Приказ Минстроя РФ от 27.06.2016 N 454/ПР

"Об утверждении Методических рекомендаций по установлению минимального размера взноса на капитальный ремонт"
Редакция от 27.06.2016 — Не действует Перейти в действующую
Показать изменения

МИНИСТЕРСТВО СТРОИТЕЛЬСТВА И ЖИЛИЩНО-КОММУНАЛЬНОГО ХОЗЯЙСТВА РОССИЙСКОЙ ФЕДЕРАЦИИ

ПРИКАЗ
от 27 июня 2016 г. N 454/пр

ОБ УТВЕРЖДЕНИИ МЕТОДИЧЕСКИХ РЕКОМЕНДАЦИЙ ПО УСТАНОВЛЕНИЮ МИНИМАЛЬНОГО РАЗМЕРА ВЗНОСА НА КАПИТАЛЬНЫЙ РЕМОНТ

В соответствии с пунктом 1 постановления Правительства Российской Федерации от 14 июня 2013 г. N 505 "О федеральном органе исполнительной власти, уполномоченном на осуществление мониторинга использования жилищного фонда и обеспечения его сохранности" приказываю:

1. Утвердить методические рекомендации по установлению минимального размера взноса на капитальный ремонт согласно приложению к настоящему приказу.

2. Контроль за исполнением настоящего приказа возложить на заместителя Министра строительства и жилищно-коммунального хозяйства Российской Федерации А.В. Чибиса.

Министр
М.А. МЕНЬ

Приложение
к приказу Министерства строительства
и жилищно-коммунального хозяйства
Российской Федерации
от 27 июня 2016 г. N 454/пр

МЕТОДИЧЕСКИЕ РЕКОМЕНДАЦИИ ПО УСТАНОВЛЕНИЮ МИНИМАЛЬНОГО РАЗМЕРА ВЗНОСА НА КАПИТАЛЬНЫЙ РЕМОНТ

Настоящие методические рекомендации разработаны в целях методического обеспечения деятельности органов государственной власти субъектов Российской Федерации по установлению минимального размера взноса на капитальный ремонт общего имущества собственников помещений в многоквартирных домах в соответствии с частью 8.1 статьи 156 Жилищного кодекса Российской Федерации (далее - Жилищный кодекс).

1. Общие положения

1.1. Установление субъектом Российской Федерации минимального размера взноса на капитальный ремонт общего имущества в многоквартирном доме (далее - минимальный размер взноса) рекомендуется осуществлять на основе следующих принципов:

определение минимального размера взноса на основе оценки общей потребности в средствах на финансирование услуг и (или) работ по капитальному ремонту общего имущества в многоквартирных домах (далее - капитальный ремонт многоквартирных домов, капитальный ремонт многоквартирного дома), входящих в перечень услуг и (или) работ по капитальному ремонту общего имущества в многоквартирном доме, предусмотренный частью 1 статьи 166 Жилищного кодекса Российской Федерации, а также нормативным правовым актом субъекта Российской Федерации, принятым в соответствии с частью 2 указанной статьи (далее - установленный перечень услуг и работ по капитальному ремонту) (далее - перечень минимально необходимых услуг и работ по капитальному ремонту);

доступность минимального размера взноса для граждан - собственников помещений в многоквартирных домах с учетом совокупных расходов на оплату жилого помещения и коммунальных услуг;

доступность минимального размера взноса для граждан - собственников помещений в многоквартирных домах с учетом совокупных расходов на оплату жилого помещения и коммунальных услуг;

достаточность финансовых средств, формируемых исходя из устанавливаемого минимального размера взноса, с учетом планируемых мер финансовой поддержки за счет средств бюджета субъекта Российской Федерации, местных бюджетов в соответствии со статьей 191 Жилищного кодекса Российской Федерации (далее - финансовая бюджетная поддержка) для обеспечения выполнения региональной программы капитального ремонта общего имущества в многоквартирных домах, разрабатываемой и утверждаемой в соответствии со статьей 168 Жилищного кодекса Российской Федерации (далее - региональная программа капитального ремонта).

2. Оценка общей потребности в средствах на финансирование капитального ремонта многоквартирных домов в рамках региональной программы капитального ремонта

2.1. В целях установления минимального размера взноса общую потребность в средствах на финансирование капитального ремонта многоквартирных домов, расположенных на территории субъекта Российской Федерации, в рамках региональной программы капитального ремонта () рекомендуется определять:

по муниципальным образованиям, входящим в субъект Российской Федерации;

исходя из оценочной стоимости капитального ремонта основных типов многоквартирных домов, расположенных на территории муниципального образования, по уровню благоустройства, конструктивным и техническим параметрам многоквартирных домов;

исходя из перечня минимально необходимых услуг и работ по капитальному ремонту для каждого типа многоквартирного дома, установленного субъектом Российской Федерации с учетом положений статьи 166 Жилищного кодекса Российской Федерации.

2.2. Оценочная стоимость капитального ремонта i-того типа многоквартирного дома в j-том муниципальном образовании () рекомендуется определять как суммарную стоимость всех услуг и работ, входящих в перечень минимально необходимых услуг и работ по капитальному ремонту данного типа многоквартирного дома с учетом:

стоимости разработки проектной документации (в случае, если подготовка проектной документации необходима в соответствии с законодательством Российской Федерации о градостроительной деятельности) и стоимости услуг по строительному контролю;

необходимости неоднократного выполнения отдельных видов услуг и (или) работ по капитальному ремонту в течение срока региональной программы капитального ремонта исходя из нормативных сроков эффективной эксплуатации до проведения очередного капитального ремонта (нормативных межремонтных сроков) отдельных элементов строительных конструкций и инженерных систем данного типа многоквартирного дома.

2.3. Стоимость каждой услуги и (или) работы по капитальному ремонту i-того типа многоквартирного дома в j-том муниципальном образовании рекомендуется определять на основе стоимости фактически оказанных услуг и (или) выполненных работ по капитальному ремонту многоквартирных домов данного типа за предшествующие один - три года с учетом индексов для приведения стоимости услуг и (или) работ к их стоимости на год утверждения региональной программы капитального ремонта - индексов изменения стоимости услуг и работ в строительстве, а при их отсутствии - индексов потребительских цен (далее - индексов изменения стоимости услуг и работ по капитальному ремонту).

2.4. Оценочную стоимость капитального ремонта i-того типа многоквартирного дома в j-том муниципальном образовании () рекомендуется определять в ценах года принятия (актуализации) региональной программы капитального ремонта (без учета инфляции в последующие годы реализации региональной программы капитального ремонта и других факторов).

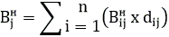
2.5. Общую потребность в средствах на финансирование капитального ремонта многоквартирных домов на территории j-го муниципального образования рекомендуется рассчитывать исходя из оценочной стоимости капитального ремонта основных типов многоквартирных домов и количества таких домов в муниципальном образовании:

(1)

где:

- общая потребность в средствах на финансирование капитального ремонта многоквартирных домов в j-том муниципальном образовании, тыс. руб.;

- оценочная стоимость капитального ремонта i-того типа многоквартирного дома в j-том муниципальном образовании, тыс. руб.;

- количество многоквартирных домов i-того типа в j-том муниципальном образовании;

n - число типов многоквартирных домов в j-том муниципальном образовании.

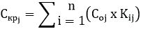
2.6. Общую потребность в средствах на финансирование капитального ремонта многоквартирных домов, расположенных на территории субъекта Российской Федерации, в рамках региональной программы капитального ремонта () рекомендуется рассчитывать как:

(2)

где:

- общая потребность в средствах на финансирование капитального ремонта многоквартирных домов, расположенных на территории субъекта Российской Федерации, в рамках региональной программы капитального ремонта, тыс. руб.;

- общая потребность в средствах на финансирование капитального ремонта многоквартирных домов в j-том муниципальном образовании, тыс. руб.;

m - количество муниципальных образований в субъекте Российской Федерации.

3. Определение необходимого размера взноса собственников помещений в многоквартирных домах на капитальный ремонт в рамках региональной программы капитального ремонта

3.1. Минимальный размер взноса рекомендуется определять на основании рассчитываемого согласно настоящему разделу методических рекомендаций размера взноса на капитальный ремонт общего имущества в многоквартирном доме, который обеспечит, при условии его ежемесячного внесения в течение всего срока реализации региональной программы капитального ремонта, формирование фонда капитального ремонта в размере, обеспечивающем финансирование установленного субъектом Российской Федерации перечня минимально необходимых услуг и работ по капитальному ремонту многоквартирного дома без привлечения финансовой бюджетной поддержки (далее - необходимый размер взноса на капитальный ремонт) с учетом оценки доступности необходимого размера вноса на капитальный ремонт для граждан - собственников помещений в многоквартирных домах.

3.2. Необходимый размер взноса на капитальный ремонт рекомендуется определять:

по муниципальным образованиям, входящим в субъект Российской Федерации, и по типам многоквартирных домов в муниципальном образовании;

исходя из удельной стоимости капитального ремонта основных типов многоквартирных домов, расположенных на территории муниципальных образований;

исходя из планируемого срока реализации региональной программы капитального ремонта многоквартирных домов.

3.3. Удельную стоимость капитального ремонта i-того типа многоквартирного дома в j-том муниципальном образовании рекомендуется рассчитывать в рублях на 1 квадратный метр общей площади жилого (нежилого) помещения в многоквартирном доме () на основе оценочной стоимости капитального ремонта данного типа многоквартирного дома, определенной в соответствии с разделом 2 настоящих методических рекомендаций.

3.4. Удельную стоимость капитального ремонта i-того типа многоквартирного дома в j-том муниципальном образовании рекомендуется рассчитывать путем деления оценочной стоимости капитального ремонта данного типа многоквартирного дома на суммарную общую площадь жилых и нежилых помещений в таком многоквартирном доме (без учета площади помещений, относящихся к общему имуществу в многоквартирном доме):

(3)

где:

- удельная стоимость капитального ремонта i-того типа многоквартирного дома в j-том муниципальном образовании, тыс. руб./кв. м;

- оценочная стоимость капитального ремонта i-того типа многоквартирного дома в j-том муниципальном образовании, тыс. руб.;

- суммарная общая площадь жилых и нежилых помещений в i-том типе многоквартирного дома в j-том муниципальном образовании, кв. м.

3.5. Необходимый размер взноса на капитальный ремонт в i-том типе многоквартирного дома в j-том муниципальном образовании в рублях на 1 квадратный метр общей площади помещений в многоквартирном доме в месяц () при допущении постоянства размера такого взноса в течение срока региональной программы капитального ремонта рекомендуется рассчитывать путем деления удельной стоимости капитального ремонта i-того типа многоквартирного дома в j-том муниципальном образовании на общий срок региональной программы, исчисленный в календарных месяцах:

(4)

где:

- размер необходимого взноса на капитальный ремонт собственников помещений в i-том типе многоквартирного дома в j-том муниципальном образовании, руб./кв. м в месяц;

- удельная стоимость капитального ремонта i-того типа многоквартирного дома в j-том муниципальном образовании, тыс. руб./кв. м;

N - срок реализации региональной программы капитального ремонта, годы;

12 - число календарных месяцев в году.

3.6. Рекомендуется устанавливать срок региональной программы капитального ремонта (N), составляющий тридцать лет.

3.7. Поскольку согласно части 8.1 статьи 156 Жилищного кодекса минимальный размер взноса может быть дифференцирован с учетом типа многоквартирного дома и стоимости проведения капитального ремонта отдельных элементов строительных конструкций и инженерных систем многоквартирного дома с целью оценки целесообразности дифференциации минимального размера взноса по типам многоквартирных домов субъекту Российской Федерации рекомендуется оценить целесообразность дифференциации минимального размера взноса по типам многоквартирных домов в муниципальных образованиях, исходя из различий между рассчитанными значениями необходимого размера взноса на капитальный ремонт для разных типов многоквартирных домов в муниципальных образованиях.

3.8. Установление минимального размера взноса, дифференцированного по типам многоквартирных домов в муниципальном образовании, рекомендуется осуществлять при выявлении разницы между значениями необходимого размера взноса на капитальный ремонт для разных типов многоквартирных домов, превышающей 10 процентов.

3.9. В случае, если разница между значениями необходимого размера взноса на капитальный ремонт для разных типов многоквартирных домов в муниципальном образовании не превышает 10 процентов, рекомендуется принимать единое значение необходимого размера взноса () по муниципальному образованию, определенное как средневзвешенное рассчитанных значений необходимого размера взноса для разных типов многоквартирных домов, с учетом доли данных типов многоквартирных домов в общей площади многоквартирного жилищного фонда в муниципальном образовании:

(5)

где:

- единое значение необходимого размера взноса на капитальный ремонт в j-том муниципальном образовании, руб./кв. м в месяц;

- размер необходимого взноса на капитальный ремонт собственников помещений в i-том типе многоквартирного дома в j-том муниципальном образовании, руб./кв. м в месяц;

- доля суммарной площади многоквартирных домов i-того типа в общей площади многоквартирного жилищного фонда в j-том муниципальном образовании;

n - число типов многоквартирных домов в j-том муниципальном образовании.

4. Оценка доступности необходимого размера взноса на капитальный ремонт для граждан - собственников помещений в многоквартирных домах

4.1. Оценку доступности необходимого размера взноса на капитальный ремонт для граждан - собственников помещений в многоквартирных домах (далее - доступность для граждан) рекомендуется проводить по муниципальным образованиям.

4.2. Оценку доступности для граждан рекомендуется проводить для единого по муниципальному образованию значения необходимого размера взноса на капитальный ремонт или для минимального из значений необходимого размера взноса на капитальный ремонт, если установлена целесообразность дифференциации минимального размера взноса по типам многоквартирных домов в муниципальном образовании. В случае признания минимального значения необходимого размера взноса на капитальный ремонт доступным для граждан рекомендуется проводить для следующего (следующих) значения необходимого размера взноса на капитальный ремонт.

4.3. В качестве критерия доступности для граждан необходимого размера взноса на капитальный ремонт рекомендуется использовать критерий "Доля расходов граждан на оплату жилого помещения и коммунальных услуг в совокупном доходе семьи (в процентах)".

4.4. Оценку доступности для граждан необходимого размера взноса на капитальный ремонт рекомендуется проводить путем сопоставления прогнозируемой доли расходов граждан на оплату жилого помещения и коммунальных услуг в совокупном доходе семьи с рекомендуемым предельным значением данного критерия.

4.5. Прогнозируемую долю расходов граждан на оплату жилого помещения и коммунальных услуг в совокупном доходе семьи рекомендуется рассчитывать как отношение прогнозируемого совокупного платежа за жилищно-коммунальные услуги (в состав которого входит взнос на капитальный ремонт исходя из необходимого размера взноса на капитальный ремонт) в расчете на одного человека в месяц к среднедушевому доходу в муниципальном образовании:

(6)

где:

- доля расходов граждан на оплату жилого помещения и коммунальных услуг в совокупном доходе семьи в j-том муниципальном образовании, %;

- прогнозируемый совокупный платеж за жилищно-коммунальные услуги в j-том муниципальном образовании, руб./чел. в месяц;

- среднедушевой доход в j-том муниципальном образовании, руб./чел. в месяц.

4.6. Прогнозируемый совокупный платеж за жилищно-коммунальные услуги в расчете на человека в месяц рекомендуется рассчитывать исходя из следующих данных:

размер расходов по оплате жилищно-коммунальных услуг в расчете на одного человека в месяц (источник: результаты государственного федерального статистического наблюдения по форме 22-жкх, показатель "Возмещение затрат за предоставление услуг по установленным для населения тарифам по всем жилищно-коммунальным услугам");

оцениваемый на предмет доступности для граждан необходимый размер взноса на капитальный ремонт;

средний размер общей площади жилого помещения в расчете на одного человека (источник: результаты государственного федерального статистического наблюдения по форме 1-жилфонд).

4.7. Прогнозируемый совокупный платеж за жилищно-коммунальные услуги рекомендуется рассчитывать с учетом индекса роста платежа населения за жилищно-коммунальные услуги:

(7)

где:

- прогнозируемый совокупный платеж за жилищно-коммунальные услуги в j-том муниципальном образовании, руб./чел. в месяц;

- размер расходов по оплате жилищно-коммунальных услуг в расчете на одного человека в j-том муниципальном образовании, руб./чел. в месяц;

- индекс роста платежа населения за жилищно-коммунальные услуги;

- необходимый размер взноса на капитальный ремонт, оцениваемый на доступность для граждан, руб./кв. м;

- средний размер общей площади жилого помещения в расчете на одного человека в j-том муниципальном образовании, кв. м/чел.

4.8. При отсутствии данных о среднедушевом доходе в муниципальном образовании рекомендуется определять его путем коррекции среднедушевого дохода населения субъекта Российской Федерации (по данным статистического сборника "Социальное положение и уровень жизни населения") по уровню заработной платы в муниципальном образовании.

4.9. Прогнозируемый среднедушевой доход в муниципальном образовании рекомендуется определять исходя из прогноза социально-экономического развития муниципального образования. При отсутствии данного прогноза прогнозируемый среднедушевой доход рекомендуется определять на основе прогноза социально-экономического развития субъекта Российской Федерации или Российской Федерации.

4.10. Предельное значение доли расходов граждан на оплату жилого помещения и коммунальных услуг в совокупном доходе семьи после установления минимального размера взноса на капитальный ремонт рекомендуется определять с учетом ограничений повышения размера вносимой гражданами платы за коммунальные услуги, установленных в соответствии с действующим законодательством.

4.11. В случае если проведенная оценка выявит недоступность для граждан необходимого размера взноса на капитальный ремонт, рекомендуется произвести расчет предельного значения размера взноса на капитальный ремонт по муниципальному образованию, удовлетворяющее критерию доступности для граждан (далее - предельный размер взноса на капитальный ремонт).

4.12. Для проверки целесообразности дифференциации минимального размера взноса по муниципальным образованиям в соответствии с частью 8.1 статьи 156 Жилищного кодекса Российской Федерации исходя из различий в платежеспособности населения по муниципальным образованиям субъекту Российской Федерации рекомендуется оценить различия значений предельного размера взноса на капитальный ремонт по муниципальным образованиям.

4.13. Установление минимального размера взноса, дифференцированного по муниципальным образованиям исходя из критерия доступности для граждан, рекомендуется осуществлять при разнице значений предельного размера взноса на капитальный ремонт по муниципальным образованиям, превышающей 10 процентов.

5. Установление минимального размера взноса на капитальный ремонт на первый год реализации региональной программы капитального ремонта

5.1. Минимальный размер взноса на первый год реализации региональной программы капитального ремонта рекомендуется устанавливать на основе определенных в соответствии с разделами 3 и 4 настоящих методических рекомендаций значений необходимого размера взноса на капитальный ремонт и предельного размера взноса на капитальный ремонт.

5.2. Субъекту Российской Федерации рекомендуется устанавливать минимальный размер взноса на первый год реализации региональной программы капитального ремонта:

равным рассчитанному значению необходимого размера взноса на капитальный ремонт при условии, что размер такого взноса не превышает значения предельного размера взноса на капитальный ремонт;

равным или максимально близким к рассчитанному значению предельного размера взноса на капитальный ремонт в случае, если необходимый размер взноса на капитальный ремонт не удовлетворяет критерию доступности для граждан.

5.3. Минимальный размер взноса может быть установлен в размере меньшем, чем предельный размер взноса на капитальный ремонт, исходя из социально-экономической ситуации в субъекте Российской Федерации при условии учета возникающей разницы в объеме финансовых средств, необходимых для финансирования капитального ремонта многоквартирных домов в рамках региональной программы капитального ремонта, и средств, формируемых за счет взносов собственников помещений в многоквартирных домах, при определении необходимого объема финансовой бюджетной поддержки.

5.4. Дифференциацию минимального размера взноса по муниципальным образованиям и по типам многоквартирных домов в муниципальном образовании рекомендуется производить на основе оценки целесообразности такой дифференциации в соответствии с разделами 3 и 4 настоящих методических рекомендаций.

6. Изменение минимального размера взноса в течение срока реализации региональной программы капитального ремонта

6.1. Субъекту Российской Федерации рекомендуется устанавливать минимальный размер взноса на каждый очередной год реализации региональной программы капитального ремонта.

6.2. При изменении минимального размера взноса в течение срока реализации региональной программы капитального ремонта рекомендуется учитывать изменение уровня платежеспособности населения, стоимости услуг и работ, входящих в перечень минимально необходимых услуг и работ по капитальному ремонту многоквартирных домов в рамках региональной программы капитального ремонта.

6.3. Для обоснованного установления минимального размера взноса в течение срока реализации региональной программы капитального ремонта субъекту Российской Федерации рекомендуется через каждые три года (до начала очередного трехлетнего плана реализации региональной программы капитального ремонта) осуществлять переоценку значений необходимого размера взноса на капитальный ремонт и предельного размера взноса на капитальный ремонт в соответствии с настоящими методическими рекомендациями и устанавливать минимальный размер взноса на основе проведенной переоценки.

6.4. В период между переоценками значений необходимого размера взноса на капитальный ремонт и предельного размера взноса на капитальный ремонт минимальный размер взноса на очередной год реализации региональной программы капитального ремонта рекомендуется устанавливать на основе размера такого взноса в предшествующий год региональной программы капитального ремонта с применением повышающего коэффициента, отражающего планируемое сближение значений минимального размера взноса и необходимого размера взноса на капитальный ремонт для сокращения потребности в финансовой бюджетной поддержке, а также индекса изменения стоимости услуг и работ по капитальному ремонту.

7. Сведения, публикуемые при установлении минимального размера взноса на капитальный ремонт

7.1. Субъекту Российской Федерации рекомендуется размещать в государственной информационной системе жилищно-коммунального хозяйства и на официальном сайте субъекта Российской Федерации в информационно-телекоммуникационной сети "Интернет" следующие сведения, используемые при установлении минимального размера взноса и при финансировании капитального ремонта многоквартирных домов за счет средств фондов капитального ремонта, сформированных исходя из установленного минимального размера взноса:

перечень минимально необходимых услуг и работ по капитальному ремонту (по типам многоквартирных домов), стоимость которых учитывалась при установлении минимального размера взноса и финансирование которых обеспечивается за счет средств фонда капитального ремонта, формируемого исходя из минимального размера взноса, с учетом финансовой бюджетной поддержки;

оценочная стоимость капитального ремонта многоквартирного дома, включающего все услуги и работы, входящие в перечень минимально необходимых услуг и работ по капитальному ремонту, всего на многоквартирный дом и в расчете на 1 квадратный метр общей площади помещений в многоквартирном доме (удельная стоимость капитального ремонта) (по типам многоквартирных домов);

оценочная стоимость каждой услуги и работы, входящей в перечень минимально необходимых услуг и работ по капитальному ремонту, в расчете на единицу измерения, соответствующую количественным характеристикам объектов общего имущества в многоквартирном доме, в отношении которых выполняются услуги и (или) работы по капитальному ремонту.

7.2. Сведения, указанные в пункте 7.1, рекомендуется включать в приложение (приложения) к нормативному правовому акту субъекта Российской Федерации, устанавливающему минимальный размер взноса на капитальный ремонт.