Приказ Минэнерго РФ от 06.10.2015 N 728

"Об утверждении Административного регламента исполнения Министерством энергетики Российской Федерации государственной функции по контролю за деятельностью саморегулируемых организаций в области энергетического обследования"
Редакция от 13.07.2016 — Документ утратил силу, см. «Приказ Минэнерго РФ от 18.02.2020 N 108»
Показать изменения

Зарегистрировано в Минюсте России 26 января 2016 г. N 40782


МИНИСТЕРСТВО ЭНЕРГЕТИКИ РОССИЙСКОЙ ФЕДЕРАЦИИ

ПРИКАЗ
от 6 октября 2015 г. N 728

ОБ УТВЕРЖДЕНИИ АДМИНИСТРАТИВНОГО РЕГЛАМЕНТА ИСПОЛНЕНИЯ МИНИСТЕРСТВОМ ЭНЕРГЕТИКИ РОССИЙСКОЙ ФЕДЕРАЦИИ ГОСУДАРСТВЕННОЙ ФУНКЦИИ ПО КОНТРОЛЮ ЗА ДЕЯТЕЛЬНОСТЬЮ САМОРЕГУЛИРУЕМЫХ ОРГАНИЗАЦИЙ В ОБЛАСТИ ЭНЕРГЕТИЧЕСКОГО ОБСЛЕДОВАНИЯ

(в ред. Приказа Минэнерго РФ от 13.07.2016 N 666)

В соответствии с Правилами разработки и утверждения административных регламентов исполнения государственных функций, утвержденными постановлением Правительства Российской Федерации от 16 мая 2011 г. N 373 (Собрание законодательства Российской Федерации, 2011, N 22, ст. 3169; 2012, N 28, ст. 3908; N 52, ст. 7507; 2014, N 5, ст. 506), приказываю:

1. Утвердить прилагаемый Административный регламент исполнения Министерством энергетики Российской Федерации государственной функции по контролю за деятельностью саморегулируемых организаций в области энергетического обследования.

2. Признать утратившим силу приказ Минэнерго России от 30 декабря 2011 г. N 650 "Об утверждении Порядка проведения Министерством энергетики Российской Федерации плановых и внеплановых проверок саморегулируемых организаций в области энергетического обследования" (зарегистрирован Минюстом России 13 февраля 2012 г., регистрационный N 23203).

Министр
А.В. НОВАК

УТВЕРЖДЕН
приказом Минэнерго России
от 6 октября 2015 г. N 728

АДМИНИСТРАТИВНЫЙ РЕГЛАМЕНТ ИСПОЛНЕНИЯ МИНИСТЕРСТВОМ ЭНЕРГЕТИКИ РОССИЙСКОЙ ФЕДЕРАЦИИ ГОСУДАРСТВЕННОЙ ФУНКЦИИ ПО КОНТРОЛЮ ЗА ДЕЯТЕЛЬНОСТЬЮ САМОРЕГУЛИРУЕМЫХ ОРГАНИЗАЦИЙ В ОБЛАСТИ ЭНЕРГЕТИЧЕСКОГО ОБСЛЕДОВАНИЯ

(в ред. Приказа Минэнерго РФ от 13.07.2016 N 666)

I. Общие положения

1. Административный регламент исполнения Министерством энергетики Российской Федерации (далее - Минэнерго России) государственной функции по контролю за деятельностью саморегулируемых организаций в области энергетического обследования (далее - Административный регламент, государственная функция) устанавливает сроки и последовательность административных процедур (действий) при осуществлении государственного контроля (надзора).

Административный регламент устанавливает порядок взаимодействия между структурными подразделениями Минэнерго России, их должностными лицами, а также взаимодействия Минэнерго России с физическими и юридическими лицами, иными органами государственной власти и органами местного самоуправления, учреждениями и организациями при исполнении государственной функции.

Наименование государственной функции

2. Государственная функция по контролю за деятельностью саморегулируемых организаций в области энергетического обследования.

Наименование федерального органа исполнительной власти, исполняющего государственную функцию

3. Исполнение-государственной функции осуществляет Минэнерго России. Обеспечение исполнения государственной функции осуществляет Департамент управления делами Минэнерго России (далее - Департамент). (в ред. Приказа Минэнерго РФ от 13.07.2016 N 666)

Перечень нормативных правовых актов, регулирующих исполнение государственной функции, с указанием их реквизитов и источников официального опубликования

4. Исполнение государственной функции осуществляется в соответствии с:

частью 9 статьи 9.16 и статьей 23.71 Кодекса Российской Федерации об административных правонарушениях (Собрание законодательства Российской Федерации, 2002, N 1, ст. 1; 2009, N 48, ст. 5711; 2013, N 23, ст. 2871; 2014, N 42, ст. 5615);

Федеральным законом от 23 ноября 2009 г. N 261-ФЗ "Об энергосбережении и о повышении энергетической эффективности и о внесении изменений в отдельные законодательные акты Российской Федерации" (Собрание законодательства Российской Федерации, 2009, N 48, ст. 5711; 2010, N 19, ст. 2291; N 31, ст. 4160, ст. 4206; 2011, N 29, ст. 4288, ст. 4291; N 30, ст. 4590; N 49, ст. 7061; N 50, ст. 7344, ст. 7359; N 51, ст. 7447; 2012, N 26, ст. 3446; N 29, ст. 3989; N 53, ст. 7595; 2013, N 14, ст. 1652; N 23, ст. 2871; N 27, ст. 3477; N 52, ст. 6961, ст. 6964, ст. 6966; 2014, N 40, ст. 5322; N 45, ст. 6149, ст. 6154; 2015, N 1, ст. 19; N 27, ст. 3967; N 29, ст. 4359) (далее - Федеральный закон N 261-ФЗ);

Федеральным законом от 1 декабря 2007 г. N 315-ФЗ "О саморегулируемых организациях" (Собрание законодательства Российской Федерации, 2007, N 49, ст. 6076; 2008, N 30, ст. 3604; N 30, ст. 3616; 2009, N 18, ст. 2142; N 52, ст. 6450; 2010, N 31, ст. 4209; 2011, N 27, ст. 3880; N 48, ст. 6728; N 49, ст. 7061; 2012, N 26,ст. 3446; 2013, N 23, ст. 2871; 2014, N 48, ст. 6640) (далее - Федеральный закон N 315-ФЗ);

Федеральным законом от 26 декабря 2008 г. N 294-ФЗ "О защите прав юридических лиц и индивидуальных предпринимателей при осуществлении государственного контроля (надзора) и муниципального контроля" (Собрание законодательства Российской Федерации, 2008, N 52, ст. 6249; 2009, N 18, ст. 2140; N 29, ст. 3601; N 48, ст. 5711; N 52, ст. 6441; 2010, N 17, ст. 1988; N 18, ст. 2142; N 31, ст. 4160, ст. 4193, 4196; N 32, ст. 4298; 2011, N 1, ст. 20; N 17, ст. 2310; N 23, ст. 3263; N 27, ст. 3880; N 30, ст. 4590; N 48, ст. 6728; 2012, N 19, ст. 2281; N 26, ст. 3446; N 31, ст. 4320, ст. 4322; N 47, ст. 6402; 2013, N 9, ст. 874; N 27, ст. 3477; N 30, ст. 4041; N 44, ст. 5633; N 48, ст. 6165; N 49, ст. 6338; N 52, ст. 6961, ст. 6979, ст. 6981; 2014, N 11, ст. 1092, ст. 1098; N 26, ст. 3366; N 30, ст. 4220, ст. 4235, ст. 4256; N 42, ст. 5615; N 48, ст. 6659; 2015, N 1, ст. 53, ст. 64, ст. 72, ст. 85; N 14, ст. 2022; N 27, ст. 3950; N 29, ст. 4339, ст. 4362, ст. 4372; N 48, ст. 6707) (далее - Федеральный закон N 294-ФЗ);

постановлением Правительства Российской Федерации от 28 мая 2008 г. N 400 "О Министерстве энергетики Российской Федерации" (Собрание законодательства Российской Федерации, 2008, N 22, ст. 2577; N 42, ст. 4825; N 46, ст. 5337; 2009, N 3, ст. 378; N 6, ст. 738; N 33, ст. 4088; N 52, ст. 6586; 2010, N 9, ст. 960; N 26, ст. 3350; N 31, ст. 4251; N 47, ст. 6128; 2011, N 6, ст. 888; N 14, ст. 1935; N 44, ст. 6269; 2012, N 11, ст. 1293; N 15, ст. 1779; N 31, ст. 4386; N 37, ст. 5001; N 40, ст. 5449; 2013, N 17, ст. 2171; N 29, ст. 3970; N 33, ст. 4386; N 35, ст. 4525; N 44, ст. 5752; N 45, ст. 5822; 2014, N 8, ст. 813; N 40, ст. 5446; 2015, N 2, ст. 491);

постановлением Правительства Российской Федерации от 30 июня 2010 г. N 489 "Об утверждении Правил подготовки органами государственного контроля (надзора) и органами муниципального контроля ежегодных планов проведения плановых проверок юридических лиц и индивидуальных предпринимателей" (Собрание законодательства Российской Федерации, 2010, N 28, ст. 3706; 2012, N 2, ст. 301, N 53, ст. 7958; 2015, N 49, ст. 6964);

постановлением Правительства Российской Федерации от 16 мая 2011 г. N 373 "О разработке и утверждении административных регламентов исполнения государственных функций и административных регламентов предоставления государственных услуг" (Собрание законодательства Российской Федерации, 2011, N 22, ст. 3169, N 35, ст. 5092; 2012, N 28, ст. 3908, N 36, ст. 4903, N 50, ст. 7070, N 52, ст. 7507; 2014, N 5, ст. 506);

постановлением Правительства Российской Федерации от 7 июля 2011 г. N 553 "О порядке оформления и представления заявлений и иных документов, необходимых для предоставления государственных и (или) муниципальных услуг, в форме электронных документов" (Собрание законодательства Российской Федерации, 2011, N 29, ст. 4479);

приказом Минэкономразвития России от 30 апреля 2009 г. N 141 "О реализации положений Федерального закона "О защите прав юридических лиц и индивидуальных предпринимателей при осуществлении государственного контроля (надзора) и муниципального контроля" (зарегистрирован Минюстом России 13 мая 2009 г., регистрационный N 13915) (далее - приказ N 141).

Предмет государственного контроля (надзора)

5. Предметом государственного контроля является соблюдение саморегулируемой организацией в области энергетического обследования (далее - СРО) требований к таким организациям, их деятельности, требований к проведению энергетического обследования, установленных Федеральным законом N 261-ФЗ, Федеральным законом N 315-ФЗ и принимаемыми в соответствие с ними иными нормативными правовыми актами Российской Федерации (далее - обязательные требования).

Права и обязанности должностных лиц при осуществлении государственного контроля (надзора)

6. Должностные лица Департамента при исполнении государственной функции имеют право:

запрашивать и получать от СРО, в отношении которой проводится проверка, документы, объяснения в письменной и (или) устной форме и иную информацию, необходимую для исполнения государственной функции;

привлекать к проведению выездной проверки СРО экспертов, экспертные организации, не состоящие в гражданско-правовых и трудовых отношениях с СРО и не являющихся ее аффилированными лицами.

7. Должностные лица Департамента при исполнении государственной функции обязаны:

своевременно и в полной мере исполнять предоставленные в соответствии с законодательством Российской Федерации полномочия по предупреждению, выявлению и пресечению нарушений СРО обязательных требований;

соблюдать законодательство Российской Федерации, права и законные интересы СРО, проверка которой проводится;

проводить проверку на основании приказа Минэнерго России о ее проведении в соответствии с ее назначением;

проводить проверку только во время исполнения служебных обязанностей, выездную проверку только при предъявлении служебных удостоверений, копии приказа Минэнерго России о проведении проверки и в случае проведения внеплановой выездной проверки - копии документа о согласовании проведения проверки с органом прокуратуры по месту осуществления деятельности СРО;

не препятствовать руководителю, иному должностному лицу или уполномоченному представителю СРО присутствовать при проведении проверки и давать разъяснения по вопросам, относящимся к предмету проверки;

предоставлять руководителю, иному должностному лицу или уполномоченному представителю СРО, присутствующим при проведении проверки, информацию и документы, относящиеся к предмету проверки;

знакомить руководителя, иного должностного лица или уполномоченного представителя СРО с результатами проверки;

учитывать при определении мер, принимаемых по фактам выявленных нарушений, соответствие указанных мер тяжести нарушений, их потенциальной опасности для жизни, здоровья людей, для животных, растений, окружающей среды, объектов культурного наследия (памятников истории и культуры) народов Российской Федерации, безопасности государства, для возникновения чрезвычайных ситуаций природного и техногенного характера, а также не допускать необоснованное ограничение прав и законных интересов граждан, в том числе индивидуальных предпринимателей, юридических лиц;

доказывать обоснованность своих действий при их обжаловании СРО в порядке, установленном законодательством Российской Федерации;

соблюдать сроки проведения проверки, установленные Федеральным законом N 294-ФЗ;

не требовать от СРО документы и иные сведения, представление которых не предусмотрено законодательством Российской Федерации;

перед началом проведения выездной проверки по просьбе руководителя, иного должностного лица или уполномоченного представителя СРО ознакомить их с положениями Административного регламента;

осуществлять запись о проведенной проверке в журнале учета проверок.

Права и обязанности лиц, в отношении которых осуществляются мероприятия по контролю (надзору)

8. Руководитель, иное должностное лицо или уполномоченный представитель СРО при исполнении должностными лицами Департамента государственной функции имеет право:

непосредственно присутствовать при проведении проверки, давать объяснения по вопросам, относящимся к предмету проверки;

получать от должностных лиц Департамента информацию, которая относится к предмету проверки и предоставление которой предусмотрено Федеральным законом N 294-ФЗ;

знакомиться с результатами проверки и указывать в акте проверки о своем ознакомлении с результатами проверки, согласии или несогласии с ними, а также с отдельными действиями должностных лиц Департамента;

обжаловать действия (бездействие) должностных лиц Департамента, повлекшие за собой нарушение прав СРО при проведении проверки, в административном и (или) судебном порядке в соответствии с законодательством Российской Федерации;

привлекать Уполномоченного при Президенте Российской Федерации по защите прав предпринимателей либо уполномоченного по защите прав предпринимателей в субъекте Российской Федерации к участию в проверке.

9. Руководитель, иное должностное лицо или уполномоченный представитель СРО при исполнении должностными лицами Департамента государственной функции обязан:

при проведении документарной проверки в течение 10 рабочих дней со дня получения мотивированного запроса должностного лица Департамента (далее - мотивированный запрос) направить в Минэнерго России указанные в запросе документы;

при проведении выездной проверки предоставить должностным лицам Департамента возможность ознакомиться с документами, связанными с целями, задачами и предметом проверки;

обеспечить при проведении выездной проверки присутствие руководителей, иных должностных лиц или уполномоченных представителей СРО;

обеспечить ведение журнала проверок.

Описание результата исполнения государственной функции

10. Результатом исполнения государственной функции является акт проверки.

II. Требования к порядку исполнения государственной функции

Порядок информирования об исполнении государственной функции

11. Информирование по вопросу исполнения государственной функции осуществляет Департамент.

Место нахождения и почтовый адрес Минэнерго России: 107996, ГСП-6, г. Москва, ул. Щепкина, д. 42, стр. 1, 2.

Справочный телефон Минэнерго России: 8 (495) 631-98-58; факс:

8 (495) 631-83-64.

Телефон приемной Департамента: 8 (495) 631-84-02.

Адрес официального сайта Минэнерго России в сети Интернет: www.minenergo.gov.ru (далее - официальный сайт Минэнерго России).

Адрес электронной почты (для справок): minenergo@minenergo.gov.ru.

График работы экспедиции Минэнерго России и Департамента:

понедельник - четверг: 09:00 -18:00,

пятница: 09:00 -16:45,

обеденный перерыв: 12:00 - 12:45;

суббота и воскресенье: выходные дни.

12. Для получения информации по вопросам исполнения государственной функции заинтересованное лицо обращается в Минэнерго России:

а) лично;

б) по телефону;

в) в письменном виде почтовым отправлением;

г) в форме электронного сообщения.

13. Основными требованиями к информированию заинтересованных лиц являются достоверность предоставляемой информации, четкость в изложении информации, полнота информирования, удобство и доступность получения информации, оперативность предоставления информации.

Информирование заинтересованных лиц организуется путем индивидуального информирования или публичного информирования.

Индивидуальное информирование проводится в форме устного и письменного информирования.

14. Индивидуальное устное информирование осуществляется должностными лицами Департамента при обращении заинтересованного лица за информацией:

а) лично;

б) по телефону.

15. Должностные лица Департамента, осуществляющие индивидуальное устное информирование, должны принять все необходимые меры для дачи полного и оперативного ответа на поставленные вопросы.

16. Индивидуальное письменное информирование при обращении заинтересованного лица в Минэнерго России осуществляется путем направления ответов почтовым отправлением или в форме электронного сообщения (в зависимости от способа обращения заинтересованного лица за информацией или способа доставки ответа, указанного в обращении).

17. Ответ на обращение заинтересованного лица предоставляется в простой, четкой и понятной форме с указанием должности, фамилии, имени, отчества (последнее при наличии), номера телефона должностного лица Департамента.

18. При индивидуальном письменном информировании ответ направляется заинтересованному лицу в течение 30 дней со дня регистрации письменного обращения в экспедиции Минэнерго России.

19. Публичное информирование осуществляется путем публикации информационных материалов на официальном сайте Минэнерго России.

20. На стендах в месте исполнения государственной функции размещаются следующие информационные материалы:

информация о порядке исполнения государственной функции (в текстовом виде и в виде блок-схемы, наглядно отображающей алгоритм исполнения административных процедур);

текст настоящего Административного регламента;

выдержки из нормативных правовых актов по часто задаваемым вопросам.

21. На официальном сайте Минэнерго России размещаются следующие информационные материалы:

ежегодный план проведения плановых проверок, утвержденный приказом Минэнерго России;

справочные телефоны, по которым можно получить информацию по вопросам исполнения государственной функции, адреса электронной почты должностных лиц Департамента;

текст настоящего Административного регламента.

22. Информацию по вопросам исполнения государственной функции заинтересованные лица также могут получить с использованием федеральной государственной информационной системы "Единый портал государственных и муниципальных услуг (функций)".

Срок исполнения государственной функции

23. Общий срок проведения документарной или выездной проверки не может превышать 20 рабочих дней.

24. В исключительных случаях, связанных с необходимостью проведения сложных и (или) длительных исследований, испытаний, специальных экспертиз и расследований на основании мотивированных предложений должностных лиц Департамента, проводящих выездную плановую проверку, срок проведения выездной плановой проверки может быть продлен Министром энергетики Российской Федерации, но не более чем на 20 рабочих дней, в отношении малых предприятий не более чем на 50 часов, микропредприятий не более чем на 15 часов.

Срок проведения документарной и выездной проверок в отношении СРО, которая осуществляет свою деятельность на территории нескольких субъектов Российской Федерации, устанавливается отдельно по каждому филиалу, представительству, обособленному структурному подразделению СРО, при этом общий срок проведения проверок не может превышать 60 рабочих дней.

III. Состав, последовательность и сроки выполнения административных процедур (действий), требования к порядку их выполнения

25. Исполнение государственной функции включает в себя следующие административные процедуры (действия):

подготовка к проведению проверки;

проведение проверки:

документарная проверка;

выездная проверка;

внеплановая проверка.

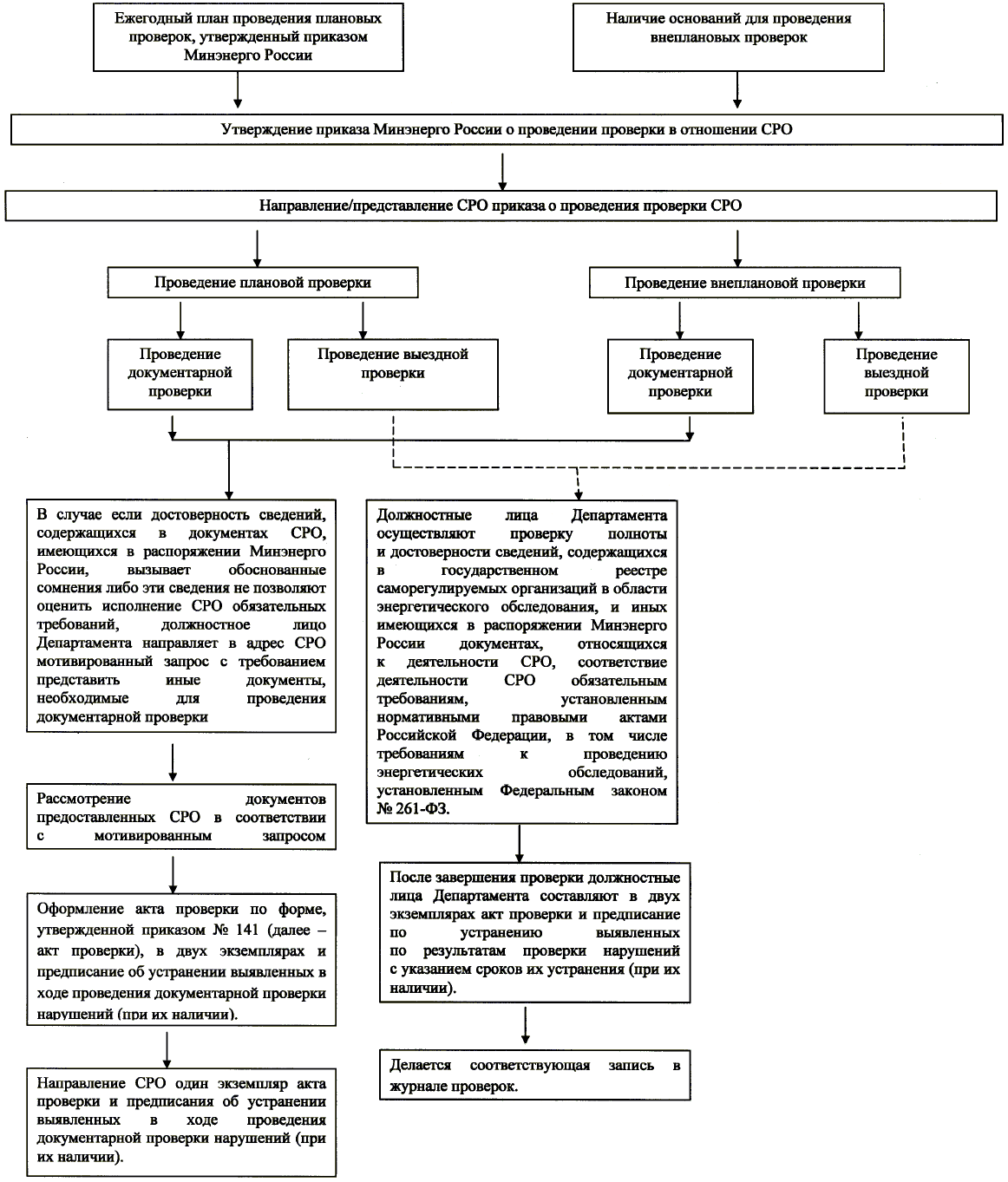
26. Блок-схема исполнения государственной функции приведена в приложении к Административному регламенту.

Подготовка к проведению проверки

27. Основанием для начала административной процедуры является ежегодный план проведения плановых проверок, утверждаемый приказом Минэнерго России (далее - план проверок).

28. За 5 рабочих дней до даты начала проведения плановой проверки, указанной в плане проверок, директор (заместитель директора) Департамента назначает ответственного исполнителя (далее - исполнитель).

29. Исполнитель в течение 1 рабочего дня подготавливает проект приказа Минэнерго России о проведении плановой документарной проверки (далее - приказ о проведении документарной проверки) или проект приказа Минэнерго России о проведении плановой выездной проверки (далее - приказ о проведении выездной проверки) по форме, утвержденной приказом N 141, визирует его у директора (заместителя директора) Департамента и обеспечивает представление на подпись Министру энергетики Российской Федерации (далее - Министр).

30. Критерием принятия решения о проведении плановой проверки в отношении СРО является включение ее в план проверок.

31. Результатом административной процедуры является подписание Министром приказа о проведении документарной проверки или приказа о проведении выездной проверки.

32. Способом фиксации результата административной процедуры является регистрация соответствующего приказа в ведомственной информационной системе Минэнерго России.

Проведение проверки:

Документарная проверка

33. Основанием для проведения плановой документарной проверки является приказ о проведении документарной проверки, подписанный Министром.

34. Исполнитель, ответственный за проведение документарной проверки, указанный в приказе о проведении документарной проверки, в течение 3 рабочих дней с даты подписания приказа о проведении документарной проверки осуществляет проверку документов СРО, имеющихся в распоряжении Минэнерго России, на их соответствие обязательным требованиям.

35. В случае если достоверность сведений, содержащихся в документах, имеющихся в распоряжении Минэнерго России, вызывает обоснованные сомнения либо эти сведения не позволяют оценить исполнение СРО обязательных требований исполнитель ответственный за проведение документарной проверки, в течение 1 рабочего дня по окончании рассмотрения документов, направляет в адрес СРО мотивированный запрос с требованием представить иные необходимые для рассмотрения в ходе проведения документарной проверки документы. К запросу прилагается заверенная копия приказа о проведении документарной проверки.

36. Исполнитель, ответственный за проведение документарной проверки, в течение 3 рабочих дней проводит проверку представленных СРО документов.

37. По окончании проведения документарной проверки, исполнитель, ответственный за проведение документарной проверки, в течение 1 рабочего дня подготавливает акт проверки по форме, утвержденной приказом N 141 (далее - акт проверки), в двух экземплярах и предписание об устранении выявленных в ходе проведения документарной проверки нарушений (при их наличии).

38. Исполнитель, ответственный за проведение документарной проверки, в течение 1 рабочего дня обеспечивает направление СРО одного экземпляра акта проверки и предписания об устранении выявленных в ходе проведения документарной проверки нарушений (при их наличии).

39. Результатом административной процедуры является акт проверки.

Выездная проверка

40. Основанием для начала административной процедуры является приказ о проведении выездной проверки, утвержденный Министром.

41. Исполнитель, ответственный за проведение выездной проверки, указанный в приказе о проведении выездной проверки, в течение 1 рабочего дня соответствующего дню издания приказа о проведении выездной проверки подготавливает и обеспечивает направление СРО копии приказа о проведении выездной проверки.

42. Предметом выездной проверки является проверка полноты и достоверности сведений, содержащихся в государственном реестре саморегулируемых организаций в области энергетического обследования, и иных имеющихся в распоряжении Минэнерго России документах, относящихся к деятельности СРО, соответствие деятельности СРО обязательным требованиям.

43. Выездная проверка начинается с предъявления служебного удостоверения исполнителя, ответственного за проведение выездной проверки, обязательного ознакомления руководителя или иного должностного лица СРО, ее уполномоченного представителя с приказом о проведении выездной проверки и с полномочиями проводящих выездную проверку лиц, а также с целями, задачами, основаниями проведения выездной проверки, видами и объемом мероприятий по контролю, со сроками и условиями ее проведения.

44. Непосредственно после завершения выездной проверки оформляется акт проверки в двух экземплярах, один из которых с копиями приложений вручается руководителю, иному должностному лицу или уполномоченному представителю СРО под расписку об ознакомлении либо об отказе в ознакомлении с актом проверки. Акт проверки подписывает исполнитель, ответственный за проведение выездной проверки.

45. К акту проверки прилагаются документы или их копии, связанные с результатами проверки и предписание об устранении выявленных нарушений (при их наличии).

46. По итогам проведения выездной проверки исполнителем, ответственным за проведение выездной проверки, делается соответствующая запись в журнале проверок.

47. Результатом административной процедуры является акт проверки.

48. Способом фиксации результата административной процедуры является запись в журнале проверок.

Внеплановая проверка

49. Основанием для начала административной процедуры является:

1) истечение срока исполнения СРО ранее выданного предписания об устранении выявленного нарушения обязательных требований;

2) поступление в Минэнерго России обращений и заявлений граждан, в том числе индивидуальных предпринимателей, юридических лиц, информации от органов государственной власти, органов местного самоуправления, из средств массовой информации о следующих фактах:

а) возникновение угрозы причинения вреда жизни, здоровью граждан, вреда животным, растениям, окружающей среде, объектам культурного наследия (памятникам истории и культуры) народов Российской Федерации, безопасности государства, а также угрозы чрезвычайных ситуаций природного и техногенного характера;

б) причинение вреда жизни, здоровью граждан, вреда животным, растениям, окружающей среде, объектам культурного наследия (памятникам истории и культуры) народов Российской Федерации, безопасности государства, а также возникновение чрезвычайных ситуаций природного и техногенного характера;

в) нарушение прав потребителей (в случае обращения граждан, права которых нарушены);

3) приказ Минэнерго России, изданный в соответствии с поручениями Президента Российской Федерации, Правительства Российской Федерации и на основании требования прокурора о проведении внеплановой проверки в рамках надзора за исполнением законов по поступившим в органы прокуратуры материалам и обращениям.

50. Проведение внеплановой выездной проверки подлежит согласованию с органом прокуратуры по месту осуществления деятельности СРО не позднее чем за 3 рабочих дня до даты начала указанной проверки.

51. Предметом внеплановой проверки СРО является контроль за исполнением предписаний по устранению нарушений, выявленных в ходе плановых проверок, на основании заявлений физических лиц, юридических лиц, органов государственной власти, органов местного самоуправления о нарушении СРО или его членами обязательных требований, а также имеющихся несоответствий таким требованиям в представленных в Минэнерго России документах СРО.

52. Исполнитель, ответственный за проведение внеплановой проверки, не позднее чем за 24 часа до начала проведения выездной внеплановой проверки уведомляет о ее проведении СРО посредством направления копии соответствующего приказа о начале проведения выездной внеплановой проверки.

53. Внеплановая проверка проводится в форме документарной проверки и (или) выездной проверки в порядке, установленном пунктами 33 - 48 Административного регламента.

IV. Порядок и формы контроля за исполнением государственной функции

Порядок осуществления текущего контроля за соблюдением и исполнением должностными лицами Минэнерго России положений Административного регламента и иных нормативных правовых актов, устанавливающих требования к исполнению государственной функции, а также за принятием ими решений

54. Текущий контроль за соблюдением и исполнением должностными лицами Департамента положений настоящего Административного регламента и иных нормативных правовых актов, устанавливающих требования к исполнению государственной функции, а также за принятием ими решений осуществляется на постоянной основе директором (заместителем директора) Департамента.

Порядок и периодичность осуществления плановых и внеплановых проверок полноты и качества исполнения государственной функции, в том числе порядок и формы контроля за полнотой и качеством исполнения государственной функции

55. В целях осуществления контроля за соблюдением последовательности действий, определенных административными процедурами по исполнению государственной функции, и принятием решений Минэнерго России может проводить проверки (плановые и внеплановые) по полноте и качеству исполнения государственной функции должностными лицами Департамента.

56. Проверки проводятся с целью выявления и устранения нарушений прав заинтересованных лиц, рассмотрения, принятия решений и подготовки ответов по жалобам на действия (бездействие) или решения должностного лица Минэнерго России.

57. При проверке могут рассматриваться все вопросы, связанные с исполнением государственной функции (комплексные проверки), или отдельный вопрос, связанный с исполнением государственной функции (тематические проверки).

58. Плановые проверки проводятся в соответствии с планом, утвержденным приказом Минэнерго России в установленном порядке.

59. Внеплановые проверки организуются и проводятся в случае обращения заинтересованного лица с жалобой на нарушения его прав и законных интересов действиями (бездействием) или решениями должностного лица Минэнерго России.

60. При проведении проверок может быть использована информация, предоставленная гражданами, их объединениями и организациями.

Ответственность должностных лиц Минэнерго России за решения и действия (бездействие), принимаемые (осуществляемые) ими в ходе исполнения государственной функции

61. По результатам проведенных проверок в случае выявления нарушений положений настоящего Административного регламента и иных нормативных правовых актов, устанавливающих требования к исполнению государственной функции, осуществляется привлечение виновных лиц к ответственности в соответствии с законодательством Российской Федерации.

62. Должностные лица, указанные в настоящем Административном регламенте, несут персональную ответственность за решения и действия (бездействие), принимаемые (осуществляемые) в ходе исполнения государственной функции.

Положения, характеризующие требования к порядку и формам контроля за исполнением государственной функции, в том числе со стороны граждан, их объединений и организаций

63. Контроль за исполнением государственной функции со стороны граждан, их объединений и организаций должен быть постоянным, всесторонним и объективным.

64. Контроль за исполнением государственной функции со стороны граждан, их объединений и организаций осуществляется путем получения информации о наличии в действиях (бездействии) должностных лиц Минэнерго России, а также принимаемых ими решениях нарушений положений настоящего Административного регламента и иных нормативных правовых актов, устанавливающих требования к исполнению государственной функции.

V. Досудебный (внесудебный) порядок обжалования решений и действий (бездействия) Минэнерго России, а также его должностных лиц

Информация для заинтересованных лиц об их праве на досудебное (внесудебное) обжалование действий (бездействия) и решений, принятых (осуществляемых) в ходе исполнения государственной функции

65. Заинтересованное лицо вправе обжаловать действия (бездействие) и решения, принятые (осуществляемые) должностным лицом Минэнерго России в ходе исполнения государственной функции

Предмет досудебного (внесудебного) обжалования

66. Предметом досудебного обжалования могут являться действия (бездействие) и решения, осуществляемые (принятые) должностным лицом Минэнерго России в ходе исполнения государственной функции на основании настоящего Административного регламента.

Исчерпывающий перечень оснований для приостановления рассмотрения жалобы и случаев, в которых ответ на жалобу не дается

67. В случае если в письменной жалобе не указаны фамилия заинтересованного лица, направившего обращение, и почтовый адрес, по которому должен быть направлен ответ, ответ на жалобу не дается.

В случае если в письменной жалобе содержатся нецензурные либо оскорбительные выражения, угрозы жизни, здоровью и имуществу должностного лица, а также членов его семьи, жалоба может быть оставлена без ответа по существу поставленных в ней вопросов. Заинтересованному лицу, направившему жалобу, в этом случае сообщается о недопустимости злоупотребления правом.

В случае если текст письменной жалобы не поддается прочтению, ответ на жалобу не дается и она не подлежит направлению на рассмотрение в государственный орган, орган местного самоуправления или должностному лицу в соответствии с их компетенцией, о чем сообщается заинтересованному лицу, направившему жалобу, если его фамилия и почтовый адрес поддаются прочтению.

В случае если в письменной жалобе заинтересованного лица содержится вопрос, на который ему многократно давались письменные ответы по существу в связи с ранее направляемыми жалобами, и при этом в жалобе не приводятся новые доводы или обстоятельства, Министр энергетики Российской Федерации либо уполномоченный заместитель Министра энергетики Российской Федерации вправе принять решение о безосновательности очередного обращения с жалобой и прекращении переписки с данным заинтересованным лицом по данному вопросу при условии, что указанная жалоба и ранее направляемые жалобы направлялись в Минэнерго России.

В исключительных случаях, а также в случае направления запроса в государственный орган, орган местного самоуправления или должностному лицу срок рассмотрения жалобы может быть продлен не более чем на 30 дней, о чем сообщается лицу, подавшему жалобу, в письменной форме с указанием причин продления.

Основания для начала процедуры досудебного (внесудебного) обжалования

68. Основанием для начала процедуры досудебного (внесудебного) обжалования является регистрация письменной (устной) жалобы заинтересованного лица.

Права заинтересованных лиц на получение информации и документов, необходимых для обоснования и рассмотрения жалобы

69. Заинтересованное лицо имеет право на получение информации и документов, необходимых для обоснования и рассмотрения жалобы, при условии, что это не затрагивает права, свободы и законные интересы других лиц и что указанные документы не содержат сведения, составляющие государственную или иную охраняемую законодательством Российской Федерации тайну.

Органы государственной власти и должностные лица, которым может быть направлена жалоба заявителя в досудебном (внесудебном) порядке

70. Заинтересованное лицо вправе обжаловать действия (бездействие) и решения, принятые (осуществляемые) в ходе исполнения государственной функции должностным лицом Минэнерго России - директору (заместителю директора) Департамента, директором (заместителем директора) Департамента - Министру энергетики Российской Федерации или уполномоченному заместителю Министра энергетики Российской Федерации.

71. Обращение заинтересованного лица, содержащее обжалование решений, действий (бездействия) конкретного должностного лица Минэнерго России, не может направляться этому должностному лицу для рассмотрения и (или) ответа.

Сроки рассмотрения жалобы

72. Жалоба должна быть рассмотрена в течение 30 дней со дня ее регистрации в Минэнерго России.

Результаты досудебного (внесудебного) обжалования

73. Результатом досудебного (внесудебного) обжалования является:

признание правомерными действий (бездействия) и (или) решений должностного лица Минэнерго России, принятых (осуществляемых) при исполнении государственной функции, и отказ в удовлетворении жалобы;

признание действий (бездействия) и (или) решений должностного лица Минэнерго России, принятых (осуществленных) при исполнении государственной функции, неправомерными и определение в целях устранения допущенных нарушений мер ответственности, предусмотренных трудовым законодательством Российской Федерации и законодательством Российской Федерации о государственной гражданской службе, к должностному лицу Минэнерго России, ответственному за действия (бездействие) и решения, принятые (осуществляемые) в ходе исполнения государственной функции на основании настоящего Административного регламента и повлекшие за собой жалобу заинтересованного лица.

74. Заинтересованному лицу направляется уведомление о принятом решении и действиях, проведенных в соответствии с принятым решением.

Приложение
к Административному регламенту
исполнения Министерством энергетики
Российской Федерации государственной
функции по контролю за деятельностью
саморегулируемых организаций в области
энергетического обследования

БЛОК-СХЕМА ИСПОЛНЕНИЯ МИНИСТЕРСТВОМ ЭНЕРГЕТИКИ РОССИЙСКОЙ ФЕДЕРАЦИИ ГОСУДАРСТВЕННОЙ ФУНКЦИИ ПО КОНТРОЛЮ ЗА ДЕЯТЕЛЬНОСТЬЮ САМОРЕГУЛИРУЕМЫХ ОРГАНИЗАЦИЙ В ОБЛАСТИ ЭНЕРГЕТИЧЕСКОГО ОБСЛЕДОВАНИЯ