Приказ ЦБ РФ от 30.03.96 N 02-77

"Об утверждении Положения "Об обязательных резервах кредитных организаций, депонируемых в Центральном банке Российской Федерации"
Редакция от 25.02.1998 — Документ утратил силу, см. «Указание ЦБ РФ от 27.04.2004 N 1424-У»
Показать изменения

ЦЕНТРАЛЬНЫЙ БАНК РОССИЙСКОЙ ФЕДЕРАЦИИ

ПРИКАЗ
от 30 марта 1996 г. N 02-77

ОБ УТВЕРЖДЕНИИ ПОЛОЖЕНИЯ "ОБ ОБЯЗАТЕЛЬНЫХ РЕЗЕРВАХ КРЕДИТНЫХ ОРГАНИЗАЦИЙ, ДЕПОНИРУЕМЫХ В ЦЕНТРАЛЬНОМ БАНКЕ РОССИЙСКОЙ ФЕДЕРАЦИИ"

(в ред. - Писем ЦБ РФ от 26.04.96 N 279, от 25.04.97 N 440; Телеграммы ЦБ РФ от 06.06.97 N 49-97; Приказа ЦБ РФ от 04.07.97 N 02-293; Указаний ЦБ РФ от 18.11.97 N 23-У, от 25.02.98 N 175-У)

В целях обеспечения денежно-кредитного регулирования путем поддержания на определенном уровне денежной массы в обращении и на основании решения Совета директоров Банка России (Протокол от 15.03.96 N 13) приказываю:

1. Утвердить Положение "Об обязательных резервах кредитных организаций, депонируемых в Центральном банке Российской Федерации" (прилагается).

2. Ввести в действие Положение "Об обязательных резервах кредитных организаций, депонируемых в Центральном банке Российской Федерации", начиная с регулирования обязательных резервов на 1 мая 1996 года.

3. Установить нормативы обязательных резервов кредитных организаций в зависимости от сроков и видов привлеченных денежных средств юридических и физических лиц:

- по счетам до востребования и срочным обязательствам до 30 дней включительно - 18 процентов;

- по срочным обязательствам от 31 дня до 90 дней включительно - 14 процентов;

- по срочным обязательствам от 91 дня и более - 10 процентов;

- по средствам на счетах в иностранной валюте - 1,25 процента.

4. Для обеспечения выполнения кредитными организациями установленных резервных требований управлениям инспектирования коммерческих банков Главных управлений (Национальных банков) Банка России осуществлять постоянный контроль за соответствием бухгалтерского учета в кредитных организациях нормативным актам Банка России, имея в виду недопущение отражения по балансовым счетам N 076, N 904, N 932 и другим балансовым счетам операций, не соответствующих правилам ведения бухгалтерского учета по указанным счетам.

5. Довести настоящее Положение до кредитных организаций.

6. Впредь до особых указаний не распространять действие Положения на Сберегательный банк Российской Федерации.

7. В связи с введением нового Положения отменить действие:

- Положения о порядке формирования фонда обязательных резервов коммерческих банков и кредитных учреждений в Центральном банке Российской Федерации, введенное в действие письмом Банка России от 15.02.94 N 13-1/190;

- Дополнения N 1 к Положению о порядке формирования фонда обязательных резервов коммерческих банков и кредитных учреждений в Центральном банке Российской Федерации - письмо Банка России от 31.12.94 N 135;

- Дополнения N 2 к Положению о порядке формирования фонда обязательных резервов коммерческих банков и кредитных учреждений в Центральном банке Российской Федерации - письмо Банка России от 29.03.95 N 135;

- телеграммы Росцентробанка от 29.03.95 N 2454/к;

- телеграммы Росцентробанка от 18.04.95 N 51-95;

- телеграммы Росцентробанка от 28.04.95 N 62-95;

- телеграммы Росцентробанка от 29.04.95 N 51к;

- телеграммы Росцентробанка от 01.06.95 N 4353/к;

- телеграммы Росцентробанка от 04.07.95 N 5438/к;

- телеграммы Росцентробанка от 01.08.95 N 6605/к;

- телеграммы Росцентробанка от 31.08.95 N 7663/к;

- телеграммы Росцентробанка от 29.09.95 N 8616/к;

- телеграммы Росцентробанка от 30.10.95 N 9635/к;

- телеграммы Росцентробанка от 01.12.95 N 10640;

- телеграммы Росцентробанка от 03.01.96 N 37/к;

- телеграммы Росцентробанка от 01.02.96 N 1101/к.

Председатель Центрального банка
Российской Федерации
С.К.ДУБИНИН

Приложение

Утверждено
Приказом Банка России
от 30 марта 1996 г. N 02-77

30 марта 1996 г. N 37

ПОЛОЖЕНИЕ
ОБ ОБЯЗАТЕЛЬНЫХ РЕЗЕРВАХ КРЕДИТНЫХ ОРГАНИЗАЦИЙ, ДЕПОНИРУЕМЫХ В ЦЕНТРАЛЬНОМ БАНКЕ РОССИЙСКОЙ ФЕДЕРАЦИИ

(в ред. - Писем ЦБ РФ от 26.04.96 N 279, от 25.04.97 N 440; Телеграммы ЦБ РФ от 06.06.97 N 49-97; Приказа ЦБ РФ от 04.07.97 N 02-293; Указаний ЦБ РФ от 18.11.97 N 23-У, от 25.02.98 N 175-У)

1. ОБЩИЕ ПОЛОЖЕНИЯ

В соответствии с Федеральным законом "О Центральном банке Российской Федерации (Банке России)" Банк России во взаимодействии с Правительством Российской Федерации разрабатывает и проводит денежно - кредитную политику, направленную на защиту и обеспечение устойчивости российского рубля, применяя методы и инструменты, установленные Законом.

1.1. Обязательные резервы (резервные требования) - один из основных инструментов осуществления денежно - кредитной политики Банка России - представляют собой механизм регулирования общей ликвидности банковской системы, используемый для контроля денежных агрегатов посредством снижения денежного мультипликатора. Резервные требования устанавливаются в целях ограничения кредитных возможностей кредитных организаций и поддержания на определенном уровне денежной массы в обращении.

1.2. В соответствии со статьей 25 Федерального закона "О банках и банковской деятельности" кредитная организация обязана выполнять нормативы обязательных резервов, депонируемых в Банке России.

Обязанность выполнения резервных требований возникает с момента получения лицензии Банка России на право совершения соответствующих банковских операций и является необходимым условием их осуществления. Кредитная организация несет ответственность за соблюдение порядка депонирования обязательных резервов в Банке России. Обязательства кредитной организации перед третьими лицами не являются основанием освобождения от обязанностей по депонированию обязательных резервов в Банке России.

Порядок депонирования обязательных резервов осуществляется исключительно на основании настоящего Положения. При осуществлении депонирования правила расчетов и других банковских операций применяются в случаях, прямо указанных настоящим Положением.

1.3. В соответствии со статьей 38 Федерального закона "О Центральном банке Российской Федерации (Банке России)" размер обязательных резервов в процентном отношении к обязательствам кредитной организации, а также порядок их депонирования в Банке России устанавливаются Советом директоров Банка России. Нормативы обязательных резервов не могут превышать 20 процентов обязательств кредитной организации.

1.4. исключен. (в ред. Указания ЦБ РФ от 25.02.98 N 175-У)

1.5. Порядок депонирования части привлеченных денежных средств, установленный настоящим Положением, распространяется на все кредитные организации, действующие на территории Российской Федерации на основании лицензии (разрешения) Банка России с правом совершения соответствующих банковских операций.

Небанковские кредитные организации (НКО) осуществляют депонирование части привлеченных денежных средств в порядке, установленном Положением, при наличии в лицензии на осуществление банковских операций записи, предусматривающей право размещения привлеченных НКО средств (остатков на открытых банковских счетах) в кредиты участникам расчетов и наличии в балансе НКО остатков на счетах, входящих в перечень обязательств кредитной организации, подлежащих депонированию в Банке России в соответствии с п. 2.1 Положения. (в ред. Указания ЦБ РФ от 25.02.98 N 175-У)

1.6. Регулирование размера обязательных резервов, подлежащих депонированию кредитными организациями, производится территориальным учреждением (расчетно - кассовым центром) Банка России по месту нахождения головной кредитной организации в целом по кредитной организации, включая филиалы, находящиеся на территории России.

Если кредитные организации, расположенные на территории Российской Федерации, имеют свои филиалы, открытые в установленном порядке за границей (в странах ближнего зарубежья либо на территориях государств дальнего зарубежья), то указанные филиалы самостоятельно депонируют часть привлеченных ими средств в национальном банке того государства, на территории которого открыт филиал, в порядке и по нормативам обязательных резервов, установленным национальным банком соответствующего государства. При этом кредитная организация представляет в территориальное учреждение (расчетно - кассовый центр) Банка России документ, подтверждающий факт депонирования филиалом кредитной организации обязательных резервов со стороны национального банка этого государства, если такое подтверждение представляется национальным банком страны местонахождения филиала.

В этом случае кредитная организация, расположенная на территории Российской Федерации, представляет в соответствующее территориальное учреждение (расчетно - кассовый центр) Банка России, кроме сводного баланса в целом по кредитной организации, включая все ее филиалы, также баланс без включения в него филиалов, расположенных на территории зарубежных государств.

Если зарубежный филиал кредитной организации - резидента Российской Федерации в соответствии с законодательством государства местонахождения филиала не депонирует обязательные резервы в национальном банке этого государства, кредитная организация представляет Расчет регулирования размера обязательных резервов, депонируемых в Банке России, по данным сводного баланса в целом по кредитной организации, включая все ее филиалы (в т.ч. расположенные на территории зарубежных государств). (в ред. Писем ЦБ РФ от 26.04.96 N 279, от 25.04.97 N 440; Указания ЦБ РФ от 25.02.98 N 175-У)

1.7. Регулирование размера обязательных резервов, подлежащих депонированию, производится всеми кредитными организациями ежемесячно (по состоянию на 1 число месяца, следующего за отчетным) путем сверки сумм фактически внесенных средств и подлежащих внесению, исходя из остатков на счетах привлеченных средств и действующих нормативов резервных требований.

Расчет размера средств, подлежащих резервированию на 1 число каждого месяца, и другие необходимые документы представляются соответствующему территориальному учреждению (расчетно - кассовому центру) Банка России вместе с балансом в срок, установленный для представления баланса кредитной организации на 1 число месяца, следующего за отчетным.

В тех случаях, когда срок представления кредитной организацией бухгалтерского баланса на 1 января отчетного года с заключительными оборотами установлен более ранний, чем срок представления баланса и Расчета размера регулирования обязательных резервов на 1 февраля отчетного года, регулирование размера обязательных резервов, подлежащих депонированию в Банке России по состоянию на 1 января отчетного года, производится территориальным учреждением (расчетно - кассовым центром) Банка России дважды на основании Расчетов, составленных:

- по данным баланса без заключительных оборотов;

- по данным баланса с заключительными оборотами (представляемого в составе годового бухгалтерского отчета).

При этом кредитная организация в срок, установленный ей для представления баланса с заключительными оборотами, одновременно представляет Расчет регулирования размера обязательных резервов и другие необходимые документы. На основании представленного баланса с заключительными оборотами и Расчета регулирования размера обязательных резервов территориальное учреждение (расчетно - кассовый центр) Банка России производит перерасчет обязательных резервов кредитной организации в установленном порядке. (в ред. Письма ЦБ РФ от 25.04.97 N 440)

1.8. Покрытие обязательных резервов различными видами приносящих доход активов не допускается.

1.9. На обязательные резервы, депонированные кредитными организациями в Банке России, проценты не начисляются.

2. ПОРЯДОК РАСЧЕТА ОБЯЗАТЕЛЬНЫХ РЕЗЕРВОВ, ДЕПОНИРУЕМЫХ В БАНКЕ РОССИИ

2.1. В состав обязательств кредитной организации включаются средства в валюте Российской Федерации и иностранной валюте, учитываемые на расчетных, текущих и депозитных счетах, счетах бюджетов различных уровней и внебюджетных фондов - пассивные остатки по балансовым счетам нр нр 30220, 30223, 30601, 30603, 30604, 30606, 40101, 40102 (за минусом активных остатков по б/сч. нр 40104) <*>, 40105, 40106, 40107, 40108 (за минусом активных остатков по б/сч. нр 40109) <*>, 40110 (за минусом активных остатков по б/сч. 40111) <*>, 40112, 40113, 40114, 402, 40301, 40302, 40307, 40309, 40312, 40314, 404, 405, 406, 407, 40801, 40802, 40803, 40804, 40805, 40806 (за исключением остатков по отдельным лицевым счетам по учету средств банков - нерезидентов), 40807, 40901, 40902, 40903, 40905, 40909, 40910, 40911, 410, 411, 412, 413, 414, 415, 416, 417, 418, 419, 420, 421, 422, 423, 425, 426, 427, 428, 429, 430, 431, 432, 433, 434, 435, 436, 437, 438, 439, 440, 47401, 47405, 47409, 47416, 47418, 47422, 520, 521, 522, 523.

<*> Уменьшение пассивных остатков по балансовым счетам нр нр 40102, 40108, 40110 на величину активных остатков по счетам нр нр 40104, 40109, 40111 соответственно производится в пределах пассивных остатков по указанным балансовым счетам.".

Примечание. Кредитные организации ведут бухгалтерский учет в соответствии с Правилами ведения бухгалтерского учета в кредитных организациях, расположенных на территории Российской Федерации, от 18 июня 1997 г. N 61 с учетом последующих изменений и дополнений. (в ред. Указания ЦБ РФ от 25.02.98 N 175-У)

2.2. При определении суммы средств по балансовым счетам нр нр 40110, 40806, 47409, 52006, подлежащей включению в расчет обязательных резервов, депонируемых в Банке России: (в ред. Указания ЦБ РФ от 25.02.98 N 175-У)

2.2.1. из пассивного остатка балансового счета нр 40110 следует исключать пассивные остатки отдельных лицевых счетов по учету средств, выделенных Министерством финансов Российской Федерации в 1992 году по решениям Правительства Российской Федерации для финансирования инвестиционных и конверсионных программ, а также бюджетных средств, выделенных АККОРом в 1992 году для обеспечения гарантий при льготном кредитовании крестьянских (фермерских) хозяйств (код обозначения 401101 - Приложение 2/3 к Положению); (в ред. Указания ЦБ РФ от 25.02.98 N 175-У)

2.2.2. из пассивного остатка балансового счета нр 40806 "Лица - нерезиденты - счета типа "С" следует исключать пассивные остатки отдельных лицевых счетов этого счета по учету средств банков - нерезидентов в уполномоченных банках (код обозначения 408061 - Приложение 2/3 к Положению); (в ред. Указания ЦБ РФ от 25.02.98 N 175-У)

2.2.3. из пассивного остатка балансового счета нр 47409 "Обязательства по аккредитивам по иностранным операциям" следует исключать пассивные остатки отдельных лицевых счетов указанного счета по учету покрытых (депонированных) аккредитивов в размере суммы аккредитива (покрытия), перечисленного кредитной организацией - эмитентом в распоряжение исполняющей кредитной организации (код обозначения 474091 - Приложение 2/3 к Положению); (в ред. Указания ЦБ РФ от 25.02.98 N 175-У)

2.2.4. из пассивного остатка балансового счета нр 52006 "Выпущенные облигации со сроком погашения свыше 3 лет" следует исключать пассивные остатки отдельных лицевых счетов этого счета, на которых учитываются выпущенные кредитной организацией облигации со сроком погашения свыше 5 лет и не содержащие в условиях выпуска обязательства кредитной организации - эмитента по выкупу своих облигаций ранее, чем через 5 лет (код обозначения 520061 - Приложение 2/3 к Положению. (в ред. Указания ЦБ РФ от 25.02.98 N 175-У)

2.3. Сумма остатков привлеченных средств, используемых при расчете обязательных резервов, рассчитывается по формуле средней хронологической за отчетный период (месяц).

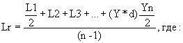
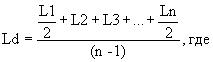
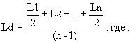
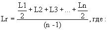
Средняя хронологическая ежедневных балансовых остатков привлеченных за отчетный месяц средств, учитываемых на счетах, участвующих в расчете обязательных резервов, рассчитывается по следующей формуле:

Ld - средние остатки привлеченных средств, используемых при расчете обязательных резервов, за отчетный период (месяц);

L1 - сумма остатков привлеченных средств, используемых при расчете обязательных резервов, на первое число отчетного периода (месяца);

Ln - сумма остатков привлеченных средств, используемых при расчете обязательных резервов, за последний календарный день отчетного периода (на первое число месяца, следующего за отчетным);

n - число календарных дней в расчетном периоде (с первого числа отчетного месяца по первое число месяца, следующего за отчетным, включительно), равное "31".

При расчете обязательных резервов количество дней в месяце условно принимается за 30. В месяцах, имеющих 31 день, остатки привлеченных средств на 31 число в расчет не принимаются, а в феврале остаток на последнее число месяца повторяется столько раз, сколько дней недостает до 30. (в ред. Письма ЦБ РФ от 25.04.97 N 440)

2.4. Расчет регулирования размера обязательных резервов, подлежащих депонированию в Банке России, составляется по форме Приложения 1 к Положению (в 2 экземплярах) с указанием фактически зарезервированной суммы на счетах обязательных резервов и приложением Расшифровок по балансовым счетам нр нр 40110, 40806, 47409, 52006 (Приложение 2/3 к Положению). Территориальное учреждение (расчетно - кассовый центр) Банка России после осуществления проверки Расчета передает 2-ой экземпляр Расчета кредитной организации. Перечисление обязательных резервов кредитными организациями путем передачи электронного файла либо исполнение расчетно - кассовым центром Банка России платежного поручения с отметкой "перечисление недовзноса в обязательные резервы", переданного на бумажном носителе, осуществляется после проверки Расчета территориальным учреждением (расчетно - кассовым центром) Банка России. Предварительное перечисление обязательных резервов (авансом) без представления Расчета регулирования размера обязательных резервов не допускается.

Расчет должен содержать данные об остатках средств в рублях и иностранной валюте в рублевом эквиваленте по каждому счету на каждый календарный день отчетного периода (кроме остатков на 31 число) по форме Приложения N 2 к настоящему Положению. При этом сумма средств, подлежащих депонированию по счетам в валюте Российской Федерации, уменьшается на среднюю хронологическую величину наличных денежных средств в российских рублях в кассе кредитной организации, учитываемых на балансовых счетах N N 20202, 20206, 20207, 20208 - в пределах установленного территориальным учреждением (расчетно - кассовым центром) Банка России минимально допустимого остатка наличных денег в операционной кассе на конец дня (включая минимально допустимые остатки, установленные филиалам данной кредитной организации по месту их нахождения) - код обозначения 202025 - Приложения N N 2/4, 2/5 к настоящему Положению. Территориальные учреждения (расчетно - кассовые центры) Банка России, устанавливающие филиалам кредитных организаций минимально допустимые остатки наличных денег в операционной кассе на конец дня, должны сообщать территориальным учреждениям (расчетно - кассовым центрам) Банка России по месту нахождения головных офисов кредитных организаций установленные ими размеры минимально допустимых остатков.

Наличные денежные средства в иностранной валюте в операционной кассе кредитной организации не уменьшают сумму обязательных резервов, подлежащую депонированию в Банке России.

При расчете средней хронологической величины наличных денежных средств в кассе кредитной организации количество дней в месяце условно принимается за 30. В месяцах, имеющих 31 день, остатки средств, учитываемые на балансовых счетах N N 20202, 20206, 20207, 20208, на 31 число в расчете не принимаются, а в феврале остатки средств на последнее число месяца повторяются столько раз, сколько дней недостает до 30.

Расчеты регулирования размера обязательных резервов, подлежащих депонированию в Банке России, Расшифровки по балансовым счетам нр нр 40110, 40806, 47409, 52006 (Приложения 1, 2, 2/3 к Положению), а также другие документы, типовые формы которых являются приложениями к Положению, должны быть подписаны руководителем и главным бухгалтером кредитной организации (либо лицами, их замещающими), подписи которых занесены в карточку образцов подписей, хранящуюся в территориальном учреждении (расчетно - кассовом центре) Банка России.

При несоответствии подписей на документах, составленных по форме Приложений к настоящему Положению, образцам подписей, занесенным в карточку образцов подписей, хранящуюся в территориальном учреждении (расчетно - кассовом центре) Банка России, указанные документы к исполнению не принимаются и возвращаются кредитной организации.

Регулирование размера обязательных резервов производится только при представлении документов, оформленных в установленном порядке. (в ред. Указаний ЦБ РФ от 18.11.97 N 23-У, от 25.02.98 N 175-У)

2.4.1. исключен. (в ред. Указания ЦБ РФ от 25.02.98 N 175-У)

2.5. При проведении ежемесячного регулирования размера обязательных резервов кредитной организации, подлежащих депонированию в Банке России, территориальное учреждение (расчетно - кассовый центр) Банка России со своей стороны заполняет строки 3 "Фактически внесено обязательных резервов на дату, установленную для представления Расчета - Всего", 3.1 "по обязательствам в рублях", 3.2 "по обязательствам в иностранной валюте" графы "по данным территориального учреждения (РКЦ) ЦБ РФ" Приложения N 1 к Положению на дату фактического проведения регулирования по Расчету. Территориальное учреждение (расчетно - кассовый центр) Банка России сверяет данные Расчета с размером фактически зарезервированных средств по соответствующей кредитной организации на дату фактического проведения регулирования по Расчету. При их соответствии требования считаются выполненными кредитной организацией, и ей передается 2 экземпляр проверенного Расчета.

В случае их несоответствия территориальное учреждение (расчетно - кассовый центр) Банка России в течение двух рабочих дней, не считая дня, установленного для представления Расчета, производит соответствующий перерасчет с кредитной организацией. При этом не позднее первого дня периода, установленного для перерасчета с кредитной организацией, территориальное учреждение (расчетно - кассовый центр) Банка России передает кредитной организации 2 экземпляр исправленного Расчета, на основании которого кредитная организация не позднее последнего дня периода, установленного для перерасчета с территориальным учреждением (расчетно - кассовым центром) Банка России, обязана представить новое платежное поручение с отметкой "перечисление недовзноса в обязательные резервы" взамен ранее представленного, либо платежное поручение на перечисление суммы недовзноса обязательных резервов в дополнение к ранее представленному платежному поручению. (в ред. Письма ЦБ РФ от 25.04.97 N 440)

2.5.1. При недовзносе средств кредитная организация производит доперечисление обязательных резервов с корреспондентского счета, открытого в территориальном учреждении (расчетно - кассовом центре) Банка России, на основании платежного поручения с отметкой "перечисление недовзноса в обязательные резервы" (выписанного в соответствии с банковскими правилами) в течение двух рабочих дней после установленного срока представления Расчета. Включение сумм обязательных резервов в сводные платежные поручения запрещается. (в ред. письма ЦБ РФ от 25.04.97 N 440)

2.5.2. В случае перевзноса средств территориальное учреждение (расчетно - кассовый центр) Банка России возвращает на корреспондентский счет кредитной организации излишне внесенную сумму обязательных резервов на основании соответствующего распоряжения не позднее двух рабочих дней после установленного срока представления Расчета. (в ред. Письма ЦБ РФ от 25.04.97 N 440)

2.5.3. Кредитной организации предоставляется право проведения зачета между причитающимися по результатам регулирования платежами по балансовым счетам N 30201 и N 30203 (N 30202 и N 30204) на основании ее письменного обращения в соответствующее территориальное учреждение (расчетно - кассовый центр) Банка России, составленного в двух экземплярах по форме Приложения N 3.

При проведении зачета делаются следующие внутренние бухгалтерские проводки в РКЦ Банка России и кредитной организации:

- в расчетно - кассовом центре Банка России:

Д-т сч. 30201

К-т сч. 30203

или

Д-т сч. 30203

К-т сч. 30201;

- в кредитной организации:

Д-т сч. 30204

К-т сч. 30202

или

Д-т сч. 30202

К-т сч. 30204. (в ред. Письма ЦБ РФ от 25.04.97 N 440; Указания ЦБ РФ от 18.11.97 N 23-У)

3. ПОРЯДОК БУХГАЛТЕРСКОГО УЧЕТА ОБЯЗАТЕЛЬНЫХ РЕЗЕРВОВ (в ред. Указания ЦБ РФ от 18.11.97 N 23-У)

3.1. Учет движения обязательных резервов кредитной организации, депонированных в Банке России, ведется в кредитной организации на балансовом счете N 30202 "Обязательные резервы кредитных организаций по счетам в валюте Российской Федерации, перечисленные в Банк России" - активный и балансовом счете N 30204 "Обязательные резервы кредитных организаций по счетам в иностранной валюте, перечисленные в Банк России" - активный.

В территориальных учреждениях (расчетно - кассовых центрах) Банка России учет поступающих и возвращаемых сумм средств обязательных резервов ведется на балансовом счете N 30201 "Обязательные резервы кредитных организаций по счетам в валюте Российской Федерации, депонированные в Банке России" - пассивный и балансовом счете N 30203 "Обязательные резервы кредитных организаций по счетам в иностранной валюте, депонированные в Банке России" - пассивный, по каждой кредитной организации в отдельности.

Учет сумм, недовнесенных в обязательные резервы, осуществляется в кредитной организации на внебалансовых счетах N N:

- 91003 "Недовнесенная сумма в обязательные резервы по счетам в иностранной валюте" - пассивный;

- 91004 "Недовнесенная сумма в обязательные резервы по счетам в иностранной валюте" - пассивный;

Учет сумм, излишне внесенных в обязательные резервы, осуществляется в кредитной организации на внебалансовых счетах N N:

- 91007 "Сумма перевзноса в обязательные резервы по счетам в национальной валюте" - активный;

- 91008 "Сумма перевзноса в обязательные резервы по счетам в иностранной валюте" - активный.

Ежедневный учет сумм начисленных, неуплаченных штрафов за нарушение порядка резервирования осуществляется в кредитной организации на пассивном внебалансовом счете N 91010 "Штрафы, не уплаченные за недовзнос в обязательные резервы".

В территориальном учреждении (расчетно - кассовом центре) Банка России учет сумм, недовнесенных в обязательные резервы, ведется на отдельных лицевых счетах (по каждой кредитной организации) внебалансовых счетов N N:

- 91001 "Недовнесенная кредитными организациями сумма обязательных резервов по счетам в национальной валюте" - активный;

- 91002 "Недовнесенная кредитными организациями сумма обязательных резервов по счетам в иностранной валюте" - активный;

Учет сумм излишне внесенных в обязательные резервы ведется на отдельных лицевых счетах (по каждой кредитной организации) внебалансовых счетах N N:

- 91005 "Сумма перевзноса кредитной организацией в обязательные резервы по счетам в национальной валюте" - пассивный;

- 91006 "Сумма перевзноса кредитной организацией в обязательные резервы по счетам в иностранной валюте" - пассивный.

Ежедневный учет сумм начисленных, неполученных штрафов за нарушение порядка резервирования ведется на отдельных лицевых счетах (по каждой кредитной организации) активного внебалансового счета N 91009 "Начисленные, неполученные штрафы за недовзнос в обязательные резервы". (в ред. Указания ЦБ РФ от 18.11.97 N 23-У)

3.2. Формирование обязательных резервов производится путем перечисления денежных средств с корреспондентского счета кредитной организации, открытого в расчетно - кассовом центре Банка России, в валюте Российской Федерации. Указанные перечисления производятся до осуществления иных платежей в пределах остатка средств на корреспондентском счете кредитной организации отдельным платежным поручением с отметкой "формирование обязательных резервов", выписанным в соответствии с банковскими правилами при их первичном перечислении вновь созданной кредитной организацией, и платежным поручением с отметкой "перечисление недовзноса в обязательные резервы" (выписанным в соответствии с банковскими правилами) при последующих перечислениях. Включение сумм обязательных резервов в сводные платежные поручения запрещается.

При этом делаются следующие бухгалтерские проводки: (в ред. Указания ЦБ РФ от 18.11.97 N 23-У)

3.2.1. Если кредитная организация не имеет филиалов

1) при перечислении обязательных резервов Банку России

- в кредитной организации:

Д-т сч. 30202, 30204;

К-т сч. 30102;

- в расчетно - кассовом центре Банка России:

Д-т сч. 30101

К-т сч. 30201, 30203;

2) при возврате кредитной организации излишне перечисленных обязательных резервов

- в кредитной организации:

Д-т сч. 30102

К-т сч. 30202, 30204;

- в расчетно - кассовом центре Банка России:

Д-т сч. 30201, 30203

К-т сч. 30101. (в ред. Указания ЦБ РФ от 18.11.97 N 23-У)

3.2.2. Если кредитная организация имеет филиалы, то при перечислении филиалом средств головному офису кредитной организации для депонирования обязательных резервов в Банке России делаются следующие бухгалтерские проводки:

1) филиалом кредитной организации (филиал также может открывать у себя на балансе счета N N 30202, 30204):

Д-т сч. 30202, 30204

К-т сч. 30102;

- в головном офисе кредитной организации по получении платежа от филиала:

Д-т сч. 30102

К-т сч. 60322;

2) при перечислении обязательных резервов Банку России

- в головном офисе кредитной организации:

Д-т сч. 60322 - на сумму, перечисленную филиалом

Д-т сч. 30202, 30204 - на сумму обязательных резервов головного офиса кредитной организации

К-т сч. 30102 - на всю сумму обязательных резервов кредитной организации;

- в расчетно - кассовом центре Банка России:

Д-т сч. 30101

К-т сч. 30201, 30203;

3) при возврате кредитной организации излишне перечисленных обязательных резервов

- в расчетно - кассовом центре Банка России:

Д-т сч. 30201, 30203

К-т сч. 30101;

- в головном офисе кредитной организации:

Д-т сч. 30102

К-т сч. 30202, 30204 - на сумму возврата обязательных резервов головному офису кредитной организации

и

Д-т сч. 30102

К-т сч. 60322 - на сумму возврата обязательных резервов филиалу кредитной организации;

4) при возврате головным офисом кредитной организации филиалу излишне перечисленных обязательных резервов

- в головном офисе кредитной организации:

Д-т сч. 60322

К-т сч. 30102;

- в филиале кредитной организации:

Д-т сч. 30102

К-т сч. 30202, 30204. (в ред. Указания ЦБ РФ от 18.11.97 N 23-У)

3.3. Суммы недовзноса в обязательные резервы, излишне внесенные суммы обязательных резервов, установленные по результатам очередного регулирования размера обязательных резервов, зачисляются территориальным учреждением (расчетно - кассовым центром) Банка России на соответствующие внебалансовые счета в день фактического регулирования размера обязательных резервов.

Суммы недовзноса в обязательные резервы, излишне внесенные суммы обязательных резервов, выявленные в ходе проверки правильности составления кредитными организациями Расчета регулирования размера обязательных резервов, подлежащих депонированию в Банке России, и достоверности представленных в нем сведений (проводимой в соответствии с п. 6.1 Положения), зачисляются на соответствующие внебалансовые счета в день утверждения акта о проверке. Если акт о проверке не подписан со стороны кредитной организации, основанием для отнесения на внебалансовый учет сумм недовзноса в обязательные резервы, сумм излишне внесенных обязательных резервов является акт о проверке, подписанный со стороны территориального учреждения (расчетно - кассового центра) Банка России лицом, ответственным за проведение проверки, и утвержденный в порядке, установленном п. 6.1 Положения.

При этом делаются следующие бухгалтерские проводки:

а) при установленном (выявленном) недовзносе

- в территориальном учреждении (расчетно - кассовом центре) Банка России:

Д-т сч. 91001 (отдельный лицевой счет) - на сумму недовзноса в обязательные резервы по счетам в национальной валюте

Д-т сч. 91002 (отдельный лицевой счет) - на сумму недовзноса в обязательные резервы по счетам в иностранной валюте

К-т сч. 99999 (на всю сумму недовзноса);

- в кредитной организации

Д-т сч 99998 (на всю сумму недовзноса)

К-т сч. 91003 (на сумму недовзноса в обязательные резервы по привлеченным средствам в национальной валюте)

К-т сч. 91004 (на сумму недовзноса в обязательные резервы по привлеченным средствам в иностранной валюте).

Списание сумм недовзноса территориальным учреждением (расчетно - кассовым центром) Банка России с внебалансовых счетов N N 91001, 91002, производится в день полного (частичного) погашения (взыскания) недовзноса обязательных резервов обратными проводками.

Если недовзнос в обязательные резервы за предыдущий период не погашен (не взыскан), то его списание с соответствующих внебалансовых счетов производится в день очередного фактического регулирования обязательных резервов одновременно с отражением по соответствующему внебалансовому счету сумм недовзноса (перевзноса) по результатам проведенного очередного регулирования.

б) при установленной (выявленной) сумме излишне внесенных обязательных резервов

- в территориальном учреждении (расчетно - кассовом центре) Банка России:

Д-т сч. 99998 (на всю сумму перевзноса в обязательные резервы)

К-т сч. 91005 (отдельный лицевой счет) - на сумму перевзноса в обязательные резервы по счетам в национальной валюте

К-т сч. 91006 (отдельный лицевой счет) - на сумму перевзноса в обязательные резервы по счетам в иностранной валюте;

- в кредитной организации:

Д-т сч. 91007 - на излишне внесенную сумму обязательных резервов по счетам в национальной валюте

Д-т сч. 91008 - на излишне внесенную сумму обязательных резервов по счетам в иностранной валюте

К-т сч. 99999 - на всю излишне внесенную в обязательные резервы сумму.

Списание сумм излишне внесенных в обязательные резервы территориальным учреждением (расчетно - кассовым центром) Банка России с внебалансовых счетов N N 91005, 91006 производится в день возврата территориальным учреждением (расчетно - кассовым центром) Банка России кредитной организации указанных сумм обратными проводками. (в ред. Указаний ЦБ РФ от 18.11.97 N 23-У, от 25.02.98 N 175-У)

3.3.1. В случае, если погашение кредитной организацией недовзноса в обязательные резервы либо возврат ей излишне внесенных обязательных резервов производится в день фактического регулирования размера обязательных резервов, то суммы недовзноса (перевзноса) отражаются одновременно по дебету и по кредиту соответствующих внебалансовых счетов. (в ред. Указания ЦБ РФ от 25.02.98 N 175-У)

3.3.2. При проведении на основании письменного обращения кредитной организации зачета между причитающимися по результатам регулирования платежами по балансовым счетам нр 30201 и 30203 (30202 и 30204) по соответствующим внебалансовым счетам отражается сумма недовзноса в обязательные резервы либо излишне внесенная сумма обязательных резервов, образовавшаяся по результатам проведенного зачета. (в ред. Указания ЦБ РФ от 25.02.98 N 175-У)

3.3.3. При отзыве у кредитной организации лицензии на осуществление банковских операций непогашенный на момент прекращения операций по корреспондентскому счету кредитной организации недовзнос в обязательные резервы списывается с отдельных лицевых счетов внебалансовых счетов нр 91001 "Недовнесенная кредитными организациями сумма обязательных резервов по счетам в национальной валюте", нр 91002 "Недовнесенная кредитными организациями сумма обязательных резервов по счетам в иностранной валюте" в корреспонденции с внебалансовым счетом нр 99999 "Счет для корреспонденции с активными счетами при двойной записи" в день прекращения операций по корреспондентскому счету кредитной организации, установленный соответствующим Приказом Банка России. (в ред. Указания ЦБ РФ от 25.02.98 N 175-У)

3.4. Начисленный неполученный (неуплаченный) штраф за нарушение порядка резервирования по результатам проведенного очередного регулирования размера обязательных резервов отражается на соответствующих внебалансовых счетах начиная с третьего рабочего дня после установленного срока представления Расчета регулирования размера обязательных резервов. Начисленный неполученный (неуплаченный) штраф за нарушение порядка резервирования по результатам проведенной проверки правильности составления кредитными организациями Расчета регулирования размера обязательных резервов, подлежащих депонированию в Банке России, и достоверности представленных в нем сведений отражается на соответствующем внебалансовом счете в день утверждения акта о проверке. В случае, если акт о проверке не подписан со стороны кредитной организации, основанием для отнесения на внебалансовый учет сумм начисленных неполученных штрафов является акт о проверке, подписанный со стороны территориального учреждения (расчетно - кассового центра) Банка России лицом, ответственным за проведение проверки, и утвержденный в порядке, установленном п. 6.1 Положения.

При этом делаются следующие бухгалтерские проводки:

- в территориальном учреждении (расчетно - кассовом центре) Банка России:

Д-т сч. 91009 (отдельный лицевой счет) - на сумму начисленного неполученного штрафа

К-т сч. 99999;

- в кредитной организации:

Д-т сч. 99998

К-т сч. 91010 - на сумму начисленного неуплаченного штрафа.

Территориальное учреждение (расчетно - кассовый центр) Банка России производит списание сумм штрафов с внебалансового счета нр 91009 в день полного (частичного) взыскания (оплаты) штрафа обратными проводками. (в ред. Указания ЦБ РФ от 25.02.98 N 175-У)

3.4.1. Операции по зачислению (списанию) на соответствующий внебалансовый счет сумм недовзноса в обязательные резервы (излишне внесенных сумм обязательных резервов), а также сумм начисленных штрафов за нарушение порядка резервирования осуществляются мемориальным ордером, выписываемым на основании распоряжения руководителя территориального учреждения (расчетно - кассового центра) Банка России. (в ред. Указания ЦБ РФ от 25.02.98 N 175-У)

3.5. Выписки по лицевым счетам внебалансовых счетов N N 91001, 91002, 91005, 91006 и 91009 выдаются территориальными учреждениями (расчетно - кассовыми центрами) Банка России кредитным организациям в порядке, определенном Правилами ведения бухгалтерского учета в Центральном банке Российской Федерации (Банке России), утвержденными Приказом Банка России от 18 сентября 1997 г. N 02-398, и Правилами ведения бухгалтерского учета в кредитных организациях, расположенных на территории Российской Федерации, утвержденными Приказом Банка России от 18 июня 1997 г. N 02-263, и являются основанием для кредитной организации для отражения сумм недовзноса в обязательные резервы, излишне внесенных сумм в обязательные резервы, начисленных неуплаченных штрафов за нарушение порядка резервирования по внебалансовым счетам N N 91003, 91004, 91007, 91008, 91010 соответственно.

Пример отражения на внебалансовых счетах условных сумм недовзноса, излишне внесенных сумм в обязательные резервы, начисленных неполученных штрафов за нарушение порядка резервирования по результатам регулирования обязательных резервов и проведенной проверки правильности составления кредитной организацией Расчета регулирования размера обязательных резервов, подлежащих депонированию в Банке России, и достоверности представленных в нем сведений приведен в Приложении 13 к настоящему Положению. (в ред. Указания ЦБ РФ от 18.11.97 N 23-У)

3.6. Территориальные учреждения (расчетно - кассовые центры) Банка России обеспечивают контроль за соответствием остатков средств по учету обязательных резервов балансовых счетов N 30201 и N 30202, N 30203 и N 30204 и внебалансовых счетов N N 91001 - 91010. По кредитным организациям, имеющим филиалы, контроль осуществляется по сводному балансу.

В случае расхождений остатков территориальные учреждения (расчетно - кассовые центры) Банка России изучают причины их образования и принимают меры к приведению в соответствие остатков средств на указанных счетах. (в ред. Указания ЦБ РФ от 18.11.97 N 23-У)

4. ПОРЯДОК ВЫПОЛНЕНИЯ ОБЯЗАТЕЛЬНЫХ РЕЗЕРВНЫХ ТРЕБОВАНИЙ КРЕДИТНЫМИ ОРГАНИЗАЦИЯМИ, ОТВЕЧАЮЩИМИ КРИТЕРИЯМ, УСТАНОВЛЕННЫМ БАНКОМ РОССИИ

В целях предоставления возможностей кредитным организациям по внутримесячному регулированию их ликвидности устанавливается следующий порядок выполнения обязательных резервных требований кредитными организациями.

4.1. Кредитная организация в любой рабочий день может обратиться в территориальное учреждение (расчетно - кассовый центр) Банка России с просьбой (заявлением) о предоставлении ей в течение отчетного года права на внутримесячное (на один и более дней в период с 5 по 25 число каждого месяца) снижение нормативов обязательных резервов в размере не более 5% от суммы обязательных резервов, депонируемых в Банке России на балансовых счетах N 30201 и N 30203, исходя из Расчета обязательных резервов за отчетный месяц. (в ред. Письма ЦБ РФ от 25.04.97 N 440; Указания ЦБ РФ от 18.11.97 N 23-У)

4.2. Указанное право предоставляется кредитной организации, имеющей ежедневный сводный баланс по кредитной организации в целом и выполняющей в течение не менее 6 месяцев до момента обращения в Банк России с указанной просьбой следующие требования:

а) своевременно и в полном объеме депонирующая обязательные резервы в Банке России;

б) соблюдающая обязательные экономические нормативы;

в) не имеющая просроченной задолженности по кредитам, предоставленным Банком России, и процентам по ним, а также просроченной задолженности по обязательным платежам, установленным законодательством, и другим обязательствам (не имеющая картотеки к внебалансовому счету N 90903 и N 90904);

г) имеющая аудиторское заключение по публикуемой годовой отчетности;

д) своевременно представляющая бухгалтерскую и статистическую отчетность Банку России;

е) не допускающая других нарушений банковского законодательства, нормативных актов и предписаний Банка России. (в ред. Указания ЦБ РФ от 18.11.97 N 23-У)

4.3. Для получения разрешения на внутримесячное снижение нормативов обязательных резервов кредитная организация представляет в территориальное учреждение (расчетно - кассовый центр) Банка России следующие документы:

1) Заявление с просьбой о внутримесячном снижении нормативов обязательных резервов в двух экземплярах по форме Приложения N 4;

2) Расчет обязательных резервов, подлежащих депонированию в Центральном банке РФ за отчетный период (месяц), в соответствии с п. 2.4 настоящего Положения;

3) Расчет (Прогноз) суммы остатков обязательных резервов, учитываемых на балансовых счетах N 30201 и N 30203 (N 30202 и N 30204), по формуле средней хронологической за текущий месяц - Приложение N 5;

4) Платежное поручение на доперечисление средств в обязательные резервы с отметкой "перечисление недовзноса в обязательные резервы", выписанное в соответствии с банковскими правилами (если кредитная организация должна доперечислить обязательные резервы по результатам регулирования за отчетный месяц), со сроком исполнения в день представления Расчета обязательных резервов (при необходимости). (в ред. Письма ЦБ РФ от 25.04.97 N 440)

4.4. Территориальное учреждение (расчетно - кассовый центр) Банка России рассматривает заявление кредитной организации в случае представления ею всех необходимых документов (в соответствии с п. 4.3 настоящего Положения) и выносит свое решение в течение следующего рабочего дня.

При положительном решении территориальное учреждение (расчетно - кассовый центр) Банка России заполняет вторую часть Заявления (в двух экземплярах) и передает один полностью оформленный экземпляр Заявления кредитной организации, второй оставляет у себя.

В случае принятия отрицательного решения территориальное учреждение (расчетно - кассовый центр) Банка России обязано письмом (по форме Приложения N 6) сообщить кредитной организации о своем решении на следующий рабочий день (после принятия указанного решения). (в ред. Письма ЦБ РФ от 25.04.97 N 440)

4.5. Если кредитная организация выполняет все требования, указанные в п. 4.2 настоящего Положения, и представила все необходимые документы, указанные в п. 4.3 настоящего Положения, она получает право на временное снижение нормативов обязательных резервов внутри месяца отчетного года (на один и более дней в период с 5 по 25 число каждого месяца) в размере не более 5 процентов от суммы обязательных резервов, депонируемых в Банке России за отчетный период.

При этом территориальное учреждение (расчетно - кассовый центр) Банка России переводит в конце операционного дня, предшествующего разрешенному периоду снижения нормативов обязательных резервов со счетов 30201, 30203 средства в установленном размере (не более 5 процентов от суммы обязательных резервов, депонируемых в Банке России за отчетный период) на корреспондентский счет кредитной организации на основании Заявки кредитной организации (в двух экземплярах) по форме Приложения N 7 к настоящему Положению, к которой прилагается Справка об остатках обязательных резервов по форме Приложения N 7/1, и соответствующего распоряжения и информирует об этом Сводный экономический департамент Банка России (на следующий рабочий день).

В последний день периода, в течение которого кредитной организации по ее Заявке были снижены нормативы обязательных резервов, кредитная организация производит возврат разрешенной суммы снижения обязательных резервов платежным поручением (выписанным в соответствии с банковскими правилами) с отметкой "доперечисление обязательных резервов". (в ред. Письма ЦБ РФ от 25.04.97 N 440; Указания ЦБ РФ от 18.11.97 N 23-У)

4.6. Не позднее 26 числа каждого месяца кредитная организация обязана составлять Расчет (Окончательный) суммы остатков обязательных резервов, учитываемых на балансовых счетах N 30201 и N 30203 (N 30202 и N 30204), по формуле средней хронологической за текущий месяц (Приложение N 8).

В период с 26 по 30 число текущего месяца (по состоянию на 1 число следующего месяца) кредитная организация обязана внести платежным поручением с отметкой "перечисление недовзноса в обязательные резервы" (выписанным в соответствии с банковскими правилами) недостающую сумму обязательных резервов с тем, чтобы сумма остатков обязательных резервов (учитываемых на балансовых счетах N 30201 и N 30203 (N 30202 и N 30204)) в текущем месяце, рассчитанная по формуле средней хронологической (указываемая в Расчете (Окончательном) по форме Приложения N 8) была эквивалентна сумме, указанной в Расчете (Прогнозе) по форме Приложения N 5.

Допускается доперечисление средств обязательных резервов частями в несколько этапов.

В случае недоперечисления обязательных резервов в установленные сроки кредитная организация на 6 месяцев лишается предоставленного ей Банком России права внутримесячного снижения нормативов обязательных резервов. (в ред. Письма ЦБ РФ от 25.04.97 N 440; Указания ЦБ РФ от 18.11.97 N 23-У)

4.7. Снижение нормативов резервирования для кредитной организации в период с 5 по 25 число месяца оформляется следующими бухгалтерскими проводками:

- в расчетно - кассовом центре Банка России:

Д-т сч. 30201, 30203

К-т сч. 30101;

- в кредитной организации:

Д-т сч. 30102

К-т сч. 30202, 30204. (в ред. Указания ЦБ РФ от 18.11.97 N 23-У)

4.8. Перевод средств, связанный с внутримесячным снижением нормативов обязательных резервов, кредитной организацией в территориальное учреждение (расчетно - кассовый центр) Банка России оформляется следующими бухгалтерскими проводками:

- в расчетно - кассовом центре Банка России:

Д-т сч. 30101

К-т сч. 30201, 30203;

- в кредитной организации:

Д-т сч. 30202, 30204

К-т сч. 30102. (в ред. Письма ЦБ РФ от 25.04.97 N 440; Указания ЦБ РФ от 18.11.97 N 23-У)

4.9. Ежемесячно кредитная организация, получившая право на внутримесячное снижение нормативов обязательных резервов, представляет в территориальное учреждение (расчетно - кассовый центр) Банка России следующие документы:

1) Расчет обязательных резервов, подлежащих депонированию в территориальном учреждении (расчетно - кассовом центре) Банка России за отчетный месяц, в соответствии с п. 2.4 настоящего Положения - в срок, установленный для регулирования обязательных резервов;

2) Расчет (Прогноз) суммы остатков обязательных резервов, учитываемых на балансовых счетах N 30201 и N 30203 (N 30202 и N 30204), по формуле средней хронологической на текущий месяц (Приложение N 5) - в срок, установленный для регулирования обязательных резервов;

3) Справку об остатках обязательных резервов в текущем месяце по форме Приложения N 7/1 - в срок, установленный для регулирования обязательных резервов;

4) Платежное поручение на доперечисление средств в обязательные резервы с отметкой "перечисление недовзноса в обязательные резервы", выписанное в соответствии с банковскими правилами (если кредитная организация должна доперечислить обязательные резервы по результатам регулирования за отчетный месяц), со сроком исполнения в день представления Расчета обязательных резервов - в срок, установленный для регулирования обязательных резервов;

5) Заявку (заявки) на внутримесячное снижение нормативов обязательных резервов в двух экземплярах в период с 5 по 25 числа месяца по форме Приложения N 7 - в течение текущего месяца;

6) Расчет (Окончательный) суммы остатков обязательных резервов, учитываемых на балансовых счетах N 30201 и N 30203 (N 30202 и N 30204), по формуле средней хронологической за текущий месяц по форме Приложения N 8 - к 26 числу каждого месяца. (в ред. Письма ЦБ РФ от 25.04.97 N 440; Указания ЦБ РФ от 18.11.97 N 23-У)

5. ПОРЯДОК ПЕРЕОФОРМЛЕНИЯ ОБЯЗАТЕЛЬНЫХ РЕЗЕРВОВ ПРИ РЕОРГАНИЗАЦИИ КРЕДИТНОЙ ОРГАНИЗАЦИИ

5.1. При реорганизации кредитной организации (слиянии, присоединении, разделении, выделении, преобразовании), проводимой в соответствии со ст. 57 Гражданского кодекса Российской Федерации, депонированные ранее в Банке России обязательные резервы на корреспондентский счет кредитной организации не возвращаются.

5.2. При слиянии / разделении, выделении и преобразовании кредитной организации территориальные учреждения (расчетно - кассовые центры) Банка России производят переоформление ранее депонированных обязательных резервов на вновь образованную кредитную организацию / вновь образованные кредитные организации соответствующими внутренними бухгалтерскими проводками по счетам балансового счета N 30201 и N 30203, если вновь образованная(ые) кредитная(ые) организация(и) обслуживается(ются) в одном РКЦ Банка России, либо на основании мемориальных ордеров и авизо между Расчетно - кассовыми центрами Банка России.

Указанные операции оформляются следующими бухгалтерскими проводками:

1) При слиянии нескольких кредитных организаций в одну кредитную организацию происходит объединение остатков, числящихся на балансовых счетах N 30201 и N 30203:

а) если счета обязательных резервов велись в разных расчетно - кассовых центрах Банка России, то:

- в расчетно - кассовом центре Банка России по месту ведения счетов ликвидируемых кредитных организаций:

Д-т сч. 30201, 30203 - отдельные лицевые счета ликвидируемых кредитных организаций

К-т сч. 30701;

- в расчетно - кассовом центре Банка России по месту открытия счета кредитной организации, созданной путем слияния:

Д-т 30706

К-т сч. 30201, 30203 - отдельный лицевой счет кредитной организации, созданной путем слияния;

б) если счета обязательных резервов велись в одном расчетно - кассовом центре Банка России, то:

Д-т сч. 30201, 30203 - отдельные лицевые счета ликвидируемых кредитных учреждений

К-т сч. 30201, 30203 - отдельный лицевой счет кредитной организации, созданной путем слияния;

2) При разделении, выделении и преобразовании кредитной организации производится разделение остатков, числящихся на балансовых счетах N N 30201, 30203:

а) если счета обязательных резервов будут вестись в разных расчетно - кассовых центрах Банка России, то:

- в расчетно - кассовом центре Банка России, где обслуживается основная кредитная организация:

Д-т сч. 30201, 30203 - в части выделившегося подразделения

К-т сч. 30701;

- в расчетно - кассовом центре Банка России по месту открытия счета вновь созданной кредитной организации:

Д-т сч. 30706

К-т сч. 30201, 30203 - отдельный лицевой счет созданной кредитной организации;

б) если счета обязательных резервов будут вестись в одном расчетно - кассовом центре Банка России, то:

Д-т сч. 30201, 30203 - в части выделившегося подразделения

К-т сч. 30201, 30203 - отдельный лицевой счет созданной кредитной организации. (в ред. Письма ЦБ РФ от 25.04.97 N 440; Указания ЦБ РФ от 18.11.97 N 23-У)

5.3. При присоединении одной кредитной организации к другой ранее депонированные обязательные резервы переоформляются на ту кредитную организацию, к которой присоединилась кредитная организация в порядке, изложенном в подпункте 1 п. 5.2 настоящего Положения.

5.4. Переоформление обязательных резервов на вновь образованную(ые) кредитную(ые) организацию(ии) осуществляется в день поступления в территориальное(ые) учреждение(ия) Банка России сообщения о государственной регистрации вновь образованной(ых) кредитной(ых) организации(ий), предоставления ей(им) лицензии(ий) на осуществление банковских операций, а также об исключении из Книги государственной регистрации реорганизованной(ых) кредитной(ых) организации(ий).

Одновременно с переоформлением ранее депонированных обязательных резервов производится переоформление сумм недовзноса в обязательные резервы, а также сумм начисленных штрафов за нарушение порядка резервирования на вновь образованную(ые) кредитную(ые) организацию(ии). Если вновь образованная(ые) кредитная(ые) организация(ии) обслуживается(ются) в том же расчетно - кассовом центре Банка России, указанное переоформление осуществляется внутренними бухгалтерскими проводками по соответствующим счетам внебалансового учета; если вновь образованная(ые) кредитная(ые) организация(ии) обслуживается(ются) в другом расчетно - кассовом центре Банка России - на основании письма расчетно - кассового центра, подписанного его руководителем и главным бухгалтером, о проводе авизо на сумму обязательных резервов и передаче сумм недовзноса и начисленных штрафов для их отражения по соответствующим внебалансовым счетам в расчетно - кассовом центре по месту обслуживания вновь образованной(ых) кредитной(ых) организации(ий). (в ред. Указания ЦБ РФ от 25.02.98 N 175-У)

6. КОНТРОЛЬ БАНКА РОССИИ ЗА ВЫПОЛНЕНИЕМ КРЕДИТНЫМИ ОРГАНИЗАЦИЯМИ ОБЯЗАТЕЛЬНЫХ РЕЗЕРВНЫХ ТРЕБОВАНИЙ

6.1. Территориальное учреждение (расчетно - кассовый центр) Банка России (его уполномоченные подразделения) не реже одного раза в квартал производит сплошную или выборочную проверку правильности составления кредитной организацией Расчета размера обязательных резервов, подлежащих депонированию в ЦБ РФ, и достоверности представленных в нем сведений с использованием ежедневных балансов кредитной организации и других документов и материалов, имеющихся у кредитной организации.

Указанную проверку проводят соответствующие подразделения территориального учреждения (расчетно - кассового центра) Банка России, на которые возложено исполнение этих обязанностей на основании соответствующего приказа (распоряжения) по территориальному учреждению (расчетно - кассовому центру) Банка России.

Руководители территориального учреждения (расчетно - кассового центра) Банка России и их заместители вправе поручать проведение проверок кредитных организаций по вопросу правильности составления расчета обязательных резервов, подлежащих депонированию в Банке России, помимо лиц, уполномоченных проводить проверки кредитных организаций в соответствии с Инструкцией ЦБ РФ от 19 февраля 1996 г. N 34, также сотрудникам других структурных подразделений территориального учреждения (расчетно - кассового центра) Банка России, которые осуществляют контроль за формированием обязательных резервов.

Результаты проведенной проверки правильности составления Расчета оформляются справкой (в случае отсутствия выявленных проверкой нарушений) либо актом (в случае установления проверкой допущенных кредитной организацией нарушений). Справка (акт) о проверке должна быть подписана обеими сторонами (со стороны территориального учреждения (расчетно - кассового центра) Банка России - ответственным за проведение проверки лицом и со стороны кредитной организации - руководителем и главным бухгалтером кредитной организации) и в течение двух рабочих дней утверждена руководителем территориального учреждения Банка России либо руководящим работником территориального учреждения (расчетно - кассового центра) Банка России, уполномоченным на это руководителем территориального учреждения Банка России. Второй экземпляр справки (акта) о проверке, утвержденной в установленном порядке, передается кредитной организации. (в ред. Письма ЦБ РФ от 25.04.97 N 440; Указания ЦБ РФ от 25.02.98 N 175-У)

6.2 В соответствии со ст. 38 Федерального закона "О Центральном банке Российской Федерации (Банке России)" в случае невыполнения кредитной организацией требований настоящего Положения территориальное учреждение (расчетно - кассовый центр) Банка России взыскивает сумму недовзноса в обязательные резервы, а также штрафы за нарушение порядка резервирования в установленном им размере, но не более двойной ставки рефинансирования. Взыскание суммы недовзноса в обязательные резервы и штрафов за нарушение порядка резервирования осуществляется на основании письменных распоряжений (форма произвольная), подписанных руководителем территориального учреждения Банка России, либо руководящим работником территориального учреждения (расчетно - кассового центра) Банка России, уполномоченным на это руководителем территориального учреждения Банка России, по результатам регулирования обязательных резервов с отметкой "взыскание недовзноса в обязательные резервы", "взыскание штрафа за нарушение порядка резервирования" соответственно. (в ред. Писем ЦБ РФ от 26.04.96 N 279, от 25.04.97 N 440)

6.2.1. В случае недоперечисления обязательных резервов по счетам привлеченных средств в рублях и иностранной валюте в установленный пунктом 2.5 настоящего Положения срок территориальное учреждение (расчетно - кассовый центр) Банка России на следующий рабочий день до проведения иных операций по корреспондентскому счету взыскивает с корреспондентского счета кредитной организации сумму недовнесенных средств (в пределах имеющихся средств на корреспондентском счете). Взыскание недовзноса обязательных резервов производится до полного его возмещения (в ред. Письма ЦБ РФ от 25.04.97 N 440)

6.2.2. С суммы недовнесенных средств в обязательные резервы территориальное учреждение (расчетно - кассовый центр) Банка России взыскивает с кредитной организации штраф за каждый день недовзноса в порядке и размере, установленном пунктом 6.2.4 настоящего Положения. Взыскание с кредитной организации штрафа производится с ее корреспондентского счета (в пределах средств на корреспондентском счете) в очередности, установленной законодательством, а внутри группы - в порядке календарной очередности.

Взыскание суммы недовзноса в обязательные резервы и штрафов за нарушение порядка резервирования производится территориальным учреждением (расчетно - кассовым центром) Банка России, начиная с третьего рабочего дня после установленного срока представления Расчета.

При наличии (сохранении) недовзноса в обязательные резервы и наступлении срока очередного регулирования размера обязательных резервов <*> на следующую отчетную дату территориальное учреждение (расчетно - кассовый центр) Банка России выписывает распоряжение на взыскание суммы недовзноса, образовавшегося по результатам вновь проведенного регулирования, а также распоряжение на взыскание штрафа за нарушение порядка резервирования. При этом начисление штрафов за недовзнос по результатам предыдущего регулирования производится по день фактического регулирования обязательных резервов <**> включительно; взыскание недовзноса в обязательные резервы по результатам предыдущего регулирования производится по день фактического регулирования обязательных резервов включительно (до момента установления территориальным учреждением (расчетно - кассовым центром) суммы недовзноса по результатам нового регулирования). (в ред. Письма ЦБ РФ от 25.04.97 N 440; Указания ЦБ РФ от 25.02.98 N 175-У)

<*> Под сроком очередного регулирования следует понимать дату, установленную кредитной организации для представления баланса и Расчета плюс два рабочих дня, в течение которых производится перерасчет.

<**> Под днем фактического регулирования обязательных резервов следует понимать день проверки Расчета регулирования размера обязательных резервов территориальным учреждением (расчетно - кассовым центром) Банка России. (в ред. Письма ЦБ РФ от 25.04.97 N 440; Указания ЦБ РФ от 25.02.98 N 175-У)

Суммы штрафов за нарушение порядка резервирования, начисленные до проведения очередного регулирования, подлежат взысканию в полном объеме.

Допущенный недовзнос средств в обязательные резервы на новую отчетную дату является новым (очередным) нарушением порядка обязательного резервирования.

В случае, если у кредитной организации имеется (сохраняется) недовзнос в обязательные резервы по результатам предыдущего регулирования при наступлении срока очередного регулирования размера обязательных резервов на следующую отчетную дату, и кредитная организация не представила Расчет регулирования размера обязательных резервов, а также другие необходимые документы, территориальное учреждение (расчетно - кассовый центр) Банка России продолжает взыскание суммы недовзноса в обязательные резервы по результатам предыдущего регулирования и начисление штрафов за нарушение порядка резервирования до полного его возмещения.

При представлении кредитной организацией Расчета регулирования размера обязательных резервов позднее срока, установленного для проведения регулирования, территориальное учреждение (расчетно - кассовый центр) Банка России в день получения Расчета сверяет данные Расчета с размером фактически зарезервированных средств на этот день и производит перерасчет с кредитной организацией. При выявлении недовзноса в обязательные резервы, если последний не внесен кредитной организацией в день представления Расчета платежным поручением, территориальное учреждение (расчетно - кассовый центр) Банка России на следующий рабочий день после представления Расчета списывает сумму недовзноса в обязательные резервы в порядке, предусмотренном в пп. 6.2.1 Положения. При этом перерасчет суммы начисленных либо возврат суммы взысканных штрафов за нарушение порядка резервирования не производится. (в ред. Письма ЦБ РФ от 25.04.97 N 440; Указания ЦБ РФ от 25.02.98 N 175-У)

6.2.3. Начисление штрафов производится на входящие остатки недовзноса в обязательные резервы, учитываемые на внебалансовых счетах нр нр 91001, 91002, начиная с третьего рабочего дня после установленного срока представления Расчета. Пример расчета суммы штрафа приводится в Приложении 9 к Положению.

Списание средств, недовнесенных в обязательные резервы, производится инкассовым поручением, выписываемым на основании распоряжения руководителя территориального учреждения (расчетно - кассового центра) Банка России с отметкой "взыскание недовзноса в обязательные резервы". На обратной стороне распоряжения указывается сумма погашенной задолженности по обязательным резервам и новый остаток недовзноса в обязательные резервы.

Списание с корреспондентского счета кредитной организации штрафов за нарушение порядка резервирования производится инкассовым поручением, выписываемым на основании распоряжения руководителя территориального учреждения (расчетно - кассового центра) Банка России с отметкой "взыскание штрафа за нарушение порядка резервирования". Инкассовое поручение на списание суммы штрафа за нарушение порядка резервирования выписывается ежедневно на сумму входящего остатка недовзноса в обязательные резервы и подлежит исполнению в порядке, предусмотренном пп. 6.2.2. (в ред. Письма ЦБ РФ от 25.04.97 N 440; Указаний ЦБ РФ от 18.11.97 N 23-У, от 25.02.98 N 175-У)

6.2.4. Размер штрафа устанавливается территориальным учреждением (расчетно - кассовым центром) Банка России исходя из количества допущенных кредитной организацией нарушений сроков и полноты депонирования обязательных резервов в течение календарного года, начиная с 1 января, и длительности задолженности по обязательным резервам в днях:

а) при нарушении сроков и полноты депонирования обязательных резервов один раз сроком не свыше двух календарных дней - в размере 1,3 ставки рефинансирования Банка России, деленной на 360, за каждый день. За каждый день недовзноса, свыше двух календарных дней - 1,3 ставки рефинансирования Банка России, деленной на 360, за каждый из первых двух дней, 1,5 ставки рефинансирования Банка России, деленной на 360 - за каждый из всех последующих дней недовзноса;

б) при повторном нарушении сроков и полноты депонирования обязательных резервов штраф взыскивается в размере 1,5 ставки рефинансирования Банка России, деленной на 360, за каждый из первых двух дней недовзноса, двойной ставки рефинансирования, деленной на 360 - за каждый из всех последующих дней;

в) при третьем и последующих нарушениях штраф от суммы недовнесенных средств взыскивается в размере двойной ставки рефинансирования Банка России, деленной на 360, за каждый день недовзноса.

Если в течение периода, в котором кредитная организация имела недовзнос обязательных резервов, ставка рефинансирования Банка России изменялась, то с момента ее введения начисление штрафа производится исходя из новой ставки. (в ред. Письма ЦБ РФ от 25.04.97 N 440; Указания ЦБ РФ от 25.02.98 N 175-У)

6.2.5. Кроме того, в случае невыполнения требований о своевременном и полном перечислении обязательных резервов, несвоевременного представления Расчета регулирования размера обязательных резервов, недостоверности сведений, содержащихся в Расчете и других необходимых документах Банк России имеет право:

а) не предоставлять таким банкам ломбардные и другие кредиты;

б) не принимать депозиты у таких кредитных организаций;

в) применять иные меры воздействия, предусмотренные статьями 74 и 75 Федерального закона "О Центральном банке Российской Федерации (Банке России)", вплоть до отзыва лицензии на осуществление банковских операций. (в ред. Письма ЦБ РФ от 25.04.97 N 440)

6.2.6. Сумма уплаченного штрафа отражается кредитной организацией на соответствующем лицевом счете балансового счета N 70208 "Штрафы, пени, неустойки уплаченные".

Территориальные учреждения (расчетно - кассовые центры) Банка России суммы взысканного штрафа зачисляют на соответствующий лицевой счет балансового счета N 70106 "Штрафы, пени, неустойки полученные".

Взысканная сумма недовнесенных обязательных резервов отражается соответственно на балансовых счетах N 30202 и N 30204 кредитной организации и на балансовых счетах N 30201 и N 30203 Банка России. (в ред. Указания ЦБ РФ от 18.11.97 N 23-У)

6.2.7. Если в результате проверки, проведенной территориальным учреждением (расчетно - кассовым центром) Банка России, установлен факт неправильного составления Расчета регулирования размера обязательных резервов, недостоверности сведений, представленных в Расчете и других необходимых документах, то в течение пяти календарных дней, после дня утверждения акта о проверке, производится соответствующий перерасчет с кредитной организацией. При этом на основании утвержденного акта о проверке кредитная организация представляет в территориальное учреждение (расчетно - кассовый центр) Банка России исправленный Расчет регулирования размера обязательных резервов за соответствующий период (по форме Приложения 1 к Положению) в 2 экземплярах, а также другие необходимые документы. (в ред. Письма ЦБ РФ от 25.04.97 N 440; Указания ЦБ РФ от 25.02.98 N 175-У)

6.2.8. В случае, если проверкой, проведенной территориальным учреждением (расчетно - кассовым центром) Банка России, установлен факт недовзноса средств в обязательные резервы по результатам регулирования на последнюю отчетную дату, кредитная организация производит доперечисление обязательных резервов (в течение пяти календарных дней после дня утверждения акта о проверке) с корреспондентского счета, открытого в территориальном учреждении (расчетно - кассовом центре) Банка России, на основании платежного поручения с отметкой "перечисление недовзноса в обязательные резервы" (выписанного в соответствии с банковскими правилами). Включение сумм обязательных резервов в сводные платежные поручения запрещается.

Если кредитная организация не подписала справку (акт) о проверке, не представила исправленный Расчет (и все необходимые документы) и не перечислила недостающую сумму обязательных резервов по результатам проведенной проверки, территориальное учреждение (расчетно - кассовый центр) Банка России в первый рабочий день после окончания установленного срока проведения перерасчета по результатам проверки, до осуществления иных операций по корреспондентскому счету кредитной организации, взыскивает указанную сумму недовзноса с корреспондентского счета кредитной организации. Взыскание суммы недовзноса осуществляется на основании соответствующего распоряжения территориального учреждения (расчетно - кассового центра) Банка России в порядке, установленном в п. 6.2.

С суммы выявленного по результатам проверки недовзноса в обязательные резервы кредитная организация уплачивает штраф. Начисление штрафа производится территориальным учреждением (расчетно - кассовым центром) Банка России с третьего рабочего дня после установленного срока представления Расчета на соответствующую отчетную дату до дня перечисления суммы недовзноса, выявленного в результате проверки, в порядке и размере, установленных подпунктом 6.2.4 Положения. Начисление штрафа производится территориальным учреждением (расчетно - кассовым центром) Банка России на входящие остатки недовзноса в обязательные резервы, учитываемые на внебалансовых счетах нр нр 91001, 91002, начиная с третьего рабочего дня после установленного срока представления Расчета на соответствующую отчетную дату по день перечисления суммы недовзноса (включительно), выявленного в результате проверки, в порядке и размере, установленном подпунктом 6.2.4.

Выявленный по результатам проверки перевзнос средств в обязательные резервы территориальное учреждение (расчетно - кассовый центр) Банка России не позднее следующего рабочего дня после утверждения акта о проверке возвращает на корреспондентский счет кредитной организации на основании соответствующего распоряжения. (в ред. Письма ЦБ РФ от 25.04.97 N 440; Указания ЦБ РФ от 25.02.98 N 175-У)

6.2.9. Недовзнос (перевзнос) обязательных резервов, установленный при осуществлении проверки за определенный период, после которого уже производилось очередное регулирование размера обязательных резервов, не предъявляется ко взысканию (не возвращается кредитной организации). При этом за допущенный недовзнос производится начисление штрафа с третьего рабочего дня после установленного срока представления расчета на соответствующую отчетную дату по день фактического регулирования обязательных резервов на следующую отчетную дату включительно. Выявленный недовзнос рассматривается как новое (очередное) допущенное нарушение порядка обязательного резервирования.

Одновременно территориальное учреждение (расчетно - кассовый центр) Банка России должно провести сплошную проверку правильности составления кредитной организацией Расчета регулирования размера обязательных резервов на все последующие отчетные даты. При выявлении факта недовзноса обязательных резервов на последнюю отчетную дату взыскание его и начисление штрафа производятся в порядке, изложенном в подпункте 6.2.8. (в ред. Письма ЦБ РФ от 25.04.97 N 440; Указания ЦБ РФ от 25.02.98 N 175-У)

6.3. Территориальные учреждения (расчетно - кассовые центры) Банка России представляют в Банк России отчет об обязательных резервах, депонированных кредитными организациями в Банке России, составляемый на основании получаемой от кредитных организаций информации по форме и в сроки, установленные Банком России. (в ред. Письма ЦБ РФ от 25.04.97 N 440)

7. ПОРЯДОК ВЫПОЛНЕНИЯ РЕЗЕРВНЫХ ТРЕБОВАНИЙ КРЕДИТНЫМИ ОРГАНИЗАЦИЯМИ, КОТОРЫМ НАПРАВЛЕНО ПРЕДПИСАНИЕ ОБ ОГРАНИЧЕНИИ КРУГА ВЫПОЛНЯЕМЫХ ОПЕРАЦИЙ ЛИБО ПОДГОТОВЛЕНЫ ДОКУМЕНТЫ НА ОТЗЫВ ЛИЦЕНЗИИ НА СОВЕРШЕНИЕ БАНКОВСКИХ ОПЕРАЦИЙ

7.1. После направления в Банк России территориальным учреждением (расчетно - кассовым центром) Банка России предписания кредитной организации об ограничении круга выполняемых операций либо документов на отзыв лицензии на совершение банковских операций регулирование обязательных резервов не прекращается. Доперечисление или возврат средств производится в установленном настоящим Положением порядке. (в ред. Письма ЦБ РФ от 25.04.97 N 440)

7.2. В случае резкого снижения величины привлеченных средств за счет массового изъятия клиентами кредитной организации вкладов и депозитов (в размере более 15 процентов от валюты баланса, составленного на отчетную дату), кредитная организация имеет право обратиться в территориальное учреждение (расчетно - кассовый центр) Банка России с просьбой о внеочередном регулировании обязательных резервов по состоянию на 5, 10, 15, 20, 25 и 30 числа месяца. При этом кредитная организация представляет Расчет регулирования обязательных резервов, подлежащих депонированию в ЦБ РФ, по форме Приложения N 1 к настоящему Положению, а также Приложения N N 2, 2/2, 2/3, 2/4, 2/5, 2/6 за последние 30 календарных дней (например, при представлении указанного Расчета по состоянию на 10 число отчетного месяца - расчет средней хронологической производится по остаткам привлеченных средств в период с 10 числа предыдущего месяца по 10 число текущего месяца включительно; при представлении указанного Расчета по состоянию на 20 число текущего месяца - расчет средней хронологической производится по остаткам привлеченных средств в период с 20 числа предыдущего месяца по 20 число текущего месяца включительно). (в ред. Письма ЦБ РФ от 25.04.97 N 440; Указания ЦБ РФ от 18.11.97 N 23-У)

7.3. При ликвидации кредитной организации после создания в установленном законодательством порядке ликвидационной комиссии и открытии ей (на основании письменного заявления) лицевого счета на балансовом счете N 30101 (30102), территориальное учреждение (расчетно - кассовый центр) Банка России перечисляет на этот счет средства, депонированные в Банке России на балансовых счетах N 30201, N 30203 (перечисление осуществляется в порядке, установленном Положением "Об отзыве лицензии на осуществление банковских операций у банков и иных кредитных организаций в Российской Федерации" от 02.04.96 N 264 с учетом последующих изменений и дополнений) Банка России. При этом проценты на остатки средств, учитываемые на счете ликвидационной комиссии, Банком России не начисляются.

Указанные средства в соответствии со ст. 38 Федерального закона "О Центральном банке Российской Федерации (Банке России)" используются для погашения обязательств кредитной организации перед вкладчиками и кредиторами. В других случаях, кроме перечисленных в пунктах 2.5.2, 7.3 и разделе 4 настоящего Положения, возврат депонируемых обязательных резервов не производится. (в ред. Письма ЦБ РФ от 25.04.97 N 440; Приказа ЦБ РФ от 04.07.97 N 02-293; Указания ЦБ РФ от 18.11.97 N 23-У)

7.4. Наложение в установленном законодательством порядке ареста на корреспондентский счет кредитной организации в РКЦ Банка России не должно приостанавливать проведение территориальным учреждением (расчетно - кассовым центром) Банка России регулирования обязательных резервов. В этом случае доперечисление средств в обязательные резервы производится кредитной организацией с корреспондентского счета, открытого в другой кредитной организации, на основании платежного поручения с отметкой "перечисление недовзноса в обязательные резервы" (выписанного в соответствии с банковскими правилами).

При этом делаются следующие бухгалтерские проводки:

- в кредитной организации, на корреспондентский счет в расчетно - кассовом центре Банка России которой наложен арест:

Д-т сч. 30202, 30204

К-т сч. 30110;

- в кредитной организации, осуществляющей платеж по поручению кредитной организации, у которой наложен арест на корреспондентский счет, открытый в расчетно - кассовом центре Банка России:

Д-т сч. 30109

К-т сч. 30102;

- в расчетно - кассовом центре Банка России по месту открытия корреспондентского счета кредитной организации, осуществляющей платеж по поручению кредитной организации, у которой наложен арест на корреспондентский счет:

Д-т сч. 30101

К-т сч. 30701;

- в расчетно - кассовом центре Банка России по месту ареста корреспондентского счета кредитной организации:

Д-т сч. 30706

К-т сч. 30201, 30203. (в ред. Письма ЦБ РФ от 25.04.97 N 440; Указания ЦБ РФ от 18.11.97 N 23-У)

8. Территориальным учреждениям (расчетно - кассовым центрам) Банка России довести настоящее Положение до всех кредитных организаций; внести в установленном порядке изменения в договоры о расчетном и кассовом обслуживании. (в ред. Письма ЦБ РФ от 25.04.97 N 440)

Председатель Центрального банка
Российской Федерации
С.К.ДУБИНИН

Приложение 1
к Положению
от 30.03.96 N 37

(в ред. - Указания ЦБ РФ от 25.02.98 N 175-У)

Представляется на 1 число месяца одновременно с балансом в сроки, установленные для представления баланса <1>

<1> Расчет представляется в 2 экземплярах. После проверки Расчета территориальным учреждением (расчетно - кассовым центром) Банка России 2 экземпляр передается кредитной организации в порядке, предусмотренном п. 2.5 Положения.

 

РАСЧЕТ <2> РЕГУЛИРОВАНИЯ РАЗМЕРА ОБЯЗАТЕЛЬНЫХ РЕЗЕРВОВ, ПОДЛЕЖАЩИХ ДЕПОНИРОВАНИЮ В ЦЕНТРАЛЬНОМ БАНКЕ РОССИЙСКОЙ ФЕДЕРАЦИИ
_______________________________________
(наименование кредитной организации)
на 1 число месяца ___________________ 19__ г.
(месяц, следующий за отчетным)

<2> Приложение должно быть подписано руководителем и главным бухгалтером кредитной организации (либо лицами, их замещающими), подписи которых соответствуют образцам подписей, представленным в карточке образцов подписей, находящейся в территориальном учреждении (расчетно - кассовом центре) Банка России.

Сумма в рублях
  по данным кредитной организации по данным территориального учреждения (РКЦ) ЦБ РФ
1. Привлеченные средства на балансовых счетах, участвующих в расчете обязательных резервов, рассчитанные по средней хронологической (согласно разд. 2 Положения) - всего   x
в том числе:    
1.1. привлеченные средства в рублях   x
1.2. привлеченные средства в иностранной валюте   x
2. Средства, подлежащие депонированию в Банке России, исходя из установленных нормативов обязательных резервов - всего (стр. 2.3 + стр. 2.4)   x
в том числе:    
2.1. по счетам в рублях (стр. 1.1 <*> установленный норматив в %)   x
2.2. Вычитаются: остатки рублевых денежных средств в кассе (в пределах установленного Банком России минимально допустимого остатка), рассчитанные по средней хронологической за расчетный период (код обозначения 202025)   x
2.3. Итого по привлеченным средствам в рублях (стр. 2.1 минус 2.2)   x
2.4. по счетам в иностранной валюте (стр. 1.2 <*> установленный норматив в %)   x
3. Фактически внесено обязательных резервов на дату, установленную для представления Расчета - всего   <3>
в том числе:    
3.1. по обязательствам в рублях   <3>
3.2. по обязательствам в иностранной валюте   <3>
4. Подлежит дополнительному перечислению в обязательные резервы (стр. 2 минус стр. 3) - всего   x
в том числе:    
4.1. по обязательствам в рублях (стр. 2.3 минус стр. 3.1)   x
4.2. по обязательствам в иностранной валюте (стр. 2.4 минус стр. 3.2)   x
5. Подлежат возврату излишне перечисленные средства обязательных резервов (стр. 3 минус стр. 2) - всего   x
в том числе:    
5.1. по обязательствам в рублях (стр. 3.1 минус стр. 2.3)   x
5.2. по обязательствам в иностранной валюте (стр. 3.2 минус стр. 2.4)   x
Руководитель кредитной организации   М.П. Главный бухгалтер кредитной организации
____________________     _____________________
(подпись, Ф.И.О.)     (подпись, Ф.И.О.)
"__" ___________ 199_ г.      
"Расчет проверен"     _________________________
Уполномоченное лицо территориального учреждения (РКЦ) Банка России (должность)     (подпись, Ф.И.О.)
(должность)     "__" ___________ 199_ г.

<3> Территориальное учреждение (расчетно - кассовый центр) Банка России проставляет фактическую сумму депонированных обязательных резервов на дату фактического регулирования размера обязательных резервов по Расчету.

Приложение 2
к Положению
от 30.03.96 N 37

(в ред. - Указания ЦБ РФ от 25.02.98 N 175-У)

Представляется на 1 число месяца
одновременно с балансом, в сроки,
установленные для баланса

ДАННЫЕ <*> О ЕЖЕДНЕВНЫХ ОСТАТКАХ ПРИВЛЕЧЕННЫХ СРЕДСТВ, УЧАСТВУЮЩИХ В РАСЧЕТЕ ОБЯЗАТЕЛЬНЫХ РЕЗЕРВОВ
НА "__" ______ 199_ Г.

<*> Приложение должно быть подписано руководителем и главным бухгалтером кредитной организации (либо лицами, их замещающими), подписи которых соответствуют образцам подписей, представленным в карточке образцов подписей, находящейся в территориальном учреждении (расчетно - кассовом центре) Банка России.

(в руб.)
N балансового счета Остаток по счету на каждый календарный день месяца
01. ... Дата ........ Дата 01. ...
в руб. ин. валюта в руб. эквивал. в руб. ин. валюта в руб. эквивал. в руб. ин. валюта в руб. эквивал. в руб. ин. валюта в руб. эквивал. в руб. ин. валюта в руб. эквивал.
1. Балансовые счета по учету привлеченных средств, участвующие в расчете обязательных резервов  
30220                    
30223                    
30601                    
30603                    
30604                    
30606                    
40101                    
40102 (-40104)                    
40105                    
40106                    
40107                    
40108 (-40109)                    
40110 (-40111)                    
40112                    
40113                    
40114                    
40201                    
40202                    
40203                    
40204                    
40205                    
40206                    
40301                    
40302                    
40307                    
40309                    
40312                    
40314                    
40401                    
40402                    
40403                    
40404                    
40405                    
40406                    
40407                    
40408                    
40409                    
40410                    
40501                    
40502                    
40503                    
40504                    
40505                    
40601                    
40602                    
40603                    
40701                    
40702                    
40703                    
40801                    
40802                    
40803                    
40804                    
40805                    
40806                    
40807                    
40901                    
40902                    
40903                    
40905                    
40909                    
40910                    
40911                    
41001                    
41002                    
41003                    
41004                    
41005                    
41006                    
41007                    
41008                    
41101                    
41102                    
41103                    
41104                    
41105                    
41106                    
41107                    
41108                    
41201                    
41202                    
41203                    
41204                    
41205                    
41206                    
41207                    
41208                    
41301                    
41302                    
41303                    
41304                    
41305                    
41306                    
41307                    
41308                    
41401                    
41402                    
41403                    
41404                    
41405                    
41406                    
41407                    
41408                    
41501                    
41502                    
41503                    
41504                    
41505                    
41506                    
41507                    
41508                    
41601                    
41602                    
41603                    
41604                    
41605                    
41606                    
41607                    
41608                    
41701                    
41702                    
41703                    
41704                    
41705                    
41706                    
41707                    
41708                    
41801                    
41802                    
41803                    
41804                    
41805                    
41806                    
41807                    
41808                    
41901                    
41902                    
41903                    
41904                    
41905                    
41906                    
41907                    
41908                    
42001                    
42002                    
42003                    
42004                    
42005                    
42006                    
42007                    
42008                    
42101                    
42102                    
42103                    
42104                    
42105                    
42106                    
42107                    
42108                    
42201                    
42202                    
42203                    
42204                    
42205                    
42206                    
42207                    
42208                    
42301                    
42302                    
42303                    
42304                    
42305                    
42306                    
42307                    
42308                    
42501                    
42502                    
42503                    
42504                    
42505                    
42506                    
42507                    
42508                    
42601                    
42602                    
42603                    
42604                    
42605                    
42606                    
42607                    
42608                    
42701                    
42702                    
42703                    
42704                    
42705                    
42706                    
42707                    
42801                    
42802                    
42803                    
42804                    
42805                    
42806                    
42807                    
42901                    
42902                    
42903                    
42904                    
42905                    
42906                    
42907                    
43001                    
43002                    
43003                    
43004                    
43005                    
43006                    
43007                    
43101                    
43102                    
43103                    
43104                    
43105                    
43106                    
43107                    
43201                    
43202                    
43203                    
43204                    
43205                    
43206                    
43207                    
43301                    
43302                    
43303                    
43304                    
43305                    
43306                    
43307                    
43401                    
43402                    
43403                    
43404                    
43405                    
43406                    
43407                    
43501                    
43502                    
43503                    
43504                    
43505                    
43506                    
43507                    
43601                    
43602                    
43603                    
43604                    
43605                    
43606                    
43607                    
43701                    
43702                    
43703                    
43704                    
43705                    
43706                    
43707                    
43801                    
43802                    
43803                    
43804                    
43805                    
43806                    
43807                    
43901                    
43902                    
43903                    
43904                    
43905                    
43906                    
43907                    
44001                    
44002                    
44003                    
44004                    
44005                    
44006                    
44007                    
47401                    
47405                    
47409                    
47416                    
47418                    
47422                    
52001                    
52002                    
52003                    
52004                    
52005                    
52006                    
52101                    
52102                    
52103                    
52104                    
52105                    
52106                    
52201                    
52202                    
52203                    
52204                    
52205                    
52206                    
52301                    
52302                    
52303                    
52304                    
52305                    
52306                    
52307                    
1.1. Итого                    
Расшифровки по балансовым счетам вычитаются:  
401101                    
408061                    
474091                    
520061                    
1.2. Итого                    
1.3. Всего (стр. 1.1 минус стр. 1.2):
1.4. Средняя хронологическая ежедневных балансовых остатков рублевых средств независимо от срока привлечения
2. Средняя хронологическая ежедневных балансовых остатков средств в ин. валюте
Руководитель кредитной организации  
(подпись, Ф.И.О.)
   
Главный бухгалтер кредитной организации  
(подпись, Ф.И.О.)
М.П.  

Приложение N 2/1

отменено (в ред. Письма ЦБ РФ от 25.04.97 N 440)

Приложение N 2/2

исключено (в ред. Указания ЦБ РФ от 25.02.98 N 175-У)

Приложение 2/3
к Положению
от 30.03.96 N 37

(в ред. - Указания ЦБ РФ от 25.02.98 N 175-У)

ЕЖЕДНЕВНАЯ РАСШИФРОВКА <*> ОТДЕЛЬНЫХ БАЛАНСОВЫХ СЧЕТОВ ДЛЯ РАСЧЕТА ОБЯЗАТЕЛЬНЫХ РЕЗЕРВОВ, ДЕПОНИРУЕМЫХ КРЕДИТНОЙ ОРГАНИЗАЦИЕЙ
_________________________________________________
(наименование кредитной организации)
В БАНКЕ РОССИИ
на "__" ______________________________ 199_ г.
(месяц, следующий за отчетным)

<*> Приложение должно быть подписано руководителем и главным бухгалтером кредитной организации (либо лицами, их замещающими), подписи которых соответствуют образцам подписей, представленным в карточке образцов подписей, находящейся в территориальном учреждении (расчетно - кассовом центре) Банка России.

(в руб.)
Наименование Код обозначения 01. ... Дата 01. ...
в руб. ин. валюта в руб. эквивал. в руб. ин. валюта в руб. эквивал. в руб. ин. валюта в руб. эквивал.
1. Пассивный остаток балансового счета N 40110 уменьшается на: - пассивные остатки отдельных лицевых счетов по учету средств, выделенных Министерством финансов Российской Федерации в 1992 году по решениям Правительства Российской Федерации для финансирования инвестиционных и конверсионных программ, а также бюджетных средств, выделенных АККОРом в 1992 году для обеспечения гарантий при льготном кредитовании крестьянских (фермерских) хозяйств 401101   x   x   x
2. Пассивный остаток балансового счета N 40806 уменьшается на: - пассивные остатки отдельных лицевых счетов по учету средств банков - нерезидентов в уполномоченных банках 408061   x   x   x
3. Пассивный остаток балансового счета N 47409 уменьшается на: - пассивные остатки отдельных лицевых счетов этого счета по учету покрытых (депонированных) аккредитивов в размере суммы аккредитива (покрытия), перечисленного кредитной организацией - эмитентом в распоряжение исполняющей кредитной организации 474091            
4. Пассивный остаток балансового счета N 52006 уменьшается на: - пассивные остатки отдельных лицевых счетов этого счета, на которых учитываются выпущенные кредитной организацией облигации со сроком погашения свыше 5 лет и не содержащие в условиях выпуска обязательства кредитной организации - эмитента по выкупу своих облигаций ранее, чем через 5 лет 520061            
Руководитель кредитной организации  
(подпись, Ф.И.О.)
   
Главный бухгалтер кредитной организации  
(подпись, Ф.И.О.)
М.П.  

Приложение 2/4
к Положению
от 30.03.96 N 37

(в ред. - Указания ЦБ РФ от 25.02.98 N 175-У)

РАСЧЕТ <*> СРЕДНЕЙ ХРОНОЛОГИЧЕСКОЙ ВЕЛИЧИНЫ НАЛИЧНЫХ ДЕНЕЖНЫХ СРЕДСТВ В РУБЛЯХ В КАССЕ КРЕДИТНОЙ ОРГАНИЗАЦИИ, УЧИТЫВАЕМЫХ НА БАЛАНСОВЫХ СЧЕТАХ N N 20202, 20206, 20207, 20208 (В ПРЕДЕЛАХ УСТАНОВЛЕННОГО БАНКОМ РОССИИ МИНИМАЛЬНО ДОПУСТИМОГО ОСТАТКА НАЛИЧНЫХ ДЕНЕГ В ОПЕРАЦИОННОЙ КАССЕ НА КОНЕЦ ДНЯ)
____________________________________
(наименование кредитной организации)
на "__" ______________________________ 199_ г.
(месяц, следующий за отчетным)

<*> Приложение должно быть подписано руководителем и главным бухгалтером кредитной организации (либо лицами, их замещающими), подписи которых соответствуют образцам подписей, представленным в карточке образцов подписей, находящейся в территориальном учреждении (расчетно - кассовом центре) Банка России.

(в руб.)
01. ... Дата Дата 01. ...
1. Минимально допустимый остаток наличных денег в операционной кассе на конец дня, установленный территориальным учреждением (расчетно - кассовым центром) Банка России (включая минимально допустимые остатки, установленные филиалам данной кредитной организации по месту их нахождения)        
2. Фактические остатки денежных средств в рублях в кассе, учитываемых на б/сч. N N 20202, 20206, 20207, 20208        
3. Фактические остатки денежных средств в рублях в кассе, учитываемых на б/сч. N N 20202, 20206, 20207, 20208, в пределах установленного территориальным учреждением (расчетно - кассовым центром) Банка России минимально допустимого остатка наличных денег в операционной кассе на конец дня (стр. 2 в пределах стр. 1)        
4. Средняя хронологическая величина наличных денежных средств в рублях в кассе, учитываемых на б/сч. N N 20202, 20206, 20207, 20208, в пределах установленного территориальным учреждением (расчетно - кассовым центром) Банка России минимально допустимого остатка наличных денег в операционной кассе на конец дня за отчетный месяц (код обозначения 202025)    
Руководитель кредитной организации  
(подпись, Ф.И.О.)
   
Главный бухгалтер кредитной организации  
(подпись, Ф.И.О.)
М.П.  

Приложение 2/5
к Положению
от 30.03.96 N 37

(в ред. - Указания ЦБ РФ от 25.02.98 N 175-У)

ЕЖЕДНЕВНАЯ РАСШИФРОВКА <*> БАЛАНСОВЫХ СЧЕТОВ ПО УЧЕТУ НАЛИЧНЫХ ДЕНЕЖНЫХ СРЕДСТВ В КАССЕ КРЕДИТНОЙ ОРГАНИЗАЦИИ (БАЛАНСОВЫЕ СЧЕТА N N 20202, 20206, 20207, 20208)
_____________________________________________
(наименование кредитной организации)
на "__" _____________________________ 199_ г.
(месяц, следующий за отчетным)

<*> Приложение должно быть подписано руководителем и главным бухгалтером кредитной организации (либо лицами, их замещающими), подписи которых соответствуют образцам подписей, представленным в карточке образцов подписей, находящейся в территориальном учреждении (расчетно - кассовом центре) Банка России.

(в руб.)
N Номер счета Наименование счета Сумма
01. ... ........ ........ 01. ...
в руб. ин. валюта (в руб. эквиваленте) в руб. ин. валюта (в руб. эквиваленте) в руб. ин. валюта (в руб. эквиваленте) в руб. ин. валюта (в руб. эквиваленте)
1 2 3 4 5 ... ... ... ... ... ...
1. 20202 Касса кредитных организаций                
2. 20206 Касса обменных пунктов                
3. 20207 Денежные средства в операционных кассах, находящихся вне помещений банков                
4. 20208 Денежные средства в банкоматах                
5.   Итого наличных денежных средств в кассе кредитной организации                
Руководитель кредитной организации  
(подпись, Ф.И.О.)
   
Главный бухгалтер кредитной организации  
(подпись, Ф.И.О.)
М.П.  

Приложение N 2/6

исключено (в ред. Указания ЦБ РФ от 25.02.98 N 175-У)

 
 
 
Приложение N 3
к Положению
от 30 марта 1996 г. N 37

(в ред. - Писем ЦБ РФ от 26.04.96 N 279, от 25.04.97 N 440; Указаний ЦБ РФ от 18.11.97 N 23-У, от 25.02.98 N 175-У)

В территориальное учреждение
(расчетно - кассовый центр)
Банка России
____________________________
(заполняется в двух
экземплярах, после
надлежащего оформления
1 экз. остается у кредитной
организации, 2 экз. - в
территориальном учреждении
(РКЦ) Банка России) <*>

"__" ______________ 199_ г.


<*> Приложение должно быть подписано руководителем и главным бухгалтером кредитной организации (либо лицами, их замещающими), подписи которых соответствуют образцам подписей, представленным в карточке образцов подписей, находящейся в территориальном учреждении (расчетно - кассовом центре) Банка России. (в ред. Указания ЦБ РФ от 25.02.98 N 175-У)  
    В связи  с  проведением  регулирования  размера   обязательных
резервов, подлежащих депонированию в ЦБ РФ на "__" ______ 199_ г.,
и в соответствии с пп. 2.5.3 Положения "Об  обязательных  резервах
кредитных организаций, депонируемых в Центральном банке Российской
Федерации",  утвержденного  Приказом  Банка  России   от  30 марта
1996 г. N 02-77
__________________________________________________________________
            (наименование кредитной организации)
просит произвести зачисление излишне перечисленной суммы _________
_______________________________________ (сумма цифрами и прописью)
с б/сч. N 30201 (N 30203) на б/сч. N 30203 (N 30201).
(в ред. Указания ЦБ РФ от 18.11.97 N 23-У)
 
 Руководитель кредитной
 организации                 ______________ (подпись, Ф.И.О.)
 
 М.П.
 
__________________________________________________________________
  (заполняется территориальным учреждением (расчетно - кассовым
                  центром) Банка России)
 
Принято "__" _______________ 199_ г.
 
Уполномоченное лицо Банка России
(должность)                     ________________ (подпись, Ф.И.О.)
 
Произвести зачисление излишне перечисленной кредитной организацией
__________________________________________________________________
            (наименование кредитной организации)
суммы обязательных резервов ______________________________________
                             (сумма цифрами и прописью)
с отдельного  лицевого счета N _______  б/сч. N 30201 (N 30203) на
отдельный лицевой счет N ________ б/сч. N 30203 (N 30201).
(в ред. Указания ЦБ РФ от 18.11.97 N 23-У)
 
 Руководитель территориального
 учреждения (РКЦ) Банка
    России                      ________________ (подпись, Ф.И.О.)
 
    "__" ______________ 199_ г.
 
 

Приложение N 4
к Положению
от 30 марта 1996 г. N 37

(в ред. - Письма ЦБ РФ от 25.04.97 N 440; Указания ЦБ РФ от 25.02.98 N 175-У)

В территориальное учреждение
(расчетно - кассовый центр)
Банка России
____________________________
(заполняется в двух экземплярах,
после надлежащего оформления 1 экз.
остается у кредитной организации,
2 экз. - в территориальном учреждении
(РКЦ) Банка России)

 ЗАЯВЛЕНИЕ <*> НА ВНУТРИМЕСЯЧНОЕ СНИЖЕНИЕ НОРМАТИВОВ ОБЯЗАТЕЛЬНЫХ
          РЕЗЕРВОВ N _______ ОТ "__" ____________ 199_ Г.
 
 __________________________________________________________________
     (наименование кредитной организации)
     корреспондентский  счет  N __________________________ в РКЦ ГУ
ЦБ                               РФ                              по
___________________________________________________________________
почтовый адрес: ___________________________________________________


     <*>  Приложение  должно быть подписано руководителем и главным
бухгалтером  кредитной  организации  (либо лицами, их замещающими),
подписи  которых  соответствуют образцам подписей, представленным в
карточке   образцов   подписей,   находящейся   в   территориальном
учреждении (расчетно - кассовом центре) Банка России.
     (в ред. Указания ЦБ РФ от 25.02.98 N 175-У)
 
     В   соответствии   с   разделом   4 Положения "Об обязательных
резервах, депонируемых кредитными организациями в Центральном банке
Российской  Федерации",  утвержденного  Приказом Банка России от 30
марта  1996 г. N 02-77, просим предоставить право на внутримесячное
снижение  нормативов  обязательных резервов в 199_ г. в размере, не
превышающем   5   процентов   от  суммы депонированных обязательных
резервов   за   отчетный   месяц.   Кредитная организация выполняет
требования, указанные в п. 4.2 Положения.
     Кредитная организация обязуется ежемесячно (к 26 числу каждого
месяца)  представлять  в  территориальное  учреждение  (РКЦ)  Банка
России  _________________ (наименование) все необходимые документы,
указанные   в   п.   4.9   Положения,  и производить доперечисление
обязательных резервов в период с 26 числа каждого месяца до 1 числа
следующего месяца.
 
   Руководитель кредитной                                          
         организации                  ___________________          
                                       (подпись, Ф.И.О.)           
                                                                   
 М.П.                                                              
 
  _________________________________________________________________
     (заполняется территориальным учреждением (расчетно - кассовым
     центром) Банка России)
 Принято "__" ______________ 199_                                  
 г.                                                                
 Уполномоченное лицо Банка России  ______________ (подпись, Ф.И.О.)
 (должность)                                                       
 Разрешается кредитной             ________________________________
 организации                                (наименование)         
 
     внутримесячное  снижение  нормативов  обязательных  резервов в
199_  г.  в  размере  не  более  5  процентов от суммы обязательных
резервов, депонируемых в Банке России.
 
 Руководитель территориального           ______________ (подпись,  
 учреждения (РКЦ) Банка России                   Ф.И.О.)           
 "__" ______________ 199_ г. )                                     
 

 

Приложение N 5
к Положению
от 30 марта 1996 г. N 37

(в ред. - Письма ЦБ РФ от 25.04.97 N 440; Указаний ЦБ РФ от 18.11.97 N 23-У, от 25.02.98 N 175-У)

В территориальное учреждение
(расчетно - кассовый центр)
Банка России

РАСЧЕТ (ПРОГНОЗ) <*> ОСТАТКОВ ОБЯЗАТЕЛЬНЫХ РЕЗЕРВОВ, УЧИТЫВАЕМЫХ НА БАЛАНСОВЫХ СЧЕТАХ N 30201 И N 30203 (N 30202 И N 30204) ПО ФОРМУЛЕ СРЕДНЕЙ ХРОНОЛОГИЧЕСКОЙ
НА ___________________ 199_ Г.
(текущий месяц)
____________________________________________
(наименование кредитной организации )

<*> Приложение должно быть подписано руководителем и главным бухгалтером кредитной организации (либо лицами, их замещающими), подписи которых соответствуют образцам подписей, представленным в карточке образцов подписей, находящейся в территориальном учреждении (расчетно - кассовом центре) Банка России. (в ред. Указания ЦБ РФ от 25.02.98 N 175-У)

(сумма в тыс. рублей)
01... Дата ... ... Дата 01...
1. Остатки средств обязательных резервов, учитываемых на б/сч. N 30201, N 30203, на каждый календарный день с 1 числа текущего месяца по 1 число следующего месяца включительно            
(в ред. Указания ЦБ РФ от 18.11.97 N 23-У)
2. Количество календарных дней в периоде с 1 числа текущего месяца по 1 число следующего месяца включительно = 31 x x x x x x
3. Средняя хронологическая остатков обязательных резервов, учитываемых на б/сч. N 30201, N 30203, на текущий месяц <*>            
(в ред. Указания ЦБ РФ от 18.11.97 N 23-У)  

 

<*> Средняя хронологическая остатков обязательных резервов, учитываемых на б/сч. N 30201, N 30203, за месяц (Lr) рассчитывается по следующей формуле:

L1 - сумма остатков обязательных резервов на первое число текущего месяца;

Ln - сумма остатков обязательных резервов за последний календарный день месяца (на первое число следующего месяца);

n - число календарных дней в период с 1 числа текущего месяца по 1 число следующего месяца включительно, равное 31. (в ред. Указания ЦБ РФ от 18.11.97 N 23-У)

Руководитель кредитной организации  
(подпись, Ф.И.О.)

Приложение N 6
к Положению
от 30 марта 1996 г. N 37

(в ред. - Письма ЦБ РФ от 25.04.97 N 440)

На бланке территориального учреждения (расчетно - кассового центра) Банка России   Руководителю кредитной организации
     
    (наименование)
"__" ___________ 199_ г.    

Территориальное учреждение (расчетно - кассовый центр) Банка России ______________________ (наиемнование) рассмотрело Заявление ______________________ (наименование кредитной организации) N ____ от "__" ______ 199_ г. с просьбой о предоставлении права на внутримесячное снижение в 199_ г. нормативов обязательных резервов в размере, не превышающем 5 процентов от суммы депонированных обязательных резервов за отчетный месяц, и сообщает, что она не может быть удовлетворена на основании пункта 4.2 Положения "Об обязательных резервах, депонируемых кредитными организациями в Центральном банке Российской Федерации", утвержденного Приказом Банка России от 30 марта 1996 г. N 02-77.

Руководитель территориального учреждения (расчетно - кассового центра) Банка России  
(подпись, Ф.И.О.)

Приложение N 7
к Положению
от 30 марта 1996 г. N 37

(в ред. - Письма ЦБ РФ от 25.04.97 N 440; Указаний ЦБ РФ от 18.11.97 N 23-У, от 25.02.98 N 175-У)

В территориальное учреждение
(расчетно - кассовый центр)
Банка России
________________________________
(заполняется в двух экземплярах,
после надлежащего оформления
экз. остается у кредитной
организации, 2 экз. - в
территориальном учреждении (РКЦ)
Банка России)

   ЗАЯВКА <*> НА ВНУТРИМЕСЯЧНОЕ СНИЖЕНИЕ НОРМАТИВОВ ОБЯЗАТЕЛЬНЫХ
            РЕЗЕРВОВ N ________ ОТ "__" ______ 199_ Г.
 

     <*>  Приложение должно быть подписано руководителем и главным
бухгалтером  кредитной организации  (либо лицами, их замещающими),
подписи  которых соответствуют образцам подписей, представленным в
карточке   образцов   подписей,  находящейся   в   территориальном
учреждении  (расчетно  -  кассовом центре)  Банка  России. (в ред.
Указания ЦБ РФ от 25.02.98 N 175-У )
 _________________________________________________________________
            (наименование кредитной организации)
корреспондентский счет N __________________________ в РКЦ ГУ ЦБ РФ
по _______________________________________________________________
почтовый адрес: __________________________________________________
 
    На основании Заявления на внутримесячное  снижение  нормативов
обязательных  резервов от "__" ______________ 199_ г.  N _________
просим снизить нормативы обязательных резервов на период с "__" по
"__" _______________ 199_ г. на ____ процентов.
  (текущий месяц)
    Обязательные резервы в сумме _________________________________
(цифрами  и  прописью)   просим   перечислить   на   вышеуказанный
корреспондентский счет.
    Кредитная организация обязуется к 26 _________________ 199_ г.
                                       (текущий месяц)
представить в территориальное  учреждение (расчетно   -   кассовый
центр) Банка России  ______________________________ (наименование)
необходимые  документы,   указанные   в   п. 4.9   Положения   "Об
обязательных резервах  кредитных   организаций,  депонируемых    в
Центральном банке Российской  Федерации",  утвержденного  Приказом
Банка  России  от  30  марта  1996  г.   N  02-77,   и  произвести
доперечисление обязательных резервов в период с 26 числа _________
                                                   (текущий месяц)
до   1     числа  _______________________   199__ г.    на    счет
                  (следующий месяц)
территориального учреждения (РКЦ) Банка России N ____________.
 
 Руководитель кредитной
 организации                 ________________ (подпись, Ф.И.О.)
 
 М.П.
 
__________________________________________________________________
  (заполняется территориальным учреждением (расчетно - кассовым
                     центром) Банка России)
 
Принято "__" _________________ 199_ г.
 
Уполномоченное лицо Банка России
(должность)                     ________________ (подпись, Ф.И.О.)
 
 Перечислить кредитной организации _______________________________
                                           (наименование)
обязательные резервы в сумме _____________________________________
                                 (сумма цифрами и прописью)
на корреспондентский счет N _______ в РКЦ ГУ ЦБ РФ ______________.
При  этом  минимально  допустимый  остаток  обязательных резервов,
учитываемый на б/сч. N 30201, N 30203, должен быть ______________.
                                        (сумма цифрами и прописью)
(в ред. Указания ЦБ РФ от 18.11.97 N 23-У)
 
 Руководитель территориального
 учреждения (РКЦ) Банка России      _________ (подпись, Ф.И.О.)
 
 "__" ______________ 199_ г.

 
 

Приложение N 7/1
к Положению
от 30 марта 1996 г. N 37

(в ред. - Письма ЦБ РФ от 25.04.97 N 440; Указаний ЦБ РФ от 18.11.97 N 23-У, от 25.02.98 N 175-У)

СПРАВКА <*> ОБ ОСТАТКАХ ОБЯЗАТЕЛЬНЫХ РЕЗЕРВОВ
_________________________________________________
(наименование кредитной организации)
НА "__" ___________________ 199_ Г.
(текущий месяц)

<*> Приложение должно быть подписано руководителем и главным бухгалтером кредитной организации (либо лицами, их замещающими), подписи которых соответствуют образцам подписей, представленным в карточке образцов подписей, находящейся в территориальном учреждении (расчетно - кассовом центре) Банка России. (в ред. Указания ЦБ РФ от 25.02.98 N 175-У)

(сумма в тыс. рублей)
1. Фактические остатки обязательных резервов, учитываемые на б/сч. N 30201, N 30203 (N 30202, N 30204), с учетом произведенного регулирования за отчетный месяц __________________
(в ред. Указания ЦБ РФ от 18.11.97 N 23-У)
2. Сумма обязательных резервов в размере 5% от фактических остатков обязательных резервов, учитываемых на б/сч. N 30201, N 30203 (N 30202, N 30204) (стр. 1 * 5%) __________________
(в ред. Указания ЦБ РФ от 18.11.97 N 23-У)
3. Минимальная допустимая сумма остатков обязательных резервов, учитываемых на б/сч. N 30201, N 30203 (N 30202, N 30204) (стр. 1 минус стр. 2) __________________
(в ред. Указания ЦБ РФ от 18.11.97 N 23-У)
4. Средняя хронологическая остатков обязательных резервов на текущий месяц, учитываемых на б/сч. N 30201, N 30203 (N 30202, N 30204), по Расчету (Прогнозу) (Приложение N 5 к Положению) __________________
(в ред. Указания ЦБ РФ от 18.11.97 N 23-У)  
Руководитель кредитной организации  
(подпись, Ф.И.О.)
М.П.  

Приложение N 8
к Положению
от 30 марта 1996 г. N 37

(в ред. - Письма ЦБ РФ от 25.04.97 N 440; Указаний ЦБ РФ от 18.11.97 N 23-У, от 25.02.98 N 175-У)

В территориальное учреждение
(расчетно - кассовый центр)
Банка России
____________________________

РАСЧЕТ (ОКОНЧАТЕЛЬНЫЙ) <*> ОСТАТКОВ ОБЯЗАТЕЛЬНЫХ РЕЗЕРВОВ, УЧИТЫВАЕМЫХ НА БАЛАНСОВЫХ СЧЕТАХ N 30201 И N 30203 (N 30202 И N 30204) ПО ФОРМУЛЕ СРЕДНЕЙ ХРОНОЛОГИЧЕСКОЙ
ЗА __________________ 199_ Г.
(текущий месяц)
_____________________________________________
(наименование кредитной организации)

<*> Приложение должно быть подписано руководителем и главным бухгалтером кредитной организации (либо лицами, их замещающими), подписи которых соответствуют образцам подписей, представленным в карточке образцов подписей, находящейся в территориальном учреждении (расчетно - кассовом центре) Банка России. (в ред. Указания ЦБ РФ от 25.02.98 N 175-У)

(сумма в тыс. рублей)
01... Дата ... ... Дата 01...
1. Остатки средств обязательных резервов, учитываемых на б/сч. N 30201, N 30203, на каждый календарный день месяца (фактические за месяц)            
(в ред. Указания ЦБ РФ от 18.11.97 N 23-У)
2. Количество календарных дней в периоде с 1 числа текущего месяца по 1 число следующего месяца включительно = 31 x x x x x x
3. Средняя хронологическая остатков обязательных резервов, учитываемых на б/сч. N 30201, N 30203, за текущий месяц <*>            
(в ред. Указания ЦБ РФ от 18.11.97 N 23-У)          

<*> Средняя хронологическая остатков обязательных резервов, учитываемых на б/сч. N 30201, N 30203, за текущий месяц (Lr) рассчитывается по следующей формуле:

L1 - сумма остатков обязательных резервов на первое число текущего месяца;

Y - сумма остатков обязательных резервов, которые должны учитываться на б/сч. N 30201, N 30203 (начиная с 5 числа текущего месяца по 1 число следующего месяца), с тем чтобы средняя хронологическая остатков обязательных резервов по настоящему Расчету (Окончательному) была эквивалентна средней хронологической остатков обязательных резервов по Расчету (Прогнозу);

d - количество календарных дней в расчетном периоде, в течение которых сумма остатков обязательных резервов (Y) учитывается на б/сч. N 30201, N 30203. При этом "d" меньше "n"

Yn - сумма остатков обязательных резервов на 1 число следующего месяца;

n - число календарных дней в периоде (с 1 числа текущего месяца по 1 число следующего месяца включительно), равное 31. (в ред. Указания ЦБ РФ от 18.11.97 N 23-У)

Руководитель кредитной организации  
(подпись, Ф.И.О.)

Приложение N 9
к Положению
от 30 марта 1996 г. N 37

УСЛОВНЫЙ ПРИМЕР РАСЧЕТА СУММЫ ШТРАФА ЗА НЕДОВЗНОС В ОБЯЗАТЕЛЬНЫЕ РЕЗЕРВЫ

Исходные данные:  
Сумма недовзноса в обязательные резервы - 100 млн. руб.;
Просрочка платежа - 12 дней;
Ставка рефинансирования Банка России - 120% годовых;
1,3 ставки рефинансирования - 156% годовых
(120% x 1,3 = 156% годовых);
1,5 ставки рефинансирования - 180% годовых
(120% x 1,5 = 180% годовых);
2,0 ставки рефинансирования - 240% годовых
(120% x 2,0 = 240% годовых)

РАСЧЕТ СУММЫ ШТРАФА ЗА НЕДОВЗНОС В ОБЯЗАТЕЛЬНЫЕ РЕЗЕРВЫ

Количество допущенных нарушений Размер штрафа
Первое нарушение за первые 2 дня (1,3 ставки рефинансирования): 100 млн. руб. x 156% x 2 дня / 360 дней = 0,867 млн. руб.
за следующие 10 дней (1,5 ставки рефинансирования): 100 млн. руб. x 180% x 10 дней / 360 дней = 5,0 млн. руб.
Итого штраф за 12 дней просрочки: 0,867 млн. руб. + 5,0 млн. руб. = 5,867 млн. руб.
Второе нарушение за первые 2 дня (1,5 ставки рефинансирования): 100 млн. руб. x 180% x 2 дня / 360 дней = 1,0 млн. руб.
за следующие 10 дней (2,0 ставки рефинансирования): 100 млн. руб. x 240% x 10 дней / 360 дней = 6,667 млн. руб.
Итого штраф за 12 дней просрочки: 1,0 млн. руб. + 6,667 млн. руб. = 7,667 млн. руб.
Третье и последующие нарушения за первые 2 дня (2,0 ставки рефинансирования): 100 млн. руб. x 240% x 2 дня / 360 дней = 1,333 млн. руб.
за следующие 10 дней (2,0 ставки рефинансирования): 100 млн. руб. x 240% x 10 дней / 360 дней = 6,667 млн. руб.
Итого штраф за 12 дней просрочки: 1,333 млн. руб. + 6,667 млн. руб. = 8,0 млн. руб.

Приложение N 10
к Положению
от 30 марта 1996 г. N 37

УСЛОВНЫЙ ПРИМЕР РАСЧЕТА СУММЫ СРЕДСТВ, ПОДЛЕЖАЩИХ ДОПЕРЕЧИСЛЕНИЮ КРЕДИТНОЙ ОРГАНИЗАЦИЕЙ В ОБЯЗАТЕЛЬНЫЕ РЕЗЕРВЫ ПРИ ИСПОЛЬЗОВАНИИ ПРАВА ВНУТРИМЕСЯЧНОГО СНИЖЕНИЯ НОРМАТИВОВ ОБЯЗАТЕЛЬНЫХ РЕЗЕРВОВ

(в ред. - Письма ЦБ РФ от 25.04.97 N 440; Указания ЦБ РФ от 18.11.97 N 23-У)

Общие положения

Кредитная организация получила разрешение Банка России на внутримесячное снижение нормативов обязательных резервов в течение 1996 г. В феврале 1996 г. у кредитной организации периодически возникала необходимость воспользоваться этой льготой для поддержания текущей ликвидности.

Срок представления в Банк России Расчета обязательных резервов за отчетный месяц - 4-й рабочий день месяца, следующего за отчетным, т.к. кредитная организация имеет сеть филиалов.

Срок перечисления средств в обязательные резервы по Расчету обязательных резервов за отчетный месяц (балансовые счета N 30201 и N 30203 - в расчетно - кассовом центре Банка России; N 30202 и N 30204 - в кредитной организации) - 4-й рабочий день месяца, следующего за отчетным. (в ред. Указания ЦБ РФ от 18.11.97 N 23-У)

Расчет (Прогноз) - Приложение N 5 к Положению средней хронологической остатков обязательных резервов, учитываемых на балансовых счетах N 30201 и N 30203, на текущий месяц производится по формуле:

L1 - остаток средств кредитной организации на балансовых счетах N 30201 и N 30203 на 1-е число текущего месяца (за последний день отчетного месяца);

L2 - остаток средств кредитной организации на балансовых счетах N 30201 и N 30203 на 2-е число текущего месяца (за 1 день месяца, следующего за отчетным);

Ln - остаток средств кредитной организации на балансовых счетах N 30201 и N 30203 на 1-е число месяца, следующего за текущим (за последний день месяца, следующего за отчетным);

n - число календарных дней в расчетном периоде (с 1-го числа текущего месяца по 1-е число месяца, следующего за текущим, включительно), равное 31. При расчете обязательных резервов количество дней в месяце условно принимается равным 30. Если в месяце 31 день, 31 число в расчет не принимается, а в феврале остаток за последнее число повторяется столько раз, сколько дней недостает до 30. (в ред. Указания ЦБ РФ от 18.11.97 N 23-У)

Кредитная организация, воспользовавшаяся правом внутримесячного снижения нормативов обязательных резервов, должна довнести в обязательные резервы необходимую сумму средств в период с 26-го по 30-е число текущего месяца (по состоянию на 1-е число следующего месяца), исходя из средней хронологической остатков обязательных резервов за текущий месяц в соответствии с Расчетом (Окончательным) - Приложение N 8 к Положению.

При этом средняя хронологическая остатков обязательных резервов по Расчету (Прогнозу) - Приложение N 5 к Положению - должна быть равна величине средней хронологической остатков обязательных резервов по Расчету (Окончательному) - Приложение N 8 к Положению.

Расчет за февраль:

1. Исходные данные:

1.1. Срок предоставления Расчета обязательных резервов за отчетный месяц (январь 1996 г.) - 06.02.96.

1.2. Срок перечисления средств в обязательные резервы по Расчету обязательных резервов за отчетный месяц - 06.02.96.

1.3. У кредитной организации на балансовых счетах N 30201 и N 30203 сформированы обязательные резервы в следующих размерах:

на 01.02.96 - 1800 млн. руб. (по расчету за декабрь 1995 г.);

на 07.02.96 - 2000 млн. руб. (по расчету за январь 1996 г.). (в ред. Указания ЦБ РФ от 18.11.97 N 23-У)

1.4. Максимальное снижение нормативов обязательных резервов на льготный период текущего месяца (с 07.02.96 по 25.02.96) не должно превышать 5% от фактической суммы обязательных резервов за отчетный месяц (январь), т.е. 100 млн. руб. (2000 x 5% = 100). Поэтому остаток средств кредитной организации на балансовых счетах N 30201 и N 30203 в течение льготного периода не должен быть меньше 1900 млн. руб. (2000 - 100 = 1900). (в ред. Указания ЦБ РФ от 18.11.97 N 23-У)

1.5. Средняя хронологическая остатков обязательных резервов, учитываемых на балансовых счетах N 30201 и N 30203, на февраль 1996 г. составляет 1963,33 млн. руб. (по Расчету (Прогнозу) - Приложение N 5):

Так как в феврале 1996 г. 29 календарных дней, а при расчете обязательных резервов количество дней в месяце условно принимается равным 30, то остаток 2000 млн. руб. за 29.02.96 должен повториться еще один раз. (в ред. Указания ЦБ РФ от 18.11.97 N 23-У)

1.6. Кредитная организация воспользовалась в феврале правом на внутримесячное снижение нормативов обязательных резервов в установленной сумме - 100 млн. руб. два раза в следующие периоды:

с 09.02.96 по 12.02.96 (в течение 4 дней);

с 20.02.96 по 22.02.96 (в течение 3 дней).

Территориальное учреждение (расчетно - кассовый центр) Банка России в конце операционного дня 08.02.96 и 19.02.96 переводит со счетов N N 30201, 30203 средства в сумме 100 млн. руб. на корреспондентский счет кредитной организации.

Кредитная организация 12.02.96 и 22.02.96 производит доперечисление средств в обязательные резервы в сумме 100 млн. руб. (в ред. Указания ЦБ РФ от 18.11.97 N 23-У)

1.7. Кредитная организация 26.02.96 довносит обязательные резервы в такой сумме, что средняя хронологическая фактических остатков обязательных резервов, учитываемых на балансовых счетах N 30201 и N 30203, в феврале (с 01.02.96 по 01.03.96 включительно) - по Расчету (Окончательному) - Приложение N 8 к Положению - эквивалентна средней хронологической остатков обязательных резервов по Расчету (Прогнозу) - Приложения N 5 к Положению. В нашем примере этот расчет произведен в п. 1.5 и расчетная средняя хронологическая на февраль 1996 г. составляет 1963,33 млн. руб. (в ред. Указания ЦБ РФ от 18.11.97 N 23-У)

2. Расчет суммы доперечисления в обязательные резервы:

Сумма - S, которая должна быть довнесена кредитной организацией 26.02.96 на балансовые счета N 30201 и N 30203 (т.е. на оставшиеся 5 расчетных календарных дней) при внутримесячном снижении нормативов обязательных резервов (исходя из средней хронологической, равной 1963,33 млн. руб.), рассчитывается с применением следующего уравнения:

S = 2155,56 млн. руб.

Кредитной организации 26.02.96 подлежит довнести в обязательные резервы 155,56 млн. руб. (2155,56 - 2000 = 155,56). (в ред. Указания ЦБ РФ от 18.11.97 N 23-У)

Таблица N 1

ДАННЫЕ ОБ ОБЯЗАТЕЛЬНЫХ РЕЗЕРВАХ КРЕДИТНОЙ ОРГАНИЗАЦИИ, ИСПОЛЬЗУЕМЫЕ ДЛЯ СОСТАВЛЕНИЯ РАСЧЕТА (ПРОГНОЗА) И РАСЧЕТА (ОКОНЧАТЕЛЬНОГО) ЗА ФЕВРАЛЬ 1996 Г.

млн. руб.
По балансу на дату Расчет (Прогноз) на дату Расчет (Окончательный) на дату Расчетные данные
01.02.96 1800 1800 кол-во фактических календарных дней в феврале 29
02.02.96 1800 1800
03.02.96 1800 1800 кол-во календарных дней для расчета суммы доперечисления средств 30
04.02.96 1800 1800
05.02.96 1800 1800 средняя хронологическая за февраль 1963,33
06.02.96 1800 1800    
07.02.96 2000 2000    
08.02.96 2000 2000    
09.02.96 2000 1900    
10.02.96 2000 1900    
11.02.96 2000 1900    
12.02.96 2000 1900    
13.02.96 2000 2000    
14.02.96 2000 2000    
15.02.96 2000 2000    
16.02.96 2000 2000    
17.02.96 2000 2000    
18.02.96 2000 2000    
19.02.96 2000 2000    
20.02.96 2000 1900    
21.02.96 2000 1900    
22.02.96 2000 1900    
23.02.96 2000 2000    
24.02.96 2000 2000    
25.02.96 2000 2000    
26.02.96 2000 2000 дата доперечисления средств 26.02.96
27.02.96 2000 2155,56 сумма доперечисления средств 155,56
28.02.96 2000 2155,56  
29.02.96 2000 2155,56
добавленный день <*> 2000 2155,56    
01.03.96 2000 2155,56    
-выходные дни

<*> В феврале остаток на 29 число в расчет принимается дважды.

Приложение N 11
к Положению
от 30.03.96 N 37

УСЛОВНЫЙ ПРИМЕР РАСЧЕТА СРЕДНЕЙ ХРОНОЛОГИЧЕСКОЙ ВЕЛИЧИНЫ ЕЖЕДНЕВНЫХ БАЛАНСОВЫХ ОСТАТКОВ ПРИВЛЕЧЕННЫХ ЗА ОТЧЕТНЫЙ ПЕРИОД СРЕДСТВ, УЧИТЫВАЕМЫХ ПРИ РАСЧЕТЕ РАЗМЕРА ОБЯЗАТЕЛЬНЫХ РЕЗЕРВОВ, ПОДЛЕЖАЩИХ ДЕПОНИРОВАНИЮ В БАНКЕ РОССИИ

(в ред. - Письма ЦБ РФ от 25.04.97 N 440)

Общие положения

Кредитная организация представляет в территориальное учреждение Банка России расчеты регулирования размера обязательных резервов, подлежащих депонированию в Банке России, на первое марта, апреля и мая 1997 года.

Размер привлеченных средств кредитной организации, по которым начисляются обязательные резервы, определяется по формуле средней хронологической за отчетный месяц (февраль, март, апрель) в порядке, установленном п. 2.3 Положения от 30.03.96 N 37.

Кредитная организация производит расчет средней хронологической ежедневных балансовых остатков по каждой группе привлеченных средств в валюте Российской Федерации и иностранной валюте, в нашем примере - только по рублевым счетам до востребования и срочным обязательствам банка до 30 дней включительно.

1. Расчет за февраль

При расчете регулирования размера обязательных резервов на 01.03.97 кредитная организация использует данные ежедневных балансов за февраль, а также данные баланса на 01.03.97. Поскольку в феврале 1997 года фактическое количество календарных дней - 28, остаток привлеченных средств по данным баланса на 28.02.97 повторяется в расчете еще два раза (чтобы количество календарных дней в расчетном периоде составило 30).

Средняя хронологическая величина ежедневных балансовых остатков привлеченных за февраль средств составляет 1109 млрд. руб. (см. таблицу N 1 к настоящему Приложению).

2. Расчет за март

При расчете регулирования размера обязательных резервов на 01.04.97 кредитная организация использует данные ежедневных балансов за март, а также данные баланса на 01.04.97. В связи с тем, что в марте фактическое количество календарных дней составляет 31, остаток привлеченных средств по данным баланса на 31.03.97 в расчет не принимается.

Средняя хронологическая величина ежедневных балансовых остатков привлеченных за март средств составляет 1325 млрд. руб. (см. таблицу N 2 к настоящему Приложению).

3. Расчет за апрель

При расчете регулирования размера обязательных резервов на 01.05.97 кредитная организация использует данные ежедневных балансов за апрель, а также данные баланса на 01.05.97. В апреле фактическое количество календарных дней (30) полностью совпадает с расчетным периодом. Таким образом, в расчет включаются данные о ежедневных остатках привлеченных средств на все 30 календарных дней апреля.

Средняя хронологическая величина ежедневных балансовых остатков привлеченных за апрель средств составляет 1563 млрд. руб. (см. таблицу N 3 к настоящему Приложению).

ПРИМЕР РАСЧЕТА СРЕДНЕЙ ХРОНОЛОГИЧЕСКОЙ ЕЖЕДНЕВНЫХ БАЛАНСОВЫХ ОСТАТКОВ ПО РУБЛЕВЫМ СЧЕТАМ ДО ВОСТРЕБОВАНИЯ И СРОЧНЫМ ОБЯЗАТЕЛЬСТВАМ БАНКА ДО 30 ДНЕЙ ВКЛЮЧИТЕЛЬНО

Таблица N 1 Таблица N 2
Февраль 1997 года Март 1997 года

 

(млрд. руб.)   (млрд. руб.)
Остатки привлеченных средств по балансу Средняя хронологическая ежедневных балансовых остатков за февраль   Остатки привлеченных средств по балансу Средняя хронологическая ежедневных балансовых остатков за март
на дату сумма   на дату сумма
01.02.97 <*> 02.02.97 <*> 1020/2 1020 01.03.97<*> 02.03.97<*> 1028/2 1028
03.02.97 04.02.97 05.02.97 06.02.97 07.02.97 1020 870 875 850 820 03.03.97 04.03.97 05.03.97 06.03.97 07.03.97 1028 1267 1284 1310 1312
1109 1325
   
08.02.97 <*> 09.02.97 <*> 860 860 08.03.97<*> 09.03.97<*> 10.03.97<*> 1321 1321 1321
10.02.97 11.02.97 12.02.97 13.02.97 14.02.97 860 945 1015 1030 1030
11.03.97 12.03.97 13.03.97 14.03.97 1321 1415 1412 1302
15.02.97 <*> 16.02.97 <*> 1025 1025 15.03.97<*> 16.03.97<*> 1315 1315
17.02.97 18.02.97 19.02.97 20.02.97 21.02.97 1025 1370 1490 1465 1450 17.03.97 18.03.97 19.03.97 20.03.97 21.03.97 1315 1308 1415 1109 1121
22.02.97 <*> 23.02.97 <*> 1478 1478 22.03.97<*> 23.03.97<*> 1090 1090
24.02.97 25.02.97 26.02.97 27.02.97 28.02.97 Добавленный день Добавленный день 1478 1290 1150 1118 1120 1120 1120 24.03.97 25.03.97 26.03.97 27.03.97 28.03.97 1090 1432 1567 1644 1643
29.03.97<*> 30.03.97<*> 1647 1647
31.03.97 1647 в расчет не принимаются
01.03.97 <*> 1028/2
<*> -нерабочие дни 01.04.97 1706/2  
   

Таблица N 3
Апрель 1997 года
(млрд. руб.)
Остатки привлеченных средств по балансу Средняя хронологическая ежедневных балансовых остатков за апрель
на дату сумма
01.04.97 1706/2
02.04.97 1812
03.04.97 1830
04.04.97 1870
1563
05.04.97 <*> 1892
 
06.04.97 <*> 1892  
07.04.97 1892  
08.04.97 1789  
09.04.97 1703  
10.04.97 1654  
11.04.97 1656  
12.04.97 <*> 1618  
13.04.97 <*> 1618  
14.04.97 1618  
15.04.97 1585  
16.04.97 1586  
17.04.97 1492  
18.04.97 1408  
19.04.97 <*> 1423  
20.04.97 <*> 1423  
21.04.97 1423  
22.04.97 1401  
23.04.97 1365  
24.04.97 1341  
25.04.97 1309  
26.04.97 <*> 1378  
27.04.97 <*> 1378  
28.04.97 1378  
29.04.97 1318  
30.04.97 1321  
01.05.97 <*> 1344/2  

Приложение 12
к Положению
от 30.03.96 N 37

ПРИМЕР К ПУНКТУ 6.2.9 ПОЛОЖЕНИЯ

Условные данные:

а) по результатам регулирования размера обязательных резервов на 01.01.98 у кредитной организации (не имеющей филиалов) нарушений по формированию обязательных резервов не было.

б) ставка рефинансирования Банка России в период с 02.02.98 - 42% годовых.

1. Территориальное учреждение Банка России 10.04.98 осуществляет проверку кредитной организации по вопросу своевременности и полноты выполнения обязательных резервных требований за период с января по март 1998 года.

2. Срок представления кредитной организацией Расчета регулирования размера обязательных резервов - 3 рабочий день месяца, начало взыскания штрафа за нарушение порядка обязательного резервирования - начиная с 6 рабочего дня месяца.

3. Фактическое регулирование размера обязательных резервов (проверка уполномоченным работником территориального учреждения Банка России Расчета регулирования размера обязательных резервов) на 1 февраля произведено 5 февраля, на 1 марта - 4 марта, на 1 апреля - 7 апреля.

4. По результатам проверки правильности составления кредитной организацией Расчета регулирования размера обязательных резервов на 1 февраля установлен факт занижения суммы средней хронологической ежедневных балансовых остатков за январь, в результате чего кредитная организация допустила недовзнос в обязательные резервы в сумме 12948 рублей.

5. После этого территориальное учреждение Банка России осуществляет проверку Расчетов регулирования размера обязательных резервов по состоянию на 1 марта и 1 апреля.

6. По результатам проверки Расчета на 1 марта выявлен недовзнос в обязательные резервы в сумме 34506 рублей.

По результатам проверки Расчета на 1 апреля выявлен недовзнос в обязательные резервы в сумме 17864 рубля.

7. В связи с тем, что на момент проверки (10 апреля) уже произведено регулирование размера обязательных резервов на 1 марта и на 1 апреля, то выявленные суммы недовзносов (на 1 февраля - 12948 рублей и на 1 марта - 34506 рублей) ко взысканию не предъявляются. Сумма недовзноса в обязательные резервы, образовавшаяся по результатам проверки Расчета на 1 апреля (17864 рубля), была перечислена кредитной организацией 15.04.98.

8. За нарушение порядка формирования обязательных резервов с кредитной организации должен быть взыскан штраф в следующих размерах:

а) За недовзнос в обязательные резервы по проверенному Расчету на 1 февраля (количество календарных дней недовзноса - 26 дней, первое нарушение в новом году):

за первые два дня, 9 и 10 февраля (1,3 ставки рефинансирования):

за оставшиеся 22 дня, в период с 11 февраля по 4 марта включительно (1,5 ставки рефинансирования):

Итого сумма штрафа, начисленного за недовзнос по результатам регулирования на 1 февраля: 537 руб. 78 коп. (39 руб. 28 коп. + 498 руб. 50 коп.).

б) За недовзнос в обязательные резервы по проверенному Расчету на 1 марта (количество календарных дней недовзноса - 30, второе нарушение в году):

за первые два дня, 9 и 10 марта (1,5 ставки рефинансирования):

за оставшиеся 28 дней, в период с 11 марта по 7 апреля включительно (2,0 ставки рефинансирования):

Итого сумма штрафа, начисленного за недовзнос по результатам регулирования на 1 марта: 2375 руб. 16 коп. (120 руб. 77 коп. + 2254 руб. 39 коп.).

в) За недовзнос в обязательные резервы по проверенному Расчету на 1 апреля (количество календарных дней недовзноса - 8, третье нарушение в году):

за восемь дней, в период с 8 по 15 апреля включительно (2,0 ставки рефинансирования):

Всего сумма штрафа, начисленного за недовзнос в обязательные резервы по результатам проведенной проверки: 3246 руб. 40 коп. (537 руб. 78 коп. + 2375 руб. 16 коп. + 333 руб. 46 коп.).".

Приложение N 13
к Положению
от 30.03.96 N 37

(в ред. - Указаний ЦБ РФ от 18.11.97 N 23-У,

ПРИМЕР ОТРАЖЕНИЯ НА ВНЕБАЛАНСОВЫХ СЧЕТАХ УСЛОВНЫХ СУММ НЕДОВЗНОСА, ИЗЛИШНЕ ВНЕСЕННОЙ СУММЫ В ОБЯЗАТЕЛЬНЫЕ РЕЗЕРВЫ, НАЧИСЛЕННЫХ НЕПОЛУЧЕННЫХ ШТРАФОВ ЗА НАРУШЕНИЕ ПОРЯДКА РЕЗЕРВИРОВАНИЯ ПО РЕЗУЛЬТАТАМ РЕГУЛИРОВАНИЯ ОБЯЗАТЕЛЬНЫХ РЕЗЕРВОВ И ПРОВЕДЕННОЙ ПРОВЕРКИ ПРАВИЛЬНОСТИ СОСТАВЛЕНИЯ РАСЧЕТА

1. Отражение на внебалансовых счетах сумм недовзноса обязательных резервов, излишне внесенных сумм обязательных резервов, начисленных неполученных штрафов, установленных по результатам ежемесячного регулирования размера обязательных резервов

1 марта 1998 г. xxxxxxxxxxxxxxxxxxxxxxxxxxxxxxxxxxxxxxxxxxxxxxxx
2 марта  
3 марта  
4 марта Срок представления кредитной организацией (не имеющей филиалов) Расчета
5 марта Период регулирования обязательных резервов (дата фактического регулирования, произведенного территориальным учреждением (РКЦ) Банка России)
6 марта Период регулирования обязательных резервов
7 марта xxxxxxxxxxxxxxxxxxxxxxxxxxxxxxxxxxxxxxxxxxxxxxxx
8 марта xxxxxxxxxxxxxxxxxxxxxxxxxxxxxxxxxxxxxxxxxxxxxxxx
9 марта xxxxxxxxxxxxxxxxxxxxxxxxxxxxxxxxxxxxxxxxxxxxxxxx
10 марта Начало взыскания суммы недовнесенных обязательных резервов, начисления и взыскания штрафов за нарушение порядка резервирования
11 марта  
12 марта  
13 марта  
14 марта xxxxxxxxxxxxxxxxxxxxxxxxxxxxxxxxxxxxxxxxxxxxxxxx
15 марта xxxxxxxxxxxxxxxxxxxxxxxxxxxxxxxxxxxxxxxxxxxxxxxx
16 марта  
17 марта  
18 марта  
19 марта  
20 марта  
21 марта xxxxxxxxxxxxxxxxxxxxxxxxxxxxxxxxxxxxxxxxxxxxxxxx
22 марта xxxxxxxxxxxxxxxxxxxxxxxxxxxxxxxxxxxxxxxxxxxxxxxx
23 марта  
24 марта  
25 марта  
26 марта  
27 марта  
28 марта xxxxxxxxxxxxxxxxxxxxxxxxxxxxxxxxxxxxxxxxxxxxxxxx
29 марта xxxxxxxxxxxxxxxxxxxxxxxxxxxxxxxxxxxxxxxxxxxxxxxx
30 марта  
31 марта  
xxxxxxxxxxxxxxxxxx выходные и праздничные дни

Вариант N 1.1. Территориальное учреждение (расчетно - кассовый центр) Банка России провело фактическое регулирование по представленному Расчету 5 марта и установило сумму недовзноса в обязательные резервы по счетам в национальной валюте в сумме 1,8 тыс. рублей.

В этот день, т.е. 5 марта, кредитная организация не представила в территориальное учреждение (расчетно - кассовый центр) Банка России платежное поручение на перечисление суммы недовзноса в обязательные резервы и 5 марта территориальное учреждение (расчетно - кассовый центр) Банка России должно отразить установленную сумму недовзноса соответствующими бухгалтерскими проводками по внебалансовым счетам (согласно п. 3.3(а) настоящего Положения).

а) 6 марта кредитная организация представила в территориальное учреждение (расчетно - кассовый центр) Банка России платежное поручение с отметкой "перечисление недовзноса в обязательные резервы" и погасила недовзнос. Территориальное учреждение (расчетно - кассовый центр) Банка России 6 марта списывает погашенную сумму недовзноса в кредит внебалансового счета N 91001 "Недовнесенная кредитными организациями сумма обязательных резервов по счетам в национальной валюте" (отдельный лицевой счет кредитной организации) в корреспонденции со счетом 99999 "Счет для корреспонденции с активными счетами при двойной записи".

б) Кредитная организация в течение установленного периода регулирования размера обязательных резервов, т.е. 5, 6 марта, не представила в территориальное учреждение (расчетно - кассовый центр) Банка России платежное поручение с отметкой "перечисление недовзноса в обязательные резервы", и с 10 марта территориальное учреждение (расчетно - кассовый центр) Банка России начинает взыскание недовзноса в обязательные резервы с корреспондентского счета кредитной организации в соответствии с п. 6.2.1 Положения.

Одновременно на сумму установленного недовзноса территориальное учреждение (расчетно - кассовый центр) Банка России на основании распоряжения с отметкой "взыскание штрафа за нарушение порядка резервирования", начиная с 10 марта, начисляет штраф, неуплаченная сумма которого должна быть отражена с этого же дня соответствующими бухгалтерскими проводками по внебалансовым счетам (согласно п. 3.4 настоящего Положения). (в ред. Указания ЦБ РФ от 25.02.98 N 175-У)

Вариант N 1.2. Территориальное учреждение (расчетно - кассовый центр) Банка России провело фактическое регулирование по представленному Расчету 5 марта и установило излишне внесенную сумму обязательных резервов по счетам в национальной валюте в размере 1,8 тыс. рублей. В этот же день, т.е. 5 марта, сумма излишне внесенных обязательных резервов зачисляется соответствующими бухгалтерскими проводками на внебалансовые счета (согласно п. 3.3(б) настоящего Положения).

Возврат указанной суммы на корреспондентский счет кредитной организации должен быть произведен территориальным учреждением (расчетно - кассовым центром) Банка России в течение установленного срока проведения регулирования, т.е. не позднее 6 марта. В день возврата излишне внесенной суммы обязательных резервов (в нашем примере 5 марта) сумма перевзноса списывается в дебет пассивного внебалансового счета N 91005 "Сумма перевзноса кредитной организацией в обязательные резервы по счетам в национальной валюте" (отдельный лицевой счет) в корреспонденции со счетом N 99998 "Счет для корреспонденции с пассивными счетами при двойной записи".

Вариант N 1.3. Кредитная организация не представила в территориальное учреждение (расчетно - кассовый центр) Банка России Расчет регулирования размера обязательных резервов на 1 марта 1998 года в третий рабочий день марта месяца, т.е. 4 марта. Расчет был представлен ею позднее срока, установленного для проведения регулирования размера обязательных резервов - 12 марта. В этом случае, если установлен недовзнос и он не внесен кредитной организацией платежным поручением в день представления Расчета, т.е. 12 марта, территориальное учреждение (расчетно - кассовый центр) Банка России должно 12 марта отразить установленную сумму недовзноса по внебалансовым счетам соответствующими бухгалтерскими проводками (согласно пп. 3.3 "а" Положения). (в ред. Указания ЦБ РФ от 25.02.98 N 175-У)

2. Отражение на внебалансовых счетах сумм недовзноса обязательных резервов, излишне внесенных сумм обязательных резервов, начисленных неполученных штрафов, установленных по результатам произведенной проверки правильности составления кредитной организацией Расчета размера обязательных резервов, подлежащих депонированию в Банке России, и достоверности представленных в нем сведений (с выходом в кредитную организацию)

1 апреля 1998 г.  
2 апреля  
3 апреля Срок представления кредитной организацией (не имеющей филиалов) Расчета
4 апреля XXXXXXXXXXXXXXXXXXXXXXXXXXXXXXXXXXXXXXXXXXXXXXX
5 апреля XXXXXXXXXXXXXXXXXXXXXXXXXXXXXXXXXXXXXXXXXXXXXXX
6 апреля Период регулирования обязательных резервов
7 апреля Период регулирования обязательных резервов (дата фактического регулирования, произведенного территориальным учреждением (РКЦ) Банка России)
8 апреля  
9 апреля  
10 апреля  
11 апреля XXXXXXXXXXXXXXXXXXXXXXXXXXXXXXXXXXXXXXXXXXXXXXX
12 апреля XXXXXXXXXXXXXXXXXXXXXXXXXXXXXXXXXXXXXXXXXXXXXXX
13 апреля  
14 апреля Проверка правильности составления Расчета за период с января по март т.г.
15 апреля Проверка правильности составления Расчета за период с января по март т.г., подписание справки (акта) о проверке
16 апреля  
17 апреля Утверждение справки (акта) о проверке руководителем территориального учреждения Банка России
18 апреля XXXXXXXXXXXXXXXXXXXXXXXXXXXXXXXXXXXXXXXXXXXXXXX
19 апреля XXXXXXXXXXXXXXXXXXXXXXXXXXXXXXXXXXXXXXXXXXXXXXX
20 апреля Возврат кредитной организации сумм выявленного проверкой перевзноса обязательных резервов
21 апреля  
22 апреля  
23 апреля Начало взыскания выявленных проверкой сумм, недовнесенных в обязательные резервы, а также взыскания штрафов за указанный недовзнос
24 апреля  
25 апреля XXXXXXXXXXXXXXXXXXXXXXXXXXXXXXXXXXXXXXXXXXXXXXX
26 апреля XXXXXXXXXXXXXXXXXXXXXXXXXXXXXXXXXXXXXXXXXXXXXXX
27 апреля  
28 апреля  
29 апреля  
30 апреля  
XXXXXXXX -выходные дни

Территориальное учреждение (расчетно - кассовый центр) Банка России 14 - 15 апреля 1998 года произвело проверку правильности составления кредитной организацией Расчета регулирования размера обязательных резервов, подлежащих депонированию в Банке России, и достоверности представленных в нем сведений за период с января по март 1998 г. с выходом в кредитную организацию. По результатам проверки 15 апреля подписана справка (в случае отсутствия выявленных проверкой нарушений) либо акт о проверке (в случае установления проверкой допущенных кредитной организацией нарушений). 17 апреля указанная справка (акт) о проверке была утверждена руководителем территориального учреждения Банка России, в этот же день второй экземпляр утвержденной справки (акта) о проверке был передан кредитной организации.

Вариант N 2.1. По результатам проведенной проверки выявлена сумма недовзноса в обязательные резервы по Расчету на 1 апреля 1998 года в размере 2 тыс. руб. по счетам в национальной валюте. Нарушений правильности составления кредитной организацией Расчета на 1 февраля и на 1 марта 1998 года не установлено.

В день утверждения акта о проверке, т.е. 17 апреля, сумма выявленного недовзноса в размере 2 тыс. руб., а также сумма начисленного неуплаченного штрафа за нарушение порядка резервирования должны быть отражены территориальным учреждением (расчетно - кассовым центром) Банка России по внебалансовым счетам соответствующими бухгалтерскими проводками (согласно пп. 3.3(а), 3.4 Положения).

Вариант N 2.2. По результатам проведенной проверки правильности составления кредитной организацией Расчета на 1 апреля 1998 года выявлена сумма излишне внесенных обязательных резервов в размере 2 тыс. руб. по счетам в национальной валюте. Нарушений правильности составления кредитной организацией Расчета на 1 февраля и на 1 марта 1998 года не установлено.

Территориальное учреждение (расчетно - кассовый центр) Банка России 17 апреля должно отразить сумму излишне внесенных обязательных резервов по внебалансовым счетам соответствующими бухгалтерскими проводками (согласно п. 3.3(б) Положения). В соответствии с п. 6.2.8 Положения выявленный перевзнос должен быть возвращен территориальным учреждением (расчетно - кассовым центром) Банка России на корреспондентский счет кредитной организации не позднее следующего рабочего дня после утверждения акта о проверке, т.е. не позднее 20 апреля. При этом излишне внесенная сума обязательных резервов должна быть отнесена в дебет пассивного внебалансового счета N 91005 "Сумма перевзноса кредитной организацией в обязательные резервы по счетам в национальной валюте" (отдельный лицевой счет) в корреспонденции со счетом N 99998 "Счет для корреспонденции с пассивными счетами при двойной записи" в день возврата средств кредитной организации - в нашем примере 20 апреля.

Вариант N 2.3. По итогам проведенной проверки выявлен недовзнос в обязательные резервы в размере 0,5 тыс. руб. по счетам в национальной валюте по результатам регулирования на 1 марта 1998 года, после которого уже производилось очередное регулирование обязательных резервов (на 1 апреля). Нарушений правильности составления Расчета на 1 февраля и на 1 апреля 1998 года не установлено.

Территориальное учреждение (расчетно - кассовый центр) Банка России 17 апреля должно на сумму выявленного недовзноса начислить штраф (за период с 10 марта по 7 апреля включительно), который отражается по внебалансовым счетам соответствующими бухгалтерскими проводками (согласно п. 3.4 Положения). (в ред. Указания ЦБ РФ от 25.02.98 N 175-У)