Постановление Правительства РФ от 17.05.2016 N 436

"О внесении изменений в постановление Правительства Российской Федерации от 27 декабря 2012 г. N 1431"
Редакция от 17.05.2016 — Документ не действует

ПРАВИТЕЛЬСТВО РОССИЙСКОЙ ФЕДЕРАЦИИ

ПОСТАНОВЛЕНИЕ
от 17 мая 2016 г. N 436

О ВНЕСЕНИИ ИЗМЕНЕНИЙ В ПОСТАНОВЛЕНИЕ ПРАВИТЕЛЬСТВА РОССИЙСКОЙ ФЕДЕРАЦИИ ОТ 27 ДЕКАБРЯ 2012 Г. N 1431

Правительство Российской Федерации постановляет:

Утвердить прилагаемые изменения, которые вносятся в постановление Правительства Российской Федерации от 27 декабря 2012 г. N 1431 "Об утверждении Правил предоставления и распределения субсидий из федерального бюджета бюджетам субъектов Российской Федерации на оказание несвязанной поддержки сельскохозяйственным товаропроизводителям в области растениеводства" (Собрание законодательства Российской Федерации, 2013, N 1, ст. 28; N9, ст. 957; N41, ст. 5186; 2015, N 5, ст. 832).

Председатель Правительства
Российской Федерации
Д. МЕДВЕДЕВ

УТВЕРЖДЕНЫ
постановлением Правительства
Российской Федерации
от 17 мая 2016 г. N 436

ИЗМЕНЕНИЯ, КОТОРЫЕ ВНОСЯТСЯ В ПОСТАНОВЛЕНИЕ ПРАВИТЕЛЬСТВА РОССИЙСКОЙ ФЕДЕРАЦИИ ОТ 27 ДЕКАБРЯ 2012 Г. N 1431

1. Наименование и пункт 1 дополнить словами ", а также в области развития производства семенного картофеля и овощей открытого фунта".

2. Правила предоставления и распределения субсидий из федерального бюджета бюджетам субъектов Российской Федерации на оказание несвязанной поддержки сельскохозяйственным товаропроизводителям в области растениеводства, утвержденные указанным постановлением, изложить в следующей редакции:

"УТВЕРЖДЕНЫ
постановлением Правительства
Российской Федерации
от 27 декабря 2012 г. N 1431
(в редакции постановления
Правительства Российской Федерации
от 17 мая 2016 г. N 436)

ПРАВИЛА ПРЕДОСТАВЛЕНИЯ И РАСПРЕДЕЛЕНИЯ СУБСИДИЙ ИЗ ФЕДЕРАЛЬНОГО БЮДЖЕТА БЮДЖЕТАМ СУБЪЕКТОВ РОССИЙСКОЙ ФЕДЕРАЦИИ НА ОКАЗАНИЕ НЕСВЯЗАННОЙ ПОДДЕРЖКИ СЕЛЬСКОХОЗЯЙСТВЕННЫМ ТОВАРОПРОИЗВОДИТЕЛЯМ В ОБЛАСТИ РАСТЕНИЕВОДСТВА, А ТАКЖЕ В ОБЛАСТИ РАЗВИТИЯ ПРОИЗВОДСТВА СЕМЕННОГО КАРТОФЕЛЯ И ОВОЩЕЙ ОТКРЫТОГО ГРУНТА

1. Настоящие Правила устанавливают порядок предоставления и распределения субсидий из федерального бюджета бюджетам субъектов Российской Федерации на оказание несвязанной поддержки сельскохозяйственным товаропроизводителям, за исключением граждан, ведущих личное подсобное хозяйство (далее - сельскохозяйственные товаропроизводители), в области растениеводства, а также в области развития производства семенного картофеля и овощей открытого грунта (далее - субсидии).

2. Субсидии предоставляются в целях софинансирования исполнения расходных обязательств субъекта Российской Федерации, связанных с реализацией государственной программы субъекта Российской Федерации и (или) муниципальных программ, предусматривающих поддержку в области растениеводства, а также поддержку в области развития производства семенного картофеля и овощей открытого грунта, осуществляемую в форме предоставления средств из бюджетов субъектов Российской Федерации (местных бюджетов) сельскохозяйственным товаропроизводителям по следующим направлениям:

а) оказание несвязанной поддержки сельскохозяйственным товаропроизводителям в области растениеводства на возмещение части затрат на проведение комплекса агротехнологических работ, повышение уровня экологической безопасности сельскохозяйственного производства, а также повышение плодородия и качества почв в расчете на 1 гектар посевной площади сельскохозяйственных культур, за исключением посевных площадей, занятых семенным картофелем (семена 1-го и 2-го полевого поколения, супер-суперэлиты, суперэлиты, элиты) (далее - семенной картофель) и овощами открытого грунта, включая маточники и семенники овощных культур открытого фунта (далее - поддержка в области растениеводства);

б) оказание несвязанной поддержки сельскохозяйственным товаропроизводителям в области развития производства семенного картофеля и овощей открытого фунта на возмещение части затрат на проведение комплекса агротехнологических работ, обеспечивающих увеличение производства семенного картофеля, а также овощей открытого грунта и семян овощных культур открытого фунта в соответствии с перечнем, утвержденным Министерством сельского хозяйства Российской Федерации, в расчете на 1 гектар посевной площади (далее - поддержка в области развития производства семенного картофеля и овощей открытого грунта).

3. Критериями отбора субъектов Российской Федерации для предоставления субсидии бюджету субъекта Российской Федерации являются:

а) наличие в субъекте Российской Федерации посевных площадей, занятых сельскохозяйственными культурами;

б) наличие нормативного правового акта субъекта Российской Федерации, устанавливающего порядок и условия предоставления из бюджета субъекта Российской Федерации средств сельскохозяйственным товаропроизводителям по направлениям, указанным в пункте 2 настоящих Правил, источником финансового обеспечения которых является субсидия, и перечень документов, необходимых для получения указанных средств, а также сроки рассмотрения таких документов, которые не должны превышать 15 рабочих дней.

4. Условиями предоставления субсидии бюджету субъекта Российской Федерации являются:

а) наличие государственной программы субъекта Российской Федерации и (или) муниципальных программ, предусматривающих мероприятия по направлениям, указанным в пункте 2 настоящих Правил (далее - государственная и (или) муниципальные программы);

б) наличие в бюджете субъекта Российской Федерации (местном бюджете) бюджетных ассигнований на исполнение расходных обязательств субъекта Российской Федерации (муниципальных образований), связанных с реализацией государственной и (или) муниципальных программ;

в) возврат субъектом Российской Федерации средств в федеральный бюджет в соответствии с пунктами 16 и 19 Правил формирования, предоставления и распределения субсидий из федерального бюджета бюджетам субъектов Российской Федерации, утвержденных постановлением Правительства Российской Федерации от 30 сентября 2014 г. N 999 "Сформировании, предоставлении и распределении субсидий из федерального бюджета бюджетам субъектов Российской Федерации".

5. Несвязанная поддержка сельскохозяйственных товаропроизводителей в области развития производства семенного картофеля и овощей открытого грунта осуществляется при наличии у такого сельскохозяйственного товаропроизводителя:

а) посевных площадей, занятых семенным картофелем, и (или) овощами открытого грунта, и (или) маточниками и (или) семенниками овощных культур открытого грунта;

б) документов, подтверждающих производство и реализацию семенного картофеля, и (или) овощей открытого грунта, и (или) семян овощных культур открытого грунта и (или) производство и использование семенного картофеля и (или) семян овощных культур открытого грунта для посадки (посева) на собственных и (или) арендованных землях;

в) подтверждения соответствия партий семян семенного картофеля и (или) семян овощных культур открытого фунта, предусмотренного статьей 21 Федерального закона "О техническом регулировании".

6. Размер субсидии, предоставляемой бюджету i-ro субъекта Российской Федерации на поддержку в области растениеводства (), определяется по формуле:

 

где:

W - размер субсидий, предусмотренных в федеральном бюджете на поддержку в области растениеводства на соответствующий финансовый год;

Н - минимальная ставка субсидии на 1 гектар посевной площади в Российской Федерации (за исключением посевных площадей, занятых семенным картофелем и овощами открытого грунта, включая маточники и семенники овощных культур открытого грунта), устанавливаемая Министерством сельского хозяйства Российской Федерации по согласованию с Министерством экономического развития Российской Федерации;

- посевная площадь сельскохозяйственных культур (за исключением посевной площади, занятой семенным картофелем и овощами открытого грунта, включая маточники и семенники овощных культур открытого фунта), имеющаяся у сельскохозяйственных товаропроизводителей в Российской Федерации в отчетном финансовом году по данным Федеральной службы государственной статистики;

- доля посевной площади сельскохозяйственных культур (за исключением посевной площади, занятой семенным картофелем и овощами открытого грунта, включая маточники и семенники овощных культур открытого грунта) в i-м субъекте Российской Федерации в общей посевной площади сельскохозяйственных культур (за исключением посевной площади, занятой семенным картофелем и овощами открытого грунта, включая маточники и семенники овощных культур открытого грунта) в субъектах Российской Федерации в отчетном финансовом году, определяемая в соответствии с пунктом 7 настоящих Правил;

- коэффициент соотношения уровня интенсивности использования посевных площадей (за исключением посевных площадей, занятых семенным картофелем и овощами открытого грунта, включая маточники и семенники овощных культур открытого грунта) в i-м субъекте Российской Федерации и среднего значения уровня интенсивности использования таких посевных площадей по Российской Федерации, определяемый в соответствии с пунктом 8 настоящих Правил;

- коэффициент увеличения доли субсидии, предоставляемой i-му субъекту Российской Федерации, в общем размере субсидий, утверждаемый Министерством сельского хозяйства Российской Федерации в отношении Республики Бурятия, Республики Крым, Республики Саха (Якутия), Забайкальского, Камчатского, Приморского и Хабаровского краев, Амурской, Иркутской, Магаданской и Сахалинской областей, г. Севастополя и Еврейской автономной области;

- показатель почвенного плодородия в i-м субъекте Российской Федерации, рассчитываемый Министерством сельского хозяйства Российской Федерации на основании результатов государственного учета показателей состояния плодородия земель сельскохозяйственного назначения в соответствии с методикой, утвержденной Министерством сельского хозяйства Российской Федерации. При расчете размера субсидии, предоставляемой в 2016 году Республике Крым и г. Севастополю, показатель принимается равным 1;

- уровень расчетной бюджетной обеспеченности i-ro субъекта Российской Федерации на соответствующий финансовый год, рассчитанный в соответствии с методикой распределения дотаций на выравнивание бюджетной обеспеченности субъектов Российской Федерации, утвержденной постановлением Правительства Российской Федерации от 22 ноября 2004 г. N 670 "О распределении дотаций на выравнивание бюджетной обеспеченности субъектов Российской Федерации". При расчете размера субсидии, предоставляемой в 2016 году, показатель принимается равным 1;

m - количество субъектов Российской Федерации, осуществляющих производство продукции растениеводства (за исключением производства семенного картофеля, овощей открытого грунта и семян овощных культур открытого грунта);

- посевная площадь сельскохозяйственных культур (за исключением посевной площади, занятой семенным картофелем и овощами открытого грунта, включая маточники и семенники овощных культур открытого грунта), имеющаяся у сельскохозяйственных товаропроизводителей в i-м субъекте Российской Федерации в отчетном финансовом году по данным Федеральной службы государственной статистики.

7. Доля посевной площади сельскохозяйственных культур (за исключением посевной площади, занятой семенным картофелем и овощами открытого грунта, включая маточники и семенники овощных культур открытого грунта) в i-м субъекте Российской Федерации в общей посевной площади сельскохозяйственных культур (за исключением посевной площади, занятой семенным картофелем и овощами открытого грунта, включая маточники и семенники овощных культур открытого грунта) в субъектах Российской Федерации в отчетном финансовом году () определяется по формуле:

.

8. Коэффициент соотношения уровня интенсивности использования посевных площадей (за исключением посевных площадей, занятых семенным картофелем и овощами открытого грунта, включая маточники и семенники овощных культур открытого грунта) в i-м субъекте Российской Федерации и среднего значения уровня интенсивности использования таких посевных площадей по Российской Федерации () определяется по формуле:

,

где:

- объем производства сельскохозяйственными товаропроизводителями продукции растениеводства в зерновых единицах (за исключением семенного картофеля, овощей открытого грунта и семян овощных культур открытого грунта) в i-м субъекте Российской Федерации в среднем за 5 лет, предшествующих текущему финансовому году, рассчитываемый в соответствии с пунктом 9 настоящих Правил;

- посевная площадь сельскохозяйственных культур (за исключением посевных площадей, занятых семенным картофелем и овощами открытого грунта, включая маточники и семенники овощных культур открытого грунта), имеющаяся у сельскохозяйственных товаропроизводителей в i-м субъекте Российской Федерации в среднем за 5 лет, предшествующих текущему финансовому году, по данным Федеральной службы государственной статистики.

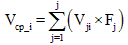
9. Объем производства сельскохозяйственными товаропроизводителями продукции растениеводства в зерновых единицах (за исключением семенного картофеля, овощей открытого грунта и семян овощных культур открытого грунта) в i-м субъекте Российской Федерации в среднем за 5 лет, предшествующих текущему финансовому году (), определяется по формуле:

,

где:

- объем производства сельскохозяйственными товаропроизводителями j-й сельскохозяйственной культуры (за исключением семенного картофеля, овощей открытого грунта и семян овощных культур открытого грунта) в i-м субъекте Российской Федерации в среднем за 5 лет, предшествующих текущему финансовому году, по данным Федеральной службы государственной статистики;

- коэффициент перевода в зерновые единицы j-й сельскохозяйственной культуры, утверждаемый Министерством сельского хозяйства Российской Федерации.

10. Размер субсидии, предоставляемой бюджету i-ro субъекта Российской Федерации на поддержку в области развития производства семенного картофеля и овощей открытого грунта (), определяется по формуле:

,

где:

Е - размер субсидий, предусмотренных в федеральном бюджете на поддержку в области развития производства семенного картофеля и овощей открытого грунта на соответствующий финансовый год;

- коэффициент, утверждаемый Министерством сельского хозяйства Российской Федерации, применяемый для определения доли субсидии, предоставляемой на возмещение части затрат на проведение комплекса агротехнологических работ на 1 гектар посевной площади, занятой семенным картофелем в Российской Федерации;

- посевной площади, занятой семенным картофелем, имеющейся у сельскохозяйственных товаропроизводителей в i-м субъекте Российской Федерации, в общей посевной площади, занятой семенным картофелем, имеющейся у сельскохозяйственных товаропроизводителей в Российской Федерации, в отчетном финансовом году, определяемая в соответствии с пунктом 11 настоящих Правил;

- количество субъектов Российской Федерации, в которых сельскохозяйственные товаропроизводители имеют посевные площади, занятые семенным картофелем;

- коэффициент, утверждаемый Министерством сельского хозяйства Российской Федерации, применяемый для определения доли субсидии, предоставляемой на возмещение части затрат на проведение комплекса агротехнологических работ на 1 гектар посевной площади, занятой маточниками и семенниками овощных культур открытого грунта в Российской Федерации;

- доля посевной площади, занятой маточниками и семенниками овощных культур открытого грунта, имеющейся у сельскохозяйственных товаропроизводителей в i-м субъекте Российской Федерации, в общей посевной площади, занятой маточниками и семенниками овощных культур открытого фунта, имеющейся у сельскохозяйственных товаропроизводителей в Российской Федерации, в отчетном финансовом году, определяемая в соответствии с пунктом 12 настоящих Правил;

- количество субъектов Российской Федерации, в которых сельскохозяйственные товаропроизводители имеют посевные площади, занятые маточниками и семенниками овощных культур открытого грунта;

- коэффициент, утверждаемый Министерством сельского хозяйства Российской Федерации, применяемый для определения доли субсидии, предоставляемой на возмещение части затрат на проведение комплекса агротехнологических работ на 1 гектар посевной площади, занятой овощами открытого грунта в Российской Федерации;

- доля посевной площади, занятой овощами открытого фунта, имеющейся у сельскохозяйственных товаропроизводителей в i-м субъекте Российской Федерации, в общей посевной площади, занятой овощами открытого фунта, имеющейся у сельскохозяйственных товаропроизводителей в Российской Федерации, в отчетном финансовом году, определяемая в соответствии с пунктом 13 настоящих Правил;

- количество субъектов Российской Федерации, в которых сельскохозяйственные товаропроизводители имеют посевные площади, занятые овощами открытого фунта.

11. Доля посевной площади, занятой семенным картофелем, имеющейся у сельскохозяйственных товаропроизводителей в i-м субъекте Российской Федерации, в общей посевной площади, занятой семенным картофелем, имеющейся у сельскохозяйственных товаропроизводителей в Российской Федерации (), определяется на основании данных за отчетный финансовый год, представленных органом, уполномоченным высшим исполнительным органом государственной власти субъекта Российской Федерации (далее - уполномоченный орган), по форме, утвержденной Министерством сельского хозяйства Российской Федерации, по формуле:

,

где:

- посевная площадь, занятая семенным картофелем, имеющаяся у сельскохозяйственных товаропроизводителей в i-м субъекте Российской Федерации;

- коэффициент увеличения доли субсидии, предоставляемой i-му субъекту Российской Федерации, в общем размере субсидии, утверждаемый Министерством сельского хозяйства Российской Федерации в отношении Республики Бурятия, Республики Крым, Республики Саха (Якутия), Забайкальского, Камчатского, Приморского и Хабаровского краев, Амурской, Иркутской, Магаданской и Сахалинской областей, г. Севастополя и Еврейской автономной области.

12. Доля посевной площади, занятой маточниками и семенниками овощных культур открытого фунта, имеющейся у сельскохозяйственных товаропроизводителей в i-м субъекте Российской Федерации, в общей посевной площади, занятой маточниками и семенниками овощных культур открытого грунта, имеющейся у сельскохозяйственных товаропроизводителей в Российской Федерации (), определяется на основании данных за отчетный финансовый год, представленных уполномоченным органом по форме, утвержденной Министерством сельского хозяйства Российской Федерации, по формуле:

,

где - посевная площадь, занятая маточниками и семенниками овощных культур открытого грунта, имеющаяся у сельскохозяйственных товаропроизводителей в i-м субъекте Российской Федерации.

13. Доля посевной площади, занятой овощами открытого грунта, имеющейся у сельскохозяйственных товаропроизводителей в i-м субъекте Российской Федерации, в общей посевной площади, занятой овощами открытого грунта, имеющейся у сельскохозяйственных товаропроизводителей в Российской Федерации (), определяется на основании данных за отчетный финансовый год, представленных Федеральной службой государственной статистики, по формуле:

,

где - посевная площадь, занятая овощами открытого грунта, имеющаяся у сельскохозяйственных товаропроизводителей в i-м субъекте Российской Федерации.

14. При распределении субсидий на 2016 год для расчета показателей , , и , установленных настоящими Правилами, в отношении Республики Крым и г. Севастополя используются данные, представленные уполномоченными органами Республики Крым и г. Севастополя.

15. Поддержка в области растениеводства, источником финансового обеспечения которой является субсидия, осуществляется по ставкам на 1 гектар посевной площади, занятой сельскохозяйственными культурами, определяемым уполномоченным органом, в пределах размера субсидии, предусмотренной субъекту Российской Федерации.

16. Поддержка в области развития производства семенного картофеля и овощей открытого грунта, источником финансового обеспечения которой является субсидия, осуществляется по ставкам на 1 гектар посевной площади, занятой семенным картофелем, овощами открытого грунта, маточниками и семенниками овощных культур открытого грунта, определяемым Министерством сельского хозяйства Российской Федерации.

17. Распределение субсидий устанавливается федеральным законом о федеральном бюджете на соответствующий финансовый год и плановый период и (или) принятым в соответствии с ним актом Правительства Российской Федерации.

В случае увеличения в текущем финансовом году бюджетных ассигнований на исполнение расходных обязательств, предусмотренных пунктом 2 настоящих Правил, расчет размера субсидии, предоставляемой бюджету i-ro субъекта Российской Федерации, осуществляется на основании данных, применяемых при расчете размера субсидии в соответствии с пунктами 6 и 10 настоящих Правил на текущий финансовый год.

18. Объем бюджетных ассигнований бюджета субъекта Российской Федерации на финансовое обеспечение расходного обязательства субъекта Российской Федерации, софинансируемого за счет субсидии, утверждается законом субъекта Российской Федерации о бюджете субъекта Российской Федерации исходя из необходимости достижения установленных соглашением о предоставлении субсидии, заключенным Министерством сельского хозяйства Российской Федерации с высшим исполнительным органом государственной власти субъекта Российской Федерации (далее - соглашение), значений показателей результативности использования субсидии.

19. Предоставление субсидии осуществляется на основании соглашения. Форма соглашения утверждается Министерством сельского хозяйства Российской Федерации в соответствии с требованиями, установленными постановлением Правительства Российской Федерации от 30 сентября 2014 г. N 999 "О формировании, предоставлении и распределении субсидий из федерального бюджета бюджетам субъектов Российской Федерации".

20. Перечисление субсидий осуществляется в установленном порядке на счета территориальных органов Федерального казначейства, открытые для учета поступлений и их распределения между бюджетами бюджетной системы Российской Федерации, для последующего перечисления в установленном порядке в бюджеты субъектов Российской Федерации.

В случае принятия Министерством сельского хозяйства Российской Федерации решения о передаче полномочий получателя средств федерального бюджета по перечислению субсидий территориальным органам Федерального казначейства перечисление субсидий осуществляется на счета территориальных органов Федерального казначейства, открытые для учета операций со средствами, поступающими в бюджеты субъектов Российской Федерации, в порядке, установленном Федеральным казначейством.

21. Уполномоченный орган представляет в Министерство сельского хозяйства Российской Федерации следующие документы:

а) выписка из закона субъекта Российской Федерации о бюджете субъекта Российской Федерации и (или) из нормативных правовых актов муниципальных образований о местных бюджетах, подтверждающая наличие в бюджете субъекта Российской Федерации (местном бюджете) бюджетных ассигнований на исполнение указанных в пункте 2 настоящих Правил расходных обязательств субъекта Российской Федерации (муниципальных образований), - в срок, устанавливаемый Министерством сельского хозяйства Российской Федерации;

б) отчет о расходах бюджета субъекта Российской Федерации (местного бюджета), источником финансового обеспечения которых является субсидия, - ежеквартально, до 10-го числа месяца, следующего за отчетным кварталом, по форме, устанавливаемой Министерством сельского хозяйства Российской Федерации;

в) отчет о достижении значений показателей результативности использования субсидии, предусмотренных соглашением, - один раз в год, до 15 января, по форме, устанавливаемой Министерством сельского хозяйства Российской Федерации;

г) отчет о финансово-экономическом состоянии сельскохозяйственных товаропроизводителей - в срок и по форме, которые устанавливаются Министерством сельского хозяйства Российской Федерации.

22. В случае отсутствия в текущем финансовом году у субъекта Российской Федерации потребности в субсидии неиспользованная субсидия на основании письменного обращения уполномоченного органа перераспределяется между бюджетами других субъектов Российской Федерации, имеющих право на получение субсидий, в соответствии с настоящими Правилами.

23. Эффективность осуществления расходов бюджетов субъектов Российской Федерации, источником финансового обеспечения которых является субсидия, оценивается ежегодно Министерством сельского хозяйства Российской Федерации на основании достижения следующих показателей результативности использования субсидии:

а) в отношении поддержки в области растениеводства - сохранение размера посевных площадей в субъекте Российской Федерации (отсутствие сокращения размера посевных площадей в году предоставления субсидии по сравнению со средним значением размера посевных площадей в субъекте Российской Федерации за 5 лет, предшествующих году предоставления субсидии, по данным Федеральной службы государственной статистики);

б) в отношении поддержки в области развития производства семенного картофеля и овощей открытого грунта - объем произведенных и реализованных семян семенного картофеля, семян овощных культур, а также семян семенного картофеля и семян овощных культур, направленных на посадку (посев) для собственных нужд на собственных и (или) арендованных землях, произведенных и реализованных овощей открытого грунта, по данным уполномоченного органа.

24. Положения, касающиеся порядка возврата средств субсидии субъектами Российской Федерации, расчета предельного объема сокращения средств в случае нарушения обязательств, предусмотренных соглашением в части выполнения и (или) достижения значений показателей результативности использования субсидии, включающего порядок расчета размера средств, подлежащих возврату, сроки возврата, основания для освобождения субъектов Российской Федерации от применения мер ответственности за нарушение обязательств, предусмотренных соглашением, а также порядка использования возвращенных средств главным распорядителем средств федерального бюджета, применяются в соответствии с требованиями, установленными постановлением Правительства Российской Федерации от 30 сентября 2014 г. N 999 "О формировании, предоставлении и распределении субсидий из федерального бюджета бюджетам субъектов Российской Федерации".

25. Остаток субсидии, образовавшийся в соответствии с пунктом 22 настоящих Правил, перераспределяется между бюджетами субъектов Российской Федерации по решению Министерства сельского хозяйства Российской Федерации на основании представленных уполномоченными органами в Министерство письменных обращений об увеличении годового размера выделяемых субсидий пропорционально удельному весу дополнительной потребности субъекта Российской Федерации в субсидии в общем объеме дополнительной потребности субъектов Российской Федерации в субсидиях с учетом фактического освоения средств за отчетный период.

Перераспределение субсидий между бюджетами субъектов Российской Федерации устанавливается федеральным законом о федеральном бюджете на соответствующий финансовый год и плановый период и (или) принятым в соответствии с ним актом Правительства Российской Федерации.

26. Операции по кассовым расходам бюджетов субъектов Российской Федерации (местных бюджетов), источником финансового обеспечения которых являются субсидии, в том числе их остаток, не использованный на 1 января текущего финансового года, осуществляются с учетом особенностей, установленных федеральным законом о федеральном бюджете на текущий финансовый год и плановый период.

27. Не использованный на 1 января текущего финансового года остаток субсидий подлежит возврату в федеральный бюджет органами государственной власти субъектов Российской Федерации, за которыми в соответствии с законодательными и иными нормативными правовыми актами закреплены источники доходов бюджета субъекта Российской Федерации по возврату остатков субсидий в соответствии с требованиями, установленными Бюджетным кодексом Российской Федерации и федеральным законом о федеральном бюджете на текущий финансовый год и плановый период.

В соответствии с решением Министерства сельского хозяйства Российской Федерации о наличии потребности в не использованных на 1 января текущего финансового года субсидиях расходы бюджета субъекта Российской Федерации, соответствующие целям предоставления субсидий, могут быть увеличены в установленном порядке на суммы, не превышающие остатка субсидии.

В случае если неиспользованный остаток субсидии не перечислен в доход федерального бюджета, указанные средства подлежат взысканию в доход федерального бюджета в порядке, установленном Министерством финансов Российской Федерации.

28. В случае несоблюдения субъектом Российской Федерации условий предоставления субсидий к нему применяются бюджетные меры принуждения, предусмотренные бюджетным законодательством Российской Федерации, а также соответствующая информация направляется Министерством сельского хозяйства Российской Федерации в Министерство финансов Российской Федерации с предложением о приостановлении предоставления (сокращении) субсидий для принятия соответствующего решения в порядке, установленном Министерством финансов Российской Федерации.

Решения о приостановлении перечисления (сокращении) субсидий не принимаются в случае, если условия предоставления субсидий не были выполнены в силу обстоятельств непреодолимой силы.

В случае несоблюдения условий, установленных соглашением и настоящими Правилами, соответствующие средства подлежат взысканию в доход федерального бюджета в соответствии с бюджетным законодательством Российской Федерации.

29. Ответственность за достоверность представляемых в Министерство сельского хозяйства Российской Федерации сведений и соблюдение условий, установленных настоящими Правилами и соглашением, возлагается на высший исполнительный орган государственной власти субъекта Российской Федерации.

30. Контроль за соблюдением субъектами Российской Федерации условий предоставления субсидий осуществляется Министерством сельского хозяйства Российской Федерации и федеральным органом исполнительной власти, осуществляющим функции по контролю и надзору в финансово-бюджетной сфере.".