Письмо Федеральной нотариальной палаты от 01.04.2016 N 1078/03-16-3

"О направлении Методических рекомендаций по определению предельного размера платы за оказание нотариусом услуг правового и технического характера"
Редакция от 01.04.2016 — Документ не действует

ФЕДЕРАЛЬНАЯ НОТАРИАЛЬНАЯ ПАЛАТА

ПИСЬМО
от 1 апреля 2016 г. N 1078/03-16-3

Письмом Федеральной нотариальной палаты от 31.03.2016 N 1034/03-16-3 были направлены Методические рекомендации по определению предельного размера платы за оказание нотариусом услуг правового и технического характера (далее - Методические рекомендации), утвержденные решением Правления Федеральной нотариальной палаты (протокол N 03/16 от 28.03.2016).

В связи с допущенной технической ошибкой повторно направляю исправленный текст Методических рекомендаций.

Президент
Федеральной нотариальной палаты
К.А. КОРСИК

Утверждено
решением Правления
Федеральной нотариальной палаты
(протокол N 03/16 от 28 марта 2016 г.)

МЕТОДИЧЕСКИЕ РЕКОМЕНДАЦИИ ПО ОПРЕДЕЛЕНИЮ ПРЕДЕЛЬНОГО РАЗМЕРА ПЛАТЫ ЗА ОКАЗАНИЕ НОТАРИУСОМ УСЛУГ ПРАВОВОГО И ТЕХНИЧЕСКОГО ХАРАКТЕРА

I. Общие положения

1.1. Методические рекомендации по определению предельного размера платы за оказание нотариусом услуг правового и технического характера (далее - Методические рекомендации) разработаны с целью экономического обоснования размеров платы за оказание нотариусами услуг правового и технического характера и направлены на оказание помощи нотариальным палатам субъектов Российской Федерации при установлении рекомендованных размеров платы за оказание нотариусами услуг правового и технического характера.

1.2. При взимании платы за оказание услуг правового и технического характера нотариус руководствуется требованиями ст. ст. 15, 22, 23 Основ законодательства Российской Федерации о нотариате (далее - Основы), настоящими Методическими рекомендациями, решениями уполномоченного органа нотариальной палаты субъекта Российской Федерации, а также положениями иных правовых актов, которые регулируют указанные отношения.

1.3. Размер платы за оказание услуг правового и технического характера утверждается ежегодно уполномоченным органом нотариальной палаты субъекта Российской Федерации и подлежит применению с 1 января следующего года.

1.4. Размер платы за оказание услуг правового и технического характера, утверждаемый уполномоченным органом нотариальной палаты субъекта Российской Федерации не должен превышать предельных размеров рассчитанных в соответствии с пунктами 2.1 - 2.4 настоящих Методических рекомендаций.

1.5. Предельный размер платы за оказание услуг правового и технического характера на следующий год рассчитывается в соответствии с пунктами 2.1 - 2.4 настоящих Методических рекомендаций и утверждается Правлением Федеральной нотариальной палаты до 1 ноября текущего года,

1.6. Взимание платы за оказание услуг правового и технического характера, не указанных в пункте 2.4 настоящих Методических рекомендаций, не допускается.

1.7. Федеральная нотариальная палата и нотариальные палаты субъектов Российской Федерации обязаны публиковать утвержденные размеры платы за оказание услуг правового и технического характера на своих официальных сайтах в информационно-телекоммуникационной сети "Интернет".

1.8. Настоящие Методические рекомендации разработаны с учетом заключений Федерального государственного бюджетного учреждения науки Института проблем рынка Российской академии наук и Некоммерческого партнерства "Национальной ассамблеи специалистов в области труда и социальной политики".

II. Порядок расчета предельного размера платы за оказание нотариусами услуг правового и технического характера

2.1. Предельные размеры платы за оказание услуг правового и технического характера учитывают социально-экономическую ситуацию в регионе, характеризуемую прожиточным минимумом в регионе, и среднее число нотариальных действий, приходящихся на 1 нотариуса в регионе ("серийность" нотариальных действий).

При этом учитывается, что чем больше однотипных действий выполняет нотариус, тем меньше времени требуется на выполнение одного действия и тем меньше должен быть размер платы за оказание услуг правового и технического характера.

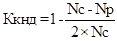
2.2. При расчете предельного размера платы за оказание услуг правового и технического характера используется коэффициент количества нотариальных действий (Ккнд), определяемый по следующей формуле:

,

где

Nc - среднее количество нотариальных действий одного нотариуса в соответствующем субъекте Российской Федерации за предыдущий год;

Np - среднее количество нотариальных действий одного нотариуса в России за предыдущий год.

Размеры среднего количества нотариальных действий одного нотариуса в соответствующем субъекте Российской Федерации за предыдущий год и среднего количества нотариальных действий одного нотариуса в Российской Федерации за предыдущий год предоставляются в нотариальные палаты субъектов Российской Федерации Федеральной нотариальной палатой до 1 июля текущего года.

Коэффициент количества нотариальных действий, в случае превышения им значения 1,3, принимается за 1,3.

2.3. Предельный размер платы за оказание услуг правового и технического характера рассчитывается по следующей формуле, учитывающей социально-экономическую ситуацию в регионе и количество нотариальных действий, совершаемых нотариусом:

,

где РП - предельный размер платы за оказание услуг правового и технического характера;

ПМ - величины прожиточного минимума на душу населения в субъекте Российской Федерации за II квартал года, предшествующего году взыскания нотариального тарифа;

К - коэффициент сложности нотариального действия, указанный в пункте 2.4 настоящих Методических рекомендаций;

Ккнд - коэффициент количества нотариальных действий.

2.4. При определении предельного размера платы за оказание услуг правового и технического характера при совершении конкретных видов нотариальных действий устанавливается коэффициент сложности нотариального действия по их видам, пропорциональный трудозатратам на их совершение.

Коэффициент Вид нотариального действия
0,005 Удостоверение равнозначности документа на бумажном носителе электронному документу - за каждую страницу документа на бумажном носителе;
удостоверение равнозначности электронного документа документу на бумажном носителе - за каждую страницу документа на бумажном носителе.
0,008 Свидетельствование верности копий документов, а также выписок из них за страницу копии (выписки);
выдача выписки из реестра уведомлений о залоге движимого имущества - 0,008 за каждую страницу выписки в пределах первой - десятой страниц включительно;
хранение документов за каждый день хранения каждых полных или неполных 250 листов документов, но не менее 0,2.
0,004 Выдача выписки из реестра уведомлений о залоге движимого имущества за каждую страницу выписки, начиная с одиннадцатой страницы.
0,01 За каждую страницу приложения к протоколу обеспечения доказательств; удостоверение тождественности собственноручной подписи инвалида по зрению с факсимильным воспроизведением его собственноручной подписи;
представление документов на государственную регистрацию юридических лиц и индивидуальных предпринимателей за каждую страницу представленного документа, но не более 2;
0,02 Регистрация уведомления о залоге движимого имущества за каждую страницу уведомления, представленного в бумажном виде.
0,03 Свидетельствование подлинности подписи переводчика.
0,05 Удостоверение распоряжения об отмене завещания.
0,1 Свидетельствование подлинности подписи физического лица;
свидетельствование верности перевода документа с одного языка на другой;
удостоверение согласия законных представителей, опекунов, попечителей на выезд несовершеннолетних детей за границу;
принятие в депозит нотариуса, удостоверившего сделку, денежных сумм в целях исполнения обязательств по такой сделке;
удостоверение доверенности от имени физических лиц.
0,15 Свидетельствование подлинности подписи представителя юридического лица;
представление документов на государственную регистрацию прав на недвижимое имущество и сделок с ним;
удостоверение доверенности от имени юридических лиц.
0,2 Удостоверение завещания;
удостоверение иной односторонней сделки, предмет которой не подлежит оценке;
совершение прочих нотариальных действий;
выдачу прочих нотариальных свидетельств;
удостоверение решения единственного участника ООО.
0,3 Обеспечение доказательств - за каждую страницу протокола;
выдача свидетельства, о праве на наследство по закону и по завещанию на иное имущество, помимо недвижимого (за каждый объект);
передача заявлений или иных документов с использованием почты или иных средств связи;
совершение исполнительной надписи;
выдача дубликатов в случаях, предусмотренных законодательством Российской Федерации о нотариате;
присутствие на заседании органа управления юридического лица - за каждый час присутствия нотариуса на заседании соответствующего органа.
0,4 Принятие закрытого завещания;
вскрытие конверта с закрытым завещанием и оглашение закрытого завещания.
0,5 Выдача свидетельства о праве на наследство по закону и по завещанию на недвижимое имущество (за каждый объект);
выдача свидетельства о праве собственности на долю в общем имуществе пережившему супругов;
удостоверение сделок, предметом которых является отчуждение недвижимого имущества, подлежащих обязательному нотариальному удостоверению;
удостоверение безотзывной оферты во исполнение опциона на заключение договора;
подготовка к присутствию на заседании органа управления юридического лица.
0,6 Предъявление чека к платежу и удостоверение неоплаты чека.
0,7 Удостоверение договоров ренты и пожизненного содержания с иждивением;
удостоверение акцепта безотзывной оферты.
0,8 Принятие мер по охране наследства - за каждый час, затраченный на принятие мер по охране наследства;
удостоверение соглашения об уплате алиментов.
1 Удостоверение сделок, предметом которых является отчуждение недвижимого имущества, не подлежащих обязательному нотариальному удостоверению;
удостоверение соглашения о разделе общего имущества, нажитого супругами в период брака;
удостоверение соглашения о расторжении договора (соглашения), если предмет соглашения не подлежит оценке;
удостоверение иного договора (соглашения);
передача заявлений или иных документов лично нотариусом (или работником нотариуса в случаях, установленных законодательством) по месту нахождения получателя заявления или документа.
1,3 Удостоверение брачного договора.
1,7 Удостоверение договоров об отчуждении, залоге доли в уставном капитале общества с ограниченной ответственностью, сторонами которых являются физические и российские юридические лица.
1,5 Учреждение доверительного управления наследственным имуществом.
2 Принятие в депозит нотариуса денежных сумм или ценных бумаг;
протест векселя.
2,5 Удостоверение договоров об отчуждении, залоге доли в уставном капитале общества с ограниченной ответственностью, хотя бы одной из сторон которых является иностранное юридическое лицо
3 Удостоверение соглашения об управлении хозяйственным партнерством;
удостоверение договора инвестиционного товарищества.
5 Совершение морского протеста.

2.5. Участники и инвалиды Великой Отечественной войны освобождаются от взимания платы за оказание услуг правового и технического характера на 100%.

2.6. Инвалиды I группы освобождаются от взимания платы за оказание услуг правового и технического характера на 50%,

2.7. Несовершеннолетние освобождаются от взимания платы за оказание услуг правового и технического характера при удостоверении договоров об отчуждении ими недвижимого имущества. При этом такое освобождение от взимания платы за оказание услуг правового и технического характера производится пропорционально их участию в договоре.

2.8. При совершении нотариальных действий вне помещения нотариальной конторы плата за оказание услуг правового и технического характера взыскивается в полуторакратном размере. При выезде нотариуса для совершения нотариального действия вне места своей работы заинтересованные физические и юридические лица в соответствии со статьей 22 Основ возмещают ему фактические транспортные расходы.

2.9. Нотариальные палаты субъектов Российской Федерации вправе установить дополнительные льготы, представляемые нотариусами отдельным категориям граждан при оказании услуг правового и технического характера.

2.10. Нотариус не вправе самостоятельно изменять установленный нотариальной палатой субъекта Российской Федерации размер подлежащей взиманию платы за оказание услуг правового и технического характера в сторону уменьшения либо увеличения.

2.11. Размер взысканной платы за оказание услуг правового и технического характера указывается в выдаваемом нотариальном акте и реестре для регистрации нотариальных действий.