указать объем прав, которые получил приобретатель после совершения сделки в совокупности с имеющимися, в том числе количество и номинальную стоимость акций (долей) хозяйственного общества, голосами которых будет распоряжаться (распоряжается) приобретатель после совершения сделки, а также их долю в процентах от общего числа акций (долей) с правом голоса в уставном капитале хозяйственного общества и их долю в процентах от уставного капитала хозяйственного общества.
2.2.5 Указать сведения о лице, передающем права голоса, воплощенные в акциях (долях):
- наименование юридического лица и место его нахождения, ИНН либо ФИО и место жительства физического лица (для лиц, передающих более 5% акций);
- ФИО, номер телефона, факса руководителя;
- количество голосующих акций (долей) и их номинальная стоимость;
- доля в процентах от общего числа голосующих акций (долей).
2.3 При приобретении прав, позволяющих определять условия осуществления предпринимательской деятельности или осуществлять функции исполнительного органа, указать цель совершенного действия, информацию о планируемых изменениях в деятельности приобретателя или в географии его деловых операций; приложить копию договора.
2.4 При слиянии коммерческих организаций:
- указать цель слияния коммерческих организаций;
- приложить утвержденный устав созданного общества, договор о слиянии, передаточный акт.
2.5 При присоединении коммерческой организации к иной коммерческой организации:
- указать цель присоединения коммерческих организаций;
- приложить договор о реорганизации в форме присоединения, протокол общего собрания акционеров (участников) о реорганизации в форме присоединения, передаточный акт, а также свидетельство о внесении в единый государственный реестр юридических лиц записи о прекращении деятельности присоединенного юридического лица.
3 Информация о приобретателях, получателях. Информация об обществах, участвующих в слиянии/присоединении
3.1 Для юридических лиц указать:
- наименование юридического лица и место его нахождения;
- ФИО, номер телефона, факса руководителя;
- номер свидетельства о регистрации (перерегистрации), ИНН, сведения о налоговом органе, в котором организация состоит на учете.
Для иностранного юридического лица указать:
- наименование юридического лица и место его нахождения;
- ФИО, номер телефона, факса руководителя.
Если иностранное юридическое лицо или коммерческая организация с иностранными инвестициями имеет филиал, зарегистрированный в Российской Федерации, также указать номер свидетельства о государственной регистрации филиала.
Для физических лиц указать документ, удостоверяющий личность, место работы, должность, место жительства, гражданство, ИНН.
3.2 Сведения об основных видах деятельности, о продукции (работах, услугах), поставляемой на товарный рынок по Форме N 2 к Приложению N 3 Регламента. Данные сведения представляются по приобретателям, получателям, по обществам, участвующим в слиянии/присоединении, по хозяйственным обществам, акции, доли, основные производственные средства и (или) нематериальные активы которых приобретаются; по обществам, права в отношении которых приобретаются; обществах, чьи акции (доли) и (или) имущество вносятся в уставный капитал, и их группе лиц.
Если приобретатель, получатель, учредитель - иностранное юридическое лицо - имеет в Российской Федерации филиал, то дополнительно указать основные виды деятельности, продукции (работ, услуг), поставляемой на товарный рынок филиалом.
3.3 Указать перечень коммерческих организаций, более чем пятью процентами акций (долей) которых заявитель распоряжается на любом основании, в том числе:
- наименование юридического лица и адрес его местонахождения, ИНН, основной вид деятельности, процент акций;
- в каком качестве выступает заявитель (акционер; номинальный держатель акций; уполномоченный представитель акционера или номинального держателя акций, зарегистрированного в реестре акционеров; залогодержатель; дольщик; вкладчик и т.п.);
- количество голосов, приходящихся на акции (доли), которыми распоряжается заявитель, в том числе в процентах от общего количества голосов, приходящихся на акции (доли), составляющие уставный (складочный) капитал коммерческой организации.
3.4 Указать перечень коммерческих организаций, которые распоряжаются на любом основании более чем пятью процентами акций (долей) заявителя, в том числе:
- наименование юридического лица и адрес его местонахождения, ИНН, основной вид деятельности, процент акций;
- в каком качестве выступает юридическое лицо (акционер; номинальный держатель акций; уполномоченный представитель акционера или номинального держателя акций, зарегистрированного в реестре акционеров; залогодержатель; дольщик; вкладчик и т.п.);
- количество голосов, приходящихся на акции (доли), которыми распоряжается юридическое лицо, в том числе в процентах от общего числа голосов, приходящихся на акции (доли), составляющие уставный (складочный) капитал заявителя.
3.5 Указать перечень коммерческих организаций, которые распоряжаются на любом основании более чем пятью процентами акций (долей) заявителя, в том числе:
- наименование юридического лица и адрес его местонахождения, ИНН, основной вид деятельности, процент акций;
- в каком качестве выступает юридическое лицо (акционер; номинальный держатель акций; уполномоченный представитель акционера или номинального держателя акций, зарегистрированного в реестре акционеров; залогодержатель; дольщик; вкладчик и т.п.);
- количество голосов, приходящихся на акции (доли), которыми распоряжается юридическое лицо, в том числе в процентах от общего числа голосов, приходящихся на акции (доли), составляющие уставный (складочный) капитал заявителя.
3.6 Указать сведения о лицах, в интересах которых осуществляется владение более чем пятью процентами акций (долей) заявителя их номинальными держателями, в том числе о таких лицах, зарегистрированных в государстве, которое предоставляет льготный налоговый режим и (или) законодательством которого не предусматриваются раскрытие и предоставление информации юридическом лице (оффшорные зоны), в том числе:
- наименование юридического лица, адрес его местонахождения, основной вид деятельности, Ф.И.О. руководителя;
- Ф.И.О. физического лица и данные документа, удостоверяющего его личность, место работы, должность, место жительства, гражданство, ИНН.
4 Информация о лицах, принадлежащих к той же группе лиц, что и приобретатели; получатели; общества, участвующие в слиянии/присоединении
4.1 Информация по группе лиц (представляется по Форме представления перечня лиц, входящих в одну группу лиц, утвержденной Приказом ФАС России от 20.11.2006 N 293), с приложением схематического изображения группы.
При подаче уведомления предоставляется перечень лиц, входящих в одну группу, которая была образована на момент совершения сделки.
5 Информация о хозяйственном обществе, акции, доли которого приобретаются; об обществе, права в отношении которого приобретаются; обществах, чьи акции (доли) и (или) имущество вносятся в уставный капитал
5.1 Указать:
- наименование юридического лица и место его нахождения;
- номер свидетельства о регистрации (перерегистрации), ИНН, сведения о налоговом органе, в котором организация состоит на учете;
- ФИО, номер телефона, факса руководителя;
- величина уставного капитала;
- основные виды деятельности, продукции (работ, услуг), поставляемой на товарный рынок (перечислить) в соответствии с настоящим Приложением;
- информация по группе лиц хозяйственного общества (представляется по Форме представления перечня лиц, входящих в одну группу лиц, утвержденной Приказом ФАС России от 20.11.2006 N 293), с приложением схематического изображения группы лиц.
При подаче уведомления представляется перечень лиц, входящих в одну группу, которая была образована на момент совершения сделки;
- сведения о нахождении в Реестре хозяйствующих субъектов, имеющих долю на рынке определенного товара более чем 35%, с указанием наименования продукции, величины соответствующей доли и географии поставок (основные регионы (районы) поставок товара (работ, услуг).

Форма N 1
к Приложению N 3
Регламента

СВЕДЕНИЯ ОБ ОСНОВНЫХ ХАРАКТЕРИСТИКАХ ВОДНОГО ОБЪЕКТА

(наименование предприятия/организации/)

1. Наименование водного объекта (согласно данным государственного водного реестра)

2. Местоположение (речной бассейн, субъект Российской Федерации, муниципальное образование, населенный пункт)

3. Морфометрическая характеристика водного объекта в месте водопользования (по данным государственного водного реестра и регулярных наблюдений):

3.1. длина реки или ее участка, км          
3.2. расстояние от устья до места водопользования, км        
3.3. объем водохранилища, озера, пруда, обводненного карьера, тыс. куб. м    
3.4. площадь зеркала воды в водоеме, кв. км        
3.5. глубина водного объекта в месте водопользования:
минимальная   м, максимальная   м, средняя   м
и др.            

4. Гидрологическая характеристика водного объекта в месте водопользования (по данным государственного водного реестра и регулярных наблюдений):

4.1. среднемноголетний расход в створе наблюдения, ближайшем к месту водопользования, м3/сек

4.2. скорость течения, м/сек:
- в период максимального стока          
- в период минимального стока          
4.3. колебания уровня воды, среднемеженный уровень      
4.4. длительность неблагоприятных по водности периодов, дней    
4.5. среднегодовая температура вод,   , в т.ч. по сезонам года:  
весна , лето   , осень   , зима  
4.6. Качество воды водного объекта   класс      

5. Качество воды в водном объекте в месте водопользования:

(указывается индекс загрязнения вод и соответствующий ему класс качества воды: "чистая",
"относительно чистая", "умеренно-загрязненная", "загрязненная", "грязная", "очень грязная",
"чрезвычайно грязная"; в случае использования водного объекта для питьевого и хозяйственно-бытового
водоснабжения качество воды указывается по санитарно-эпидемиологическому заключению)
 
6. Цель использования водного объекта (акватории водного объекта)
 
Ответственный исполнитель /   /
    (должность, фамилия, имя, отчество)  

Форма N 2
к Приложению N 3
Регламента

Сведения об основных показателях хозяйственной деятельности

Год Наименование продукции (работ, услуг) Единица измерения (как в натуральном, так и в стоимостном выражении) Объем производства продукции (работ, услуг) Объем реализации продукции (работ, услуг)
всего В субъект РФ по месту регистрации в другие субъекты РФ на экспорт
в натуральном выражении в стоимостном выражении в натуральном выражении в стоимостном выражении в натуральном выражении в стоимостном выражении в натуральном выражении в стоимостном выражении
Весь объем продукции (работы, услуги) Работы, услуги, связанные с использованием водного объекта Весь объем продукции (работы, услуги) Работы, услуги, связанные с использованием водного объекта Весь объем продукции (работы, услуги) Работы, услуги, связанные с использованием водного объекта Весь объем продукции (работы, услуги) Работы, услуги, связанные с использованием водного объекта Весь объем продукции (работы, услуги) Работы, услуги, связанные с использованием водного объекта Весь объем продукции (работы, услуги) Работы, услуги, связанные с использованием водного объекта Весь объем продукции (работы, услуги) Работы, услуги, связанные с использованием водного объекта Весь объем продукции (работы, услуги) Работы, услуги, связанные с использованием водного объекта Весь объем продукции (работы, услуги) Работы, услуги, связанные с использованием водного объекта
1 2 3 4 5 6 7 8 9 10 11 12 13 14 15 16 17 18 19 20 21

Примечания:

1. Данные заполняются по основным видам выпускаемой продукции (работам, услугам), выручка от реализации которой составляет более 5% от совокупной выручки хозяйствующего субъекта (далее - основной вид продукции).

2. При незаполнении указывается причина.

3. Информация представляется за 2 календарных года (год, предшествующий году обращения в антимонопольный орган, и текущий год отдельно).

Сведения об основных покупателях (потребителях) продукции (работ, услуг)

Год Наименование продукции (работ, услуг) Себестоимость единицы продукции (работ, услуг) Отпускная цена единицы продукции (работ, услуг) Рентабельность единицы продукции (работ, услуг) Субъект РФ, наименование и адрес Объем покупки
Субъект РФ наименование покупателя продукции (работ, услуг) адрес покупателя продукции (работ, услуг) в натуральном выражении в стоимостном выражении
Весь объем продукции (работы, услуги) Работы, услуги, связанные с использованием водного объекта Весь объем продукции (работы, услуги) Работы, услуги, связанные с использованием водного объекта Весь объем продукции (работы, услуги) Работы, услуги, связанные с использованием водного объекта Весь объем продукции (работы, услуги) Работы, услуги, связанные с использованием водного объекта Весь объем продукции (работы, услуги) Работы, услуги, связанные с использованием водного объекта Весь объем продукции (работы, услуги) Работы, услуги, связанные с использованием водного объекта
1 2 3 4 5 6 7 8 9 10 11 12 13 14 15 16

Примечания:

1. Данные заполняются по основным видам выпускаемой продукции (работам, услугам).

2. В графах 7 - 12 указываются покупатели, приобретающие более 5% продукции (работ, услуг), реализуемой лицом.

3. При незаполнении указывается причина.

4. Информация представляется за 2 календарных года (год, предшествующий году обращения в антимонопольный орган, и текущий год отдельно).

Сведения о закупках продукции (работ, услуг), сырья и комплектующих

Год Наименование продукции (работ, услуг) Единица измерения (как в натуральном, так и в стоимостном выражении) Субъект РФ, наименование и адрес поставщика продукции (работ, услуг) Объем закупки продукции (работ, услуг) Закупочная цена единицы продукции (работ, услуг)
Субъект РФ наименование поставщика продукции (работ, услуг) адрес поставщика продукции (работ, услуг) в натуральном выражении в стоимостном выражении
А Б В 1 2 3 4 5 6

Примечания:

1. Данные заполняются по основным видам закупаемой продукции (работам, услугам), необходимой для осуществления основных видов деятельности приобретателя.

2. В графах 1 - 3 указываются поставщики, поставляющие более 5% продукции (работ, услуг) от общего объема поставок определенного вида продукции (работ, услуг).

3. При незаполнении указывается причина.

4. Информация представляется за 2 календарных года (год, предшествующий году обращения в антимонопольный орган, и текущий год отдельно).