Постановление Правительства РФ от 13.10.2014 N 1047

"Об общих правилах определения нормативных затрат на обеспечение функций государственных органов, органов управления государственными внебюджетными фондами и муниципальных органов, включая соответственно территориальные органы и подведомственные казенные учреждения"
Редакция от 11.03.2016 — Не действует Перейти в действующую
Показать изменения

ПРАВИТЕЛЬСТВО РОССИЙСКОЙ ФЕДЕРАЦИИ

ПОСТАНОВЛЕНИЕ
от 13 октября 2014 г. N 1047

ОБ ОБЩИХ ПРАВИЛАХ ОПРЕДЕЛЕНИЯ НОРМАТИВНЫХ ЗАТРАТ НА ОБЕСПЕЧЕНИЕ ФУНКЦИЙ ГОСУДАРСТВЕННЫХ ОРГАНОВ, ОРГАНОВ УПРАВЛЕНИЯ ГОСУДАРСТВЕННЫМИ ВНЕБЮДЖЕТНЫМИ ФОНДАМИ И МУНИЦИПАЛЬНЫХ ОРГАНОВ, ВКЛЮЧАЯ СООТВЕТСТВЕННО ТЕРРИТОРИАЛЬНЫЕ ОРГАНЫ И ПОДВЕДОМСТВЕННЫЕ КАЗЕННЫЕ УЧРЕЖДЕНИЯ

(в ред. Постановления Правительства РФ от 11.03.2016 N 183)

В соответствии с пунктом 2 части 3 статьи 19 Федерального закона "О контрактной системе в сфере закупок товаров, работ, услуг для обеспечения государственных и муниципальных нужд" Правительство Российской Федерации постановляет:

1. Утвердить прилагаемые Общие правила определения нормативных затрат на обеспечение функций государственных органов, органов управления государственными внебюджетными фондами и муниципальных органов, включая соответственно территориальные органы и подведомственные казенные учреждения. (в ред. Постановления Правительства РФ от 11.03.2016 N 183)

2. Установить, что Общие правила, утвержденные настоящим постановлением, применяются при определении нормативных затрат на обеспечение функций государственных органов, органов управления государственными внебюджетными фондами и муниципальных органов, включая соответственно территориальные органы и подведомственные казенные учреждения, в целях обоснования в соответствии со статьями 18 и 19 Федерального закона "О контрактной системе в сфере закупок товаров, работ, услуг для обеспечения государственных и муниципальных нужд" объекта и (или) объектов закупки, наименования которых включаются в планы закупок. (в ред. Постановления Правительства РФ от 11.03.2016 N 183)

3. Настоящее постановление вступает в силу с 1 января 2015 г.

Председатель Правительства
Российской Федерации
Д.МЕДВЕДЕВ

УТВЕРЖДЕНЫ
постановлением Правительства
Российской Федерации
от 13 октября 2014 г. N 1047

ОБЩИЕ ПРАВИЛА
ОПРЕДЕЛЕНИЯ НОРМАТИВНЫХ ЗАТРАТ НА ОБЕСПЕЧЕНИЕ ФУНКЦИЙ ГОСУДАРСТВЕННЫХ ОРГАНОВ, ОРГАНОВ УПРАВЛЕНИЯ ГОСУДАРСТВЕННЫМИ ВНЕБЮДЖЕТНЫМИ ФОНДАМИ И МУНИЦИПАЛЬНЫХ ОРГАНОВ,ВКЛЮЧАЯ СООТВЕТСТВЕННО ТЕРРИТОРИАЛЬНЫЕ ОРГАНЫ И ПОДВЕДОМСТВЕННЫЕ КАЗЕННЫЕ УЧРЕЖДЕНИЯ

(в ред. Постановления Правительства РФ от 11.03.2016 N 183)

I. Общие положения

1. Настоящий документ устанавливает порядок определения нормативных затрат на обеспечение функций государственных органов, органов управления государственными внебюджетными фондами и муниципальных органов, включая соответственно территориальные органы и подведомственные казенные учреждения, в части закупок товаров, работ и услуг для обоснования в соответствии с частью 2 статьи 18 Федерального закона "О контрактной системе в сфере закупок товаров, работ, услуг для обеспечения государственных и муниципальных нужд" объекта и (или) объектов закупки, наименования которых включаются в планы закупок (далее - нормативные затраты). (в ред. Постановления Правительства РФ от 11.03.2016 N 183)

2. В соответствии с пунктом 2 части 4 статьи 19 Федерального закона "О контрактной системе в сфере закупок товаров, работ, услуг для обеспечения государственных и муниципальных нужд" и настоящим документом Правительство Российской Федерации, высшие исполнительные органы государственной власти субъектов Российской Федерации и местные администрации устанавливают правила определения нормативных затрат соответственно федеральных государственных органов, органов управления государственными внебюджетными фондами Российской Федерации, государственных органов субъектов Российской Федерации, органов управления территориальными государственными внебюджетными фондами и муниципальных органов, включая соответственно территориальные органы и подведомственные казенные учреждения (далее - правила определения нормативных затрат). (в ред. Постановления Правительства РФ от 11.03.2016 N 183)

3. Государственные органы, органы управления государственными внебюджетными фондами и муниципальные органы утверждают нормативные затраты в соответствии с правилами определения нормативных затрат, а также вносят изменения в нормативные затраты. (в ред. Постановления Правительства РФ от 11.03.2016 N 183)

4. Общий объем затрат, связанных с закупкой товаров, работ и услуг, рассчитанный на основе нормативных затрат, не может превышать объема лимитов бюджетных обязательств, доведенных до федеральных государственных органов, органов управления государственными внебюджетными фондами Российской Федерации, государственных органов субъектов Российской Федерации, органов управления территориальными государственными внебюджетными фондами, муниципальных органов, включая соответственно территориальные органы и подведомственные казенные учреждения, как получателей средств соответствующего бюджета на закупку товаров, работ и услуг в рамках исполнения соответственно федерального бюджета, бюджетов государственных внебюджетных фондов Российской Федерации, бюджетов субъектов Российской Федерации, бюджетов территориальных государственных внебюджетных фондов и местных бюджетов. (в ред. Постановления Правительства РФ от 11.03.2016 N 183)

5. Для расчета нормативных затрат по видам затрат, предусмотренным пунктом 6 настоящего документа, правилами определения нормативных затрат предусматриваются формулы расчета и порядок их применения, порядок расчета, не предусматривающий применение формул, а также может предоставляться в соответствии с требованиями к определению нормативных затрат государственным органам, органам управления государственными внебюджетными фондами и муниципальным органам при утверждении нормативных затрат право устанавливать иные формулы расчета и порядок их применения. (в ред. Постановления Правительства РФ от 11.03.2016 N 183)

Государственные органы, органы управления государственными внебюджетными фондами и муниципальные органы при утверждении нормативных затрат в составе видов и соответствующих им групп нормативных затрат в дополнение к установленным подгруппам затрат могут устанавливать подгруппы затрат, не установленные настоящим документом и правилами определения нормативных затрат. (в ред. Постановления Правительства РФ от 11.03.2016 N 183)

II. Виды и состав нормативных затрат

6. К видам нормативных затрат относятся:

а) затраты на закупку товаров, работ и услуг для обеспечения горюче-смазочными материалами и вещевого обеспечения органов в сфере национальной безопасности, правоохранительной деятельности и обороны вне рамок государственного оборонного заказа;

б) затраты на закупку товаров, работ и услуг в целях формирования государственного материального резерва, в том числе в рамках государственного оборонного заказа;

в) затраты на научно-исследовательские и опытно-конструкторские работы;

г) затраты на информационно-коммуникационные технологии;

д) затраты на капитальный ремонт государственного (муниципального) имущества;

е) затраты на финансовое обеспечение строительства, реконструкции (в том числе с элементами реставрации), технического перевооружения объектов капитального строительства государственной (муниципальной) собственности или приобретение объектов недвижимого имущества в государственную (муниципальную) собственность;

ж) затраты на дополнительное профессиональное образование работников;

з) прочие затраты (в том числе затраты на закупку товаров, работ и услуг в целях оказания государственных (муниципальных) услуг (выполнения работ) и реализации государственных (муниципальных) функций).

7. Отнесение затрат к одному из видов затрат, предусмотренных пунктом 6 настоящего документа, осуществляется в соответствии с положениями правового акта Министерства финансов Российской Федерации, регулирующего порядок применения бюджетной классификации Российской Федерации.

8. Затраты на закупку товаров, работ и услуг для обеспечения горюче-смазочными материалами и вещевого обеспечения органов в сфере национальной безопасности, правоохранительной деятельности и обороны вне рамок государственного оборонного заказа включают следующие группы: (в ред. Постановления Правительства РФ от 11.03.2016 N 183)

а) затраты на транспортные услуги;

б) затраты на аренду;

в) затраты на содержание имущества;

г) затраты на приобретение прочих работ и услуг, не относящихся к затратам на транспортные услуги, аренду и содержание имущества;

д) затраты на приобретение основных средств;

е) затраты на приобретение материальных запасов;

ж) иные затраты на закупку товаров, работ и услуг для обеспечения горюче-смазочными материалами и вещевого обеспечения органов в сфере национальной безопасности, правоохранительной деятельности и обороны вне рамок государственного оборонного заказа.

9. Затраты на закупку товаров, работ и услуг в целях формирования государственного материального резерва, в том числе в рамках государственного оборонного заказа, включают следующие группы: (в ред. Постановления Правительства РФ от 11.03.2016 N 183)

а) затраты на услуги связи;

б) затраты на транспортные услуги;

в) затраты на аренду;

г) затраты на содержание имущества;

д) затраты на приобретение прочих работ и услуг, не относящихся к затратам на услуги связи, транспортные услуги, аренду и содержание имущества;

е) затраты на приобретение основных средств;

ж) затраты на приобретение нематериальных активов;

з) затраты на приобретение материальных запасов;

и) иные затраты на закупку товаров, работ и услуг в целях формирования государственного материального резерва, в том числе в рамках государственного оборонного заказа.

10. Затраты на научно-исследовательские и опытно-конструкторские работы включают в себя затраты на приобретение работ, услуг и нематериальных активов.

Группа затрат на приобретение нематериальных активов включает следующие подгруппы: (в ред. Постановления Правительства РФ от 11.03.2016 N 183)

затраты на приобретение исключительных прав на ноу-хау и объекты смежных прав;

затраты на приобретение исключительных прав на научные разработки и изобретения;

иные затраты на приобретение нематериальных активов в рамках выполнения научно-исследовательских и опытно-конструкторских работ.

11. Затраты на информационно-коммуникационные технологии включают в себя:

затраты на услуги связи;

затраты на аренду;

затраты на содержание имущества;

затраты на приобретение прочих работ и услуг, не относящихся к затратам на услуги связи, аренду и содержание имущества;

затраты на приобретение основных средств;

затраты на приобретение нематериальных активов;

затраты на приобретение материальных запасов в сфере информационно-коммуникационных технологий;

иные затраты в сфере информационно-коммуникационных технологий.

Группа затрат на услуги связи включает следующие подгруппы: (в ред. Постановления Правительства РФ от 11.03.2016 N 183)

затраты на абонентскую плату; (в ред. Постановления Правительства РФ от 11.03.2016 N 183)

затраты на повременную оплату местных, междугородних и международных телефонных соединений; (в ред. Постановления Правительства РФ от 11.03.2016 N 183)

затраты на оплату услуг подвижной связи; (в ред. Постановления Правительства РФ от 11.03.2016 N 183)

затраты на передачу данных с использованием информационно-телекоммуникационной сети "Интернет" и услуг интернет-провайдеров для планшетных компьютеров; (в ред. Постановления Правительства РФ от 11.03.2016 N 183)

затраты на передачу данных с использованием информационно-телекоммуникационной сети "Интернет" и услуг интернет-провайдеров; (в ред. Постановления Правительства РФ от 11.03.2016 N 183)

затраты на электросвязь, относящуюся к связи специального назначения, используемой на региональном уровне; (в ред. Постановления Правительства РФ от 11.03.2016 N 183)

затраты на электросвязь, относящуюся к связи специального назначения, используемой на федеральном уровне; (в ред. Постановления Правительства РФ от 11.03.2016 N 183)

затраты на оплату услуг по предоставлению цифровых потоков для коммутируемых телефонных соединений; (в ред. Постановления Правительства РФ от 11.03.2016 N 183)

затраты на оплату иных услуг связи в сфере информационно-коммуникационных технологий. (в ред. Постановления Правительства РФ от 11.03.2016 N 183)

Группа затрат на содержание имущества включает следующие подгруппы: (в ред. Постановления Правительства РФ от 11.03.2016 N 183)

затраты на техническое обслуживание и регламентно-профилактический ремонт вычислительной техники; (в ред. Постановления Правительства РФ от 11.03.2016 N 183)

затраты на техническое обслуживание и регламентно-профилактический ремонт оборудования по обеспечению безопасности информации; (в ред. Постановления Правительства РФ от 11.03.2016 N 183)

затраты на техническое обслуживание и регламентно-профилактический ремонт системы телефонной связи (автоматизированных телефонных станций); (в ред. Постановления Правительства РФ от 11.03.2016 N 183)

затраты на техническое обслуживание и регламентно-профилактический ремонт локальных вычислительных сетей; (в ред. Постановления Правительства РФ от 11.03.2016 N 183)

затраты на техническое обслуживание и регламентно-профилактический ремонт систем бесперебойного питания; (в ред. Постановления Правительства РФ от 11.03.2016 N 183)

затраты на техническое обслуживание и регламентно-профилактический ремонт принтеров, многофункциональных устройств и копировальных аппаратов (оргтехники); (в ред. Постановления Правительства РФ от 11.03.2016 N 183)

иные затраты, относящиеся к затратам на содержание имущества в сфере информационно-коммуникационных технологий. (в ред. Постановления Правительства РФ от 11.03.2016 N 183)

Группа затрат на приобретение прочих работ и услуг, не относящихся к затратам на услуги связи, аренду и содержание имущества, включает следующие подгруппы: (в ред. Постановления Правительства РФ от 11.03.2016 N 183)

затраты на оплату услуг по сопровождению программного обеспечения и приобретению простых (неисключительных) лицензий на использование программного обеспечения; (в ред. Постановления Правительства РФ от 11.03.2016 N 183)

затраты на оплату услуг, связанных с обеспечением безопасности информации; (в ред. Постановления Правительства РФ от 11.03.2016 N 183)

затраты на оплату работ по монтажу (установке), дооборудованию и наладке оборудования; (в ред. Постановления Правительства РФ от 11.03.2016 N 183)

иные затраты, относящиеся к затратам на приобретение прочих работ и услуг, не относящихся к затратам на услуги связи, аренду и содержание имущества, в сфере информационно-коммуникационных технологий. (в ред. Постановления Правительства РФ от 11.03.2016 N 183)

Группа затрат на приобретение основных средств включает следующие подгруппы: (в ред. Постановления Правительства РФ от 11.03.2016 N 183)

затраты на приобретение рабочих станций; (в ред. Постановления Правительства РФ от 11.03.2016 N 183)

затраты на приобретение принтеров, многофункциональных устройств и копировальных аппаратов (оргтехники); (в ред. Постановления Правительства РФ от 11.03.2016 N 183)

затраты на приобретение средств подвижной связи; (в ред. Постановления Правительства РФ от 11.03.2016 N 183)

затраты на приобретение планшетных компьютеров; (в ред. Постановления Правительства РФ от 11.03.2016 N 183)

затраты на приобретение оборудования по обеспечению безопасности информации; (в ред. Постановления Правительства РФ от 11.03.2016 N 183)

иные затраты, относящиеся к затратам на приобретение основных средств в сфере информационно-коммуникационных технологий. (в ред. Постановления Правительства РФ от 11.03.2016 N 183)

Группа затрат на приобретение нематериальных активов включает подгруппы затрат на приобретение исключительных лицензий на использование программного обеспечения и затрат на доработку существующего прикладного программного обеспечения, числящегося на балансе государственного органа, органа управления государственными внебюджетными фондами, муниципального органа, их территориальных органов и других нематериальных активов в сфере информационно-коммуникационных технологий. (в ред. Постановления Правительства РФ от 11.03.2016 N 183)

Группа затрат на приобретение материальных запасов в сфере информационно-коммуникационных технологий включает следующие подгруппы: (в ред. Постановления Правительства РФ от 11.03.2016 N 183)

затраты на приобретение мониторов; (в ред. Постановления Правительства РФ от 11.03.2016 N 183)

затраты на приобретение системных блоков; (в ред. Постановления Правительства РФ от 11.03.2016 N 183)

затраты на приобретение других запасных частей для вычислительной техники; (в ред. Постановления Правительства РФ от 11.03.2016 N 183)

затраты на приобретение магнитных и оптических носителей информации; (в ред. Постановления Правительства РФ от 11.03.2016 N 183)

затраты на приобретение деталей для содержания принтеров, многофункциональных устройств и копировальных аппаратов (оргтехники); (в ред. Постановления Правительства РФ от 11.03.2016 N 183)

затраты на приобретение материальных запасов по обеспечению безопасности информации; (в ред. Постановления Правительства РФ от 11.03.2016 N 183)

иные затраты, относящиеся к затратам на приобретение материальных запасов в сфере информационно-коммуникационных технологий. (в ред. Постановления Правительства РФ от 11.03.2016 N 183)

12. Затраты на капитальный ремонт государственного (муниципального) имущества включают следующие группы: (в ред. Постановления Правительства РФ от 11.03.2016 N 183)

а) затраты на транспортные услуги;

б) затраты на аренду;

в) затраты на содержание государственного (муниципального) имущества;

г) затраты на приобретение прочих работ и услуг, не относящихся к затратам на транспортные услуги, аренду и содержание государственного (муниципального) имущества;

д) затраты на приобретение основных средств;

е) затраты на приобретение материальных запасов;

ж) иные затраты, связанные с осуществлением капитального ремонта государственного (муниципального) имущества.

13. Затраты на финансовое обеспечение строительства, реконструкции (в том числе с элементами реставрации), технического перевооружения объектов капитального строительства государственной (муниципальной) собственности или приобретение объектов недвижимого имущества в государственную (муниципальную) собственность включают следующие группы: (в ред. Постановления Правительства РФ от 11.03.2016 N 183)

а) затраты на аренду;

б) затраты на приобретение прочих работ и услуг, не относящихся к затратам на аренду, связанных с осуществлением строительства, реконструкции (в том числе с элементами реставрации) и технического перевооружения;

в) затраты на приобретение основных средств и приобретение непроизведенных активов;

г) затраты на приобретение материальных запасов;

д) иные затраты, связанные со строительством, реконструкцией (в том числе с элементами реставрации), техническим перевооружением объектов капитального строительства или с приобретением объектов недвижимого имущества.

14. Затраты на дополнительное профессиональное образование работников включают группу затрат на приобретение образовательных услуг по профессиональной переподготовке и повышению квалификации, а также группу иных затрат, связанных с обеспечением дополнительного профессионального образования в соответствии с нормативными правовыми актами о государственной гражданской службе, военной службе, правоохранительной службе, муниципальной службе и законодательством Российской Федерации об образовании. (в ред. Постановления Правительства РФ от 11.03.2016 N 183)

15. Прочие затраты (в том числе затраты на закупку товаров, работ и услуг в целях оказания государственных (муниципальных) услуг (выполнения работ) и реализации государственных (муниципальных) функций), не указанные в пунктах 7 - 13 настоящего документа, включают следующие группы: (в ред. Постановления Правительства РФ от 11.03.2016 N 183)

затраты на услуги связи;

затраты на транспортные услуги;

затраты на оплату расходов по договорам об оказании услуг, связанных с проездом и наймом жилого помещения в связи с командированием работников, заключаемым со сторонними организациями;

затраты на коммунальные услуги;

затраты на аренду помещений и оборудования;

затраты на содержание имущества;

затраты на приобретение прочих работ и услуг, не относящихся к затратам на услуги связи, транспортные услуги, оплату расходов по договорам об оказании услуг, связанных с проездом и наймом жилого помещения в связи с командированием работников, заключаемым со сторонними организациями, а также к затратам на коммунальные услуги, аренду помещений и оборудования, содержание имущества;

затраты на приобретение основных средств;

затраты на приобретение нематериальных активов;

затраты на приобретение материальных запасов, не отнесенные к затратам, указанным в пунктах 7 - 13 настоящего документа;

иные прочие затраты, не отнесенные к иным затратам, указанным в пунктах 7 - 13 настоящего документа.

Группа затрат на услуги связи включает следующие подгруппы: (в ред. Постановления Правительства РФ от 11.03.2016 N 183)

затраты на оплату услуг почтовой связи; (в ред. Постановления Правительства РФ от 11.03.2016 N 183)

затраты на оплату услуг специальной связи; (в ред. Постановления Правительства РФ от 11.03.2016 N 183)

иные затраты, относящиеся к затратам на услуги связи в рамках затрат, указанных в абзацах первом - двенадцатом настоящего пункта. (в ред. Постановления Правительства РФ от 11.03.2016 N 183)

Группа затрат на транспортные услуги включает следующие подгруппы: (в ред. Постановления Правительства РФ от 11.03.2016 N 183)

затраты по договору об оказании услуг перевозки (транспортировки) грузов; (в ред. Постановления Правительства РФ от 11.03.2016 N 183)

затраты на оплату услуг аренды транспортных средств; (в ред. Постановления Правительства РФ от 11.03.2016 N 183)

затраты на оплату разовых услуг пассажирских перевозок при проведении совещания; (в ред. Постановления Правительства РФ от 11.03.2016 N 183)

затраты на оплату проезда работника к месту нахождения учебного заведения и обратно; (в ред. Постановления Правительства РФ от 11.03.2016 N 183)

иные затраты, относящиеся к затратам на транспортные услуги в рамках затрат, указанных в абзацах первом - двенадцатом настоящего пункта. (в ред. Постановления Правительства РФ от 11.03.2016 N 183)

Группа затрат на оплату расходов по договорам об оказании услуг, связанных с проездом и наймом жилого помещения в связи с командированием работников, заключаемым со сторонними организациями, рассчитывается в соответствии с порядком и условиями командирования, которые установлены правовыми актами Президента Российской Федерации или Правительства Российской Федерации, высших исполнительных органов государственной власти субъектов Российской Федерации и местных администраций, с учетом показателей утвержденных планов-графиков проведения совещаний, контрольных мероприятий и профессиональной подготовки работников. Указанная группа затрат включает группы затрат на проезд к месту командирования и обратно и нормативных затрат по найму жилого помещения на период командирования в рамках затрат, указанных в абзацах первом - двенадцатом настоящего пункта. (в ред. Постановления Правительства РФ от 11.03.2016 N 183)

Группа затрат на коммунальные услуги включает следующие подгруппы: (в ред. Постановления Правительства РФ от 11.03.2016 N 183)

затраты на газоснабжение и иные виды топлива; (в ред. Постановления Правительства РФ от 11.03.2016 N 183)

затраты на электроснабжение; (в ред. Постановления Правительства РФ от 11.03.2016 N 183)

затраты на теплоснабжение; (в ред. Постановления Правительства РФ от 11.03.2016 N 183)

затраты на горячее водоснабжение; (в ред. Постановления Правительства РФ от 11.03.2016 N 183)

затраты на холодное водоснабжение и водоотведение; (в ред. Постановления Правительства РФ от 11.03.2016 N 183)

затраты на оплату услуг лиц, привлекаемых на основании гражданско-правовых договоров; (в ред. Постановления Правительства РФ от 11.03.2016 N 183)

иные затраты, относящиеся к затратам на коммунальные услуги в рамках затрат, указанных в абзацах первом - двенадцатом настоящего пункта. Формирование затрат на коммунальные услуги осуществляется с учетом требований законодательства Российской Федерации об энергосбережении и о повышении энергетической эффективности. (в ред. Постановления Правительства РФ от 11.03.2016 N 183)

Группа затрат на аренду помещений и оборудования включает следующие подгруппы: (в ред. Постановления Правительства РФ от 11.03.2016 N 183)

затраты на аренду помещений; (в ред. Постановления Правительства РФ от 11.03.2016 N 183)

затраты на аренду помещения (зала) для проведения совещания; (в ред. Постановления Правительства РФ от 11.03.2016 N 183)

затраты на аренду оборудования для проведения совещания; (в ред. Постановления Правительства РФ от 11.03.2016 N 183)

иные затраты, относящиеся к затратам на аренду помещений и оборудования в рамках затрат, указанных в абзацах первом - двенадцатом настоящего пункта. (в ред. Постановления Правительства РФ от 11.03.2016 N 183)

Группа затрат на содержание имущества включает следующие подгруппы: (в ред. Постановления Правительства РФ от 11.03.2016 N 183)

затраты на содержание и техническое обслуживание помещений; (в ред. Постановления Правительства РФ от 11.03.2016 N 183)

затраты на техническое обслуживание и ремонт транспортных средств; (в ред. Постановления Правительства РФ от 11.03.2016 N 183)

затраты на техническое обслуживание и регламентно-профилактический ремонт бытового оборудования; (в ред. Постановления Правительства РФ от 11.03.2016 N 183)

затраты на техническое обслуживание и регламентно-профилактический ремонт иного оборудования; (в ред. Постановления Правительства РФ от 11.03.2016 N 183)

затраты на оплату услуг лиц, привлекаемых на основании гражданско-правовых договоров; (в ред. Постановления Правительства РФ от 11.03.2016 N 183)

иные затраты, относящиеся к затратам на содержание имущества в рамках затрат, указанных в абзацах первом - двенадцатом настоящего пункта. (в ред. Постановления Правительства РФ от 11.03.2016 N 183)

Группа затрат на приобретение прочих работ и услуг, не относящихся к затратам на услуги связи, транспортные услуги, оплату расходов по договорам об оказании услуг, связанных с проездом и наймом жилого помещения в связи с командированием работников, заключаемым со сторонними организациями, а также к затратам на коммунальные услуги, аренду помещений и оборудования, содержание имущества, включает следующие подгруппы: (в ред. Постановления Правительства РФ от 11.03.2016 N 183)

затраты на оплату типографских работ и услуг, включая приобретение периодических печатных изданий; (в ред. Постановления Правительства РФ от 11.03.2016 N 183)

затраты на оплату услуг лиц, привлекаемых на основании гражданско-правовых договоров; (в ред. Постановления Правительства РФ от 11.03.2016 N 183)

затраты на проведение предрейсового и послерейсового осмотра водителей транспортных средств; (в ред. Постановления Правительства РФ от 11.03.2016 N 183)

затраты на аттестацию специальных помещений; (в ред. Постановления Правительства РФ от 11.03.2016 N 183)

затраты на проведение диспансеризации работников; (в ред. Постановления Правительства РФ от 11.03.2016 N 183)

затраты на монтаж (установку), дооборудование и наладку оборудования; (в ред. Постановления Правительства РФ от 11.03.2016 N 183)

затраты на оплату услуг вневедомственной охраны; (в ред. Постановления Правительства РФ от 11.03.2016 N 183)

затраты на приобретение полисов обязательного страхования гражданской ответственности владельцев транспортных средств; (в ред. Постановления Правительства РФ от 11.03.2016 N 183)

затраты на оплату труда независимых экспертов; (в ред. Постановления Правительства РФ от 11.03.2016 N 183)

иные затраты, относящиеся к затратам на приобретение прочих работ и услуг, не относящихся к затратам на услуги связи, транспортные услуги, оплату расходов по договорам об оказании услуг, связанных с проездом и наймом жилого помещения в связи с командированием работников, заключаемым со сторонними организациями, а также к затратам на коммунальные услуги, аренду помещений и оборудования и содержание имущества, в рамках затрат, указанных в абзацах первом - двенадцатом настоящего пункта. (в ред. Постановления Правительства РФ от 11.03.2016 N 183)

Группа затрат на приобретение основных средств включает следующие подгруппы: (в ред. Постановления Правительства РФ от 11.03.2016 N 183)

затраты на приобретение транспортных средств; (в ред. Постановления Правительства РФ от 11.03.2016 N 183)

затраты на приобретение мебели; (в ред. Постановления Правительства РФ от 11.03.2016 N 183)

затраты на приобретение систем кондиционирования; (в ред. Постановления Правительства РФ от 11.03.2016 N 183)

иные затраты, относящиеся к затратам на приобретение основных средств в рамках затрат, указанных в абзацах первом - двенадцатом настоящего пункта. (в ред. Постановления Правительства РФ от 11.03.2016 N 183)

Группа затрат на приобретение материальных запасов, не отнесенные к затратам, указанным в пунктах 7 - 13 настоящего документа, включает следующие подгруппы: (в ред. Постановления Правительства РФ от 11.03.2016 N 183)

затраты на приобретение бланочной продукции; (в ред. Постановления Правительства РФ от 11.03.2016 N 183)

затраты на приобретение канцелярских принадлежностей; (в ред. Постановления Правительства РФ от 11.03.2016 N 183)

затраты на приобретение хозяйственных товаров и принадлежностей; (в ред. Постановления Правительства РФ от 11.03.2016 N 183)

затраты на приобретение горюче-смазочных материалов; (в ред. Постановления Правительства РФ от 11.03.2016 N 183)

затраты на приобретение запасных частей для транспортных средств; (в ред. Постановления Правительства РФ от 11.03.2016 N 183)

затраты на приобретение материальных запасов для нужд гражданской обороны; (в ред. Постановления Правительства РФ от 11.03.2016 N 183)

иные затраты, относящиеся к затратам на приобретение материальных запасов в рамках затрат, указанных в абзацах первом - двенадцатом настоящего пункта. (в ред. Постановления Правительства РФ от 11.03.2016 N 183)

16. Формулы расчета, применяемые при определении нормативных затрат, учитывают:

а) установленные государственными органами, органами управления государственными внебюджетными фондами и муниципальными органами нормативы количества товаров, работ, услуг и (или) нормативы цены товаров, работ, услуг; (в ред. Постановления Правительства РФ от 11.03.2016 N 183)

б) сроки эксплуатации (в отношении основных средств);

в) численность работников, определяемую в соответствии с пунктами 17 - 22 настоящего документа;

г) остатки основных средств и материальных запасов;

д) пункт утратил силу. (в ред. Постановления Правительства РФ от 11.03.2016 N 183)

17. При определении нормативных затрат используется показатель расчетной численности основных работников.

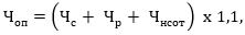
Показатель расчетной численности основных работников для федеральных государственных органов, не относящихся к сфере национальной безопасности, правоохранительной деятельности и обороны, определяется по формуле:

где:

- фактическая численность служащих;

- фактическая численность работников, замещающих должности, не являющиеся должностями службы;

- фактическая численность работников, денежное содержание которых осуществляется в рамках системы оплаты труда, определенной в соответствии с постановлением Правительства Российской Федерации от 5 августа 2008 г. N 583 "О введении новых систем оплаты труда работников федеральных бюджетных, автономных и казенных учреждений и федеральных государственных органов, а также гражданского персонала воинских частей, учреждений и подразделений федеральных органов исполнительной власти, в которых законом предусмотрена военная и приравненная к ней служба, оплата труда которых в настоящее время осуществляется на основе Единой тарифной сетки по оплате труда работников федеральных государственных учреждений";

1,1 - коэффициент, который может быть использован на случай замещения вакантных должностей.

18. Показатель расчетной численности основных работников () для государственных органов субъектов Российской Федерации и муниципальных органов, не относящихся к сфере национальной безопасности, правоохранительной деятельности и обороны, определяется по формуле, установленной для федеральных государственных органов, не относящихся к сфере национальной безопасности, правоохранительной деятельности и обороны, если в соответствии с настоящим документом в правилах определения нормативных затрат, утвержденных высшими исполнительными органами государственной власти субъектов Российской Федерации или местными администрациями, не установлен иной порядок расчета показателя. (в ред. Постановления Правительства РФ от 11.03.2016 N 183)

19. Показатель расчетной численности основных работников () для федеральных государственных органов, относящихся к сфере национальной безопасности, правоохранительной деятельности и обороны, определяется по формуле:

где:

- фактическая численность работников, являющихся военнослужащими;

- фактическая численность сотрудников, имеющих специальные звания.

20. Показатель расчетной численности основных работников () для государственных органов субъектов Российской Федерации и муниципальных органов, относящихся к сфере национальной безопасности, правоохранительной деятельности и обороны, определяется по формуле, установленной для федеральных государственных органов, относящихся к сфере национальной безопасности, правоохранительной деятельности и обороны, если в соответствии с настоящим документом в правилах определения нормативных затрат, утвержденных высшими исполнительными органами государственной власти субъектов Российской Федерации или местными администрациями, не установлен иной порядок расчета показателя. (в ред. Постановления Правительства РФ от 11.03.2016 N 183)

21. Показатель расчетной численности основных работников () для государственных внебюджетных фондов определяется по формуле:

где - фактическая численность работников государственного внебюджетного фонда.

22. В случае если полученное значение расчетной численности превышает значение предельной численности, при определении нормативных затрат используется значение предельной численности.

23. Норматив цены товаров, работ и услуг, устанавливаемый в формулах расчета, определяется с учетом положений статьи 22 Федерального закона "О контрактной системе в сфере закупок товаров, работ, услуг для обеспечения государственных и муниципальных нужд". (в ред. Постановления Правительства РФ от 11.03.2016 N 183)