Постановление Правительства РФ от 21.06.2016 N 563

"О внесении изменений в некоторые акты Правительства Российской Федерации по вопросам поставки мощности по договорам о предоставлении мощности"
Редакция от 21.06.2016 — Действует с 01.07.2016

ПРАВИТЕЛЬСТВО РОССИЙСКОЙ ФЕДЕРАЦИИ

ПОСТАНОВЛЕНИЕ
от 21 июня 2016 г. N 563

О ВНЕСЕНИИ ИЗМЕНЕНИЙ В НЕКОТОРЫЕ АКТЫ ПРАВИТЕЛЬСТВА РОССИЙСКОЙ ФЕДЕРАЦИИ ПО ВОПРОСАМ ПОСТАВКИ МОЩНОСТИ ПО ДОГОВОРАМ О ПРЕДОСТАВЛЕНИИ МОЩНОСТИ

Правительство Российской Федерации постановляет:

1. Утвердить прилагаемые изменения, которые вносятся в акты Правительства Российской Федерации по вопросам поставки мощности по договорам о предоставлении мощности.

2. Министерству энергетики Российской Федерации до 1 октября 2016 г. привести методику расчета значения доли компенсируемых затрат, отражающей прогнозную прибыль от продажи электрической энергии, для поставщиков электрической энергии (мощности) в соответствие с настоящим постановлением.

3. Подпункт "б" пункта 1 изменений, утвержденных настоящим постановлением, вступает в силу с 1 июля 2016 г.

Председатель Правительства
Российской Федерации
Д. МЕДВЕДЕВ

УТВЕРЖДЕНЫ
постановлением Правительства
Российской Федерации
от 21 июня 2016 г. N 563

ИЗМЕНЕНИЯ, КОТОРЫЕ ВНОСЯТСЯ В АКТЫ ПРАВИТЕЛЬСТВА РОССИЙСКОЙ ФЕДЕРАЦИИ ПО ВОПРОСАМ ПОСТАВКИ МОЩНОСТИ ПО ДОГОВОРАМ О ПРЕДОСТАВЛЕНИИ МОЩНОСТИ

1. В Правилах определения цены на мощность, продаваемую по договорам о предоставлении мощности, утвержденных постановлением Правительства Российской Федерации от 13 апреля 2010 г. N 238 "Об определении ценовых параметров торговли мощностью на оптовом рынке электрической энергии и мощности" (Собрание законодательства Российской Федерации, 2010, N 16, ст. 1922; N 42, ст. 5397; 2011, N 14, ст. 1916):

а) в пункте 4:

в абзаце первом слово "поставщика" исключить;

в подпункте "а" слова "генерирующего объекта" заменить словами "на генерирующий объект", слова "без учета" заменить словами "за исключением";

в подпункте "б" слова "генерирующего объекта" заменить словами "на генерирующий объект";

б) пункт 11 изложить в следующей редакции:

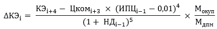
"11. По истечении 72 месяцев с даты, определяемой как более ранняя из следующих дат, - дата начала исполнения обязательства по поставке мощности, установленная в отношении этого генерирующего объекта Правительством Российской Федерации, или дата начала исполнения обязательства по поставке мощности, указанная в отношении этого генерирующего объекта в соответствующих договорах о предоставлении мощности (далее - плановая дата начала поставки мощности), к цене на мощность в году i прибавляется доля совокупных затрат на генерирующий объект, приходящаяся на период после действия договора о предоставлении мощности. Указанная доля совокупных затрат определяется по формуле:

где:

- составляющая цены на мощность, рассчитанная для года i + 4 в соответствии с пунктом 4 Правил расчета составляющей цены на мощность, обеспечивающей возврат капитальных и эксплуатационных затрат, утвержденных постановлением Правительства Российской Федерации от 13 апреля 2010 г. N 238 "Об определении ценовых параметров торговли мощностью на оптовом рынке электрической энергии и мощности", при этом в качестве значения доли затрат, отражающей прогнозную прибыль от продажи электрической энергии, используется определяемое в соответствии с методикой расчета значения доли компенсируемых затрат, отражающей прогнозную прибыль от продажи электрической энергии, для поставщиков электрической энергии (мощности), утвержденной федеральным органом исполнительной власти, осуществляющим функции по выработке и реализации государственной политики и нормативно-правовому регулированию в сфере топливно- энергетического комплекса, по согласованию с федеральным органом исполнительной власти, осуществляющим функции по выработке государственной политики и нормативно-правовому регулированию в сфере анализа и прогнозирования социально-экономического развития, значение доли компенсируемых затрат, отражающей прогнозную прибыль от продажи электрической энергии, для периода, включающего календарные годы, начиная с года i + 4 и до года i + 7 включительно (если указанная методика не определяет порядка расчета доли компенсируемых затрат, отражающей прогнозную прибыль от продажи электрической энергии, для периода, включающего календарные годы, начиная с года i + 4 и до года i + 7 включительно, то при расчете указанной составляющей цены на мощность в качестве значения доли затрат, отражающей прогнозную прибыль от продажи электрической энергии, используется значение доли компенсируемых затрат, отражающей прогнозную прибыль от продажи электрической энергии, которое применяется для расчета значения составляющей цены на мощность, обеспечивающей возврат капитальных и эксплуатационных затрат в году i, определяемого в соответствии с Правилами расчета составляющей цены на мощность, обеспечивающей возврат капитальных и эксплуатационных затрат, утвержденными постановлением Правительства Российской Федерации от 13 апреля 2010 г. N 238 "Об определении ценовых параметров торговли мощностью на оптовом рынке электрической энергии и мощности");

- цена на мощность, определенная для ценовой зоны, в которой расположен соответствующий генерирующий объект, по итогам конкурентного отбора мощности, проведенного на год i + 3;

- индекс потребительских цен в декабре года i - 1 к декабрю года i - 2, определяемый и публикуемый федеральным органом исполнительной власти, осуществляющим функции по формированию официальной статистической информации;

- фактическая норма доходности инвестированного капитала, определенная по итогам года, предшествующего году i, в соответствии с Правилами расчета составляющей цены на мощность, обеспечивающей возврат капитальных и эксплуатационных затрат, утвержденными постановлением Правительства Российской Федерации от 13 апреля 2010 г. N 238 "Об определении ценовых параметров торговли мощностью на оптовом рынке электрической энергии и мощности";

- минимальное значение из 60 месяцев и количества месяцев, начиная с месяца, следующего за последним месяцем периода поставки мощности этого генерирующего объекта по соответствующим договорам о предоставлении мощности, и до истечения 180 месяцев с плановой даты начала поставки мощности этого генерирующего объекта;

- количество месяцев, начиная с наиболее позднего из месяцев - июль 2016 г. и 73-й месяц, начиная с плановой даты начала поставки мощности этого генерирующего объекта по соответствующим договорам о предоставлении мощности, и до последнего месяца периода поставки мощности этого генерирующего объекта по соответствующим договорам о предоставлении мощности.".

2. В Правилах оптового рынка электрической энергии и мощности, утвержденных постановлением Правительства Российской Федерации от 27 декабря 2010 г. N 1172 "Об утверждении Правил оптового рынка электрической энергии и мощности и о внесении изменений в некоторые акты Правительства Российской Федерации по вопросам организации функционирования оптового рынка электрической энергии и мощности" (Собрание законодательства Российской Федерации, 2011, N 14, ст. 1916; 2013, N 23, ст. 2909; 2015, N 9, ст. 1324; N 46, ст. 6394; 2016, N 2, ст. 329).

а) в пункте 119:

абзацы девятый - одиннадцатый изложить в следующей редакции:

"Период поставки мощности генерирующего объекта по договорам о предоставлении мощности заканчивается по истечении 120 месяцев с даты начала исполнения обязательств по поставке мощности, указанной в этих договорах в отношении такого генерирующего объекта, с учетом сокращения периода поставки мощности для генерирующих объектов, в отношении которых Правительством Российской Федерации определена дата начала исполнения обязательства по поставке мощности, приходящаяся на период до 1 января 2011 г. Период поставки мощности генерирующего объекта по договору о предоставлении мощности квалифицированных генерирующих объектов, функционирующих на основе использования возобновляемых источников энергии, заканчивается по истечении 180 месяцев с указанной в договоре даты начала поставки мощности соответствующего генерирующего объекта, за исключением случаев, предусмотренных абзацем четырнадцатым настоящего пункта.

Период поставки мощности генерирующего объекта по договорам купли-продажи мощности новых объектов атомных электростанций и гидроэлектростанций (в том числе гидроаккумулирующих электростанций) заканчивается по истечении 240 месяцев с указанной в договоре даты начала поставки мощности соответствующего генерирующего объекта.

В случае если указанными в подпунктах 7, 10 и 14 пункта 4 настоящих Правил договорами предусмотрено право поставщика на досрочное начало поставки мощности генерирующего объекта по указанным договорам, период поставки мощности указанного генерирующего объекта по данным договорам исчисляется с даты, на которую поставщик перенес начало поставки мощности. Период поставки мощности генерирующего объекта по договорам, предусмотренным подпунктом 10 пункта 4 настоящих Правил, увеличивается на соответствующий изменению даты начала поставки мощности период.";

абзац двенадцатый после слов "даты начала поставки мощности" дополнить словами ", при этом период поставки мощности по такому договору сокращается на соответствующий изменению даты начала поставки мощности период".

б) в абзаце третьем пункта 121 слова "цены, определенной" заменить словами "цены продажи мощности".