Зарегистрировано в Минюсте России 7 ноября 2016 г. N 44251
ФЕДЕРАЛЬНАЯ СЛУЖБА ПО ЭКОЛОГИЧЕСКОМУ, ТЕХНОЛОГИЧЕСКОМУ И АТОМНОМУ НАДЗОРУ
ПРИКАЗ
от 15 августа 2016 г. N 339
ОБ УТВЕРЖДЕНИИ ФЕДЕРАЛЬНЫХ НОРМ И ПРАВИЛ В ОБЛАСТИ ПРОМЫШЛЕННОЙ БЕЗОПАСНОСТИ "ИНСТРУКЦИЯ ПО ПРОГНОЗУ ДИНАМИЧЕСКИХ ЯВЛЕНИЙ И МОНИТОРИНГУ МАССИВА ГОРНЫХ ПОРОД ПРИ ОТРАБОТКЕ УГОЛЬНЫХ МЕСТОРОЖДЕНИЙ"
В соответствии с подпунктом 5.2.2.16(1) Положения о Федеральной службе по экологическому, технологическому и атомному надзору, утвержденного постановлением Правительства Российской Федерации от 30 июля 2004 г. N 401 (Собрание законодательства Российской Федерации, 2004, N 32, ст. 3348; 2006, N 5, ст. 544; N 23, ст. 2527; N 52, ст. 5587; 2008, N 22, ст. 2581; N 46, ст. 5337; 2009, N 6, ст. 738; N 33, ст. 4081; N 49, ст. 5976; 2010, N 9, ст. 960; N 26, ст. 3350; N 38, ст. 4835; 2011, N 6, ст. 888; N 14, ст. 1935; N 41, ст. 5750; N 50, ст. 7385; 2012, N 29, ст. 4123; N 42, ст. 5726; 2013, N 12, ст. 1343; N 45, ст. 5822; 2014, N 2, ст. 108; N 35, ст. 4773; 2015, N 2, ст. 491; N 4, ст. 661; 2016, N 28, ст. 4741), приказываю:
1. Утвердить прилагаемые Федеральные нормы и правила в области промышленной безопасности "Инструкция по прогнозу динамических явлений и мониторингу массива горных пород при отработке угольных месторождений".
2. Настоящий приказ вступает в силу по истечении шестидесяти дней после его официального опубликования.
Руководитель
А.В. АЛЕШИН
УТВЕРЖДЕНЫ
приказом Федеральной службы
по экологическому, технологическому
и атомному надзору
от 15 августа 2016 г. N 339
ФЕДЕРАЛЬНЫЕ НОРМЫ И ПРАВИЛА В ОБЛАСТИ ПРОМЫШЛЕННОЙ БЕЗОПАСНОСТИ "ИНСТРУКЦИЯ ПО ПРОГНОЗУ ДИНАМИЧЕСКИХ ЯВЛЕНИЙ И МОНИТОРИНГУ МАССИВА ГОРНЫХ ПОРОД ПРИ ОТРАБОТКЕ УГОЛЬНЫХ МЕСТОРОЖДЕНИЙ"
1. Настоящие Федеральные нормы и правила в области промышленной безопасности "Инструкция по прогнозу динамических явлений и мониторингу массива горных пород при отработке угольных месторождений" (далее - Инструкция) разработаны в соответствии с требованиями Федерального закона от 21 июля 1997 г. N 116-ФЗ "О промышленной безопасности опасных производственных объектов" (Собрание законодательства Российской Федерации, 1997, N 30, ст. 3588; 2000, N 33, ст. 3348; 2003, N 2, ст. 167; 2004, N 35, ст. 3607; 2005, N 19, ст. 1752; 2006, N 52, ст. 5498; 2009, N 1, ст. 17, ст. 21; N 52, ст. 6450; 2010, N 30, ст. 4002; N 31, ст. 4195, ст. 4196; 2011, N 27, ст. 3880; N 30, ст. 4590, ст. 4591, ст. 4596; N 49, ст. 7015, ст. 7025; 2012, N 26, ст. 3446; 2013, N 9, ст. 874; N 27, ст. 3478; 2015, N 1, ст. 67; N 29, ст. 4359) и Федеральных норм и правил в области промышленной безопасности "Правила безопасности в угольных шахтах", утвержденных приказом Федеральной службы по экологическому, технологическому и атомному надзору от 19 ноября 2013 г. N 550 (зарегистрирован Министерством юстиции Российской Федерации 31 декабря 2013 г., регистрационный N 30961; Бюллетень нормативных актов федеральных органов исполнительной власти, 2014, N 7), с изменениями, внесенными приказом Федеральной службы по экологическому, технологическому и атомному надзору от 2 апреля 2015 г. N 129 (зарегистрирован Министерством юстиции Российской Федерации 20 апреля 2015 г., регистрационный N 36942; Бюллетень нормативных актов федеральных органов исполнительной власти, 2015, N 38) (далее - Правила безопасности в угольных шахтах).
2. Настоящая Инструкция предназначена для работников угледобывающих организаций, осуществляющих добычу угля подземным способом, работников научных организаций и организаций, занимающихся проектированием шахт, работников территориальных органов Федеральной службы по экологическому, технологическому и атомному надзору.
3. Условные обозначения, используемые в настоящей Инструкции, приведены в приложении N 1 к настоящей Инструкции.
4. Положения настоящей Инструкции распространяются на деятельность угледобывающих организаций, осуществляющих добычу угля подземным способом, направленную на предотвращение динамических явлений (далее - ДЯ) в угольных шахтах.
5. В настоящей Инструкции рассмотрены следующие виды ДЯ:
горные удары;
внезапные выбросы угля (породы) и газа;
внезапные выдавливания угля;
внезапные динамические разрушения пород почвы.
6. Признаки динамических явлений и события, предшествующие ДЯ, указаны в приложении N 2 к настоящей Инструкции. Вид происшедшего ДЯ следует определять по совокупности признаков ДЯ.
До возникновения ДЯ могут происходить одно или несколько событий, приведенных в пунктах 7 - 10 приложения N 2 к настоящей Инструкции.
7. Инструкция содержит требования к порядку:
проведения на угольных шахтах прогноза горных ударов, внезапных выбросов угля (породы) и газа, внезапных выдавливаний угля, внезапных динамических разрушений пород почвы;
применения мер по предотвращению ДЯ;
контроля эффективности применения мер по предотвращению ДЯ;
проведения мониторинга массива горных пород при отработке угольных пластов, опасных по внезапным выбросам угля (породы) и газа, и угольных пластов, опасных по горным ударам;
расследования и учета ДЯ.
8. Настоящая Инструкция устанавливает следующие категории опасности по ДЯ:
для угольных пластов, склонных к горным ударам:
угольные пласты, угрожаемые по горным ударам;
угольные пласты, опасные по горным ударам (далее - удароопасные угольные пласты);
для угольных пластов, склонных к внезапным выбросам угля и газа:
угольные пласты, угрожаемые по внезапным выбросам угля и газа;
угольные пласты, опасные по внезапным выбросам угля и газа (далее - выбросоопасные угольные пласты);
угольные пласты (участки угольных пластов), особо опасные по внезапным выбросам угля и газа (далее - особовыбросоопасные угольные пласты (участки угольных пластов));
для угольных пластов, склонных к динамическому разрушению пород почвы горных выработок:
угольные пласты, угрожаемые по динамическим разрушениям пород почвы горных выработок;
угольные пласты, опасные по динамическим разрушениям пород почвы горных выработок;
для угольных пластов, склонных к внезапному выдавливанию угля:
угольные пласты, угрожаемые по внезапному выдавливанию угля;
угольные пласты, опасные по внезапному выдавливанию угля;
для горных пород:
горные породы, склонные к горным ударам;
горные породы, склонные к выбросам породы и газа.
9. Для участков, склонных к ДЯ угольных пластов, в зависимости от возможности проявления на них ДЯ устанавливаются две категории опасности: "опасно" и "неопасно".
К категории опасности "опасно" (далее - категория "опасно") относятся участки угольного пласта, на которых не исключена возможность проявления ДЯ.
К категории опасности "неопасно" (далее - категория "неопасно") относятся участки угольного пласта, на которых методами проведения прогноза, приведенными в настоящей Инструкции, установлено, что на них исключена возможность проявления ДЯ.
10. Угольные пласты (горные породы), угрожаемые по горным ударам, относятся к категории "удароопасные угольные пласты (горные породы)", на которых в пределах данного шахтного поля:
при проведении прогноза удароопасности выявлен участок категории "опасно";
произошел горный удар.
Угольные пласты (горные породы), угрожаемые по внезапным выбросам угля (породы) и газа, относятся к категории "выбросоопасные угольные пласты (породы)", на которых в пределах данного шахтного поля:
при проведении прогноза выбросоопасности выявлена категория "опасно";
произошел внезапный выброс угля (породы) и газа.
К категории "особовыбросоопасные угольные пласты" относятся выбросоопасные угольные пласты (участки угольных пластов) в зонах:
активных по внезапным выбросам тектонических нарушений;
повышенного горного давления (далее - ПГД), осложненных геологическими нарушениями;
перехода забоями подготовительных выработок створов с краевыми частями целиков или остановленных выемочных забоев.
11. При разработке проектной документации на строительство шахты должны учитываться результаты геодинамического районирования шахтного поля. Геодинамическое районирование участка недр проводится в соответствии с приложением N 3 к настоящей Инструкции.
12. Настоящая Инструкция устанавливает следующие виды прогноза ДЯ:
региональный;
прогноз перед вскрытием угольных пластов горными выработками (далее - прогноз перед вскрытием);
локальный;
текущий;
удароопасности и выбросоопасности пород.
Региональный прогноз включает прогноз по данным, полученным при ведении геолого-разведочных работ, и прогноз по непрерывным сейсмоакустическим наблюдениям.
Региональный прогноз по данным, полученным при ведении геолого-разведочных работ, проводится для отнесения угольных пластов к категории "угрожаемых по ДЯ".
Региональный прогноз по непрерывным сейсмоакустическим наблюдениям проводится при отработке удароопасных угольных пластов для выявления на них зон активизации сейсмических и геодинамических процессов.
Прогноз перед вскрытием проводится при вскрытии горными выработками:
пластов угля, склонных к внезапным выбросам угля и газа;
пластов угля, склонных к горным ударам;
горных пород, склонных к внезапным выбросам породы и газа;
горных пород, склонных к горным ударам.
Прогноз перед вскрытием проводится для разработки мер по безопасному ведению горных работ при вскрытии угольных пластов.
Локальный прогноз проводится на склонных к горным ударам и на угрожаемых по внезапным выбросам угля и газа угольных пластах для выявления на них участков категории "опасно".
Текущий прогноз проводится для обеспечения безопасности ведения горных работ в каждом цикле выемки угля.
Текущий прогноз удароопасности проводится на склонных к горным ударам угольных пластах в опасных зонах и на участках данных пластов, не отнесенных к опасным зонам, после выявления на них категории "опасно".
Текущий прогноз выбросоопасности проводится:
в опасных зонах на угрожаемых по внезапным выбросам угля и газа угольных пластах;
на участках угрожаемых угольных пластов, на которых установлены события, предшествующие ДЯ;
на опасных по внезапным выбросам угля и газа угольных пластах.
Прогноз выбросоопасности и удароопасности пород проводится при проведении горных выработок по породам, склонным к внезапным выбросам породы и газа или склонным к горным ударам.
При проведении горных выработок буровзрывным способом в режиме сотрясательного взрывания прогноз выбросоопасности угольных пластов и горных пород не проводится.
13. Область применения, назначение, виды и методы прогноза ДЯ в угольных шахтах и схемы, поясняющие порядок проведения прогноза внезапных выбросов угля (породы) и газа и горных ударов, приведены в приложении N 4 к настоящей Инструкции.
Порядок проведения регионального прогноза по данным, полученным при ведении геолого-разведочных работ, и порядок отнесения угольных пластов к категории "угрожаемые по ДЯ" приведены в приложении N 5 к настоящей Инструкции.
Порядок проведения регионального прогноза по непрерывным сейсмоакустическим наблюдениям приведен в приложении N 6 к настоящей Инструкции.
Порядок проведения прогноза ДЯ в месте вскрытия склонных к ДЯ угольных пластов и склонных к ДЯ горных пород приведен в приложении N 7к настоящей Инструкции.
Методы локального прогноза удароопасности угольных пластов приведены в приложении N 8 к настоящей Инструкции. Порядок проведения локального прогноза удароопасности угольных пластов приведен в приложении N 9 к настоящей Инструкции.
Методы текущего прогноза удароопасности угольных пластов приведены в приложении N 10 к настоящей Инструкции.
Методы прогноза удароопасности горных пород приведены в приложении N 11 к настоящей Инструкции.
Порядок проведения локального прогноза выбросоопасности угольных пластов приведен в приложении N 12 к настоящей Инструкции.
Методы текущего прогноза выбросоопасности угольных пластов приведены в приложении N 13 к настоящей Инструкции.
Порядок и методы прогноза выбросоопасности горных пород приведены в приложении N 14 к настоящей Инструкции.
Методы и порядок проведения прогноза динамических разрушений пород почвы горных выработок приведены в приложении N 15 к настоящей Инструкции.
Метод прогноза внезапных выдавливаний угля приведен в приложении N 16 к настоящей Инструкции.
Метод прогноза динамических разрушений пород почвы с интенсивным газовыделением приведен в приложении N 17 к настоящей Инструкции.
14. Порядок мониторинга массива горных пород приведен в приложении N 18 к настоящей Инструкции.
15. Запрещается ведение горных работ по проведению горных выработок и выемке угля на участках угольного пласта, для которых установлена категория "опасно".
Горные работы по проведению горных выработок и выемке угля на участках угольного пласта, для которых установлена категория "опасно", возобновляются после проведения мер по предотвращению ДЯ и контроля их эффективности.
Меры по предотвращению ДЯ приведены в приложении N 19 к настоящей Инструкции.
Порядок и методы контроля эффективности мер по предотвращению ДЯ приведены в приложении N 20 к настоящей Инструкции.
16. Прогноз ДЯ проводится одним из методов, приведенных в настоящей Инструкции.
При выборе метода прогноза ДЯ учитывается категория опасности угольного пласта и горных пород по ДЯ. На угрожаемых по ДЯ угольных пластах прогноз ДЯ допускается проводить методами и в порядке, предусмотренными настоящей Инструкцией для проведения прогноза на опасных по ДЯ угольных пластах.
Для прогноза ДЯ допускается проводить два вида прогноза и более методами, приведенными в настоящей Инструкции. Когда прогноз ДЯ проводится несколькими методами, участок к категории "опасно" относится в случае, если по результатам хотя бы одного из применяемых методов прогноза установлена категория "опасно".
Прогноз может не проводиться в случае выполнения мер по предотвращению ДЯ и контроля их эффективности.
17. На угольных пластах, склонных к ДЯ, должны выявляться участки угольного пласта, в границах которых горные работы будут вестись в особо сложных условиях (далее - опасные зоны).
К опасным зонам относятся:
на угольных пластах, склонных к горным ударам:
зоны ПГД;
зоны влияния геологических нарушений;
зоны расщепления угольного пласта;
зоны, в которых горные работы проводятся в направлении на выработанное пространство;
зоны, в которых горные работы проводятся в направлении на передовую выработку;
для шахт Воркутского месторождения - очистную выработку и оконтуривающие выемочный участок горные выработки на участке протяженностью от монтажной камеры, равной шагу первой посадки труднообрушаемой основной кровли пласта;
участки отработки целиков;
на угольных пластах, склонных к внезапным выбросам угля и газа:
участки в пределах незащищенной нижней части горизонта;
зоны влияния геологических нарушений;
зоны ПГД.
Опасные зоны наносятся на горную графическую документацию.
18. На шахтах, отрабатывающих угольные пласты, опасные по горным ударам и (или) опасные по внезапным выбросам, должен проводиться мониторинг массива горных пород геофизическими методами.
Мониторинг массива горных пород геофизическими методами проводится в соответствии с проектной документацией.
19. Методы прогноза ДЯ, применяемые при ведении горных работ на шахте, меры по предотвращению ДЯ и методы контроля эффективности применения мер по предотвращению ДЯ включаются в документацию по ведению горных работ, разрабатываемую в угледобывающей организации в соответствии с Правилами безопасности в угольных шахтах.
20. Прогноз ДЯ и контроль эффективности применения мер по предотвращению ДЯ на шахтах, разрабатывающих угольные пласты, склонные к ДЯ, выполняются персоналом службы прогноза ДЯ.
21. Ежегодно при подготовке документов для рассмотрения плана развития горных работ распорядительным документом руководителя угледобывающей организации угольные пласты и горные породы относятся к категориям по ДЯ, утверждается перечень опасных зон, в которых в планируемом году будут вестись горные работы, и определяется комплекс мер по прогнозу и предотвращению ДЯ на планируемый год.
Данный распорядительный документ в уведомительном порядке направляется в территориальный орган Федеральной службы по экологическому, технологическому и атомному надзору и в профессиональную аварийно-спасательную службу или профессиональное аварийно-спасательное формирование, обслуживающие угледобывающую организацию.
22. ДЯ подлежат расследованию и учету в соответствии с Порядком проведения технического расследования причин аварий, инцидентов и случаев утраты взрывчатых материалов промышленного назначения на объектах, поднадзорных Федеральной службе по экологическому, технологическому и атомному надзору, утвержденным приказом Федеральной службы по экологическому, технологическому и атомному надзору от 19 августа 2011 г. N 480 (зарегистрирован Министерством юстиции Российской Федерации 8 декабря 2011 г., регистрационный N 22520; Бюллетень нормативных актов федеральных органов исполнительной власти, 2012, N 5), с изменениями, внесенными приказом Федеральной службы по экологическому, технологическому и атомному надзору от 25 декабря 2014 г. N 609 (зарегистрирован Министерством юстиции Российской Федерации 26 февраля 2015 г., регистрационный N 36214; Бюллетень нормативных актов федеральных органов исполнительной власти, 2015, N 26). Информация о происшедших горных ударах, внезапных выбросах наносится на горную графическую документацию.
События, предшествующие ДЯ, расследуются в течение двадцати четырех часов комиссией, возглавляемой техническим руководителем (главным инженером) угледобывающей организации.
Приложение N 1
к Федеральным нормам и правилам
в области промышленной безопасности
"Инструкция по прогнозу
динамических явлений и мониторингу
массива горных пород при отработке
угольных месторождений", утвержденным
приказом Федеральной службы
по экологическому, технологическому
и атомному надзору
от 15 августа 2016 г. N 339
УСЛОВНЫЕ ОБОЗНАЧЕНИЯ
- высокочастотная составляющая спектра искусственного акустического сигнала, у.е.
- амплитуда искусственного электромагнитного поля, мВ.
- активность акустической эмиссии (далее - АЭ), зарегистрированная при бурении первого метра скважины, имп/мин.
- активность АЭ, зарегистрированная при бурении i-го метра скважины, имп/мин.
- низкочастотная составляющая спектра искусственного акустического сигнала, у.е.
- амплитуда акустического сигнала, у.е.
- резонансная амплитуда акустического сигнала, у.е.
a - ширина горной выработки вчерне, м.
- условная ширина подготовительной выработки, м.
B - ширина зоны влияния тектонического нарушения, м.
- отношение количества импульсов с высокой энергией (амплитудой) к количеству импульсов с низкой энергией (амплитудой) на участке угольного пласта, находящегося в неудароопасном состоянии, доля ед.
- отношение количества импульсов с высокой энергией (амплитудой) к количеству импульсов с низкой энергией (амплитудой) на участке угольного пласта, на котором проводят прогноз горных ударов методом ЕЭМИ, доля ед.
b - подвигание забоя за цикл, м.
- ширина зоны разгрузки угольного пласта в бок горной выработки, м.
- содержание метана в конце интервала регистрации, %.
- фоновое содержание метана, %.
- максимальное содержание метана после взрывных работ, %.
- модуль упругости слоя горных пород, залегающего в непосредственной почве угольного пласта, МПа.
- модуль упругости опасного слоя, МПа.
F - среднее содержание фюзинита в угольном пласте, %.
f - частота акустического сигнала, Гц.
- коэффициент крепости угля по Протодьяконову, у.е.
- минимальный коэффициент крепости угля по Протодьяконову угольных пачек, у.е.
- коэффициент крепости по Протодьяконову пачки крепкого угля, у.е.
- коэффициент крепости по Протодьяконову пачки слабого угля, у.е.
- средний коэффициент крепости угля по Протодьяконову, у.е.
- коэффициент крепости по Протодьяконову угольного пласта сложного строения, у.е.
- средний коэффициент крепости угля по Протодьяконову на участке угольного пласта, на котором проводятся контрольные наблюдения.
- показатель сорбционной пористости угля, доля ед.
- начальная скорость газовыделения из скважины, замеренная не позднее чем через 2 минуты после окончания бурения (далее - начальная скорость газовыделения), л/мин.
- начальная скорость газовыделения из скважины, замеренная не позднее чем через 7 минут после окончания бурения (далее - начальная скорость газовыделения), л/мин.
- пороговое значение начальной скорости газовыделения, л/мин.
- максимальная скорость газовыделения, л/мин.
grad X - градиент природной газоносности угольного пласта от изогазы 5 м3/т с.б.м. до изогазы 15 м3/т с.б.м. на 100 м глубины залегания угольного пласта, м.
H - глубина залегания угольного пласта, м.
- глубина, с которой угольные пласты относятся к категории "угрожаемые по внезапным выбросам угля и газа", м.
- глубина ведения горных работ, м.
- глубина расположения горной выработки, м.
- глубина, с которой угольные пласты относятся к категории "угрожаемые по горным ударам", м.
- критическая глубина появления внезапных выбросов угля и газа по газовому фактору.
- критическая глубина появления внезапных выбросов угля и газа, определенная по фактору напряженного состояния горного массива.
- глубина залегания угольного пласта с изогазой 5 м3/т с.б.м., м.
- глубина залегания угольного пласта с изогазой 15 м3/т с.б.м., м.
- приращение глубины залегания угольного пласта между изогазами 5 м3/т с.б.м. и 15 м3/т с.б.м., м.
- глубина внедрения штампа на момент разрушения породы в забое скважины, мм.
- глубина внедрения штампа после разрушения породы в забое скважины, мм.
- йодный показатель, мг/г.
K - коэффициент, характеризующий изменение электрического сопротивления угольного пласта в зоне опорного давления.
- показатель, характеризующий изменение коэффициента крепости угля по Протодьяконову, %.
- коэффициент опасности внезапных выдавливаний угля, доля ед.
- коэффициент опасности динамического разрушения пород почвы с интенсивным газовыделением, доля ед.
- показатель, характеризующий изменение мощности пласта, %.
- показатель, характеризующий изменение мощностей пачек угольного пласта мощностью более 0,1 м, %.
- коэффициент удароопасности угольного пласта сложного строения, %.
- коэффициент удароопасности крепкой пачки пласта, %.
- коэффициент удароопасности слабой пачки пласта, %.
- коэффициент хрупкости горных пород, у.е.
- показатель удароопасности по вызванной АЭ (далее - ВАЭ), доля ед.
- показатель интенсивности разрушения, доля ед.
- коэффициент отношения прогностических параметров АВ и АН.
- коэффициент удароопасности угольного пласта, %.
l - ширина зоны опорного давления, м.
- безопасная глубина выемки угля, м.
- расстояние от забоя лавы до передовой выработки, м.
- зона разгрузки призабойной части угольного пласта, м.
- расстояние от устья до середины i-го метра скважины, м.
- расстояние от устья скважины до конца интервала, на котором определяли объем или массу буровой мелочи, м.
- глубина внедрения в уголь стального конуса, мм.
- длина скважины, м.
M - комплексный показатель степени метаморфизма угля, у.е.
- мощность угольной пачки, м.
- мощность слоя горных пород, м.
- мощность слоя горных пород мощностью более 0,5 м, у которого
50 МПа, м.
- мощность вынимаемого слоя угольного пласта, м.
- мощность залегающих непосредственно над угольным пластом или над вынимаемым слоем угольного пласта пород с пределом прочности пород на одноосное сжатие
50 МПа (далее - мощность пород легкообрушающейся кровли), м.
- мощность прочных пород основной кровли, м.
- мощность угольного пласта, м.
- мощность пачки слабого угля, м.
- мощность опасного слоя горных пород, м.
- средняя мощность угольного пласта, м.
- средняя мощность угольного пласта на участке, на котором проводят контрольные наблюдения, м.
- временной интервал, ч.
n - ширина защитной зоны в краевой части угольного пласта, м.
N - амплитуда смещения, м.
- количество импульсов заданного уровня энергии (амплитуды) на участке пласта, на котором проводят прогноз горных ударов методом ЕЭМИ, доля ед.
- количество импульсов заданного уровня энергии (амплитуды) на участке пласта, находящегося в неудароопасном состоянии.
- средняя активность АЭ на интервале осреднения, имп/ч.
- пороговая средняя активность АЭ, имп/ч.
- изменение начальной скорости газовыделения, доля ед.
- пороговый коэффициент активности АЭ, имп/ч.
- параметр, учитывающий глубину залегания угольного пласта, равный 1,5, ед.
- параметр, учитывающий предел прочности пород основной кровли угольного пласта на одноосное сжатие
, ед.
- параметр, учитывающий мощность прочных пород основной кровли угольного пласта
, ед.
- параметр, зависящий от отношения мощности пород легкообрушающейся кровли к мощности вынимаемого слоя угольного пласта, ед.
- максимальное давление газа в угольном пласте, МПа.
- масса буровой мелочи с 1 м скважины, кг/м.
- объем буровой мелочи с 1 м скважины, л/м.
- давление на штамп в момент начала разрушения породы в забое скважины, МПа.
- давление на штамп в момент окончания разрушения породы в забое скважины, МПа.
,
- показатели ЕЭМИ.
,
- пороговые показатели ЕЭМИ.
- показатель удароопасности, зависящий от мощности угольного пласта или его вынимаемого слоя, доля ед.
- расход воздуха в конце интервала регистрации, м3/мин.
- среднее значение расхода воздуха, зарегистрированного в конце интервалов регистрации, м3/мин.
- прочность угля, у.е.
- средняя прочность угля, у.е.
- относительное увеличение средней активности АЭ, %.
- пороговое увеличение средней активности АЭ, %.
- расстояние от приемной антенны до излучателя, м.
R - показатель выбросоопасности, определенный по максимальной скорости газовыделения и максимальному объему буровой мелочи
, у.е.
- площадь геометрической фигуры с вершинами в точках ACD, у.е.
- площадь геометрической фигуры с вершинами в точках ABC, у.е.
- площадь угольного пласта в забое горной выработки, м2.
- электрическое сопротивление угольного пласта в зоне опорного давления, Ом.
- электрическое сопротивление угольного пласта вне зоны опорного давления, Ом.
- время реакции угольного пласта на производство в забое взрывных работ, мин.
- выход летучих веществ, %.
- коэффициент изменчивости коэффициента крепости угля по Протодьяконову, %.
- коэффициент изменчивости мощности пласта, %.
- коэффициент изменчивости прочности угля, %.
- максимальная влагоемкость угля, %.
- естественная влага угля, %.
- среднеарифметическое значение влаги угля в пробах, отобранных при бурении скважины, %.
X - природная газоносность пласта сухой беззольной массы, м3/т с.б.м.
- расстояние от обнажения пласта до участка с минимальной пластовой влагой угля, м.
- расстояние от горной выработки до максимума опорного давления, м.
- ширина участка горного массива, на котором произошли необратимые изменения свойств угля (пород), м.
y - толщина пластического слоя угля, мм.
- внутренний угол складки, град.
- удельный вес пород, МН/м3.
- удельный вес угля, МН/м3.
- коэффициент пригрузки, учитывающий влияние горно-геологических и горнотехнических условий, ед.
- полная относительная деформация краевой части угольного пласта при искусственно созданной нагрузке, %.
- относительная деформация краевой части угольного пласта при искусственно созданной нагрузке, составляющей 75 - 80% разрушающей нагрузки, %.
- среднеквадратическое отклонение коэффициента крепости угля по Протодьяконову
, у.е.
- среднеквадратическое отклонение прочности угля
, у.е.
- среднеквадратическое отклонение мощности угольного пласта
, м.
- удельное электросопротивление антрацитов, Ом.
- параметр, отражающий сжимающие напряжения в опасном слое, ед.
- предел прочности пород на одноосное сжатие, МПа.
- предел прочности угля на одноосное сжатие, МПа.
- показатель выбросоопасности в месте вскрытия склонного к внезапным выбросам угля и газа угольного пласта, у.е.
- параметр, характеризующий склонность угольного пласта к горным ударам, ед.
Приложение N 2
к Федеральным нормам и правилам
в области промышленной безопасности
"Инструкция по прогнозу
динамических явлений и мониторингу
массива горных пород при отработке
угольных месторождений", утвержденным
приказом Федеральной службы
по экологическому, технологическому
и атомному надзору
от 15 августа 2016 г. N 339
ПРИЗНАКИ ДИНАМИЧЕСКИХ ЯВЛЕНИЙ И СОБЫТИЯ, ПРЕДШЕСТВУЮЩИЕ ДИНАМИЧЕСКИМ ЯВЛЕНИЯМ
ПРИЗНАКИ ДИНАМИЧЕСКИХ ЯВЛЕНИЙ
1. Признаки горного удара:
мгновенное разрушение целика или краевой части угольного пласта и вмещающих пород в забое или в целике;
резкий звук;
образование ударной воздушной волны в горной выработке и сейсмических волн в массиве горных пород;
отброс или выдавливание угля с преобладанием крупнообломочной фракции;
образование щели между угольным пластом и породами кровли;
образование пыли;
разрушение (сдвиг) крепи горной выработки, машин, оборудования;
повышенное газовыделение на газоносных пластах.
2. Признаки внезапного выброса угля и газа:
быстропротекающее разрушение призабойной части угольного пласта;
отброс угля от забоя на расстояние, превышающее протяженность его размещения под углом естественного откоса;
образование в угольном пласте полости, ширина которой меньше ее глубины;
относительное газовыделение из разрушенного угля превысило его природную газоносность;
воздушный толчок и звуковые эффекты;
повреждение и (или) перемещение оборудования;
наличие угольной пыли на откосе выброшенного угля и крепи горной выработки.
3. Признаки внезапного выдавливания угля:
быстропротекающее смещение призабойной части угольного пласта в горную выработку;
образование полости, ширина которой больше глубины;
образование трещин между пластом и вмещающими породами;
крупнообломочная фракция разрушенного угля;
газовыделение меньше разности между природной и остаточной газоносностью разрушенного угля.
4. Признаки динамического разрушения пород почвы (прорывов газа из почвы горной выработки):
разрушение с образованием разломов пород почвы горной выработки;
звуковой эффект, сотрясение массива;
интенсивное выделение газа из газоносных пластов при их надработке;
повреждение крепи горной выработки;
образование пыли.
5. Признаки внезапного выброса породы и газа:
быстропротекающее разрушение пород в призабойной части;
отброс в горную выработку горной породы, часть которой разрушена до размеров крупнозернистого песка (фракция 1,25 - 2,5 мм), и ее размещение под углом менее угла естественного откоса;
наличие в полости чешуеобразных пластин пород;
повышенное газовыделение.
СОБЫТИЯ, ПРЕДШЕСТВУЮЩИЕ ДИНАМИЧЕСКИМ ЯВЛЕНИЯМ
6. Горному удару предшествуют следующие события:
повышенное горное давление на крепь горной выработки;
удары, трески, толчки в массиве горных пород различной силы и частоты;
стреляние отслоившихся кусков угля (породы);
повышенный выход буровой мелочи и зажатие бурового инструмента.
7. Внезапному выбросу угля и газа предшествуют следующие события:
удары, трески в массиве горных пород;
выдавливание и высыпание угля из забоя, отслаивание кусков угля от забоя;
вынос буровой мелочи и газа при бурении;
выталкивание или втягивание бурового инструмента, его зажатие;
уменьшение прочности угля, изменение его структуры;
шелушение забоя.
8. Внезапному выдавливанию угольного пласта предшествуют следующие события:
повышенное давление на крепь;
повышенный выход буровой мелочи;
звуковые эффекты в массиве.
9. Динамическому разрушению пород почвы горных выработок предшествуют следующие события:
повышенное пучение почвы;
повышенное давление на крепь.
10. Внезапному выбросу породы и газа предшествуют следующие события:
повышенное дробление пород при ведении взрывных работ;
увеличение коэффициента использования шпуров.
Приложение N 3
к Федеральным нормам и правилам
в области промышленной безопасности
"Инструкция по прогнозу
динамических явлений и мониторингу
массива горных пород при отработке
угольных месторождений", утвержденным
приказом Федеральной службы
по экологическому, технологическому
и атомному надзору
от 15 августа 2016 г. N 339
ГЕОДИНАМИЧЕСКОЕ РАЙОНИРОВАНИЕ УЧАСТКА НЕДР
1. Геодинамическое районирование участка недр проводится в целях выявления блочной структуры массива горных пород, оценки его напряженного и динамического состояний, выявления активных геодинамических зон.
2. Геодинамическое районирование участка недр выполняется на основе:
анализа геологических, геофизических, геохимических и картографических материалов;
дешифрирования космических и аэрофотоснимков;
морфометрического анализа земной поверхности;
геодезических, геофизических и геохимических полевых инструментальных наблюдений.
3. В результате проведения геодинамического районирования участка недр:
определяется блочная структура массива горных пород участка недр и устанавливается динамика взаимодействия блоков;
выделяются потенциально геодинамически опасные зоны:
активные разломы, узлы пересечения активных разломов, активные локальные структуры, тектонически напряженные зоны;
выполняется математическое моделирование напряженно-деформированного состояния массива горных пород, определяются главные напряжения в массиве горных пород;
уточняются данные, полученные при проведении геолого-разведочных работ:
области несогласного залегания пород;
области скрытого остаточного рельефа;
локальные антиклинальные и синклинальные структуры;
области поднятия и опускания земной поверхности;
участки "перегибов" в пределах одного блока, образующиеся при неравномерном движении блока или из-за действия сжимающих или растягивающих напряжений;
выполняется картографирование результатов линеаментного и морфометрического анализа и инженерно-изыскательских работ;
выполняется оценка напряженного состояния массива горных пород и его динамика.
4. Выявленные техногенные геодинамические зоны наносятся на горную графическую и технологическую документацию.
Координаты границ геодинамических зон вносятся в каталог координат участка недр.
5. Границы геодинамически опасных зон увязываются с пунктами маркшейдерско-геодезической опорной сети.
6. Результаты геодинамического районирования используются при раскройке шахтного поля и разработке проектной документации.
Приложение N 4
к Федеральным нормам и правилам
в области промышленной безопасности
"Инструкция по прогнозу
динамических явлений и мониторингу
массива горных пород при отработке
угольных месторождений", утвержденным
приказом Федеральной службы
по экологическому, технологическому
и атомному надзору
от 15 августа 2016 г. N 339
ОБЛАСТЬ ПРИМЕНЕНИЯ, НАЗНАЧЕНИЕ, ВИДЫ И МЕТОДЫ ПРОГНОЗА ДИНАМИЧЕСКИХ ЯВЛЕНИЙ В УГОЛЬНЫХ ШАХТАХ
ПОРЯДОК ПРОВЕДЕНИЯ ПРОГНОЗА ВНЕЗАПНЫХ ВЫБРОСОВ
ПОРЯДОК ПРОВЕДЕНИЯ ПРОГНОЗА ГОРНЫХ УДАРОВ
Приложение N 5
к Федеральным нормам и правилам
в области промышленной безопасности
"Инструкция по прогнозу
динамических явлений и мониторингу
массива горных пород при отработке
угольных месторождений", утвержденным
приказом Федеральной службы
по экологическому, технологическому
и атомному надзору
от 15 августа 2016 г. N 339
ПОРЯДОК ПРОВЕДЕНИЯ РЕГИОНАЛЬНОГО ПРОГНОЗА ПО ДАННЫМ, ПОЛУЧЕННЫМ ПРИ ВЕДЕНИИ ГЕОЛОГО-РАЗВЕДОЧНЫХ РАБОТ
1. Региональный прогноз по данным, полученным при ведении геолого-разведочных работ, проводится для отнесения угольных пластов к категории "угрожаемые по ДЯ".
2. По данным, полученным при ведении геолого-разведочных работ, устанавливаются глубины, с которых угольные пласты относятся к категориям "угрожаемые по горным ударам" , м, "угрожаемые по внезапным выбросам угля и газа"
, м, "угрожаемые по внезапным выдавливаниям угля" и "угрожаемые по динамическим разрушениям пород почвы" и глубин, с которых горные породы относятся к категории "склонные к горным ударам" и к категории "склонные к внезапным выбросам породы и газа".
Для отнесения угольных пластов к вышеуказанным категориям используются один или несколько методов, основанных на определении:
предела прочности угля на одноосное сжатие , МПа, и предела прочности пород на одноосное сжатие
, МПа;
мощности угольного пласта , м, мощности угольных пачек
, м, мощности прочных пород основной кровли
, м, мощности пород легкообрушающейся кровли угольного пласта
, м, мощности вынимаемого слоя угольного пласта
, м, мощности пород почвы;
природной газоносности пласта сухой беззольной массы X, м3/т с.б.м.;
выхода летучих веществ , %;
толщины пластического слоя угля y, мм;
комплексного показателя степени метаморфизма угля M, у.е.
3. К категории "угрожаемые по ДЯ" относятся угольные пласты с глубины, на которой при ведении горных работ произошли события, предшествующие ДЯ, приведенные в приложении N 2 к настоящей Инструкции, расследованные в соответствии с пунктом 22 настоящей Инструкции, или с глубины, на которой на этих же пластах, отрабатываемых соседними шахтами, произошли ДЯ.
4. При достижении глубины ведения горных работ более или
по результатам геолого-разведочных работ или дополнительных исследований свойств угольного пласта и (или) вмещающих пород могут устанавливаться иные
и
.
5. Границы отнесения угольных пластов к категориям "угрожаемые" и "опасные" по горным ударам и к категориям "угрожаемые" и "опасные" по внезапным выбросам наносятся на горную графическую документацию.
6. Категории опасности по горным ударам и категории опасности по внезапным выбросам угля (породы) и газа шахт устанавливаются по наиболее опасной категории разрабатываемого угольного пласта свиты.
ПОРЯДОК ОТНЕСЕНИЯ УГОЛЬНЫХ ПЛАСТОВ К КАТЕГОРИИ "УГРОЖАЕМЫЕ ПО ДИНАМИЧЕСКИМ ЯВЛЕНИЯМ"
ОТНЕСЕНИЕ УГОЛЬНЫХ ПЛАСТОВ К КАТЕГОРИИ "УГРОЖАЕМЫЕ ПО ГОРНЫМ УДАРАМ"
7. Угольные пласты к категории "угрожаемые по горным ударам" относятся по параметру , ед., характеризующему склонность угольного пласта к горным ударам.
При глубине залегания угольного пласта H, м, не более 200 м определяется по формуле:
, (1)
где: - параметр, учитывающий глубину залегания угольного пласта, ед.
принимают равным 1,5;
- параметр, учитывающий предел прочности на одноосное сжатие
пород, залегающих в основной кровле угольного пласта, МПа. Значения
приведены в таблице N 1 настоящего приложения;
- параметр, учитывающий мощность прочных пород основной кровли угольного пласта
, ед. Значения
приведены в таблице N 2 настоящего приложения;
- параметр, зависящий от отношения мощности пород легкообрушающейся кровли к мощности вынимаемого слоя угольного пласта, доля ед. Значение
определяется по формуле:
Таблица N 1
При H более 200 м определяется по формуле:
. (3)
Значение рассчитывается по геологическим данным разведочных скважин, пробуренных в пределах участков угольного пласта, на которых ведутся горные работы. При расчете
принимается равной минимальной мощности пород, залегающих над пластом, предел прочности которых на одноосное сжатие
50 МПа,
- максимальной мощности прочных пород основной кровли угольного пласта, H равной максимальной глубине залегания угольного пласта в контуре участка, для которого определяется склонность угольного пласта к горным ударам.
Каменноугольные пласты относятся к категории "угрожаемые по горным ударам" при > 4.
Антрацитовые пласты относятся к категории "угрожаемые по горным ударам" при > 7.
8. Удароопасность угольных пластов при ведении горных работ устанавливается по механическим свойствам угля. Для этих целей используются коэффициент удароопасности угольного пласта , %, и (или) показатель интенсивности разрушения
, доля ед.
Коэффициент удароопасности угольного пласта устанавливается в следующем порядке:
определяется относительная деформация образцов угля краевой части угольного пласта при искусственно созданной нагрузке, составляющей 75 - 80% разрушающей нагрузки , %;
определяется полная относительная деформация образцов угля краевой части угольного пласта при искусственно созданной нагрузке , %;
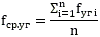
рассчитывается коэффициент удароопасности угольного пласта , %, по формуле:
. (4)
Для угольных пластов Кузнецкого угольного бассейна определяется по графику
, приведенному на рисунке 1 настоящего приложения.
Рис. 1. График зависимости от
Коэффициент крепости угля по Протодьяконову угольного пласта сложного строения , у.е., состоящего из нескольких угольных пачек разного петрографического типа, определяется по формуле:
где: - коэффициент крепости по Протодьяконову пачки крепкого угля, у.е.;
- коэффициент крепости по Протодьяконову пачки слабого угля, у.е.;
- мощность пачки слабого угля, м;
- мощность угольного пласта, м.
К пачкам крепкого угля относятся пачки угля, у которых , к пачкам слабого угля - у которых
0,6.
Коэффициент удароопасности угольного пласта сложного строения , %, определяется по формуле:
где: - коэффициент удароопасности крепкой пачки пласта, %;
- коэффициент удароопасности слабой пачки пласта, %.
Угольный пласт относится к угрожаемым по горным ударам при
70% или в случае его сложного строения при
70%.
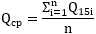
Показатель интенсивности разрушения Ки устанавливается в следующем порядке:
проводятся исследования упругой деформации угля на образце размером не менее 40 x 40 x 80 см. Для определения показателя интенсивности разрушения в соответствии с рисунком 2 настоящего приложения строится график
, на котором проводятся следующие геометрические построения:
выделяется участок упругого деформирования и проводится прямая линия 0E;
из точки перегиба A проводится прямая линия AD, параллельная прямой 0E, и прямая линия AC, перпендикулярная оси ;
из точки C проводится прямая линия CB, параллельная линии 0E
подсчитываются площади геометрической фигуры с вершинами в точках ACD , у.е. и геометрической фигуры с вершинами в точках ABC
, у.е.;
определяется показатель интенсивности разрушения по формуле:
. (7)
Рис. 2. График зависимости от
Угольный пласт относится к склонным к горным ударам при < 0,9.
Потенциальная удароопасность угольного пласта сложного строения, представленного разнопрочными угольными пачками или разделенного породными прослоями, определяется по наиболее прочным угольным пачкам. Угольный пласт, у которого предел прочности угля на одноосное сжатие угольных пачек превышает в 4 раза и более предел прочности на одноосное сжатие
породных прослоев и суммарная мощность породных прослоев в угольном пласте составляет 40% и более мощности угольного пласта, относится к не склонным к горным ударам.
ОТНЕСЕНИЕ УГОЛЬНЫХ ПЛАСТОВ К КАТЕГОРИИ "УГРОЖАЕМЫЕ ПО ВНЕЗАПНЫМ ВЫБРОСАМ УГЛЯ И ГАЗА"
9. Угольные пласты относятся к категории "угрожаемые по внезапным выбросам угля и газа" с глубины их залегания Н
, м, приведенной в таблице N 3 настоящего приложения.
Таблица N 3
Для угольных бассейнов и районов, не указанных в таблице N 3 настоящего приложения, за исключением Донецкого угольного бассейна, принимается равной 150 м.
Для угольных бассейнов и районов, указанных в настоящем пункте, уточняется в соответствии с порядком, приведенным в пункте 10 настоящего приложения.
10. Для угольных пластов с природной газоносностью 15 м3/т с.б.м. и более в пределах шахтного поля, его крыла или участка устанавливается по формуле:
, (8)
где: - глубина, рассчитанная по газовому фактору, начиная с которой на угольном пласте или его участке возможно проявление внезапных выбросов, м;
- глубина, рассчитанная по фактору напряженного состояния горного массива, с которой на угольном пласте или на его участке возможно проявление внезапных выбросов, м.
Значение определяется по формуле:
, (9)
где: - глубина залегания угольного пласта с изогазой 5 м3/т с.б.м., м;
grad x - градиент природной газоносности угольного пласта от изогазы 5 м3/т с.б.м. до изогазы 15 м3/т с.б.м. на 100 м глубины залегания угольного пласта, м. Значение grad x определяется по формуле:
, (10)
здесь - приращение глубины залегания угольного пласта между изогазами 5 м3/т с.б.м. и 15 м3/т с.б.м., м. Значение
определяется по формуле:
, (11)
здесь глубина залегания угольного пласта с изогазой 15 м3/т с.б.м., м;
F - среднее содержание фюзинита в угольном пласте, %.
В формулу (9) настоящего приложения подставляется значение daf, определенное для угля с природной газоносностью 15 м3/т с.б.м.
Для определения и grad x используются графики нарастания природной газоносности с глубиной, построенные для участков угольных пластов в пределах самостоятельных структурно-тектонических элементов, или данные, полученные при бурении геологических скважин с опробованием на газоносность.
Схема определения и grad X с использованием графика нарастания природной газоносности с глубиной приведена на рисунке 3 настоящего приложения.
Рис. 3. Схема определения и grad x с использованием графика нарастания природной газоносности с глубиной
11. Для шахт Донецкого угольного бассейна определяется по показателям качества угля
, M, X в соответствии с таблицей N 4 настоящего приложения.
Таблица N 4
Примечание. - удельное электросопротивление антрацитов, Ом.
Значение M определяется:
при 9
29, %, по формуле:
, (12)
при > 29, %, по формуле:
, (13)
Для углей, не склонных к спеканию, y = 0.
Угольный пласт или отдельный его участок в пределах шахтного поля относится к невыбросоопасным:
независимо от глубины ведения горных работ и природной газоносности угля X при М > 27,7 или
< 3,2;
при природной газоносности угля X или при глубине ведения горных работ
, указанной в таблице N 4 настоящего приложения.
ОТНЕСЕНИЕ УГОЛЬНЫХ ПЛАСТОВ К КАТЕГОРИЯМ "УГРОЖАЕМЫЕ ПО ГОРНЫМ УДАРАМ" И "УГРОЖАЕМЫЕ ПО ВНЕЗАПНЫМ ВЫБРОСАМ УГЛЯ И ГАЗА" ПО РЕЗУЛЬТАТАМ ОПРЕДЕЛЕНИЯ ФАЗОВО-ФИЗИЧЕСКИХ СВОЙСТВ УГЛЯ
12. Отнесение угольных пластов к категориям "угрожаемые по горным ударам" и "угрожаемые по внезапным выбросам угля и газа" проводится по результатам определения следующих фазово-физических свойств угля:
показатель сорбционной пористости угля , доля ед.;
гигроскопическая влага угля;
максимальная влагоемкость угля , %;
Показатель принимается равным отношению пористости угля, определенным сорбционным методом, к общей пористости.
Для определения фазово-физических свойств угля по угольному пласту отбирается пластовая бороздовая проба.
На пластах сложного строения пластовые бороздовые пробы отбираются раздельно по каждой пачке угольного пласта.
13. По результатам определения фазово-физических свойств угля угольные пласты относятся:
к категории "угрожаемые по горным ударам" при условии, что 70% его мощности составляют угольные пачки, у которых > 0,5;
к категории "угрожаемые по внезапным выбросам угля и газа" при условии, что в нем есть угольная пачка мощностью более 0,2 м (для шахт Печорского бассейна 0,1 м), у которой < 0,5.
14. Каменноугольные и антрацитовые пласты не относятся к категориям "угрожаемые по горным ударам" и "угрожаемые по внезапным выбросам угля и газа" при >
.
15. Буроугольные пласты относятся к категории "угрожаемые по горным ударам" при > 0,85
.
ОТНЕСЕНИЕ УГОЛЬНЫХ ПЛАСТОВ К КАТЕГОРИИ "УГРОЖАЕМЫЕ ПО ВНЕЗАПНОМУ ВЫДАВЛИВАНИЮ УГЛЯ"
16. К категории "угрожаемые по внезапному выдавливанию угля" относятся угрожаемые по внезапным выбросам угля и газа угольные пласты, у которых:
средний коэффициент крепости угля по Протодьяконову
1, у.е.;
предел прочности на одноосное сжатие пород основной кровли МПа;
мощность пород основной кровли 10 м и более.
ОТНЕСЕНИЕ УГОЛЬНЫХ ПЛАСТОВ К КАТЕГОРИИ "УГРОЖАЕМЫЕ ПО ДИНАМИЧЕСКОМУ РАЗРУШЕНИЮ ПОРОД ПОЧВЫ"
17. К категории угрожаемые по динамическому разрушению пород почвы относятся:
угрожаемые по внезапным выбросам угля и газа пласты, на расстоянии до 25 м от которых в почве залегает надрабатываемый газоносный угольный пласт, а в междупластии залегают слои пород мощностью более 5 м, предел прочности на одноосное сжатие которых
70 МПа, или угольные пласты, на которых в соседней шахте происходили динамические разрушения пород почвы;
угрожаемые по горным ударам пласты Воркутского месторождения при условиях: в почве пласта залегают слои пород мощностью 0,5 м и более и предел прочности на одноосное сжатие которых
50 МПа, отношение условной ширины подготовительной выработки
, м, к мощности прилегающего к почве угольного пласта слоя склонных к горным ударам пород в пределах более 2 и менее 6 м. Условная ширина горной выработки
определяется по формуле (1) приложения N 15 к настоящей Инструкции.
ОТНЕСЕНИЕ ГОРНЫХ ПОРОД К КАТЕГОРИИ "СКЛОННЫЕ К ГОРНЫМ УДАРАМ"
18. К категории "склонные к горным ударам" относятся горные породы с пределом прочности на одноосное сжатие равным 80 МПа или более, залегающие на глубине более 500 м, при наличии одного из следующих условий:
в породе присутствует кварц и при бурении скважин керн делится на выпукло-вогнутые диски толщиной менее 1/3 диаметра;
отношение предела прочности на одноосное сжатие к пределу прочности на растяжение превышает 25.
ОТНЕСЕНИЕ ГОРНЫХ ПОРОД К КАТЕГОРИИ "СКЛОННЫЕ К ВНЕЗАПНЫМ ВЫБРОСАМ ПОРОДЫ И ГАЗА"
19. К категории "склонные к внезапным выбросам породы и газа" относятся горные породы, залегающие на глубине 600 м и более, керн которых, полученный при бурении скважин, делится на диски.
Приложение N 6
к Федеральным нормам и правилам
в области промышленной безопасности
"Инструкция по прогнозу
динамических явлений и мониторингу
массива горных пород при отработке
угольных месторождений", утвержденным
приказом Федеральной службы
по экологическому, технологическому
и атомному надзору
от 15 августа 2016 г. N 339
ПОРЯДОК ПРОВЕДЕНИЯ РЕГИОНАЛЬНОГО ПРОГНОЗА ПО НЕПРЕРЫВНЫМ СЕЙСМОАКУСТИЧЕСКИМ НАБЛЮДЕНИЯМ
1. Региональный прогноз по непрерывным сейсмоакустическим наблюдениям основан на мониторинге массива горных пород системами, состоящими из совокупности технических средств, предназначенных для реализации функций регистрации, сбора, отображения, хранения и анализа информации (далее - сейсмостанция).
2. Сейсмостанция должна выполнять следующие функции:
осуществлять непрерывный прием сигналов;
определять время, координаты, энергию сейсмических событий и их количество;
рассчитывать текущее положение зон с энергией сейсмических событий выше порогового уровня;
формировать отчеты о происшедших сейсмических событиях.
Схемы, выполненные на бумажном носителе или на экране компьютера, на которые выводится информация о происшедших сейсмических событиях и положении зон с энергией сейсмических событий выше порогового уровня, привязываются к сети координат шахты.
3. При прогнозе по непрерывным сейсмоакустическим наблюдениям краевые участки угольного пласта, на которых прогноз удароопасности выполняется методами локального или текущего прогноза, выявляются ежесуточно.
4. Накопленная сейсмостанцией информация о сейсмических событиях используется для:
выделения зон активизации сейсмических и геодинамических процессов;
составления карты плотности сейсмических событий и карты плотности сейсмической энергии;
определения параметров сейсмических событий и их пороговых значений.
Выделение зон активизации геодинамических процессов и тенденции их миграции в пределах шахтного поля выполняется по накопленным за период наблюдений не менее трех месяцев данным, содержащим сведения о количестве, координатах и энергии событий.
Пороговые значения параметров сейсмических событий применяемого метода регионального прогноза определяются для каждого пласта по информации, накопленной не менее чем за шесть месяцев его проведения, и включаются в документацию, в соответствии с которой осуществляется данный прогноз.
Пороговые значения параметров сейсмических событий проверяются с периодичностью не более одного года.
Приложение N 7
к Федеральным нормам и правилам
в области промышленной безопасности
"Инструкция по прогнозу
динамических явлений и мониторингу
массива горных пород при отработке
угольных месторождений", утвержденным
приказом Федеральной службы
по экологическому, технологическому
и атомному надзору
от 15 августа 2016 г. N 339
ПОРЯДОК ПРОВЕДЕНИЯ ПРОГНОЗА ДИНАМИЧЕСКИХ ЯВЛЕНИЙ В МЕСТЕ ВСКРЫТИЯ СКЛОННЫХ К ДИНАМИЧЕСКИМ ЯВЛЕНИЯМ УГОЛЬНЫХ ПЛАСТОВ И СКЛОННЫХ К ДИНАМИЧЕСКИМ ЯВЛЕНИЯМ ГОРНЫХ ПОРОД
1. Разведка угольного пласта проводится из забоя вскрывающей горной выработки к склонному к ДЯ угольному пласту при подходе на расстояния не менее 10 м по нормали к угольному пласту. Для разведки угольного пласта бурятся не менее двух скважин длиной:
> 10 м при угле залегания угольного пласта менее 18°;
> 25 м при угле залегания угольного пласта 18° и более.
Результаты бурения скважин используются для уточнения мощности угольного пласта, угла его залегания и определения расстояния от забоя вскрывающей выработки до угольного пласта.
Места расположения скважин и периодичность их бурения определяются специалистом геологической службы угледобывающей организации. Периодичность бурения устанавливается с учетом того, что массив горных пород впереди вскрывающей выработки должен быть разведан на расстоянии не менее 5 м по нормали к угольному пласту. Параметры пробуренных скважин наносятся на горную графическую документацию.
2. Прогноз ДЯ в месте вскрытия угольного пласта выполняется с расстояния не менее 3 м по нормали к угольному пласту. Для этих целей бурятся не менее двух скважин, пересекающих угольный пласт на расстоянии не менее 1 м от проектного контура горной выработки.
3. Угольный пласт на участке его вскрытия относится к категории "опасно" в случаях если:
прогнозом в месте вскрытия угольного пласта установлена категория "опасно";
бурение скважин сопровождалось событиями, предшествующими внезапному выбросу угля и газа или горному удару, приведенными в приложении N 2 к настоящей Инструкции;
скважины не пробурены на глубину, определенную специалистом геологической службы угледобывающей организации.
4. Результаты прогноза оформляются актом определения выбросоопасности пласта в месте вскрытия угольного пласта по рекомендуемому образцу, приведенному в приложении N 25 к настоящей Инструкции.
ПРОГНОЗ УДАРООПАСНОСТИ В МЕСТЕ ВСКРЫТИЯ СКЛОННЫХ К ГОРНЫМ УДАРАМ УГОЛЬНЫХ ПЛАСТОВ
5. Прогноз удароопасности в месте вскрытия склонного к горным ударам угольного пласта подготовительной выработкой проводится методом локального прогноза по выходу буровой мелочи в соответствии с приложением N 8 к настоящей Инструкции.
ПРОГНОЗ ВЫБРОСООПАСНОСТИ В МЕСТЕ ВСКРЫТИЯ СКЛОННЫХ К ВНЕЗАПНЫМ ВЫБРОСАМ УГОЛЬНЫХ ПЛАСТОВ И ПОРОД
6. Для шахт Кузнецкого угольного бассейна прогноз выбросоопасности в месте вскрытия склонного к внезапным выбросам угля и газа угольного пласта выполняется по показателю выбросоопасности , у.е.:
, (1)
где: - максимальное давление газа в угольном пласте, МПа;
- минимальный коэффициент крепости угля по Протодьяконову угольных пачек, у.е.
При
0 угольный пласт в месте вскрытия относится к категории "опасно".
7. Для шахт Печорского угольного бассейна, Партизанского месторождения и месторождений о. Сахалин прогноз выбросоопасности в месте вскрытия склонного к внезапным выбросам угля и газа угольного пласта выполняется по давлению газа в скважинах. Угольный пласт в месте вскрытия относится к категории "опасно", если давление газа в одной или нескольких пробуренных скважинах равно или более 1,0 МПа.
При вскрытии квершлагом свиты угольных пластов крутого залегания контрольные скважины бурятся из одного положения забоя квершлага до пересечения нескольких или всех пластов свиты.
Давление газа в угольных пластах свиты принимается равным максимальному давлению, замеренному в скважинах при поочередном их пересечении.
8. Для шахт Донецкого угольного бассейна прогноз выбросоопасности в месте вскрытия склонного к внезапным выбросам угля и газа угольного пласта выполняется по начальной скорости газовыделения , л/мин, йодному показателю
, мг/г, и минимальному коэффициенту крепости угля по Протодьяконову угольных пачек
. Определение начальной скорости газовыделения
выполняется в порядке, приведенном в приложении N 23 к настоящей Инструкции, при этом скважина герметизируется от ее устья до угольного пласта. Значения
и
определяются в лабораторных условиях по пробам угля, отобранным из каждой пачки мощностью более 0,2 м или по пласту в целом, если невозможно деление на пачки.
Угольный пласт в месте вскрытия относится к категории "неопасно" при одновременном выполнении трех условий:
не более 2,0 л/мин;
не более 3,5 мг/г;
9. При вскрытии выбросоопасных угольных пластов стволами при их проведении буровзрывными работами прогноз выбросоопасности не проводится при условии обнажения и пересечения угольного пласта на полную мощность за одно взрывание по всему забою.
10. Подготовительная выработка на участке пересечения угольного пласта пологого залегания, при вскрытии которого установлена категория "неопасно", проводится с применением текущего прогноза выбросоопасности.
ПРОГНОЗ УДАРООПАСНОСТИ И ВЫБРОСООПАСНОСТИ СКЛОННЫХ К ГОРНЫМ УДАРАМ И ВНЕЗАПНЫМ ВЫБРОСАМ ГОРНЫХ ПОРОД В МЕСТАХ ИХ ВСКРЫТИЯ
11. Прогноз удароопасности и выбросоопасности склонных к горным ударам и внезапным выбросам горных пород перед их вскрытием подготовительными горными выработками выполняется по делению на диски керна скважины в соответствии с приложениями N 11 и 14 к настоящей Инструкции. Скважина бурится в середине вскрывающей выработки длиной не менее мощности пласта вскрываемой породы.
Приложение N 8
к Федеральным нормам и правилам
в области промышленной безопасности
"Инструкция по прогнозу
динамических явлений и мониторингу
массива горных пород при отработке
угольных месторождений", утвержденным
приказом Федеральной службы
по экологическому, технологическому
и атомному надзору
от 15 августа 2016 г. N 339
МЕТОДЫ ЛОКАЛЬНОГО ПРОГНОЗА УДАРООПАСНОСТИ УГОЛЬНЫХ ПЛАСТОВ
1. Локальный прогноз удароопасности угольных пластов проводится для выявления участков угольных пластов категории "опасно".
МЕТОДЫ ЛОКАЛЬНОГО ПРОГНОЗА УДАРООПАСНОСТИ
2. Локальный прогноз удароопасности проводится следующими методами:
на каменноугольных и антрацитовых пластах - по выходу буровой мелочи;
на буроугольных пластах - по изменению естественной влаги угля;
на каменноугольных, антрацитовых и буроугольных пластах - геофизическими методами, основанными на регистрации:
сейсмоакустической активности;
электромагнитных импульсов;
амплитуды искусственно наведенного в угольном пласте электромагнитного поля.
ПРОГНОЗ УДАРООПАСНОСТИ УГОЛЬНЫХ ПЛАСТОВ ПО ВЫХОДУ БУРОВОЙ МЕЛОЧИ
3. Для проведения прогноза удароопасности по выходу буровой мелочи скважины бурятся диаметром 42 - 14 мм.
Порядок определения выхода буровой мелочи приведен в приложении N 21 к настоящей Инструкции.
Категории "опасно" или "неопасно" участков каменноугольных пластов по выходу буровой мелочи определяются по номограмме, приведенной на рисунке 1 настоящего приложения, и (или) по формулам (1) - (4)настоящего приложения.
Рис. 1. Номограмма для установления категории "опасно" или "неопасно" участков каменноугольных пластов по выходу буровой мелочи:
- расстояние от устья скважины до конца интервала, на котором определяли объем или массу буровой мелочи, м;
- мощность угольного пласта, м;
- объем буровой мелочи с 1 м скважины, л/м;
- масса буровой мелочи с 1 м скважины, кг/м
К категории "опасно" относятся участки каменноугольных пластов, на которых выход буровой мелочи, определенный на одном из интервалов бурения скважины, удовлетворяет одному из следующих условий:
; (1)
. (2)
К категории "неопасно" относятся участки каменноугольных пластов, на которых выход буровой мелочи, определенный на одном из интервалов бурения скважины, удовлетворяет одному из следующих условий:
; (3)
. (4)
Категории "опасно" или "неопасно" участков антрацитовых угольных пластов по выходу буровой мелочи определяются по номограмме, приведенной на рисунке 2 настоящего приложения, и (или) по формулам (5) и (6)настоящего приложения.
Рис. 2. Номограмма для установления категории "опасно" или "неопасно" участков антрацитовых угольных пластов по выходу буровой мелочи
К категории "опасно" относятся участки антрацитовых пластов, на которых выход буровой мелочи, определенный на одном из интервалов бурения скважины, удовлетворяет одному из следующих условий:
. (5)
К категории "неопасно" относятся участки каменноугольных пластов, на которых выход буровой мелочи, определенный на одном из интервалов бурения скважины, удовлетворяет одному из следующих условий:
. (6)
В случае, когда мощность вынимаемого слоя угольного пласта , м, меньше мощности угольного пласта
, м, для установления по номограммам, приведенным на рисунках 1 и 2 настоящего приложения, категории "опасно" или "неопасно" вместо
применяется
.
В случаях, когда при нанесении на номограммы значений или
, определенных при бурении скважин, данные значения находятся на линии, разграничивающей категории "опасно" и "неопасно", или выше ее, участок угольного пласта, на котором бурили скважины, относится к категории "опасно".
4. Скважины для прогноза удароопасности по выходу буровой мелочи бурятся по наиболее прочной пачке угля длиной
, (7)
где: n - ширина защитной зоны в краевой части угольного пласта, м;
b - подвигание забоя за цикл, м.
Номограмма для определения ширины защитной зоны в краевой части угольного пласта приведена на рисунке 3 настоящего приложения.
Рис. 3. Номограмма для определения ширины защитной зоны в краевой части угольного пласта
При определении ширины защитной зоны для угольных пластов мощностью более 5 м мощность угольного пласта или его вынимаемого слоя принимаются равными высоте горной выработки.
5. Участок угольного пласта также относится к категории "опасно" при невозможности пробурить скважину на длину > n + b по ходу движения забоя и на длину более n в борт выработки при появлении сейсмоакустических импульсов, сопровождающихся зажатием бурового инструмента.
6. В случаях, когда при бурении скважины установлена категория "опасно", ее бурение прекращается.
7. Результаты измерений выхода буровой мелочи заносятся в журнал регистрации результатов прогноза удароопасности участков угольного пласта и контроля эффективности мер по предотвращению горных ударов по выходу буровой мелочи при бурении скважин, оформленный по рекомендуемому образцу, приведенному в приложении N 25 к настоящей Инструкции.
ПРОГНОЗ УДАРООПАСНОСТИ ПО ЕСТЕСТВЕННОЙ ВЛАГЕ УГЛЯ
8. Пробы угля для определения естественной влаги угля отбираются при бурении скважин диаметром 42 - 44 мм. Пробы угля отбираются через интервал 0,5 - 1 м. Крупность угля в пробах не должна превышать 1 мм. Пробы угля, направляемые для определения естественной влаги, помещаются в герметичные емкости.
По показателям естественной влаги проб рассчитывается среднеарифметическое значение влаги угля в пробах, отобранных при бурении скважины, , %, и определяется отношение:
, (8)
где - максимальная влагоемкость угля, %.
9. Номограмма для установления категории "опасно" или "неопасно" участков буроугольных пластов по естественной влаге приведена на рисунке 4 настоящего приложения.
Рис. 4. Номограмма для установления категории "опасно" или "неопасно" участков буроугольных пластов по естественной влаге:
- расстояние от обнажения пласта до участка с минимальной пластовой влагой угля, м
10. Результаты определения естественной влаги угля в пробах, отобранных при бурении скважин, заносятся в журнал регистрации результатов прогноза удароопасности участков угольного пласта и контроля эффективности мер по предотвращению горных ударов по изменению естественной влаги угля, оформленный по рекомендуемому образцу, приведенному в приложении N 25 к настоящей Инструкции.
ГЕОФИЗИЧЕСКИЕ МЕТОДЫ ПРОГНОЗА УДАРООПАСНОСТИ
11. К геофизическим методам прогноза удароопасности относятся методы:
сейсмоакустической активности;
электромагнитные.
Прогноз удароопасности данными методами проводится при условии, что в угледобывающей организации определены пороговые значения прогностических параметров этих методов, при которых участок угольного пласта относится к категории "опасно". Пороговые значения прогностических параметров определяются по методикам, разработанным организацией - разработчиком геофизического метода прогноза удароопасности. Пороговые значения прогностических параметров утверждаются техническим руководителем (главным инженером) угледобывающей организации и согласовываются руководителем организации - разработчика геофизического метода прогноза удароопасности.
При отсутствии пороговых значений прогностических параметров геофизические методы используются для мониторинга массива горных пород.
ПРОГНОЗ УДАРООПАСНОСТИ ПО СЕЙСМОАКУСТИЧЕСКОЙ АКТИВНОСТИ
12. Методы прогноза удароопасности по сейсмоакустической активности основаны на регистрации естественной АЭ (далее - ЕАЭ) или ВАЭ.
При прогнозе удароопасности по сейсмоакустической активности используются следующие параметры АЭ:
активность АЭ - число зарегистрированных импульсов АЭ в единицу времени;
амплитуды зарегистрированных импульсов АЭ;
амплитудное распределение импульсов АЭ.
13. При прогнозе удароопасности по сейсмоакустической активности горные работы на участке его проведения прекращаются.
14. Прогноз удароопасности по ЕАЭ основан на регистрации и обработке сигналов АЭ, возникающих в угольном пласте и (или) в массиве горных пород в результате его хрупкого разрушения под действием повышенных напряжений.
При прогнозе по ЕАЭ на удароопасных участках угольного пласта по сравнению с неудароопасными участками:
увеличивается активность АЭ;
в амплитудном распределении импульсов АЭ увеличивается относительная доля импульсов с большими амплитудами.
15. Прогноз удароопасности по ВАЭ основан на регистрации и обработке сигналов АЭ, возникающих при разрушении массива горных пород при внедрении бурового инструмента в краевую часть угольного пласта.
Прогноз удароопасности по ВАЭ проводится в порядке:
на угольный пласт на расстоянии 3 - 5 м от устья скважины устанавливается преобразователь АЭ, подключенный кабельными линиями к аппаратуре АЭ, регистрирующей импульсы ВАЭ в диапазоне частот от 0,1 до 12 кГц;
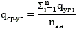
при бурении скважины для каждого ее метрового интервала определяется показатель удароопасности по ВАЭ , доля ед.:
где: - активность ВАЭ, зарегистрированная при бурении i-го метра скважины, имп/мин;
- активность ВАЭ, зарегистрированная при бурении первого метра скважины, имп/мин;
- расстояние от устья до середины i-го метра скважины, м.
ПРОГНОЗ УДАРООПАСНОСТИ ЭЛЕКТРОМАГНИТНЫМИ МЕТОДАМИ
16. Электромагнитные методы прогноза удароопасности основаны на измерениях и регистрации:
параметров естественного электромагнитного излучения (далее - ЕЭМИ) в массиве горных пород;
параметров вызванного электромагнитного излучения (далее - ВЭМИ) в массиве горных пород.
17. Прогноз удароопасности методом, основанным на измерении и регистрации параметров ВЭМИ, проводится способами:
дипольного электромагнитного зондирования;
дипольного электромагнитного профилирования.
Дипольное электромагнитное зондирование проводится при переменном расстоянии между излучателем электромагнитного поля и приемной антенной, дипольное электромагнитное профилирование - при постоянном расстоянии между излучателем электромагнитного поля и приемной антенной.
18. Прогноз удароопасности методом, основанным на измерении и регистрации ЕЭМИ, проводится в порядке:
в горной выработке устанавливается антенна, с помощью которой в диапазоне частот от 10 Гц до 100 кГц принимаются электромагнитные сигналы, генерируемые электрическими разрядами в трещинах, образующихся при хрупком разрушении массива горных пород;
с помощью геофизической аппаратуры регистрируются параметры вышеуказанных электромагнитных сигналов и определяются показатели ЕЭМИ и
, доля ед.
Показатели ЕЭМИ и
рассчитываются по формулам:
; (10)
, (11)
где: отношение количества импульсов с высокой энергией (амплитудой) к количеству импульсов с низкой энергией (амплитудой) на участке угольного пласта, на котором проводится прогноз горных ударов методом ЕЭМИ, доля ед.;
- отношение количества импульсов с высокой энергией (амплитудой) к количеству импульсов с низкой энергией (амплитудой) на участке угольного пласта, находящегося в неудароопасном состоянии;
- количество импульсов заданного уровня энергии (амплитуды) на участке пласта, на котором проводится прогноз горных ударов методом ЕЭМИ, доля ед.;
- количество импульсов заданного уровня энергии (амплитуды) на участке пласта, находящегося в неудароопасном состоянии.
Участок угольного пласта, на котором проводится прогноз методом ЕЭМИ, относится к категории "опасно" при выполнении следующих условий:
; (12)
, (13)
где ,
- пороговые показатели ЕЭМИ.
19. Порядок проведения прогноза удароопасности методом дипольного электромагнитного зондирования:
в горной выработке устанавливается излучатель, подключенный к генератору токов;
через интервалы 0,5 - 1 м на участке горной выработки длиной 10 - 15 м приемной антенной, подключенной к геофизической аппаратуре, определяется амплитуда искусственного электромагнитного поля , мВ, наведенного в углепородном массиве;
результаты замеров представляются в виде зависимости
, (14)
где - расстояние от приемной антенны до излучателя, м, по которому устанавливаются:
ширина участка горного массива, на котором произошли необратимые изменения свойств угля (пород) , м;
расстояние от горной выработки до максимума опорного давления , м;
коэффициент, характеризующий изменение электрического сопротивления угольного пласта в зоне опорного давления K, который определяется по формуле:
, (15)
где: - электрическое сопротивление угольного пласта вне зоны опорного давления, Ом;
- электрическое сопротивление угольного пласта в зоне опорного давления, Ом.
Угольный пласт находится в неудароопасном состоянии при
n.
При
n для определения удароопасности угольного пласта дополнительно определяется показатель удароопасности, зависящий от мощности угольного пласта или его вынимаемого слоя
, доля ед., по формуле:
Приложение N 9
к Федеральным нормам и правилам
в области промышленной безопасности
"Инструкция по прогнозу
динамических явлений и мониторингу
массива горных пород при отработке
угольных месторождений", утвержденным
приказом Федеральной службы
по экологическому, технологическому
и атомному надзору
от 15 августа 2016 г. N 339
ПОРЯДОК ПРОВЕДЕНИЯ ЛОКАЛЬНОГО ПРОГНОЗА УДАРООПАСНОСТИ УГОЛЬНЫХ ПЛАСТОВ
1. Локальный прогноз удароопасности угольных пластов проводится на склонных к горным ударам угольных пластах:
в подготовительных горных выработках, проводимых по угольным пластам;
в горных выработках действующих выемочных участков;
в поддерживаемых горных выработках.
ПОРЯДОК ПРОВЕДЕНИЯ ЛОКАЛЬНОГО ПРОГНОЗА УДАРООПАСНОСТИ УГОЛЬНЫХ ПЛАСТОВ В ПРОВОДИМЫХ ПОДГОТОВИТЕЛЬНЫХ ГОРНЫХ ВЫРАБОТКАХ
2. Первое определение удароопасности угольного пласта в подготовительной горной выработке выполняется после его вскрытия или на участке засечки горной выработки не более чем за трое суток до начала проведения подготовительной горной выработки. Последующие определения удароопасности в подготовительных горных выработках выполняются с интервалом не более чем через 75 м подвигания забоя на участках ведения горных работ вне опасных зон.
3. На участке засечки новой горной выработки скважины для проведения прогноза в контуре будущей горной выработки бурятся длиной
n + b, м, где n - ширина защитной зоны в краевой части угольного пласта, м, b - подвигание забоя за цикл, м. На участках протяженностью n, прилегающих к данному участку, скважины бурятся длиной
n. В случаях, когда горная выработка засекается в опасной зоне, скважины бурятся на участках протяженностью не менее 2n.
Схема бурения скважин на участке засечки горной выработки приведена на рисунке 1 настоящего приложения.
Рис. 1. Схема бурения скважин на участке засечки горной выработки:
1 - трасса выработки; 2 - прогнозные скважины
4. В проводимых подготовительных горных выработках при проведении локального прогноза удароопасности угольных пластов бурится:
не менее двух скважин в забой горной выработки и не менее двух скважин в каждый борт горной выработки - шириной менее 5 м. В забой горной выработки скважины бурятся параллельно оси горной выработки;
не менее трех скважин в забой горной выработки и не менее двух скважин в каждый борт горной выработки - шириной 5 м и более. В забой горной выработки одна скважина бурится параллельно оси горной выработки и две скважины бурятся под таким углом к оси горной выработки, при котором обеспечивается выбуривание скважины за будущий проектный контур горной выработки на расстояние 1,5 - 2 м.
Скважины бурятся на расстоянии не менее 1,5 м друг от друга.
В забое горной выработки скважины бурятся длиной
n + b, в борта горной выработки длиной
n.
В подготовительных выработках, проводимых в зонах опорного давления очистных забоев, прогноз удароопасности проводится в обоих боках выработки. В каждый бок горной выработки бурится не менее трех скважин длиной
n.
ПОРЯДОК ПРОВЕДЕНИЯ ЛОКАЛЬНОГО ПРОГНОЗА УДАРООПАСНОСТИ УГОЛЬНЫХ ПЛАСТОВ В ГОРНЫХ ВЫРАБОТКАХ ДЕЙСТВУЮЩИХ ВЫЕМОЧНЫХ УЧАСТКОВ
5. В горных выработках выемочных участков при проведении локального прогноза удароопасности скважины бурятся длиной
n + b.
Перед вводом выемочных участков в эксплуатацию скважины для проведения локального прогноза бурятся:
в очистной выработке:
на участках длиной 0,5l, расположенных в верхней и нижней частях очистной выработки, - не менее чем по три скважины. Ближайшая к сопряжению очистной выработки с выработками, оконтуривающими выемочный участок, скважина бурится на расстоянии 10 - 15 от него. Расстояние между скважинами не должно превышать 10 м;
на участках длиной 0,5l, расположенных в средней части очистной выработки и в опасных зонах, - не менее двух скважин. Расстояние между скважинами не должно превышать 10 м;
в горных выработках, оконтуривающих выемочный участок, - не менее трех скважин в каждый борт выработки на участке не более 0,5l и по одной скважине в каждый борт выработки на расстоянии 0,5l l от очистной выработки, где l - ширина зоны опорного давления, м.
В процессе эксплуатации выемочного участка скважины для проведения локального прогноза бурятся:
в очистной выработке:
на участках длиной 0,5l, расположенных в верхней и нижней частях очистной выработки, - не менее чем по две скважины. Ближайшая к сопряжению очистной выработки с выработками, оконтуривающими выемочный участок, скважина бурится на расстоянии 10 - 15 м от него. Расстояние между скважинами не должно превышать 10 м;
на участках длиной 0,5l, расположенных в средней части очистной выработки и в опасных зонах, - не менее двух скважин. Расстояние между скважинами не должно превышать 10 м;
в горных выработках, оконтуривающих выемочный участок, - не менее трех скважин в каждый борт выработки на участке не более 0,5l и по одной скважине в каждый борт выработки на расстоянии 0,5l l от очистной выработки, где l - ширина зоны опорного давления, м.
Ширина зоны опорного давления определяется по номограмме, приведенной на рисунке 2 настоящего приложения.
Рис. 2. Номограмма для определения ширины зоны опорного давления:
- глубина ведения горных работ, м; m - мощность пласта, м
6. На пластах, опасных по горным ударам, в очистных забоях, остановленных более чем на трое суток, перед возобновлением горных работ проводится прогноз удароопасности.
7. Периодичность локального прогноза удароопасности в горных выработках выемочных участков на угольных пластах, склонных к горным ударам, устанавливается с учетом шага посадки основной кровли. При этом подвигание очистного забоя между очередными прогнозами не должно превышать 25 м.
8. Участок забоя подготовительной выработки относится к категории "опасно", если по одной и (или) нескольким скважинам при проведении прогноза удароопасности выявлена категория "опасно".
В очистном забое и в оконтуривающих горных выработках участок относится к категории "опасно", если при проведении прогноза удароопасности по одной и (или) нескольким скважинам выявлена категория "опасно". Размер участка категории "опасно" принимается равным размеру участка, на котором выявлена категория "опасно", увеличенному от него в обе стороны на расстояние, равное половине расстояния между скважинами с результатами прогноза "опасно" и "неопасно".
ПОРЯДОК ПРОВЕДЕНИЯ ЛОКАЛЬНОГО ПРОГНОЗА УДАРООПАСНОСТИ УГОЛЬНЫХ ПЛАСТОВ В ПОДДЕРЖИВАЕМЫХ ГОРНЫХ ВЫРАБОТКАХ
9. Локальный прогноз удароопасности в поддерживаемых горных выработках, пройденных по опасным по горным ударам угольным пластам, проводится спустя один год после окончания их проведения с периодичностью не реже одного раза в год.
10. Локальный прогноз в поддерживаемых выработках проводится:
в поддерживаемых горных выработках, пройденных вне зон опорного давления очистных выработок, в каждый борт горной выработки с интервалом не более 100 м, в горных выработках, охраняемых целиками угля, с интервалом не более 25 м;
на сопряжениях поддерживаемых горных выработок в каждый борт горной выработки на расстоянии не более 10 м от сопряжения.
11. В поддерживаемых горных выработках, пройденных по опасным по горным ударам угольным пластам, прогноз удароопасности по выходу буровой мелочи проводится на глубину не менее n.
12. На удароопасных угольных пластах локальный прогноз удароопасности проводится до начала ведения горных работ на участке горной выработки, подлежащем перекреплению.
13. На удароопасных угольных пластах локальный прогноз удароопасности проводится на участках горных выработок, подлежащих погашению.
14. Локальный прогноз удароопасности в горных выработках, в которых произошли горные удары, проводится на участках горных выработок, прилегающих к участку, на котором произошел горный удар, длиной не менее l.
Приложение N 10
к Федеральным нормам и правилам
в области промышленной безопасности
"Инструкция по прогнозу
динамических явлений и мониторингу
массива горных пород при отработке
угольных месторождений", утвержденным
приказом Федеральной службы
по экологическому, технологическому
и атомному надзору
от 15 августа 2016 г. N 339
МЕТОДЫ ТЕКУЩЕГО ПРОГНОЗА УДАРООПАСНОСТИ УГОЛЬНЫХ ПЛАСТОВ
1. Текущий прогноз удароопасности угольных пластов проводится методами локального прогноза, приведенными в приложении N 8 к настоящей Инструкции. Текущий прогноз удароопасности угольных пластов допускается проводить методами текущего прогноза выбросоопасности, приведенными в приложении N 13 к настоящей Инструкции:
по АЭ горного массива;
по параметрам искусственного акустического сигнала.
2. Текущий прогноз удароопасности проводится в подготовительных выработках и горных выработках выемочных участков на участках угольных пластов, отнесенных к опасным зонам.
3. Текущий прогноз удароопасности на удароопасных угольных пластах проводится не реже чем через 2 м подвигания забоя подготовительной (очистной) выработки, на угрожаемых по горным ударам угольных пластах - не реже чем через 3 м.
4. Ширина опасной зоны d, м, принимается равной:
1) у тектонических нарушений со смещением угольного пласта:
при неотработанных вышележащих горизонтах
; (1)
при отработанных вышележащих горизонтах
, (2)
где B - ширина зоны влияния тектонического нарушения, м.
Ширина зоны влияния тектонического нарушения B с амплитудой смещения более мощности угольного пласта определяется:
в лежачем крыле тектонического нарушения по формуле:
в висячем крыле тектонического нарушения по формуле:
, (4)
где N - амплитуда смещения, м.
На горной графической документации опасная зона тектонических нарушений отстраивается по нормали к плоскости сместителя;
2) у тектонических нарушений в виде складок с внутренним углом складки , град., 20° <
< 130° ширина зоны влияния тектонического нарушения B:
в замках синклиналей определяется по формуле:
; (5)
в замках антиклиналей определяется по формуле:
На горной графической документации опасная зона данных нарушений отстраивается по нормали к оси складки в горизонтальной плоскости;
3) при подходе к передовой горной выработке:
при неотработанных вышележащих горизонтах:
; (7)
при отработанных вышележащих горизонтах:
; (8)
4) при подходе к выработанному пространству:
при неотработанных вышележащих горизонтах:
; (9)
при отработанных вышележащих горизонтах:
. (10)
5. Схемы определения d приведены на рисунке 1 настоящего приложения.
а - подход к передовой выработке; б - подход к передовой выработке при отработанном вышележащем горизонте; в - подход к геологическому нарушению; г - подход к геологическому нарушению при отработанном вышележащем горизонте; д - подход к выработанному пространству; е - подход к выработанному пространству при отработанном вышележащем горизонте
6. В опасных зонах текущий прогноз удароопасности методами локального прогноза проводится до выхода забоя подготовительной выработки или забоя очистной выработки за границы этих зон.
На участках угольного пласта, для которого была установлена категория "опасно", текущий прогноз удароопасности методами локального прогноза проводится не менее чем на двух циклах подвигания забоя подготовительной выработки или забоя очистной выработки после приведения его в неудароопасное состояние.
7. Результаты измерений заносятся в журнал регистрации результатов прогноза удароопасности участков угольного пласта и контроля эффективности мер по предотвращению горных ударов по выходу буровой мелочи при бурении скважин, оформленный по рекомендуемому образцу, приведенному в приложении N 25 к настоящей Инструкции.
Приложение N 11
к Федеральным нормам и правилам
в области промышленной безопасности
"Инструкция по прогнозу
динамических явлений и мониторингу
массива горных пород при отработке
угольных месторождений", утвержденным
приказом Федеральной службы
по экологическому, технологическому
и атомному надзору
от 15 августа 2016 г. N 339
МЕТОДЫ ПРОГНОЗА УДАРООПАСНОСТИ ГОРНЫХ ПОРОД
1. Прогноз удароопасности горных пород выполняется при проведении горных выработок по горным породам, предел прочности на одноосное сжатие которых более или равен 80 МПа и залегающих на глубине более 500 м.
2. Скважины для установления удароопасности в подготовительных горных выработках бурятся по склонным к горным ударам горным породам в направлении проведения горной выработки.
Периодичность бурения скважин для прогноза удароопасности горных пород и их длина определяются из условия обеспечения неснижаемого опережения не менее 2 м относительно суточного подвигания забоя.
3. Горные породы относятся к категории "склонные к горным ударам" методом, основанным на определении кварца в их минералогическом составе, дискования керна и отношения предела прочности на одноосное сжатие к пределу прочности на растяжение. Порядок отнесения горных пород к категории "склонные к горным ударам" приведен в приложении N 5к настоящей Инструкции.
4. Для уточнения результатов отнесения горных пород к категории "склонные к горным ударам" данными методами удароопасность устанавливается методом, основанным на определении коэффициента хрупкости горных пород , у.е., методом вдавливания жестких штампов.
Для определения проводятся следующие действия:
в краевой части породного массива в породе бурится скважина диаметром 60 мм, длиной > 0,4 м;
порода забоя скважины шлифуется без подачи в скважину воды;
в скважину устанавливается устройство, которое создает и измеряет давление на штамп;
штамп вдавливается в породу.
Штамп вдавливается до разрушения породы в забое скважины.
В процессе вдавливания измеряются:
- давление на штамп в момент начала разрушения породы в забое скважины, МПа;
- давление на штамп в момент окончания разрушения породы в забое скважины, МПа;
- глубина внедрения штампа на момент разрушения породы в забое скважины, мм;
- глубина внедрения штампа после разрушения породы в забое скважины, мм.
Значение вычисляется по формуле:
.
Проводится не менее 10 определений .
Породы, для которых максимальное значение
3, относятся к угрожаемым по горным ударам.
Приложение N 12
к Федеральным нормам и правилам
в области промышленной безопасности
"Инструкция по прогнозу
динамических явлений и мониторингу
массива горных пород при отработке
угольных месторождений", утвержденным
приказом Федеральной службы
по экологическому, технологическому
и атомному надзору
от 15 августа 2016 г. N 339
ПОРЯДОК ПРОВЕДЕНИЯ ЛОКАЛЬНОГО ПРОГНОЗА ВЫБРОСООПАСНОСТИ УГОЛЬНЫХ ПЛАСТОВ
1. Локальный прогноз выбросоопасности угольных пластов проводится по результатам определения средней прочности угля , у.е. Порядок определения
приведен в приложении N 22 к настоящей Инструкции.
При локальном прогнозе выбросоопасности угольных пластов проводятся разведочные наблюдения в следующих случаях:
при засечке горной выработки;
после вскрытия угольного пласта;
не более чем через 300 м подвигания забоя.
Разведочные наблюдения выполняются в порядке, приведенном в приложении N 24 к настоящей Инструкции.
2. Локальный прогноз выбросоопасности угольных пластов проводится по наиболее выбросоопасным угольным пачкам. Наиболее выбросоопасные угольные пачки определяются в соответствии с пунктом 8 приложения N 24 к настоящей Инструкции. В случае, когда в угольном пласте отсутствуют наиболее выбросоопасные угольные пачки, локальный прогноз выбросоопасности угольных пластов проводится по всему угольному пласту.
3. Локальный прогноз выбросоопасности проводится:
на пластах пологого и наклонного залегания в подготовительных выработках не более чем через 4 м подвигания забоя;
на пластах крутого залегания в подготовительных и очистных выработках не более чем через 4 м подвигания забоя.
Если при интервале проведения локального прогноза, равном 4 м, не могут быть достигнуты плановые темпы подвигания забоя, локальный прогноз выбросоопасности не проводится при условии проведения текущего прогноза выбросоопасности одним из методов текущего прогноза, приведенным в приложении N 13 к настоящей Инструкции.
4. Если средняя прочность угля , у.е., отдельной угольной пачки или угольного пласта в целом менее или равна 75 у.е., то на участке горной выработки, на котором были выполнены измерения
, и в прилегающей к нему десятиметровой зоне угольного пласта проводится не менее пяти циклов текущего прогноза выбросоопасности по начальной скорости газовыделения
в порядке, приведенном в приложении N 23 к настоящей Инструкции, или не менее пяти циклов разведочных наблюдений.
5. Локальный прогноз выбросоопасности проводится:
на угольных пластах пологого, наклонного и крутого залегания:
в забоях подготовительных горных выработок в пунктах, расположенных на расстояниях 0,5 - 1,0 м от ее борта;
на угольных пластах крутонаклонного и крутого залегания:
отрабатываемых уступными лавами, в забоях откаточного штрека, в нижней печи и трех нижних уступах лавы на расстоянии 0,5 - 1,0 м от кутков;
отрабатываемых щитовыми агрегатами, в забоях монтажной печи в интервале 20 - 50 м от вентиляционного ската и в кутке лавы в интервалах 30 - 60 м и 80 - 110 м от вентиляционного горизонта.
При отработке пластов мощностью более 2 м локальный прогноз проводится только в подготовительных выработках.
6. Результаты локального прогноза заносятся в журнал регистрации результатов определения выбросоопасности по локальному прогнозу, оформленный по рекомендуемому образцу, приведенному в приложении N 25 к настоящей Инструкции.
Приложение N 13
к Федеральным нормам и правилам
в области промышленной безопасности
"Инструкция по прогнозу
динамических явлений и мониторингу
массива горных пород при отработке
угольных месторождений", утвержденным
приказом Федеральной службы
по экологическому, технологическому
и атомному надзору
от 15 августа 2016 г. N 339
МЕТОДЫ ТЕКУЩЕГО ПРОГНОЗА ВЫБРОСООПАСНОСТИ УГОЛЬНЫХ ПЛАСТОВ
1. Текущий прогноз проводится на выбросоопасных угольных пластах в забоях подготовительных выработок и в забоях очистных выработок.
Текущий прогноз не проводится на участках выбросоопасных угольных пластов, на которых после выявления категории "опасно" выполняются меры по предотвращению внезапных выбросов и проводится контроль их эффективности. После приведения данных участков в невыбросоопасное состояние текущий прогноз возобновляется после выполнения контрольных наблюдений и установления категории "неопасно" в порядке, установленном в приложении N 24 к настоящей Инструкции.
Текущий прогноз проводится без предварительных разведочных наблюдений в забое подготовительной выработки, засекаемой от горной выработки, пройденной по невыбросоопасному участку угольного пласта, при условии, что невыбросоопасность участка угольного пласта, на котором проводится засечка новой горной выработки, была ранее установлена, о чем был составлен акт определения выбросоопасности пласта в месте вскрытия угольного пласта, оформленный по рекомендуемому образцу, приведенному в приложении N 25 к настоящей Инструкции.
МЕТОДЫ ТЕКУЩЕГО ПРОГНОЗА ВЫБРОСООПАСНОСТИ УГОЛЬНЫХ ПЛАСТОВ
2. Текущий прогноз проводится методами:
по структуре угольного пласта;
по начальной скорости газовыделения ;
по начальной скорости газовыделения и выходу буровой мелочи;
по АЭ горного массива;
по параметрам искусственного акустического сигнала;
по данным, зарегистрированным системами АГК.
3. На шахтах Кузнецкого угольного бассейна выбросоопасность в очистных горных выработках оценивается по результатам текущего прогноза выбросоопасности, полученным при проведении горных выработок, оконтуривающих выемочный участок, и геофизического мониторинга массива горных пород в его границах.
4. Участки угольных пластов относятся к неопасным и текущий прогноз на них не проводится:
в выработках на уровне вентиляционного штрека под выработанным пространством вышележащего этажа;
при проведении спаренных горизонтальных выработок по угольному пласту мощностью более 1,8 м, угол падения которого более 55°: в нижней горной выработке при условии, что она проводится на расстоянии по падению угольного пласта не более 6 м, ее забой отстает от забоя верхней горной выработки на расстоянии не менее 6 м, в сбойках между данными горными выработками;
при проведении подэтажных штреков под выработанным пространством вышележащего этажа при разработке пластов системой подэтажной гидроотбойки угля с высотой этажа не более 10 м;
в выработках, проводимых по угольным пластам, угол падения которых более 35°, на расстоянии не более 50 м по падению от выработанного пространства вышележащего этажа, после отработки которого прошло не менее пяти лет.
ТЕКУЩИЙ ПРОГНОЗ ВЫБРОСООПАСНОСТИ УГОЛЬНЫХ ПЛАСТОВ ПО СТРУКТУРЕ УГОЛЬНОГО ПЛАСТА
5. При текущем прогнозе выбросоопасности угольных пластов по структуре угольного пласта выделяются его пачки, измеряются их мощности и определяются для каждой пачки средние значения прочности угля.
Измерение мощности угольных пачек проводится с точностью ± 0,01 м при средней прочности угля каждой угольной пачке, определенной в соответствии с порядком, приведенным в приложении N 22 к настоящей Инструкции.
По результатам измерения мощности угольных пачек и определяются потенциально выбросоопасные угольные пачки.
Потенциально выбросоопасной угольной пачкой считается угольная пачка или совокупность смежных угольных пачек мощностью не менее 0,2 м (для Печорского бассейна не менее 0,1 м), средняя прочность угля которых
75 у.е.
При наличии в угольном пласте нескольких несмежных угольных пачек, мощность и прочность которых удовлетворяют данным условиям, к потенциально выбросоопасной пачке относится пачка с наименьшей прочностью угля.
Текущий прогноз выбросоопасности проводится по угольной пачке, у которой минимальная .
Потенциальная выбросоопасность совокупности смежных угольных пачек мощностью менее 0,2 м (для Печорского бассейна не менее 0,1 м) определяется с учетом , рассчитанной по формуле (3) приложения N 22 к настоящей Инструкции.
6. Если при проведении текущего прогноза по структуре угольного пласта не выявлены потенциально выбросоопасные пачки или совокупность смежных выбросоопасных пачек, участок угольного пласта на глубину 4 м относится к невыбросоопасным и подготовительная выработка проводится без выполнения прогноза выбросоопасности на 4 м.
Если при проведении текущего прогноза по структуре угольного пласта выявлены потенциально выбросоопасные пачки или совокупность смежных выбросоопасных пачек, до начала ведения горных работ по проведению выработки проводится текущий прогноз выбросоопасности по начальной скорости газовыделения . Данный вид текущего прогноза выбросоопасности проводится не менее чем в пяти циклах подвигания забоя подготовительной выработки.
7. В нисходящих подготовительных выработках, проводимых буровзрывным способом на угольных пластах крутого залегания, в случаях, когда текущим прогнозом по структуре угольного пласта выявлены потенциально выбросоопасные пачки, допускается применение прогноза выбросоопасности по данным, зарегистрированным системами АГК.
ТЕКУЩИЙ ПРОГНОЗ ВЫБРОСООПАСНОСТИ УГОЛЬНЫХ ПЛАСТОВ ПО НАЧАЛЬНОЙ СКОРОСТИ ГАЗОВЫДЕЛЕНИЯ ИЗ СКВАЖИНЫ
8. Текущий прогноз выбросоопасности угольных пластов по начальной скорости газовыделения из скважины (далее - текущий прогноз по начальной скорости газовыделения
) проводится по результатам регулярных определений начальной скорости газовыделения
, л/мин., из скважин, пробуренных по углю. Начальная скорость газовыделения g2определяется в порядке, приведенном в приложении N 23 к настоящей Инструкции.
9. Скважины для проведения текущего прогноза по начальной скорости газовыделения бурятся по наиболее выбросоопасной пачке угля, определенной в соответствии с пунктом 8 приложения N 24 к настоящей Инструкции, мощностью более 0,2 м.
Скважины бурятся длиной:
для угольных пластов мощностью до 4 м не менее 5,5 м;
для угольных пластов мощностью более 4 м не менее 6,5 м.
В подготовительных и очистных забоях скважины бурятся не более чем через 4 м подвигания забоя.
На шахтах Донецкого угольного бассейна в подготовительных выработках скважины бурятся не более чем через 2 м подвигания забоя, в очистных выработках не более чем через 2,7 м подвигания забоя. Скважины бурятся длиной не менее 3,5 м.
В забоях подготовительных горных выработок, проводимых по угольным пластам пологого и (или) наклонного залегания мощностью 4 м и менее, бурятся две скважины на расстоянии 0,5 - 0,7 м от бортов выработки, на пластах мощностью более 4 м дополнительно бурится третья скважина в средней части забоя.
В очистном забое угольных пластов пологого и наклонного залегания скважины бурятся на расстоянии не более 10 м от верхнего и нижнего сопряжений очистной выработки с оконтуривающими горными выработками и не более чем через 10 м друг от друга по всей его длине.
В потолкоуступном очистном забое угольных пластов крутого и крутонаклонного залегания скважины бурятся в кутках нижней печи и в кутках уступов на расстоянии до 0,5 м от нависающего массива, в щитовых лавах на расстоянии до 0,5 м от кутков монтажной печи и лавы.
При бурении скважины ориентируются:
в подготовительном забое таким образом, чтобы забои пробуренных скважин находились на расстоянии не менее чем 2 м за контуром выработки;
в подготовительной выработке на угольном пласте крутого и крутонаклонного падения таким образом, чтобы забой пробуренной по восстанию угольного пласта скважины находился на расстоянии не менее 1,5 м за контуром горной выработки;
в очистном забое - в направлении его подвигания.
В очистном забое на угольных пластах категории "угрожаемые по внезапным выбросам угля и газа" скважины бурятся:
в лавах крутого и крутонаклонного залегания угольных пластов при потолкоуступном забое в нижней третьей части этажа;
в лавах пологого и наклонного залегания пластов в нишах, против бутовых полос и на участках протяженностью 10 м, прилегающих к нишам и бутовым полосам, или при отсутствии ниш на таком же расстоянии от сбоек очистного забоя с оконтуривающими выработками.
10. Участок угольного пласта относится к категории "опасно" при условии:
значение на очередном интервале бурения превысило пороговое значение начальной скорости газовыделения
, л/мин.;
скважину не удается пробурить до проектной длины;
при бурении скважины наблюдаются события, предшествующие внезапному выбросу угля и газа, приведенные в приложении N 2 к настоящей Инструкции.
11. Пороговое значение начальной скорости газовыделения принимается равным:
для условий шахт Донецкого бассейна:
при
15%,
= 5 л/мин.;
при 15% <
20%,
= 4,5 л/мин.;
при 20% <
30%,
= 4,0 л/мин.;
при 30% < %,
= 4,5 л/мин.;
для других угольных бассейнов = 4,0 л/мин.
Значение определяется как среднеарифметическое значение по 10 пробам угля, отобранным в подготовительных или очистных выработках, или по данным, полученным при проведении геолого-разведочных работ.
12. Размер опасной зоны по длине очистного забоя ограничивается скважинами, в которых зафиксированы значения менее порогового значения.
13. Текущий прогноз по начальной скорости газовыделения не проводится при выполнении мер предотвращения внезапных выбросов угля и газа, указанных в таблице приложения N 19 к настоящей Инструкции, и контроля их эффективности, проведенного в соответствии с приложением N 20 к настоящей Инструкции.
14. Результаты прогноза по начальной скорости газовыделения заносятся в журнал регистрации результатов прогноза выбросоопасности по начальной скорости газовыделения
, оформленный по рекомендуемому образцу, приведенному в приложении N 25 к настоящей Инструкции.
ТЕКУЩИЙ ПРОГНОЗ ВЫБРОСООПАСНОСТИ УГОЛЬНЫХ ПЛАСТОВ ПО НАЧАЛЬНОЙ СКОРОСТИ ГАЗОВЫДЕЛЕНИЯ И ВЫХОДУ БУРОВОЙ МЕЛОЧИ ИЗ СКВАЖИНЫ
15. Для проведения текущего прогноза по начальной скорости газовыделения и выходу буровой мелочи скважины бурятся в соответствии с пунктом 9 настоящего приложения.
Начальная скорость газовыделения и выход буровой мелочи определяются при бурении скважин по наиболее выбросоопасной пачке угольного пласта.
При проведении данного прогноза измерение начальной скорости газовыделения выполняется в соответствии с приложением N 23 к настоящей Инструкции, а выхода буровой мелочи - в соответствии с пунктами 2 - 3 приложения N 21 к настоящей Инструкции.
16. После окончания бурения скважин по максимальной скорости газовыделения , л/мин., и максимальному объему буровой мелочи
, л/м, определяется показатель выбросоопасности R, у.е.
Показатель выбросоопасности R определяется:
для Воркутского месторождения по формуле:
; (1)
для остальных угольных бассейнов по формуле:
. (2)
При R < 0 участок пласта неопасный, при R 0 выбросоопасность участка угольного пласта дополнительно определяется по показателю
, рассчитанному по формуле приложения N 23 к настоящей Инструкции.
При > 0,65 участок пласта относится к невыбросоопасным, при
0,65 - выбросоопасным.
Учитывается наибольшее значение показателя R, полученное по двум контрольным шпурам, пробуренным из одного положения забоя выработки.
Результаты текущего прогноза по начальной скорости газовыделения и выходу буровой мелочи заносятся в журнал регистрации результатов текущего прогноза по начальной скорости газовыделения
и выходу буровой мелочи, оформленный по рекомендуемому образцу, приведенному в приложении N 25 к настоящей Инструкции.
ТЕКУЩИЙ ПРОГНОЗ ВЫБРОСООПАСНОСТИ УГОЛЬНЫХ ПЛАСТОВ ПО АКУСТИЧЕСКОЙ ЭМИССИИ МАССИВА ГОРНЫХ ПОРОД
17. Текущий прогноз выбросоопасности угольных пластов по АЭ выполняется по числу импульсов АЭ, генерируемых при образовании трещин в массиве горных пород.
На первых трех циклах текущего прогноза по АЭ проводятся разведочные наблюдения в порядке, приведенном в приложении N 24 к настоящей Инструкции.
18. Для текущего прогноза по АЭ используется аппаратура регистрации и передачи сейсмоакустического сигнала, состоящая из геофона и наземного технического устройства.
19. Для проведения текущего прогноза по АЭ на выемочных участках геофоны устанавливаются в скважинах длиной не менее 2 м, пробуренных в оконтуривающих горных выработках на расстоянии не менее 3 м, но не более половины радиуса действия геофона от их сопряжений с очистной выработкой, или на секциях механизированной крепи.
20. Для проведения текущего прогноза по АЭ в подготовительных выработках геофон устанавливаются:
в скважинах длиной не менее 2 м, пробуренных на расстоянии 5 - 20 м от забоя подготовительной выработки при буровзрывном способе ее проведения;
на расстоянии 20 - 40 м от забоя подготовительной выработки при комбайновом способе ее проведения.
Геофоны устанавливаются на расстоянии до забоя подготовительной выработки не более половины радиуса действия геофона.
21. Радиус действия геофона определяется при каждой установке геофона. Радиус действия геофона принимается равным расстоянию от геофона до источника возбуждения сигнала, на котором амплитуда сигнала, воспринимаемая геофоном, превышает уровень шума в 2 раза. Результаты определения радиуса действия геофона оформляются актом.
22. Прослушивание в режиме реального времени поступающего в наземный блок сейсмоакустического сигнала и определение активности АЭ в часовых интервалах , имп/ч, выполняется специалистами угледобывающей организации, прошедшими обучение.
23. В конце технологических суток по вычисляется средняя активность АЭ
, имп/ч, за временной интервал (далее - интервал осреднения)
, ч, равный для очистных забоев 30 часам, для подготовительных забоев - 10 часам.
Значение рассчитывается по формуле:
. (3)
При расчете учитываются только те значения
, которые были зарегистрированы во время работы горного оборудования по угольному забою.
При расчете интервал осреднения ежесуточно сдвигается относительно предыдущих суток на количество часов, равное суммарному времени работы горного оборудования по угольному забою в предыдущие сутки.
24. Участок угольного пласта относится к категории "опасно" при выполнении одного из условий:
относительное увеличение средней активности АЭ , %, превышает пороговое значение относительного увеличения средней активности АЭ
, %;
средняя активность АЭ на часовом интервале регистрации больше или равна пороговому значению
, имп/ч.
Относительное увеличение активности АЭ определяется по формуле:
. (4)
Пороговые значения относительного увеличения средней активности пор принимаются равными:
при
10,
пор = 5%;
при 2 < < 10,
пор = 10%.
При < 2 участок угольного пласта к категории "опасно" относится только в случае, если
зарегистрированы в часовом интервале более пороговой средней активности АЭ
, имп/ч.
Для очистных забоев определяется по формуле:
, (5)
где - пороговый коэффициент активности АЭ.
При
3,6
принимается равным 4.
При < 3,6
принимается равным 4,5.
Для подготовительных забоев рассчитывается по формуле:
. (6)
25. Участок угольного пласта, для которого текущим прогнозом по АЭ была установлена категория "опасно", относится к категории "неопасно" в случае, если первым прогнозом, проведенным после выхода подготовительного или очистного забоя за зону запаса, была установлена категория "неопасно". Зона запаса принимается равной не менее 6 м. Горные работы в пределах зоны запаса ведутся с применением мер предотвращения внезапных выбросов угля и газа.
26. Текущий прогноз по АЭ проводится непрерывно. В случае, когда по техническим причинам текущий прогноз по АЭ не проводился в течение одного часа и более, осреднение проводится со времени возобновления текущего прогноза по АЭ.
27. На выбросоопасных угольных пластах при комбайновом способе проведения подготовительных выработок не менее чем через 30 м подвигания забоя для определения выбросоопасности угольного пласта проводятся разведочные наблюдения в порядке, приведенном в приложении N 24 к настоящей Инструкции.
28. В очистном забое на участке угольного пласта, на котором текущим прогнозом по АЭ установлена категория "опасно", проводится прогноз выбросоопасности по начальной скорости газовыделения . Порядок определения начальной скорости газовыделения
приведен в приложении N 23 к настоящей Инструкции. Скважины для прогноза выбросоопасности по начальной скорости газовыделения
бурятся на участке угольного пласта, находящемся в границах действия геофона, который зарегистрировал АЭ, превышающую пороговые уровни.
29. Результаты текущего прогноза выбросоопасности угольных пластов по АЭ заносятся в журнал регистрации активности акустической эмиссии и расчета пороговых значений прогностических параметров, оформленный по рекомендуемому образцу, приведенному в приложении N 25 к настоящей Инструкции.
ТЕКУЩИЙ ПРОГНОЗ ВЫБРОСООПАСНОСТИ УГОЛЬНЫХ ПЛАСТОВ ПО ПАРАМЕТРАМ ИСКУССТВЕННОГО АКУСТИЧЕСКОГО СИГНАЛА
30. Текущий прогноз выбросоопасности по параметрам искусственного акустического сигнала проводится с использованием программно-аппаратных средств, осуществляющих регистрацию и автоматизированную обработку искусственного акустического сигнала, возникающего в массиве горных пород при воздействии на забой горного оборудования. Искусственный акустический сигнал непрерывно обрабатывается в течение временных интервалов, соответствующих циклам выемки угля в забое очистной выработки и выемки угля или угля и вмещающих пород в забое подготовительной выработки.
В случае отсутствия по техническим причинам в нескольких последовательных циклах автоматизированной обработки искусственного акустического сигнала безопасным считается участок угольного пласта протяженностью не более 4 м от положения забоя, на котором была последний раз установлена категория "неопасно".
31. Искусственный акустический сигнал регистрируется геофонами. Количество геофонов, используемых для регистрации акустического сигнала, определяется в документации по проведению прогноза выбросоопасности по параметрам искусственного акустического сигнала.
Геофоны устанавливаются в скважинах диаметром не менее 42 мм, длиной 0,7 - 1,0 м, пробуренных в угольном пласте или вмещающих его породах, на элементах крепи горной выработки и (или) на секциях механизированной крепи очистного забоя.
32. В подготовительных выработках один геофон устанавливается на расстоянии не более 50 м от забоя, в горных выработках выемочного участка - по одному геофону в каждой горной выработке, примыкающей к очистному забою, на расстоянии не более 50 м от него.
На секциях механизированной крепи очистного забоя геофоны устанавливаются на расстоянии не более 40 м от сопряжений очистного забоя.
33. Прогноз по параметрам искусственного акустического сигнала проводится по результатам сравнения текущих значений прогностических параметров спектра искусственного акустического сигнала (далее - прогностические параметры), регистрируемых в каждом цикле подвигания забоя, с их пороговыми значениями. В качестве прогностических параметров используются:
низкочастотная составляющая спектра искусственного акустического сигнала , у.е.;
высокочастотная составляющая спектра искусственного акустического сигнала , у.е.;
нижняя частота спектра искусственного акустического сигнала, соответствующая амплитуде искусственного акустического сигнала, равная 0,5 ее максимального значения;
нижняя частота спектра искусственного акустического сигнала, соответствующая амплитуде искусственного акустического сигнала, равная 0,75 ее максимального значения.
34. Первоначально пороговые значения прогностических параметров устанавливаются по результатам текущего прогноза выбросоопасности по параметрам искусственного акустического сигнала, полученным на участке проводимой горной выработки или иных горных выработок, пройденных по этому шахтопласту, для которых установлена категория "неопасно".
Пороговые значения прогностических параметров утверждаются техническим руководителем (главным инженером) угледобывающей организации.
По мере подвигания забоя подготовительной или очистной выработки пороговые значения прогностических параметров корректируются с учетом горно-геологических условий.
Не более чем через 300 м подвигания забоя подготовительной или очистной выработки пороговые значения прогностических параметров переутверждаются.
35. Участок угольного пласта, для которого текущим прогнозом по параметрам искусственного акустического сигнала была установлена категория "опасно", относится к категории "неопасно" в случае, если первым прогнозом, проведенным после выхода подготовительного или очистного забоя за зону запаса, была установлена категория "неопасно". Зона запаса принимается в соответствии с пунктом 25 настоящего приложения.
36. В очистном забое место нахождения наиболее опасного по внезапным выбросам угля и газа участка угольного пласта определяется по коэффициенту отношения прогностических параметров и
, доля ед., определяемому по формуле:
. (7)
Наиболее опасный по внезапным выбросам угля и газа участок угольного пласта соответствует месту, где находился комбайн в то время, когда было определено максимальное значение .
37. Результаты прогноза по параметрам искусственного акустического сигнала, при котором выявлены участки угольного пласта категории "опасно", выводятся на бумажные носители информации и заносятся в журнал регистрации результатов прогноза по параметрам искусственного акустического сигнала, оформленный по рекомендуемому образцу, приведенному в приложении N 25 к настоящей Инструкции.
38. Результаты прогноза по параметрам искусственного акустического сигнала в электронном виде хранятся в течение всего времени проведения подготовительной выработки или отработки выемочного участка на электронных носителях информации.
ТЕКУЩИЙ ПРОГНОЗ ВЫБРОСООПАСНОСТИ УГОЛЬНЫХ ПЛАСТОВ ПО ДАННЫМ, ЗАРЕГИСТРИРОВАННЫМ СИСТЕМАМИ АЭРОГАЗОВОГО КОНТРОЛЯ
39. Текущий прогноз выбросоопасности угольных пластов по данным, зарегистрированным системами АГК, проводится при проведении нисходящих подготовительных выработок буровзрывным способом на угольных пластах крутого залегания.
40. Для выполнения данного прогноза осуществляется непрерывный автоматический контроль содержания метана и расхода воздуха. Датчики, осуществляющие контроль содержания метана и скорости (расхода) воздуха, устанавливаются на минимальном расстоянии от забоя выработки, на котором сохраняется их работоспособность во время взрывных работ.
Для проведения прогноза используются данные, зарегистрированные системами АГК:
- фоновое содержание метана, %;
- максимальное содержание метана после взрывных работ, %;
- содержание метана в конце интервала регистрации, %;
- расход воздуха в конце интервала регистрации, м3/мин.
Фоновое содержание метана определяется за временной интервал продолжительностью не менее 2 часов, в течение которого не проводились работы, связанные с воздействием на угольный пласт.
Продолжительность интервалов регистрации принимается равной 15 минутам.
В конце каждого интервала определяются и
. Регистрация проводится в течение времени реакции угольного пласта на производство в забое взрывных работ
, мин., за которое содержание метана в забое снизилось до
, но не более 2 часов.
41. Прогноз выбросоопасности забоя проводится в следующем порядке.
Рассчитывается пороговое содержание метана после взрывания , %, по формуле:
, (8)
где: - площадь угольного пласта в забое горной выработки, м2;
b - подвигание забоя за цикл, м;
- среднее значение расхода воздуха, зарегистрированного в конце интервалов регистрации, м3/мин.
Значение рассчитывается по формуле:
. (9)
При <
участок угольного пласта впереди забоя относится к невыбросоопасным.
При
для определения выбросоопасности рассчитывается эффективная газоносность угольного пласта
, м3/т, по формуле:
. (10)
При
4 участок угольного пласта впереди забоя выработки относится к опасным по внезапным выбросам угля и газа, при
< 4 - к неопасным.
42. Результаты текущего прогноза выбросоопасности угольных пластов по данным, зарегистрированным системами АГК, заносятся в журнал автоматизированного прогноза выбросоопасности системами аэрогазового контроля, оформленный по рекомендуемому образцу, приведенному в приложении N 25 к настоящей Инструкции.
Приложение N 14
к Федеральным нормам и правилам
в области промышленной безопасности
"Инструкция по прогнозу
динамических явлений и мониторингу
массива горных пород при отработке
угольных месторождений", утвержденным
приказом Федеральной службы
по экологическому, технологическому
и атомному надзору
от 15 августа 2016 г. N 339
ПОРЯДОК И МЕТОДЫ ПРОГНОЗА ВЫБРОСООПАСНОСТИ ГОРНЫХ ПОРОД
1. В шахтах Донецкого бассейна выбросоопасность горных пород определяется по керну, полученному при бурении скважин.
Скважины в подготовительных горных выработках бурятся по выбросоопасному слою горных пород в направлении проведения горной выработки.
Периодичность бурения скважин для прогноза выбросоопасности горных пород и их длина определяются из условия обеспечения неснижаемого опережения не менее 2 м относительно суточного подвигания забоя.
2. Выбросоопасность горных пород определяется по количеству выпукло-вогнутых дисков на 1 м керна.
В зависимости от количества выпукло-вогнутых дисков на 1 м керна устанавливаются следующие степени выбросоопасности:
более 30 дисков - высокая степень выбросоопасности;
от 7 до 30 дисков - средняя степень выбросоопасности;
менее 7 дисков - низкая степень выбросоопасности.
В случае, когда керн не разделен на диски, горные породы относятся к невыбросоопасным.
3. Результаты определения выбросоопасности горных пород оформляются актом.
4. Горные выработки по выбросоопасным горным породам проводятся с выполнением мер предотвращения внезапных выбросов или буровзрывным способом в режиме сотрясательного взрывания.
Приложение N 15
к Федеральным нормам и правилам
в области промышленной безопасности
"Инструкция по прогнозу
динамических явлений и мониторингу
массива горных пород при отработке
угольных месторождений", утвержденным
приказом Федеральной службы
по экологическому, технологическому
и атомному надзору
от 15 августа 2016 г. N 339
МЕТОДЫ И ПОРЯДОК ПРОВЕДЕНИЯ ПРОГНОЗА ДИНАМИЧЕСКИХ РАЗРУШЕНИЙ ПОРОД ПОЧВЫ ГОРНЫХ ВЫРАБОТОК
1. Прогноз динамических разрушений пород почвы горных выработок в соответствии с настоящим приложением проводится на шахтах, отрабатывающих пласт "Мощный" Воркутского месторождения.
2. Прогноз динамических разрушений пород почвы горных выработок проводится в два этапа.
На первом этапе бурятся геолого-разведочные скважины и определяется:
глубина расположения горной выработки , м;
мощность угольного пласта , м;
ширина горной выработки вчерне a, м;
мощность и физико-механические свойства пород почвы на глубину не менее 2a;
границы опасных зон (зон ПГД, у передовых выработок, у геологических нарушений).
Шаг заложения геолого-разведочных скважин принимается не более 100 м. В районах передовых выработок геолого-разведочные скважины бурятся в соответствии со схемой, приведенной на рисунке 1 настоящего приложения. Параметры заложения скважин принимаются с учетом слоистости массива горных пород.
Рис. 1. Схема заложения геолого-разведочных скважин в районе передовой выработки
По данным, полученным при бурении геолого-разведочных скважин, выявляются потенциально опасные участки подготовительной выработки, в пределах которых в почве залегают потенциально склонные к горным ударам слои горных пород мощностью
0,5 м, у которых предел прочности на одноосное сжатие
МПа.
Мощность опасного слоя горных пород , м, принимается равной суммарной мощности всех слоев горных пород, залегающих в почве горной выработки, включая слой, у которого
0,5 м и
МПа.
Условная ширина горной выработки , м, и определяется по формуле:
, (1)
где - ширина зоны разгрузки угольного пласта в бок горной выработки, м.
Ширина зоны разгрузки угольного пласта в бок горной выработки определяется по формуле:
. (2)
Потенциально опасными считаются участки, на которых выполняется условие:
. (3)
На потенциально опасных участках все слои горных пород, залегающие в почве горной выработки на расстоянии от ее почвы, равном , относятся к опасному слою.
На втором этапе в пределах потенциально опасного участка выделяются опасные участки, для которых выполняется условие:
, (4)
где: - коэффициент пригрузки, учитывающий влияние горно-геологических и горнотехнических условий, ед. В зоне влияния очистной выработки
= 1,4. При подходе очистной выработки к передовой горной выработке
определяется по номограмме, приведенной на рисунке 2 настоящего приложения;
- удельный вес пород, МН/м3;
- параметр, отражающий сжимающие напряжения в опасном слое, ед. Значение
определяется по номограмме, приведенной на рисунке 3 настоящего приложения.
Рис. 2. Номограмма для определения :
- расстояние от забоя лавы до передовой выработки, м; l - ширина зоны опорного давления, м
Ширина зоны опорного давления определяется по номограмме, приведенной на рисунке 2 приложения N 9 к настоящей Инструкции.
Рис. 3. Номограмма для определения в опасном слое:
- модуль упругости опасного слоя, МПа;
- модуль упругости слоя горных пород, залегающего в непосредственной почве угольного пласта, МПа
3. В случае, когда в почве горной выработки залегают несколько слоев пород, при прогнозе динамических разрушений пород почвы горных выработок применяются средневзвешенные значения ,
и
, которые определяются по формулам:
; (5)
; (6)
. (7)
4. Выявленные опасные зоны наносятся на горную графическую документацию.
Приложение N 16
к Федеральным нормам и правилам
в области промышленной безопасности
"Инструкция по прогнозу
динамических явлений и мониторингу
массива горных пород при отработке
угольных месторождений", утвержденным
приказом Федеральной службы
по экологическому, технологическому
и атомному надзору
от 15 августа 2016 г. N 339
МЕТОД ПРОГНОЗА ВНЕЗАПНЫХ ВЫДАВЛИВАНИЙ УГЛЯ
1. Прогноз внезапных выдавливаний угля выполняется на склонных к внезапным выдавливаниям угля пластах по параметрам искусственного акустического сигнала, регистрируемого в соответствии с приложением N 13 к настоящей Инструкции.
2. Опасность внезапных выдавливаний угля определяется по коэффициенту , доля ед., рассчитываемому по формуле:
,
где: - амплитуда акустического сигнала, у.е.;
f - частота акустического сигнала, Гц.
При
0,5 угольный пласт на участке, на котором проводилось определение опасности внезапных выдавливаний угля, относится к категории "опасный по внезапному выдавливанию угля".
3. Результаты прогноза внезапных выдавливаний угля при категории "опасный по внезапному выдавливанию угля" заносятся в журнал регистрации результатов прогноза по параметрам искусственного акустического сигнала, оформленный по рекомендуемому образцу, приведенному в приложении N 25 к настоящей Инструкции.
Приложение N 17
к Федеральным нормам и правилам
в области промышленной безопасности
"Инструкция по прогнозу
динамических явлений и мониторингу
массива горных пород при отработке
угольных месторождений", утвержденным
приказом Федеральной службы
по экологическому, технологическому
и атомному надзору
от 15 августа 2016 г. N 339
МЕТОД ПРОГНОЗА ДИНАМИЧЕСКИХ РАЗРУШЕНИЙ ПОРОД ПОЧВЫ С ИНТЕНСИВНЫМ ГАЗОВЫДЕЛЕНИЕМ
1. Прогноз динамических разрушений пород почвы с интенсивным газовыделением выполняется на угольных пластах, почва которых склонна к динамическому разрушению с интенсивным газовыделением. Прогноз выполняется по параметрам искусственного акустического сигнала, регистрируемого в соответствии с приложением N 13 к настоящей Инструкции. При прогнозе динамических разрушений с интенсивным газовыделением регистрируются акустические сигналы, возникающие в горных породах, залегающих между горной выработкой и источником интенсивного газовыделения.
2. Опасность динамических разрушений пород почвы с интенсивным газовыделением определяется по коэффициенту , доля ед., рассчитываемому по формуле:
,
где - амплитуда акустического сигнала на резонансной частоте, у.е.
При
0,7 горные породы, залегающие между горной выработкой и источником интенсивного газовыделения, относятся к категории "опасные по динамическим разрушениям пород почвы с интенсивным газовыделением" (далее - опасные по прорывам метана).
3. Результаты прогноза динамических разрушений пород почвы с интенсивным газовыделением при категории "опасные по прорывам метана" заносятся в журнал регистрации результатов прогноза по параметрам искусственного акустического сигнала, оформленный по рекомендуемому образцу, приведенному в приложении N 25 к настоящей Инструкции.
Приложение N 18
к Федеральным нормам и правилам
в области промышленной безопасности
"Инструкция по прогнозу
динамических явлений и мониторингу
массива горных пород при отработке
угольных месторождений", утвержденным
приказом Федеральной службы
по экологическому, технологическому
и атомному надзору
от 15 августа 2016 г. N 339
ПОРЯДОК МОНИТОРИНГА МАССИВА ГОРНЫХ ПОРОД
1. Мониторинг массива горных пород проводится на шахтах, отрабатывающих угольные пласты, опасные по горным ударам и (или) внезапным выбросам.
2. На шахтах Кузнецкого угольного бассейна с глубины ведения горных работ >
в границах выемочных участков до ввода их в эксплуатацию проводятся геофизические и горно-геологические исследования угольного пласта. При проведении геофизических и горно-геологических исследований угольного пласта в границах выемочных участков учитываются результаты прогноза выбросоопасности, полученные при проведении оконтуривающих горных выработок, и результаты оценки геофизическими методами напряженно-деформированного состояния массива горных пород, его структурной неоднородности и выделения зон, в границах которых возможны внезапные выбросы.
3. Мониторинг массива горных пород проводится в целях оценки геодинамического состояния массива горных пород и выявления участков угольных пластов, на которых возможно возникновение горных ударов и (или) внезапных выбросов.
4. Порядок и методы проведения мониторинга массива горных пород определяются проектной документацией на строительство, реконструкцию или техническое перевооружение шахты.
5. Мониторинг массива горных пород проводится для контроля параметров, характеризующих его состояние, и (или) их оценку.
6. Мониторинг массива горных пород включает систематические и (или) непрерывные наблюдения.
Систематические наблюдения включают:
геодинамическое районирование шахтного поля;
выявление на опасных по горным ударам угольных пластах зон сейсмической и геодинамической активности;
проведение работ по отнесению угольных пластов и горных пород к угрожаемым и склонным по ДЯ;
проведение прогноза ДЯ методами и в порядке, предусмотренными настоящей Инструкцией;
проведение на опасных по внезапным выбросам угольных пластах в границах выемочных участков геофизических и горно-геологических исследований.
Непрерывные наблюдения за массивом горных пород проводятся геофизическими методами (далее - геофизический мониторинг).
7. Геофизический мониторинг проводится в соответствии с методикой, разработанной организацией - разработчиком метода.
8. Оценка геодинамического состояния массива горных пород проводится в соответствии с документацией по проведению геофизического мониторинга, разработанной организацией - разработчиком метода.
9. Оценка геодинамического состояния массива горных пород проводится по параметрам, установленным для каждого отрабатываемого шахтопласта.
10. Параметры оценки геодинамического состояния массива горных пород утверждаются техническим руководителем (главным инженером) угледобывающей организации.
Приложение N 19
к Федеральным нормам и правилам
в области промышленной безопасности
"Инструкция по прогнозу
динамических явлений и мониторингу
массива горных пород при отработке
угольных месторождений", утвержденным
приказом Федеральной службы
по экологическому, технологическому
и атомному надзору
от 15 августа 2016 г. N 339
МЕРЫ ПРЕДОТВРАЩЕНИЯ ДИНАМИЧЕСКИХ ЯВЛЕНИЙ
1. На участках угольного пласта категории "опасно", на особовыбросоопасных участках угольного пласта и при приведении целиков угля в неудароопасное состояние применяются меры (одна или несколько) предотвращения ДЯ. Перечень мер, направленных на предотвращение ДЯ, приведен в таблице настоящего приложения.
Таблица
2. При применении локальных мер предотвращения горных ударов участок угольного пласта считается приведенным в неудароопасное состояние, если на всех циклах подвигания забоя подготовительной или очистной выработки на участке защитной зоны и на двух циклах после выхода из участка защитной зоны установлена категория "неопасно".
Приложение N 20
к Федеральным нормам и правилам
в области промышленной безопасности
"Инструкция по прогнозу
динамических явлений и мониторингу
массива горных пород при отработке
угольных месторождений", утвержденным
приказом Федеральной службы
по экологическому, технологическому
и атомному надзору
от 15 августа 2016 г. N 339
ПОРЯДОК И МЕТОДЫ КОНТРОЛЯ ЭФФЕКТИВНОСТИ МЕР ПО ПРЕДОТВРАЩЕНИЮ ДИНАМИЧЕСКИХ ЯВЛЕНИЙ
МЕТОДЫ КОНТРОЛЯ ЭФФЕКТИВНОСТИ МЕР ПО ПРЕДОТВРАЩЕНИЮ ДИНАМИЧЕСКИХ ЯВЛЕНИЙ
1. Методы контроля эффективности мер по предотвращению ДЯ приведены в таблице настоящего приложения.
2. При оценке локальных мер по предотвращению ДЯ "неэффективно" эти же меры применяются повторно или применяются другие меры предотвращения ДЯ.
При невозможности эффективного применения мер по предотвращению ДЯ горная выработка проводится буровзрывным способом, на выбросоопасных угольных пластах - буровзрывным способом в режиме сотрясательного взрывания.
Таблица
КОНТРОЛЬ ЭФФЕКТИВНОСТИ РЕГИОНАЛЬНЫХ МЕР ПО ПРЕДОТВРАЩЕНИЮ ДИНАМИЧЕСКИХ ЯВЛЕНИЙ
3. Контроль эффективности региональных мер по предотвращению ДЯ проводится методами прогноза ДЯ:
региональных мер по предотвращению внезапных выбросов - методами прогноза внезапных выбросов, приведенными в приложении N 13 к настоящей Инструкции, и (или) по влажности потенциально опасных угольных пачек;
региональных мер по предотвращению горных ударов - методами прогноза горных ударов, приведенными в приложениях N 8 и 11 к настоящей Инструкции.
КОНТРОЛЬ ЭФФЕКТИВНОСТИ МЕР ПО ПРЕДОТВРАЩЕНИЮ ВНЕЗАПНЫХ ВЫБРОСОВ ПРИ ВСКРЫТИИ УГОЛЬНЫХ ПЛАСТОВ
4. Контроль эффективности мер по предотвращению внезапных выбросов при вскрытии угольных пластов проводится методами прогноза ДЯ, приведенными в приложении N 7 к настоящей Инструкции.
КОНТРОЛЬ ЭФФЕКТИВНОСТИ ЛОКАЛЬНЫХ МЕР ПО ПРЕДОТВРАЩЕНИЮ ДИНАМИЧЕСКИХ ЯВЛЕНИЙ ПРИ ВЕДЕНИИ ГОРНЫХ РАБОТ В ОЧИСТНЫХ И ПОДГОТОВИТЕЛЬНЫХ ЗАБОЯХ
5. Контроль эффективности локальных мер по предотвращению ДЯ при ведении горных работ в очистных и подготовительных забоях проводится непосредственно после выполнения мер по предотвращению ДЯ. Контроль эффективности применения гидрорыхления проводится не ранее чем через 30 минут после его окончания.
6. Контроль эффективности локальных мер по предотвращению внезапных выбросов проводится следующими методами прогноза:
по начальной скорости газовыделения ;
по начальной скорости газовыделения и выходу буровой мелочи.
В случае превышения начальной скорости газовыделения на 4 л/мин. на шахтах Кузнецкого бассейна контроль эффективности проводится в порядке, приведенном в приложении N 23 к настоящей Инструкции.
Контроль эффективности локальных мер по предотвращению горных ударов проводится методом прогноза удароопасности по выходу буровой мелочи.
7. Эффективность применения локальных мер по предотвращению внезапных выбросов контролируется через интервал, равный длине скважины , приведенной в пункте 10 приложения N 13 к настоящей Инструкции, уменьшенной на 1,5 м.
Эффективность применения локальных мер по предотвращению горных ударов контролируется через интервал, равный длине скважин, уменьшенной на 0,7n на участке угольного пласта, на котором была установлена категория "опасно", и на прилегающих к нему участках угольного пласта протяженностью 0,2l.
КОНТРОЛЬ ЭФФЕКТИВНОСТИ УВЛАЖНЕНИЯ УГОЛЬНОГО ПЛАСТА
8. Контроль эффективности увлажнения угольного пласта проводится по влажности потенциально опасных по внезапным выбросам угольных пачек. Пробы отбираются методом отбора пластовых проб. В очистном забое пробы отбираются не менее чем через 10 м. Первый отбор проб проводится после завершения первого цикла выемки угля, следующего за выполнением работ по его увлажнению. Последующие пробы отбираются на интервале подвигания забоя, не превышающем расстояние между скважинами для увлажнения. Влажность проб угля определяется в срок не более одних суток после отбора проб. Увлажнение угольного пласта считается эффективным в случае, если влажность угля во всех отобранных пробах не менее 6%.
КОНТРОЛЬ ЭФФЕКТИВНОСТИ МЕР ПО ПРЕДОТВРАЩЕНИЮ ДИНАМИЧЕСКИХ ЯВЛЕНИЙ ПО ПАРАМЕТРАМ ИСКУССТВЕННОГО АКУСТИЧЕСКОГО СИГНАЛА
КОНТРОЛЬ ЭФФЕКТИВНОСТИ БУРЕНИЯ РАЗГРУЗОЧНЫХ СКВАЖИН
9. Контроль эффективности бурения разгрузочных скважин по параметрам искусственного акустического сигнала, создаваемого в массиве горных пород воздействием бурового инструмента, проводится в процессе бурения разгрузочных скважин.
10. Геофон устанавливается на расстоянии 5 - 10 м от устья буримой скважины.
11. Искусственный акустический сигнал обрабатывается в каждом интервале бурения скважины, равном длине буровых штанг.
Регистрация и обработка акустического сигнала выполняются в соответствии с приложением N 13 к настоящей Инструкции.
12. Контроль эффективности бурения разгрузочных скважин проводится по прогностическому параметру , определяемому по формуле:
, (1)
где: - максимальная энергия искусственного акустического сигнала, зарегистрированная при бурении первых 3 - 4 интервалов скважины;
- энергия искусственного акустического сигнала, зарегистрированная при бурении i-го интервала скважины.
Для скважин длиной < 20 м пороговое значение параметра
= 3, для скважин длиной
20 м пороговое значение
= 3,5.
Бурение разгрузочных скважин считается эффективным, если все скважины пробурены на длину, указанную в проектной документации, при бурении каждой скважины параметр не превысил порогового значения и его среднее значение, рассчитанное по результатам бурения всех скважин, не превысило 2.
КОНТРОЛЬ ЭФФЕКТИВНОСТИ ГИДРОРЫХЛЕНИЯ УГОЛЬНОГО ПЛАСТА ПО ПАРАМЕТРАМ ИСКУССТВЕННОГО АКУСТИЧЕСКОГО СИГНАЛА
13. Контроль эффективности гидрорыхления угольного пласта по параметрам искусственного акустического сигнала проводится в процессе нагнетания жидкости в угольный пласт. Для регистрации акустического сигнала геофон устанавливается на расстоянии 5 - 10 м от устья скважины, через которую жидкость нагнетается в угольный пласт.
14. Искусственный акустический сигнал, возникающий при воздействии жидкости на угольный пласт под большим давлением, обрабатывается в равных временных интервалах, в течение которых жидкость нагнетается в угольный пласт.
Регистрация и обработка акустического сигнала выполняются в соответствии с приложением N 13 к настоящей Инструкции.
15. Прогностическим параметром служит низкочастотная составляющая спектра искусственного акустического сигнала , у.е.
Гидрорыхление считается эффективным, если в течение времени нагнетания жидкости в угольный пласт после достижения максимального значения снизилась более чем на 5% и давление жидкости в гидросистеме снизилось более чем на 30% от максимального.
КОНТРОЛЬ ЭФФЕКТИВНОСТИ МЕР ПО ПРЕДОТВРАЩЕНИЮ ВНЕЗАПНЫХ ВЫБРОСОВ ПО ДИНАМИКЕ НАЧАЛЬНОЙ СКОРОСТИ ГАЗОВЫДЕЛЕНИЯ
16. Контроль эффективности мер по предотвращению внезапных выбросов проводится по динамике начальной скорости газовыделения из скважины длиной до 4 м, которая бурится на участке угольного пласта, находящемся между скважинами, пробуренными в качестве локальных мер предотвращения ДЯ.
Скважины бурятся поинтервально: на первом интервале - на (1 ± 0,05) м, всех последующих - (0,5 ± 0,05) м. На каждом интервале бурения скважин проводится измерение начальной скорости газовыделения в соответствии с приложением N 23 к настоящей Инструкции.
За начальную скорость газовыделения принимается максимальная скорость газовыделения, замеренная не позднее чем через 2 минуты после окончания бурения. Измерения
прекращаются на интервале, на котором она снизилась не менее чем на 10% по сравнению с
, измеренной на предыдущем интервале.
17. Меры по предотвращению внезапных выбросов считаются эффективными, если безопасная глубина выемки угля , м, превышает подвигание забоя за цикл b, м.
Безопасная глубина выемки угля определяется по формуле:
, (2)
где - зона разгрузки призабойной части угольного пласта, м.
18. Если при бурении скважины установлено снижение на 10%, то
принимается равной расстоянию от устья скважины до интервала, на котором установлено снижение
, если снижения
не установлено, то
= 4,5 м, если на всех интервалах скважины
< 0,8 л/мин., то
= 5,0 м.
Приложение N 21
к Федеральным нормам и правилам
в области промышленной безопасности
"Инструкция по прогнозу
динамических явлений и мониторингу
массива горных пород при отработке
угольных месторождений", утвержденным
приказом Федеральной службы
по экологическому, технологическому
и атомному надзору
от 15 августа 2016 г. N 339
ПОРЯДОК ОПРЕДЕЛЕНИЯ ВЫХОДА БУРОВОЙ МЕЛОЧИ
1. Скважины для определения выхода буровой мелочи бурятся по наиболее прочной пачке угольного пласта.
2. Выход буровой мелочи определяется поинтервально с каждого метра бурения контрольной скважины.
3. Выход буровой мелочи определяется мерным сосудом, шкала которого позволяет определять объем буровой мелочи с точностью не менее ± 0,1 л, или ее взвешиванием с точностью не менее ± 0,1 кг.
Приложение N 22
к Федеральным нормам и правилам
в области промышленной безопасности
"Инструкция по прогнозу
динамических явлений и мониторингу
массива горных пород при отработке
угольных месторождений", утвержденным
приказом Федеральной службы
по экологическому, технологическому
и атомному надзору
от 15 августа 2016 г. N 339
ОПРЕДЕЛЕНИЕ ПРОЧНОСТИ И КОЭФФИЦИЕНТА КРЕПОСТИ УГЛЯ ПО ПРОТОДЬЯКОНОВУ
ПОРЯДОК ОПРЕДЕЛЕНИЯ ПРОЧНОСТИ УГЛЯ
1. Прочность угля , у.е., определяется техническим устройством, в котором энергия пружинного механизма используется для динамического внедрения стального конуса в уголь (далее - прочностномер). Пружинный механизм прочностномера тарируется с периодичностью не более одного года.
2. Порядок определения прочности угля:
угольный пласт очищается от отслоившегося угля;
выполняются не менее пяти внедрений стального корпуса в уголь. Перед каждым внедрением прочностномер плотно прижимается к углю. Место последующего внедрения смещается по угольной пачке или пласту от места предыдущего не менее чем на 10 см;
после каждого внедрения по шкале прочностномера измеряется глубина внедрения стального конуса в уголь , мм, и рассчитывается прочность угля
по формуле:
. (1)
По результатам данных определений рассчитывается средняя прочность угля , у.е., в угольной пачке и (или) угольном пласте.
3. Средняя прочность угля рассчитывается по формуле:
, (2)
где - количество внедрений стального конуса прочностномера в угольный пласт.
4. Прочность угольного пласта, состоящего из нескольких угольных пачек, рассчитывается по формуле:
, (3)
где: - средняя прочность угля i-ой угольной пачки, у.е.;
- мощность i-ой угольной пачки, м.
ПОРЯДОК ОПРЕДЕЛЕНИЯ КОЭФФИЦИЕНТА КРЕПОСТИ УГЛЯ ПО ПРОТОДЬЯКОНОВУ
5. Коэффициент крепости угля по Протодьяконову , у.е., в лабораторных условиях определяется методом, основанном на дроблении проб угля в стандартных условиях (метод определения коэффициента крепости по Протодьяконову), в горных выработках - техническим устройством, принцип работы которого основан на испытании угля на сопротивление резанию.
По результатам определений рассчитывается средний коэффициент крепости угля по Протодьяконову , у.е., в угольной пачке или угольном пласте.
6. Средний коэффициент крепости угля по Протодьяконову вычисляется по формуле:
. (4)
7. Коэффициент крепости по Протодьяконову угольного пласта, состоящего из нескольких угольных пачек, вычисляется по формуле:
, (5)
где - средний коэффициент крепости угля по Протодьяконову i-ой угольной пачки, у.е.
Приложение N 23
к Федеральным нормам и правилам
в области промышленной безопасности
"Инструкция по прогнозу
динамических явлений и мониторингу
массива горных пород при отработке
угольных месторождений", утвержденным
приказом Федеральной службы
по экологическому, технологическому
и атомному надзору
от 15 августа 2016 г. N 339
ПОРЯДОК ОПРЕДЕЛЕНИЯ НАЧАЛЬНОЙ СКОРОСТИ ГАЗОВЫДЕЛЕНИЯ
1. Для определения начальной скорости газовыделения , л/мин., по угольному пласту бурится скважина диаметром 42 - 44 мм.
2. Скважина бурится по направлению движения забоя горной выработки.
3. Скважина бурится поинтервально: на первом интервале - на (1 ± 0,05) м, на всех последующих - (1 ± 0,05) м. Начальная скорость газовыделения определяется после окончания бурения второго и всех последующих интервалов.
4. Порядок определения начальной скорости газовыделения :
после окончания бурения каждого интервала из скважины извлекается буровой инструмент и в скважину устанавливается техническое устройство, герметизирующее скважину с каналом для отвода из скважины газа;
проверяется качество герметизации по манометру давления в камере герметизатора, которое должно быть не менее 0,1 МПа. При отсутствии манометра качество установки герметизатора контролируется по сопротивлению извлечения его из скважины;
к каналу для отвода газа герметизатора подключается техническое устройство для измерения скорости газа, истекающего из скважины.
5. Скважина герметизируется на расстоянии от забоя скважины:
для Донецкого угольного бассейна - (0,5 ± 0,05) м;
для других угольных бассейнов - (1,0 ± 0,05) м.
При определении динамики начальной скорости газовыделения герметизатор устанавливается на расстоянии (0,2 ± 0,05) м от забоя скважины.
6. За начальную скорость газовыделения принимается максимальная замеренная в течение не более 2 минут после окончания бурения скважины скорость газа, истекающего из скважины.
7. При текущем прогнозе по начальной скорости газовыделения и выходу буровой мелочи скважины и при контроле эффективности применения локальных мер по предотвращению внезапных выбросов на шахтах Кузнецкого бассейна в случае, когда в течение 2 минут начальная скорость газовыделения
превысила 4 л/мин., начальная скорость газовыделения
измеряется еще на протяжении 5 минут и определяется начальная скорость газовыделения
, л/мин., не позднее чем через 7 минут после окончания бурения очередного интервала.
В вышеуказанном случае выбросоопасность угольного пласта определяется по показателю, характеризующему изменение начальной скорости газовыделения , доля ед.
Значение рассчитывается по формуле:
.
Участок угольного пласта в забое горной выработки относится к категории "опасно" при
0,65.
8. Для измерения начальных скоростей газовыделения и
применяются средства измерений утвержденного типа, прошедшие поверку.
Приложение N 24
к Федеральным нормам и правилам
в области промышленной безопасности
"Инструкция по прогнозу
динамических явлений и мониторингу
массива горных пород при отработке
угольных месторождений", утвержденным
приказом Федеральной службы
по экологическому, технологическому
и атомному надзору
от 15 августа 2016 г. N 339
ПОРЯДОК ПРОВЕДЕНИЯ РАЗВЕДОЧНЫХ И КОНТРОЛЬНЫХ НАБЛЮДЕНИЙ НА СКЛОННЫХ К ВНЕЗАПНЫМ ВЫБРОСАМ УГЛЯ И ГАЗА УГОЛЬНЫХ ПЛАСТАХ
ПОРЯДОК ПРОВЕДЕНИЯ РАЗВЕДОЧНЫХ НАБЛЮДЕНИЙ
1. Разведочные наблюдения на склонных к внезапным выбросам угля и газа угольных пластах (далее - разведочные наблюдения) проводятся в целях установления выбросоопасности угольного пласта в забоях подготовительных выработок.
2. Разведочные наблюдения проводятся после вскрытия угольного пласта при засечке горной выработки при локальном и текущем прогнозах выбросоопасности.
3. Разведочные наблюдения в подготовительных выработках, в которых проводится текущий прогноз, должны проводиться не более чем через 300 м подвигания забоя и не менее чем за 25 м по нормали к геологическому нарушению.
4. При проведении разведочных наблюдений определяются:
начальная скорость газовыделения , л/мин.;
средняя прочность угля , у.е., и (или) средний коэффициент крепости угля по Протодьяконову
, у.е.;
мощность угольных пачек пласта , м, мощностью более 0,1 м или мощность угольного пласта mуг.пл, м.
Начальная скорость газовыделения и средняя прочность угля
определяются для всех угольных пачек мощностью более 0,03 м.
Начальная скорость газовыделения определяется в порядке, приведенном в приложении N 23 к настоящей Инструкции.
Средняя прочность и средний коэффициент крепости угля по Протодьяконову
определяется по каждой выявленной пачке в порядке, приведенном в приложении N 22 к настоящей Инструкции.
Мощность угольных пачек и мощность пласта mуг.плопределяются по нормали к напластованию с точностью до 0,01 м.
5. Параметры разведочных наблюдений ,
,
,
мощностью более 0,1 м или
определяются в пунктах наблюдений, расположенных в забое подготовительной выработки на расстоянии 0,5 - 1 м от ее борта.
6. В забое подготовительной выработки разведочные наблюдения проводятся не менее чем в пяти циклах проведения горной выработки и не более чем через 2 м подвигания ее забоя.
7. При первом определении параметров разведочных наблюдений проводится геологическое обследование угольного пласта. При геологическом обследовании угольного пласта выявляются признаки геологических нарушений, определяется тектоническая структура угольного пласта, выделяются отдельные его пачки и оценивается степень их выбросоопасности.
Тектоническая структура угольного пласта определяется в соответствии с таблицей настоящего приложения.
Таблица
При установлении выбросоопасности пачек угольного пласта учитывается ее возрастание при изменении тектонической структуры угля от II типа нарушенности к V типу. Выбросоопасность угольного пласта оценивается по максимальной выбросоопасности выделенных пачек.
Выбросоопасными угольными пачками считаются отдельные угольные пачки или совокупность смежных угольных пачек, у которых средняя прочность менее или равна 75 у.е. и общая максимальная мощность не менее 0,2 м. Для шахт Печорского угольного бассейна общая максимальная мощность выбросоопасных угольных пачек принимается не менее 0,1 м.
8. По результатам разведочных наблюдений, выполненных на всех циклах проведения горной выработки, методами математической статистики вычисляются следующие показатели, по которым оценивается выбросоопасное состояние угольного пласта в подготовительном или очистном забое:
максимальная скорость газовыделения , л/мин.;
средняя прочность угля , у.е., или средний коэффициент крепости угля по Протодьяконову
, у.е., рассчитанные по результатам всех циклов наблюдений;
средняя мощность угольного пласта , м;
коэффициент изменчивости прочности угля , %, или коэффициент изменчивости коэффициента крепости угля по Протодьяконову
, %;
коэффициент изменчивости мощности пласта , %.
9. Средняя прочность угля по выполненным определениям вычисляется по формуле:
где - средняя прочность угля при i-м определении.
10. Средний коэффициент крепости угля по Протодьяконову вычисляется по формуле:
где - средний коэффициент крепости угля по Протодьяконову при i-м определении.
11. Средняя мощность угольного пласта вычисляется по формуле:
12. Коэффициент изменчивости прочности угля , %, вычисляется по формуле:
, (4)
где - среднеквадратическое отклонение прочности угля
, у.е.
13. Значение вычисляется по формуле:
14. Коэффициент изменчивости коэффициента крепости угля по Протодьяконову , %, вычисляется по формуле:
, (6)
где - среднеквадратическое отклонение коэффициента крепости угля по Протодьяконову
, у.е.
15. Значение вычисляется по формуле:
16. Коэффициент изменчивости мощности угольного пласта , %, вычисляется по формуле:
, (8)
где - среднеквадратическое отклонение мощности угольного пласта
, м.
17. Значение вычисляется по формуле:
18. Угольный пласт находится в категории "неопасно", если показатели, по которым оценивается выбросоопасное состояние забоя, удовлетворяют следующим условиям: не более 20%,
не более 10%,
не менее 0,6 у.е. или
не менее 60 у.е. и
<
.
При невыполнении хотя бы одного из вышеуказанных условий участок угольного пласта относится к категории "опасно".
ПОРЯДОК ПРОВЕДЕНИЯ КОНТРОЛЬНЫХ НАБЛЮДЕНИЙ
19. Контрольные наблюдения на склонных к внезапным выбросам угля и газа угольных пластах (далее - контрольные наблюдения) проводятся в целях установления факта, что забой подготовительной выработки или забой очистной выработки вышел из участка угольного пласта, для которого была установлена категория "опасно".
20. При проведении контрольных наблюдений определяются:
начальная скорость газовыделения ;
средний коэффициент крепости угля по Протодьяконову ;
угольные пачки мощностью более 0,1 м или мощность угольного пласта
, м.
21. Выбросоопасное состояние угольного пласта в подготовительном или очистном забое определяется в пунктах наблюдений, расположенных:
в подготовительной выработке в забое на расстоянии 0,5 - 1 м от борта горной выработки;
в очистной выработке не менее чем в пяти пунктах, расположенных равномерно по длине очистной выработки.
Контрольные наблюдения проводятся:
в забое подготовительной горной выработки не менее чем в пяти циклах ее проведения и не более чем через 2 м подвигания забоя;
в очистной выработке не менее чем в пяти пунктах и не менее чем в двух циклах подвигания очистного забоя.
В нишах очистных забоев пункты наблюдений располагаются на расстоянии 0,5 - 1,0 м от кутка ниши.
22. После каждого определения ,
или
вычисляются показатель, характеризующий изменение коэффициента крепости угля по Протодьяконову
, %, показатель, характеризующий изменение мощности пласта
, %, и показатель, характеризующий изменение мощностей пачек угольного пласта мощностью более 0,1 м
, %.
23. Значение вычисляется по формуле:
, (10)
где: - средний коэффициент крепости угля по Протодьяконову, у.е.;
- средний коэффициент крепости угля по Протодьяконову на участке угольного пласта, на котором проводятся контрольные наблюдения.
24. Значение вычисляется по формуле:
, (11)
где: - средняя мощность угольного пласта на участках категории "неопасно";
- средняя мощность угольного пласта на участке, на котором проводятся контрольные наблюдения.
25. Участки подготовительного или очистного забоя горной выработки не относятся к категории "опасно" при условии < 15%,
20% или
20% и
< gкр.
26. Результаты разведочных и контрольных наблюдений заносятся в журнал регистрации результатов разведочных и (или) контрольных наблюдений, оформленный по рекомендуемому образцу, приведенному в приложении N 25 к настоящей Инструкции.
При установлении по результатам разведочных и (или) контрольных наблюдений неопасного по внезапным выбросам угля и газа участка угольного пласта составляется акт установления по результатам разведочных и (или) контрольных наблюдений неопасного по внезапным выбросам угля и газа участка угольного пласта, оформленный по рекомендуемому образцу, приведенному в приложении N 25 к настоящей Инструкции.
Приложение N 25
к Федеральным нормам и правилам
в области промышленной безопасности
"Инструкция по прогнозу
динамических явлений и мониторингу
массива горных пород при отработке
угольных месторождений", утвержденным
приказом Федеральной службы
по экологическому, технологическому
и атомному надзору
от 15 августа 2016 г. N 339
АКТ ОПРЕДЕЛЕНИЯ ВЫБРОСООПАСНОСТИ ПЛАСТА В МЕСТЕ ВСКРЫТИЯ УГОЛЬНОГО ПЛАСТА
Мы, нижеподписавшиеся, начальник участка аэрологической безопасности ______________________, начальник технологического участка ________________ и руководитель службы прогноза ДЯ ________________, составили настоящий акт о том, что "__" _________________ 20__ г. в месте вскрытия пласта _____________________________________________ горной выработки ___________________________________________________________________ в целях определения выбросоопасности вскрываемого пласта был проведен прогноз выбросоопасности и получены следующие результаты:
Пласт ______________________________ в месте вскрытия относится к _________ (опасным или неопасным) по внезапным выбросам угля и газа.
Пласт ______________________________ следует вскрывать ____________________ (с применением или без применения) мер предотвращения внезапных выбросов угля и газа.
Начальник участка аэрологической безопасности ___________________ (подпись)
Начальник технологического участка ______________________________ (подпись)
Руководитель службы прогноза ДЯ ________________________________ (подпись)
(Рекомендуемый образец)
ЖУРНАЛ РЕГИСТРАЦИИ РЕЗУЛЬТАТОВ ПРОГНОЗА УДАРООПАСНОСТИ УЧАСТКОВ УГОЛЬНОГО ПЛАСТА И КОНТРОЛЯ ЭФФЕКТИВНОСТИ МЕР ПО ПРЕДОТВРАЩЕНИЮ ГОРНЫХ УДАРОВ ПО ВЫХОДУ БУРОВОЙ МЕЛОЧИ ПРИ БУРЕНИИ СКВАЖИН
Угледобывающая организация ___________________________
Выработка ___________, пласт ____________, горизонт _________
Примечание. Один раз в сутки с данными, занесенными в настоящий журнал за истекшие сутки, ознакамливается начальник участка аэрологической безопасности.
(Рекомендуемый образец)
ЖУРНАЛ РЕГИСТРАЦИИ РЕЗУЛЬТАТОВ ПРОГНОЗА УДАРООПАСНОСТИ УЧАСТКОВ УГОЛЬНОГО ПЛАСТА И КОНТРОЛЯ ЭФФЕКТИВНОСТИ МЕР ПО ПРЕДОТВРАЩЕНИЮ ГОРНЫХ УДАРОВ ПО ИЗМЕНЕНИЮ ЕСТЕСТВЕННОЙ ВЛАГИ УГЛЯ
Угледобывающая организация ___________________________
Выработка ___________, пласт ____________, горизонт _________
Примечание. Один раз в сутки с данными, занесенными в настоящий журнал за истекшие сутки, ознакамливается начальник участка аэрологической безопасности.
(Рекомендуемый образец)
ЖУРНАЛ РЕГИСТРАЦИИ РЕЗУЛЬТАТОВ ОПРЕДЕЛЕНИЯ ВЫБРОСООПАСНОСТИ ПО ЛОКАЛЬНОМУ ПРОГНОЗУ
Угледобывающая организация ___________________________
Выработка ___________, пласт ____________, горизонт _________
Примечание. Один раз в сутки с данными, занесенными в настоящий журнал за истекшие сутки, ознакамливается начальник участка аэрологической безопасности.
(Рекомендуемый образец)
ЖУРНАЛ РЕГИСТРАЦИИ РЕЗУЛЬТАТОВ ПРОГНОЗА ВЫБРОСООПАСНОСТИ ПО НАЧАЛЬНОЙ СКОРОСТИ ГАЗОВЫДЕЛЕНИЯ 
Угледобывающая организация ___________________________
Выработка ___________, пласт ____________, горизонт _________
Примечание. Один раз в сутки с данными, занесенными в настоящий журнал за истекшие сутки, ознакамливается начальник участка аэрологической безопасности.
(Рекомендуемый образец)
ЖУРНАЛ РЕГИСТРАЦИИ РЕЗУЛЬТАТОВ ТЕКУЩЕГО ПРОГНОЗА ПО НАЧАЛЬНОЙ СКОРОСТИ ГАЗОВЫДЕЛЕНИЯ
И ВЫХОДУ БУРОВОЙ МЕЛОЧИ
Угледобывающая организация ___________________________
Выработка ___________, пласт ____________, горизонт _________
Примечание. Один раз в сутки с данными, занесенными в настоящий журнал за истекшие сутки, ознакамливается начальник участка аэрологической безопасности.
(Рекомендуемый образец)
ЖУРНАЛ РЕГИСТРАЦИИ АКТИВНОСТИ АКУСТИЧЕСКОЙ ЭМИССИИ И РАСЧЕТА ПОРОГОВЫХ ЗНАЧЕНИЙ ПРОГНОСТИЧЕСКИХ ПАРАМЕТРОВ
Угледобывающая организация ___________________________
Выработка ___________, пласт ____________, горизонт _________
Примечание. Один раз в сутки с данными, занесенными в настоящий журнал за истекшие сутки, ознакамливается начальник участка аэрологической безопасности.
(Рекомендуемый образец)
ЖУРНАЛ РЕГИСТРАЦИИ РЕЗУЛЬТАТОВ ПРОГНОЗА ПО ПАРАМЕТРАМ ИСКУССТВЕННОГО АКУСТИЧЕСКОГО СИГНАЛА
Угледобывающая организация ___________________________
Выработка ___________, пласт ____________, горизонт _________
Примечание. Один раз в сутки с данными, занесенными в настоящий журнал за истекшие сутки, ознакамливается начальник участка аэрологической безопасности.
<*> Заполняется при прогнозе ДЯ в очистных забоях и при результате прогноза "опасно".
(Рекомендуемый образец)
ЖУРНАЛ АВТОМАТИЗИРОВАННОГО ПРОГНОЗА ВЫБРОСООПАСНОСТИ СИСТЕМАМИ АЭРОГАЗОВОГО КОНТРОЛЯ
Пласт ______, горизонт ________, участок ________, выработка _________
Исходные данные:
площадь сечения забоя в проходке __________, м2;
время реакции угольного пласта на производство в забое взрывных работ , мин (
120 мин).
ЖУРНАЛ РЕГИСТРАЦИИ РЕЗУЛЬТАТОВ РАЗВЕДОЧНЫХ И (ИЛИ) КОНТРОЛЬНЫХ НАБЛЮДЕНИЙ
Угледобывающая организация _____________________
Выработка _______________, пласт _____________, горизонт _______________
Примечание. Один раз в сутки с данными, занесенными в настоящий журнал за истекшие сутки, ознакамливается начальник участка аэрологической безопасности.
(Рекомендуемый образец)
АКТ УСТАНОВЛЕНИЯ ПО РЕЗУЛЬТАТАМ РАЗВЕДОЧНЫХ И (ИЛИ) КОНТРОЛЬНЫХ НАБЛЮДЕНИЙ НЕОПАСНОГО ПО ВНЕЗАПНЫМ ВЫБРОСАМ УГЛЯ И ГАЗА УЧАСТКА УГОЛЬНОГО ПЛАСТА
Наименование выработки ____________________________________
Угольный пласт ________________, горизонт ____________________
Мы, нижеподписавшиеся, начальник участка аэрологической безопасности __________________, начальник технологического участка _______________ и руководитель службы прогноза ДЯ ______________, составили настоящий акт о том, что в период с "__" __________ 20__ г. по "__" __________ 20__ г. на участке угольного пласта ____________________________ в целях определения выбросоопасности были проведены разведочные и (или) контрольные наблюдения.
Результаты разведочных и (или) контрольных наблюдений зарегистрированы на _____ стр. в журнале регистрации результатов разведочных и (или) контрольных наблюдений.
По результатам разведочных и (или) контрольных наблюдений рассчитаны следующие показатели:
Участок угольного пласта ___________________________________ по результатам разведочных и (или) контрольных наблюдений, выполненных в горной выработке _____________________________________, относится к категории "неопасный" по внезапным выбросам угля и газа.
Начальник участка аэрологической безопасности ___________________ (подпись)
Начальник технологического участка ______________________________ (подпись)
Руководитель службы прогноза ДЯ _________________________________ (подпись)