Постановление Правительства РФ от 13.09.2010 N 723

"Об утверждении Правил предоставления и распределения в 2010 году субсидий из федерального бюджета бюджетам субъектов Российской Федерации и бюджету г. Байконура на осуществление организационных мероприятий по обеспечению граждан лекарственными средствами, предназначенными для лечения больных злокачественными новообразованиями лимфоидной, кроветворной и родственных им тканей, гемофилией, муковисцидозом, гипофизарным нанизмом, болезнью Гоше, рассеянным склерозом, а также после трансплантации органов и (или) тканей"
Редакция от 25.05.2016 — Действует с 14.06.2016
Показать изменения

ПРАВИТЕЛЬСТВО РОССИЙСКОЙ ФЕДЕРАЦИИ

ПОСТАНОВЛЕНИЕ
от 13 сентября 2010 г. N 723

ОБ УТВЕРЖДЕНИИ ПРАВИЛ ПРЕДОСТАВЛЕНИЯ И РАСПРЕДЕЛЕНИЯ В 2010 ГОДУ СУБСИДИЙ ИЗ ФЕДЕРАЛЬНОГО БЮДЖЕТА БЮДЖЕТАМ СУБЪЕКТОВ РОССИЙСКОЙ ФЕДЕРАЦИИ И БЮДЖЕТУ Г. БАЙКОНУРА НА ОСУЩЕСТВЛЕНИЕ ОРГАНИЗАЦИОННЫХ МЕРОПРИЯТИЙ ПО ОБЕСПЕЧЕНИЮ ГРАЖДАН ЛЕКАРСТВЕННЫМИ СРЕДСТВАМИ, ПРЕДНАЗНАЧЕННЫМИ ДЛЯ ЛЕЧЕНИЯ БОЛЬНЫХ ЗЛОКАЧЕСТВЕННЫМИ НОВООБРАЗОВАНИЯМИ ЛИМФОИДНОЙ, КРОВЕТВОРНОЙ И РОДСТВЕННЫХ ИМ ТКАНЕЙ, ГЕМОФИЛИЕЙ, МУКОВИСЦИДОЗОМ, ГИПОФИЗАРНЫМ НАНИЗМОМ, БОЛЕЗНЬЮ ГОШЕ, РАССЕЯННЫМ СКЛЕРОЗОМ, А ТАКЖЕ ПОСЛЕ ТРАНСПЛАНТАЦИИ ОРГАНОВ И (ИЛИ) ТКАНЕЙ

(в ред. Постановления Правительства РФ от 25.05.2016 N 464)

В соответствии с Федеральным законом "О федеральном бюджете на 2010 год и на плановый период 2011 и 2012 годов" Правительство Российской Федерации постановляет:

Утвердить прилагаемые Правила предоставления и распределения в 2010 году субсидий из федерального бюджета бюджетам субъектов Российской Федерации и бюджету г. Байконура на осуществление организационных мероприятий по обеспечению граждан лекарственными средствами, предназначенными для лечения больных злокачественными новообразованиями лимфоидной, кроветворной и родственных им тканей, гемофилией, муковисцидозом, гипофизарным нанизмом, болезнью Гоше, рассеянным склерозом, а также после трансплантации органов и (или) тканей.

Председатель Правительства
Российской Федерации
В.ПУТИН

УТВЕРЖДЕНЫ
постановлением Правительства
Российской Федерации
от 13 сентября 2010 г. N 723

ПРАВИЛА
ПРЕДОСТАВЛЕНИЯ И РАСПРЕДЕЛЕНИЯ В 2010 ГОДУ СУБСИДИЙ ИЗ ФЕДЕРАЛЬНОГО БЮДЖЕТА БЮДЖЕТАМ СУБЪЕКТОВ РОССИЙСКОЙ ФЕДЕРАЦИИ И БЮДЖЕТУ Г. БАЙКОНУРА НА ОСУЩЕСТВЛЕНИЕ ОРГАНИЗАЦИОННЫХ МЕРОПРИЯТИЙ ПО ОБЕСПЕЧЕНИЮ ГРАЖДАН ЛЕКАРСТВЕННЫМИ СРЕДСТВАМИ, ПРЕДНАЗНАЧЕННЫМИ ДЛЯ ЛЕЧЕНИЯ БОЛЬНЫХ ЗЛОКАЧЕСТВЕННЫМИ НОВООБРАЗОВАНИЯМИ ЛИМФОИДНОЙ, КРОВЕТВОРНОЙ И РОДСТВЕННЫХ ИМ ТКАНЕЙ, ГЕМОФИЛИЕЙ, МУКОВИСЦИДОЗОМ, ГИПОФИЗАРНЫМ НАНИЗМОМ, БОЛЕЗНЬЮ ГОШЕ, РАССЕЯННЫМ СКЛЕРОЗОМ, А ТАКЖЕ ПОСЛЕ ТРАНСПЛАНТАЦИИ ОРГАНОВ И (ИЛИ) ТКАНЕЙ

(в ред. Постановления Правительства РФ от 25.05.2016 N 464)

1. Настоящие Правила определяют порядок предоставления и распределения в 2010 году субсидий из федерального бюджета бюджетам субъектов Российской Федерации и бюджету г. Байконура на осуществление организационных мероприятий по обеспечению граждан лекарственными средствами, предназначенными для лечения больных злокачественными новообразованиями лимфоидной, кроветворной и родственных им тканей, гемофилией, муковисцидозом, гипофизарным нанизмом, болезнью Гоше, рассеянным склерозом, а также после трансплантации органов и (или) тканей (далее соответственно - субсидии, организационные мероприятия, лекарственные средства).

2. Субсидии предоставляются в соответствии со сводной бюджетной росписью федерального бюджета в пределах бюджетных ассигнований и лимитов бюджетных обязательств, утвержденных Министерству здравоохранения и социального развития Российской Федерации на организационные мероприятия.

3. Условием предоставления и расходования субсидий является наличие в бюджетах субъектов Российской Федерации и бюджете г. Байконура бюджетных ассигнований на исполнение расходных обязательств на осуществление организационных мероприятий.

4. Субсидии предоставляются на осуществление субъектами Российской Федерации и г. Байконуром организационных мероприятий в части размещения заказов на поставки товаров, выполнение работ и оказание услуг по доставке лекарственных средств от организаций - получателей закупленных в установленном порядке лекарственных средств до аптечных организаций в пределах субъектов Российской Федерации и г. Байконура.

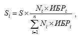
5. Распределение субсидий, предусмотренное приложением, определяется по формуле:

где:

- размер субсидии, предоставляемой i-му субъекту Российской Федерации или г. Байконуру;

S - размер средств, предусмотренный в федеральном бюджете на предоставление субсидий в 2010 году;

- численность в i-м субъекте Российской Федерации или г. Байконуре граждан, учтенных в Федеральном регистре больных гемофилией, муковисцидозом, гипофизарным нанизмом, болезнью Гоше, злокачественными новообразованиями лимфоидной, кроветворной и родственных им тканей, рассеянным склерозом, а также после трансплантации органов и (или) тканей, содержащем сведения о гражданах, перечисленных в статье 6.1 Федерального закона "О государственной социальной помощи", и виде заболевания, ведение которого осуществляется федеральным органом исполнительной власти, осуществляющим функции по выработке государственной политики и нормативно-правовому регулированию в сфере здравоохранения, социального развития, труда и защиты прав потребителей, в установленном им порядке;

- индекс бюджетных расходов i-го субъекта Российской Федерации;

n - количество получателей субсидий (субъекты Российской Федерации и г. Байконур).

6. Уровень софинансирования расходного обязательства субъекта Российской Федерации или г. Байконура за счет предоставляемой субсидии определяется по формуле:

где:

- уровень софинансирования расходного обязательства субъекта Российской Федерации или г. Байконура;

- средний уровень софинансирования расходных обязательств субъектов Российской Федерации и г. Байконура за счет субсидий;

- уровень расчетной бюджетной обеспеченности субъекта Российской Федерации или г. Байконура на очередной финансовый год, рассчитанный в соответствии с методикой распределения дотаций на выравнивание бюджетной обеспеченности субъектов Российской Федерации, утвержденной постановлением Правительства Российской Федерации от 22 ноября 2004 г. N 670.

7. Уровень софинансирования расходного обязательства субъекта Российской Федерации или г. Байконура не может быть установлен выше 95 процентов и ниже 5 процентов расходного обязательства.

8. Субсидия предоставляется на основе соглашения о предоставлении субсидии между Министерством здравоохранения и социального развития Российской Федерации и высшим исполнительным органом государственной власти субъекта Российской Федерации или администрацией г. Байконура (далее - соглашение), в котором предусматриваются:

а) сведения о наличии нормативного правового акта субъекта Российской Федерации или г. Байконура, устанавливающего расходное обязательство субъекта Российской Федерации или г. Байконура, на исполнение которого предоставляется субсидия;

б) сведения о размере предоставляемой субсидии и размере бюджетных ассигнований, предусмотренных в бюджете субъекта Российской Федерации или бюджете г. Байконура, направляемых на финансовое обеспечение осуществления организационных мероприятий;

в) целевое назначение субсидии;

г) порядок осуществления контроля за исполнением обязательств, вытекающих из соглашения;

д) сроки и порядок представления отчетности об осуществлении расходов бюджета субъекта Российской Федерации или г. Байконура, источником финансового обеспечения которых является субсидия;

е) иные условия, определяемые по соглашению сторон, регулирующие порядок предоставления субсидии.

9. Форма соглашения утверждается Министерством здравоохранения и социального развития Российской Федерации.

10. Субсидии перечисляются в установленном порядке на счета территориальных органов Федерального казначейства, открытые для учета поступлений и их распределения между бюджетами бюджетной системы Российской Федерации, для последующего перечисления в бюджеты субъектов Российской Федерации и бюджет г. Байконура.

11. Организации, осуществляющие доставку лекарственных средств, определяются субъектом Российской Федерации и г. Байконуром по результатам размещения заказов, предусмотренных пунктом 4 настоящих Правил, в соответствии с законодательством Российской Федерации о размещении заказов на поставки товаров, выполнение работ и оказание услуг для государственных и муниципальных нужд.

12. Уполномоченные органы исполнительной власти субъектов Российской Федерации или уполномоченный орган г. Байконура представляют в Министерство здравоохранения и социального развития Российской Федерации ежемесячно, до 15-го числа, отчет о расходах бюджета субъекта Российской Федерации или бюджета г. Байконура, источником финансового обеспечения которых является субсидия, и об эффективности использования субсидии в порядке и по форме, которые утверждаются указанным Министерством.

13. Показателем эффективности использования субсидии является отсутствие кредиторской задолженности по расходному обязательству субъекта Российской Федерации или г. Байконура, источником финансового обеспечения которого является субсидия.

14. В случае если в отчетном финансовом году субъектом Российской Федерации или г. Байконуром не достигнут показатель эффективности использования субсидии, предусмотренный пунктом 13 настоящих Правил, и отклонение показателя эффективности составляет более 50 процентов среднероссийского уровня, размер субсидии, предусмотренной бюджету субъекта Российской Федерации или бюджету г. Байконура на текущий финансовый год, подлежит сокращению в установленном порядке. Предложение о сокращении размера субсидии вносится Министерством здравоохранения и социального развития Российской Федерации в Министерство финансов Российской Федерации.

15. В случае несоблюдения субъектом Российской Федерации или г. Байконуром условий предоставления субсидии перечисление субсидии приостанавливается Министерством финансов Российской Федерации в установленном им порядке.

16. Субсидия в случае ее нецелевого использования подлежит взысканию в доход федерального бюджета в соответствии с бюджетным законодательством Российской Федерации.

17. Не использованный в текущем финансовом году остаток субсидий при наличии потребности в нем может быть использован в соответствии с решением Министерства здравоохранения и социального развития Российской Федерации субъектом Российской Федерации и г. Байконуром в очередном финансовом году на те же цели в порядке, установленном бюджетным законодательством Российской Федерации для осуществления расходов бюджетов субъектов Российской Федерации и бюджета г. Байконура, источником финансового обеспечения которых являются субсидии.

В случае если неиспользованный остаток субсидий не перечислен в доход федерального бюджета, указанные средства подлежат взысканию в доход федерального бюджета в порядке, установленном Министерством финансов Российской Федерации.

18. Контроль за осуществлением расходов бюджетов субъектов Российской Федерации и бюджета г. Байконура, источником финансового обеспечения которых являются субсидии, осуществляют Министерство здравоохранения и социального развития Российской Федерации и федеральный орган исполнительной власти, осуществляющий функции по контролю и надзору в финансово-бюджетной сфере. (в ред. Постановления Правительства РФ от 25.05.2016 N 464)

ПРИЛОЖЕНИЕ
к Правилам предоставления и распределения
в 2010 году субсидий из федерального бюджета
бюджетам субъектов Российской Федерации и
бюджету г. Байконура на осуществление
организационных мероприятий по обеспечению
граждан лекарственными средствами,
предназначенными для лечения больных
злокачественными новообразованиями
лимфоидной, кроветворной и родственных им
тканей, гемофилией, муковисцидозом,
гипофизарным нанизмом, болезнью Гоше,
рассеянным склерозом, а также после
трансплантации органов и (или) тканей

РАСПРЕДЕЛЕНИЕ В 2010 ГОДУ СУБСИДИЙ ИЗ ФЕДЕРАЛЬНОГО БЮДЖЕТА БЮДЖЕТАМ СУБЪЕКТОВ РОССИЙСКОЙ ФЕДЕРАЦИИ И БЮДЖЕТУ Г. БАЙКОНУРА НА ОСУЩЕСТВЛЕНИЕ ОРГАНИЗАЦИОННЫХ МЕРОПРИЯТИЙ ПО ОБЕСПЕЧЕНИЮ ГРАЖДАН ЛЕКАРСТВЕННЫМИ СРЕДСТВАМИ, ПРЕДНАЗНАЧЕННЫМИ ДЛЯ ЛЕЧЕНИЯ БОЛЬНЫХ ЗЛОКАЧЕСТВЕННЫМИ НОВООБРАЗОВАНИЯМИ ЛИМФОИДНОЙ, КРОВЕТВОРНОЙ И РОДСТВЕННЫХ ИМ ТКАНЕЙ, ГЕМОФИЛИЕЙ, МУКОВИСЦИДОЗОМ, ГИПОФИЗАРНЫМ НАНИЗМОМ, БОЛЕЗНЬЮ ГОШЕ, РАССЕЯННЫМ СКЛЕРОЗОМ, А ТАКЖЕ ПОСЛЕ ТРАНСПЛАНТАЦИИ ОРГАНОВ И (ИЛИ) ТКАНЕЙ

(тыс. рублей)

Сумма
Республика Адыгея 3866,1
Республика Алтай 2283,8
Республика Башкортостан 20919
Республика Бурятия 6767,6
Республика Дагестан 12339,7
Республика Ингушетия 1634,1
Кабардино-Балкарская Республика 3337,2
Республика Калмыкия 1284,3
Карачаево-Черкесская Республика 4441,5
Республика Карелия 5234,6
Республика Коми 10063,8
Республика Марий Эл 5496,6
Республика Мордовия 8466,7
Республика Саха (Якутия) 22408
Республика Северная Осетия - Алания 3197,6
Республика Татарстан 30307,5
Республика Тыва 1787,3
Удмуртская Республика 7651,1
Республика Хакасия 2619,3
Чеченская Республика 3086,7
Чувашская Республика 6603,5
Алтайский край 22784,2
Забайкальский край 5546
Камчатский край 3985,9
Краснодарский край 29627,7
Красноярский край 20698,5
Пермский край 32104,1
Приморский край 12161,1
Ставропольский край 9334,1
Хабаровский край 14800,4
Амурская область 7438,9
Архангельская область 10780,7
Астраханская область 4265,8
Белгородская область 6634,4
Брянская область 9276,4
Владимирская область 8020,1
Волгоградская область 12379,8
Вологодская область 12557
Воронежская область 10128,7
Ивановская область 7546,4
Иркутская область 16099,5
Калининградская область 7230,4
Калужская область 8940,5
Кемеровская область 16497,2
Кировская область 20305,7
Костромская область 5622,3
Курганская область 4289,9
Курская область 6784,6
Ленинградская область 15252,6
Липецкая область 10793,8
Магаданская область 4377,4
Московская область 40800,7
Мурманская область 15919,3
Нижегородская область 20 079,6
Новгородская область 3636,7
Новосибирская область 19435,3
Омская область 19786,5
Оренбургская область 10068,6
Орловская область 6050,4
Пензенская область 19711,9
Псковская область 4401,8
Ростовская область 25935
Рязанская область 19110,7
Самарская область 33225,8
Саратовская область 16540,7
Сахалинская область 4954,5
Свердловская область 27834,1
Смоленская область 10158,8
Тамбовская область 5628,6
Тверская область 10485,8
Томская область 10169,4
Тульская область 11069,9
Тюменская область 10476,3
Ульяновская область 14007,2
Челябинская область 10433,4
Ярославская область 14664,5
Город Москва 127837,2
Город Санкт-Петербург 36731,8
Еврейская автономная область 1074,6
Ханты-Мансийский автономный округ - Югра 14718,8
Чукотский автономный округ 991,1
Ямало-Ненецкий автономный округ 4199,2
Город Байконур 76
Всего 1090274,3