ЦЕНТРАЛЬНОЕ БЮРО НОРМАТИВОВ ПО ТРУДУ ГОСУДАРСТВЕННОГО КОМИТЕТА СССР ПО ТРУДУ И СОЦИАЛЬНЫМ ВОПРОСАМ
ИНСТРУКЦИЯ
от 1 января 1987 года
НОРМАТИВЫ ВРЕМЕНИ НА УБОРКУ СЛУЖЕБНЫХ И КУЛЬТУРНО-БЫТОВЫХ ПОМЕЩЕНИЙ
ОБЩАЯ ЧАСТЬ
1. Нормативы времени предназначены для расчета норм времени и численности рабочих, занятых уборкой служебных и культурно-бытовых помещений, и рекомендуются для применения в учреждениях, организациях и на предприятиях независимо от ведомственного подчинения.
К служебным и культурно-бытовым помещениям относятся: комнаты для административно-технического персонала и счетно-конторских работников предприятий, учреждений, общественных организаций и т.д.; классные комнаты, лаборатории и аудитории, читальные залы библиотек, клубов, кинотеатров и т.д.; красные уголки; выставочные залы; зрительные залы, клубов, домов культуры, кинотеатров, театров, домов отдыха; фойе, коридоры, холлы, лестничные клетки, туалеты, умывальники.
2. В основу разработки нормативов времени положены фотохронометражные наблюдения, результаты анализа организации труда.
3. Время на передвижения, связанные с выполнением работ, учтено нормативами.
К обслуживанию рабочего места отнесено время на доставку средств уборки и приспособлений к месту работы в начале смены и возврат их в конце ее, прием и сдачу смены, уборку рабочего места, получение инвентаря, замену средств уборки.
4. Нормативы времени на уборку пола установлены дифференцировано в зависимости от назначения помещения, способа уборки, заставленности помещения, а также с передвижением мебели и без передвижения ее.
Коэффициент заставленности определяется отношением площади (в м2), занимаемой предметами, расположенными в помещениях одного назначения, ко всей площади этих помещений.
К_з = П_п/П
где: К_з--- коэффициент заставленности;
П_п --- площадь, занимаемая предметами, расположенными в помещениях одного назначения (в м2);
П - площадь помещений одного назначения (в м2).
5. Нормативы времени на транспортировку мусора установлены в зависимости от расстояния перемещения до места складирования и от перемещения с этажа на этаж.
6. На работы по уборке помещений, не указанные в сборнике, разрабатываются местные нормативы методом технического нормирования.
7. Приведенные в сборнике пределы числовых значений факторов,. в которых указано "до", следует понимать включительно.
8. Нормативы времени на чистку мягких диванов, кресел, стульев, ковров и ковровых дорожек установлены с учетом применения пылесоса, остальные нормативы - с применением ручных приспособлений.
9. Оперативное время на уборку объектов одного назначения определяется по следующей формуле:
t_оп = t x v x q,
где: t - норматив оперативного времени на единицу объема работы по уборке одного объекта;
v - количество объектов уборки одного назначения в одном помещении;
q - средняя повторяемость уборки в смену.
Повторяемость уборки принимается такой, какой она установлена администрацией, исходя из уровня качества уборки, соответствующего санитарным требованиям.

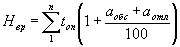
10. Норма времени на уборку отдельного помещения по нормативам настоящего сборника рассчитывается по следующей формуле:

где:
- суммарное оперативное время на уборку объектов различного назначения одного помещения;
a_обс- время на обслуживание рабочего места в % к оперативному;
а_отл- время на отдых и личные надобности в % к оперативному.
Суммарная норма времени на уборку различных служебных и культурно-бытовых помещений учреждения определяется по формуле:

Если одному рабочему поручено обслуживание различных помещений, то при этом должно быть соблюдено условие:
Н_вр1 + Н_вр2 + … + Н_врn<= Т_см,
где Н_вр1…n- норма времени на уборку отдельного помещения;
Т_см - фактическая продолжительность смены исполнителей работ по уборке помещений в часах.
Пример расчета норм времени на уборку служебных и культурно-бытовых помещений приведен в приложении.
11. Явочная численность рабочих, рассчитанная по нормативам, определяется по формуле:
Ч_я = Н_вр / Т_см.
12. При внедрении на предприятиях, в организациях и учреждениях более совершенной, чем это предусмотрено нормативами, организации труда, средств и приспособлений для уборки, следует разрабатывать и вводить в установленном порядке местные прогрессивные нормативы времени.
13. Если работы по уборке помещений выполняются меньшим количеством рабочих, по сравнению с рассчитанными по нормативам настоящего сборника, и уборка помещений соответствует нормам санитарии и гигиены, то сохраняется фактическая численность рабочих.
14. При нормировании полотерных и стеклопротирочных работ следует использовать типовые нормы времени на эти виды работ, утвержденные постановлением Государственного комитета СССР по труду и социальным вопросам и ВЦСПС от 13 декабря 1982 г. N 298/20-1.
15. С введением в действие данных нормативов времени отменяется ранее действовавший сборник "Нормативы времени на уборку служебных и культурно-бытовых помещений" (НИИ труда, 1973, 1975, 1980).
ОРГАНИЗАЦИЯ ТРУДА
Поддержание чистоты и порядка в служебных, административных и бытовых помещениях вызывается не только производственной необходимостью, но и гигиеническими и эстетическими соображениями.
Для поддержания чистоты в служебных, административных и бытовых помещениях выполняются следующие виды уборок: сухая, влажная, мытье, чистка и прочие работы.
В начале смены уборщик доставляет к месту работы необходимые средства и приспособления: веник, щетку, тряпку, ведро, совок, моющие средства, по окончании уборки относит их к месту хранения.
При уборке помещений опорожняются в специальную тару корзины с бумагой, протираются мебель, панели, подоконники, батареи, двери, стены, убирается пол и выполняются прочие работы, связанные с содержанием в чистоте помещений.
При влажной уборке тряпка периодически смачивается в воде и отжимается.
Раствор из моющих средств приготавливается уборщиком. Вода и моющий раствор периодически меняются.
При мытье пола с передвижением мебели (кроме стационарно установленной) следует отодвинуть ее, вымыть пол, меняя периодически моющий раствор или воду, и поставить мебель на место.
Собранный в процессе уборки мусор выносится ведрами, мешками, на ручных тележках в специально отведенные места.
При уборке помещений применяются ручные средства уборки. При чистке ковровых покрытий, дорожек, мягких диванов, кресел и стульев применяются пылесосы.
НОРМАТИВНАЯ ЧАСТЬ
| НОРМАТИВЫ ВРЕМЕНИ НА УБОРКУ ПОЛА В СЛУЖЕБНЫХ ПОМЕЩЕНИЯХ И ЧИТАЛЬНЫХ ЗАЛАХ | Карта 1 |
| Виды работ | Содержание работы | Коэффициент заставленности помещения | Номер норматива |
| до 0,2 | 0,21 - 0,4 | 0,41 - 0,6 | свыше 0,6 |
| Время в мин, на |
| Мытье | А. С передвижением мебели: | 0,513 | 0,616 | 0,739 | 0,887 | 1 |
| отодвинуть мебель, вымыть пол, периодически меняя моющий раствор или воду; поставить отодвинутую мебель на место |
| Б. Без передвижения мебели: | 0,435 | 0,522 | 0,626 | 0,751 | 2 |
| | вымыть пол, периодически меняя моющий раствор или воду |
| Протирка | Протереть пол, периодически меняя моющий раствор или воду | 0,272 | 0,326 | 0,391 | 0,469 | 3 |
| Подметание | | 0,218 | 0,262 | 0,314 | 0,377 | 4 |
| | | a | б | в | г | |
| НОРМАТИВЫ ВРЕМЕНИ НА УБОРКУ ПОЛА В ПОМЕЩЕНИЯХ ДЛЯ ЗАНЯТИЙ И ЗРИТЕЛЬНЫХ ЗАЛАХ | Карта 2 |
| Виды работ | Содержание работы | Коэффициент заставленности помещения | Номер норматива |
| до 0,2 | 0,21 - 0,4 | 0,41 - 0,6 | свыше 0,6 |
| Время в мин, на |
| Мытье | Вымыть пол, периодически меняя моющий раствор или воду | 0,375 | 0,450 | 0,540 | 0,664 | 1 |
| Протирка | Протереть пол, периодически меняя моющий раствор или воду | 0,234 | 0,281 | 0,337 | 0,404 | 2 |
| Подметание | Подмести пол, предварительно увлажнив его | 0,187 | 0,224 | 0,269 | 0,323 | 3 |
| | | а | б | в | г | |
| НОРМАТИВЫ ВРЕМЕНИ НА УБОРКУ ПОЛА В ФОЙЕ, ХОЛЛАХ, ВЕСТИБЮЛЯХ, КОРИДОРАХ И ВЫСТАВОЧНЫХ ЗАЛАХ | Карта 3 |
| Виды работ | Содержание работы | Время в мин, на | Номер норматива |
| Мытье | Вымыть пол, периодически меняя моющий раствор или воду | 0,484 | 1 |
| Протирка | Протереть пол, периодически меняя моющий раствор или воду | 0,246 | 2 |
| Подметание | Подмести пол, предварительно увлажнив его | 0,191 | 3 |
| НОРМАТИВЫ ВРЕМЕНИ НА УБОРКУ ЛЕСТНИЦ | Карта 4 |
| Виды работ | Содержание работы | Время в мин, на | Номер норматива |
| Мытье | Вымыть лестницу, периодически меняя моющий раствор или воду, протереть перила | 1,080 | 1 |
| Протирка | Протереть лестницу и перила, периодически меняя моющий раствор или воду | 0,669 | 2 |
| Подметание | Подмести лестницу, предварительно увлажнив ее | 0,536 | 3 |
| НОРМАТИВЫ ВРЕМЕНИ НА УБОРКУ ПОЛА В ТУАЛЕТАХ | Карта 5 |
| Виды работ | Содержание работы | Время в мин, на | Номер норматива |
| Мытье | Вымыть пол, периодически меняя моющий раствор или воду | 1,330 | 1 |
| Протирка | Протереть пол, периодически меняя моющий раствор или воду | 0,856 | 2 |
| Подметание | Подмести пол, предварительно увлажнив его | 0,686 | 3 |
| НОРМАТИВЫ ВРЕМЕНИ НА ВЛАЖНУЮ ПРОТИРКУ ПРЕДМЕТОВ И МЕБЕЛИ | Карта 6 |
| Содержание работы: удалить пыль с поверхностей предметов влажным способом, периодически меняя моющий раствор или воду |
| Объекты уборки | Единица объема работы | Время, мин | Номер норматива |
| Автомат газированный воды | шт. | 0,400 | 1 |
| Калькулятор | шт. | 0,340 | 2 |
| Банкетка | шт. | 0,750 | 3 |
| Бюст | шт. | 3,700 | 4 |
| Настольный вентилятор | шт. | 0,520 | 5 |
| Вентиляционная решетка | | 2,000 | 6 |
| Вешалка-стойка с круглой подставкой | шт. | 0,930 | 7 |
| Диван | шт. | 2,100 | 8 |
| Дверь | | 1,350 | 9 |
| Доска классная | | 0,440 | 10 |
| Кресло рабочее | шт. | 0,650 | 11 |
| Кульман | шт. | 1,650 | 12 |
| Книжная полка | м | 0,600 | 13 |
| Кондиционер | шт. | 1,050 | 14 |
| Календарь настольный | шт. | 0,370 | 15 |
| Лампа настольная | шт. | 0,680 | 16 |
| Машинка пишущая, счетная | шт. | 0,750 | 17 |
| Настольный телефон | шт. | 0,420 | 18 |
| Приборы (радиаторы) отопительные | | 1,600 | 19 |
| Плинтуса | м | 0,200 | 20 |
| Портрет, картина | | 2,900 | 21 |
| Подоконник | | 1,200 | 22 |
| Подставка под графин | шт. | 0,200 | 23 |
| Репродуктор | шт. | 0,610 | 24 |
| Сейф | | 0,340 | 25 |
| Стеллаж | | 0,645 | 26 |
| Стена | | 0,830 | 27 |
| Стенд | | 2,350 | 28 |
| Столы: | | | |
| для заседаний | шт. | 1,650 | 29 |
| письменный | шт. | 1,150 | 30 |
| ученический | шт. | 0,965 | 31 |
| телефонный, журнальный | шт. | 0,625 | 32 |
| Стул | шт. | 0,480 | 33 |
| Счеты | | 0,325 | 34 |
| Тумба | | 0,780 | 35 |
| Трибуна напольная | | 2,800 | 36 |
| Чернильный прибор | | 0,550 | 37 |
| Шкаф конторский двухстворчатый | шт. | 1,450 | 38 |
| Шкафы секционные шириной: | | | |
| до 2,5 м | шт. | 5,300 | 39 |
| 2,6 - 3,5 м | шт. | 6,400 | 40 |
| 3,6 - 4,5 м | шт. | 8,500 | 41 |
| Электрополотенце | шт. | 0,300 | 42 |
| НОРМАТИВЫ ВРЕМЕНИ НА СУХУЮ ПРОТИРКУ ПРЕДМЕТОВ И МЕБЕЛИ | Карта 7 |
| Содержание работы: удалить пыль с поверхностей предметов сухим способом |
| Объекты работы | Единица объема работы | Время, мин | Номер норматива |
| Настенные часы | шт. | 0,530 | 1 |
| Настольные часы | шт. | 0,300 | 2 |
| Панель | | 0,690 | 3 |
| Пианино | шт. | 1,200 | 4 |
| Портрет, картина | | 2,100 | 5 |
| Столы полированные: | | | |
| для заседаний | шт. | 1,500 | 6 |
| письменный | шт. | 1,000 | 7 |
| журнальный | шт. | 0,560 | 8 |
| Стенд | шт. | 1,700 | 9 |
| Телевизор, радиоприемник | шт. | 1,000 | 10 |
| Тумба полированная | шт. | 0,730 | 11 |
| Шкаф конторский полированный | шт. | 1,100 | 12 |
| Шкаф секционный полированный шириной: | | | |
| до 2,5 м | шт. | 4,100 | 13 |
| 2,6 - 3,5 м | шт. | 5,000 | 14 |
| 3,6 - 4,5 м | шт. | 6,600 | 15 |
| НОРМАТИВЫ ВРЕМЕНИ НА ПРОЧИЕ РАБОТЫ | Карта 8 |
| Наименование работы | Содержание работы | Единица объема работы | Время, мин | Номер норматива |
| Мытье стен, дверей | Вымыть стену, дверь, периодически меняя моющий раствор или воду | шт. | 1,960 | 1 |
| Мытье классной доски | Вымыть классную доску, периодически меняя воду | шт. | 2,980 | 2 |
| Мытье стакана | Вымыть стакан | шт. | 1,000 | 3 |
| Мытье мыльницы | Вымыть мыльницу | шт. | 1,500 | 4 |
| Наполнение графина водой | Взять графин, наполнить его водой, поставить на место | шт. | 4,110 | 5 |
| Опорожнение пепельницы | Высыпать содержимое пепельницы и протереть ее | шт. | 0,532 | 6 |
| Опорожнение урны | Опорожнить урну от содержимого и промыть ее | шт. | 3,480 | 7 |
| Опорожнение корзины: | Опорожнить корзину от содержимого в тару и поставить ее на место | шт. | | |
| в служебных помещениях | | | 0,525 | 8 |
| в туалетах | | | 0,625 | 9 |
| Опорожнение и чистка полоскательницы | Опорожнить полоскательницу от содержимого, вычистить с помощью моющих средств и промыть ее водой | шт. | 1,200 | 10 |
| Обметание пыли со стен | Специальным приспособлением обмести пыль со стен | шт. | 0,590 | 11 |
| Обметание пыли с потолков | Специальным приспособлением обмести пыль с потолков | шт. | 0,650 | 12 |
| Поливка и протирка вазонов с цветами | Полить цветок и протереть вазон | шт. | 0,950 | 13 |
| Смена полотенец | Снять грязное полотенце, сдать его и получить чистое, повесить чистое полотенце на установленное место | шт. | 3,140 | 14 |
| Чистка: | С помощью моющих средств вычистить предмет и промыть его водой | шт. | | |
| писсуаров | | | 2,000 | 15 |
| раковин | | | 3,000 | 16 |
| унитазов | | | 5,000 | 17 |
| Чистка зеркал | Очистить поверхность зеркала специальным средством и протереть до блеска | шт. | 1,800 | 18 |
| Чистка ковровых покрытий | Вычистить ковровое покрытие вручную Вычистить ковровое покрытие с помощью пылесоса | шт. | 0,780 0,360 | 19 20 |
| Чистка полумягкого стула | Очистить стул с помощью пылесоса от пыли | шт. | 0,680 | 21 |
| Чистка мягкого кресла | Очистить кресло с помощью пылесоса от пыли | шт. | 0,315 | 22 |
| Чистка мягкого дивана | Очистить диван с помощью пылесоса от пыли | шт. | 0,750 | 23 |
| НОРМАТИВЫ ВРЕМЕНИ НА ТРАНСПОРТИРОВКУ МУСОРА | Карта 9 |
| Содержание работы: мусор, собранный в процессе уборки, вынести от последнего места сбора в специально отведенные места |
| Расстояние транспортировки мусора, м | Время при транспортировке мусора, мин | Номер норматива |
| на одном этаже | со 2-го этажа на 1-й | с 3-го этажа на 1-й | с 4-го этажа на 1-й |
| До | 1,07 | 2,27 | 4,47 | 6,670 | 1 |
| 31 - 50 | 2,86 | 5,06 | 7,26 | 9,460 | 2 |
| 51 - 80 | 4,64 | 6,84 | 9,04 | 11,1 | 3 |
| 81 - 100 | 6,44 | 8,64 | 10,8 | 13,0 | 4 |
| 101 - 120 | 7,86 | 10,1 | 12,3 | 14,5 | 5 |
| 121 - 140 | 9,29 | 11,5 | 13,7 | 15,9 | 6 |
| | а | б | в | г | |
Примечание: При транспортировке мусора с 5-го этажа и выше норматив времени увеличивается на каждый этаж на 2,2 мин.
| НОРМАТИВЫ ВРЕМЕНИ НА ОБСЛУЖИВАНИЕ РАБОЧЕГО МЕСТА, ОТДЫХ И ЛИЧНЫЕ НАДОБНОСТИ | Карта 10 |
| Содержание работы | Время, % к оперативному |
| Нормативы времени на обслуживание рабочего места | |
| Доставить средства уборки и приспособления к месту работы в начале смены и в установленное место в конце смены. Получить инвентарь, заменить средства уборки во время смены. Убрать рабочее место, принять и сдать смену. | 6,5 |
| Нормативы времени на отдых и личные надобности | 5,0 |
Приложение
ПРИМЕР РАСЧЕТА НОРМ ВРЕМЕНИ НА УБОРКУ СЛУЖЕБНЫХ И КУЛЬТУРНО-БЫТОВЫХ ПОМЕЩЕНИЙ
Расчет норм времени производится исходя из того, что убирается служебное помещение, в которое входят комнаты N 1, 2, 3, 4; кабинеты начальников отделов N 1, 2; кабинет директора; коридор, туалеты.
| N п/п | Назначение помещения и объекты уборки | Способ уборки | N карты, N норматива времени | Нормативы оперативного времени на единицу объема работы по уборке одного объекта (t) | Количество объектов уборки (v) | Средняя повторяемость уборки в смену (q) | Время на выполнение оперативной работы, мин
 |
| | I. Служебные помещения | | | | | | |
| | Комната N 1 | | | | | | |
| 1 | Стол письменный | Влажная протирка | 6,30 | 1,15 | 10 шт. | 1 | 11,5 |
| 2 | Стол телефонный | То же | 6,32 | 0,625 | 2 шт. | 1 | 1,25 |
| 3 | Телефон | -- | 6,18 | 0,420 | 2 шт. | 1 | 0,840 |
| 4 | Календарь настольный | -- | 6,15 | 0,370 | 5 шт. | 1 | 1,85 |
| 5 | Счеты | -- | 6,34 | 0,325 | 3 шт. | 1 | 0,975 |
| 6 | Стул | -- | 6,33 | 0,480 | 9 шт. | 1 | 4,32 |
| 7 | Портрет | -- | 6,21 | 2,90 | 0,583 | 0,2 | 0,338 |
| 8 | Шкаф двухстворчатый | -- | 6,38 | 1,45 | 2 шт. | 1 | 2,90 |
| 9 | Репродуктор | -- | 6,24 | 0,610 | 1 шт. | 1 | 0,610 |
| 10 | Приборы отопительные (радиаторы) | -- | 6,19 | 1,60 | 1,28 | 1 | 2,05 |
| 11 | Дверь | -- | 6,9 | 1,35 | 2,52 | 0,2 | 0,680 |
| 12 | Стена | -- | 6,27 | 0,830 | 42.4 | 0,2 | 7,04 |
| 13 | Пол | -- | 1,2а | 0,435 | 35 | 1 | 15,2 |
| 14 | Корзина для бумаг | Опорожнение | 8,8 | 0,525 | 5 шт. | 1 | 2,62 |
| 15 | Графин | Наполнение водой | 8,5 | 4,11 | 1 шт. | 1 | 4,11 |
Итого:
56,3
Обслуживание рабочего места (карта 10) - 6,5% к оперативному времени.
Отдых и личные надобности (карта 10) - 5% к оперативному времени.
мин.
| N п/п | Назначение помещения и объекты уборки | Способ уборки | N карты, N норматива, времени | Нормативы оперативного времени на единицу объема работы по уборке одного объекта (t) | Количество объектов уборки (v) | Средняя повторяемость уборки в смену (q) | Время на выполнение оперативной работы, мин
 |
| | Комната N 2 | | | | | | |
| 1 | Стол письменный | Влажная протирка | 6,30 | 1,15 | 5 шт. | 1 | 5,75 |
| 2 | Стол телефонный | То же | 6,32 | 0,625 | 1 шт. | 1 | 0,625 |
| 3 | Телефон | -- | 6,18 | 0,420 | 1 шт. | 1 | 0,420 |
| 4 | Календарь настольный | -- | 6,15 | 0,370 | 3 шт. | 1 | 1,11 |
| 5 | Счеты | -- | 6,34 | 0,325 | 1 шт. | 1 | 0,325 |
| 6 | Стул | -- | 6,33 | 0,480 | 6 шт. | 1 | 2,88 |
| 7 | Шкаф двухстворчатый | -- | 6,38 | 1,45 | 2 шт. | 1 | 2,90 |
| 8 | Репродуктор | -- | 6,24 | 0,610 | 1 шт. | 1 | 0,610 |
| 9 | Приборы отопительные (радиаторы) | -- | 6,19 | 1,60 | 0,64 | 1 | 1,02 |
| 10 | Стена | -- | 6,27 | 0,830
| 31,7 | 0,1 | 2,63 |
| 11 | Дверь | -- | 6,9 | 1,35 | 2,52 | 1 | 3,40 |
| 12 | Пол | Мытье | 1,2б | 0,522 | 17 | 1 | 8,87 |
| 13 | Корзина для бумаг | Опорожнение | 8,8 | 0,525 | 5 шт. | 1 | 2,62 |
| 14 | Графин | Наполнение водой | 8,5 | 4,11
| 1 шт.
| 1 | 4,11 |
Итого:
37,3
Обслуживание рабочего места (карта 10) - 6,5% к оперативному времени.
Отдых и личные надобности (карта 10) - 5% к оперативному времени.
мин.
| N п/п | Назначение помещения и объекты уборки | Способ уборки | N карты, N норматива времени | Нормативы оперативного времени на единицу объема работы по уборке одного объекта (t) | Количество объектов уборки (v) | Средняя повторяемость уборки в смену (q) | Время на выполнение оперативной работы, мин
 |
| | Комната N 3 | | | | | | |
| 1 | Стол письменный | Влажная протирка | 6,30 | 1,15 | 10 шт. | 1 | 11,5 |
| 2 | Стол телефонный | То же | 6,32 | 0,625 | 2 шт. | 1 | 1,25 |
| 3 | Телефон | -- | 6,18 | 0,420 | 3 шт. | 1 | 1,26 |
| 4 | Календарь настольный | -- | 6,15 | 0,370 | 5 шт. | 1 | 1,85 |
| 5 | Счеты | -- | 6,34 | 0,325 | 3 шт. | 1 | 0,975 |
| 6 | Стул | -- | 6,33 | 0,480 | 12 шт. | 1 | 5,76 |
| 7 | Портрет | -- | 6,21 | 2,90 | 0,583 | 0,2 | 0,338 |
| 8 | Шкаф двухстворчатый | -- | 6,38 | 1,45 | 2 шт. | 1 | 2,90 |
| 9 | Репродуктор | -- | 6,24 | 0,610 | 1 шт. | 1 | 0,610 |
| 10 | Приборы (радиаторы) отопительные | -- | 6,19 | 1,60 | 1,28 | 1 | 2,05 |
| 11 | Дверь | -- | 6,9 | 1,35 | 2,52 | 0,2 | 0,680 |
| 12 | Стена | -- | 6,27 | 0,830 | 42.4 | 0,2 | 7,04 |
| 13 | Пол | -- | 1,2а | 0,435 | 35 | 1 | 15,2 |
| 14 | Корзина для мусора | Опорожнение | 8,8 | 0,525 | 5 шт. | 1 | 2,62 |
| 15 | Графин | Наполнение водой | 8,5 | 4,11 | 1 шт. | 1 | 4,11 |
Итого:
58,2
Обслуживание рабочего места (карта 10) - 6,5% к оперативному времени.
Отдых и личные надобности (карта 10) - 5% к оперативному времени.

| N п/п | Назначение помещения и объекты уборки | Способ уборки | N карты, N норматива времени | Нормативы оперативного времени на единицу объема работы по уборке одного объекта (t) | Количество объектов уборки (v) | Средняя повторяемость уборки в смену (q) | Время на выполнение оперативной работы, мин
 |
| | Комната N 4 | | | | | | |
| 1 | Стол письменный | Влажная протирка | 6,30 | 1,15 | 5 шт. | 1 | 5,75 |
| 2 | Стол телефонный | То же | 6,32 | 0,625 | 1 шт. | 1 | 0,625 |
| 3 | Телефон | -- | 6,18 | 0,420 | 1 шт. | 1 | 0,420 |
| 4 | Календарь настольный | -- | 6,15 | 0,370 | 3 шт. | 1 | 1,11 |
| 5 | Счеты | -- | 6,34 | 0,325 | 1 шт. | 1 | 0,325 |
| 6 | Стул | -- | 6,33 | 0,480 | 10 шт. | 1 | 4,80 |
| 7 | Шкаф двухстворчатый | -- | 6,38 | 1,45 | 2 шт. | 1 | 2,90 |
| 8 | Репродуктор | -- | 6,24 | 0,610 | 1 шт. | 1 | 0,610 |
| 9 | Приборы (радиаторы) отопительные | -- | 6,19 | 1,60 | 0,64 | 1 | 1,02 |
| 10 | Стена | -- | 6,27 | 0,830 | 31,7 | 0,1 | 2,63 |
| 11 | Дверь | -- | 6,9 | 1,35 | 2,52 | 1 | 3,40 |
| 12 | Пол | Мытье | 1,2б | 0,522 | 17 | 1 | 8,87 |
| 13 | Корзина для бумаг | Опорожнение | 8,8 | 0,525 | 5 шт. | 1 | 2,62 |
| 14 | Графин | Наполнение водой | 8,5 | 4,11 | 1 шт. | 1 | 4,11 |
| 15 | Стенд | Влажная протирка | 6,28 | 2,35 | 1,44 | 1 | 3,38 |
Итого:
42,6
Обслуживание рабочего места (карта 10) - 6,5% к оперативному времени.
Отдых и личные надобности (карта 10) - 5% к оперативному времени.

| N п/п | Назначение помещения и объекты уборки | Способ уборки | N карты, N норматива времени | Нормативы оперативного времени на единицу объема работы по уборке одного объекта (t) | Количество объектов уборки (v) | Средняя повторяемость уборки в смену (q) | Время на выполнение оперативной работы, мин
 |
| | Кабинет начальника отдела N 1 | | | | | | |
| 1 | Стол письменный | Влажная протирка | 6,30 | 1,15 | 2 шт. | 1 | 2,30 |
| 2 | Стол телефонный | То же | 6,32 | 0,625 | 1 шт. | 1 | 0,625 |
| 3 | Телефон | -- | 6,18 | 0,420 | 1 шт. | 1 | 0,420 |
| 4 | Календарь настольный | -- | 6,15 | 0,370 | 1 шт. | 1 | 0,370 |
| 5 | Пепельница | Опорожнение | 8,7 | 0,532 | 1 шт. | 1 | 0,532 |
| 6 | Шкаф секционный | Влажная протирка | 6,39 | 5,30 | 2,5 м | 1 | 5,30 |
| 7 | Сейф | -- | 6,25 | 0,340 | 2,48 | 1 | 0,841 |
| 8 | Репродуктор | -- | 6,24 | 0,610 | 1 шт. | 1 | 0,610 |
| 9 | Лампа настольная | -- | 6,16 | 0,680 | 1 шт. | 1 | 0,680 |
| 10 | Портрет | -- | 6,21 | 2,90 | 0,583 | 0,2 | 0,338 |
| 11 | Кресло | -- | 6,11 | 0,650 | 2 шт. | 1 | 1,30 |
| 12 | Стул | -- | 6,33 | 0,480 | 6 шт. | 1 | 3.08 |
| 13 | Дверь | -- | 6,9 | 1,35 | 1,83 | 1 | 2,47 |
| 14 | Приборы (радиаторы) отопительные | -- | 6,49 | 1,60 | 0,62 | 1 | 0,992 |
| 15 | Стена | -- | 6,27 | 0,830 | 25 | 0,1 | 2,08 |
| 16 | Пол | Протирка | 1,3а | 0,272 | 12 | 1 | 3,26 |
| 17 | Корзина для бумаг | Опорожнение | 8,8 | 0,525 | 1 шт. | 1 | 0,525 |
| 18 | Графин | Наполнение | 8,5 | 4,11 | 1 шт. | 1 | 4,11 |
| 19 | Подставка под графин | Влажная протирка | 6,23 | 0,200 | 1 шт. | 1 | 0,200 |
Итого:
30,0
Обслуживание рабочего места (карта 10) - 6,5% к оперативному времени.
Отдых и личные надобности (карта 10) - 5% к оперативному времени.

| N п/п | Назначение помещения и объекты уборки | Способ уборки | N карты, N норматива времени | Нормативы оперативного времени на единицу объема работы по уборке одного объекта (t) | Количество объектов уборки (v) | Средняя повторяемость уборки в смену (q) | Время на выполнение оперативной работы, мин
 |
| | Кабинет начальника отдела N 2 | | | | | | |
| 1 | Стол письменный | Влажная протирка | 6,30 | 1,15 | 2 шт. | 1 | 2,30 |
| 2 | Стол телефонный | То же | 6,32 | 0,625 | 1 шт. | 1 | 0,625 |
| 3 | Телефон | -- | 6,18 | 0,420 | 1 шт. | 1 | 0,420 |
| 4 | Календарь настольный | -- | 6,15 | 0,370 | 1 шт. | 1 | 0,370 |
| 5 | Пепельница | Опорожнение | 8,7 | 0,532 | 1 шт. | 1 | 0,532 |
| 6 | Шкаф секционный | Влажная протирка | 6,39 | 5,30 | 2,5 м | 1 | 5,30 |
| 7 | Сейф | -- | 6,25 | 0,340 | 2,48 | 1 | 0,841 |
| 8 | Репродуктор | -- | 6,24 | 0,610 | 1 шт. | 1 | 0,610 |
| 9 | Лампа настольная | -- | 6,16 | 0,680 | 1 шт. | 1 | 0,680 |
| 10 | Портрет | -- | 6,21 | 2,90 | 0,583 | 0,2 | 0,338 |
| 11 | Кресло | -- | 6,11 | 0,650 | 2 шт. | 1 | 1,30 |
| 12 | Стул | -- | 6,33 | 0,480 | 6 шт. | 1 | 3.08 |
| 13 | Дверь | -- | 6,9 | 1,35 | 1,83 | 1 | 2,47 |
| 14 | Приборы (радиаторы) отопительные | -- | 6,19 | 1,60 | 0,62 | 1 | 0,992 |
| 15 | Стена | -- | 6,27 | 0,830 | 25 | 0,1 | 2,08 |
| 16 | Пол | Протирка | 1,3а | 0,272 | 12 | 1 | 3,26 |
| 17 | Корзина для бумаг | Опорожнение | 8,8 | 0,525 | 1 шт. | 12 | 0,525 |
| 18 | Графин | Наполнение | 8,5 | 4,11 | 1 шт. | 1 | 4,11 |
| 19 | Подставка под графин | Влажная протирка | 6,23 | 0,200 | 1 шт. | 1 | 0,200 |
Итого:
30,0
Обслуживание рабочего места (карта 10) - 6,5% к оперативному времени.
Отдых и личные надобности (карта 10) - 5% к оперативному времени.

| N п/п | Назначение помещения и объекты уборки | Способ уборки | N карты, N норматива времени | Нормативы оперативного времени на единицу объема работы по уборке одного объекта (t) | Количество объектов уборки (v) | Средняя повторяемость уборки в смену (q) | Время на выполнение оперативной работы, мин
 |
| | Кабинет директора | | | | | | |
| 1 | Стол письменный | Влажная протирка | 6,30 | 1,15 | 2 шт. | 1 | 2,30 |
| 2 | Стол для заседаний | То же | 6,29 | 1,65 | 1 шт. | 1 | 1.65 |
| 3 | Стол телефонный | -- | 6,32 | 0,625 | 1 шт. | 1 | 0,625 |
| 4 | Стол журнальный | -- | 6,32 | 0,625 | 1 шт. | 1 | 0,629 |
| 5 | Телефон | -- | 6,18 | 0,420 | 1 шт. | 1 | 0,420 |
| 6 | Календарь настольный | -- | 6,15 | 0,370 | 1 шт. | 1 | 0,370 |
| 7 | Настольные часы | -- | 7,2 | 0,300 | 1 шт. | 1 | 0,300 |
| 8 | Пепельница | Опорожнение | 8,7 | 0,532 | 1 шт. | 1 | 0,532 |
| 9 | Шкаф секционный | Влажная протирка | 6,39 | 5,30 | 2,5 м | 1 | 5,30 |
| 10 | Сейф | -- | 6,25 | 0,340 | 2,48 | 1 | 0,841 |
| 11 | Репродуктор | -- | 6,24 | 0,610 | 1 шт. | 1 | 0,610 |
| 12 | Лампа настольная | -- | 6,16 | 0,680 | 1 шт. | 1 | 0,680 |
| 13 | Чернильный прибор | -- | 6,37 | 0,550 | 1 шт. | 1 | 0,550 |
| 14 | Вентилятор настольный | -- | 6,5 | 0,520 | 1 шт. | 1 | 0,520 |
| 15 | Портрет | -- | 6,21 | 2,90 | 0,583 | 0,2 | 0,338 |
| 16 | Кресло рабочее | -- | 6,11 | 0,650 | 1 шт. | 1 | 0,650 |
| 17 | Кресло мягкое | Чистка пылесосом | 8,23 | 0,750 | 2 шт. | 0,2 | 0,300 |
| 18 | Стул | Влажная протирка | 6,33 | 0,480 | 12 шт. | 1 | 5,76 |
| 19 | Дверь | -- | 6,9 | 1,35 | 1,83 | 1 | 2,47 |
| 20 | Приборы (радиаторы) отопительные | -- | 6,19 | 1,60 | 0,62 | 1 | 0,992 |
| 21 | Стена | -- | 6,27 | 0,830 | 25 | 0,1 | 2,08 |
| 22 | Пол | -- | 1,3а | 0,272 | 30 | 0,1 | 8,16 |
| 23 | Ковровая дорожка | Чистка пылесосом | 8,20 | 0,360 | 5 м. | 1 | 1,80 |
| 24 | Ковровая дорожка | Чистка вручную | 8,20 | 0,780 | 5 м | 1 | 3,90 |
| 25 | Корзина | Опорожнение | 8,8 | 0,525 | 1 шт. | 1 | 0,525 |
| 26 | Графин | Наполнение | 8,5 | 4,11 | 1 шт. | 1 | 4,11 |
| 27 | Подставка под графин | Влажная протирка | 6,23 | 0,200 | 1 шт. | 1 | 0,200 |
| 28 | Полоскательница | Опорожнение и чистка | 8,10 | 1,20 | 1 шт. | 1 | 1,20 |
| 29 | Стакан | Мытье | 8,3 | 1,0 | 1 шт. | 1 | 1,0 |
Итого:
47,71
Обслуживание рабочего места (карта 10) - 6,5% к оперативному времени.
Отдых и личные надобности (карта 10) - 5% к оперативному времени.

| N п/п | Назначение помещения и объекты уборки | Способ уборки | N карты, N норматива времени | Нормативы оперативного времени на единицу объема работы по уборке одного объекта (t) | Количество объектов уборки (v) | Средняя повторяемость уборки в смену (q) | Время на выполнение оперативной работы, мин
 |
| | II. Коридор | | | | | | |
| 1 | Пол | Мытье | 3,1 | 0,484 | 43 | 1 | 20,8 |
| 2 | Стена | Влажная протирка | 6,27 | 0,830 | 62 | 0,1 | 5,15 |
| 3 | Стенд | То же | 6,28 | 2,35 | 1 | 0,2 | 0,470 |
| 4 | Урна | Опорожнение и мытье | 8,7 | 3,48 | 1 | 1 | 10,4 |
Итого:
36,8
Обслуживание рабочего места (карта 10) - 6,5% к оперативному времени.
Отдых и личные надобности (карта 10) - 5% к оперативному времени.

| N п/п | Назначение помещения и объекты уборки | Способ уборки | N карты, N норматива времени | Нормативы оперативного времени на единицу объема работы по уборке одного объекта (t) | Количество объектов уборки (v) | Средняя повторяемость уборки в смену (q) | Время на выполнение оперативной работы, мин
 |
| | III. Туалеты | | | | | | |
| 1 | Унитаз | Чистка | 8,17 | 5,0 | 4 шт. | 1 | 20,0 |
| 2 | Писсуар | -- | 8,15 | 2,0 | 3 шт. | 1 | 6,00 |
| 3 | Раковина | -- | 8,16 | 3,0 | 2 шт. | 1 | 6,00 |
| 4 | Подоконник | Влажная протирка | 6,22 | 1,20 | 0,48 | 1 | 0,576 |
| 5 | Корзина для бумаг | Опорожнение | 8,9 | 0.625 | 6 шт. | 1 | 3,75 |
| 6 | Приборы (радиаторы) отопительные | Влажная протирка | 6,19 | 1,60 | 1,28 | 1 | 2,05 |
| 7 | Дверь | -- | 6,9 | 1,35 | 3,9 | 1 | 5,26 |
| 8 | Стена | -- | 6,27 | 0,830 | 31,3 | 0,1 | 2,59 |
| 9 | Перегородки кабин | -- | 6,27 | 0,830 | 36 | 0,2 | 5,96 |
| 10 | Пол | -- | 5,2 | 0,856 | 24,3 | 1 | 20,8 |
| 11 | Зеркало | Чистка | 8,18 | 1,80 | 0.52 | 1 | 0,936 |
| 12 | Полотенце | Смена | 8,14 | 3,14 | 2 шт. | 1 | 6,28 |
| 13 | Транспортировка мусора | | 9,3 | | | | 11,1 |
Итого:
91,3
Обслуживание рабочего места (карта 10) - 6,5% к оперативному времени.
Отдых и личные надобности (карта 10) - 5% к оперативному времени.

Суммарная норма времени на уборку всех помещений составит:
Н_вр= 62,8 + 41,6 + 64,9 + 47,5 + 33,4 + 33,4+53,2 + 41,0 + 101,8 = 479,6 мин : 60 = 7,99 час.