Постановление Правительства РФ от 24.06.2015 N 623

"Об утверждении Правил предоставления и распределения субсидий из федерального бюджета бюджетам субъектов Российской Федерации на грантовую поддержку сельскохозяйственных потребительских кооперативов для развития материально-технической базы"
Редакция от 25.05.2016 — Документ утратил силу, см. «Постановление Правительства РФ от 30.12.2016 N 1556»
Показать изменения

ПРАВИТЕЛЬСТВО РОССИЙСКОЙ ФЕДЕРАЦИИ

ПОСТАНОВЛЕНИЕ
от 24 июня 2015 г. N 623

ОБ УТВЕРЖДЕНИИ ПРАВИЛ ПРЕДОСТАВЛЕНИЯ И РАСПРЕДЕЛЕНИЯ СУБСИДИЙ ИЗ ФЕДЕРАЛЬНОГО БЮДЖЕТА БЮДЖЕТАМ СУБЪЕКТОВ РОССИЙСКОЙ ФЕДЕРАЦИИ НА ГРАНТОВУЮ ПОДДЕРЖКУ СЕЛЬСКОХОЗЯЙСТВЕННЫХ ПОТРЕБИТЕЛЬСКИХ КООПЕРАТИВОВ ДЛЯ РАЗВИТИЯ МАТЕРИАЛЬНО-ТЕХНИЧЕСКОЙ БАЗЫ

(в ред. Постановления Правительства РФ от 25.05.2016 N 464)

Правительство Российской Федерации постановляет:

Утвердить прилагаемые Правила предоставления и распределения субсидий из федерального бюджета бюджетам субъектов Российской Федерации на грантовую поддержку сельскохозяйственных потребительских кооперативов для развития материально-технической базы.

Председатель Правительства
Российской Федерации
Д. МЕДВЕДЕВ

УТВЕРЖДЕНЫ
постановлением Правительства
Российской Федерации
от 24 июня 2015 г. N 623

ПРАВИЛА
ПРЕДОСТАВЛЕНИЯ И РАСПРЕДЕЛЕНИЯ СУБСИДИЙ ИЗ ФЕДЕРАЛЬНОГО БЮДЖЕТА БЮДЖЕТАМ СУБЪЕКТОВ РОССИЙСКОЙ ФЕДЕРАЦИИ НА ГРАНТОВУЮ ПОДДЕРЖКУ СЕЛЬСКОХОЗЯЙСТВЕННЫХ ПОТРЕБИТЕЛЬСКИХ КООПЕРАТИВОВ ДЛЯ РАЗВИТИЯ МАТЕРИАЛЬНО-ТЕХНИЧЕСКОЙ БАЗЫ

(в ред. Постановления Правительства РФ от 25.05.2016 N 464)

1. Настоящие Правила устанавливают порядок предоставления и распределения субсидий из федерального бюджета бюджетам субъектов Российской Федерации на грантовую поддержку сельскохозяйственных потребительских кооперативов для развития материально-технической базы в рамках реализации мероприятий Государственной программы развития сельского хозяйства и регулирования рынков сельскохозяйственной продукции, сырья и продовольствия на 2013 - 2020 годы (далее соответственно - Государственная программа, субсидии).

2. Субсидии предоставляются в целях софинансирования исполнения расходных обязательств субъектов Российской Федерации, связанных с реализацией государственных программ субъектов Российской Федерации, предусматривающих грантовую поддержку сельскохозяйственных потребительских кооперативов.

3. Понятия, используемые в настоящих Правилах, означают следующее:

а) "сельскохозяйственный потребительский кооператив" - сельскохозяйственный потребительский (перерабатывающий и сбытовой) кооператив, объединяющий не менее 10 сельскохозяйственных товаропроизводителей на правах членов кооперативов (кроме ассоциированного членства), или потребительское общество, если 70 процентов его выручки формируется за счет осуществления видов деятельности, аналогичных таким видам деятельности сельскохозяйственных потребительских кооперативов, как заготовка, хранение, переработка и сбыт сельскохозяйственной продукции;

б) "развитие материально-технической базы" - мероприятия, направленные на внедрение новых технологий и создание высокопроизводительных рабочих мест, строительство, реконструкцию, модернизацию или приобретение материально-технической базы сельскохозяйственных потребительских кооперативов, в том числе:

на строительство, реконструкцию или модернизацию производственных объектов по заготовке, хранению, подработке, переработке, сортировке, убою, первичной переработке сельскохозяйственных животных и птицы, рыбы и аквакультуры, охлаждению молока, мяса, птицы, картофеля, грибов, овощей, плодов и ягод, в том числе дикорастущих, и подготовке к реализации сельскохозяйственной продукции и продуктов ее переработки;

на приобретение и монтаж оборудования и техники для производственных объектов, предназначенных для заготовки, хранения, подработки, переработки, сортировки, убоя, первичной переработки сельскохозяйственных животных и птицы, рыбы и аквакультуры, охлаждения молока, мяса, птицы, картофеля, грибов, овощей, плодов и ягод, в том числе дикорастущих, подготовки к реализации, погрузки, разгрузки сельскохозяйственной продукции и продуктов ее переработки, оснащения лабораторий производственного контроля качества и безопасности выпускаемой (производимой и перерабатываемой) продукции и проведения государственной ветеринарно-санитарной экспертизы (приобретение оборудования для лабораторного анализа качества сельскохозяйственной продукции). Перечень указанных оборудования и техники утверждается Министерством сельского хозяйства Российской Федерации;

на приобретение специализированного транспорта, фургонов, прицепов, полуприцепов, вагонов, контейнеров для транспортировки, обеспечения сохранности при перевозке и реализации сельскохозяйственной продукции и продуктов ее переработки. Перечень указанной техники утверждается Министерством сельского хозяйства Российской Федерации;

на уплату части взносов (не более 8 процентов общей стоимости предметов лизинга) по договорам лизинга оборудования и технических средств для хранения, подработки, переработки, сортировки, убоя, первичной переработки сельскохозяйственных животных, рыбы и аквакультуры, охлаждения молока, мяса, птицы, картофеля, грибов, овощей, плодов и ягод, в том числе дикорастущих, подготовки к реализации, погрузки, разгрузки и транспортировки сельскохозяйственной продукции и продуктов ее переработки;

в) "грант на развитие материально-технической базы" - средства, передаваемые из бюджета субъекта Российской Федерации на счет неделимого фонда сельскохозяйственного потребительского кооператива, открытый в кредитной организации, для софинансирования затрат сельскохозяйственного потребительского кооператива на развитие материально-технической базы, не возмещаемых в рамках иных направлений государственной поддержки, предусмотренных Государственной программой, в целях развития на территории сельских поселений и межселенных территориях субъекта Российской Федерации сельскохозяйственной потребительской кооперации;

г) "региональная программа" - ведомственная целевая программа субъекта Российской Федерации, утверждение и реализация которой осуществляются в порядке, установленном высшим исполнительным органом государственной власти субъекта Российской Федерации, и (или) подпрограмма (мероприятие) государственной программы субъекта Российской Федерации, предусматривающая реализацию мероприятий по предоставлению гранта на развитие материально-технической базы сельскохозяйственным потребительским кооперативам.

4. Максимальный размер гранта на развитие материально-технической базы на один сельскохозяйственный потребительский кооператив определяется субъектом Российской Федерации в сумме, не превышающей 70 млн. рублей, и не более 60 процентов затрат на развитие материально-технической базы сельскохозяйственного потребительского кооператива. В случае если субъект Российской Федерации утверждает максимальный размер гранта на развитие материально-технической базы в сумме, превышающей 70 млн. рублей и (или) 60 процентов затрат на развитие материально-технической базы сельскохозяйственного потребительского кооператива, то источником финансового обеспечения выплаты гранта на развитие материально-технической базы в размере, превышающем указанную сумму, не может являться субсидия.

Размер гранта на развитие материально-технической базы, предоставляемого конкретному сельскохозяйственному потребительскому кооперативу, определяется конкурсной комиссией, создаваемой субъектом Российской Федерации, с учетом собственных средств сельскохозяйственного потребительского кооператива, внесенных на счет неделимого фонда, и плана расходов сельскохозяйственного потребительского кооператива в целях, указанных в подпункте "б" пункта 3 настоящих Правил.

Грант на развитие материально-технической базы должен быть использован в срок не более 18 месяцев со дня поступления средств на счет сельскохозяйственного потребительского кооператива.

В случае использования гранта на развитие материально-технической базы сельскохозяйственным потребительским кооперативом на цели, не предусмотренные настоящими Правилами, или с нарушением сроков соответствующие средства подлежат возврату в соответствующий бюджет в порядке, установленном бюджетным законодательством Российской Федерации.

5. Субсидии предоставляются бюджетам субъектов Российской Федерации, региональные программы которых прошли отбор в порядке, установленном Министерством сельского хозяйства Российской Федерации.

6. Региональные программы ежегодно отбираются Министерством сельского хозяйства Российской Федерации исходя из следующих критериев:

а) наличие нормативных правовых актов субъекта Российской Федерации, устанавливающих порядок и условия предоставления сельскохозяйственным потребительским кооперативам из бюджета субъекта Российской Федерации средств, источником финансового обеспечения которых является субсидия;

б) наличие в региональной программе мероприятий по предоставлению гранта на развитие материально-технической базы сельскохозяйственным потребительским кооперативам, занимающимся заготовкой, хранением, переработкой и сбытом сельскохозяйственной продукции (молоко, мясо, рыба, аквакультура, картофель, грибы, овощи, плоды и ягоды, в том числе дикорастущие);

в) наличие утвержденного порядка предоставления гранта на развитие материально-технической базы сельскохозяйственным потребительским кооперативам, предусматривающего критерии отбора сельскохозяйственных потребительских кооперативов и соблюдение при отборе принципа эффективности использования бюджетных средств, в том числе принципов бюджетной экономии и принципов сокращения сроков освоения средств гранта на развитие материально-технической базы;

г) полное использование средств федерального и регионального бюджетов, полученных на софинансирование мероприятий региональной программы по предоставлению гранта на развитие материально-технической базы сельскохозяйственным потребительским кооперативам, в году, предшествующем году реализации региональной программы;

д) обязательство субъекта Российской Федерации обеспечить создание не менее 6 новых постоянных рабочих мест на каждые 10 млн. рублей гранта на развитие материально-технической базы в сельскохозяйственных потребительских кооперативах в году получения субсидии;

е) обязательство субъекта Российской Федерации обеспечить прирост реализации молока, собранного сельскохозяйственными потребительскими кооперативами у сельскохозяйственных товаропроизводителей, не менее чем на 1 процент в год;

ж) своевременное представление отчета о достижении показателя результативности использования субсидии по итогам года, предшествующего году предоставления субсидии.

7. Для отбора региональной программы орган, уполномоченный высшим исполнительным органом государственной власти субъекта Российской Федерации (далее - уполномоченный орган), представляет в Министерство сельского хозяйства Российской Федерации заявку на участие в отборе, форма и сроки представления которой устанавливаются указанным Министерством.

8. В случае если установлено, что по итогам года реализации региональной программы, предшествующего году предоставления субсидии, в одностороннем порядке уменьшен объем финансирования за счет средств бюджета субъекта Российской Федерации, определенный соглашением о предоставлении субсидии, заключенным между Министерством сельского хозяйства Российской Федерации и высшим исполнительным органом государственной власти субъекта Российской Федерации (далее - соглашение), решение об отборе региональной программы в текущем финансовом году принимается Министерством сельского хозяйства Российской Федерации.

9. Условиями предоставления субсидии являются:

а) наличие утвержденной региональной программы, направленной на достижение целей Государственной программы;

б) наличие в бюджете субъекта Российской Федерации бюджетных ассигнований на исполнение расходных обязательств субъекта Российской Федерации, связанных с реализацией мероприятий, указанных в пункте 1 настоящих Правил.

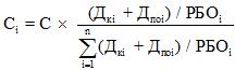
10. Размер субсидии, предоставляемой бюджету i-го субъекта Российской Федерации (), определяется по формуле:

где:

C - объем бюджетных ассигнований, предусмотренный в федеральном бюджете на соответствующий финансовый год и плановый период на предоставление гранта на развитие материально-технической базы сельскохозяйственным потребительским кооперативам;

- показатель, характеризующий удельный вес количества сельскохозяйственных потребительских (перерабатывающих и сбытовых) кооперативов, определяемый на основании данных Федеральной службы государственной статистики по состоянию на 1 октября отчетного финансового года в i-м субъекте Российской Федерации;

- показатель, характеризующий удельный вес количества потребительских обществ, 70 процентов выручки которых формируется за счет осуществления видов деятельности, аналогичных видам деятельности сельскохозяйственных потребительских кооперативов, определяемый на основании данных, представленных уполномоченным органом по форме, утвержденной Министерством сельского хозяйства Российской Федерации, по состоянию на 1 октября отчетного финансового года;

- уровень расчетной бюджетной обеспеченности i-го субъекта Российской Федерации на соответствующий финансовый год, рассчитанный в соответствии с методикой распределения дотаций на выравнивание бюджетной обеспеченности субъектов Российской Федерации, утвержденной постановлением Правительства Российской Федерации от 22 ноября 2004 г. N 670 "О распределении дотаций на выравнивание бюджетной обеспеченности субъектов Российской Федерации";

n - количество региональных программ, прошедших отбор в текущем финансовом году.

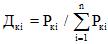
11. Показатель, характеризующий удельный вес количества сельскохозяйственных потребительских (перерабатывающих и сбытовых) кооперативов (, определяется по формуле:

где - количество сельскохозяйственных потребительских (перерабатывающих и сбытовых) кооперативов, определяемое на основании данных Федеральной службы государственной статистики по состоянию на 1 октября отчетного финансового года в i-м субъекте Российской Федерации. В отношении указанных данных для субъектов Российской Федерации, входящих в состав Дальневосточного, Крымского и Сибирского федеральных округов, при расчете показателя, характеризующего удельный вес количества сельскохозяйственных потребительских (перерабатывающих и сбытовых) кооперативов (, в числителе и знаменателе формулы применяется коэффициент 2,5.

12. Показатель, характеризующий удельный вес количества потребительских обществ, 70 процентов выручки которых формируется за счет осуществления видов деятельности, аналогичных видам деятельности сельскохозяйственных потребительских кооперативов (, определяется по формуле:

где - количество потребительских обществ, 70 процентов выручки которых формируется за счет осуществления видов деятельности, аналогичных видам деятельности сельскохозяйственных потребительских кооперативов, определяемое на основании данных, представленных уполномоченным органом по форме, утвержденной Министерством сельского хозяйства Российской Федерации, по состоянию на 1 октября отчетного финансового года. В отношении указанных данных для субъектов Российской Федерации, входящих в состав Дальневосточного, Крымского и Сибирского федеральных округов, при расчете показателя, характеризующего удельный вес количества потребительских обществ, 70 процентов выручки которых формируется за счет осуществления видов деятельности, аналогичных видам деятельности сельскохозяйственных потребительских кооперативов (, в числителе и знаменателе формулы применяется коэффициент 2,5.

13. Уровень софинансирования расходного обязательства субъекта Российской Федерации, источником финансового обеспечения которого является субсидия (, определяется по формуле:

где 0,7 - средний уровень софинансирования расходных обязательств субъектов Российской Федерации.

Уровень софинансирования расходного обязательства субъекта Российской Федерации по каждой региональной программе, прошедшей отбор, не может быть установлен выше 95 процентов и ниже 70 процентов расходного обязательства субъекта Российской Федерации.

14. Внесение в региональные программы изменений, которые влекут изменение объемов финансирования за счет средств бюджетов субъектов Российской Федерации и (или) значения показателя результативности использования субсидии, осуществляется по согласованию с Министерством сельского хозяйства Российской Федерации до 1 июля текущего финансового года.

15. В случае если размер субсидии, определенный для предоставления субъекту Российской Федерации, меньше запрашиваемого согласно бюджетной заявке размера бюджетных ассигнований федерального бюджета, бюджетные ассигнования, предусмотренные в бюджете субъекта Российской Федерации, указанные в бюджетной заявке и учитываемые при распределении субсидии, уменьшению не подлежат.

16. Положения, касающиеся показателей региональных программ, порядка возврата субсидий субъектами Российской Федерации в случае недостижения показателя результативности использования субсидий и нарушения обязательств, предусмотренных соглашением, в том числе порядка расчета размера субсидии, подлежащего возврату, сроков возврата, оснований для освобождения субъектов Российской Федерации от применения мер ответственности за нарушение обязательств, предусмотренных соглашением, а также порядка использования возвращенных субсидий главным распорядителем средств федерального бюджета, применяются в соответствии с постановлением Правительства Российской Федерации от 30 сентября 2014 г. N 999 "О формировании, предоставлении и распределении субсидий из федерального бюджета бюджетам субъектов Российской Федерации".

17. Распределение субсидий между бюджетами субъектов Российской Федерации утверждается Правительством Российской Федерации в пределах бюджетных ассигнований, предусмотренных в федеральном законе о федеральном бюджете на соответствующий финансовый год и плановый период.

18. Предоставление субсидии бюджету субъекта Российской Федерации осуществляется на основании соглашения по форме, утверждаемой Министерством сельского хозяйства Российской Федерации. Соглашение предусматривает следующие положения:

а) размер субсидии, порядок, условия и сроки ее перечисления в бюджет субъекта Российской Федерации, а также объем бюджетных ассигнований субъекта Российской Федерации на реализацию соответствующих расходных обязательств субъекта Российской Федерации;

б) значение показателя результативности использования субсидий, предусмотренного пунктом 21 настоящих Правил, и обязательства субъекта Российской Федерации по его достижению;

в) обязательства субъекта Российской Федерации по согласованию с Министерством сельского хозяйства Российской Федерации региональных программ, софинансируемых из федерального бюджета, и внесению в них изменений, которые влекут изменение объемов финансового обеспечения и (или) показателя результативности региональных программ и (или) изменение состава мероприятий региональных программ, на которые предоставляются субсидии;

г) реквизиты правового акта субъекта Российской Федерации, устанавливающего расходное обязательство субъекта Российской Федерации, в целях оказания финансовой поддержки которого предоставляется субсидия;

д) сроки и порядок представления отчетности об осуществлении расходов бюджета субъекта Российской Федерации, источником финансового обеспечения которых является субсидия, о достижении значения показателя результативности использования субсидии и финансово-экономическом состоянии сельскохозяйственного потребительского кооператива;

е) порядок осуществления контроля за выполнением субъектом Российской Федерации обязательств, предусмотренных соглашением;

ж) ответственность субъекта Российской Федерации за недостижение установленного значения показателя результативности использования субсидий.

19. Внесение в соглашение изменений, предусматривающих ухудшение значения показателя результативности использования субсидии и увеличение сроков реализации мероприятий, указанных в пункте 1 настоящих Правил, не допускается в течение всего периода действия соглашения, за исключением случаев, если выполнение условий предоставления субсидии оказалось невозможным вследствие обстоятельств непреодолимой силы в сельском хозяйстве, изменения значений целевых показателей и индикаторов Государственной программы, а также в случае существенного (более чем на 20 процентов) сокращения размера субсидии.

20. В случае отсутствия на 1 сентября текущего финансового года соглашения субсидия соответствующего субъекта Российской Федерации, утвержденная федеральным законом о федеральном бюджете на соответствующий финансовый год и плановый период и (или) актом Правительства Российской Федерации, перераспределяется между бюджетами других субъектов Российской Федерации и (или) на другие мероприятия Государственной программы.

Решения о распределении и перераспределении бюджетных ассигнований федерального бюджета на предоставление субсидии не принимаются в случае, если соглашения не были заключены в силу обстоятельств непреодолимой силы.

21. Эффективность осуществления расходов бюджетов субъектов Российской Федерации, источником финансового обеспечения которых является субсидия, оценивается ежегодно Министерством сельского хозяйства Российской Федерации путем сравнения фактического значения показателя количества сельскохозяйственных потребительских кооперативов, развивших свою материально-техническую базу с помощью гранта на развитие материально-технической базы, со значением этого показателя, указанным в соглашении.

22. Перечисление субсидий осуществляется в установленном порядке на счета территориальных органов Федерального казначейства, открытые для учета поступлений и их распределения между бюджетами бюджетной системы Российской Федерации, для последующего перечисления в установленном порядке в бюджеты субъектов Российской Федерации в соответствии с постановлением Правительства Российской Федерации от 30 сентября 2014 г. N 999 "О формировании, предоставлении и распределении субсидий из федерального бюджета бюджетам субъектов Российской Федерации".

В случае принятия Министерством сельского хозяйства Российской Федерации решения о передаче полномочий получателя средств федерального бюджета по перечислению субсидий территориальному органу Федерального казначейства перечисление субсидий осуществляется на счета территориальных органов Федерального казначейства, открытые для учета операций со средствами, поступающими в бюджеты субъектов Российской Федерации, в порядке, установленном Федеральным казначейством.

23. Уполномоченный орган представляет в Министерство сельского хозяйства Российской Федерации следующие документы:

а) выписка из закона субъекта Российской Федерации о бюджете субъекта Российской Федерации, подтверждающая наличие утвержденных в бюджете субъекта Российской Федерации средств на финансирование мероприятий, указанных в пункте 1 настоящих Правил, объем которых соответствует объемам финансового обеспечения за счет средств бюджета субъекта Российской Федерации, предусмотренных в отобранной региональной программе, - в срок, устанавливаемый Министерством сельского хозяйства Российской Федерации;

б) отчет о расходах бюджета субъекта Российской Федерации, источником финансового обеспечения которых является субсидия, по форме, устанавливаемой Министерством сельского хозяйства Российской Федерации, - один раз в полгода, не позднее 20-го числа месяца, следующего за отчетным периодом;

в) отчет о достижении значения показателя результативности использования субсидии, предусмотренного соглашением, по форме, устанавливаемой Министерством сельского хозяйства Российской Федерации, - ежегодно, до 20 января года, следующего за отчетным периодом;

г) отчет об использовании субсидии по региональной программе по форме, устанавливаемой Министерством сельского хозяйства Российской Федерации, - ежеквартально, до 20-го числа месяца, следующего за отчетным периодом;

д) перечень сельскохозяйственных потребительских кооперативов, получивших грант на развитие материально-технической базы, - ежеквартально, до 20-го числа месяца, следующего за отчетным периодом;

е) отчет о финансово-экономическом состоянии сельскохозяйственных потребительских кооперативов - по форме и в срок, которые устанавливаются Министерством сельского хозяйства Российской Федерации.

24. При отсутствии у субъекта Российской Федерации в текущем финансовом году потребности в субсидиях высший исполнительный орган государственной власти субъекта Российской Федерации уведомляет об этом Министерство сельского хозяйства Российской Федерации в письменной форме не позднее 1 июля текущего финансового года.

25. В случае несоблюдения субъектом Российской Федерации требования, предусмотренного пунктом 15 настоящих Правил, размер субсидии подлежит сокращению пропорционально уменьшению средств бюджета субъекта Российской Федерации, а высвобождающиеся средства перераспределяются между бюджетами субъектов Российской Федерации, имеющих право на получение субсидий в соответствии с настоящими Правилами.

26. Остаток субсидий, образовавшийся в соответствии с пунктами 14, 20, 24 и 25 настоящих Правил, перераспределяется между бюджетами субъектов Российской Федерации на основании представленных уполномоченными органами письменных обращений об увеличении годового объема выделяемых субсидий пропорционально удельному весу дополнительной потребности субъектов Российской Федерации в субсидиях в общем объеме дополнительной потребности субъектов Российской Федерации в субсидиях с учетом фактического освоения средств за отчетный период.

Перераспределение субсидий между бюджетами субъектов Российской Федерации утверждается Правительством Российской Федерации в установленном порядке.

27. Операции по кассовым расходам бюджетов субъектов Российской Федерации, источником финансового обеспечения которых являются субсидии, в том числе их остаток, не использованный на 1 января текущего финансового года, осуществляются с учетом особенностей, установленных федеральным законом о федеральном бюджете на соответствующий финансовый год и плановый период.

28. Не использованный на 1 января текущего финансового года остаток субсидий подлежит возврату в доход федерального бюджета органами государственной власти субъектов Российской Федерации, за которыми в соответствии с законодательными и иными нормативными правовыми актами закреплены источники доходов бюджета субъекта Российской Федерации по возврату остатков субсидий, в соответствии с требованиями, установленными бюджетным законодательством Российской Федерации.

В соответствии с решением Министерства сельского хозяйства Российской Федерации о наличии потребности в не использованных на 1 января текущего финансового года субсидиях расходы бюджета субъекта Российской Федерации, соответствующие целям предоставления субсидии, могут быть увеличены в установленном порядке на суммы, не превышающие остатка субсидии.

В случае если неиспользованный остаток субсидий не перечислен в доход федерального бюджета, указанные средства подлежат взысканию в доход федерального бюджета в порядке, установленном Министерством финансов Российской Федерации.

29. В случае нарушения субъектом Российской Федерации условий предоставления субсидий к нему применяются бюджетные меры принуждения, предусмотренные бюджетным законодательством Российской Федерации.

Решения о приостановлении перечисления (сокращении размера) субсидий бюджету субъекта Российской Федерации не принимаются в случае, если условия предоставления субсидий не были выполнены в силу обстоятельств непреодолимой силы.

30. Ответственность за достоверность представляемых в Министерство сельского хозяйства Российской Федерации сведений и соблюдение условий, установленных настоящими Правилами и соглашением, возлагается на высший исполнительный орган государственной власти субъекта Российской Федерации.

31. Контроль за соблюдением субъектами Российской Федерации условий предоставления субсидий осуществляется Министерством сельского хозяйства Российской Федерации и федеральным органом исполнительной власти, осуществляющим функции по контролю и надзору в финансово-бюджетной сфере. (в ред. Постановления Правительства РФ от 25.05.2016 N 464)