Приказ Минэнерго РФ от 30.12.2008 N 325

"Об утверждении порядка определения нормативов технологических потерь при передаче тепловой энергии, теплоносителя"
Редакция от 10.08.2012 — Действует с 30.12.2012
Показать изменения

Зарегистрировано в Минюсте РФ 16 марта 2009 г. N 13513


МИНИСТЕРСТВО ЭНЕРГЕТИКИ РОССИЙСКОЙ ФЕДЕРАЦИИ

ПРИКАЗ
от 30 декабря 2008 г. N 325

ОБ УТВЕРЖДЕНИИ ПОРЯДКА ОПРЕДЕЛЕНИЯ НОРМАТИВОВ ТЕХНОЛОГИЧЕСКИХ ПОТЕРЬ ПРИ ПЕРЕДАЧЕ ТЕПЛОВОЙ ЭНЕРГИИ, ТЕПЛОНОСИТЕЛЯ

(в ред. Приказов Минэнерго РФ от 01.02.2010 N 36, от 10.08.2012 N 377)

В соответствии с пунктом 4.2.14.8 Положения о Министерстве энергетики Российской Федерации, утвержденного Постановлением Правительства Российской Федерации от 28 мая 2008 г. N 400 (Собрание законодательства Российской Федерации, 2008, N 22, ст. 2577; 2011, N 44, ст. 6269), приказываю: (в ред. Приказа Минэнерго РФ от 10.08.2012 N 377)

1. Утвердить прилагаемый порядок определения нормативов технологических потерь при передаче тепловой энергии, теплоносителя. (в ред. Приказа Минэнерго РФ от 10.08.2012 N 377)

2. Признать утратившими силу:

Приказ Министерства промышленности и энергетики Российской Федерации от 4 октября 2005 г. N 265 "Об организации в Министерстве промышленности и энергетики Российской Федерации работы по утверждению нормативов технологических потерь при передаче тепловой энергии" (зарегистрирован в Минюсте России 19 октября 2005 г. N 7094).

Министр
С.И.ШМАТКО

УТВЕРЖДЕНА
Приказом Минэнерго России
от 30.12.2008 N 325

ПОРЯДОК
ОПРЕДЕЛЕНИЯ НОРМАТИВОВ ТЕХНОЛОГИЧЕСКИХ ПОТЕРЬ ПРИ ПЕРЕДАЧЕ ТЕПЛОВОЙ ЭНЕРГИИ, ТЕПЛОНОСИТЕЛЯ

(в ред. Приказов Минэнерго РФ от 01.02.2010 N 36, от 10.08.2012 N 377)

I. Общие положения

1. Нормативы технологических потерь при передаче тепловой энергии, теплоносителя (далее - нормативы технологических потерь) определяются для каждой организации, эксплуатирующей тепловые сети для передачи тепловой энергии, теплоносителя потребителям (далее - теплосетевая организация). Определение нормативов технологических потерь осуществляется выполнением расчетов нормативов для тепловой сети каждой системы теплоснабжения независимо от присоединенной к ней расчетной часовой тепловой нагрузки. (в ред. Приказа Минэнерго РФ от 10.08.2012 N 377)

Нормативы технологических потерь при передаче тепловой энергии, теплоносителя по тепловым сетям организаций, для которых передача тепловой энергии не является основным видом деятельности (далее - предприятия), оказывающим услуги по передаче тепловой энергии сторонним потребителям, подключенным к тепловым сетям предприятия, утверждаются в части, относящейся к сторонним потребителям. При этом технологические потери при передаче тепловой энергии для собственного потребления предприятия из указанных нормативов исключаются. (в ред. Приказа Минэнерго РФ от 10.08.2012 N 377)

В случае передачи тепловой энергии собственным и сторонним потребителям (абонентам) не по выделенным теплопроводам нормативы технологических потерь распределяются пропорционально количеству тепловой энергии, передаваемой для собственного теплового потребления предприятия и сторонним потребителям.

В случае если энергопринимающие устройства потребителя тепловой энергии имеют опосредованное присоединение к сетям теплоснабжающей или теплосетевой организации, объем технологических потерь в теплосетевом хозяйстве, через которое осуществляется такое присоединение, может рассчитываться в соответствии с настоящим порядком отдельно от расчета нормативных технологических потерь, возникающих в тепловых сетях теплоснабжающей или теплосетевой организации. (в ред. Приказа Минэнерго РФ от 10.08.2012 N 377)

Факт опосредованного присоединения потребителя к сетям теплоснабжающей или теплосетевой организации и использования теплопроводов для передачи тепловой энергии этому потребителю подтверждается документом компетентного органа администрации соответствующего муниципального образования, содержащим характеристики этих теплопроводов, являющихся частью тепловой сети на территории муниципального образования.

В нормативы технологических потерь не включаются потери и затраты на источниках теплоснабжения и в энергопринимающих установках потребителей тепловой энергии, включая принадлежащие последним трубопроводы тепловых сетей и тепловые пункты. (в ред. Приказа Минэнерго РФ от 10.08.2012 N 377)

2. Нормативы технологических потерь при передаче тепловой энергии разрабатываются по следующим показателям:

потери и затраты теплоносителей (пар, конденсат, вода);

потери тепловой энергии в тепловых сетях теплопередачей через теплоизоляционные конструкции теплопроводов и с потерями и затратами теплоносителей (пар, конденсат, вода);

затраты электрической энергии на передачу тепловой энергии.

3. Нормативы технологических потерь для водяных тепловых сетей систем централизованного теплоснабжения с присоединенной расчетной часовой тепловой нагрузкой потребителей 50 Гкал/ч (58 МВт) и более разрабатываются с учетом нормативных энергетических характеристик или нормативных значений показателей функционирования водяных тепловых сетей (далее - энергетические характеристики) путем пересчета от условий, принятых при их разработке, к условиям предстоящего периода регулирования в соответствии с главой III настоящим порядком. (в ред. Приказа Минэнерго РФ от 10.08.2012 N 377)

В случае отсутствия на период разработки или пересмотра энергетических характеристик для водяных тепловых сетей с присоединенной к ним расчетной часовой тепловой нагрузкой 50 Гкал/ч (58 МВт) и более нормативы технологических потерь при передаче тепловой энергии определяются в соответствии с главой II настоящего порядка. При этом теплосетевая организация представляет официальное подтверждение о разработке (пересмотре) энергетических характеристик в течение года, подписанное руководителем организации. (в ред. Приказа Минэнерго РФ от 10.08.2012 N 377)

4. Нормативы технологических потерь для водяных тепловых сетей с присоединенной к ним расчетной часовой тепловой нагрузкой менее 50 Гкал/ч (58 МВт) и для паровых тепловых сетей разрабатываются в соответствии с главой II настоящего порядка. (в ред. Приказа Минэнерго РФ от 10.08.2012 N 377)

5. При определении нормативов технологических потерь на предстоящий период регулирования допускается использование расчетов указанных нормативов на предыдущий регулируемый период с пересчетом их по упрощенным формулам, приведенным в главе III настоящего порядка, в случае если в предстоящий период регулирования не планируется отклонение от условий работы тепловых сетей, принятых при разработке указанных нормативов, более пределов, указанных ниже, а именно: (в ред. Приказа Минэнерго РФ от 10.08.2012 N 377)

5.1. по нормативу "потери и затраты теплоносителей":

при изменении емкости (внутреннего объема) трубопроводов тепловых сетей, эксплуатируемых теплосетевой организацией, на 5%;

5.2. по нормативу "потери тепловой энергии теплопередачей через теплоизоляционные конструкции теплопроводов и с потерями и затратами теплоносителей":

при изменении материальной характеристики тепловых сетей, эксплуатируемых теплосетевой организацией, на 5%;

при сохранении эксплуатационного температурного графика отпуска тепловой энергии в системе теплоснабжения;

при изменении тепловых потерь по результатам очередных испытаний на 5% по сравнению с результатами предыдущих испытаний;

5.3. по нормативу "затраты электрической энергии на передачу тепловой энергии":

при изменении количества насосных станций и центральных тепловых пунктов (далее - ЦТП), если суммарная мощность насосных агрегатов насосных станций и ЦТП изменилась на 5% от прежней суммарной мощности; то же - при изменении производительности или количества насосов при неизменном количестве станций и ЦТП;

при изменении условий функционирования насосов (автоматизация, изменение диаметра рабочих колес насосов, изменение расхода и напора сетевой воды), если суммарная мощность насосных агрегатов изменилась на 5%;

при сохранении эксплуатационного температурного графика отпуска тепловой энергии в системе теплоснабжения.

6. В составе документов по утверждению нормативов технологических потерь Минэнерго рассматривает: (в ред. Приказа Минэнерго РФ от 10.08.2012 N 377)

нормативные и отчетные, в том числе полученные на основании показаний приборов учета, значения технологических потерь за два года, предшествующих текущему году, нормативные значения технологических потерь текущего года и планируемые значения технологических потерь на регулируемый год (Приложение 5, таблицы 5.3, 5.4 и 5.5); (в ред. Приказов Минэнерго РФ от 01.02.2010 N 36, от 10.08.2012 N 377)

прогнозируемые значения влияющих показателей (пункт 5 настоящего порядка) и их сопоставление с аналогичными показателями за год, предшествующий периоду регулирования. (в ред. Приказа Минэнерго РФ от 10.08.2012 N 377)

При установлении нормативных значений технологических потерь на регулируемый период (отклонения от условий работы тепловых сетей при этом не должны превышать изложенных в пункте 5 настоящего порядка) в случае, если фактические значения технологических потерь, полученные на основании показаний приборов учета, ниже их расчетных значений, в норматив включаются фактические значения технологических потерь. (в ред. Приказов Минэнерго РФ от 01.02.2010 N 36, от 10.08.2012 N 377)

При обосновании нормативов технологических потерь могут использоваться энергетические характеристики тепловых сетей, в случае если отклонения условий не превышают значений, указанных в пункте 5 настоящего порядка. (в ред. Приказа Минэнерго РФ от 10.08.2012 N 377)

7. Теплосетевая организация, в составе документов по утверждению нормативов технологических потерь, представляет: (в ред. Приказа Минэнерго РФ от 10.08.2012 N 377)

сведения о результатах ежегодного сопоставления нормативных и отчетных показателей и выявленные при этом резервы экономии тепловой и электрической энергии и теплоносителя (энергосберегающий потенциал);

мероприятия по повышению энергетической эффективности рассматриваемой тепловой сети и системы централизованного теплоснабжения, к которой относится рассматриваемая тепловая сеть, с указанием по каждому мероприятию сроков их выполнения, затрат на реализацию, экономического эффекта, годовой экономии тепловой, электрической энергии (топлива) и теплоносителя (химочищенной воды), сроков окупаемости.

Разработка указанных мероприятий осуществляется на основе результатов энергетических обследований тепловых сетей, осуществляемых в соответствии с Федеральным законом от 23 ноября 2009 г. N 261-ФЗ "Об энергосбережении и о повышении энергетической эффективности и о внесении изменений в отдельные законодательные акты Российской Федерации" (Собрание законодательства Российской Федерации, 2009, N 48, ст. 5711). (в ред. Приказа Минэнерго РФ от 01.02.2010 N 36)

II. Определение нормативов технологических потерь при передаче тепловой энергии

8. Формулы расчетов нормативов технологических потерь, приведенные в настоящей главе, применяются для следующих тепловых сетей: (в ред. Приказа Минэнерго РФ от 10.08.2012 N 377)

паровых, независимо от присоединенной к ним расчетной часовой тепловой нагрузки;

водяных, с присоединенной к ним расчетной часовой тепловой нагрузкой менее 50 Гкал/ч (58 МВт);

водяных, с присоединенной к ним расчетной часовой тепловой нагрузкой 50 Гкал/ч (58 МВт) и более при временном, не более одного года, отсутствии нормативных энергетических характеристик тепловых сетей на период их разработки или пересмотра.

9. К нормативам технологических потерь относятся потери и затраты энергетических ресурсов, обусловленные техническим состоянием теплопроводов и оборудования и техническими решениями по надежному обеспечению потребителей тепловой энергией и созданию безопасных условий эксплуатации тепловых сетей, а именно: (в ред. Приказа Минэнерго РФ от 10.08.2012 N 377)

потери и затраты теплоносителя (пар, конденсат, вода) в пределах установленных норм;

потери тепловой энергии теплопередачей через теплоизоляционные конструкции теплопроводов и с потерями и затратами теплоносителя;

затраты электрической энергии на передачу тепловой энергии (привод оборудования, расположенного на тепловых сетях и обеспечивающего передачу тепловой энергии).

10. Определение нормативов технологических потерь и затрат теплоносителей.

10.1. Теплоноситель - вода.

10.1.1. К нормируемым технологическим затратам теплоносителя относятся:

затраты теплоносителя на заполнение трубопроводов тепловых сетей перед пуском после плановых ремонтов и при подключении новых участков тепловых сетей;

технологические сливы теплоносителя средствами автоматического регулирования теплового и гидравлического режима, а также защиты оборудования;

технически обоснованные затраты теплоносителя на плановые эксплуатационные испытания тепловых сетей и другие регламентные работы.

10.1.2. К нормируемым технологическим потерям теплоносителя относятся технически неизбежные в процессе передачи и распределения тепловой энергии потери теплоносителя с его утечкой через неплотности в арматуре и трубопроводах тепловых сетей в пределах, установленных правилами технической эксплуатации электрических станций и сетей, а также правилами технической эксплуатации тепловых энергоустановок.

Нормативные значения потерь теплоносителя за год с его нормируемой утечкой, , определяются по формуле:

где a - норма среднегодовой утечки теплоносителя, м3/чм3, установленная правилами технической эксплуатации электрических станций и сетей, а также правилами технической эксплуатации тепловых энергоустановок, в пределах 0,25% среднегодовой емкости трубопроводов тепловых сетей в час;

- среднегодовая емкость трубопроводов тепловых сетей, эксплуатируемых теплосетевой организацией, ;

- продолжительность функционирования тепловых сетей в году, ч;

- среднегодовая норма потерь теплоносителя, обусловленных утечкой, /ч.

Значение среднегодовой емкости трубопроводов тепловых сетей, , определяется из выражения:

где и - емкость трубопроводов тепловых сетей в отопительном и неотопительном периодах, ;

и - продолжительность функционирования тепловых сетей в отопительном и неотопительном периодах, ч.

При расчете значения среднегодовой емкости необходимо учесть: емкость трубопроводов, вновь вводимых в эксплуатацию, и продолжительность использования данных трубопроводов в течение календарного года; емкость трубопроводов, образуемую в результате реконструкции тепловой сети (изменения диаметров труб на участках, длины трубопроводов, конфигурации трассы тепловой сети) и период времени, в течение которого введенные в эксплуатацию участки реконструированных трубопроводов задействованы в календарном году; емкость трубопроводов, временно выводимых из использования для ремонта, и продолжительность ремонтных работ.

При определении значения среднегодовой емкости тепловой сети в значении емкости трубопроводов в неотопительном периоде должно учитываться требование правил технической эксплуатации о заполнении трубопроводов деаэрированной водой с поддержанием избыточного давления не менее 0,5 кгс/см2 в верхних точках трубопроводов.

Прогнозируемая продолжительность отопительного периода принимается как средняя из соответствующих фактических значений за последние 5 лет или в соответствии со строительными нормами и правилами по строительной климатологии.

Потери теплоносителя при авариях и других нарушениях нормального эксплуатационного режима, а также сверхнормативные потери в нормируемую утечку не включаются.

10.1.3. Затраты теплоносителя, обусловленные вводом в эксплуатацию трубопроводов тепловых сетей, как новых, так и после плановых ремонтов или реконструкции, принимаются в размере 1,5-кратной емкости соответствующих трубопроводов тепловых сетей.

10.1.4. Затраты теплоносителя, обусловленные его сливом средствами автоматического регулирования и защиты, предусматривающими такой слив, определяются конструкцией указанных приборов и технологией обеспечения нормального функционирования тепловых сетей и оборудования.

Значения годовых потерь теплоносителя в результате слива, м3, определяются из формулы:

где m - технически обоснованный расход теплоносителя, сливаемого каждым из действующих приборов автоматики или защиты одного типа, /ч;

N - количество действующих приборов автоматики или защиты одного типа, шт.;

- продолжительность функционирования однотипных приборов в течение года, ч;

k - количество групп однотипных действующих приборов автоматики и защиты.

10.1.5. Затраты теплоносителя при проведении плановых эксплуатационных испытаний тепловых сетей и других регламентных работ включают потери теплоносителя при выполнении подготовительных работ, отключении участков трубопроводов, их опорожнении и последующем заполнении.

Нормирование затрат теплоносителя на указанные цели производится с учетом регламентируемой нормативными документами периодичности проведения эксплуатационных испытаний и других регламентных работ и утвержденных эксплуатационных норм затрат для каждого вида испытательных и регламентных работ в тепловых сетях для данных участков трубопроводов.

План проведения эксплуатационных испытаний тепловых сетей и других регламентных работ утверждается руководителем теплосетевой организации и включается в состав обосновывающих нормативы материалов.

10.2. Теплоноситель - пар.

10.2.1. Нормируемые потери пара, т, допускается определять по нормам для водяных тепловых сетей, используя формулу:

где - плотность пара при средних параметрах теплоносителя (давление и температура) по паропроводу от источника теплоснабжения до границ эксплуатационной ответственности, кг/м3;

- среднегодовая емкость паропроводов, эксплуатируемых теплосетевой организацией, ; определяется по формуле (2).

Средние параметры теплоносителя по паропроводу определяются как средневзвешенные значения по материальной характеристике каждого i-го участка паропровода по формулам:

где и - средние температура и абсолютное давление теплоносителя на i-м участке паропровода, °C и кгс/;

, - материальная характеристика i-го участка паропровода и суммарная материальная характеристика паропровода, .

10.2.2. Потери конденсата , т, определяются по норме для водяных тепловых сетей с использованием формулы:

где - среднегодовая емкость конденсатопроводов, ; определяется по формуле (2);

- плотность конденсата при его средней температуре, кг/.

10.2.3. Затраты теплоносителя в паровых тепловых сетях при проведении плановых эксплуатационных испытаний тепловых сетей и других регламентных работ включают потери теплоносителя при выполнении подготовительных работ, отключении, опорожнении участков трубопроводов и последующем их заполнении, включая затраты на заполнение, прогрев, продувку трубопроводов перед вводом в эксплуатацию.

Нормирование затрат теплоносителя на указанные цели производится с учетом регламентируемой нормативными документами периодичности проведения эксплуатационных испытаний и других регламентных работ и утвержденных эксплуатационных норм затрат для каждого вида работ в тепловых сетях.

План проведения эксплуатационных испытаний тепловых сетей и других регламентных работ утверждается руководителем теплосетевой организации и включается в состав обосновывающих нормативы материалов.

11. Нормативные технологические потери и затраты тепловой энергии при ее передаче включают:

потери и затраты тепловой энергии, обусловленные потерями и затратами теплоносителя;

потери тепловой энергии теплопередачей через изоляционные конструкции теплопроводов и оборудование тепловых сетей.

11.1. Определение нормативных технологических затрат и потерь тепловой энергии, обусловленных потерями и затратами теплоносителя - воды.

11.1.1. Определение нормативных технологических потерь тепловой энергии, Гкал, обусловленных потерями теплоносителя, производится по формуле:

где - среднегодовая плотность теплоносителя при средней (с учетом b) температуре теплоносителя в подающем и обратном трубопроводах тепловой сети, кг/м3;

b - доля массового расхода теплоносителя, теряемого подающим трубопроводом тепловой сети (при отсутствии данных можно принимать от 0,5 до 0,75);

и - среднегодовые значения температуры теплоносителя в подающем и обратном трубопроводах тепловой сети по температурному графику регулирования тепловой нагрузки, °C;

- среднегодовое значение температуры исходной воды, подаваемой на источник теплоснабжения и используемой для подпитки тепловой сети, °C;

c - удельная теплоемкость теплоносителя, ккал/кг °C.

Среднегодовые значения температуры теплоносителя в подающем и обратном трубопроводах рассчитываются как средневзвешенные по среднемесячным значениям температуры теплоносителя в соответствующем трубопроводе с учетом числа часов работы в каждом месяце. Среднемесячные значения температуры теплоносителя в подающем и обратном трубопроводах определяются по эксплуатационному температурному графику отпуска тепловой энергии в соответствии с ожидаемыми среднемесячными значениями температуры наружного воздуха.

Ожидаемые среднемесячные значения температуры наружного воздуха определяются как средние из соответствующих статистических значений по информации метеорологической станции за последние 5 лет, или в соответствии со строительными нормами и правилами по строительной климатологии и климатологическим справочником.

Средневзвешенные значения температуры теплоносителя в подающих и обратных трубопроводах тепловой сети, °C, можно определить по формулам:

где и - значения температуры теплоносителя в подающем и обратном трубопроводах тепловой сети по эксплуатационному температурному графику отпуска тепловой энергии при средней температуре наружного воздуха соответствующего месяца, °C.

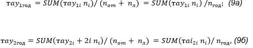
Среднегодовое значение температуры исходной воды, подаваемой на источник теплоснабжения для подпитки тепловой сети, °C , определяется по формуле, аналогичной формулам (9а) и (9б).

При отсутствии достоверной информации по температурам исходной воды допустимо принимать = 5 °C, = 15 °C.

11.1.2. Нормативные технологические затраты тепловой энергии на заполнение новых участков трубопроводов и после плановых ремонтов, Гкал, определяются:

где - емкость заполняемых трубопроводов тепловых сетей, эксплуатируемых теплосетевой организацией, м3;

- плотность воды, используемой для заполнения, кг/м3;

- температура воды, используемой для заполнения, °C;

- температура исходной воды, подаваемой на источник тепловой энергии в период заполнения, °C.

11.1.3. Нормативные технологические потери тепловой энергии со сливами из приборов автоматического регулирования и защиты, Гкал, определяются по формуле:

где - годовые потери теплоносителя в результате слива, ;

- среднегодовая плотность теплоносителя в зависимости от места установки автоматических приборов, кг/;

и - температура сливаемого теплоносителя и исходной воды, подаваемой на источник теплоснабжения в период слива, °C.

11.1.4. При запланированном проведении эксплуатационных испытаний и других регламентных работ должны быть определены затраты тепловой энергии с этой составляющей затрат теплоносителя по формулам, аналогичным формуле (11).

11.2. Определение нормативных технологических затрат и потерь тепловой энергии, обусловленных потерями и затратами теплоносителя - пара.

11.2.1. Нормативные потери тепловой энергии, обусловленные потерями пара, Гкал, определяются по формуле:

где и - энтальпия пара при средних значениях давления и температуры по отдельным магистралям на источнике теплоснабжения и на границе эксплуатационной ответственности, а также исходной воды, ккал/кг.

11.2.2. Нормативные потери тепловой энергии, обусловленные потерями конденсата, Гкал, определяются по формуле:

где и - средние за период функционирования паровых сетей значения температуры конденсата и исходной воды на источнике теплоснабжения, °C.

11.2.3. Потери тепловой энергии, связанные с проведением эксплуатационных испытаний паропроводов и конденсатопроводов и (или) других регламентных работ, включая прогрев, продувку паропроводов, определяются по формулам, аналогичным формулам (12) и (13).

11.3. Определение нормативных технологических потерь тепловой энергии теплопередачей через теплоизоляционные конструкции трубопроводов водяных тепловых сетей.

11.3.1. Определение нормативных технологических потерь тепловой энергии теплопередачей через теплоизоляционные конструкции трубопроводов производится на базе значений часовых тепловых потерь при среднегодовых условиях эксплуатации тепловых сетей.

В отдельных случаях возникает необходимость вместо среднегодовых значений удельных часовых тепловых потерь определять среднесезонные значения, например, при работе сетей только в отопительный период при отсутствии горячего водоснабжения или при самостоятельных тепловых сетях горячего водоснабжения, осуществлении горячего водоснабжения по открытой схеме по одной трубе (без циркуляции). При этом температурные условия определяются как средневзвешенные за период по аналогии с алгоритмом, приведенным в пункте 11.1.1 настоящего порядка. (в ред. Приказа Минэнерго РФ от 10.08.2012 N 377)

Определение нормативных значений часовых потерь тепловой энергии производится в следующем порядке:

для всех участков тепловых сетей, на основе сведений о конструктивных особенностях теплопроводов (тип прокладки, год проектирования, наружный диаметр трубопроводов, длина участка) и норм тепловых потерь (теплового потока), указанных в таблицах приложений 1, 2, 3 и 4 к настоящему порядку, пересчетом табличных значений удельных норм на среднегодовые (среднесезонные) условия эксплуатации, определяются значения часовых тепловых потерь теплопередачей через теплоизоляционные конструкции трубопроводов, эксплуатируемых теплосетевой организацией; (в ред. Приказа Минэнерго РФ от 10.08.2012 N 377)

для участков тепловой сети, характерных для нее по типам прокладки и видам изоляционной конструкции и подвергавшимся испытаниям на тепловые потери, в качестве нормативных принимаются полученные при испытаниях значения фактических часовых тепловых потерь, пересчитанные на среднегодовые условия эксплуатации тепловой сети;

для участков тепловой сети, аналогичных подвергавшимся тепловым испытаниям по типам прокладки, видам теплоизоляционных конструкций и условиям эксплуатации, в качестве нормативных принимаются значения часовых тепловых потерь, определенные по соответствующим нормам тепловых потерь (теплового потока) с введением поправочных коэффициентов, определенных по результатам испытаний;

для участков тепловой сети, не имеющих аналогов среди участков, подвергавшихся тепловым испытаниям, а также вводимых в эксплуатацию после монтажа, реконструкции или капитального ремонта с изменением типа или конструкции прокладки и изоляционной конструкции трубопроводов, в качестве нормативных принимаются значения часовых тепловых потерь, определенные теплотехническим расчетом.

Значения нормативных часовых тепловых потерь в тепловой сети в целом при среднегодовых (среднесезонных) условиях эксплуатации определяются суммированием значений часовых тепловых потерь на отдельных участках.

11.3.2. Определение нормативных значений часовых тепловых потерь для среднегодовых (среднесезонных) условий эксплуатации трубопроводов тепловых сетей производится согласно значениям норм тепловых потерь (теплового потока), приведенным в таблицах приложений 1, 2, 3 и 4 к настоящему порядку, в соответствии с годом проектирования конкретных участков тепловых сетей. (в ред. Приказа Минэнерго РФ от 10.08.2012 N 377)

Значения нормативных удельных часовых тепловых потерь при среднегодовых (среднесезонных) условиях эксплуатации, отличающихся от значений, приведенных в соответствующих таблицах, ккал/мч, определяются линейной интерполяцией или экстраполяцией.

11.3.3. Определение нормативных значений часовых тепловых потерь для среднегодовых (среднесезонных) условий эксплуатации трубопроводов тепловых сетей производится в зависимости от года проектирования теплопроводов:

спроектированных с 1959 г. по 1989 г. включительно;

спроектированных с 1990 г. по 1997 г. включительно;

спроектированных с 1998 г. по 2003 г. включительно;

спроектированных с 2004 г.

Определение нормативных значений часовых тепловых потерь, Гкал/ч, для среднегодовых (среднесезонных) условий эксплуатации трубопроводов тепловых сетей производится по формуле:

где - удельные часовые тепловые потери трубопроводами каждого диаметра, определенные пересчетом табличных значений норм удельных часовых тепловых потерь на среднегодовые (среднесезонные) условия эксплуатации, ккал/чм;

L - длина участка трубопроводов тепловой сети, м;

Бета - коэффициент местных тепловых потерь, учитывающий тепловые потери запорной и другой арматурой, компенсаторами и опорами (принимается 1,2 при диаметре трубопроводов до 150 мм и 1,15 - при диаметре 150 мм и более, а также при всех диаметрах трубопроводов бесканальной прокладки, независимо от года проектирования).

11.3.4. Значения нормативных часовых тепловых потерь, Гкал/ч, участков трубопроводов тепловых сетей, аналогичных участкам трубопроводов, подвергавшихся испытаниям на тепловые потери, по типу прокладки, виду изоляционных конструкций и условиям эксплуатации, определяются для трубопроводов подземной и надземной прокладки отдельно по формуле, аналогичной формуле (8):

где - поправочный коэффициент для определения нормативных часовых тепловых потерь, полученный по результатам испытаний на тепловые потери.

11.3.5. Значения поправочного коэффициента k_и определяются по формуле:

где и - тепловые потери, определенные в результате испытаний на тепловые потери, пересчитанные на среднегодовые условия эксплуатации каждого испытанного участка трубопроводов тепловой сети, и потери, определенные по нормам для тех же участков, Гкал/ч.

Максимальные значения коэффициента k_и не должны быть больше значений, приведенных в таблице 5.1 приложения 5 к настоящему порядку. (в ред. Приказа Минэнерго РФ от 10.08.2012 N 377)

11.3.6. Значения тепловых потерь трубопроводами тепловых сетей за год, Гкал, определяются на основании значений часовых тепловых потерь при среднегодовых (среднесезонных) условиях эксплуатации.

11.4. Определение нормативных значений часовых тепловых потерь паропроводов для всех участков магистралей производится на основе сведений о конструктивных особенностях теплопроводов (тип прокладки, год проектирования, наружный диаметр трубопроводов, длина участка) и норм тепловых потерь (теплового потока), указанных в таблицах приложений 1, 2, 3 и 4 к настоящему порядку, пересчетом табличных значений удельных норм на средние параметры теплоносителя на каждом участке магистрали. (в ред. Приказа Минэнерго РФ от 10.08.2012 N 377)

Для определения средних параметров теплоносителя на i-м участке магистрали необходимо рассчитать конечные параметры теплоносителя i-го участка исходя из среднегодовых параметров (давление и температура) пара на источнике теплоснабжения и максимальных договорных расходов пара у каждого потребителя. Конечная температура () i-го участка магистрали определяется по формуле:

(17)

где - среднегодовая температура окружающей среды (наружный воздух - для надземной прокладки, грунт - для подземной), °C;

- температура пара в начале i-го участка, °C;

Бета - коэффициент местных тепловых потерь (принимается согласно пункту 11.3.3);

- суммарное термическое сопротивление i-го участка, (м x ч x °C)/ккал, определяется в соответствии с методическими указаниями по составлению энергетических характеристик для систем транспорта тепловой энергии;

- расход пара на i-м участке, т/ч;

- удельная изобарная теплоемкость пара при средних значениях давления и температуры (среднее значение температуры на 1-й итерации принимается равным = - 30 °C) на i-м участке, ккал /(кг x °C).

После вычисления уточняется удельная изобарная теплоемкость пара (при температуре = ( + )/2 и среднем давлении = ( + )/2) и расчет повторяется до получения разницы (тау - тау) <= 5 °C, где тау и тау - среднегодовые температуры в конце магистрали при n и (n + 1) расчете.

Конечное абсолютное давление пара i-го участка магистрали определяется по формуле:

(18)

где - абсолютное давление пара в начале i-го участка, кгс/см2;

- длина i-го участка паропровода, м;

- удельное линейное падение давления i-го участка, кг/м2·м;

- коэффициент местных потерь давления i-го участка.

Удельное линейное падение давления на i-м участке определяется по формуле:

(19)

где - плотность пара i-го участка паропровода, кг/м3;

- внутренний диаметр паропровода на i-м участке, м.

Коэффициент местных потерь давления i-го участка определяется по формуле:

(20)

где - сумма коэффициентов местных сопротивлений на i-м участке.

Результаты расчетов параметров пара сводятся в таблицу 6.6 Приложения 6.

11.4.1. Для паровых сетей в системах теплоснабжения от отопительных (производственно-отопительных) котельных с присоединенной тепловой нагрузкой (по пару) до 7 Гкал/ч ожидаемые средние значения давления пара и его температуры могут определяться по каждому паропроводу в целом по приведенным ниже формулам (21) и (22):

среднее давление пара в паропроводе, кгс/, определяется по формуле:

где и - давление пара в начале каждого паропровода и на границах эксплуатационной ответственности организации по периодам функционирования , ч, с относительно постоянными значениями давления, кгс/;

- продолжительность функционирования каждого паропровода в течение года, ч;

k - количество паропроводов паровой сети, шт.;

средняя температура пара , °C, определяется по формуле:

где и - температура пара в начале каждого паропровода и на границах эксплуатационной ответственности организации по периодам функционирования, °C.

Результаты расчета параметров пара сводятся в таблицу 6.6а приложения 6.

11.5. Определение нормативных значений часовых тепловых потерь для условий, средних за период эксплуатации конденсатопроводов, производится согласно значениям норм тепловых потерь (теплового потока), приведенным в таблицах приложений 1, 2, 3 и 4 к настоящему порядку, в соответствии с годом проектирования конкретных участков тепловых сетей. (в ред. Приказа Минэнерго РФ от 10.08.2012 N 377)

Значения нормативных удельных часовых тепловых потерь при условиях, средних за период эксплуатации, отличающихся от значений, приведенных в соответствующих таблицах, ккал/мч, определяются линейной интерполяцией или экстраполяцией.

11.6. Потери (затраты) тепловой энергии и теплоносителя, возникающие в технологическом оборудовании, зданиях и сооружениях тепловых сетей (ЦТП, насосных подстанциях, баках-аккумуляторах и других теплосетевых объектах), определяются в соответствии с порядком определения нормативов удельного расхода топлива при производстве тепловой и электрической энергии. (в ред. Приказа Минэнерго РФ от 10.08.2012 N 377)

12. Определение нормативных технологических затрат электрической энергии на передачу тепловой энергии.

12.1. Нормативные технологические затраты электрической энергии представляют собой затраты на привод насосного и другого оборудования, находящегося в ведении организации, осуществляющей передачу тепловой энергии, с учетом ее хозяйственных нужд (освещение и электродвигатели систем вентиляции помещений насосных станций и ЦТП, электроинструмент, электросварка, электродвигатели приспособлений и механизмов для текущего ремонта оборудования).

12.2. Нормативные технологические затраты электрической энергии определяются для следующего насосного и другого оборудования, находящегося в ведении организации, осуществляющей передачу тепловой энергии:

подкачивающие насосы на подающих и обратных трубопроводах тепловых сетей;

подмешивающие насосы в тепловых сетях;

дренажные насосы;

насосы зарядки-разрядки баков-аккумуляторов, находящихся в тепловых сетях;

циркуляционные насосы отопления и горячего водоснабжения, а также насосы подпитки II контура отопления в центральных тепловых пунктах;

электропривод запорно-регулирующей арматуры;

другое электротехническое оборудование в составе теплосетевых объектов, предназначенное для передачи тепловой энергии.

12.3. Затраты электрической энергии, кВт·ч, определяются раздельно по каждому виду насосного оборудования с последующим суммированием полученных значений.

Необходимая (потребная) мощность, кВт, на валу электродвигателя насоса вычисляется по формуле:

где - расчетный расход теплоносителя, перекачиваемого насосом, м3/ч, принимаемый в зависимости от назначения насоса;

- напор, м, развиваемый насосом при расчетном расходе теплоносителя;

- КПД насоса и трансмиссии, %;

ро - плотность теплоносителя при его средней температуре за каждый период работы насосного агрегата, кг/м3.

Расчетные расходы теплоносителя, перекачиваемого насосом, принимаются в соответствии с расчетными гидравлическими режимами функционирования тепловых сетей. Напор, развиваемый насосом при каждом расходе теплоносителя, определяется по характеристике конкретного насоса (паспортной или полученной в результате испытаний насоса). Значения КПД насосов эта_н определяются также по их характеристикам. КПД трансмиссии может быть принят 98%.

Затраты электроэнергии насосного агрегата, кВт·ч, определяются по формуле:

где - продолжительность функционирования насоса в каждый период, ч;

- КПД электродвигателя, %.

Значения КПД электродвигателей могут определяться по таблице 5.2 приложения 5 к настоящему порядку с учетом загрузки электродвигателей. (в ред. Приказа Минэнерго РФ от 10.08.2012 N 377)

12.4. Если насосная группа состоит из однотипных насосов, расход теплоносителя, перекачиваемого каждым насосом, определяется делением суммарного расчетного значения расхода теплоносителя на количество работающих насосов.

Если насосная группа состоит из насосов различных типов или рабочие колеса однотипных насосов имеют различные диаметры, для определения расхода теплоносителя, перекачиваемого каждым из насосов, необходимо построить результирующую характеристику совместно (параллельно) работающих насосов; с помощью этой характеристики определить расход теплоносителя, приходящийся на каждый из насосов.

12.5. В случае регулирования напора и производительности насосов изменением частоты вращения рабочих колес результирующая характеристика насосов, работающих параллельно, определяется по результатам гидравлического расчета тепловой сети. Значения расхода теплоносителя для каждого из работающих насосов и развиваемого напора позволяют определить требуемую частоту вращения рабочих колес:

где и - напор, развиваемый насосом при частоте вращения и , м;

и - расход теплоносителя при частоте вращения и , м3/ч;

и - частота вращения рабочих колес, мин(-1).

12.6. Мощность насосного агрегата, кВт, потребляемая на перекачку теплоносителя центробежными насосами, с учетом частоты вращения рабочих колес, измененной по сравнению с первоначальной частотой, определяется по формулам (21) и (21а) с подстановкой соответствующих значений расхода теплоносителя, перекачиваемого насосом, развиваемого при этом расходе напора, КПД насоса, КПД электродвигателя и КПД преобразователя частоты; последний - в знаменатель формулы.

12.7. Для определения нормативного значения затрат электрической энергии на привод циркуляционных или подкачивающих насосов горячего водоснабжения следует принимать для расчета среднюю часовую за неделю тепловую нагрузку горячего водоснабжения.

12.8. Нормативные значения затрат электрической энергии на привод подпиточных и циркуляционных насосов отопления, установленных в тепловой сети, эксплуатируемой организацией, осуществляющей передачу тепловой энергии, определяются по расходу теплоносителя, перекачиваемого этими насосами, зависящему от емкости трубопроводов отопительных контуров тепловой сети и систем отопления (подпиточные насосы) и тепловой нагрузки отопления при средней температуре наружного воздуха за отопительный период (циркуляционные насосы).

12.9. Нормативные значения затрат электрической энергии на привод подкачивающих и подмешивающих насосов, установленных в тепловой сети, эксплуатируемой организацией, осуществляющей передачу тепловой энергии, определяются по расходу теплоносителя, перекачиваемого этими насосами.

12.10. Расход теплоносителя и продолжительность функционирования насосов зарядки-разрядки баков-аккумуляторов, расположенных в тепловых сетях, эксплуатируемых организацией, осуществляющей передачу тепловой энергии, определяются режимами работы баков-аккумуляторов в зависимости от режимов водопотребления горячего водоснабжения.

12.11. Нормативные затраты электрической энергии на привод запорно-регулирующей арматуры и средств автоматического регулирования и защиты, кВт·ч, определяются в зависимости от мощности установленных электродвигателей, назначения, продолжительности работы соответствующего оборудования и КПД привода по формуле:

где m_пр - количество однотипных приводов электрифицированного оборудования;

- мощность установленных электроприводов, кВт;

- КПД электроприводов;

- продолжительность функционирования электроприводов каждого вида оборудования в год, ч;

k - количество групп электрооборудования.

12.12. В нормативные затраты электрической энергии при передаче тепловой энергии не включаются затраты электрической энергии на источниках теплоснабжения.

III. Определение нормативов технологических потерь при передаче тепловой энергии с использованием нормативных энергетических характеристик тепловых сетей

13. Энергетические характеристики работы водяных тепловых сетей каждой системы теплоснабжения разрабатываются по следующим показателям:

потери сетевой воды;

потери тепловой энергии;

удельный среднечасовой расход сетевой воды на единицу расчетной присоединенной тепловой нагрузки потребителей;

разность температур сетевой воды в подающих и обратных трубопроводах (или температура сетевой воды в обратных трубопроводах);

удельный расход электроэнергии на единицу отпущенной тепловой энергии от источника теплоснабжения (далее - удельный расход электроэнергии).

14. При разработке нормативов технологических потерь при передаче тепловой энергии используются технически обоснованные энергетические характеристики (потери сетевой воды, потери тепловой энергии, удельный расход электроэнергии).

Энергетическая характеристика тепловой сети по показателю "потери сетевой воды" устанавливает зависимость технически обоснованных потерь теплоносителя на транспорт и распределение от источника тепловой энергии до потребителей от характеристик и режима работы системы теплоснабжения. При расчете норматива технологических потерь теплоносителя используется значение энергетической характеристики по показателю "потери сетевой воды" только в части тепловых сетей, находящихся в эксплуатационной ответственности теплосетевой организации.

Энергетическая характеристика тепловой сети по показателю "тепловые потери" устанавливает зависимость технологических затрат тепловой энергии на ее транспорт и распределение от источника тепловой энергии до границы балансовой принадлежности тепловых сетей от температурного режима работы тепловых сетей и внешних климатических факторов при заданной схеме и конструктивных характеристиках тепловых сетей.

Гидравлическая энергетическая характеристика тепловой сети (энергетическая характеристика по показателю "удельный расход электроэнергии") устанавливает зависимость от температуры наружного воздуха в течение отопительного сезона отношения нормируемого часового среднесуточного расхода электроэнергии на транспорт и распределение тепловой энергии в тепловых сетях к нормируемому среднесуточному отпуску тепловой энергии от источников тепловой энергии.

15. К каждой энергетической характеристике прилагается пояснительная записка с перечнем необходимых исходных данных и краткой характеристикой системы теплоснабжения, отражающая результаты пересмотра (разработки) нормативной энергетической характеристики в виде таблиц и графиков. Каждый лист нормативных характеристик, содержащий графические зависимости показателей, подписывается руководителем организации, эксплуатирующей тепловые сети.

На титульном листе предусматриваются подписи должностных лиц организаций, указываются срок действия энергетических характеристик и количество сброшюрованных листов.

16. Срок действия энергетических характеристик устанавливается в зависимости от степени их проработки и достоверности исходных материалов, но не превышает пяти лет.

Внеочередной пересмотр характеристик осуществляется в соответствии с пунктом 17 настоящего порядка. (в ред. Приказа Минэнерго РФ от 10.08.2012 N 377)

17. Пересмотр энергетических характеристик (частичный или в полном объеме) производится:

при истечении срока действия нормативных характеристик;

при изменении нормативно-технических документов;

по результатам энергетического обследования тепловых сетей, если выявлены отступления от требований нормативных документов.

Кроме того, пересмотр энергетических характеристик тепловых сетей производится в связи с произошедшими изменениями приведенных ниже условий работы тепловой сети и системы теплоснабжения более пределов, указанных ниже:

по показателю "потери сетевой воды":

при изменении объемов трубопроводов тепловых сетей на 5%;

при изменении объемов внутренних систем теплопотребления на 5%;

по показателю "тепловые потери":

при изменении тепловых потерь по результатам очередных испытаний на 5% по сравнению с результатами предыдущих испытаний;

при изменении материальной характеристики тепловых сетей на 5%;

при изменении эксплуатационного температурного графика отпуска тепловой энергии;

по показателям "удельный среднечасовой расход сетевой воды на единицу присоединенной тепловой нагрузки потребителей" и "разность температур сетевой воды в подающих и обратных трубопроводах":

при изменении эксплуатационного температурного графика отпуска тепловой энергии;

при изменении суммарных договорных нагрузок на 5%;

при изменении тепловых потерь в тепловых сетях, требующих пересмотра соответствующей энергетической характеристики;

по показателю "удельный расход электроэнергии на транспорт и распределение тепловой энергии":

при изменении количества насосных станций или центральных тепловых пунктов (далее - ЦТП) в тепловой сети на балансе энергоснабжающей (теплосетевой) организации, в случае, если электрическая мощность электродвигателей насосов во вновь подключенных или снятых с баланса насосных станциях и ЦТП изменилась на 5% от суммарной нормируемой электрической мощности; то же относится к изменению производительности (или количества) насосов при неизменном количестве насосных станций и ЦТП;

при изменении эксплуатационного температурного графика отпуска тепловой энергии;

при изменении условий работы насосных станций и ЦТП (автоматизация, изменение диаметров рабочих колес насосных агрегатов, изменение расходов и напоров сетевой воды), если суммарная электрическая мощность электрооборудования изменяется на 5%.

При пересмотре энергетической характеристики по одному из показателей проводится корректировка энергетических характеристик по другим показателям, по которым в результате указанного пересмотра произошло изменение условий или исходных данных (если взаимосвязь между показателями обусловлена положениями методики разработки энергетических характеристик).

18. Использование показателей энергетических характеристик для расчета нормативов технологических потерь при передаче тепловой энергии, устанавливаемых на предстоящий период регулирования для водяных тепловых сетей с расчетной присоединенной тепловой нагрузкой потребителей тепловой энергии 50 Гкал/ч (58 МВт) и более, не допускается, если в предстоящий регулируемый период планируется отклонение от условий, принятых при разработке энергетических характеристик, более пределов, указанных в пункте 5 настоящего порядка. В этом случае расчет нормативов технологических потерь при передаче тепловой энергии осуществляется в соответствии с главой II настоящего порядка. (в ред. Приказа Минэнерго РФ от 10.08.2012 N 377)

19. Корректировка показателей технологических потерь при передаче тепловой энергии с расчетной присоединенной тепловой нагрузкой 50 Гкал/ч (58 МВт) и выше для периода регулирования осуществляется приведением утвержденных нормативных энергетических характеристик к прогнозируемым условиям периода регулирования согласно пунктам 20, 21 и 22 настоящего порядка. (в ред. Приказа Минэнерго РФ от 10.08.2012 N 377)

20. Расчет ожидаемых значений показателя "потери сетевой воды" в части тепловых сетей, находящихся в эксплуатационной ответственности теплосетевой организации, на период регулирования при планируемых изменениях объемов тепловых сетей в размерах, не превышающих указанных в пункте 17 настоящего порядка, ожидаемые значения показателя "потери сетевой воды" допускается определять по формуле: (в ред. Приказа Минэнерго РФ от 10.08.2012 N 377)

(26)

где G(план)_псв - ожидаемые годовые потери сетевой воды на период регулирования, м3;

G(норм)_псв - годовые потери сетевой воды в тепловых сетях, находящихся в эксплуатационной ответственности теплосетевой организации, в соответствии с энергетическими характеристиками, м3;

SUM V(план)_ср.г - ожидаемый суммарный среднегодовой объем тепловых сетей, м3;

SUM V(норм)_ср.г - суммарный среднегодовой объем тепловых сетей, находящихся в эксплуатационной ответственности теплосетевой организации, принятый при разработке энергетических характеристик, м3.

21. Расчет ожидаемых значений показателя "тепловые потери" на период регулирования при планируемых изменениях материальной характеристики тепловых сетей теплосетевой организации, а также среднегодовых значений температуры теплоносителя и окружающей среды (наружного воздуха или грунта при изменении глубины заложения теплопроводов) на предстоящий период регулирования в размерах, не превышающих указанных в пункте 5 настоящего порядка, рекомендуется производить раздельно по видам тепловых потерь (через теплоизоляционные конструкции и с потерями сетевой воды). При этом планируемые тепловые потери через теплоизоляционные конструкции трубопроводов тепловых сетей определяются раздельно для надземной и подземной прокладки. (в ред. Приказа Минэнерго РФ от 10.08.2012 N 377)

21.1. Расчет ожидаемых на период регулирования среднегодовых тепловых потерь через теплоизоляционные конструкции тепловых сетей осуществляется по формулам:

для участков подземной прокладки:

(27)

где Q(план)_тп.подз - ожидаемые на период регулирования среднегодовые тепловые потери через изоляцию по участкам подземной прокладки, Гкал/ч;

Q(норм)_тп.подз - нормативные (в соответствии с энергетическими характеристиками) среднегодовые тепловые потери через изоляцию по участкам подземной прокладки, Гкал/ч;

SUM M(план)_подз - ожидаемая на период регулирования суммарная материальная характеристика участков тепловых сетей подземной прокладки, м2;

SUM M(норм)_подзг - суммарная материальная характеристика участков тепловых сетей подземной прокладки на момент разработки энергетических характеристик, м2;

t(план)_п.ср.г, t(план)_о.ср.г, t(план)_гр.ср.г - ожидаемые на период регулирования среднегодовые температуры сетевой воды в подающих и обратных трубопроводах и грунта на средней глубине заложения теплопроводов, °C;

t(норм)_п.ср.г, t(норм)_о.ср.г, t(норм)_о.ср.г - среднегодовые температуры сетевой воды в подающих и обратных трубопроводах и грунта на средней глубине заложения теплопроводов, принятые при разработке энергетических характеристик, °C;

для участков надземной прокладки:

(раздельно по подающим и обратным трубопроводам)

(28)

где Q(план)_тп.надз - ожидаемые на период регулирования среднегодовые тепловые потери через изоляцию по участкам надземной прокладки суммарно по подающим и обратным трубопроводам, Гкал/ч;

Q(норм)_тп.надз - нормативные (в соответствии с энергетическими характеристиками) среднегодовые тепловые потери через изоляцию по участкам надземной прокладки суммарно по подающим и обратным трубопроводам, Гкал/ч;

SUM M(план)_надз - ожидаемая на период регулирования суммарная материальная характеристика участков тепловых сетей надземной прокладки, м2;

SUM M(норм)_надз - суммарная материальная характеристика участков тепловых сетей надземной прокладки на момент разработки энергетической характеристики, м2;

t(план)_н.в.ср.г - ожидаемая на период регулирования среднегодовая температура наружного воздуха, °C;

t(норм)_н.в.ср.г - среднегодовая температура наружного воздуха, принятая при составлении энергетических характеристик, °C.

21.2. Расчет ожидаемых на период регулирования среднегодовых тепловых потерь с потерями сетевой воды осуществляется по формуле:

(29)

где Q(план)_тп.псв - ожидаемые на период регулирования среднегодовые тепловые потери с потерями сетевой воды, Гкал/ч;

C - удельная теплоемкость сетевой воды, принимаемая равной 1 ккал/кг °C;

ро_ср - среднегодовая плотность воды, определяемая при среднем значении ожидаемых в период регулирования среднегодовых температур сетевой воды в подающих и обратных трубопроводах, кг/м3;

G(план)_тп.псв - ожидаемые на период регулирования годовые потери сетевой воды в тепловых сетях, эксплуатируемых теплосетевой организацией; определяются по формуле (26), м3;

n_год.раб - ожидаемая на период регулирования продолжительность работы тепловой сети в году, ч;

t(план)_x.ср.г - ожидаемая на период регулирования среднегодовая температура холодной воды, поступающей на источник теплоты для подготовки и использования в качестве подпитки тепловой сети, °C.

21.3. Ожидаемые на период регулирования суммарные среднегодовые тепловые потери Q(план)_тп, Гкал/ч, определяются по формуле:

(30)

22. Расчет ожидаемых на период регулирования значений показателя "удельный расход электроэнергии".

При планируемых на период регулирования изменениях влияющих факторов, предусмотренных пунктом 17 настоящего порядка, ожидаемые значения показателя "удельный расход электроэнергии" определяются для каждой из характерных температур наружного воздуха, принятых при разработке энергетических характеристик. С целью упрощения расчетов допускается определение планируемого на период регулирования удельного расхода электроэнергии только при температуре наружного воздуха, соответствующей точке излома утвержденного температурного графика. В этом случае значения планируемого показателя "удельный расход электроэнергии" при других характерных температурах наружного воздуха строятся на нормативном графике параллельно линии изменения нормативного показателя на одинаковом расстоянии, соответствующем расстоянию между значениями нормативного и ожидаемого удельного расхода электроэнергии в точке излома. (в ред. Приказа Минэнерго РФ от 10.08.2012 N 377)

Значение планируемого на период регулирования удельного расхода электроэнергии в точке излома температурного графика Э(план)_и, кВт·ч/Гкал, определяется по формуле:

(33)

где:

W(план)_тс - ожидаемая на период регулирования суммарная электрическая мощность, используемая при транспорте и распределении тепловой энергии, при температуре наружного воздуха, соответствующей излому температурного графика, кВт.

Для расчета суммарной электрической мощности всех электродвигателей насосов различного назначения, участвующих в транспорте и распределении тепловой энергии, рекомендуется использовать формулы, приведенные в действующих методиках по составлению энергетических характеристик для систем транспорта тепловой энергии и определения нормативных значений показателей функционирования водяных тепловых сетей, а также главы II настоящего порядка, с подстановкой в них планируемых на период регулирования значений расходов и соответствующих напоров сетевой воды, а также коэффициентов полезного действия насосов и электродвигателей. (в ред. Приказа Минэнерго РФ от 10.08.2012 N 377)

IV. Структура и состав документации по расчетам и обоснованию нормативов технологических потерь при передаче тепловой энергии

23. В состав документации по нормативам технологических потерь при передаче тепловой энергии входят:

общие сведения об энергоснабжающей (теплосетевой) организации, составленные согласно образцу, приведенному в Приложении 7 к настоящему порядку; (в ред. Приказа Минэнерго РФ от 10.08.2012 N 377)

общая характеристика систем теплоснабжения, составленная согласно образцу, приведенному в Приложении 8 к настоящему порядку; (в ред. Приказа Минэнерго РФ от 10.08.2012 N 377)

общая характеристика систем транспорта и распределения тепловой энергии (тепловых сетей), составленная согласно образцу, приведенному в Приложении 9 к настоящему порядку; (в ред. Приказа Минэнерго РФ от 10.08.2012 N 377)

исходные данные для расчета нормативов технологических потерь, составленные согласно образцу, приведенному в Приложении 6 к настоящему порядку; (в ред. Приказа Минэнерго РФ от 10.08.2012 N 377)

энергетические характеристики тепловых сетей для систем централизованного теплоснабжения с присоединенной тепловой нагрузкой 50 Гкал/ч (58 МВт) и более;

результаты энергетических обследований тепловых сетей, энергетический паспорт тепловой сети, содержащий топливно-энергетический баланс и перечень мероприятий, направленных на сокращение затрат энергоресурсов при передаче тепловой энергии (энергосберегающих мероприятий, мероприятий по сокращению резерва тепловой экономичности);

результаты расчета нормативов технологических потерь при передаче тепловой энергии, составленные согласно образцу, приведенному в Приложении 10 к настоящему порядку; (в ред. Приказа Минэнерго РФ от 10.08.2012 N 377)

фактические затраты энергоресурсов за периоды, предшествующие регулируемому, составленные согласно образцу, приведенному в приложении 10 к настоящему порядку; (в ред. Приказа Минэнерго РФ от 10.08.2012 N 377)

результаты расчетов гидравлических режимов работы систем теплоснабжения для обоснования нормативных расходов теплоносителей;

перечень предложений (мероприятий) по повышению энергетической эффективности работы систем транспорта тепловой энергии, составленный согласно образцу, приведенному в Приложении 11 к настоящему порядку; (в ред. Приказа Минэнерго РФ от 10.08.2012 N 377)

план разработки нормативных энергетических характеристик тепловых сетей.

24. Рекомендации по оформлению документации по нормативам технологических потерь при передаче тепловой энергии.

24.1. Документация по нормативам технологических потерь при передаче тепловой энергии оформляется в соответствии с требованиями настоящего порядка и брошюруется в отдельные тома (книги), как правило, по каждой системе централизованного теплоснабжения, населенному пункту или в целом по энергоснабжающей (теплосетевой) организации. При этом под понятием "система централизованного теплоснабжения" в настоящем порядке понимается совокупность одного или нескольких источников тепловой энергии, объединенных единой тепловой сетью, предназначенной для теплоснабжения потребителей тепловой энергией, которая функционирует с определенным видом теплоносителя (пар-конденсат по параметрам, горячая вода), гидравлически изолированная от других систем, для которой устанавливается единый тепловой и материальный баланс.

24.2. В отдельную, как правило, последнюю книгу (том) брошюруются:

общие сведения об энергоснабжающей (теплосетевой) организации, составленные согласно образцу, приведенному в Приложение 7 к настоящему порядку; (в ред. Приказа Минэнерго РФ от 10.08.2012 N 377)

общая характеристика систем теплоснабжения, составленная согласно образцу, приведенному в Приложении 8 к настоящему порядку; (в ред. Приказа Минэнерго РФ от 10.08.2012 N 377)

общая характеристика систем транспорта и распределения тепловой энергии (тепловых сетей), составленная согласно образцу, приведенному в Приложении 9 к настоящему порядку; (в ред. Приказа Минэнерго РФ от 10.08.2012 N 377)

результаты расчета нормативов технологических потерь при передаче тепловой энергии, составленные согласно образцу, приведенному в Приложении 10 к настоящему порядку; (в ред. Приказа Минэнерго РФ от 10.08.2012 N 377)

динамика нормируемых показателей за год, предшествующий базовому, за базовый год, на текущий и регулируемый годы по образцам, приведенным в приложении 5 настоящему порядку; (в ред. Приказа Минэнерго РФ от 10.08.2012 N 377)

фактические затраты энергоресурсов за периоды, предшествующие регулируемому (прогнозируемому) периоду, составленные согласно образцу, приведенному в Приложении 10 к настоящему порядку; (в ред. Приказа Минэнерго РФ от 10.08.2012 N 377)

перечень предложений (мероприятий) по повышению энергетической эффективности работы систем транспорта тепловой энергии, составленный согласно образцу, приведенному в Приложении 11 к настоящему порядку. (в ред. Приказа Минэнерго РФ от 10.08.2012 N 377)

24.3. Каждая книга (том) оформляется титульным листом согласно образцу, приведенному в Приложении 12 к настоящему порядку. Титульные листы каждой книги (тома) подписываются руководителями (техническими руководителями) энергоснабжающей организации, эксплуатирующей тепловые сети соответствующей системы теплоснабжения (населенного пункта). (в ред. Приказа Минэнерго РФ от 10.08.2012 N 377)

25. Рекомендации по оформлению результатов расчетов и обоснованию нормативов технологических потерь приведены в Приложении 13 к настоящему порядку. (в ред. Приказа Минэнерго РФ от 10.08.2012 N 377)

Приложение 1
к порядку определения нормативов
технологических потерь при
передаче тепловой энергии,
теплоносителя
(в ред. Приказа Минэнерго
РФ от 10.08.2012 N 377)

НОРМЫ
ТЕПЛОВЫХ ПОТЕРЬ (ПЛОТНОСТИ ТЕПЛОВОГО ПОТОКА) ТЕПЛОПРОВОДАМИ, СПРОЕКТИРОВАННЫМИ В ПЕРИОД С 1959 Г. ПО 1989 Г. ВКЛЮЧИТЕЛЬНО

(в ред. Приказа Минэнерго РФ от 10.08.2012 N 377)

Таблица 1.1

Нормы тепловых потерь трубопроводов внутри помещений с расчетной температурой воздуха = +25 °C

Условный диаметр, мм Температура теплоносителя, °C
50 75 100 125 150 200 250 300 350 400 450
Тепловые потери, ккал/чм
25 12 20 28 35 43 58 74 90 105 120 136
40 13 22 31 40 49 65 84 102 119 136 154
50 14 23 32 43 53 70 90 108 127 145 165
65 15 26 37 49 58 78 99 120 141 162 183
80 16 27 39 52 62 82 105 126 149 170 193
100 22 34 45 57 68 90 113 137 160 182 205
125 27 40 53 65 76 101 126 152 176 201 226
150 31 45 60 72 84 112 140 166 192 220 247
175 35 50 66 80 93 124 153 182 212 242 273
200 38 52 70 85 100 132 165 196 227 260 290
250 42 59 78 95 111 146 183 218 253 289 323
300 45 65 85 104 122 160 200 240 278 317 355
350 50 70 92 112 131 175 218 260 300 344 385
400 53 75 98 120 140 190 235 280 322 370 415
450 60 83 109 133 155 205 253 303 349 400 448
500 66 90 120 145 170 220 270 325 375 430 480
600 82 110 140 170 195 253 310 370 425 485 540
700 95 125 160 190 220 280 340 405 470 530 590
800 110 145 180 220 250 315 380 445 515 580 645
900 135 165 205 240 275 345 415 480 555 625 695
1000 150 190 225 265 300 370 450 525 600 670 745
1400 210 260 300 350 400 500 585 680 780 870 970

Таблица 1.2

Нормы тепловых потерь изолированными теплопроводами на открытом воздухе с расчетной температурой наружного воздуха = +5 °C

Условный диаметр, мм Разность температуры теплоносителя и наружного воздуха, °C
45 70 95 120 145 195 245 295 345 395 445
Тепловые потери, ккал/чм
25 15 23 31 38 46 62 77 93 108 124 140
40 18 27 36 45 53 72 90 108 125 144 162
50 21 30 40 49 58 78 96 115 134 153 173
65 25 35 45 55 66 86 108 128 148 170 190
80 28 38 50 60 71 93 114 136 158 180 202
100 31 43 55 67 77 101 125 148 172 195 218
125 35 48 60 74 85 111 136 162 188 212 239
150 38 50 65 80 94 120 148 175 205 230 260
175 42 58 73 88 103 130 162 192 223 250 280
200 46 60 78 95 110 140 175 208 240 270 302
250 53 70 87 107 125 160 198 233 268 305 340
300 60 80 100 120 140 180 220 260 300 340 380
350 71 93 114 135 156 199 240 283 326 370 410
400 82 105 128 150 173 218 260 306 352 398 440
450 89 113 136 160 185 235 280 330 375 420 470
500 95 120 145 170 196 245 300 350 400 450 500
600 104 133 160 190 218 275 330 385 440 500 555
700 115 145 176 206 238 297 358 420 480 542 602
800 135 168 200 233 266 330 398 464 535 600 665
900 155 190 225 260 296 370 440 515 585 655 725
1000 180 220 255 292 330 407 485 565 640 720 793
1400 230 280 325 380 430 532 630 740 840 940 1040

Таблица 1.3

Нормы тепловых потерь изолированными водяными теплопроводами в непроходных каналах и при бесканальной прокладке с расчетной температурой грунта = +5 °C на глубине заложения теплопроводов

Условный диаметр, мм Нормы тепловых потерь трубопроводами, ккал/чм
обратным трубопроводом при разности температур теплоносителя и грунта 45 °C ( = 50 °C) 2-трубной прокладки при разности температур теплоносителя и грунта 52,5 °C ( = 65 °C) 2-трубной прокладки при разности температур теплоносителя и грунта 65 °C ( = 90 °C) 2-трубной прокладки при разности температур теплоносителя и грунта 75 °C ( = 110 °C)
25 20 45 52 58
50 25 56 65 72
70 29 64 74 82
80 31 69 80 88
100 34 76 88 96
150 42 94 107 117
200 51 113 130 142
250 60 132 150 163
300 68 149 168 183
350 76 164 <*> 183 202
400 82 180 <*> 203 219
450 91 198 <*> 223 241
500 101 216 <*> 243 261
600 114 246 <*> 277 298
700 125 272 <*> 306 327
800 141 304 <*> 341 364
900 155 333 <*> 373 399
1000 170 366 <*> 410 436
1200 200 429 482 508
1400 228 488 554 580

Примечания:

1) отмеченные <*> значения норм тепловых потерь приведены как оценочные в силу отсутствия в Нормах соответствующих значений удельных часовых тепловых потерь подающим трубопроводом отмеченных диаметров;

2) значения удельных часовых тепловых потерь трубопроводами диаметром 1200 и 1400 мм в связи с отсутствием в Нормах определены экстраполяцией и приведены как рекомендуемые.

Таблица 1.4

Нормы тепловых потерь изолированными паропроводами и конденсатопроводами в непроходных каналах при расчетной температуре грунта = +5 °C на глубине заложения теплопроводов

Конденсатопровод Паропровод Суммарные тепловые потери при 2-трубной прокладке конденсатопровода и паропровода ( = 150 °C), ккал/чм Паропровод Суммарные тепловые потери при 2-трубной прокладке конденсатопровода и паропровода ( = 200 °C), ккал/чм
температура конденсата = 70°C температура пара = 150 °C температура пара = 200 °C
условный диаметр, мм тепловые потери, ккал/чм условный диаметр, мм тепловые потери, ккал/чм условный диаметр, мм тепловые потери, ккал/чм
20 21 25 49 70 25 61 82
25 27 50 61 88 50 75 102
50 33 65 68 101 65 84 117
50 33 80 73 106 80 90 123
50 33 100 80 113 100 98 131
80 41 150 96 137 150 116 157
100 45 200 115 160 200 139 184
100 45 250 131 176 250 158 203
100 45 300 146 191 300 175 220
150 55 350 158 213 350 188 243
150 55 400 182 237 400 202 277
200 67 450 184 251 450 217 284
200 67 500 199 266 500 226 293
250 77 600 223 300 600 262 339
300 83 700 239 322 700 287 370

Таблица 1.4а

Нормы тепловых потерь изолированными паропроводами и конденсатопроводами в непроходных каналах при расчетной температуре грунта = +5 °C на глубине заложения теплопроводов

Паропровод Конденсатопровод Суммарные тепловые потери при 2-трубной прокладке, ккал/чм
температура пара = 250 °C температура конденсата = 70 °C
условный диаметр, мм тепловые потери, ккал/чм условный диаметр, мм тепловые потери, ккал/чм
25 73 20 21 98
50 89 25 27 116
65 99 50 33 132
80 105 50 33 138
100 115 50 33 148
150 136 80 41 177
200 170 100 45 215
250 182 100 45 227
300 202 100 45 247
350 217 150 55 272
400 233 150 55 288
450 251 200 67 318
500 270 200 67 337
600 302 250 77 379
700 326 300 88 414

Таблица 1.4б

Нормы тепловых потерь изолированными паропроводами и конденсатопроводами в непроходных каналах при расчетной температуре грунта = +5 °C на глубине заложения теплопроводов

Паропровод Конденсатопровод Суммарные тепловые потери при 2-трубной прокладке, ккал/чм
температура пара = 300 °C температура конденсата = 120 °C
условный диаметр, мм тепловые потери, ккал/чм условный диаметр, мм тепловые потери, ккал/чм
100 130 50 51 181
150 154 65 58 212
200 183 100 67 250
250 206 100 67 273
300 227 150 81 308
350 244 150 81 325
400 260 200 98 358
450 277 200 98 375
500 295 250 110 405
600 332 250 110 442
700 360 300 124 484

Таблица 1.4в

Нормы тепловых потерь изолированными паропроводами и конденсатопроводами в непроходных каналах при расчетной температуре грунта = +5 °C на глубине заложения теплопроводов

Паропровод Конденсатопровод Суммарные тепловые потери при 2-трубной прокладке, ккал/чм
температура пара = 400 °C температура конденсата = 120 °C
условный диаметр, мм тепловые потери, ккал/чм условный диаметр, мм тепловые потери, ккал/чм
100 160 50 51 211
150 188 65 58 246
200 221 100 67 288
250 254 100 67 321
300 279 150 81 360
350 299 150 81 380
400 316 200 98 414

Приложение 2
к порядку определения нормативов
технологических потерь при
передаче тепловой энергии,
теплоносителя
(в ред. Приказа Минэнерго
РФ от 10.08.2012 N 377)

НОРМЫ
ТЕПЛОВЫХ ПОТЕРЬ (ПЛОТНОСТИ ТЕПЛОВОГО ПОТОКА) ТЕПЛОПРОВОДАМИ, СПРОЕКТИРОВАННЫМИ В ПЕРИОД С 1990 Г. ПО 1997 Г. ВКЛЮЧИТЕЛЬНО

(в ред. Приказа Минэнерго РФ от 10.08.2012 N 377)

Таблица 2.1

Нормы тепловых потерь трубопроводов, расположенных на открытом воздухе

Условный диаметр, мм Продолжительность эксплуатации до 5000 ч/год включительно Продолжительность эксплуатации более 5000 ч/год  
Температура теплоносителя, °C
  20 50 100 150 200 250 300 350 400 450 20 50 100 150 200 250 300 350 400 450
Нормы плотности теплового потока, ккал/чм
25 5 13 24 36 49 63 77 93 109 128 4 11 22 32 45 57 71 85 101 118
40 7 15 28 42 57 74 90 108 128 149 6 13 25 38 51 66 82 99 117 136
50 8 16 31 46 61 78 97 116 137 158 6 15 27 40 55 71 88 106 125 144
65 9 20 35 52 70 89 109 131 153 178 8 16 31 46 62 80 98 118 139 161
80 9 22 39 57 75 96 118 140 164 190 9 18 34 50 66 85 105 126 148 172
100 11 24 43 63 83 106 129 153 179 207 9 21 37 55 73 94 115 138 161 186
125 13 28 48 70 92 120 144 172 200 231 10 23 42 60 80 105 128 153 179 206
150 15 30 54 77 101 132 159 188 220 253 12 26 46 66 88 115 141 167 194 224
200 19 38 66 94 122 158 190 225 261 298 15 32 56 80 105 137 167 196 229 262
250 22 44 76 108 138 178 213 252 289 331 18 37 65 91 119 154 185 218 253 290
300 26 51 87 120 156 199 239 279 322 366 22 42 72 101 133 170 206 241 279 318
350 30 57 96 133 172 219 262 305 352 401 24 47 80 113 146 187 224 263 304 347
400 33 63 105 146 187 237 285 332 380 432 26 52 88 122 159 203 243 284 327 372
450 35 69 114 157 200 256 304 354 405 460 28 56 94 131 169 217 259 302 347 396
500 39 76 123 169 216 277 326 380 435 493 31 61 102 143 181 233 277 323 371 422
600 46 86 142 194 248 314 372 429 490 554 36 71 117 162 206 263 312 363 415 471
700 52 98 158 215 274 347 409 473 538 608 41 79 130 180 227 290 343 398 455 515
800 58 110 176 239 304 384 452 520 592 667 46 89 144 183 251 319 377 436 498 562
900 65 121 194 263 334 419 494 568 644 725 51 97 158 218 274 348 410 474 540 610
1000 71 133 212 286 362 457 535 615 697 783 56 107 173 237 298 377 444 512 582 656
Криволинейные пов-ти диаметром более 1020 мм и плоские Нормы поверхностной плотности теплового потока, ккал/чм
22 38 61 76 93 114 131 142 163 180 16 30 46 60 73 90 103 116 129 142

Таблица 2.2

Нормы тепловых потерь трубопроводов, расположенных в помещении и тоннеле

Условный диаметр, мм Продолжительность эксплуатации до 5000 ч/год включительно Продолжительность эксплуатации более 5000 ч/год
Температура теплоносителя, °C
50 100 150 200 250 300 350 400 450 50 100 150 200 250 300 350 400 450
Нормы плотности теплового потока, ккал/чм
25 9 22 34 46 60 75 91 108 126 9 19 30 42 55 68 83 99 116
40 11 25 40 55 71 89 107 126 146 10 22 35 49 64 80 96 115 134
50 13 28 42 58 77 95 114 134 157 11 24 38 52 69 85 103 122 143
65 15 32 49 67 87 107 128 151 175 13 28 43 59 77 96 115 137 159
80 17 35 53 72 93 114 138 162 188 14 30 46 64 83 102 123 145 169
100 19 39 59 80 102 126 151 176 204 15 34 52 70 90 112 134 158 183
125 22 44 66 88 116 142 169 197 229 18 38 57 77 101 125 151 176 204
150 24 48 73 98 128 156 185 216 249 21 42 63 84 112 138 163 192 221
200 31 60 89 118 154 186 220 257 294 25 51 76 101 133 163 194 224 259
250 36 70 101 133 173 208 247 286 328 29 58 86 114 150 181 214 249 286
300 41 79 114 150 194 232 274 316 362 34 66 96 128 166 200 237 274 315
350 46 89 126 166 213 257 301 347 397 38 73 107 141 182 220 259 299 342
400 52 97 139 181 231 279 326 375 427 41 80 116 153 198 237 279 322 368
450 55 105 149 194 250 298 348 400 455 45 87 125 163 211 253 297 342 391
500 61 114 162 209 270 321 374 429 487 49 94 134 176 227 272 318 366 417
600 70 131 185 238 307 364 423 483 548 58 108 154 200 256 306 357 410 466
700 78 146 206 266 339 402 465 531 601 64 120 171 220 282 336 392 449 509
800 88 163 228 294 375 443 513 584 660 72 133 189 243 311 370 429 491 556
900 98 180 251 323 411 484 559 636 718 80 146 207 266 340 402 467 533 604
1000 108 197 273 351 446 525 605 688 777 88 160 225 288 368 435 504 574 652
Криволинейные поверхности диаметром более 1020 мм и плоские Нормы поверхностной плотности теплового потока, ккал/чм2
31 54,2 73,1 90,3 114 130 146 162 180 24,9 43 58,5 71,4 89,4 102 115 128 142

Примечание: при расположении трубопроводов в тоннеле к нормам тепловых потерь, приведенным в данной таблице, необходимо вводить коэффициент 0,85.

Таблица 2.3

Нормы тепловых потерь трубопроводов водяной тепловой сети при бесканальной прокладке

Условный диаметр, мм Нормы плотности теплового потока, ккал/чм
продолжительность эксплуатации до 5000 ч/год включительно продолжительность эксплуатации более 5000 ч/год
трубопровод
подающий обратный подающий обратный подающий обратный подающий обратный
Температура теплоносителя, °C
65 50 90 50 65 50 90 50
25 31 23 41 22 28 22 38 21
50 38 29 52 28 34 27 46 25
65 43 33 58 31 39 29 52 28
80 44 34 59 32 40 30 52 29
100 47 36 64 34 42 33 56 30
125 52 40 70 38 46 35 62 34
150 59 45 78 42 52 40 69 37
200 66 51 87 46 57 43 77 41
250 71 54 95 51 62 47 83 44
300 78 59 105 55 68 51 90 48
350 87 65 114 59 74 56 97 52
400 93 69 120 63 78 58 104 54
450 100 74 130 67 83 62 111 58
500 106 78 140 71 90 67 119 62
600 120 89 160 81 101 75 134 69
700 134 96 175 86 108 80 146 74
800 145 105 194 94 120 88 160 80

Примечание: при применении в качестве теплоизоляционного слоя пенополиуретана, фенольного поропласта и полимербетона значения норм тепловых потерь для трубопроводов следует определять с коэффициентом , приведенным в таблице 2.3а:

Таблица 2.3а

Материал теплоизоляционного слоя Условный диаметр трубопроводов, мм
25 - 65 80 - 150 200 - 300 350 - 500
Коэффициент
пенополиуретан, фенольный поропласт ФЛ 0,5 0,6 0,7 0,8
полимербетон 0,7 0,8 0,9 1,0

Таблица 2.4

Нормы тепловых потерь паропроводов и конденсатопроводов при их совместной прокладке в непроходных каналах

Условный диаметр, мм Нормы плотности теплового потока, ккал/чм
пар конд пар конд пар конд пар конд пар конд пар конд
паропровод конденсатопровод Расчетная температура теплоносителя, °C
115 100 150 100 200 100 250 100 300 100 350 100
25 25 24 19 31 19 42 19 52 19 66 19 82 19
30 25 25 19 33 19 45 19 56 19 71 19 86 19
40 25 27 19 34 19 46 19 60 19 76 19 90 19
50 25 29 19 37 19 53 19 66 19 82 19 97 19
65 30 33 22 44 22 60 22 73 22 90 21 107 21
80 40 38 23 47 23 64 22 77 22 95 22 112 22
100 40 40 23 51 23 68 22 83 22 101 22 120 22
125 50 45 25 55 25 74 24 90 24 110 24 130 24
150 70 48 28 59 28 80 27 97 27 119 27 146 27
200 80 56 30 70 30 92 29 112 29 135 29 158 29
250 100 63 33 77 33 102 32 123 32 151 32 177 32
300 125 69 35 86 34 114 34 137 34 164 34 192 34
350 150 76 40 93 39 122 39 147 38 176 38 206 38
400 180 81 44 99 43 131 43 157 42 188 42 219 42
450 200 87 46 107 46 138 46 167 46 200 45 231 45
500 250 93 52 114 52 147 51 178 51 213 51 247 51
600 300 104 58 126 57 164 57 196 56 234 56 269 55
700 300 113 58 137 57 177 57 210 56 250 55 289 54
800 300 122 58 148 57 191 57 227 56 - - - -

Таблица 2.5

Нормы тепловых потерь трубопроводов водяных тепловых сетей в непроходных каналах

Условный диаметр, мм Нормы плотности теплового потока, ккал/чм
продолжительность эксплуатации до 5000 ч/год включительно продолжительность эксплуатации более 5000 ч/год
трубопровод
подающий обратный подающий обратный подающий обратный подающий обратный подающий обратный подающий обратный
Температура теплоносителя, °C
65 50 90 50 110 50 65 50 90 50 110 50
25 15 10 22 9 27 9 14 9 20 9 24 8
30 16 11 23 10 28 9 15 10 21 9 26 9
40 18 12 25 11 31 10 15 11 22 10 28 9
50 19 13 28 12 34 11 17 12 24 11 30 10
65 23 16 33 14 40 12 20 14 29 13 34 11
80 25 17 35 15 44 13 22 15 31 14 38 12
100 28 19 40 16 49 15 24 16 35 15 41 13
125 29 20 42 17 52 15 27 18 36 15 43 14
150 33 22 46 19 56 16 28 19 38 16 47 15
200 41 27 57 22 71 20 34 23 46 19 58 18
250 46 30 65 25 80 22 39 26 55 22 66 20
300 53 34 75 28 89 24 43 28 60 24 72 22
350 58 38 80 29 101 25 47 32 65 26 81 22
400 65 40 94 32 106 26 50 33 71 28 87 24
450 66 42 96 34 116 28 58 37 80 31 92 25
500 76 46 108 37 144 28 58 38 84 33 101 28
600 84 50 120 39 147 30 68 43 94 35 114 29
700 92 54 140 40 159 33 77 47 108 37 130 32
800 112 62 156 41 183 36 86 52 120 39 140 34
900 119 65 163 49 201 38 91 57 130 46 160 37
1000 131 67 171 51 214 42 101 61 136 49 165 40
1200 159 74 221 57 258 46 124 68 159 55 197 45
1400 175 77 244 59 277 50 131 71 181 58 217 48

Приложение 3
к порядку определения нормативов
технологических потерь при
передаче тепловой энергии,
теплоносителя
(в ред. Приказа Минэнерго
РФ от 10.08.2012 N 377)

НОРМЫ
ТЕПЛОВЫХ ПОТЕРЬ (ПЛОТНОСТИ ТЕПЛОВОГО ПОТОКА) ТЕПЛОПРОВОДАМИ, СПРОЕКТИРОВАННЫМИ В ПЕРИОД С 1998 Г. ПО 2003 Г. ВКЛЮЧИТЕЛЬНО

(в ред. Приказа Минэнерго РФ от 10.08.2012 N 377)

Таблица 3.1

Нормы тепловых потерь трубопроводов, расположенных на открытом воздухе

Условный диаметр, мм Продолжительность эксплуатации до 5000 ч/год включительно Продолжительность эксплуатации более 5000 ч/год
Разность температур теплоносителя и наружного воздуха, °C
15 45 95 145 195 245 295 345 395 445 15 45 95 145 195 245 295 345 395 445
Нормы плотности теплового потока, ккал/чм
25 4 10 20 29 40 55 64 77 89 105 3 9 17 26 36 46 57 69 82 95
40 6 13 23 34 46 61 74 89 105 122 4 10 21 31 41 53 66 80 95 110
50 6 14 26 38 50 65 80 95 112 130 5 12 22 33 45 57 71 86 101 117
65 7 16 29 43 58 73 89 108 126 146 6 13 25 38 50 65 79 95 113 131
80 8 18 32 46 61 79 96 115 135 156 7 15 28 40 53 69 85 102 120 139
100 9 20 35 52 69 87 106 125 147 170 8 16 30 45 59 76 94 112 131 151
125 10 22 40 57 76 98 119 141 164 190 9 19 34 49 65 85 104 124 145 167
150 13 25 45 63 83 108 131 155 181 207 9 21 38 53 71 94 114 135 157 181
200 15 31 54 77 101 130 156 185 214 244 13 26 46 65 85 111 135 159 186 212
250 18 36 62 89 114 146 175 206 237 272 15 30 52 74 96 125 150 177 205 235
300 22 41 71 99 128 163 196 229 264 300 17 34 58 83 108 138 167 195 225 258
350 25 46 79 109 141 180 215 250 288 329 20 39 65 91 119 152 181 213 246 280
400 27 52 86 120 153 194 233 273 311 354 21 42 71 99 129 164 196 230 265 302
450 29 57 93 128 164 210 249 291 332 378 23 46 76 106 138 175 210 244 281 321
500 32 62 101 139 177 227 267 311 357 404 25 50 83 116 147 189 224 262 300 342
600 38 71 116 159 203 257 304 352 402 454 29 57 95 131 167 213 253 294 336 382
700 42 81 130 176 225 285 335 388 441 499 34 65 105 145 184 235 278 323 369 417
800 47 90 144 196 249 316 371 427 485 547 37 71 116 148 204 259 305 353 403 456
900 53 100 159 216 273 343 405 465 528 594 41 79 128 176 222 282 332 384 438 494
1000 58 109 175 235 297 374 439 504 571 642 46 87 140 192 241 305 359 415 471 531
Криволинейные пов-ти диаметром более 1020 мм и плоские Нормы поверхностной плотности теплового потока, ккал/чм2
18 31 50 62 77 94 108 116 134 147 4 24 38 49 59 73 83 94 105 115

Таблица 3.2

Нормы тепловых потерь трубопроводов, расположенных в помещении и тоннеле

Условный диаметр, мм Продолжительность эксплуатации до 5000 ч/год включительно Продолжительность эксплуатации более 5000 ч/год
Температура теплоносителя, °C
50 100 150 200 250 300 350 400 450 50 100 150 200 250 300 350 400 450
Нормы плотности теплового потока, ккал/чм
25 8 17 27 37 48 60 73 86 101 7 15 24 34 44 54 67 79 93
40 9 20 32 44 57 71 85 101 117 9 18 28 40 51 64 77 92 108
50 10 22 34 46 61 76 91 108 126 9 19 30 42 55 68 83 98 114
65 12 26 40 53 70 85 102 121 140 10 22 34 47 62 77 92 109 127
80 14 28 43 58 74 91 110 129 151 11 24 37 51 67 82 98 116 136
100 15 31 47 64 82 101 120 141 163 12 27 41 56 72 89 108 126 146
125 17 35 53 71 93 114 135 157 183 15 30 46 62 81 100 120 141 163
150 19 39 58 78 102 125 148 173 200 16 34 50 67 89 110 131 154 177
200 25 48 71 95 123 149 176 206 236 20 40 60 81 107 130 155 180 207
250 29 56 81 107 138 167 198 229 262 23 46 69 91 120 145 171 199 229
300 33 64 91 120 155 186 219 253 290 27 53 77 102 132 160 189 219 252
350 36 71 101 132 170 206 241 278 316 30 58 85 113 146 176 207 239 273
400 41 77 112 144 185 223 261 300 341 33 64 93 122 158 190 223 257 294
450 44 84 119 155 200 239 279 320 364 36 70 100 131 169 202 237 273 313
500 49 91 129 167 216 256 299 343 390 40 75 108 141 181 218 255 293 334
600 56 105 148 191 246 291 339 387 439 46 86 123 160 205 245 286 329 373
700 63 117 164 212 271 322 372 425 481 51 95 137 176 225 269 314 359 408
800 71 131 182 236 300 354 410 467 528 58 107 151 194 249 296 343 393 445
900 78 144 201 258 329 387 447 509 574 64 117 166 212 272 322 374 427 483
1000 86 157 218 280 357 421 484 550 621 71 128 181 246 294 348 402 459 521
Криволинейные поверхности диаметром более 1020 мм и плоские Нормы поверхностной плотности теплового потока, ккал/чм2
25 43 58 72 91 104 117 129 144 20 34 46 57 71 82 92 102 114

Примечание: при расположении трубопроводов в тоннеле к нормам тепловых потерь, приведенным в данной таблице, необходимо вводить коэффициент 0,85.

Таблица 3.3

Нормы тепловых потерь конденсатопроводов и паропроводов, проложенных совместно в непроходных каналах

Условный диаметр, мм Нормы плотности теплового потока, ккал/чм
пар конд пар конд пар конд пар конд пар конд пар конд
паропровод конденсатопровод Расчетная температура теплоносителя, °C
115 100 150 100 200 100 250 100 300 100 350 100
25 25 19 15 26 15 35 15 44 15 55 15 68 15
30 25 20 15 28 15 37 15 46 15 59 15 71 15
40 25 22 15 28 15 39 15 50 15 63 15 76 15
50 25 23 15 31 15 45 15 55 15 68 15 82 15
65 30 27 18 37 18 50 18 61 18 76 17 89 17
80 40 30 20 40 20 53 20 70 19 84 19 101 18
100 40 33 20 42 20 57 20 70 19 84 19 101 18
125 50 36 21 46 21 62 21 76 20 92 20 108 20
150 70 39 23 50 23 67 23 81 22 99 22 122 22
200 80 45 23 58 25 77 25 93 24 113 24 132 24
250 100 50 27 65 27 85 27 102 27 126 27 148 27
300 125 55 28 71 28 95 28 114 28 137 28 160 28
350 150 60 33 77 33 101 33 123 32 147 32 172 32
400 180 65 36 83 36 109 36 132 35 157 35 183 35
450 200 70 38 89 38 115 38 139 38 166 37 193 37
500 250 74 43 95 43 123 43 149 42 178 42 206 41
600 300 83 47 106 47 137 47 163 46 195 46 224 46
700 300 90 47 114 47 148 47 175 46 209 46 241 46
800 300 98 47 123 47 159 47 189 46 - - - -

Таблица 3.4

Нормы тепловых потерь трубопроводов, проложенных в непроходных каналах и бесканально

Условный диаметр, мм Нормы плотности теплового потока, ккал/чм
Продолжительность эксплуатации до 5000 ч/год включительно Продолжительность эксплуатации более 5000 ч/год
трубопровод
подающий обратный подающий обратный подающий обратный подающий обратный подающий обратный подающий обратный
Температура теплоносителя, °C
65 50 90 50 110 50 65 50 90 50 110 50
25 13 9 19 9 22 9 12 8 17 8 21 7
30 14 9 20 9 24 9 13 9 17 9 22 8
40 15 10 22 10 27 9 14 9 19 9 23 9
50 16 11 24 11 29 10 15 10 21 10 26 9
65 20 14 28 12 34 11 17 11 25 11 29 10
80 22 15 30 13 37 12 18 12 27 12 32 11
100 24 16 34 14 41 14 21 14 30 13 35 12
125 25 17 36 15 45 15 22 15 33 14 37 13
150 28 20 40 16 47 16 23 16 36 15 40 14
200 35 22 47 19 61 17 28 20 42 16 50 15
250 40 26 56 22 68 18 33 22 46 18 57 17
300 46 29 64 23 76 21 37 24 52 21 61 18
350 50 32 68 25 84 22 40 27 55 22 69 19
400 56 34 75 28 90 22 43 28 60 24 74 21
450 60 36 82 28 99 23 46 31 68 27 78 22
500 65 40 92 31 112 24 50 32 72 28 86 23
600 71 42 102 33 125 26 58 36 80 30 96 27
700 78 46 120 35 135 28 65 40 92 32 110 27
800 91 52 129 39 156 31 73 44 102 33 120 29
900 101 55 139 41 171 32 77 48 110 37 129 32
1000 111 57 145 44 182 36 86 52 120 40 140 34
1200 135 63 187 47 219 40 98 58 136 46 163 38
1400 149 66 207 51 236 42 112 60 154 50 193 41

Приложение 4
к порядку определения нормативов
технологических потерь при
передаче тепловой энергии,
теплоносителя
(в ред. Приказа Минэнерго
РФ от 10.08.2012 N 377)

НОРМЫ
ТЕПЛОВЫХ ПОТЕРЬ (ПЛОТНОСТИ ТЕПЛОВОГО ПОТОКА) ТЕПЛОПРОВОДАМИ, СПРОЕКТИРОВАННЫМИ В ПЕРИОД С 2004 г.

(в ред. Приказа Минэнерго РФ от 10.08.2012 N 377)

Таблица 4.1

Нормы тепловых потерь трубопроводов, расположенных на открытом воздухе

Условный диаметр, мм Продолжительность эксплуатации до 5000 ч/год включительно Продолжительность эксплуатации более 5000 ч/год
Разность температур теплоносителя и наружного воздуха, °C
15 45 95 145 195 245 295 345 395 445 15 45 95 145 195 245 295 345 395 445
Нормы плотности теплового потока, ккал/чм
25 4 10 20 29 40 51 63 76 89 103 4 9 17 27 36 46 58 70 82 95
40 5 12 22 33,5 45 58 71 85 100 116 4 10 20 30 40 52 65 77 91 106
50 6 14 25 37 49 63 77 92 108 126 5 12 22 33 44 57 70 84 99 114
65 7 15 28 41 56 71 86 103 121 139 6 14 25 37 50 64 77 93 109 126
80 8 17 31 45 59 76 92 110 129 148 7 15 27 40 53 67 83 99 116 134
100 9 19 34 49 65 83 100 120 139 161 8 16 29 43 58 73 89 107 126 144
125 10 22 38 54 72 97 118 139 163 186 9 18 33 47 64 80 98 117 137 157
150 11 23 41 60 79 106 128 151 176 202 9 20 36 52 69 87 114 134 157 180
200 14 29 51 71 94 126 151 178 206 236 12 24 43 62 82 102 132 157 182 208
250 16 34 58 82 107 143 171 201 232 264 14 28 49 71 92 114 149 175 203 232
300 19 38 65 91 119 158 189 222 255 291 15 34 58 82 107 132 164 193 223 255
350 23 46 79 110 141 174 207 243 279 316 19 39 66 93 120 149 179 210 242 275
400 26 52 86 120 153 188 224 261 300 340 22 42 72 101 131 161 192 225 259 295
450 28 56 94 129 165 202 241 280 321 363 23 46 78 109 140 172 206 241 277 314
500 31 61 101 139 178 218 258 300 343 388 26 50 84 117 151 185 220 257 295 335
600 36 71 116 159 202 245 291 336 384 433 29 58 96 132 169 207 246 286 329 372
700 40 78 129 175 223 270 319 369 421 474 33 65 107 146 187 227 269 313 358 404
800 46 88 143 194 246 298 350 404 460 518 37 71 118 162 205 249 295 341 390 439
900 51 96 157 213 268 324 381 439 500 561 40 78 129 176 223 271 320 370 421 475
1000 55 106 171 231 292 351 412 475 538 604 45 86 140 191 242 292 344 398 453 509
1400 75 142 227 305 382 458 534 612 691 772 60 114 185 250 313 378 442 508 576 645
Криволинейные поверхности диаметром более 1400 мм и плоские Нормы поверхностной плотности теплового потока, ккал/чм2
16 30 46 60 73 85 96 108 121 136 13 23 35 46 57 66 77 86 95 115

Таблица 4.2

Нормы тепловых потерь трубопроводов, расположенных в помещении

Условный диаметр, мм Продолжительность эксплуатации до 5000 ч/год включительно Продолжительность эксплуатации более 5000 ч/год
Температура теплоносителя, °C
50 100 150 200 250 300 350 400 450 50 100 150 200 250 300 350 400 450
Нормы плотности теплового потока, ккал/чм
25 7 17 27 37 48 60 73 87 101 7 15 24 34 45 56 68 81 95
40 9 20 31 42 55 69 83 98 114 8 18 28 39 51 63 77 90 105
50 9 22 34 46 60 75 90 107 124 9 20 31 43 55 69 83 98 114
65 11 25 39 53 68 84 101 120 138 10 22 35 48 62 77 92 109 126
80 12 28 42 57 73 90 108 127 147 11 24 38 52 66 82 98 116 134
100 14 30 46 63 80 99 118 138 160 12 27 41 56 72 89 107 126 145
125 15 34 52 70 89 108 130 151 175 14 30 46 62 79 97 117 137 158
150 18 38 57 77 97 119 141 165 190 15 33 50 68 86 106 126 148 171
200 22 46 69 92 115 140 167 194 222 19 40 60 80 101 124 148 172 198
250 26 53 79 105 132 159 187 218 249 22 46 68 91 115 139 166 193 221
300 29 60 89 117 146 176 207 240 274 25 52 76 101 127 154 182 212 242
350 33 66 97 128 160 193 226 261 298 28 57 83 111 138 168 198 230 262
400 36 73 106 139 173 208 244 282 321 31 62 91 120 150 181 212 246 280
450 40 79 115 151 187 224 262 302 342 34 67 98 129 161 194 227 262 299
500 44 86 124 163 200 240 281 323 366 37 72 106 138 172 207 243 280 318
600 50 98 141 184 226 270 316 361 409 42 83 120 156 194 231 271 312 354
700 56 109 157 203 249 297 346 396 447 47 92 132 172 212 254 296 340 385
800 63 121 174 224 275 326 379 433 488 52 101 145 189 232 277 323 371 419
900 70 134 190 245 300 355 412 470 530 58 112 159 206 253 301 350 401 453
1000 77 146 207 266 325 384 445 507 570 64 121 173 223 273 324 377 431 486
1400 103 194 273 349 423 499 574 652 731 85 161 226 290 353 417 482 549 616
Криволинейные поверхности диаметром более 1400 мм и плоские Нормы поверхностной плотности теплового потока, ккал/чм2
22 40 54 67 79 90 102 114 125 20 35 48 59 71 81 91 101 112

Таблица 4.3

Нормы тепловых потерь трубопроводов водяных тепловых сетей при канальной прокладке

Условный диаметр, мм Нормы плотности теплового потока, ккал/чм
Продолжительность эксплуатации до 5000 ч/год включительно Продолжительность эксплуатации более 5000 ч/год
Температура теплоносителя, °C
65/50 90/50 110/50 65/50 90/50 110/50
25 18 22 27 16 21 24
32 21 25 28 18 22 26
40 22 27 30 19 24 28
50 25 29 34 22 26 30
65 28 34 39 25 30 34
80 30 36 41 27 32 37
100 34 40 46 29 34 40
125 38 46 52 34 40 45
150 42 51 57 36 43 49
200 52 61 70 45 52 60
250 61 71 81 52 61 69
300 70 81 90 58 68 77
350 77 90 101 65 76 85
400 84 99 110 70 83 93
450 92 108 120 77 89 101
500 101 118 131 83 97 109
600 115 134 150 95 111 125
700 130 151 167 106 124 138
800 144 168 186 118 138 152
900 160 186 206 130 151 169
1000 175 201 224 143 165 182
1200 206 238 262 168 194 215
1400 235 272 300 190 220 243

Таблица 4.4

Нормы тепловых потерь конденсатопроводов и паропроводов, расположенных совместно в непроходных каналах

Условный диаметр, мм пар конд пар конд пар конд пар конд пар конд пар конд
паропровод конденсатопровод Расчетная температура теплоносителя, °C
115 100 150 100 200 100 250 100 300 100 350 100
25 25 19 15 26 15 35 15 44 15 55 15 68 15
30 25 20 15 28 15 37 15 46 15 59 15 71 15
40 25 22 15 28 15 39 15 50 15 63 15 76 15
50 25 23 15 31 15 45 15 55 15 68 15 82 15
65 30 27 18 37 18 50 18 61 18 76 17 89 17
80 40 30 20 40 20 53 20 70 19 84 19 101 18
100 40 33 20 42 20 57 20 70 19 84 19 101 18
125 50 36 21 46 21 62 21 76 20 92 20 108 20
150 70 39 23 50 23 67 23 81 22 99 22 122 22
200 80 45 23 58 25 77 25 93 24 113 24 132 24
250 100 50 27 65 27 85 27 102 27 126 27 148 27
300 125 55 28 71 28 95 28 114 28 137 28 160 28
350 150 60 33 77 33 101 33 123 32 147 32 172 32
400 180 65 36 83 36 109 36 132 35 157 35 183 35
450 200 70 38 89 38 115 38 139 38 166 37 193 37
500 250 74 43 95 43 123 43 149 42 178 42 206 41
600 300 83 47 106 47 137 47 163 46 195 46 224 46
700 300 90 47 114 47 148 47 175 46 209 46 241 46
800 300 98 47 123 47 159 47 189 46 - - - -

Таблица 4.5

Нормы тепловых потерь трубопроводов водяных тепловых сетей, проложенных бесканально

Условный диаметр, мм Нормы плотности теплового потока, ккал/чм
Продолжительность эксплуатации до 5000 ч/год включительно Продолжительность эксплуатации более 5000 ч/год
Температура теплоносителя, °C
65/50 90/50 110/50 65/50 90/50 110/50
25 26 30 34 23 28 31
32 28 33 37 25 30 34
40 30 35 40 27 32 36
50 34 40 46 30 35 40
65 40 47 52 35 42 46
80 44 52 57 39 45 51
100 49 58 64 42 50 57
125 56 65 72 48 57 63
150 64 74 81 54 63 71
200 80 92 101 66 80 86
250 95 108 119 79 91 101
300 108 124 135 90 104 114
350 120 139 152 101 116 127
400 134 152 167 112 127 140
450 148 169 183 122 139 152
500 163 184 200 134 151 167
600 188 214 231 154 176 192
700 212 249 260 173 197 214
800 239 268 293 194 221 240
900 267 300 327 215 244 265
1000 293 336 356 237 268 291
1200 345 390 422 280 316 342
1400 402 450 488 323 366 396

Приложение 5
к порядку определения нормативов
технологических потерь при
передаче тепловой энергии,
теплоносителя
(в ред. Приказа Минэнерго
РФ от 10.08.2012 N 377)

(в ред. Приказов Минэнерго РФ от 01.02.2010 N 36, от 10.08.2012 N 377)

Таблица 5.1

ПОПРАВКИ К НОРМИРУЕМЫМ ТЕПЛОВЫМ ПОТЕРЯМ ТЕПЛОВЫХ СЕТЕЙ ЧЕРЕЗ ТЕПЛОИЗОЛЯЦИОННЫЕ КОНСТРУКЦИИ

Тип прокладки Соотношение подземной и надземной прокладок по материальной характеристике Значение среднегодовой поправки ДельтаК к значениям эксплуатационных тепловых потерь и предельное значение поправочного коэффициента K + ДельтаК при различных соотношениях среднечасовых эксплуатационных тепловых потерь и тепловых потерь, определенных по нормам Предельное значение поправочного коэффициента K + ДельтаК
от 0,6 до 0,8 вкл. св. 0,8 до 0,9 вкл. св. 0,9 до 1,0 вкл. св. 1,0 до 1,1 вкл. св. 1,1 до 1,2 вкл. св. 1,2 до 1,3 вкл. св. 1,3 до 1,4 вкл.
ДельтаК K + ДельтаК ДельтаК K + ДельтаК ДельтаК K + ДельтаК ДельтаК K + ДельтаК ДельтаК K + ДельтаК ДельтаК K + ДельтаК ДельтаК K + ДельтаК
Подземная 0,9 0,08 1,00 0,06 1,10 0,04 1,10 0,02 1,15 0,01 1,20 - - - - 1,20
Надземная 0,1 - - 0,16 1,30 0,14 1,40 0,12 1,50 0,11 1,60 0,10 1,70 0,08 1,70 1,70
Подземная 0,8 0,10 1,00 0,07 1,10 0,05 1,20 0,03 1,20 0,02 1,25 0,01 1,30 - - 1,30
Надземная 0,2 - - 0,15 1,30 0,13 1,30 0,12 1,40 0,10 1,50 0,10 1,60 0,07 1,70 1,70
Подземная 0,6 0,12 1,00 0,10 1,10 0,08 1,20 0,05 1,25 0,03 1,30 0,02 1,35 - - 1,35
Надземная 0,4 - - 0,12 1,20 0,11 1,30 0,10 1,40 0,08 1,40 0,05 1,50 0,04 1,60 1,60
Подземная 0,4 0,14 1,10 0,12 1,20 0,10 1,30 0,08 1,30 0,06 1,35 0,04 1,40 - - 1,40
Надземная 0,6 - - 0,10 1,15 0,08 1,20 0,06 1,30 0,05 1,30 0,03 1,40 0,02 1,50 1,50
Подземная 0,3 0,15 1,10 0,13 1,20 0,11 1,30 0,09 1,30 0,08 1,40 0,05 1,40 0,04 1,40 1,40
Надземная 0,7 - - 0,09 1,15 0,07 1,20 0,05 1,30 0,03 1,30 0,02 1,40 0,01 1,40 1,40
Подземная 0,2 0,16 1,20 0,14 1,20 0,12 1,40 0,11 1,40 0,09 1,40 0,06 1,40 0,05 1,40 1,40
Надземная 0,8 - - 0,08 1,15 0,05 1,20 0,03 1,30 0,02 1,30 0,01 1,40 0,01 1,40 1,40

Таблица 5.2

Зависимость КПД асинхронных электродвигателей от степени их загрузки

Коэффициент полезного действия, %
Паспортная мощность, кВт Число оборотов электродвигателя 1500 Число оборотов электродвигателя 3000
степень загрузки % степень загрузки %
20 40 50 60 70 80 100 20 40 50 60 70 80 100
250 и более 53 62,5 72 85,7 95,1 95,2 95 54 63,5 84 90,7 96,1 96,2 96
160 51 60,5 70 83,65 93,09 93,17 93 52 61,5 82 88,65 94,09 94,17 94
120 49,86 59,36 68,86 82,49 91,92 92,02 91,86 50,86 60,36 80,86 87,49 92,92 93,02 92,86
90 49 58,5 68 81,62 91,04 91,15 91 50 59,5 80 86,62 92,04 92,15 92
70 47,86 57,36 66,86 80,26 89,94 90 89,86 48,86 58,36 78,86 85,26 90,94 91 90,86
55 47 56,5 66 79,24 89,11 89,14 89 48 57,5 78 84,24 90,11 90,14 90
45 46,20 55,70 65,20 78,43 88,31 88,33 88,20 47,20 56,70 77,20 83,43 89,31 89,33 89,20
30 45 54,5 64 77,21 87,1 87,12 87 46 55,5 76 82,21 88,1 88,12 88
20 44 53,50 63 76,20 86,09 86,11 86 45 54,50 75 81,20 87,09 87,11 87
10 43 52,5 62 75,18 85,07 85,09 85 44 53,5 74 80,18 86,07 86,09 86
5 42 51,5 61 74,16 84,04 84,06 84 43 52,5 73 79,16 85,04 85,06 85
2 40 49,5 59 72,11 82,02 82,04 82 41 50,5 71 77,11 83,02 83,04 83

Таблица 5.3

ПОТЕРИ И ЗАТРАТЫ ТЕПЛОНОСИТЕЛЕЙ

(в ред. Приказа Минэнерго РФ от 01.02.2010 N 36)

Наименование системы централизованного теплоснабжения населенного пункта <*> Предшествующий базовому период Базовый период Утвержденный период Период регулирования
норматив, м3 (т) отчет, (т), в т.ч. факт. по приборам учета норматив, (т) отчет, (т), в т.ч. факт. по приборам учета норматив, (т) % к среднегод. объему тепл. сети (расчетно) норматив, м3 (т) % к среднегод. объему тепл. сети (расчетно) к утв. периоду гр. 15 : гр. 10
значение <**> N и дата приказа Министерства энергетики учтено РЭК в тарифах значение N и дата приказа Министерства энергетики учтено РЭК в тарифах значение N и дата приказа Министерства энергетики учтено РЭК в тарифах предл. орг. предл. эксп. орг.
(в ред. Приказа Минэнерго РФ от 01.02.2010 N 36)
1 2 3 4 5 6 7 8 9 10 11 12 13 14 15 16 17
Теплоноситель - вода (м3)
                               
Теплоноситель - пар (т)
                        ---     ---  
Теплоноситель - конденсат (м3)
                                 

<*> При предложении об утверждении нормативов, дифференцированных по системам централизованного теплоснабжения, данные приводятся по организации в целом и по каждой системе.

<**> При отсутствии утвержденного норматива в Министерстве энергетики необходимо указать расчетное значение норматива, предложенного для включения в тариф (в этом случае графы 3, 7 и 11 не заполняются).

Таблица 5.4

ПОТЕРИ ТЕПЛОВОЙ ЭНЕРГИИ

(в ред. Приказа Минэнерго РФ от 01.02.2010 N 36)

Наименование системы централизованного теплоснабжения населенного пункта Предшествующий базовому период Базовый период Утвержденный период Период регулирования
норматив, тыс. Гкал отчет, тыс. Гкал, в т.ч. факт. по приборам учета отпуск тепловой энергии в сеть, тыс. Гкал % к отпуску (гр. 2 : гр. 6) норматив, тыс. Гкал отчет, тыс. Гкал, в т.ч. факт. по приборам учета отпуск тепловой энергии в сеть, тыс. Гкал % к отпуску (гр. 8 : гр. 12) норматив, тыс. Гкал отпуск тепловой энергии в сеть, тыс. Гкал % к отпуску (гр. 14 : гр. 17) норматив, тыс. Гкал отпуск тепловой энергии в сеть, тыс. Гкал % к отпуску (гр. 20 : гр. 21) к утв. периоду гр. 20 : гр. 14
значение N и дата приказа Министерства энергетики учтено РЭК в тарифах значение N и дата приказа Министерства энергетики учтено РЭК в тарифах значение N и дата приказа Министерства энергетики учтено РЭК в тарифах предл. орг. предл. эксп. орг.
(в ред. Приказа Минэнерго РФ от 01.02.2010 N 36)
         
1 2 3 4 5 6 7 8 9 10 11 12 13 14 15 16 17 18 19 20 21 22 23
Теплоноситель - вода
                                             
Теплоноситель - пар
                                             
Теплоноситель - конденсат
                                             

Таблица 5.5

РАСХОД ЭЛЕКТРОЭНЕРГИИ

(в ред. Приказа Минэнерго РФ от 01.02.2010 N 36)

Наименование системы централизованного теплоснабжения населенного пункта Предшествующий базовому период Базовый период Утвержденный период Период регулирования
норматив, тыс. кВт·ч отчет, тыс. кВт·ч, в т.ч. факт. по приборам учета норматив, тыс. кВт·ч отчет, тыс. кВт·ч, в т.ч. факт. по приборам учета норматив, тыс. кВт·ч норматив, тыс. кВт·ч к утв. периоду гр. 14 : гр. 10
значение N и дата приказа Министерства энергетики учтено РЭК в тарифах значение N и дата приказа Министерства энергетики учтено РЭК в тарифах значение N и дата приказа Министерства энергетики учтено РЭК в тарифах предл. орг. предл. эксп. орг.
(в ред. Приказа Минэнерго РФ от 01.02.2010 N 36)
1 2 3 4 5 6 7 8 9 10 11 12 13 14 15
                             
                             

Приложение 6
к порядку определения нормативов
технологических потерь при
передаче тепловой энергии,
теплоносителя
(в ред. Приказа Минэнерго
РФ от 10.08.2012 N 377)

(образец)

ИСХОДНЫЕ ДАННЫЕ ДЛЯ РАСЧЕТА НОРМАТИВОВ ТЕХНОЛОГИЧЕСКИХ ПОТЕРЬ

(в ред. Приказа Минэнерго РФ от 10.08.2012 N 377)

6.1. Утвержденные нормативные энергетические характеристики (на электронном и бумажном носителях) по показателям: "потери сетевой воды", "тепловые потери", "удельный расход сетевой воды", "разность температур сетевой воды в подающем и обратном трубопроводах (температура в обратном трубопроводе)" и "удельный расход электроэнергии" с указанием срока действия.

6.2. В случае если в качестве материалов, обосновывающих нормативы технологических потерь на регулируемый период, используются утвержденные нормативные энергетические характеристики или утвержденные нормативы технологических потерь на год, предшествующий регулируемому периоду, то прогнозируемые значения влияющих показателей предоставляются в сопоставлении с аналогичными показателями, принятыми соответственно при разработке нормативных энергетических характеристик или нормативов технологических потерь. В данном случае необходимо заполнить таблицу 6.1.

Таблица 6.1

Сопоставление условий, принятых при разработке энергетических характеристик (нормативов технологических потерь на год, предшествующий регулируемому периоду) и при разработке нормативов технологических потерь на регулируемый период

Условия работы тепловых сетей Принятые при разработке энергетических характеристик или нормативов Прогнозируемые на период регулирования Изменение или % изменения величины
1 2 3 4
Объем трубопроводов тепловых сетей,      
Материальная характеристика трубопроводов тепловых сетей,      
Эксплуатационный температурный график      
Суммарная установленная мощность электродвигателей насосов, кВт      

6.3. Характеристика трубопроводов тепловой сети по участкам, эксплуатируемых теплосетевой организацией, раздельно для сетей до ЦТП и после ЦТП (см. таблицы 6.2, 6.3, 6.4) на период регулирования. Для тепловых сетей после ЦТП - раздельно для сетей отопления и вентиляции и сетей горячего водоснабжения. Для паровых сетей: местные сопротивления по участкам, суммарное термическое сопротивление по участкам (см. примерную таблицу 6.5), а также параметры пара на каждом i-м участке магистрали, определенные исходя из среднегодовых параметров пара на источнике теплоснабжения и максимальных договорных расходах пара у каждого потребителя (см. примерную таблицу 6.6).

6.4. Объем, м3, трубопроводов тепловых сетей, эксплуатируемых теплосетевой организацией (раздельно для неотопительного и отопительного периодов), в рассматриваемой системе теплоснабжения, согласно таблице 6.7, на период регулирования.

Таблица 6.2

Пример заполнения таблицы исходных данных по характеристике водяных тепловых сетей на балансе до ЦТП

Наименование участка Наружный диаметр трубопроводов на участке , м Длина участка (в двухтрубном исчислении) L, м Теплоизоляционный материал Тип прокладки Год ввода в эксплуатацию (перекладки) Средняя глубина заложения до оси трубопроводов на участке H, м Температурный график работы тепловой сети с указанием температуры срезки, °C Поправочный коэффициент к нормам тепловых потерь, K Часовые тепловые потери, ккал/ч
1 2 3 4 5 6 7 8 9 10
НО-1-НО-24 0,920 3409 Маты минераловатные марки 125 надземная 1968 - 150/70 1,1  
(tср = 130)
НО-24-НО-38 0,426 1027 Армопенобетон надземная 1993 - 150/70 1,1  
(tср = 130)
НО-38-НО-52 0,219 2514 Пенополиуретан канальная 2000 1,6 150/70 1,0  
(tср = 130)
ТК-2-ТК-31 0,273 512 Маты минераловатные канальная 1971 1,6 150/70 1,1  
(tср = 130)
ТК-31-ТК-46 0,530 1006 Армопенобетон бесканальная 1995 2,3 150/70 1,1  
(tср = 130)
ТК-46-ТК-64 0,720 783 Пенополиуретан бесканальная 2001 2,7 150/70 1,0  
(tср = 130)
ТК-18-ТК-22 0,325 102 Пенополиуретан бесканальная 1975 1,4 150/70 1,0  
(tср = 130)
ТК-145-ТК-17 0,426 998 Пенополиуретан бесканальная 1994 3,1 150/70 1,0  
(tср = 130)

Таблица 6.3

Пример заполнения таблицы исходных данных по характеристике водяных тепловых сетей после ЦТП на балансе организации

Наименование участка Наружный диаметр трубопроводов на участке , м Длина трубопровода (в двухтрубном исчислении) L, м Теплоизоляционный материал Тип прокладки Год ввода в эксплуатацию (перекладки) Средняя глубина заложения оси в трубопроводе H, м Назначение тепловой сети Температурный график работы тепловой сети Поправочный коэффициент к нормам тепловых потерь, K Часовые тепловые потери, ккал/ч
1 2 3 4 5 6 7 8 9 10 11
Четырехтрубная прокладка
Т1-Т2 0,150 200 Маты минераловат. Канальная 1968 2,0 Сеть отопления (вентиляции) 95/70    
Т1-Т2 0,100 200 Маты минераловат. Канальная 1968 2,0 Сеть ГВС 70/40    
Двухтрубная прокладка
Т20-Т21 0,100 50 Пенополиуретан В помещении 2001   Сеть отопления (вентиляции) 95/70    

Таблица 6.4

Пример заполнения таблицы исходных данных по характеристике паровых тепловых сетей на балансе

Наименование участка Теплоизоляционный материал Тип прокладки <1> Наружный диаметр участка паропровода D_н, м Толщина стенки, м Длина участка паропровода L, м Толщина теплоизоляционного слоя, м Внутренние размеры канала Год ввода в эксплуатацию (перекладки) Средняя глубина заложения оси трубопроводов H, м Поправочный коэффициент к нормам тепловых потерь, K Часовые тепловые потери, ккал/ч
ширина канала b, м высота канала h, м
1 2 3 4 5 6 7 8 9 10 11 12 13
НО-1-НО-2 Маты минераловатные марки 125 надземная 0,920 XXX 3409 XXX XXX XXX 1968 - 1,1  
НО-2-НО-3 Армопенобетон надземная 0,426 XXX 1027 XXX XXX XXX 1993 - 1,1  
НО-3-ТК-1 Пенополиуретан канальная 0,219 XXX 2514 XXX XXX XXX 2000 1,6 1,0  
ТК-1 - Потребитель 1 Маты минераловатные канальная 0,273 XXX 512 XXX XXX XXX 1971 1,6 1,1  

<1> Для подземной прокладки указать вид грунта (песок, супесь, глина, суглинок, гравий, щебень) и степень его увлажнения (сухой, влажный, водонасыщенный).

Таблица 6.5

Пример таблицы исходных данных по местным сопротивлениям и суммарным термическим сопротивлениям паровых тепловых сетей на балансе

Участок Наименование участка Отвод 90° Отвод 30° Тройник на закрытый проход Задвижка Задвижка Сумма местных сопротивлений по участкам Суммарное термическое сопротивлениее по участкам
кол-во SUМЭкси кол-во кол-во кол-во SUМЭкси кол-во SUМЭпсилон кол-во SUМЭкси SUМЭкси R, (м x ч x °C) / ккал
  1 2 3 4 12 12 14 8 9 10 11 12 13
1 - 2 НО-1 НО-2                        
2 - 3 НО-2 НО-3                        
3 - 4 НО-3 ТК-1                        
4 - 5 ТК-1 Потребитель 1                        

В электронном документе нумерация граф таблицы соответствует официальному источнику.

Таблица 6.6

Параметры и расходы пара по участкам

Наименование участка Расход, т/ч Температура, °C Абсолютное давление, кгс/ Энтальпия, ккал/кг
в начале участка в конце участка средняя на участке в начале участка в конце участка среднее на участке в начале участка в конце участка
1 2 3 4 5 6 7 8 9 10
НО-1 НО-2                  
НО-2 НО-3                  

Таблица 6.6а

Параметры пара в паропроводе

Паропровод Температура, °C Абсолютное давление, кгс/см2 Энтальпия, ккал/кг
начало паропровода конец паропровода средняя на паропроводе начало паропровода конец паропровода среднее на паропроводе начало паропровода конец паропровода средняя на паропроводе
1 2 3 4 5 6 7 8 9 10
1                  

Таблица 6.7

Пример заполнения таблицы объема, м3, трубопроводов тепловых сетей на балансе организации

Сезон Температурные графики
150/70 130/70 95/70 70/40
Отопительный 2000 0 5000 4000
Неотопительный 2000 0 0 4000

Примечание: заполняется раздельно для каждого вида теплоносителя.

6.5. Прогнозные среднемесячные температуры, °C, как средние из соответствующих статистических значений по информации местной метеослужбы за последние 5 лет или в соответствии со строительными нормами и правилами по строительной климатологии и климатологическим справочникам:

- наружного воздуха,

- грунта на средней глубине заложения трубопроводов,

- в помещениях (при наличии прокладки трубопроводов в помещениях),

- холодной воды (раздельно для каждого источника теплоснабжения и для холодной воды, поступающей в систему ГВС из водоканала).

Пример предоставления данных в табличном виде приведен ниже (таблица 6.8).

Таблица 6.8

Среднемесячные, среднесезонные и среднегодовые температуры наружного воздуха, грунта, сетевой и холодной воды

Месяц Число часов работы Температура, °C
отопит. период летний период грунта на глубине 2,4 м наружного воздуха подающего тр-да обратного тр-да холодной воды
Январь 744   3,5 -7,5 82,5 50,7 1
Февраль 672   2,8 -7,8 82,9 50,9 1
Март 744   2,4 -3,2 76,9 46,8 1
Апрель 440 280 2,3 6,6 70,0 42,5 1,7
Май   744 5,0 11,7 70,0   10,32
Июнь   552 7,9 17,0 70,0   17,62
Июль   576 10,9 21,4 70,0   22,18
Август   576 12,7 17,9 70,0   21,26
Сентябрь   720 12,3 12,1 70,0   16,22
Октябрь 416 328 10,5 5,3 70,0 42,5 9,26
Ноябрь 720   7,8 -2,4 75,8 46,1 3,3
Декабрь 744   5,3 -8,7 84,1 51,7 1
Среднегодовые значения 4 480 3 776 6,8 4,5 74,6 47,9 8,2
Среднесезонные значения отопит. период 4,7 -3,6 78,4 47,9 2,2
неотопит. период 9,2 14,0 70,0   15,3

6.6. Прогнозная продолжительность отопительного и неотопительного периодов (таблица 6.8).

6.7. Утвержденный эксплуатационный температурный график отпуска тепловой энергии на базовый период и на период регулирования от каждого источника тепловой энергии, температурный график работы систем отопления (вентиляции) и ГВС после ЦТП в табличном или графическом виде. Режим отпуска тепловой энергии в неотопительном сезоне за базовый период и период регулирования (температуры сетевой воды в подающем и обратном трубопроводах).

6.8. Для паровых сетей: среднемесячные параметры (температура и давление) пара на источнике теплоснабжения, а также максимальные договорные расходы теплоносителя у каждого потребителя помесячно (таблица 6.9).

Таблица 6.9

Среднемесячные и среднегодовые температуры, давления и расходы пара

Месяцы Число часов работы Источник тепловой энергии Потребитель 1 Потребитель 2
отопит. период летний период температура, °C абсолютное давление теплоносителя, кгс/см2 расход, т/ч расход, т/ч
Январь            
Февраль            
Март            
Апрель            
Май            
Июнь            
Июль            
Август            
Сентябрь            
Октябрь            
Ноябрь            
Декабрь            
Среднегодовые значения            

6.9. Сведения по гидравлическим системам автоматического регулирования и защиты (САРЗ), предусматривающим слив теплоносителя, в системе теплоснабжения. Количество однотипных САРЗ, находящихся в работе, с указанием технически обоснованного расхода сетевой воды на слив для каждого из типов САРЗ и числа часов работы в году (таблица 6.10).

Таблица 6.10

Данные по средствам автоматики и защиты (САРЗ)

Тип САРЗ Количество, шт. Расход теплоносителя, м3/ч Место установки (под./ обр. тр-д) Продолжительность работы в течение года, ч Нормативные годовые потери и затраты теплоносителя, м3 (т)
1 2 3 4 5 6
           

6.10. Результаты испытаний на тепловые потери, проведенных в течение последних 5 лет; результаты определения тепловых потерь иными методами (указать какими) (отчеты на бумажных или электронных носителях).

6.11. Сведения по насосному оборудованию, осуществляющему передачу тепловой энергии и находящемуся на балансе организации (насосное и другое оборудование, установленное на источнике тепловой энергии, к теплосетевому оборудованию не относится). Указать назначение насосного оборудования (подкачивающие насосные станции на подающих и обратных трубопроводах тепловой сети, подмешивающие насосы на тепловой сети, дренажные насосы, насосы зарядки-разрядки районных баков аккумуляторов, насосы отопления и ГВС, насосы подпитки второго контура отопления центральных тепловых пунктов (ЦТП)), состав оборудования (марка, количество, мощность, число оборотов, фактические диаметры рабочих колес), наличие ЧРП.

Расчетные значения расходов через насосное оборудование, обоснованные результатами расчетов гидравлического режима тепловых сетей от всех источников теплоснабжения при характерных температурах наружного воздуха <1> на протяжении отопительного сезона и расчетные расходы теплоносителя в летний период согласно разработанному летнему режиму работы системы теплоснабжения.

<1> Характерные температуры наружного воздуха для определения нормативных затрат электроэнергии рекомендуется принимать следующим образом:

- средняя за отопительный период для закрытых и открытых (автоматизированных - оснащенных регуляторами температуры в системах ГВС) систем теплоснабжения;

- средние за период работы при водоразборе на ГВС из подающей/обратной линии в отопительный сезон (2 значения) для открытой неавтоматизированной системы.

Прогнозные на период регулирования данные по количеству часов использования и количеству работающих насосных агрегатов на каждой из насосных станций и ЦТП.

Данные предоставляются раздельно по системам теплоснабжения для каждого предприятия (филиала), эксплуатирующего тепловые сети энергоснабжающей организации. Пример предоставления данных приведен в таблице 6.11.

6.12. Наличие приводов запорно-регулирующей арматуры в тепловых сетях. Указать количество однотипных приводов электрифицированного оборудования, установленную мощность и КПД электроприводов, годовое число часов работы электроприводов каждого вида оборудования на период регулирования (таблица 6.12).

6.13. Фактические затраты электроэнергии за базовый и предшествующий базовому периоды (помесячно) по каждому ЦТП и насосной станции на балансе энергоснабжающей организации (таблица 6.13).

Таблица 6.11

Сведения по насосному оборудованию

Наименование населенного пункта  
Наименование системы теплоснабжения  
Наименование насосной станции (ЦТП). Назначение Продолжительность работы насосной станции (ЦТП) в период регулирования, ч (период работы) Марка насоса (место установки) Тип электродвигателя Параметры работы в период с характерной температурой наружного воздуха
характерная тем-ра наружного воздуха, °C число насосов, одновременно находящихся в работе, шт. диаметр рабочего колеса/ диаметр колеса после обрезки, мм нормативный расход теплоносителя через насосную станцию (ЦТП), т/ч подача насоса, напор насоса, м КПД насоса нормируемая мощность насосной станции (ЦТП), кВт число часов работы насосов, ч нормативные технологические затраты эл. энергии насосной станции (ЦТП), кВт·ч
1 2 3 4 5 6 7 8 9 10 11 12 13 14
                           
                           
                           

Примечание: заполняется раздельно по системам теплоснабжения для каждого предприятия (филиала ЭСО), эксплуатирующего тепловые сети энергоснабжающей организации

Таблица 6.12

Данные по приводам запорно-регулирующей арматуры

Тип (марка) приводов Количество, шт. Установленная мощность, кВт КПД, % Годовое число часов работы, ч Нормативные годовые затраты электроэнергии, кВт·ч
1 2 3 4 5 6
           

Таблица 6.13

Данные по фактическим затратам электроэнергии

Наименование насосной станции (ЦТП) Затраты электроэнергии, кВт·ч
ян. фев. март апр. май июнь июль авг. сент. окт. нояб. дек. год
1 2 3 4 5 6 7 8 9 10 11 12 13 14
                           

Приложение 7
к порядку определения нормативов
технологических потерь при
передаче тепловой энергии,
теплоносителя
(в ред. Приказа Минэнерго
РФ от 10.08.2012 N 377)

(образец)

ОБЩИЕ СВЕДЕНИЯ ОБ ЭНЕРГОСНАБЖАЮЩЕЙ (ТЕПЛОСЕТЕВОЙ) ОРГАНИЗАЦИИ

(в ред. Приказа Минэнерго РФ от 10.08.2012 N 377)

Наименование населенного пункта Наименование системы теплоснабжения Наименование источника теплоснабжения Установленная тепловая мощность источника Располагаемая тепловая мощность источника
в горячей воде, Гкал/ч в паре, т/ч в горячей воде, Гкал/ч в паре, т/ч
1 2 3 4 5 6 7
Населенный пункт 1 СЦТ-1 Собственные источники тепловой энергии:        
ТЭЦ-1        
ТЭЦ-2        
Источники тепловой энергии других ЭСО:        
ЭСО-1 (наименование)        
Котельная 1        
Котельная 2        
ЭСО-2 (наименование)        
Котельная 1        
СЦТ-2 Собственные источники тепловой энергии:        
ТЭЦ-3        
Источники тепловой энергии других ЭСО:        
ЭСО-3 (наименование)        
Котельная 1        
Всего по населенному пункту        
Населенный пункт 2 СЦТ-3 Собственные источники тепловой энергии:        
         
Всего по населенному пункту          
Всего по ЭСО (ТСО)          

Примечание: таблица заполняется для базового периода.

Приложение 8
к порядку определения нормативов
технологических потерь при
передаче тепловой энергии,
теплоносителя
(в ред. Приказа Минэнерго
РФ от 10.08.2012 N 377)

(образец)

(в ред. Приказа Минэнерго РФ от 10.08.2012 N 377)

Таблица 8.1

Общая характеристика систем теплоснабжения
Структура отпуска, потребления тепловой энергии

Наименование населенного пункта Наименование системы теплоснабжения Тип системы теплоснабжения <1> Тип теплоносителя, его параметры <2> Отпуск тепловой энергии в сеть, тыс. Гкал Отпуск тепловой энергии из сети (потребителям), тыс. Гкал
отчетный плановый отчетный плановый
предшествующий базовому периоду базовый <3> период предшествующий базовому периоду базовый период утвержденный <4> период период регулирования предшествующий базовому периоду базовый период предшествующий базовому периоду базовый период утвержденный период период регулирования
1 2 3 4 5 6 7 8 9 10 13 14 15 16 17 18
                               
                               
                               

В электронном документе нумерация граф таблицы соответствует официальному источнику.

Примечания:

<1> При открытой системе теплоснабжения и подключении местных систем ГВС как по зависимой, так и независимой схемам указать в суммарной нагрузке ГВС долю нагрузки ГВС тех потребителей, системы теплопотребления которых подключены по зависимой схеме.

<2> Тип теплоносителя: вода, пар, конденсат; для пара указать параметры (отборный; 1,2 - 2,5 кгс/см2; 2,5 - 7 кгс/см2; 7 - 13 кгс/см2; >13 кгс/см2; острый).

<3> Базовый период - период, предшествующий утвержденному (текущему).

<4> Утвержденный (текущий) период - текущий год, на который действуют принятые регулирующим органом нормативы технологических потерь, учтенные в тарифах на передачу тепловой энергии.

Таблица 8.2

Структура расчетной присоединенной тепловой нагрузки

Наименование системы теплоснабжения, населенного пункта Тип теплоносителя, его параметры <1> Присоединенная тепловая нагрузка к тепловой сети, Гкал/ч Суммарные нагрузки (отоп.-вент., ГВС (ср. нед), технология), Гкал/ч
предшествующий базовому периоду базовый период утвержденный период период регулирования
на отоп.вент. на ГВС (ср. нед) на ГВС (макс) на технологию на отоп.вент. на ГВС (ср. нед) на ГВС (макс) на технологию на отоп.вент. на ГВС (ср. нед) на ГВС (макс) на технологию на отоп.вент. на ГВС (ср. нед) на ГВС (макс) на технологию предшествующий базовому периоду базовый период утвержденный период период регулирования
1 2 3 4 5 6 7 8 9 10 11 12 13 14 15 16 17 18 19 20 21 22
                                           
                                           
                                           

Примечания:

<1> Тип теплоносителя: вода, пар, конденсат; для пара указать параметры (отборный; 1,2 - 2,5 кгс/см2; 2,5 - 7 кгс/см2; 7 - 13 кгс/см2; >13 кгс/см2; острый).

Приложение 9
к порядку определения нормативов
технологических потерь при
передаче тепловой энергии,
теплоносителя
(в ред. Приказа Минэнерго
РФ от 10.08.2012 N 377)

(образец)

Таблица 9.1

ОБЩАЯ ХАРАКТЕРИСТИКА СИСТЕМ ТРАНСПОРТА И РАСПРЕДЕЛЕНИЯ ТЕПЛОВОЙ ЭНЕРГИИ (ТЕПЛОВЫХ СЕТЕЙ)

(в ред. Приказа Минэнерго РФ от 10.08.2012 N 377)

Наименование системы теплоснабжения, населенного пункта Наименование предприятия (филиала ЭСО), эксплуатирующего тепловые сети Тип теплоносителя, его параметры <1> Протяженность трубопроводов тепловых сетей в однотрубном исчислении, м
предшествующий базовому периоду базовый период утвержденный период период регулирования
1 2 3 4 5 6 7
             
             
             
Средний (по материальной характеристике) наружный диаметр трубопроводов тепловых сетей, м Объем трубопроводов тепловых сетей, м3
предшествующий базовому периоду базовый период утвержденный период период регулирования предшествующий базовому периоду базовый период утвержденный период период регулирования
отопительный период летний период отопительный период летний период отопительный период летний период отопительный период летний период
8 9 10 11 12 13 14 15 16 17 18 19
                       
                       
                       
Количество насосных станций в эксплуатационной ответственности, шт. Количество ЦТП в эксплуатационной ответственности, шт.
предшествующий базовому периоду базовый период утвержденный период период регулирования предшествующий базовому периоду базовый период утвержденный период период регулирования
20 21 22 23 24 25 26 27
               
               
               

Примечание:

<1> Для пара указать параметры (отборный; 1,2 - 2,5 кгс/см2; 2,5 - 7 кгс/см2; 7 - 13 кгс/см2; >13 кгс/см2; острый).

Приложение 10
к порядку определения нормативов
технологических потерь при
передаче тепловой энергии,
теплоносителя
(в ред. Приказа Минэнерго
РФ от 10.08.2012 N 377)

(образец)

(в ред. Приказов Минэнерго РФ от 01.02.2010 N 36, от 10.08.2012 N 377)

Таблица 10.1

Нормативы технологических затрат и потерь при передаче тепловой энергии на регулируемый период

Наименование населенного пункта Наименование системы теплоснабжения Наименование предприятия (филиала ЭСО), эксплуатирующего тепловые сети Тип теплоносителя, его параметры <1> Годовые затраты и потери теплоносителя <2>, (т) Годовые затраты и потери тепловой энергии, Гкал Годовые затраты электроэнергии, кВт·ч
с утечкой технологические затраты всего через изоляцию с затратами теплоносителя всего
на пусковое заполнение на регламентные испытания со сливами САРЗ всего
1 2 3 4 5 6 7 8 9 10 11 12 13 14
                           
                           
                           

Примечание:

<1> Тип теплоносителя: горячая вода, пар, конденсат; для пара указать параметры (отборный; 1,2 - 2,5 кгс/см2; 2,5 - 7 кгс/; 7 - 13 кгс/; >13 кгс/; острый).

<2> Годовые потери теплоносителя "горячая вода" приводятся в , "пар" - в тоннах.

Таблица 10.2

Сводные данные по нормативам технологических затрат и потерь при передаче тепловой энергии

(в ред. Приказа Минэнерго РФ от 01.02.2010 N 36)

Наименование системы теплоснабжения, населенного пункта Тип теплоносителя, его параметры <1> Годовые затраты и потери теплоносителя <2>, м3 (т)
отчетные за период, в т.ч. факт. по приборам учет нормативные на период
предшествующий базовому базовый предшествующий базовому периоду базовый утвержденный (текущий) регулирования (всего)
с утечкой технологические затраты всего с утечкой технологические затраты всего с утечкой технологические затраты всего
(в ред. Приказа Минэнерго РФ от 01.02.2010 N 36)
1 2 3 4 5 6 7 8 9 10 11 12 13 14
                           
Годовые затраты и потери тепловой энергии, Гкал Годовые затраты электроэнергии, кВт·ч
отчетные за период, в т.ч. факт. по приборам учет нормативные на период отчетные за период, в т.ч. факт. по приборам учет нормативные на период
предшествующий базовому базовый предшествующий базовому периоду базовый утвержденный (текущий) регулирования (всего) предшествующий базовому базовый предшествующий базовому базовый утвержденный регулирования
через изоляцию с затратами теплоносителя всего через изоляцию с затратами теплоносителя всего через изоляцию с затратами теплоносителя всего
(в ред. Приказа Минэнерго РФ от 01.02.2010 N 36)
15 16 17 18 19 20 21 22 23 24 25 26 27 28 29 30 31 32
                                   

Примечание:

<1> Тип теплоносителя: горячая вода, пар, конденсат; для пара указать параметры (отборный; 1,2 - 2,5 кгс/см2; 2,5 - 7 кгс/см2; 7 - 13 кгс/см2; > 13 кгс/см2; острый).

<2> Годовые потери теплоносителя "горячая вода" приводятся в м3, "пар" - в тоннах.

Приложение 11
к порядку определения нормативов
технологических потерь при
передаче тепловой энергии,
теплоносителя
(в ред. Приказа Минэнерго
РФ от 10.08.2012 N 377)

(образец)

Таблица 11.1

ПЕРЕЧЕНЬ МЕРОПРИЯТИЙ ПО ПОВЫШЕНИЮ ЭНЕРГЕТИЧЕСКОЙ ЭФФЕКТИВНОСТИ РАБОТЫ ТЕПЛОВЫХ СЕТЕЙ

(в ред. Приказа Минэнерго РФ от 10.08.2012 N 377)

N п/п Наименование мероприятия, его техническая сущность Ожидаемый энергетический эффект Необходимые затраты, руб. Срок окупаемости, год Сроки начала и окончания проведения мероприятия
в натуральном выражении в денежном выражении, тыс. руб.
1 2 3 4 5 6 7
             

Приложение 12
к порядку определения нормативов
технологических потерь при
передаче тепловой энергии,
теплоносителя
(в ред. Приказа Минэнерго
РФ от 10.08.2012 N 377)

(образец)

(в ред. Приказа Минэнерго РФ от 10.08.2012 N 377)

НОРМАТИВЫ ТЕХНОЛОГИЧЕСКИХ ПОТЕРЬ
ПРИ ПЕРЕДАЧЕ ТЕПЛОВОЙ ЭНЕРГИИ
         
         
  (наименование энергоснабжающей (теплосетевой) организации)  
         
  Книга 1.      
    (наименование книги)  
         
         
  (наименование системы теплоснабжения)    

Количество сброшюрованных листов _______

Главный инженер (Руководитель)        
         
(наименование энергоснабжающей (теплосетевой) организации)   (подпись)   (Ф.И.О.)
         
Главный инженер (Руководитель)        
         
(наименование предприятия, эксплуатирующего тепловые сети)   (подпись)   (Ф.И.О.)

Приложение 13
к порядку определения нормативов
технологических потерь при
передаче тепловой энергии,
теплоносителя
(в ред. Приказа Минэнерго
РФ от 10.08.2012 N 377)

РЕКОМЕНДАЦИИ
ПО ОФОРМЛЕНИЮ РЕЗУЛЬТАТОВ РАСЧЕТА И ОБОСНОВАНИЯ НОРМАТИВОВ ТЕХНОЛОГИЧЕСКИХ ПОТЕРЬ ПРИ ПЕРЕДАЧЕ ТЕПЛОВОЙ ЭНЕРГИИ ПРИ ПОДГОТОВКЕ ОБОСНОВЫВАЮЩИХ МАТЕРИАЛОВ

(в ред. Приказа Минэнерго РФ от 10.08.2012 N 377)

13.1. При подготовке следующих сведений согласно рекомендуемым образцам: "Общие сведения об энергоснабжающей (теплосетевой) организации" (Приложение 7 настоящему порядку), "Общая характеристика систем теплоснабжения" (Приложение 8 настоящему порядку), "Общая характеристика систем транспорта и распределения тепловой энергии (тепловых сетей)" (Приложение 9 настоящему порядку) - используются официальные отчетные данные энергоснабжающей (теплосетевой) организации, данные из договоров теплоснабжения и договоров на оказание услуг по передаче тепловой энергии. (в ред. Приказа Минэнерго РФ от 10.08.2012 N 377)

13.2. Расчетный годовой объем отпуска тепловой энергии в паре (по параметрам пара) или в горячей воде определяется производственной программой энергоснабжающей организации, учитывающей общую потребность в тепловой энергии на цели технологические, отопительно-вентиляционные и горячее водоснабжение при расчетном значении тепловых потерь при передаче тепловой энергии.

Потребность в тепловой энергии на отопительно-вентиляционные цели устанавливается по договорным расчетным (присоединенным) тепловым нагрузкам (мощности) потребителей, исходя из проектных данных и/или паспортов отапливаемых (отопительно-вентилируемых) зданий с учетом климатологических данных на отопительный и летний периоды.

Потребность в тепловой энергии на горячее водоснабжение устанавливается по договорным значениям средненедельных присоединенных тепловых нагрузок (мощности) потребителей горячего водоснабжения.

13.3. Расчетные присоединенные тепловые нагрузки (мощность) потребителей определяются договорными их значениями с учетом проектных данных, паспортов теплопотребляющих установок и ранее выданных технических условий на подключение (присоединение). Для потребителей, имеющих на своем балансе тепловые сети, учитываются также нормируемые значения часовых тепловых потерь. Отопительная и вентиляционная тепловая нагрузка (мощность) потребителей, а также часовые тепловые потери в сетях потребителей устанавливаются при условиях, соответствующих расчетной температуре наружного воздуха и соответствующих ей температурах теплоносителя с учетом влияния других внешних факторов (например, температуры грунта на средней глубине заложения теплопроводов, скорости воздуха). При установлении расчетных присоединенных тепловых нагрузок потребителей, применяемых для расчета нормативов технологических потерь, используются средние за неделю часовые договорные тепловые нагрузки на горячее водоснабжение.

13.4. Для систем централизованного теплоснабжения с присоединенной тепловой нагрузкой 50 Гкал/ч и более основным обосновывающим материалом являются нормативные энергетические характеристики тепловых сетей, разработанные и оформленные в соответствии с нормативными документами и методиками составления энергетических характеристик для систем транспорта тепловой энергии, а также определения нормативных значений показателей функционирования водяных тепловых сетей.

К нормативным энергетическим характеристикам тепловых сетей прикладываются материалы, подтверждающие произошедшие изменения, в соответствии с таблицей 6.1 Приложения 6 настоящего порядка. (в ред. Приказа Минэнерго РФ от 10.08.2012 N 377)

Для организаций с присоединенной нагрузкой менее 50 Гкал/час., а также для организаций с истекшими сроками действия нормативных энергетических характеристик тепловых сетей или с превышением показателей их функционирования нормативы технологических потерь рассчитываются с учетом требований главы II настоящего порядка. (в ред. Приказа Минэнерго РФ от 10.08.2012 N 377)

13.5. Материалы, касающиеся проведения энергетических обследований, выполненных в соответствии со статьей 10 Федерального закона N 28-ФЗ "Об энергосбережении" (Собрание законодательства Российской Федерации, 1996, N 15, ст. 1551), предоставляются в качестве обоснования реализованных и намеченных к реализации энергосберегающих мероприятий в соответствии с Приложением 11 настоящего порядка. (в ред. Приказа Минэнерго РФ от 10.08.2012 N 377)

В связи с утратой силы Федерального закона от 03.04.96 N 28-ФЗ, следует руководствоваться принятым взамен Федеральным законом от 23.11.2009 N 261-ФЗ

13.6. В целях ускорения процесса утверждения указанных нормативов рекомендуется приложить к утверждаемым материалам экспертное заключение, содержащее выводы об обоснованности исходных данных, выполненных расчетов и значений нормативов.

Приложение N 14
к порядку определения нормативов
технологических потерь при
передаче тепловой энергии,
теплоносителя
(в ред. Приказа Минэнерго
РФ от 10.08.2012 N 377)

ДИНАМИКА ОСНОВНЫХ ПОКАЗАТЕЛЕЙ РАБОТЫ ТЕПЛОВЫХ СЕТЕЙ

(в ред. Приказов Минэнерго РФ от 01.02.2010 N 36, от 10.08.2012 N 377)

N N п/п Показатели <*> Предбазовый период Базовый период Утвержденный период Регулируемый период
отчет, в т.ч. факт. потери по приборам учета отчет, в т.ч. факт. потери по приборам учета план расчет
1 теплоноситель
1.1 потери и затраты теплоносителя, т ():  
пар        
конденсат        
вода        
1.2 среднегодовой объем тепловых сетей, :  
пар        
конденсат        
вода        
1.3 отношение потерь и затрат теплоносителя к среднегодовому объему тепловых сетей, %:        
пар
конденсат        
вода        
1.4 отношение потерь и затрат теплоносителя к среднегодовому объему тепловых сетей, %/час (п. 1.3:8 760):        
пар        
конденсат        
вода        
2 тепловая энергия
2.1 потери тепловой энергии, тыс. Гкал:        
пар        
конденсат        
вода        
2.2 материальная характеристика тепловых сетей в однотрубном исчислении, м2  
пар        
конденсат        
вода        
2.3 отпуск тепловой энергии в сеть, тыс. Гкал:        
пар        
вода        
2.4 суммарная присоединенная тепловая нагрузка к тепловой сети, Гкал/ч:        
пар        
вода        
2.5 отношение потерь тепловой энергии относительно материальной характеристики, Гкал/м2:        
пар        
конденсат        
вода        
2.6 отношение потерь тепловой энергии к отпуску тепловой энергии в сеть, %:        
пар        
вода        
3 электрическая энергия
3.1 расход электроэнергии, тыс. кВт · ч        
3.2 количество, ед:  
ПНС        
ЦТП        

<*> Кратко излагаются причины увеличения нормативов на регулируемый год (расчет) относительно показателей текущего периода (план) и (или) фактических показателей предыдущих лет.