Приказ Росстата от 01.11.2016 N 703

"Об утверждении Указаний по заполнению формы федерального статистического наблюдения N 4-ТЭР "Сведения об использовании топливно-энергетических ресурсов"
Редакция от 01.11.2016 — Документ утратил силу, см. «Приказ Росстата от 16.11.2017 N 761»

ФЕДЕРАЛЬНАЯ СЛУЖБА ГОСУДАРСТВЕННОЙ СТАТИСТИКИ

ПРИКАЗ
от 1 ноября 2016 г. N 703

ОБ УТВЕРЖДЕНИИ УКАЗАНИЙ ПО ЗАПОЛНЕНИЮ ФОРМЫ ФЕДЕРАЛЬНОГО СТАТИСТИЧЕСКОГО НАБЛЮДЕНИЯ N 4-ТЭР "СВЕДЕНИЯ ОБ ИСПОЛЬЗОВАНИИ ТОПЛИВНО-ЭНЕРГЕТИЧЕСКИХ РЕСУРСОВ"

В соответствии с подпунктом 5.5 Положения о Федеральной службе государственной статистики, утвержденного постановлением Правительства Российской Федерации от 2 июня 2008 г. N 420, и во исполнение Федерального плана статистических работ, утвержденного распоряжением Правительства Российской Федерации от 6 мая 2008 г. N 671-р, приказываю:

1. Утвердить прилагаемые Указания по заполнению формы федерального статистического наблюдения N 4-ТЭР "Сведения об использовании топливно-энергетических ресурсов" и ввести их в действие с января 2017 года.

2. С введением указанных в п. 1 настоящего приказа указаний признать утратившим силу приказ Росстата от 20 июля 2009 г. N 146 "Об утверждении указаний по заполнению форм федерального статистического наблюдения N 11-ТЭР "Сведения об использовании топлива, теплоэнергии и электроэнергии на производство отдельных видов продукции, работ (услуг)" и Приложения к форме N 11-ТЭР "Сведения об образовании и использовании вторичных энергетических ресурсов", N 4-ТЭР "Сведения об остатках, поступлении и расходе топлива и теплоэнергии, сборе и использовании отработанных нефтепродуктов".

Временно исполняющий обязанности
руководителя Федеральной службы
государственной статистики
И.Д. МАСАКОВА

УТВЕРЖДЕНЫ
приказом Росстата
от 01.11.2016 N 703

УКАЗАНИЯ
ПО ЗАПОЛНЕНИЮ ФОРМЫ ФЕДЕРАЛЬНОГО СТАТИСТИЧЕСКОГО НАБЛЮДЕНИЯ N 4-ТЭР "СВЕДЕНИЯ ОБ ИСПОЛЬЗОВАНИИ ТОПЛИВНО-ЭНЕРГЕТИЧЕСКИХ РЕСУРСОВ"

I. Общие положения

1. Форму федерального статистического наблюдения N 4-ТЭР "Сведения об использовании топливно-энергетических ресурсов" предоставляют юридические лица (кроме субъектов малого предпринимательства) всех форм собственности, являющиеся потребителями, топливно-энергетических ресурсов всех видов; предприятия-производители, топливоснабжающие и другие организации, занимающиеся реализацией топлива населению и другим юридическим и физическим лицам.

Настоящую форму федерального статистического наблюдения предоставляют также филиалы, представительства и подразделения, действующих на территории Российской Федерации иностранных организаций в порядке, установленном для юридических лиц.

Организации-банкроты, на которых введено конкурсное производство, не освобождаются от предоставления сведений по указанной форме. Только после вынесения определения арбитражного суда о завершении в отношении организации конкурсного производства и внесения в единый государственный реестр юридических лиц записи о его ликвидации (п. 3 ст. 149 Федерального закона от 26.10.2002 N 127-ФЗ "О несостоятельности (банкротстве)") организация-должник считается ликвидированной и освобождается от предоставления сведений по указанной форме.

2. Юридическое лицо заполняет настоящую форму и предоставляет ее в территориальный орган Росстата по месту своего нахождения.

При наличии у юридического лица обособленных подразделений <1> настоящая форма заполняется как по каждому обособленному подразделению, так и по юридическому лицу без этих обособленных подразделений.

<1> Примечание.

Обособленное подразделение организации - любое территориально обособленное от нее подразделение, по месту нахождения которого оборудованы стационарные рабочие места. Признание обособленного подразделения организации таковым производится независимо от того, отражено или не отражено его создание в учредительных или иных организационно-распорядительных документах организации, и от полномочий, которыми наделяется указанное подразделение. При этом рабочее место считается стационарным, если оно создается на срок более одного месяца (п. 2 ст. 11 Налогового кодекса Российской Федерации).

Заполненные формы предоставляются юридическим лицом в территориальные органы Росстата по месту нахождения соответствующего обособленного подразделения (по обособленному подразделению) и по месту нахождения юридического лица (без обособленных подразделений).

В случае, когда юридическое лицо (его обособленное подразделение) не осуществляет деятельность по месту своего нахождения, форма предоставляется по месту фактического осуществления им деятельности.

Руководитель юридического лица назначает должностных лиц, уполномоченных предоставлять статистическую информацию от имени юридического лица.

В адресной части формы указывается полное наименование отчитывающейся организации в соответствии с учредительными документами, зарегистрированными в установленном порядке, а затем в скобках - краткое ее наименование. На бланке формы, содержащей сведения по обособленному подразделению юридического лица, указывается наименование обособленного подразделения и юридического лица, к которому оно относится.

По строке "Почтовый адрес" указывается наименование субъекта Российской Федерации, юридический адрес с почтовым индексом; если фактический адрес не совпадает с юридическим, то указывается также фактическое местонахождение респондента (почтовый адрес). Для обособленных подразделений, не имеющих юридического адреса, указывается почтовый адрес с почтовым индексом.

3. Юридическое лицо проставляет в кодовой части формы код Общероссийского классификатора предприятий и организаций (ОКПО) на основании Уведомления о присвоении кода ОКПО, направляемого (выдаваемого) организациям территориальными органами Росстата.

В случае делегирования полномочий по предоставлению статистической отчетности от имени юридического лица обособленному подразделению, обособленным подразделением в кодовой части формы указывается код ОКПО (для филиала) или идентификационный номер (для обособленного подразделения, не имеющего статуса филиала), который устанавливается территориальным органом Росстата по месту расположения обособленного подразделения.

При сдаче производственных мощностей в аренду отчетность по форме предоставляет та организация, которая производит на этих мощностях продукцию, работы (услуги), независимо от того, какие она использует при этом топливно-энергетические ресурсы - собственные или давальческие.

В случаях, когда по условиям договора арендатор вносит плату арендодателю помещения, включающую в себя стоимость потребленной тепловой и/или электрической энергии, сведения об этом расходе энергии в форме отражает арендодатель.

Данные в отчетности по форме приводятся в целых числах.

Отчет по форме составляется на основании первичных документов организаций, отражающих производство и использование топлива и энергии.

Раздел 1. Остатки, поступление и расход топлива и теплоэнергии

4. Предприятия - потребители, оптовые, посреднические, оптово-посреднические организации, организации, ведущие розничную торговлю топливом, должны приводить данные по всему топливу, фактически поступившему и израсходованному в отчетном году на нужды организации, а также реализованному населению или своим работникам, другим организациям и физическим лицам, а также топливу, числящемуся в остатках. Отпуск (продажа) топлива своему обособленному подразделению и движение топлива между обособленными подразделениями организации в разделе 1 не отражаются.

Предприятия-потребители топлива и тепловой энергии, являющиеся одновременно их производителями, в части топлива (тепловой энергии) собственного производства (добычи) приводят данные о движении только того объема топлива (расходе объема тепловой энергии), которое предназначено для собственных технологических нужд (включая расход топлива в качестве сырья для переработки в другие виды топлива и на нетопливные продукты), энергетических нужд, на работу собственного автотранспорта, а также для реализации топлива населению или своим работникам. Топливо и тепловая энергия собственного производства, реализованные юридическим лицам этими предприятиями, в разделе 1 не отражается, а приобретенные у других предприятий отражаются в полном объеме.

5. По строкам "Бензин авиационный для авиационных поршневых двигателей", "Бензин автомобильный", "Топливо дизельное" учитываются все марки и сорта указанных нефтепродуктов в тоннах. Не учитываются по этим строкам специальные бензины (бензин для химической промышленности, бензин-растворитель, прямогонный бензин).

Из общего количества бензина автомобильного и дизельного топлива отдельными строками 1012 и 1032 в графе 3 "Израсходовано за отчетный год - всего" показывается объем этих нефтепродуктов, израсходованный на работу автотранспорта. Расход газа на работу автомобильного транспорта также приводится по строкам 1082, 1092 и 1151 из общих объемов расхода газа горючего природного (естественного), нефтяного попутного и углеводородных сжиженных газов. Расход топлива специализированными машинами, смонтированными на автомобильных шасси (краны на автомобильном ходу, машины пожарные, санитарные, для городского коммунального хозяйства и т.д.), по этим строкам не отражается.

По строке "Керосин, включая топливо реактивное керосиновое" отражаются все виды керосина - авиационный (топливо для реактивных двигателей), осветительный, тракторный.

Если на предприятии учет автомобильного бензина, дизельного топлива, сжиженного газа ведется в литрах, то при пересчете из объемных единиц в весовые следует пользоваться их фактической плотностью (удельным весом), измеренной с помощью нефтеденсиметров в период проведения учета.

Для этого количество литров необходимо умножить на фактическую плотность, полученный результат разделить на 1000. При отсутствии нефтеденсиметров пересчет из объемных единиц в весовые следует производить, пользуясь средневзвешенной плотностью, рассчитанной за отчетный период. Для расчета принимаются плотности, указанные в товарно-транспортных накладных каждой партии соответствующего нефтепродукта, поступившего на предприятие.

Средневзвешенная плотность определяется следующим образом.

Например, за отчетный период на предприятие поступили три партии автобензина: 1 партия - 2000 тонн с плотностью, указанной в товарно-транспортной накладной, равной 0,72; II партия - 5000 тонн - 0,74; III партия - 8000 тонн - 0,735. Таким образом, на предприятие за отчетный период поступило автобензина 15000 тонн.

Исходя из указанной плотности, определяем количество поступившего на предприятие автобензина в объемных единицах:

а средневзвешенная плотность трех партий составит

Организации, не располагающие вышеуказанной информацией, могут осуществлять пересчет объемов топлива из литров в тонны, используя средние значения плотности.

Коэффициенты для часто используемых марок бензина следующие: АИ-80 = 0,715 г/см3; АИ-92 = 0,735; АИ-95 = 0,75; АИ-98 = 0,765; Дизтопливо - 0,769. Следует учесть, что результат вычислений получается в килограммах. Для заполнения формы данные необходимо пересчитать в тонны.

По строке "Топливо печное бытовое" приводятся данные по нефтепродуктам, полученным из дизельных фракций прямой перегонки и вторичного происхождения, используемым в основном в бытовых отопительных установках.

По строке "Мазут топочный" приводятся данные по топочному мазуту марок 40 и 100, мазуту для мартеновских печей, технологическому экспортному топливу (ТУ 38.001361-87).

По строке "Мазут флотский" приводятся мазуты марок Ф-5 и Ф-12.

По строкам "Газ горючий природный (газ естественный)" и "Газ нефтяной попутный (газ горючий природный нефтяных месторождений)" приводится весь природный газ - природный газ газовых, газоконденсатных, нефтяных месторождений, а также газ, прошедший переработку - сухой газ газоперерабатывающих заводов (отбензиненный и газ сероочистки).

Газ, полученный на предприятии в результате переработки нефти, газового конденсата (газ сухой нефтеперерабатывающих заводов) и сжиженный газ, по данной строке не отражается.

Если отчитывающаяся организация на производство генераторного газа израсходовала уголь, дрова или торф, то расход полученного ими генераторного газа в разделе 1 отчета не отражается, а приводится непосредственный расход топлива, затраченного на его производство (угля, дров, торфа).

Исключение составляют организации, использующие генераторный газ, выработанный при производстве полукокса. Эти предприятия должны отражать движение указанного газа по строке "прочие виды топлива" в пересчете на условное топливо.

По строке "Газ горючий искусственный коксовый" приводится количество газа, полученного в процессе коксования, богатого газа, полученного на азотно-туковых заводах и химкомбинатах после отбора из коксового газа водородной фракции и возвращенного ими коксохимическим предприятиям.

Количество коксового газа, а также возвращенного богатого газа должно быть показано в тысячах кубических метров, приведенных к 4000 ккал/куб. м.

По этой строке также приводятся сведения по прочим отходящим газам (за исключением отходящего газа, в металлургическом производстве).

По строке "Газ горючий искусственный доменный и прочие отходящие газы" приводится количество газа, полученного в доменном процессе. Количество доменного газа должно быть показано в тысячах кубических метров, приведенных к 1000 ккал/куб. м.

По этой строке также приводятся сведения по прочим отходящим газам металлургического производства.

По строке "Газ нефтеперерабатывающих предприятий" приводится расход только сухого газа нефтепереработки или газового конденсата (включая количество сожженного в факелах на нефтеперерабатывающих заводах). Газ нефтеперерабатывающих предприятий, полученный в сжиженном виде, учитывается по строке "Газ сжиженный".

По строке "Пропан и бутан, сжиженные, газы углеводородные и их смеси сжиженные прочие, не вошедшие в другие группировки)" приводятся следующие фракции сжиженных углеводородных газов: бутан технический, бутан-изобутан, изобутан, нормальный бутан, пропан, пропан технический (ПТ), пропан-бутан-пентановая фракция (прочие сжиженные газы), смесь технических пропана и бутана (СПБТ), фракции пропан-бутановая и пропан-пропиленовая. Другие виды сжиженных газов, если они используются в качестве топлива, отражаются по строке "Прочие виды топлива".

По строке "Уголь и продукты переработки угля" приводится уголь, угольный концентрат, промпродукт, шлам, отсев, угольные брикеты, используемые на предприятии в качестве топлива, сырья для производства продукции, для нетопливных нужд.

Во избежание повторного счета уголь, направленный на обогащение для получения угольного концентрата, промпродукта, шлама, отсева, угольных брикетов, в отчете не отражается.

Угольный концентрат, промпродукт, шлам, отсев, угольные брикеты включаются как в общий объем угля и продуктов его переработки (строка 1160), так и в объем угля соответствующего бассейна или месторождения.

Организации, потребляющие уголь и продукты его переработки, в свободных строках (после строки 1160) отчета приводят данные об объемах потребления углей по бассейнам и месторождениям в последовательности, указанной в Приложении N 1 к настоящему Указанию, с записью в графе А - наименования угля, Б - номера соответствующей ему строки.

По строке 1630 из общего количества угля, имеющегося на предприятии, выделяются в том числе бурые угли.

К бурым углям в полном объеме относятся подмосковные (строка 1230), челябинские (1270), башкирские (1290), канско-ачинские (1380), райчихинские (1410), читинские (1350) угли.

Из свердловских углей (строка 1280) к бурым углям относятся угли Богословского и Волчанского месторождений, из якутских (1320) - Кангаласского, из углей Приморья (1490) - все, кроме углей Липовецкого и Партизанского месторождений.

Уголь гусиноозерский (строка 1360), сахалинский (1430), камчатский (1480) могут быть частично каменные, частично бурые.

Уголь месторождений, не указанных в Приложении N 1 настоящих Указаний, учитывается по строке "Уголь прочих месторождений" (1500).

По строкам 1161 и 1631 приводятся данные соответственно по углю и продуктам его переработки, и бурому углю в тоннах условного топлива.

Пересчет топлива из натурального выражения в условное топливо угольного эквивалента должен производиться путем умножения данных этого топлива в натуральном выражении (тонны, куб. метры и т.д.) на соответствующий калорийный эквивалент (коэффициент пересчета). Значения калорийных эквивалентов определяются на основании периодического измерения теплотворной способности топлива лабораторным путем. Если определить теплотворную способность таким образом не представляется возможным, то для пересчета топлива в условное необходимо использовать соответствующий данному виду топлива калорийный эквивалент, указанный в Приложении N 3 к настоящим Указаниям.

По строкам 1632, 1640 приводятся данные о расходе торфа, брикетов и полубрикетов торфяных в условной влажности.

По строке 1660 "Кокс металлургический из каменного угля, полученный путем карбонизации при высокой температуре, орешек коксовый сухой, мелочь коксовая сухая" приводится весь объем кокса доменного и литейного с размером кусков 25 мм и выше, орешка коксового сухого - 10 - 24 мм и коксовой мелочи сухой - 0 - 9 мм.

По этой строке также отражаются отходы, полученные при просеивании кокса.

Кокс металлургический сухой, а также коксовый орешек и мелочь приводятся в пересчете на сухой вес.

Например, если коксовая мелочь имеет влажность 10%, то натуральный вес ее должен быть умножен на 0,9, то есть сухой вес ее, отражаемый в отчете, составит 90% от натурального.

По строке "Древесина топливная" отражаются данные об объемах топливных дров, закупленных по оптовой торговле, поступивших от самозаготовок отчитывающейся организации или приобретенных у других поставщиков. В составе указанной строки учитывается также лиственная деловая древесина малоценных деловых сортиментов, а также некачественная деловая древесина, переведенная по акту на дрова.

Объем дров, приобретенных для топливных целей, но использованных на нетопливные нужды - на изготовление различных изделий (тарной дощечки, стружки и др.) для собственных нужд, технологической щепы или тары - отражаются по строке 1690 "Древесина топливная".

Отходы лесозаготовок и деревообработки (сучья, хвоя, щепа, древесные обрезки, стружка, опилки, кора, пни), а также использованные в качестве топлива демонтированные негодные шпалы, рудничная стойка, столбы связи, деревянная тара, бревна разобранных старых зданий и т.п., использованные организацией как на топливные цели, так и реализованные населению, рабочим и служащим, по строке "Древесина топливная" не отражаются, а показываются по строке 1730 "Прочие виды твердого топлива" в пересчете на условное топливо.

Объемы дров должны быть приведены только в плотных кубических метрах. Если в организации учет дров ведется в складских кубических метрах, то необходимо пересчитать в плотные кубические метры путем умножения их объема в складских кубических метрах на коэффициент 0,7.

По строке "Прочие виды нефтепродуктов" приводятся данные по всем нефтепродуктам, не перечисленным по строкам 1001 - 1060, которые использовались в течение отчетного года в качестве топлива (моторного или котельно-печного). Включение в раздел 1 данных об использовании прочих видов нефтепродуктов в качестве сырья или на нетопливные нужды не допускается. Сведения об остатках приводятся только по тем объемам этих нефтепродуктов, которые в данной организации предназначены для использования в качестве топлива.

Если предприятие использовало в качестве топлива нефть, то ее движение также следует показывать по строке 1700 "Прочие виды нефтепродуктов" (1700) в пересчете на условное топливо, а также по строке 1720. Нефть, использованная в качестве сырья, в разделе 1 не учитывается.

По строке "Прочие виды твердого топлива" приводятся данные по всем видам топлива (в пересчете в условное топливо), не перечисленным по строкам 1001 - 1720 раздела 1, полученные и использованные организацией на топливные цели.

К прочим видам твердого топлива <*> относятся - отходы производств, в том числе твердых и жидких вторичных энергетических ресурсов, бытовые отходы, прочие виды естественного топлива (торфяная крошка, солома, камыш, хворост, костра, стебли кукурузы, лузга, отходы лесозаготовок и деревообработки, а также использованные в качестве топлива демонтированные деревянные шпалы, рудничная стойка, столбы связи, деревянная тара, бревна разобранных старых зданий и т.п.).

По строке 1750 "Теплоэнергия" проводятся данные о расходе теплоэнергии непосредственно в данной организации, независимо от того, произведена она в этой организации или получена со стороны.

По строкам 1750 - 1753 (графа 3) приводятся данные о расходе тепловой энергии организациями всех видов экономической деятельности, в том числе на отопление (включая отопление производственных помещений) (1751), производственно-технологические нужды (1752) и горячее водоснабжение (1753). В объем расхода тепловой энергии не включаются потери в тепловых сетях (магистральных, городов и поселков городского типа).

Данные о расходе тепловой энергии по строке 1750 должны быть равны сумме данных о ее расходе по строкам 1751 - 1753.

В объем потребления теплоэнергии не включаются потери теплоэнергии в тепловых сетях (магистральных, городов и поселков).

В тех случаях, когда организация, не имеющая приборов учета теплоэнергии, производит теплоэнергию и вся теплоэнергия потребляется в данной организации, объем потребления теплоэнергии определяется расчетно по нормативу удельного расхода топлива (НУР).

Объем произведенной теплоэнергии приравнивается к объему ее потребления и определяется:

для произведенной в отопительных котлах - по объему использованного для этой цели топлива и удельного расхода этого топлива на единицу отпущенной (произведенной) теплоэнергии, распределение осуществлять расчетно;

для произведенной в электрокотлах - путем умножения 1 мВт мощности электрокотла на 0,86 Гкал и количество часов работы этого электрокотла.

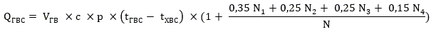
Если приборы учета тепловой энергии горячего водоснабжения регистрируют ее расход в м3, то пересчет в гигакалории (строка 1753) должен осуществляться по следующей формуле:

- объем тепловой энергии, израсходованной на горячее водоснабжение, Гкал;

- объем израсходованной горячей воды, м3;

c - удельная теплоемкость воды, 1 x Гкал/кг x 1 °C;

р - плотность воды при температуре, равной , и среднегодовом давлении воды (определяется по справочнику);

- среднегодовая температура горячей воды, поступившей из систем централизованного горячего водоснабжения, °C;

- среднегодовая температура холодной воды, поступившей из систем централизованного холодного водоснабжения, °C;

- количество строений с неизолированными стояками, единиц;

- количество строений с изолированными стояками, единиц;

- количество строений с неизолированными стояками другой модификации, единиц

- количество строений с изолированными стояками, единиц другой модификации;

N - количество строений с системами горячего водоснабжения, единиц.

Среднегодовая температура горячей воды в системах централизованного горячего водоснабжения должна составлять не ниже 40 °C. В справочнике плотностей воды ее значение при этой температуре равно 0,99225, при 50 °C - 0,9881, при 60 °C - 0,9832, при 70 °C - 0,9778, при 80 °C - 0,9718, при 90 °C - 0,9653 и при 100 °C - 0,9584.

Кроме того, в отдельных случаях для нахождения соответствия между количеством теплоты, затраченным на подогрев воды, и объемом полученной горячей воды используется значение 0,059 Гкал - как средний норматив потребления тепловой энергии для получения 1 куба горячей воды.

Например: в первичных документах организации указывается переданный объем горячей воды, измеряемый в кубических метрах, а не объем тепловой энергии в гигакалориях, поэтому для нахождения соответствия между количеством теплоты, затраченным на подогрев воды, и объемом полученной горячей воды рассчитывается объем теплоэнергии путем умножения объема воды на 0,059 Гкал.

6. В графах 1 и 9 "Остаток на начало отчетного года" и "Остаток на конец отчетного года" приводятся сведения о наличии соответственно на начало и конец года топлива на всех общезаводских, промежуточных, цеховых и других складах организации, включая ведомственные склады, склады подсобных производств, коммунальных и культурно-бытовых предприятий, жилищно-коммунальных отделов, в других местах хранения топлива (своих и арендованных), а также его остатках в бункерах, емкостях, баках автомобилей, мерниках, кладовых, на строительных площадках, у котлов, производственных агрегатов, в штабелях, на судах, находящихся у причалов, на пристанях, в портах и гаванях, в локомотивах в железнодорожных депо.

В остатки жидких нефтепродуктов (топочного мазута, дизельного топлива и др.) включается весь объем топлива, находящегося в емкостях, включая тот, который не может быть слит ("мертвые" остатки).

Остатки топлива, списанные на производственные, строительные, сельскохозяйственные или другие нужды, но фактически не израсходованные, должны быть учтены в общих остатках на данном предприятии на конец отчетного периода. Сюда же должны быть включены и принадлежащие этому предприятию остатки, хранящиеся по каким-либо причинам на другом предприятии; о размерах этих остатков необходимо сделать соответствующее примечание в конце отчета с указанием наименования и адреса организации-хранителя.

Организация, у которой на конец отчетного периода находилось на хранении топливо, принадлежащее другим организациям и числящееся на забалансовых счетах, в отчет этой организации объемы такого топлива не включаются. Это топливо отражается в отчете той организации, на балансе которой оно числится.

Не включается в остатки топливо, находящееся на ответственном хранении (государственный резерв и мобилизационный запас), а также остатки топлива на транспортных судах (кроме рыбного хозяйства), тепловозах, находящихся на дату составления отчета в рейсах.

Также не включается в остатки топливо, прибывшее на дату составления отчета на конечную железнодорожную станцию и находящееся в вагонах или цистернах, принадлежащих железной дороге, документы на которое получены и счет оплачен, но топливо еще не оприходовано бухгалтерией.

Организации - потребители топлива, являющиеся одновременно его производителями в части топлива собственного производства (добычи), приводят только потребительские остатки топлива, то есть остатки топлива, предназначенного для потребления в данной организации и для реализации населению, своим рабочим и служащим. Товарные остатки топлива, предназначенного для реализации другим организациям, не учитываются. Остатки топлива, приобретенного у других организаций, учитываются в полном объеме.

7. В графе 2 организации - потребители топлива и организации, занимающиеся его реализацией, приводят весь фактический объем поступившего топлива за отчетный год.

Организации-потребители, являющиеся одновременно его производителями, в графе 2 в части топлива собственного производства (добычи), приводят данные только о том количестве произведенного ими топлива, которое использовано на собственные нужды, реализовано населению (своим рабочим и служащим) или пошло на увеличение потребительских остатков топлива на данном предприятии. Топливо, приобретенное у других организаций, учитывается в полном объеме.

Не отражается в графе 2 топливо, поступившее для закладки в государственный резерв, оплаченное не из средств отчитывающегося предприятия и учитываемое бухгалтерией на забалансовых счетах.

8. В графе 3 приводится весь фактический расход топлива на предприятии, включая потери в технологических процессах, при преобразовании его в другие виды топлива или энергии, а также оформленные соответствующими актами потери и недостачи при хранении и транспортировке.

При заполнении графы 3 формы азотно-туковыми заводами и предприятиями агрохимии по строке "Газ горючий искусственный коксовый" необходимо иметь в виду, что в эту графу записывается расход коксового газа на производственно-технологические и другие нужды за вычетом объема богатого газа, возвращенного коксохимическому предприятию.

Например, предприятие агрохимии получило в отчетном году 10000 тыс. куб. м коксового газа (приведенного к 4000 ккал/куб. м). В результате использования его на производственно-технологические нужды кроме основного продукта получен богатый газ в количестве 3000 тыс. куб. м с теплотворной способностью 6000 ккал/куб. м. Его количество, приведенное к 4000 ккал/куб. м, составит:

тыс. куб. м,

которое возвращено коксохимическому предприятию, о чем необходимо сделать запись в примечании к отчету.

Предприятие агрохимии в отчете по форме N 4-ТЭР по строке "Газ горючий искусственный коксовый" (приведенный к 4000 ккал/куб. м) в графе 2 покажет 10000 тыс. куб. м, в графе 3 - 5500 тыс. куб. м, в графе 4 - 4500 тыс. куб. м.

Коксохимическое предприятие по строке "Газ горючий искусственный коксовый" в графе 2 покажет объем возвращенного ему газа в количестве 4500 тыс. куб. м.

Предприятия автомобильного транспорта включают в свой отчет по графе 3 и 5 данные о количестве автобензина и дизельного топлива, израсходованного как на собственные нужды, так и на обслуживание сторонних организаций автотранспортом, арендованным у физических лиц или субъектов малого предпринимательства; при внутрихозяйственной аренде автотранспортных средств работниками предприятия (связанными с ним трудовыми отношениями).

Сельскохозяйственные предприятия, привлекающие на уборку урожая автотранспорт других предприятий и организаций, количество горючего, израсходованного этим автотранспортом, показывают в графах 2, 3 и 5.

9. Из общего итога потребления (графа 3) выделяются данные расхода топлива в качестве:

а) котельно-печного топлива (графа 4) <*> - топливные ресурсы, использованные непосредственно в качестве котельно-печного топлива (при производстве электроэнергии и теплоэнергии, для создания необходимого температурного режима в технологических процессах, при работе газосварочного оборудования и прочих процессах, осуществление которых происходит путем сгорания топлива);

а) моторного (графа 5) <*> - нефтепродуктов, сжиженного и сжатого газа, использованного в двигателях внутреннего сгорания - автомобильных, тракторных, сельскохозяйственных, авиационных двигателях, двигателях морских, речных судов и т.д.; по этой графе также учитывается расход топлива в бензопилах, агрегатах по перекачке нефти, нефтепродуктов и газа;

В электронном документе нумерация пунктов соответствует официальному источнику.

б) в качестве сырья (графа 6) <*> - топливных ресурсов, использованных в качестве сырья на производство химической, нефтехимической или другой нетопливной продукции, т.е. из данного вида топлива произведена вышеназванная продукция. В данной графе не отражается количество топлива, использованного для производства других видов топлива, за исключением угля для коксования, используемого для производства кокса; топливного торфа - для производства брикетов и полубрикетов торфяных;

в) на нетопливные нужды (графа 7) <*> - топливные ресурсы, использованные в качестве материала на нетопливные нужды. Например, уголь, применяемый в качестве добавки к глинистым растворам при бурении нефтяных скважин, а также в качестве фильтрующего вещества; газ, закачиваемый в пласт для поддержания пластового давления; топливный торф, расходуемый в качестве теплоизоляционного материала и на удобрение; дрова, расходуемые на производство тарной дощечки; нефть, используемая для промывки скважин; мазут, используемый в качестве смазки, керосин, используемый для промывки деталей и т.д. По этой графе также приводятся сведения о расходе кокса, используемого в качестве восстановителя в доменном процессе.

Данные о расходе топливных ресурсов, использованных непосредственно в качестве котельно-печного топлива (путем его сгорания) при производстве электроэнергии и теплоэнергии на электростанциях и котельных, для создания необходимого температурного режима в технологических процессах отражаются по графе 4. По коксу приводятся данные только о его расходе в качестве котельно-печного топлива.

10. Если отчитывающееся предприятие - потребитель топлива из общего объема топлива часть его отпустило (продало) другим предприятиям, то это количество отражается в графе 7 "Кроме того, отпущено (продано) за отчетный год другим предприятиям и организациям". Сюда же включается топливо, ранее заимствованное отчитывающимся предприятием из государственного резерва и возвращенное в отчетном периоде.

Если предприятие реализует топливо для отопления или приготовления пищи объектам коммунально-бытового или другого назначения, состоящим на самостоятельном балансе или балансе других предприятий, но размещающимся в арендованных помещениях административных или производственных зданий отчитывающегося предприятия, нужды которого они обслуживают, то это топливо считается проданным на сторону и показывается в графе 8.

Организации, занимающиеся реализацией топлива, приводят в графе 8 весь объем реализованного ими топлива другим предприятиям и организациям.

Организации - производители топлива реализацию топлива собственного производства (добычи) другим юридическим лицам в графе 8 не отражают. Топливо, проданное этими предприятиями непосредственно населению, показывается в графе 9.

11. В графе 9 "Кроме того, отпущено (продано) за отчетный год населению" приводится все топливо, проданное населению, а также отражается топливо, реализованное товариществам собственников жилья для нужд населения (если не предусмотрена оплата непосредственно населением стоимости потребленного топлива). Сами же товарищества собственников жилья отчеты по форме N 4-ТЭР не представляют.

Количество газа природного, реализованного населению, определяется по оплаченным в отчетном периоде счетам, исходя из установленных тарифов (когда стоимость израсходованного газа оплачивается непосредственно населением независимо от формы и способа оплаты).

Если отчитывающаяся организация отпускает топливо топливоснабжающей организации для последующей реализации с ее складов населению (топливо оприходовано бухгалтерией предприятия), то это топливо отражается в отчете данного предприятия (в графе 9), а не топливоснабжающей организации.

Внутренние перемещения, то есть поступление и расход топлива в порядке переброски со склада на склад, из одного цеха в другой, из кладовой цеха на склад и другие перемещения в пределах предприятия (организации) в данной форме не показываются.

12. По строкам 1760 и 1770 приводятся вторичные энергетические ресурсы (ВЭР) <*>, под которыми понимается энергетический потенциал продукции, отходов, побочных и промежуточных продуктов, образующихся в технологических агрегатах (установках), который не используется в самом агрегате (установке) - источнике ВЭР, но может быть частично или полностью использован для энергоснабжения других производств.

Тепловые ВЭР <*> - это физическое тепло отходящих газов технологических агрегатов, физическое тепло основной, побочной, промежуточной продукции и отходов основного производства, тепло рабочих теплосистем принудительного охлаждения технологических агрегатов и установок. К тепловым ВЭР относится также теплоэнергия (пар и горячая вода), попутно полученная в технологических и энергетических установках.

Горючие (топливные) ВЭР <*> - это содержащие химически связанную энергию отходы технологических процессов, не используемые или не пригодные для дальнейшей технологической переработки, которые могут быть использованы в качестве котельно-печного топлива.

При этом продукты и отходы топлива перерабатывающих установок (нефтеперерабатывающих, газогенераторных, углеобогатительных, по производству кокса и др.), содержащие химически связанную энергию, являются одним из видов переработанного топлива и к горючим ВЭР не относятся.

Примерный перечень технологических процессов и видов топлива (продуктов преобразования в другое физико-химическое состояние), используемых в отдельных производствах для получения вторичных тепловых и горючих ресурсов, приведен в приложении N 4 "Номенклатура вторичных энергетических ресурсов (ВЭР)" к настоящим Указаниям.

Горючие вторичные энергоресурсы: твердые, жидкие и газообразные - учитываются при любом режиме их выхода.

Тепловые вторичные ресурсы подлежат учету при следующих условиях:

отходящие газы печей с температурой от 200 °C и выше при расходе топлива от 0,1 тонны условного топлива в час на агрегат и выше;

горячая (охлаждающая вода) и загрязненный конденсат при непрерывном расходе 1 куб. м/час и более;

другие тепловые виды ВЭР учитываются при выходе из агрегата - источника ВЭР, не менее 0,05 Гкал/ч.

К тепловым вторичным ресурсам не относятся <*>:

теплота продуктов (отходящих газов, основной, побочной, промежуточной продукции и отходов и производства), возвращенная в агрегат - источник ВЭР за счет регенерации или рециркуляции;

энтальпия (теплосодержание) конденсата, возвращаемого в парогенераторы или источникам пароснабжения;

энтальпия продуктов, направляемая в следующую стадию переработки без изменения их параметров и энергетического потенциала.

Энергетический потенциал, характеризующий запас энергии, для тепловых вторичных ресурсов определяется в гигакалориях, а горючих вторичных ресурсов - калорийностью и физическим состоянием (отходы угля, кокса и т.д.) - в тоннах условного топлива.

Под агрегатом - источником ВЭР <*> следует понимать технологическую установку, аппарат, из которого выходит вторичный энергоресурс (технологическая печь, реактор, теплоиспользующая печь и т.п.).

Утилизационная установка <*> - устройство для выработки энергоносителей (водяного пара, горячей воды, охлажденной воды, электроэнергии) за счет снижения энергетического потенциала носителя ВЭР.

К основным видам оборудования, применяемого для утилизации ВЭР, относятся котлы-утилизаторы, установки испарительного охлаждения, утилизационные экономайзеры, теплообменники, водоподогреватели, тепловые насосы, утилизационные абсорбционные холодильные установки, утилизационные турбоагрегаты и др.

По строкам 1760 - тепловые ВЭР и 1770 - горючие ВЭР приводится суммарный объем соответствующих видов вторичных ресурсов, образующихся в организации, согласно Приложению N 4.

В графе 2 "Поступило за отчетный период" приводится годовой выход соответственно тепловых (Гкал) и горючих (т усл. топл.) вторичных ресурсов, образующихся в процессе производства в данном технологическом агрегате в течение отчетного года.

В графе 3 приводится количество фактически использованных в организации в отчетном году соответственно горючих и тепловых вторичных ресурсов, а в графе 8 - количество горючих, тепловых ВЭР, отпущенных на сторону (для использования в качестве топлива и на нетопливные нужды).

В тех случаях, когда вторичные энергетические ресурсы какого-то агрегата использовать технически невозможно или экономически нецелесообразно (из-за отсутствия технических решений по использованию тепла, места установки утилизационного оборудования, потребителей тепла в организации и за ее пределами, высокой агрессивностью энергоносителя и т.п.) отражается только выход вторичных тепловых ресурсов по данному агрегату (графа 1), в остальных графах ставятся прочерки.

13. По строке 1780 приводятся данные о сборе и использовании отработанных нефтепродуктов организациями, за исключением нефтебаз. К ним относятся отработанные моторные и индустриальные масла и смеси отработанных нефтепродуктов.

В графе 2 "Поступило за отчетный период" приводится количество отработанных нефтепродуктов, собранных организацией за отчетный год, как от собственного использования, так и приобретенных на стороне.

В графе 3 приводится количество фактически использованных отработанных нефтепродуктов.

В графах 4 7 указывается количество отработанных нефтепродуктов использованных организацией на собственные нужды: в качестве компонента котельно-печного топлива (графа 4); в качестве сырья для очистки (регенерации) (графа 6); в качестве нетопливных нужд - смазочно-технологической добавки для открытых и закрытых узлов трения, технических нужд (графа 7).

В графе 9 отражается объем отработанных нефтепродуктов, поставленный на экспорт.

Остатки на начало и конец года отражаются по графам 1 и 10.

Если предприятие часть отработанных нефтепродуктов уничтожило, то для сохранения баланса необходимо показать это количество в остатках на конец отчетного года с указанием в примечании к отчету объема уничтоженных отработанных нефтепродуктов.

Раздел 2. Фактический расход топливно-энергетических ресурсов

13.1. В графе А приводятся наименования видов произведенной продукции, выполненных работ (услуг), на которые расходуется топливо, тепловая и электрическая энергия, согласно Перечню видов продукции, работ (услуг), приведенному в приложении N 2 к настоящим Указаниям. Заполнение графы А производится в последовательности, указанной в этом приложении.

13.2. В графах Б, В, Г указываются коды строк, соответствующие видам продукции, работ (услуг), приведенным в графе А, единицы измерения по Общероссийскому классификатору единиц измерения (ОКЕИ).

13.3. В графе 1 приводятся данные об объеме произведенной продукции, выполненных работ (услуг) за отчетный год в натуральном выражении. Эти данные должны совпадать с аналогичными данными других форм федерального статистического наблюдения, в которых имеют место показатели о производстве продукции, работ (услуг).

13.4. В графах 2, 3 и 4 отражается фактический годовой расход электроэнергии, теплоэнергии и топлива на производство видов продукции, работ (услуг), указанных в графе А.

В графах 2 и 3 в фактический расход электроэнергии и теплоэнергии включается расход на основные и вспомогательные технологические процессы при производстве указанной продукции (работ, услуг), а также расход на вспомогательные нужды производства, расход на поддержание технологических агрегатов в горячем резерве: на их разогрев и пуск после текущих ремонтов и холодных простоев, потери энергии в преобразователях, в тепловых и электрических сетях организации (цеха), отнесенные на производство данной продукции, работы (услуги).

В расход тепловой и электрической энергии на вспомогательные нужды включается расход на отопление, вентиляцию и освещение основных, вспомогательных и обслуживающих цехов и служб, на работу внутрицехового (заводского) транспорта, на работу цеховых (заводских) ремонтных мастерских, расход на хозяйственно-бытовые и санитарно-гигиенические нужды цехов, на наружное освещение территории организации, на обогрев заводских трубопроводов, на межцеховое транспортирование сырья, полуфабрикатов.

В тех случаях, когда отдельные вспомогательные нужды (подача воды, вентиляция, производство кислорода, холода, сжатого воздуха и другие) являются составной частью технологического процесса производства продукции, работ (услуг), расходы энергии на них относятся к технологическим расходам.

При значительных расходах тепловой и электрической энергии на отдельные составляющие вспомогательных нужд, их учет осуществляется самостоятельно.

В организациях, выпускающих разнородную продукцию, распределение общепроизводственных цеховых и заводских расходов тепловой и электрической энергии на производство продукции, работ (услуг) в случае невозможности их точного определения, целесообразно осуществлять пропорционально потреблению энергии на технологические процессы производства или в зависимости от объема услуг, получаемых от вспомогательных и подсобных цехов, а именно от транспортного цеха - пропорционально объему перемещенных грузов; от инструментального, ремонтного и других вспомогательных цехов - пропорционально доле услуг; от насосной станции, компрессорного и других цехов или силовых установок - пропорционально получаемым от них объемам воды, воздуха, газа и т.п.; от центральной заводской лаборатории - пропорционально количеству анализов и объему опытных работ, проведенных в связи с выпуском продукции.

Потери энергии в заводских тепловых, электрических сетях и преобразователях распределяются на основе опытных замеров или пропорционально потреблению энергии в производстве соответствующих видов продукции работ (услуг), т.е. определяются расчетно по нормативу удельного расхода топлива (НУР).

Данные о потерях энергии в тепловых и электрических сетях магистральных и распределительных сетевых компаний и организаций, других сетей общего пользования, сетей городов и поселков, а также сетей данной организации, обслуживающих сторонних потребителей, при определении расхода энергии на производство отдельных видов продукции в расчет не берутся.

В графе 4 отражается фактический расход котельно-печного топлива, а также нефтепродуктов, используемых в двигателях внутреннего сгорания.

В указанные объемы не следует включать расход топлива, использованного в качестве сырья на производство других видов топлива, химической, нефтехимической и другой нетопливной продукции, а также в качестве материала на нетопливные нужды.

Таким образом, отражается только то топливо, которое для тех или иных целей было сожжено в различных котлах, технологических установках, двигателях внутреннего сгорания.

В фактический расход топлива на производство продукции, работ (услуг) включается расход только на основные и вспомогательные технологические процессы производства данного вида продукции, работы (услуги).

Данные о расходе топлива и по его видам приводятся в тоннах условного топлива.

Все виды топлива из натурального пересчитываются в условное, как правило, по их фактическим тепловым эквивалентам, определяемым как отношение низшей теплоты сгорания рабочего состояния топлива к теплоте сгорания 1 кг условного топлива, т.е. 7000 ккал/кг:

,

где - K - коэффициент перевода топлива в условное;

Q - низшая теплота сгорания рабочего состояния топлива, ккал/кг.

Низшая теплота сгорания рабочего состояния топлива, как правило, должна определяться лабораторным путем.

При невозможности лабораторного определения теплоты сгорания возможно использование соответствующей информации поставщиков топлива, а при отсутствии этой информации - использование данных о средних коэффициентах перевода натурального топлива в условное, приведенных в приложении N 3 к настоящим Указаниям.

Перевод натурального топлива в условное производится путем умножения количества натурального топлива на соответствующий коэффициент перевода.

В фактический расход топлива, тепловой и электрической энергии на производство продукции, работ (услуг) включаются затраты этих ресурсов, связанные с отступлением от принятой технологии, режимов работы, рецептур, несоблюдением требований к качеству сырья и материалов, и другие нерациональные затраты.

13.5. В графах 5 - 28 приводится расшифровка данных графы 4 "топливо - всего" по видам топлива. Сумма данных граф 5 - 28 должна быть равна данным графы 4 по соответствующим строкам.

13.5.1. В графах 5 и 6 приводятся данные о расходе угля соответственно каменного (с теплотворной способностью более 5700 ккал/кг) и бурого (с теплотворной способностью менее 5700 ккал/кг), а также расходе топливных продуктов, полученных в результате обогащения этих углей (концентрат, промпродукт, отсев и шлам) и их агломерации (угольные брикеты).

13.5.2. В графе 7 приводятся данные о расходе торфа топливного.

13.5.3. В графе 8 данные о расходе торфяных брикетов и полубрикетов приводятся в пересчете на условную влажность: брикеты - на 16%-ную влажность, полубрикеты - на 28%-ную.

Пересчет веса торфа, торфяных брикетов и полубрикетов фактической влажности на условную производится по следующей формуле:

- вес торфа (брикетов и полубрикетов) в пересчете на условную влажность в тоннах;

- вес торфа (брикетов и полубрикетов) фактической влажности в тоннах;

- фактическая влажность торфа (брикетов и полубрикетов) в процентах;

- условная влажность торфа (брикетов и полубрикетов) в процентах.

Например, предприятием использовано в отчетном году 1500 т кускового торфа с содержанием влаги 70%, вес кускового торфа в пересчете на условную 33%-ную влажность составит:

13.5.4. В графе 9 отражаются данные о расходе дров для отопления, как заготовленных самой организацией, так и поступивших от других организаций.

Для пересчета дров в условное топливо используется информация по дровам, учитываемых в плотных кубических метрах. Организациям, на которых учет дров ведется в складских кубометрах, необходимо сделать их пересчет в плотные кубометры путем умножения количества складских кубометров на коэффициент 0,7.

13.5.5. В графе 10 отражается общий расход кокса металлургического (доменного и литейного) с размером кусков 25 мм и выше, коксика и коксовой мелочи с размером кусков менее 25 мм (в пересчете на сухой кокс).

Если коксовая мелочь имеет влажность 10%, то натуральный вес ее должен быть умножен на 0,9%, т.е. сухой вес, отражаемый в отчетности, составит 90% от натурального.

13.5.6. В графе 11 приводится расход нефти и газового конденсата, используемых только в качестве котельно-печного топлива.

13.5.7. В графе 12 отражается расход бензина только в качестве котельно-печного топлива.

13.5.8. В графе 14 приводятся данные об использовании дизельного топлива.

13.5.9. В графе 18 приводится расход малосернистого, среднесернистого и высокосернистого топочного мазута, мазута для мартеновских печей, технологического экспортного топлива (ТУ 38.001361-87).

Нефтеперерабатывающие предприятия в этой графе отражают также жидкие нефтепродукты собственного производства (отбензиненная нефть на нефтестабилизационных установках, флегма, мазут прямой гонки и др.), которые по условиям производства были израсходованы ими на собственные технологические нужды в качестве топлива.

13.5.10. В графе 16 приводится расход печного бытового топлива малосернистого (с содержанием серы не более 0,5%) и сернистого (с содержанием серы 1,2%).

13.5.11. В графе 19 показывается расход флотского мазута, газотурбинного топлива.

13.5.12. В графе 21 учитываются углеводородные сжиженные газы, следующих фракций: бутан технический, бутан-изобутан, изобутан, нормальный бутан, пропан, пропан технический, пропан-бутан-пентановая фракция (прочие сжиженные газы), смесь технических пропана и бутана (СПБТ), фракции пропан-бутановая и пропан-пропиленовая. Другие виды сжиженных газов, используемые в качестве топлива, отражаются по строке 28.

13.5.13. В графе 22 отражается расход только сухого газа нефтеперерабатывающих предприятий. Сжиженный газ нефтеперерабатывающих предприятий учитывается в графе 21.

13.5.14. В графах 23 - 24 приводится расход природного газа газовых, газоконденсатных, нефтяных месторождений, а также газа, прошедшего переработку - сухого газа газоперерабатывающих заводов.

Газ, полученный в результате переработки нефти, газового конденсата (газ сухой нефтеперерабатывающих заводов) и сжиженный газ, по указанным строкам не отражается.

13.5.15. В графе 25 приводятся данные о расходе доменного газа и других отходящих газов металлургического производства (конвертерный газ, ферросплавный газ и т.д.).

13.5.16. В графе 26 приводится расход коксового газа, а также отходящих газов химических и других производств (кроме отходящих газов металлургических производств).

В графах 25 и 26 не приводятся данные о количестве газов, использованных только для отбора содержащейся в них тепловой энергии на теплоутилизационных и иных установках.

13.5.17. В графе 27 приводится расход прочих видов твердого топлива, не перечисленных в графах с 5 - 10 (отходы производств, в том числе твердых и жидких вторичных энергетических ресурсов, указанных в приложении N 4 к настоящим указаниям, бытовые отходы, горючие сланцы, прочие виды естественного топлива (торфяная крошка, солома, камыш, хворост, костра, стебли кукурузы, лузга, отходы лесозаготовок и деревообработки, а также использованные в качестве топлива демонтированные деревянные шпалы, рудничная стойка, столбы связи, деревянная тара, бревна разобранных старых зданий и т.п.).

13.5.18. В графе 28 приводится расход прочих видов нефтепродуктов, не перечисленных в графах 12 - 21.

13.6. По строкам 0010, 0018, 10019, 0011 и 0025, 0028, 0029, 0032, 0034 в графе 1 "Произведено продукции (выполнено работ) за отчетный год" приводятся данные об объеме отпущенной электро-, теплоэнергии с шин и коллекторов электростанций соответственно, за исключением их потерь и расхода на собственные нужды.

Объем энергии, полученный со стороны, и отпущенный потребителям (т.е. транзитной тепло-, электроэнергии, на производство которой организация не осуществляла расход топлива), в этой графе не отражается.

13.7. Данные об отпуске тепло-, электроэнергии в разделе 2 приводятся действующими электростанциями и электрогенераторными установками, в том числе передвижными электростанциями мощностью 5 кВт и выше (исключение составляют электростанции, обслуживающие лесозаготовки, т.к. включаются в отчет независимо от мощности) и стационарными электростанциями мощностью свыше 2 кВт.

Электростанции (электрогенераторные установки) на судах, поездах, автотранспорте; обслуживающим кинопередвижки, электросварочные аппараты, составляющие с рабочим аппаратом единый агрегат; предназначенные для зарядки аккумуляторов, а также электрогенераторные установки, находящиеся на складе, в пути, в монтаже, относящиеся к неустановленному оборудованию, данные о количестве отпущенной тепло-, электроэнергии в разделе 2 не отражают.

13.8. По строке 0010 приводятся данные об объеме электроэнергии, отпущенной следующими категориями электростанций независимо от назначения использования:

- конденсационными электростанциями (КЭС);

- теплоэлектроцентралями (ТЭЦ);

- газотурбинными электростанциями (ГТЭС);

- изолированными тепловыми электростанциями.

13.9. По строке 0011 приводятся данные об объеме электроэнергии, отпущенной дизельными электростанциями (ДЭС) независимо от назначения использования и газопоршневыми, с бензиновым и дизельным двигателем:

13.10. В графе 2 "Фактический расход электроэнергии на произведенную продукцию" указывается расход электроэнергии на собственные нужды электростанции на производство электроэнергии и отпуск теплоэнергии, включая количество электроэнергии, полученной от внешней сети от других источников. В графах 5 28 приводятся данные в условном исчислении о фактическом расходе сожженного топлива в энергетических установках электростанций за отчетный год.

13.11. По строке 0032 "Теплоэнергия, отпущенная котельными" в графе 1 отражается отпуск теплоэнергии котельными, состоящими на самостоятельном балансе или на балансе других организаций. По этой строке также отражаются сведения по отопительным котлам любых типов, находящимся на балансе организаций.

Сведения по котельным (строка 0032) и электрокотлам (строка 0034) производительностью менее 20 Гкал/час предоставляют только организации следующих видов экономической деятельности Общероссийского классификатора видов экономической деятельности (ОКВЭД) - "Сельское хозяйство, охота и лесное хозяйство" (раздел A), "Рыболовство, рыбоводство" (раздел B), "Добыча полезных ископаемых" (раздел C), "Обрабатывающие производства (раздел D), "Производство и распределение электроэнергии, газа и воды" (раздел E), "Строительство" (раздел F), "Транспорт и связь" (раздел I), "Удаление и обработка твердых отходов" (код ОКВЭД 90.00.2).

Организации других видов экономической деятельности, имеющих на балансе котельные, отопительные и электрокотлы производительностью менее 20 Гкал/час, сведения об отпуске теплоэнергии и расходе топлива для работы этого отопительного оборудования в форме не приводят.

Необходимость отражения данных в разделе 2 организациями (школы, детские сады, лечебно-оздоровительные учреждения, дома-интернаты, учреждения культуры, студенческие общежития, коммунальные учреждения и другие), использующими специальные газовые отопительные котлы мощностью от 0,001 Гигакал/ч, отсутствует.

13.12. По строке 0034 "Теплоэнергия, отпущенная электробойлерными установками (электрокотлами)" приводятся данные об объеме отпуска тепловой энергии отопительными котлами любых типов, находящимися на самостоятельном балансе или балансе других организаций. В тех случаях, когда котлы находятся в составе производственного оборудования тепловых электростанций и котельных, а работа электрокотлов связана непосредственно с технологическим процессом производства теплоэнергии, то сведения об объеме отпущенной теплоэнергии такими электробойлерными установками (электрокотлами) и соответствующий расход электроэнергии в итоги по строкам 0025, 0032 не включаются.

13.13. По строкам 0021, 0031, 0050, 0190, 0195, 0200 приводятся данные об объеме потерь в графе 1 "Произведено продукции (выполнено работ) за отчетный год". Сведения по графам 2 28 вышеназванных строк не отражаются. Потери энергии распределяются на основе опытных замеров или пропорционально объему потребленного энергоресурса на производство соответствующих видов продукции (работ и услуг).

По строке 0050 "Потери теплоэнергии в теплосетях" в графе 1 отражается общий объем потерь теплоэнергии в магистральных теплосетях, теплосетях городов и поселков, а также в заводских и фабричных теплосетях, обеспечивающих отпуск теплоэнергии на сторону. Потери теплоэнергии при ее производстве по данной строке не отражаются.

13.14. По строке 0140 "Переработка нефти, включая газовый конденсат" в графе 1 приводятся сведения об объемах нефти и газового конденсата, поступивших на переработку в данной организации. В эти объемы не включаются газовый конденсат, который прошел в данной организации стадию стабилизации, нефть, которая прошла стадию подготовки и соответственно после стабилизации и подготовки без дальнейшей переработки, были отгружены на сторону.

В графах 2 - 4 приводятся сведения о суммарном расходе топливно-энергетических ресурсов при производстве всех технологических процессов нефтепереработки (включая переработку газового конденсата для производства нефтепродуктов) в данной организации.

13.15. По строкам 0190 "Потери газа в магистральных газопроводах" и 0195 "Потери нефти в магистральных нефтепроводах" заполняется только графа 1, в которой приводятся соответственно данные об объемах потерь газа и нефти при их транспортировке по магистральным трубопроводам и отводам от них и в результате происшедших на них авариях. Сведения о потерях газа и нефти на внутрипромысловых трубопроводах в форме не отражаются.

13.16. По строке 0230 "Переработка угля (обогащение)" в графе 1 приводятся данные об объемах угля, прошедшего обогащение.

13.17. По строке 1191 "Углеводороды ациклические" в графе 1 указывается суммарный объем производства этилена, пропилена, бутадиена-1,3 и ацетилена, а в соответствующих графах 2 28 приводятся данные о расходе топливно-энергетических ресурсов в условном исчислении при производстве перечисленных углеводородов.

13.18. По строкам 2400, 2410, 2420, 2430 приводятся данные об объеме производства и расходе топливно-энергетических ресурсов при производстве отдельных видов тканей. Если организация производит хлопчатобумажные и штапельные ткани, то расход теплоэнергии и электроэнергии на производство штапельных тканей следует отнести к расходу соответствующих видов энергии на производство хлопчатобумажных тканей (строка 2400), а если организация производит шелковые и штапельные ткани, то расход теплоэнергии и электроэнергии на производство штапельных тканей следует отнести к расходу соответствующих видов энергии на производство шелковых тканей (строка 2430).

13.19. Сведения по строкам 2700, 2705, 2710, 2715, 2720 отражают все организации, осуществляющие выращивание крупного рогатого скота, овец, коз, свиней и сельскохозяйственной птицы на убой, а также организации, имеющие в собственности, управлении или эксплуатирующие на другом законном основании специализированные площадки для убоя скота и птицы. В графе 1 указывается объем производства скота и птицы на убой в живом весе, в графах 2 и 3 указывается расход электро-, теплоэнергии на работу специализированного оборудования (электродвигателей, электроконвейеров, электропогрузчиков и т.д.), освещение и отопление помещений в период воспроизводства скота и птицы и/или содержания его для прохождения ветеринарного карантина. В графе 4 приводятся данные о количестве топлива, израсходованного транспортными средствами для перевозки скота и птицы, указанного объема в графе 1.

13.20. Данные по строкам 2831, 2835, 2838 отражают организации с видом экономической деятельности "Деятельность прочего сухопутного пассажирского транспорта, подчиняющегося расписанию" (код по ОКВЭД 60.21). В графе 1 приводятся данные об объеме пассажирооборота, определяемого как произведение количества перевезенных пассажиров на расстояние поездки в километрах (тыс. пасс. км). Количество топлива, израсходованного в двигателях внутреннего сгорания транспортных средств для перевозки пассажиров, отражается по соответствующему виду топлива в графах раздела 2.

13.21. По строке 2840 "Перевозка грузов грузовым автотранспортом" по методологии учета соответствует показателю "Грузооборот". В грузооборот включаются суммарные объемы, выполненные на коммерческой основе (за плату для заказчика - юридического или физического лица) по дорогам общего пользования собственными и арендованными эксплуатационными грузоперевозящими автомобилями: грузовыми (включая грузовые таксомоторы), пикапами и фургонами на шасси легковых автомобилей, а также автоприцепами. Объемы грузооборота, выполненные грузовыми автотранспортными средствами для собственных производственных целей (некоммерческие перевозки собственных грузов), по строке 2840 не учитываются. Также не учитывается перевозка грузов, осуществляемая без выезда на дорогу общего пользования (в пределах территории отчитывающегося субъекта). Такие перевозки являются технологическими. К ним относятся внутрихозяйственные, внутризаводские, внутриобъектные, внутрикарьерные, внутрипостроечные и т.п. перевозки. Приравнивать перевозки пассажиров в грузовых автомобилях к перевозкам грузов в тоннах и тонно-километрах не следует.

Объемы грузоперевозок и количество использованного топлива автомобильным грузовым транспортом при перевозке грузов для собственных производственных целей (некоммерческие перевозки собственных грузов), а также для перевозки своих работников в автобусах к месту работы или жительства по строке 2840 не учитываются.

13.22. По строке 2950 "Электроснабжение теплиц" отражаются затраты электроэнергии на освещение, работу электродвигателя и другого электрооборудования, используемого для тепличного хозяйства. В случае использования топливных ресурсов (угля, газа, нефтепродуктов и др.) для работы двигателя или оборудования, то расход по ним отражается в соответствующих графах по строке 2950.

13.23. По строке 2960 "Отопление теплиц" отражаются затраты теплоэнергии на отопление, а также топливо, израсходованное для отопления. В случае, если тепличное хозяйство отапливается электроприборами, то указывается расход электроэнергии по ним.

13.24. "Перечень видов продукции, работ (услуг), на которые расходуется электроэнергия, тепловая энергия, котельно-печное топливо и нефтепродукты в двигателях внутреннего сгорания" (Приложение N 3) исключает данные о расходе топливно-энергетических ресурсов на авто- и авиатранспорт, за исключением строк, по которым прописан особый порядок.

13.25. По строке 9400 "Работа сельскохозяйственных тракторов и комбайнов" и 9401 "в том числе работа тракторов" в графе 1 данные отражаются в условных эталонных гектарах общей площади сельскохозяйственных угодий хозяйства, а по графе 4 - в условном исчислении объем фактического расхода топлива тракторами и комбайнами, работающими в хозяйстве, выполняющими работы с прицепными, навесными сельскохозяйственными машинами, перевозящими грузы на прицепах и т.д.).

Таблица коэффициентов перевода и сменная эталонная выработка тракторов основных марок приведены в Приложении N 5.

Для определения уровня эффективности использования сельскохозяйственной техники (тракторов и комбайнов) и обеспечения контроля за расходованием топливных ресурсов (горючего) используются такие показатели как условно-эталонный трактор и условно-эталонный гектар. Физические тракторы переводятся в условно-эталонные по коэффициентам, которые определены, исходя из нормативной выработки за смену. Условно-эталонные гектары рассчитываются путем умножения количества выполненных нормосмен трактором соответствующей марки на величину переменной эталонной выработки.

Справочно: Условно-эталонный гектар представляет собой объем работы, соответствующий вспашке одного физического га стерни колосовых культур на глубину 0,2 - 0,22 м среднесуглинистых некаменистых почв при влажности 20 - 22%, при удельном сопротивлении плуга со стандартными корпусами 50 кН/м2 на скорости 1,4 м/с (5 км/час), ровном рельефе (угол склона до 1°), высоте над уровнем моря не более 200 м, длине гона 800 м, на полях правильной конфигурации без препятствий. Перевод объема выполненной трактором конкретной работы в условные эталонные гектары () осуществляют путем умножения числа фактически выполненных сменных норм (нормосмен) (H) на сменную выработку данного трактора в эталонных условиях , т.е. по следующей формуле:

, где

- объем работ, выполненных трактором, в условных эталонных гектарах;

H - фактическое число выполненных нормосмен;

- сменная выработка трактора в эталонных условиях.

Сменную выработку трактора в эталонных условиях подсчитывают как произведение коэффициента перевода физических тракторов в эталонные () на продолжительность времени смены () (7 часов):

, где

- сменная выработка трактора в эталонных условиях;

- - коэффициент перевода;

- время продолжительности смены.

Например: за условный эталонный трактор принят трактор с эффективной мощностью 55 кВт и мощностью на крюке 35 кВт, имеющий наработку, равную 1 усл. эт. га за час сменного времени.

Значения коэффициентов перевода и сменная эталонная выработка тракторов основных марок приведены в приложении N 5 "Коэффициенты перевода и сменная эталонная выработка тракторов основных марок" настоящих Указаний.

Поскольку коэффициенты перевода для комбайнов отсутствуют, возможно применять коэффициенты, указанные в приложении N 5, используя критерий для них "Мощность", т.е. к соответствующей мощности комбайна (в случае несовпадения брать близкое значение) - соответствующий коэффициент перевода.

Раздел 3. Оснащенность приборами учета

По строкам 3010 и 3011 приводятся данные соответственно о количестве приборов учета электрической энергии и (при наличии) мощности.

15. Приборы учета электрической мощности <*> - это специальные приборы, обеспечивающие мгновенный учет мощности (активной, реактивной) на основе измерения величины (силы) тока (ампер), величины напряжения (вольт), а также фазового сдвига в гармониках.

В строках 3020, 3030 и 3040 приводятся данные о количестве приборов учета тепловой энергии, соответственно горячей и холодной воды.

В строке 3050 приводятся данные о количестве приборов учета газа.

16. Расчетная точка учета энергетических ресурсов <*> - место в системе электро-, тепло-, водо- и газоснабжения юридического лица, в котором при помощи приборов учета осуществляются расчеты объемов расходуемых энергетических ресурсов. Приборы учета, по которым расчеты поставщиков энергетических ресурсов с потребителями энергетических ресурсов не осуществляются (внутрицеховые счетчики), в данные по графам 1 - 3 не включаются.

<*> Определение дано исключительно для целей заполнения настоящей формы.

В графе 1 "Общее число расчетных точек учета энергетических ресурсов" приводятся данные об общей потребности в оснащении (количестве) приборами учета энергетических ресурсов в расчетных точках учета, по которым осуществляются расчеты поставщиков энергетических ресурсов с их потребителями.

В графе 2 "Число расчетных точек учета, оснащенных приборами учета энергетических ресурсов" приводятся данные о количестве фактически установленных приборов учета энергетических ресурсов в расчетных точках учета, по которым осуществляются расчеты поставщиков энергетических ресурсов с их потребителями, независимо от даты установки этих приборов.

В графе 3 "Введено в эксплуатацию приборов учета энергетических ресурсов" приводятся данные о количестве фактически установленных и введенных в эксплуатацию в течение отчетного года приборов учета энергетических ресурсов, по показаниям которых осуществляется расчет с их потребителями.

8. Контроль данных по показателям формы

В электронном документе нумерация разделов соответствует официальному источнику.

Раздел 1

строка 1010 графа 3 строки 1012 графа 3;

строка 1030 графа 3 строки 1032 графа 3;

строка 1080 графа 3 строки 1082 графа 3;

строка 1090 графа 3 строки 1092 графа 3;

строки 1150 графа 3 строки 1151 графа 3;

строка 1160 по графам 1 4, 6 10 = сумме строк 1620, 1630 по графам 1 4, 6 10

строка 1161 по графам 3, 4 = сумме строк 1621, 1631 по графам 3, 4;

если по строке 1160 введены данные в графах 3 и 4, то должны быть введены данные в соответствующих графах по строке 1161;

если по строке 1620 введены данные в графах 3 и 4, то должны быть введены данные в соответствующих графах по строке 1621;

если по строке 1630 введены данные в графах 3 и 4, то должны быть введены данные в соответствующих графах по строке 1631;

строка 1700 по графам 1 4, 7, 8, 10 строки 1720 по графам 1 4, 7, 8, 10;

строка 1750 графа 3 = сумме строк 1751, 1752, 1753 по графе 3;

сумма данных всех строк, кроме 1012, 1032, 1082, 1092, 1151, 1161, 1621, 1631, 1750 1753, по графам 1 и 2 должна быть равна сумме данных граф 3, 8, 9 и 10 по соответствующим строкам;

данные всех строк, кроме 1012, 1032, 1082, 1092, 1151, 1161, 1621, 1631, 1750 1753, по графе 3 должны быть равны сумме данных граф 4 7 по соответствующим строкам.

Раздел 2

строка 0010 по всем графам сумме строк 0018, 0019 по соответствующим графам;

строка 0025 по всем графам сумме строк 0028, 0029 по соответствующим графам;

строка 0025 по графе 1 > строки 0021 по графе 1;

строка 0032 по графе 1 > строки 0031 по графе 1;

строка 0160 по всем графам = сумме строк 0161, 0162 по соответствующим графам;

строка 2700 по всем графам = сумме строк 2705, 2710, 2715, 2720 по соответствующим графам;

строка 9400 по всем графам строки 9401 по соответствующим графам;

строка 9500 по всем графам 2 28 = сумме строк 0010, 0011, 0025, 0032, 0034, 0060, 0140, 0160, 0170, 0210 2700, 2730 9400 по соответствующим графам

Раздел 3

графа 1 по строкам 3010 3050 графы 2 по строкам 3010 3050;

графа 2 по строкам 3010 3050 графы 3 по строкам 3010 3050.

Приложение N 1

(справочно)

ПЕРЕЧЕНЬ
УГЛЯ ПО БАССЕЙНАМ И МЕСТОРОЖДЕНИЯМ

N N строки Вид углей
1160 Уголь и продукты переработки угля
1165 в том числе для коксования
Из общего количества угля - по бассейнам и месторождениям
1170 Уголь донецкий
1171 в том числе для коксования
1180 Уголь кузнецкий
1181 в том числе для коксования
1230 Уголь подмосковный
1240 Уголь воркутинский
1241 в том числе для коксования
1250 Уголь интинский
1270 Уголь челябинский
1280 Уголь свердловский
1290 Уголь башкирский
1310 Уголь нерюнгринский
1311 в том числе для коксования
1320 Уголь якутский
1330 Уголь черемховский
1340 Уголь азейский
1350 Уголь читинский
1360 Уголь гусиноозерский
1370 Уголь хакасский (минусинский)
1380 Уголь канско-ачинский
1390 Уголь тувинский
1400 Уголь тунгусский (котуйский)
1410 Уголь райчихинский
1420 Уголь ургальский
1430 Уголь сахалинский
1440 Уголь магаданский
1460 Уголь норильский
1480 Уголь камчатский
1490 Уголь Приморья
1500 Уголь прочих месторождений
1580 Уголь карагандинский
1581 в том числе для коксования
1582 Уголь экибастузский
1583 Уголь импортный прочий

Приложение N 2

(справочно)

ПЕРЕЧЕНЬ
ВИДОВ ПРОДУКЦИИ, РАБОТ (УСЛУГ), НА КОТОРЫЕ РАСХОДУЕТСЯ ЭЛЕКТРОЭНЕРГИЯ, ТЕПЛОВАЯ ЭНЕРГИЯ, КОТЕЛЬНО-ПЕЧНОЕ ТОПЛИВО И НЕФТЕПРОДУКТЫ В ДВИГАТЕЛЯХ ВНУТРЕННЕГО СГОРАНИЯ

N строки Виды продукции и работ Единица измерения продукции (работы) Код единицы измерения по ОКЕИ
1 2 3 4
0010 Электроэнергия, отпущенная электростанциями, работающими на котельно-печном топливе МВт.ч 246
в том числе:
0018 электроэнергия, отпущенная теплоэлектроцентралями (ТЭЦ) общего назначения МВт.ч 246
0019 электроэнергия, отпущенная блок-станциями ТЭЦ МВт.ч 246
0011 Электроэнергия, отпущенная дизельными электростанциями (работающими от двигателей внутреннего сгорания) МВт.ч 246
0025 Тепловая энергия, отпущенная электростанциями, работающими на котельно-печном топливе Гкал 233
в том числе:
0028 тепловая энергия, отпущенная теплоэлектроцентралями (ТЭЦ) общего назначения Гкал 233
0029 тепловая энергия, отпущенная блок-станциями ТЭЦ Гкал 233
0021 Потери тепловой энергии, произведенной электростанциями, работающими на котельно-печном топливе Гкал 233
0032 Тепловая энергия, отпущенная котельными Гкал 233
0031 Потери тепловой энергии, произведенной котельными Гкал 233
0034 Тепловая энергия, отпущенная электробойлерными установками (электрокотлами) Гкал 233
0050 Потери теплоэнергии в теплосетях Гкал 233
0060 Нефть добытая, включая газовый конденсат тонна 168
0140 Переработка нефти, включая газовый конденсат тонна 168
0160 Добыча газа природного и попутного тыс м3 114
в том числе:
0161 газа горючего природного (газа естественного) тыс м3 114
0162 газа нефтяного попутного (газа горючего природного нефтяных месторождений) тыс м3 114
0170 Переработка газа тыс м3 114
0190 Потери газа в магистральных газопроводах тыс м3 114
0195 Потери нефти в магистральных нефтепроводах тонна 168
0200 Потери газа на газоперерабатывающих заводах тыс м3 114
0210 Добыча угля - всего тонна 168
0230 Переработка угля (обогащение) тонна 168
0290 Добыча торфа тонна 168
0320 Руда железная товарная (включая обогащение и производство концентратов) тонна 168
0350 Агломерат железорудный и марганцевый тонна 168
0360 Окатыши железорудные (окисленные) тонна 168
0365 Окатыши железорудные металлизованные тонна 168
0367 Брикеты железорудные металлизованные тонна 168
0410 Чугун тонна 168
0420 Сталь тонна 168
0460 Прокат готовый черных металлов тонна 168
0470 Трубы стальные тонна 168
0651 Кокс и полукокс из каменного угля, бурого угля (лигнита) или торфа, уголь ретортный тонна 168
0700 Добыча медной руды - всего тонна 168
0710 Переработка медной руды (обогащение) тонна 168
0720 Добыча никелевой руды - всего тонна 168
0730 Переработка никелевой руды (обогащение)
0740 Добыча свинцово-цинковой руды тонна 168
0750 Переработка свинцово-цинковой руды (обогащение) тонна 168
0850 Алюминий первичный тонна 168
0860 Медь рафинированная нелегированная необработанная тонна 168
1180 Аммиак синтетический тонна 168
1191 Углеводороды ациклические тонна 168
1230 Сода кальцинированная 100% (включая поташ и содопоташную смесь) тонна 168
1240 Сода каустическая твердая 100% (включая едкий калий) тонна 168
1360 Удобрения калийные минеральные или химические (в пересчете на 100% K2O) тонна 168
1370 Удобрения фосфорные минеральные или химические (в пересчете на 100% P2O5) тонна 168
1379 Удобрения азотные минеральные или химические (в пересчете на 100% азота) тонна 168
1410 Синтетические смолы и пластические массы тонна 168
1530 Каучуки синтетические тонна 168
1533 Лакокрасочные материалы тонна 168
1560 Шины, покрышки для грузовых автомобилей, автобусов и троллейбусов штука 796
1565 Шины, покрышки пневматические для легковых автомобилей новые штука 796
1820 Древесина необработанная тыс. плотн. м3 127
1840 Лесоматериалы, продольно распиленные или расколотые, разделенные на слои или лущеные, толщиной более 6 мм; шпалы железнодорожные или трамвайные деревянные, непропитанные тыс м3 114
1850 Фанера клееная м3 113
1855 Древесноволокнистые плиты твердые тыс усл м2 063
1860 Древесностружечные плиты усл м3 123
1970 Целлюлоза тонна 168
1980 Бумага тонна 168
1990 Картон тонна 168
1991 Материалы строительные (нерудные) тыс м3 114
2000 Портландцемент, цемент глиноземистый, цемент шлаковый и аналогичные цементы гидравлические тонна 168
2001 Клинкеры цементные тонна 168
2020 Кирпич керамический неогнеупорный строительный тыс усл кирп 894
2025 Кирпич строительный (включая камни) из цемента, бетона или искусственного камня тыс усл кирп 894
2033 Блоки стеновые мелкие из ячеистого бетона тыс усл кирп 894
2034 Блоки стеновые крупные (включая блоки стен подвалов) из бетона тыс усл кирп 894
2040 Смеси асфальтобетонные дорожные, аэродромные и асфальтобетон (холодные, горячие и теплые) тонна 168
2100 Плитки керамические облицовочные тыс м2 058
2120 Конструкции и детали сборные железобетонные тыс м3 114
2141 Конструкции строительные сборные из стали тонна 168
2142 Конструкции строительные сборные из алюминия и его сплавов тонна 168
2143 Металлоконструкции (кроме сборных строительных металлоконструкций) и их части тонна 168
2390 Мебель тыс руб 384
2400 Ткани хлопчатобумажные тыс м2 058
2410 Ткани льняные тыс м2 058
2420 Ткани шерстяные тыс м2 058
2430 Ткани шелковые (натуральные) и из искусственных и синтетических волокон и нитей (включая штапельные) тыс м2 058
2440 Трикотажные изделия тыс шт 798
2450 Хромовые кожтовары тыс дм2 054
2460 Обувь тыс пар 837
2470 Мясо и субпродукты - всего тонна 168
2500 Сыры и продукты сырные тонна 168
2560 Кондитерские изделия тонна 168
2571 Сахар-песок тонна 168
2580 Хлеб и хлебобулочные изделия тонна 168
2620 Изделия колбасные тонна 168
2630 Цельномолочная продукция (в пересчете на молоко) тонна 168
2640 Мука из зерновых культур, овощных и других растительных культур; смеси из них тонна 168
2652 Консервы рыбные всех видов тыс усл банок 882
2653 Пресервы рыбные тыс усл банок 882
2671 Масла растительные нерафинированные тонна 168
2672 Масла растительные рафинированные тонна 168
2675 Масло сливочное и пасты масляные тонна 168
2682 Алкогольная продукция (без пива и напитков на его основе) тыс дкл 119
2687 Пиво, кроме отходов пивоварения тыс дкл 119
2688 Папиросы и сигареты млн штук 799
2690 Комбикорма тонна 168
2700 Скот крупный рогатый, овцы и козы, свиньи и птица сельскохозяйственная на убой (в живом весе) ц 206
в том числе:
2705 крупный рогатый скот ц 206
2710 овцы и козы ц 206
2715 свиньи ц 206
2720 птица ц 206
2730 Машины для уборки зерновых, масличных, бобовых и крупяных культур штук 796
2731 Насосы центробежные для перекачки жидкостей; прочие насосы; подъемники жидкостей прочие штук 796
2732 Электродвигатели мощностью не более 750 Вт штук 796
2733 Электродвигатели переменного тока многофазные мощностью более 750 Вт, но не более 75 кВт штук 796
2734 Электродвигатели переменного тока многофазные мощностью более 75 кВт штук 796
2735 Провода и кабели изолированные (кроме волоконно-оптических) тыс км 965
2737 Двигатели внутреннего сгорания для автотранспортных средств и мотоциклов штук 796
2740 Автомобили легковые (новые) штук 796
2750 Автобусы штук 796
2760 Автомобили грузовые (включая шасси) (кроме автосамосвалов) штук 796
2765 Автомобили грузовые на шасси других отечественных предприятий. Шасси для грузовых автомобилей, включая аналогичные транспортные средства специального назначения штук 796
2770 Машины для городского коммунального хозяйства штук 796
2775 Тракторы для сельского и лесного хозяйства штук 796
2780 Комбайны зерноуборочные штук 796
2781 Вагоны пассажирские магистральные штук 796
2782 Вагоны грузовые магистральные штук 796
2783 Электровозы магистральные штук 796
2784 Тепловозы маневровые и промышленные штук 796
2800 Вертолеты штук 796
2831 Перевозки внутригородские регулярные пассажирские автобусами (автомобилями), подчиняющиеся расписанию тыс пасс. км 423
2835 Перевозки пригородные регулярные пассажирские автобусами (автомобилями), подчиняющиеся расписанию тыс пасс. км 423
2838 Перевозки междугородные регулярные пассажирские автобусами, подчиняющиеся расписанию тыс пасс. км 423
2840 Перевозка грузов грузовым автомобильным транспортом тыс т. км 450
2860 Транспортирование нефти по магистральным нефтепроводам тыс т. км 450
2868 Транспортирование нефтепродуктов по магистральным нефтепродуктопроводам тыс т. км 450
2870 Транспортирование газа по магистральным газопроводам млн м3 км
2950 Электроснабжение теплиц м2 55
2960 Отопление теплиц м3 113
2980 Перекачка воды для мелиорации и водоснабжения тыс м3 114
9400 Работа сельскохозяйственных тракторов и комбайнов усл. эталон. га
9401 в том числе работа тракторов усл. эталон. га

Приложение N 3

(справочно)

КАЛОРИЙНЫЕ ЭКВИВАЛЕНТЫ ОТДЕЛЬНЫХ ВИДОВ ТОПЛИВА ДЛЯ ПЕРЕСЧЕТА В ТОННЫ УСЛОВНОГО ТОПЛИВА

Виды топлива и энергии Единица измерения Код единицы измерения по ОКЕИ Средний калорийный эквивалент для пересчета одной тонны (тысячи м3) натурального топлива в условную
Нефть, включая газовый конденсат тонна 168 1,43
Мазут топочный тонна 168 1,37
Мазут флотский тонна 168 1,43
Топливо печное бытовое тонна 168 1,45
Керосин тонна 168 1,47
Топливо дизельное тонна 168 1,45
Бензин автомобильный тонна 168 1,49
Бензин авиационный тонна 168 1,49
Топливо моторное тонна 168 1,43
Нефтебитум тонна 168 1,35
Кокс нефтяной и сланцевый тонна 168 1,08
Газ горючий природный (естественный) тыс м3 114 1,154
Газ нефтеперерабатывающих предприятий сухой тонна 168 1,5
Газ сжиженный тонна 168 1,57
Газ горючий искусственный коксовый тыс м3 114 0,57
Газ горючий искусственный доменный тыс м3 114 0,143
Сланцы горючие тонна 168 0,3
Торф топливный тонна 168 0,34
Брикеты и полубрикеты торфяные тонна 168 0,6
Кокс металлургический тонна 168 0,99
Полукокс сланцевый и угольный тонна 168 0,93
Брикеты угольные тонна 168 0,605
Рядовой уголь месторождений:
уголь донецкий тонна 168 0,876
уголь кузнецкий тонна 168 0,867
уголь карагандинский тонна 168 0,726
уголь подмосковный тонна 168 0,335
уголь воркутинский тонна 168 0,822
уголь интинский тонна 168 0,649
уголь челябинский тонна 168 0,552
уголь свердловский тонна 168 0,33
уголь башкирский тонна 168 0,264
уголь нерюнгринский тонна 168 0,987
уголь якутский тонна 168 0,751
уголь черемховский тонна 168 0,752
уголь азейский тонна 168 0,483
уголь читинский тонна 168 0,483
уголь гусиноозерский тонна 168 0,506
уголь хакасский тонна 168 0,727
уголь канско-ачинский тонна 168 0,516
уголь тувинский тонна 168 0,906
уголь тунгусский тонна 168 0,754
уголь магаданский тонна 168 0,701
уголь арктический (шпицбергенский) тонна 168 0,669
уголь норильский тонна 168 0,761
уголь огоджинский тонна 168 0,447
уголь камчатский тонна 168 0,323
уголь Приморья тонна 168 0,506
уголь экибастузский тонна 168 0,628
уголь алтайский тонна 168 0,782
уголь тугнуйский тонна 168 0,692
Дрова для отопления плот м3 121 0,266
Бревна разобранных старых зданий, пришедшие в негодность шпалы, столбы связи, рудничная стойка (на 1 плотный куб. м) плот м3 121 0,266
Кора (на 1 складской куб. м) м3 113 0,42
Сучья, хвоя, щепа (на 1 складской куб. м) м3 114 0,05
Пни (на 1 складской куб. м) м3 114 0,12
Древесные обрезки, стружка, опилки тонна 168 0,36
Древесные опилки (на 1 складской куб. м) м3 114 0,11
Уголь древесный тонна 168 0,93
Камыш, солома, льняная костра, подсолнечная лузга, рисовая лузга (при условной влажности 10%) тонна 168 0,5
Кукурузный кочан (при условной влажности 30%) тонна 168 0,33
Смола каменноугольная коксохимических заводов тонна 168 1,3
Теплоэнергия Гкал 233 0,14286

Приложение N 4

(справочно)

НОМЕНКЛАТУРА ВТОРИЧНЫХ ЭНЕРГЕТИЧЕСКИХ РЕСУРСОВ (ВЭР)

1. Горючие ВЭР
Металлургическое производство
Доменный газ
Конвертерный газ
Ферросплавный газ
Химическое производство, производство резиновых и пластмассовых изделий
Отходящие газы производства техуглерода
Метано-водородная фракция производства этилена
Другие фракции производства этилена
Абгаз производства стирола
Жидкие углеводороды производства стирола
Жидкие углеводороды производства изопрена из изопентана
Жидкие углеводороды производства изопрена из изобутилена
Танковые газы производства аммиака
Печной газ производства фосфора
Горючие газы производства аммиака, в том числе:
богатый газ
танковые и продувочные газы
ретурные газы
окись-углеродная фракция
Жидкие углеводороды производства аммиака
Танковые и продувочные газы производства метанола
Отходящие газы производства формалина
Прочие отходы
Производство целлюлозы, древесной массы, бумаги и картона
Упаренные сульфатные щелока
Упаренные сульфитные щелока
Упаренные бардяные концентраты
Прочие горючие ВЭР
Горючие ВЭР других видов экономической деятельности
Лигнин
Отходящие горючие газы, в том числе:
ваграночные газы
газы от прокалки кокса и т.п.
Жидкие горючие отходы, в том числе:
кубовые остатки
отработанные нефтепродукты и т.п.
Твердые горючие отходы, в том числе:
древесные отходы
костра лубяных волокон
подсолнечная лузга и т.п.
Прочие отходы
2. Тепловые ВЭР
Производство нефтепродуктов и кокса
Теплосодержание дымовых газов и газов регенерации установок:
первичной переработки нефти
каталитического риформинга
каталитического крекинга
гидрокрекинга
карбамидной депарафинизации
производства масел
коксования
парекс
гидроочистки
получения водорода
крекинга и парафинов
Теплосодержание уходящих газов коксовых печей
Производство каучуков
теплосодержание:
контактного газа производства дивинила из спирта
фузельной воды производства дивинила из спирта
Теплосодержание контактного газа и газов регенерации:
Первой стадии дегидрирования производства дивинила из бутана
Второй стадии дегидрирования производства дивинила из бутана
одностадийного производства дивинила из бутана
Первой стадии дегидрирования производства изопрена из изопентана
Второй стадии дегидрирования производства изопрена из изопентана
производство изопрена из изобутана и формальдегида
получение формальдегида из метанола производства бутилкаучука
Теплосодержание формальдегидной воды
Теплосодержание дымовых газов производства
стирола
этилбензола
альфаметилстирола
Прочие виды ВЭР производства каучука
Производство этилена и этилового спирта
Теплосодержание:
дымовых газов печей пиролиза
пиролизных газов (контактных)
парогазовой смеси в производстве спирта
контактных газов производства окиси этилена
продуктовых газов производства бутиловых спиртов
Прочие виды ВЭР производства этилена
Производство аммиака и метанола
Теплосодержание уходящих газов трубчатых печей
Теплосодержание охлаждающей воды
Теплосодержание продукционных газов:
колонн синтеза
конвертеров природного газа и СО
Производство слабой азотной кислоты
Теплосодержание продукционных газов контактных аппаратов
Теплосодержание хвостовых газов
Производство серной кислоты
Теплосодержание продукционного газа:
обжиговых печей КС, ВХЗ и серных контактных аппаратов
Производство обесфторенных фосфатов
Теплосодержание отходящих газов вращающихся печей
Прочие химические производства
Теплосодержание продукционных газов
Теплосодержание отходящих газов технологических печей и агрегатов
Теплота охлаждения
Переработка газа
Теплосодержание уходящих газов:
тепловых двигателей компрессорных станций
технологических установок газоперерабатывающих заводов
Производство прочих неметаллических минеральных продуктов
Теплосодержание отходящих газов:
стекловаренных печей и печей цементного производства
обжига керамзита, керамических изделий и пр. вагранок, прочих технологических печей
Теплота охлаждения корпусов печей и прочих агрегатов
Прочие виды ВЭР
Металлургическое производство
Теплосодержание уходящих газов:
мартеновских, электросталеплавильных, нагревательных, термических, обжиговых, отражательных печей
кислородных конвертеров
нагревательных колодцев
вельц-печей
печей для сжигания серы
прочих установок
Теплота охлаждения:
доменных, мартеновских и нагревательных печей
вагранок
обжиговых, отражательных и электротехнических печей
прочих агрегатов
Теплосодержание кокса
Теплосодержание шлаков:
доменных
сталеплавильных
ферросплавных
других металлургических агрегатов и установок
Теплосодержание доменного газа
Теплосодержание коксового газа
Прочие виды ВЭР
Избыточное давление доменного газа
Производство машин и оборудования, электрооборудования, электронного и оптического оборудования, транспортных средств и оборудования
Теплосодержание отходящих газов:
нагревательных, термических и сушильных печей
Вагранок
прочих технологических установок
Теплота охлаждения:
нагревательных печей, вагранок, компрессоров
Теплосодержание отработанного пара от прессов и молотов
Прочие виды ВЭР
Прочие виды экономической деятельности
Теплосодержание отходящих газов технологических печей нагретой продукции
Теплота охлаждения технологических агрегатов
Теплосодержание отработанного пара
Прочие виды ВЭР

Приложение N 5

(справочно)

КОЭФФИЦИЕНТЫ ПЕРЕВОДА И СМЕННАЯ ЭТАЛОННАЯ ВЫРАБОТКА ТРАКТОРОВ ОСНОВНЫХ МАРОК

Марка трактора Класс тяги Мощность, кВт За час сменного времени За 7-часовую смену
К-701М 5 224 3,00 -
К-701 5 198 2,70 18,9
К-700А 5 154 2,20 15,4
К-700 5 150 2,10 14,7
Т-250 5 184 2,51 17,6
Т-4А 4 96 1,31 9,2
Т-4.02 4 112 1,53 10,7
Т-150, Т-150К 3 121 1,65 11,6
ДТ-175М 3 110 1,50 10,5
ДТ-175МС 3 88 1,20 8,4
ДТ-75Т 3 66 1,10 7,7
ДТ-75, Т-75, Т-74 3 55 1,00 7
Т-70 СМ 2 52 0,90 6,3
ЛТЗ-155 2 110 1,50 10,5
МТЗ-100/102 1,4 74 0,95 6,7
МТЗ-82 1,4 60 0,73 5,1
МТЗ-80 1,4 55 0,70 4,9
ЮМЗ-6 АК 1,4 45 0,60 4,2
ЛТЗ-60 1,4 45 0,60 4,2
ЛТЗ-60 АВ 1,4 44 0,58 4,1
ЛТЗ-55/55А 0,9 37 0,50 3,5
Т-30/30А 0,6 22 0,43 3
Т-25А 0,6 18 0,30 2,1
СШ-28/28А 0,6 22 0,36 2,5
СШ-25 0,6 16 0,27 1,9