Приказ Минсельхоза РФ от 31.01.2017 N 45

"Об утверждении документов, предусмотренных Правилами предоставления и распределения субсидий из федерального бюджета бюджетам субъектов Российской Федерации на содействие достижению целевых показателей региональных программ развития агропромышленного комплекса, утвержденными постановлением Правительства Российской Федерации от 30 декабря 2016 г. N 1556"
Редакция от 31.01.2017 — Документ утратил силу, см. «Приказ Минсельхоза РФ от 27.07.2017 N 373»

Зарегистрировано в Минюсте России 20 февраля 2017 г. N 45699


МИНИСТЕРСТВО СЕЛЬСКОГО ХОЗЯЙСТВА РОССИЙСКОЙ ФЕДЕРАЦИИ

ПРИКАЗ
от 31 января 2017 г. N 45

ОБ УТВЕРЖДЕНИИ ДОКУМЕНТОВ, ПРЕДУСМОТРЕННЫХ ПРАВИЛАМИ ПРЕДОСТАВЛЕНИЯ И РАСПРЕДЕЛЕНИЯ СУБСИДИЙ ИЗ ФЕДЕРАЛЬНОГО БЮДЖЕТА БЮДЖЕТАМ СУБЪЕКТОВ РОССИЙСКОЙ ФЕДЕРАЦИИ НА СОДЕЙСТВИЕ ДОСТИЖЕНИЮ ЦЕЛЕВЫХ ПОКАЗАТЕЛЕЙ РЕГИОНАЛЬНЫХ ПРОГРАММ РАЗВИТИЯ АГРОПРОМЫШЛЕННОГО КОМПЛЕКСА, УТВЕРЖДЕННЫМИ ПОСТАНОВЛЕНИЕМ ПРАВИТЕЛЬСТВА РОССИЙСКОЙ ФЕДЕРАЦИИ ОТ 30 ДЕКАБРЯ 2016 Г. N 1556

В соответствии с Правилами предоставления и распределения субсидий из федерального бюджета бюджетам субъектов Российской Федерации на содействие достижению целевых показателей региональных программ развития агропромышленного комплекса, утвержденными постановлением Правительства Российской Федерации от 30 декабря 2016 г. N 1556 "О предоставлении и распределении субсидий из федерального бюджета бюджетам субъектов Российской Федерации на содействие достижению целевых показателей региональных программ развития агропромышленного комплекса" (Собрание законодательства Российской Федерации, 2017, N 2, ст. 384; официальный интернет-портал правовой информации http://www.pravo.gov.ru, 23 января 2017 г., N 0001201701230046), приказываю:

1. Утвердить:

методику определения приоритетных направлений развития сельского хозяйства субъектов Российской Федерации согласно приложению N 1 к настоящему приказу;

методику оценки эффективности осуществления расходов бюджетов субъектов Российской Федерации, источником финансового обеспечения которых является субсидия, согласно приложению N 2 к настоящему приказу;

перечень сельскохозяйственных культур согласно приложению N 3 к настоящему приказу;

коэффициенты для перевода племенного поголовья сельскохозяйственных животных в условные головы согласно приложению N 4 к настоящему приказу;

форму отчета о расходах бюджета субъекта Российской Федерации (местного бюджета), источником финансового обеспечения которых является субсидия, согласно приложению N 5 к настоящему приказу;

форму отчета о достижении значений показателей результативности использования субсидии согласно приложению N 6 к настоящему приказу;

форму отчета об исполнении условий предоставления субсидий согласно приложению N 7 к настоящему приказу;

перечень оборудования и техники для производственных объектов согласно приложению N 8 к настоящему приказу;

перечень специализированного транспорта, фургонов, прицепов, полуприцепов, вагонов, контейнеров для транспортировки, обеспечения сохранности при перевозке и реализации сельскохозяйственной продукции и продуктов ее переработки согласно приложению N 9 к настоящему приказу.

2. Установить, что выписка из закона субъекта Российской Федерации о бюджете субъекта Российской Федерации и (или) из нормативных правовых актов муниципальных образований о местных бюджетах представляется уполномоченным органом в Министерство сельского хозяйства Российской Федерации в срок до заключения соглашения о предоставлении субсидий.

3. Контроль за выполнением настоящего приказа возложить на заместителя Министра сельского хозяйства Российской Федерации И.Р. Кузина.

4. Настоящий приказ вступает в силу с даты официального опубликования.

Министр
А.Н. ТКАЧЕВ

Приложение N 1
к приказу Минсельхоза России
от 31 января 2017 г. N 45

МЕТОДИКА
ОПРЕДЕЛЕНИЯ ПРИОРИТЕТНЫХ НАПРАВЛЕНИЙ РАЗВИТИЯ СЕЛЬСКОГО ХОЗЯЙСТВА СУБЪЕКТОВ РОССИЙСКОЙ ФЕДЕРАЦИИ

1. Методика определения приоритетных направлений развития сельского хозяйства субъектов Российской Федерации (далее - Методика) разработана в соответствии с пунктом 7 Правил предоставления и распределения субсидий из федерального бюджета бюджетам субъектов Российской Федерации на содействие достижению целевых показателей региональных программ развития агропромышленного комплекса, утвержденных постановлением Правительства Российской Федерации от 30 декабря 2016 г. N 1556 "О предоставлении и распределении субсидий из федерального бюджета бюджетам субъектов Российской Федерации на содействие достижению целевых показателей региональных программ развития агропромышленного комплекса" (Собрание законодательства Российской Федерации, 2017, N 2, ст. 384, N 5, ст. 397) (далее - Правила, субсидии).

2. Методика предусматривает механизм определения приоритетных направлений развития сельского хозяйства субъектов Российской Федерации.

3. Определение приоритетных направлений развития сельского хозяйства субъектов Российской Федерации осуществляется исходя из необходимости обеспечения продовольственной независимости Российской Федерации в соответствии с Доктриной продовольственной безопасности Российской Федерации, утвержденной Указом Президента Российской Федерации от 30 января 2010 г. N 120 (Собрание законодательства Российской Федерации, 2010, N 5, ст. 502), а также стратегических национальных приоритетов в части обеспечения продовольственной безопасности, обозначенных в Стратегии национальной безопасности Российской Федерации, утвержденной Указом Президента Российской Федерации от 31 декабря 2015 г. N 683 (Собрание законодательства Российской Федерации, 2016, N 1, ст. 212).

4. К направлениям развития сельского хозяйства субъектов Российской Федерации, обеспечивающим достижение значений показателей результативности использования субсидий, установленных пунктом 29 Правил (далее - перечень направлений), относятся:

а) в рамках обеспечения продовольственной независимости Российской Федерации:

производство зерновых и зернобобовых культур;

производство сахарной свеклы (фабричной);

производство картофеля;

производство скота и птицы на убой (в живом весе);

развитие племенного животноводства;

развитие элитного семеноводства;

б) в рамках сохранения и развития традиционных для субъекта Российской Федерации видов производства сельскохозяйственной продукции:

поддержка производства льноволокна и пеньковолокна;

поддержка производства шерсти, полученной от тонкорунных и полутонкорунных пород овец;

поддержка мясного скотоводства;

поддержка северного оленеводства и мараловодства;

поддержка мясного табунного коневодства;

поддержка овцеводства и козоводства;

поддержка производства кормовых культур в районах Крайнего Севера и приравненных к ним местностях;

улучшение состояния низкопродуктивной пашни (чистых паров);

поддержка многолетних насаждений;

поддержка виноградарства;

в) страхование рисков в растениеводстве и животноводстве:

страхование в области растениеводства;

страхование в области животноводства;

г) развитие малых форм хозяйствования:

поддержка фермерских хозяйств;

поддержка сельскохозяйственных потребительских кооперативов для развития материально-технической базы.

5. Определение Минсельхозом России приоритетных направлений развития сельского хозяйства для каждого субъекта Российской Федерации из перечня направлений, установленного пунктом 4 настоящей Методики (далее - приоритетные направления), осуществляется на основании следующих критериев:

а) для направления по обеспечению продовольственной независимости Российской Федерации:

доля субъекта Российской Федерации в общем объеме производства продукции сельского хозяйства в целом по Российской Федерации (для производства зерновых и зернобобовых культур, свеклы, картофеля, скота и птицы на убой) превышает среднее значение по всем субъектам Российской Федерации за три года, предшествующих текущему, при этом средний уровень рентабельности производства продукции соответствующего вида без учета субсидий в субъекте Российской Федерации за три года, предшествующих текущему, не превышает 25%;

наличие племенного условного маточного поголовья сельскохозяйственных животных в субъекте Российской Федерации на начало года, предшествующего текущему;

наличие площадей, засеваемых элитными семенами, в субъекте Российской Федерации на начало года, предшествующего текущему;

б) для направления по развитию традиционных для субъекта Российской Федерации видов производства сельскохозяйственной продукции:

наличие в субъекте Российской Федерации традиционных видов производств (для производства шерсти, льноволокна и пеньковолокна) в среднем за три года, предшествующих текущему;

доля субъекта Российской Федерации в плановой численности товарного поголовья коров специализированных мясных пород в сельскохозяйственных организациях, крестьянских (фермерских) хозяйствах, включая индивидуальных предпринимателей, в целом по Российской Федерации на текущий год выше средней доли по всем субъектам Российской Федерации;

наличие в субъекте Российской Федерации численности поголовья сельскохозяйственных животных (для поголовья северных оленей, маралов, мясных табунных лошадей, маточного поголовья овец и коз) в среднем за три года, предшествующих текущему;

наличие в субъекте Российской Федерации посевных площадей под конкретным видом сельскохозяйственных культур (для площадей кормовых культур в районах Крайнего Севера, площадей подготовки низкопродуктивной пашни, площадей виноградных насаждений) в среднем за три года, предшествующих текущему;

доля субъекта Российской Федерации в общей площади закладки многолетних насаждений в целом по Российской Федерации в среднем за три года, предшествующих текущему, выше средней доли по всем субъектам Российской Федерации;

в) для направления по страхованию рисков в растениеводстве и животноводстве:

наличие в субъекте Российской Федерации запланированного значения застрахованных площадей под сельскохозяйственными культурами на текущий год;

наличие в субъекте Российской Федерации запланированного значения застрахованного поголовья сельскохозяйственных животных;

г) для направления по развитию малых форм хозяйствования - наличие плана на текущий год по количеству новых постоянных рабочих мест, созданных в крестьянских (фермерских) хозяйствах, осуществивших проекты создания и развития своих хозяйств с помощью государственной поддержки, а также в сельскохозяйственных потребительских кооперативах, получивших средства государственной поддержки для развития материально-технической базы.

6. Субъект Российской Федерации из приоритетных направлений, определенных в соответствии с пунктом 5 настоящей Методики, выбирает не менее трех (при наличии) приоритетных направлений, достижение показателей по которым обеспечивается субъектом Российской Федерации в приоритетном порядке.

Приложение N 2
к приказу Минсельхоза России
от 31 января 2017 г. N 45

МЕТОДИКА
ОЦЕНКИ ЭФФЕКТИВНОСТИ ОСУЩЕСТВЛЕНИЯ РАСХОДОВ БЮДЖЕТОВ СУБЪЕКТОВ РОССИЙСКОЙ ФЕДЕРАЦИИ, ИСТОЧНИКОМ ФИНАНСОВОГО ОБЕСПЕЧЕНИЯ КОТОРЫХ ЯВЛЯЕТСЯ СУБСИДИЯ

1. Настоящая методика определяет порядок оценки эффективности осуществления расходов бюджетов субъектов Российской Федерации, источником финансового обеспечения которых является субсидия из федерального бюджета бюджетам субъектов Российской Федерации на содействие достижению целевых показателей региональных программ развития агропромышленного комплекса, предоставляемая в рамках Правил предоставления и распределения субсидий из федерального бюджета бюджетам субъектов Российской Федерации на содействие достижению целевых показателей региональных программ, утвержденных постановлением Правительства Российской Федерации от 30 декабря 2016 г. N 1556 "О предоставлении и распределении субсидий из федерального бюджета бюджетам субъектов Российской Федерации на содействие достижению целевых показателей региональных программ развития агропромышленного комплекса" (Собрание законодательства Российской Федерации, 2017, N 2, ст. 384, N 5, ст. 797) (далее - Правила, субсидии, оценка эффективности осуществления расходов).

2. Оценка эффективности осуществления расходов осуществляется ежегодно, за отчетный финансовый год, на основании данных, указанных в отчете о достижении значений показателей результативности использования субсидии (подпункт "в" пункта 28 Правил), а также предусмотренных соглашением о предоставлении субсидий, заключенным между Министерством сельского хозяйства Российской Федерации и высшим исполнительным органом государственной власти субъекта Российской Федерации (далее - соглашение).

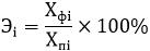
3. Эффективность осуществления расходов оценивается на основании достижения значений целевых показателей и индикаторов, установленных соглашением (далее - показатель), исходя из индекса, отражающего уровень достижения i-го показателя (), определяемого по формуле:

,

где:

- фактическое значение i-го показателя по итогам отчетного года;

- плановое значение i-го показателя.

4. Интегральная оценка эффективности достижения показателей осуществляется на основании интегрального показателя эффективности осуществления расходов (Э), определяемого по формуле:

,

где n - количество показателей, установленных соглашением, значения которых больше 0.

В случае если индекс, отражающий достижение i-го показателя (), составляет более 100%, при расчете интегрального показателя эффективности осуществления расходов (Э) применяется значение, равное 100%.

5. Осуществление расходов считается эффективным в случае, если значение интегрального показателя эффективности осуществления расходов (Э) достигает 100%.

Приложение N 3
к приказу Минсельхоза России
от 31 января 2017 г. N 45

ПЕРЕЧЕНЬ СЕЛЬСКОХОЗЯЙСТВЕННЫХ КУЛЬТУР

Зерновые и зернобобовые культуры, элита, включая суперэлиту
в том числе:
колосовые, включая овес
крупяные, включая сорго
рис
зернобобовые
Соя, элита, включая суперэлиту
Клевер, люцерна, козлятник
Подсолнечник
в том числе:
родительские формы гибридов
сорта масличного типа, элита, включая суперэлиту
Рапс, рыжик, горчица сарептская, сурепица, лен масличный (элита, включая суперэлиту)
Лен-долгунец, конопля (элита, включая маточную элиту и суперэлиту)
Кукуруза - родительские формы гибридов
Сахарная свекла - родительские формы гибридов
Картофель, элита, включая супер-суперэлиту, суперэлиту
Овощные и бахчевые культуры, элита, включая суперэлиту
Лук-севок, чеснок-севок, элита, включая суперэлиту

Приложение N 4
к приказу Минсельхоза России
от 31 января 2017 г. N 45

КОЭФФИЦИЕНТЫ ДЛЯ ПЕРЕВОДА ПЛЕМЕННОГО ПОГОЛОВЬЯ СЕЛЬСКОХОЗЯЙСТВЕННЫХ ЖИВОТНЫХ В УСЛОВНЫЕ ГОЛОВЫ

Коровы 1,0
Свиноматки основные 0,6
Свиноматки основные, содержащиеся в селекционно-генетическом центре 2,0
Овцематки, козоматки 0,1
Овцематки тонкорунного и полутонкорунного направления продуктивности 0,13
Овцематки, содержащиеся в селекционно-генетическом центре 0,2
Козоматки молочные 0,35
Конематки местных пород <1> 1,0
Конематки заводских пород <2> 2,5
Конематки заводских пород, испытываемые на ипподромах <3> 3,5
Верблюдоматки 2,0
Яки (маточное поголовье) 1,0
Продуктивное маточное поголовье птицы 0,02
Маточное поголовье птицы, содержащееся в селекционно-генетическом центре 0,05
Маточное поголовье индеек, содержащееся в селекционно-генетическом центре 0,07
Маточное поголовье водоплавающих птиц (гуси, утки) 0,04
Маточное поголовье водоплавающих птиц (гуси, утки), содержащееся в селекционно-генетическом центре 0,08
Поголовье птицы редких пород 0,1
Маточное поголовье основного стада пушных зверей и кроликов (кроме соболя, песца и норки) 0,05
Маточное поголовье соболя и песца 0,2
Маточное поголовье норки 0,07
Пчелосемьи 0,2
Самки основного стада рыб, кроме осетровых 0,2
Самки основного стада осетровых 0,4
Маточное поголовье оленей 0,35
Маточное поголовье маралов 0,6
Грена тутового шелкопряда (за один килограмм) 12,0

<1> Алтайская, Башкирская, Бурятская, Верхнеенисейская, Вятская, Забайкальская, Казахская, Калмыцкая, Кузнецкая, Кушумская, Мегежекская, Мезенская, Новоалтайская, Печорская, Приленская, Приобская, Тувинская, Чумышская, Якутская.

<2> Американская миниатюрная, Буденновская, Венгерская, Владимирская, Ганноверская, Донская, Кабардинская, Карачаевская, Литовская тяжеловозная, Першеронская, Русская верховая, Русская тяжеловозная, Советская тяжеловозная, Терская, Торийская, Тракененская, Украинская верховая, Шетлендский пони.

<3> Американская рысистая, Арабская чистокровная, Ахалтекинская, Орловская рысистая, Русская рысистая, Французская рысистая, Чистокровная верховая.

Приложение N 5
к приказу Минсельхоза России
от 31 января 2017 г. N 45

Форма

Заполняется:

органом, уполномоченным высшим органом

исполнительной власти субъекта

Российской Федерации

Представляется:

в Министерство сельского хозяйства

Российской Федерации ежеквартально,

до 15 числа месяца, следующего

за отчетным кварталом

нарастающим итогом (в двух экземплярах)

ОТЧЕТ
о расходах бюджета субъекта Российской Федерации (местного бюджета), источником финансового обеспечения которых является субсидия по
_________________________________________________
(наименование субъекта Российской Федерации)
по состоянию на __________________________

в рублях

Наименование расходного обязательства, на осуществление которого предоставлена субсидия Код бюджетной классификации Остаток средств федерального бюджета на 1 января т.г., потребность в котором подтверждена Предусмотрено средств на текущий год Предусмотренный уровень финансирования за счет средств бюджета субъекта Российской Федерации, % Кассовые выплаты за счет средств федерального бюджета с учетом перечислений на банковский счет в текущем году на отчетную дату Восстановлено по различным основаниям средств федерального бюджета прошлых лет Перечислено на отчетную дату Фактический уровень финансирования за счет средств бюджета субъекта Российской Федерации, % Возвращено в федеральный бюджет за отчетный период Остаток средств федерального бюджета на лицевых счетах
всего в том числе за счет средств всего в том числе за счет средств
федерального бюджета бюджета субъекта Российской Федерации федерального бюджета в том числе за счет остатков средств федерального бюджета бюджета субъекта Российской Федерации
1 2 3 гр. 4 = гр. 5 + гр. 6 5 6 гр. 7 = гр. 6 / гр. 4 8 9 гр. 10 = гр. 11 + гр. 13 11 12 13 гр. 14 = гр. 13 / гр. 10 15 гр. 16 = гр. 3 + гр. 8 + гр. 9 - гр. 11 - гр. 15
Целевое использование субсидий в   подтверждаю.
Причины возникновения остатка:    
Руководитель органа, уполномоченного высшим органом исполнительной власти субъекта Российской Федерации               (должность)                  


(подпись)
                                                    (расшифровка подписи)
                                                               
Главный бухгалтер органа, уполномоченного высшим органом исполнительной власти субъекта Российской Федерации              

(подпись)
               

(расшифровка подписи)
            20 г. Исполнитель:                                 (Ф.И.О.)
адрес электронной почты:                                   тел.              
М.П.                                                          

Приложение N 6
к приказу Минсельхоза России
от 31 января 2017 г. N 45

Форма

Заполняется;

органом, уполномоченным высшим органом

исполнительной власти субъекта Российской

Федерации

Представляется:

в Министерство сельского хозяйства

Российской Федерации

Периодичность: один раз в год

не позднее 15 января года,

следующего за отчетным

ОТЧЕТ
о достижении значений показателей результативности использования субсидии
___________________________________________________________________________
(наименование субъекта Российской Федерации)
за 20__ год

Наименование расходного обязательства/наименование показателя Целевой индикатор за 20__ год
обязательства в соответствии с соглашением о предоставлении субсидий от ________ N ___ фактическое значение % выполнения
1 2 3 4
Валовой сбор зерновых и зернобобовых в хозяйствах всех категорий, тыс. тонн      
Валовой сбор сахарной свеклы в хозяйствах всех категорий, тыс. тонн      
Валовой сбор льноволокна и пеньковолокна в хозяйствах всех категорий, тыс. тонн      
Валовой сбор картофеля в сельскохозяйственных организациях, крестьянских (фермерских) хозяйствах, включая индивидуальных предпринимателей, тыс. тонн      
Производство скота и птицы на убой в хозяйствах всех категорий (в живом весе), тыс. тонн      
Производство шерсти, полученной от тонкорунных и полутонкорунных пород овец в сельскохозяйственных организациях, крестьянских (фермерских) хозяйствах, включая индивидуальных предпринимателей, тыс. тонн      
Численность товарного поголовья коров специализированных мясных пород в сельскохозяйственных организациях, крестьянских (фермерских) хозяйствах, включая индивидуальных предпринимателей, тыс. голов      
Поголовье северных оленей и маралов в сельскохозяйственных организациях, крестьянских (фермерских) хозяйствах, включая индивидуальных предпринимателей, тыс. голов      
Поголовье мясных табунных лошадей в сельскохозяйственных организациях, крестьянских (фермерских) хозяйствах, включая индивидуальных предпринимателей, тыс. голов      
Маточное поголовье овец и коз в сельскохозяйственных организациях, крестьянских (фермерских) хозяйствах, включая индивидуальных предпринимателей, тыс. голов      
Сохранность племенного условного маточного поголовья сельскохозяйственных животных к уровню предыдущего года, процентов      
Реализация племенного молодняка крупного рогатого скота молочных и мясных пород на 100 голов маток, голов      
Застрахованное поголовье сельскохозяйственных животных, тыс. условных голов      
Посевная площадь кормовых культур по сельскохозяйственным организациям, крестьянским (фермерским) хозяйствам, включая индивидуальных предпринимателей, в районах Крайнего Севера и приравненных к ним местностях, тыс. гектаров      
Площадь подготовки низкопродуктивной пашни (чистых паров), тыс. гектаров      
Доля площади, засеваемой элитными семенами, в общей площади посевов, процентов      
Площадь закладки многолетних насаждений, тыс. гектаров      
Площадь виноградных насаждений в плодоносящем возрасте, тыс. гектаров      
Размер застрахованной посевной площади, тыс. гектаров      
Количество новых постоянных рабочих мест, созданных в крестьянских (фермерских) хозяйствах, осуществивших проекты создания и развития своих хозяйств с помощью средств государственной поддержки, единиц      
Прирост объема сельскохозяйственной продукции, произведенной индивидуальными предпринимателями и крестьянскими (фермерскими) хозяйствами, получившими средства государственной поддержки, к году, предшествующему году предоставления субсидии, процентов      
Количество новых постоянных рабочих мест, созданных в сельскохозяйственных потребительских кооперативах, получивших средства государственной поддержки для развития материально-технической базы, единиц      
Прирост объема сельскохозяйственной продукции, реализованной сельскохозяйственными потребительскими кооперативами, получившими средства государственной поддержки, процентов      
Руководитель органа, уполномоченного высшим органом исполнительной власти субъекта Российской Федерации    


(должность)
         
  (подпись)   (расшифровка подписи)  
М.П. "__" ___________ ____ г.        

Приложение N 1
к отчету о достижении значений
показателей результативности
использования субсидии

Заполняется:

органом, уполномоченным высшим

органом исполнительной власти

субъекта Российской Федерации

Представляется:

в Министерство сельского хозяйства

Российской Федерации до 10 числа

месяца, следующего за отчетным

кварталом нарастающим итогом

ПЕРЕЧЕНЬ
сельскохозяйственных товаропроизводителей (кроме граждан, ведущих личное подсобное хозяйство), за которых перечислена часть затрат на уплату страховой премии, начисленной по договору сельскохозяйственного страхования в текущем году
по ______________________________________________
(наименование субъекта Российской Федерации)
по состоянию на
________________
(дата)

Наименование расходного обязательства, на осуществление которого предоставлена субсидия Наименование сельскохозяйственного товаропроизводителя, за которого перечислена оплата страховой премии (взноса) - получатель Организационно-правовая форма получателя (сельскохозяйственные организации, организации агропромышленного комплекса, сельскохозяйственные потребительские кооперативы, крестьянские (фермерские) хозяйства, индивидуальные предприниматели) Идентификационный номер (ИНН) получателя Адрес получателя ОКТМО Перечислено на отчетную дату, руб. Фактический уровень финансирования за счет средств бюджета субъекта Российской Федерации, % Страховщик Договор страхования Срок страхования Посевная (посадочная) площадь по договору страхования, гектаров Количество голов животных по договору страхования, штук Страховая стоимость, в рублях Страховая сумма, в рублях Участие страхователя в страховании рисков (безусловная франшиза), % Страховой тариф по договору страхования, % Размер ставки субсидирования, % Сумма начисленной страховой премии, в рублях Сумма уплаченной страхователем (сельхозтоваропроизводителем) части страховой премии, в рублях Задолженность по перечислению субсидии на отчетную дату, в рублях
всего в том числе за счет средств Наименование страховой организации ИНН Номер Дата заключения Дата начала Дата окончания всего в том числе за счет средств
федерального бюджета в том числе за счет остатков средств федерального бюджета бюджета субъекта Российской Федерации федерального бюджета бюджета субъекта Российской Федерации
1 2 3 4 5 6 7 8 9 10 гр. 11= гр. 10 / гр. 7 12 13 14 15 16 17 18 19 20 21 22 23 24 25 26 27 28 29
на поддержку страхования
в области растениеводства
Зерновые культуры
Пшеница озимая
Рожь озимая
Ячмень озимый
Тритикале озимая
Тритикале яровая
Пшеница яровая
Рожь яровая
Ячмень яровой
Овес
Кукуруза
Просо
Гречиха
Рис
Сорго (джугара)
Зернобобовые культуры
Горох
Фасоль
Чечевица
Бобы кормовые на зерно
Вика и смеси виковые (с преобладанием вики) на зерно
Люпин кормовой (сладкий) на зерно
Прочие зернобобовые (нут, чина, маш и другие зернобобовые культуры)
Масличные культуры
Подсолнечник на зерно
Лен-кудряш (масличный)
Клещевина
Соя
Горчица
Рыжик
Рапс озимый
Рапс яровой (кольза)
Кунжут
Сафлор
Арахис
Мак масличный
Прочие масличные культуры (сурепица, перилла, ляллеманция и другие масличные культуры)
Эфирно-масличные культуры посева текущего года и прошлых лет
Технические культуры
Лен-долгунец
Конопля среднерусская
Конопля южная
Сахарная свекла фабричная
Маточники сахарной свеклы
Высадки-семенники сахарной свеклы
Табак
Махорка
Цикорий
Лекарственные культуры
Хлопок-сырец
Прочие технические культуры (канатник, чуфа, люфа, ворсянка, фацелия и другие технические культуры)
Кормовые культуры
Корнеплодные кормовые культуры (кормовая свекла, брюква, турнепс и другие корнеплодные кормовые культуры)
Свекла кормовая сахарная
Маточники кормовых корнеплодов
Семенники кормовых корнеплодов
Бахчевые кормовые культуры
Семенники бахчевых кормовых культур
Кукуруза на корм (силос, зеленый корм и сенаж)
Культуры кормовые на силос (без кукурузы)
Однолетние травы
Многолетние травы
Топинамбур
Бахчевые культуры
Бахчевые продовольственные культуры
Семенники бахчевых продовольственных культур
Картофель
Овощи
Капуста
Огурцы
Помидоры
Свекла столовая
Морковь столовая
Лук репчатый
Чеснок
Горох овощной (зеленый горошек)
Тыква
Кабачки
Прочие овощи
Маточники двухлетних овощных культур
Семенники однолетних овощных культур
Семенники двухлетних и многолетних овощных культур
Лук-севок
Овощи закрытого грунта
Урожай многолетних насаждений
Виноград
Семечковые (яблоня, груша, айва и другие семечковые)
Косточковые (слива, вишня, черешня, абрикос и другие косточковые)
Орехоплодные (грецкий орех, миндаль, фундук, фисташка, другие орехоплодные)
Субтропические (инжир, хурма, гранат, мушмула, фейхоа и другие субтропические)
Ягодные (земляника, клубника, малина, смородина, крыжовник, черноплодная рябина и другие)
Хмель
Чай (сортовой лист, грубый лист)
Посадки многолетних насаждений
Виноградники
Посадки семечковых (яблоня, груша, айва и другие семечковые)
Посадки косточковых (слива, вишня, черешня, абрикос и другие косточковые)
Посадки орехоплодных (грецкий орех, миндаль, фундук, фисташка, другие орехоплодные)
Посадки субтропических (инжир, хурма, гранат, мушмула, фейхоа и другие субтропические)
Ягодники (земляника, клубника, малина, смородина, крыжовник, черноплодная рябина и другие)
Плантации хмеля
Плантации чая
в области животноводства
Крупный рогатый скот
Крупный рогатый скот молочного и мясного направления
Буйволы, яки (включая сарлыков), валы
Мелкий рогатый скот
Козы
Овцы
Свиньи
Лошади, лошаки, мулы, ослы
Лошади (включая мясных и табунных лошадей)
Ослы
Мулы, лошаки
Верблюды
Олени
Домашние северные олени
Пятнистые олени, маралы (пантовые олени)
Кролики, пушные звери
Кролики домашние
Лисы, песцы, норки, бобры, нутрии, соболи, хори
Птица яйценоских пород и птица мясных пород, цыплята-бройлеры
Куры яичных и мясояичных пород
Куры мясных пород
Утки, гуси, индейки, цесарки, перепелки, страусы
Семьи пчел
Руководитель органа, уполномоченного высшим органом исполнительной власти субъекта Российской Федерации    


(должность)
         
  (подпись)   (расшифровка подписи)
Главный бухгалтер органа,
уполномоченного высшим органом
исполнительной власти субъекта
Российской Федерации
       
  (подпись)   (расшифровка подписи)
"__" ____________ 20__ г. М.П.
     
Исполнитель:   тел.   e-mail  

Приложение N 2
к отчету о достижении значений
показателей результативности
использования субсидии

Заполняется:

органом, уполномоченным высшим

органом исполнительной власти

субъекта Российской Федерации

Представляется:

в Министерство сельского хозяйства

Российской Федерации до 10 числа

месяца, следующего за отчетным

кварталом нарастающим итогом

ПЕРЕЧЕНЬ
сельскохозяйственных товаропроизводителей, получивших страховое возмещение по договору сельскохозяйственного страхования в текущем году
по _____________________________________________
(наименование субъекта Российской Федерации)
по состоянию на
__________________
(дата)

Наименование расходного обязательства, на осуществление которого предоставлена субсидия Наименование сельскохозяйственного товаропроизводителя, за которого перечислена оплата страховой премии (взноса) - получатель Организационно-правовая форма получателя (сельскохозяйственные организации, организации агропромышленного комплекса, сельскохозяйственные потребительские кооперативы, крестьянские (фермерские) хозяйства, индивидуальные предприниматели) Идентификационный номер (ИНН) получателя Адрес получателя ОКТМО Страховщик Договор страхования Посевная (посадочная) площадь по договору страхования, гектаров Количество годов, шт. Дата наступления страхового события Наименование события, в результате воздействия которого произошла утрата (гибель) объекта страхования Сумма страхового возмещения, руб. СПРАВОЧНО: Перечислено субсидий, в рублях
Наименование страховой организации ИНН Номер Дата заключения заявлено страхователем отказано в выплате выплачено
всего в том числе всего в том числе за счет средств
на основании заключения независимого эксперта на основании решения суда федерального бюджета бюджета субъекта Российской Федерации
1 2 3 4 5 6 7 8 9 10 11 12 13 14 15 16 17 18 19 20 21 22
на поддержку страхования
в области растениеводства
Зерновые культуры
Пшеница озимая
Рожь озимая
Ячмень озимый
Тритикале озимая
Тритикале яровая
Пшеница яровая
Рожь яровая
Ячмень яровой
Овес
Кукуруза
Просо
Гречиха
Рис
Сорго (джугара)
Зернобобовые культуры
Горох
Фасоль
Чечевица
Бобы кормовые на зерно
Вика и смеси виковые (с преобладанием вики) на зерно
Люпин кормовой (сладкий) на зерно
Прочие зернобобовые (нут, чина, хаш и другие зернобобовые культуры)
Масличные культуры
Подсолнечник на зерно
Лен-кудряш (масличный)
Клещевина
Соя
Горчица
Рыжик
Рапс озимый
Рапс яровой (кольза)
Кунжут
Сафлор
Арахис
Мак масличный
Прочие масличные культуры (сурепица, перилла, ляллеманция и другие масличные культуры)
Эфирно-масличные культуры посева текущего года и прошлых лет
Технические культуры
Лен-долгунец
Конопля среднерусская
Конопля южная
Сахарная свекла фабричная
Маточники сахарной свеклы
Высадки-семенники сахарной свеклы
Табак
Махорка
Цикорий
Лекарственные культуры
Хлопок-сырец
Прочие технические культуры (канатник, чуфа, люфа, ворсянка, фацелия и другие технические культуры)
Кормовые культуры
Корнеплодные кормовые культуры (кормовая свекла, брюква, турнепс и другие корнеплодные кормовые культуры)
Свекла кормовая сахарная
Маточники кормовых корнеплодов
Семенники кормовых корнеплодов
Бахчевые кормовые культуры
Семенники бахчевых кормовых культур
Кукуруза на корм (силос, зеленый корм и сенаж)
Культуры кормовые на силос (без кукурузы)
Однолетние травы
Многолетние травы
Топинамбур
Бахчевые культуры
Бахчевые продовольственные культуры
Семенники бахчевых продовольственных культур
Картофель
Овощи
Капуста
Огурцы
Помидоры
Свекла столовая
Морковь столовая
Лук репчатый
Чеснок
Горох овощной (зеленый горошек)
Тыква
Кабачки
Прочие овощи
Маточники двухлетних овощных культур
Семенники однолетних овощных культур
Семенники двухлетних и многолетних овощных культур
Лук-севок
Овощи закрытого грунта
Урожай многолетних насаждений
Виноград
Семечковые (яблоня, груша, айва и другие семечковые)
Косточковые (слива, вишня, черешня, абрикос и другие косточковые)
Орехоплодные (грецкий орех, миндаль, фундук, фисташка, другие орехоплодные)
Субтропические (инжир, хурма, гранат, мушмула, фейхоа и другие субтропические)
Ягодные (земляника, клубника, малина, смородина, крыжовник, черноплодная рябина и другие)
Хмель
Чай (сортовой лист, грубый лист)
Посадки многолетних насаждений
Виноградники
Посадки семечковых (яблоня, груша, айва и другие семечковые)
Посадки косточковых (слива, вишня, черешня, абрикос и другие косточковые)
Посадки орехоплодных (грецкий орех, миндаль, фундук, фисташка, другие орехоплодные)
Посадки субтропических (инжир, хурма, гранат, мушмула, фейхоа и другие субтропические)
Ягодники (земляника, клубника, малина, смородина, крыжовник, черноплодная рябина и другие)
Плантации хмеля
Плантации чая
в области животноводства
Крупный рогатый скот
Крупный рогатый скот молочного и мясного направления продуктивности
Буйволы, яки (включая сарлыков), волы
Мелкий рогатый скот
Козы
Овцы
Свиньи
Лошади, лошаки, мулы, ослы
Лошади (включая мясных и табунных лошадей)
Ослы
Мулы, лошаки
Верблюды
Олени
Домашние северные олени
Пятнистые олени, маралы (пантовые олени)
Кролики, пушные звери
Кролики домашние
Лисы, песцы, норки, бобры, нутрии, соболи, хори
Птица яйценоских пород и птица мясных пород, цыплята-бройлеры
Куры яичных и мясояичных пород
Куры мясных пород
Утки, Гуси, Индейки, цесарки, перепелки, страусы
Семьи пчел
Руководитель органа, уполномоченного высшим органом исполнительной власти субъекта Российской Федерации    


(должность)
         
  (подпись)   (расшифровка подписи)
Главный бухгалтер органа,
уполномоченного высшим органом
исполнительной власти субъекта
Российской Федерации
       
  (подпись)   (расшифровка подписи)
"__" ____________ 20__ г. М.П.
     
Исполнитель:   тел.   e-mail  

Приложение N 3
к отчету о достижении значений
показателей результативности
использования субсидии

Представляется:

1) грантополучателями текущего финансового года - раз в полгода в году получения гранта, грантополучателями лет, предшествующих текущему финансовому году - один раз в год в течение 5 лет с даты получения гранта в орган управления агропромышленным комплексом субъекта Российской Федерации не позднее 15 числа месяца, следующего за отчетным полугодием;

2) органом управления агропромышленным комплексом субъекта Российской Федерации в Минсельхоз России в бумажном виде и на электронном носителе по грантополучателям текущего финансового года - раз в полгода в году получения гранта, по грантополучателям лет, предшествующих текущему финансовому году - один раз в год в течение 5 лет с даты получения гранта не позднее 25 числа, следующего за соответствующим отчетным периодом

РЕЕСТР
крестьянских (фермерских) хозяйств (КФХ), осуществляющих проекты создания и развития хозяйств с помощью грантовой поддержки по состоянию на _____________ 20__ г.

N п/п Ф.И.О. главы КФХ, пол Возраст главы КФХ на момент получения гранта Образование главы КФХ Адрес регистрации, контактный телефон, адрес электронной почты Количество членов КФХ Дата регистрации КФХ, отметка о преобразовании из личного подсобного хозяйства Идентификационный номер (ИНН) получателя гранта ОКТМО Год вступления в региональную программу Мероприятие, в рамках которого получен грант Вид деятельности по ОКВЭД Дата предоставления гранта, номер свидетельства Сумма гранта (в рублях)
Главы КФХ КФХ всего из них членов семьи главы КФХ основной на который получен грант
1 2 3 4 8 9 13 14 15 16 17
В электронном документе нумерация граф в таблице соответствует официальному источнику.
Руководитель органа, уполномоченного высшим органом исполнительной власти субъекта Российской Федерации  

(должность)
    (подпись)
    (расшифровка подписи)
М.П. "__" ____________ 20__ г.    

Приложение N 4
к отчету о достижении значений
показателей результативности
использования субсидии

Представляется:

1) грантополучателями текущего финансового года - раз в полгода в году получения гранта, грантополучателями лет, предшествующих текущему финансовому году - один раз в год в течение 5 лет с даты получения гранта в орган управления агропромышленным комплексом субъекта Российской Федерации не позднее 15 числа месяца, следующего за отчетным полугодием;

2) органом управления агропромышленным комплексом субъекта Российской Федерации в Минсельхоз России в бумажном виде и на электронном носителе по грантополучателям текущего финансового года - раз в полгода в году получения гранта, по грантополучателям лет, предшествующих текущему финансовому году - один раз в год в течение 5 лет с даты получения гранта не позднее 25 числа, следующего за соответствующим отчетным периодом

Расход
средств гранта, полученного крестьянскими (фермерскими) хозяйствами (КФХ) на создание и развитие хозяйств
на ______________ 20__ г.

в рублях

N п/п ФИО главы КФХ Сумма полученного гранта на создание и развитие КФХ Собственные средства фермера В том числе использовано в соответствии с планом расходов (с указанием суммы, наименования статьи расхода (включая марку (порода, сорт) объекта, адрес), возраста, количества, цены)
Расход гранта начинающими фермерами Расход гранта семейными животноводческими фермами
Приобретение земель Разработка проектно-сметной документации Приобретение, строительство, ремонт производственных зданий, помещений Строительство дорог и подъездов к КФХ Подключение производственных объектов к инженерным сетям Приобретение сельскохозяйственных животных Приобретение сельскохозяйственной техники и инвентаря Разработка проектной документации Строительство, реконструкция или модернизация ферм Строительство (реконструкция, модернизация) объектов по переработке продукции животноводства Комплектация семейных ферм и объектов по переработке оборудованием и техникой, а также их монтаж Покупка сельскохозяйственных животных
1 2 3 4 5 6 7 8 9 10 11 12 13 14 15 16
                      X X X X X
                      X X X X X
            X X X X X          
            X X X X X          
Руководитель органа, уполномоченного высшим органом исполнительной власти субъекта Российской Федерации  

(должность)
    (подпись, расшифровка подписи)
М.П. "__" ____________ 20__ г.    

Приложение N 5
к отчету о достижении значений
показателей результативности
использования субсидии

Представляется:

1) грантополучателями текущего финансового года - раз в полгода в году получения гранта, грантополучателями лет, предшествующих текущему финансовому году - один раз в год в течение 5 лет с даты получения гранта в орган управления агропромышленным комплексом субъекта Российской Федерации не позднее 15 числа месяца, следующего за отчетным полугодием;

2) органом управления агропромышленным комплексом субъекта Российской Федерации в Минсельхоз России в бумажном виде и на электронном носителе по грантополучателям текущего финансового года - раз в полгода в году получения гранта, по грантополучателям лет, предшествующих текущему финансовому году - один раз в год в течение 5 лет с даты получения гранта не позднее 25 числа, следующего за соответствующим отчетным периодом

ПОКАЗАТЕЛИ ДЕЯТЕЛЬНОСТИ КРЕСТЬЯНСКИХ (ФЕРМЕРСКИХ) ХОЗЯЙСТВ (КФХ), ПОЛУЧИВШИХ ГРАНТОВУЮ ПОДДЕРЖКУ

РАЗДЕЛ 1

в рублях

Показатель Количество КФХ, получивших гранты в текущем году, единиц Произведено продукции на начало отчетного периода Произведено продукции на конец отчетного периода Выручка от реализации сельскохозяйственной продукции Себестоимость реализованной сельскохозяйственной продукции Прибыль (убыток) до налогообложения Сумма уплаченных налогов Чистая прибыль (убыток) Рентабельность, %
всего в том числе всего В том числе
План Факт продукции растениеводства продукции животноводства продукции растениеводства продукции животноводства
1 2 3 5 6 7 9 10 11 12 13 гр. 14 = (гр. 11 / гр. 9) * 100
Всего КФХ
В том числе: Начинающих фермеров
Семейных животноводческих ферм X X

РАЗДЕЛ 2. Основные средства и земля

N п/п Наименование Единица измерения Наличие на Из них в хозяйствах:
всего в том числе приобретение в отчетном году начинающих фермеров семейных животноводческих ферм
1 2 3 4 5 6 7
1 Здания и сооружения ед.        
  в том числе арендованные ед.        
2 Общая площадь земли га        
  в том числе сельскохозяйственные угодья га        
2.1 земли, закрепленные за хозяйством на праве собственности га        
2.2 земли, закрепленные за хозяйством на праве аренды га        
2.3 земли, закрепленные на правах прочего пользования (включая пожизненное наследуемое владение, безвозмездное пользование) га        
3 Сельскохозяйственная техника и оборудование, в том числе: шт.        
3.1 Тракторы шт.        
3.2 Зерновые и кормоуборочные комбайны шт.        
3.3 Самоходная сельскохозяйственная техника (погрузчик, пресс-подборщик и прочие) шт.        
3.4 Навесное оборудование (плуг, борона, грабли, каток и прочие) шт.        
3.5 Техника для посева овощных и зерновых культур шт.        
3.6 Грузовые автомобили, фургоны шт.        
3.7 Малогабаритная сельскохозяйственная техника (мотоблоки, культиваторы и прочие) шт.        
3.8 Оборудование, предназначенное для производства и переработки молока шт.        
  в том числе роботизированные доильные установки ед.        
3.9 Оборудование, предназначенное для убоя скота и производства мяса ед.        
3.10 Оборудование, предназначенное для переработки мяса ед.        
3.11 Оборудование для содержания сельскохозяйственной птицы ед.        
3.12 Оборудование для разведения пчел ед.        
3.13 Оборудование для разведения рыб шт.        
3.14 Молоковозы шт.        

РАЗДЕЛ 3. Трудовые ресурсы

Показатель Среднегодовая численность (человек) Фонд заработной платы в год Среднемесячная заработная плата Выплата страховых отчислений в год
1 2 3 4 5
Всего работников        
из них:
в КФХ начинающих фермеров
       
в том числе наемные работники
из них:
       
иностранные граждане, чел.        
кроме основной работы, ведущие личное подсобное хозяйство, чел.        
граждане, являющиеся пенсионерами, чел.        
граждане в возрасте до 30 лет, чел.        
в семейных животноводческих фермах        
в том числе наемные работники
из них
       
иностранные граждане, чел.        
кроме основной работы, ведущие личное подсобное хозяйство, чел.        
граждане, являющиеся пенсионерами, чел.        
граждане в возрасте до 30 лет, чел.        

РАЗДЕЛ 4. Растениеводство

N п/п Наименование Посевная площадь, га Уборочная площадь, га Валовый сбор, ц Урожайность, ц/га Количество хозяйств начинающих фермеров, единиц
1 2 3 4 5 6 7
1 Зерновые культуры (яровые и озимые пшеница, рожь, ячмень, тритикале, овес и другие)          
2 Зернобобовые культуры (просо, гречиха, чечевица, горох и другие)          
3 Подсолнечник          
4 Кукуруза на зерно          
5 Соя          
6 Сахарная свекла          
7 Картофель          
8 Овощные культуры          
9 Плодовые и ягодные культуры          
10 Технические культуры          
11 кормовые культуры          
12 Виноград          

РАЗДЕЛ 5. Животноводство

5.1. Поголовье сельскохозяйственных животных и птицы

N п/п Наименование Единица измерения Наличие на 1 января года, следующего за отчетным из них в хозяйствах:
всего в том числе приобретено за счет средств гранта в отчетном году начинающих фермеров семейных животноводческих ферм
1 2 3 4 5 6 7
1 Крупный рогатый скот гол        
1.1 в том числе дойных коров гол        
1.2 в том числе животных на откорме гол        
2 Свиньи гол        
2.1 в том числе основных свиноматок гол        
3 Овцы и козы гол        
3.1 из них овцематки гол        
3.2 из них козоматки гол        
4 Птица тыс. гол        
4.1 в том числе куры-несушки тыс. гол        
4.2 в том числе бройлеры тыс. гол        
5 Лошади гол        
6 Кролики гол        
7 Пушные звери гол        
8 Пчелосемьи штук        
9 Рыба ц        

5.2. Производство продукции животноводства

N п/п Показатель Единица измерения Количество Количество КФХ, единиц, из них:
начинающих фермеров семейных животноводческих ферм
1 2 3 4 5 6
1 Производство мяса на убой в живом весе, в том числе: ц      
1.2 Крупный рогатый скот ц      
1.3 Свиньи ц      
1.4 Овцы и козы ц      
1.5 Птица сельскохозяйственная ц      
1.6 Лошади ц      
2 Молоко сырое, в том числе: ц      
2.1 Крупного рогатого скота ц      
  из него от коров молочного стада ц      
2.2 Лошадей ц      
3 Яйца от птицы всех видов тыс. штук      
  в том числе куриные тыс. штук      
4 Шерсть и волос животных кг      
  в том числе шерсть овец кг      
5 Мед пчелиный ц      
6 Улов рыбы ц      
7 Шкуры пушных зверей тыс. шт.      

5.3. Продуктивность скота и птицы

N п/п Наименование Продуктивность Количество КФХ, единиц, из них:
Единица измерения Количество Начинающих фермеров Семейных животноводческих ферм
1 2 3 4 5 6
1 Среднесуточный привес, в том числе: Грамм/гол      
1.2 Крупного рогатого скота на откорме Грамм/гол      
1.3 Свиней Грамм/гол      
1.4 Овец и коз Грамм/гол      
1.5 Птицы всех видов, в том числе: Грамм/гол      
  кур-бройлеров Грамм/гол      
2 Приплод, в том числе:        
2.1 Телят гол/100 маток      
2.2 Поросят ц/матку      
3 Продуктивность по молоку, в том числе: Кг/гол      
3.1 Коров Кг/гол      
3.2 Овец Кг/гол      
3.3 Коз Кг/гол      
3.4 Лошадей Кг/гол      
4 Яйценоскость всех видов птицы, в том числе: Шт/гол      
4.1 Кур-несушек Шт/гол      
5 Средний настриг шерсти, в том числе: Физ. вес      
5.1 С 1 овцы Физ. вес      
6 Деловой выход шкур пушных зверей Шт      
7 Улов рыбы ц      
8 Средний сбор меда Кг/пчелосемью      

РАЗДЕЛ 6. Создание (реконструкция, модернизация) объектов по переработке продукции животноводства

N п/п Наименование Наличие на 1 января года, следующего за отчетным (единиц), в том числе Мощность объектов переработки Количество грантополучателей (единиц), из них:
всего Приобретено за отчетный период Реконструировано (модернизировано) за отчетный период Кг молока/сутки Кг мяса/сутки Начинающих фермеров Семейных животноводческих ферм Сельскохозяйственных потребительских кооперативов
1 2 3 4 5 6 7 8 9 10
1 Молокоперерабатывающие объекты         X      
2 Мясоперерабатывающие объекты       X        
Руководитель органа, уполномоченного высшим органом исполнительной власти субъекта Российской Федерации  

(должность)
    (подпись)
    (расшифровка подписи)
М.П. "__" ____________ 20__ г.    

Приложение N 6
к отчету о достижении значений
показателей результативности
использования субсидии

Представляется:

1) грантополучателями текущего финансового года - раз в полгода в году получения гранта, грантополучателями лет, предшествующих текущему финансовому году - один раз в год в течение 5 лет с даты получения гранта в орган управления агропромышленным комплексом субъекта Российской Федерации не позднее 5 числа месяца, следующего за отчетным полугодием;

2) органом управления агропромышленным комплексом субъекта Российской Федерации в Минсельхоз России в бумажном виде и на электронном носителе по грантополучателям текущего финансового года - раз в полгода в году получения гранта, по грантополучателям лет, предшествующих текущему финансовому году - один раз в год в течение 5 лет с даты получения гранта не позднее 25 числа, следующего за соответствующим отчетным периодом

Реестр
сельскохозяйственных потребительских кооперативов, развивающих материально-техническую базу с помощью грантовой поддержки по состоянию на ________ 20__ г.

N п/п Наименование кооператива Дата регистрации кооператива Вид кооператива Идентификационный номер (ИНН) получателя гранта Ф.И.О. председателя кооператива, адрес регистрации кооператива, контактный телефон, адрес электронной почты Количество членов кооператива, из них: ОКТМО Наименование ревизионного союза, в котором состоит кооператив Год вступления в региональную программу Дата предоставления гранта, номер свидетельства Сумма гранта Вид деятельности по ОКВЭД
Основной На который получен грант
Сельскохозяйственные организации крестьянские (фермерские) хозяйства личные подсобные хозяйства иные
1 2 3 4 5 6 7 8 9 10 11 12 13 14 15 16 17
1.
Всего
Руководитель органа, уполномоченного высшим органом исполнительной власти субъекта Российской Федерации  

(должность)
    (подпись)
    (расшифровка подписи)
М.П. "__" ____________ 20__ г.    

Приложение N 7
к отчету о достижении значений
показателей результативности
использования субсидии

Представляется:

1) грантополучателями текущего финансового года - раз в полгода в году получения гранта, грантополучателями лет, предшествующих текущему финансовому году - один раз в год в течение 5 лет с даты получения гранта в орган управления агропромышленным комплексом субъекта Российской Федерации не позднее 5 числа месяца, следующего за отчетным полугодием;

2) органом управления агропромышленным комплексом субъекта Российской Федерации в Минсельхоз России в бумажном виде и на электронном носителе по грантополучателям текущего финансового года - раз в полгода в году получения гранта, по грантополучателям лет, предшествующих текущему финансовому году - один раз в год в течение 5 лет с даты получения гранта не позднее 25 числа, следующего за соответствующим отчетным периодом

Расход
средств гранта для развития материально-технической базы сельскохозяйственного потребительского кооператива на 1 ________ 20__ г.

Наименование кооператива Стоимость проекта Собственные средства кооператива Расход средств гранта
всего софинасированная грантом всего в том числе привлеченные строительство, реконструкция или модернизация производственных объектов кооперативов приобретение и монтаж оборудования и техники для производственных объектов приобретение специализированного транспорта, фургонов, прицепов, полуприцепов, вагонов, контейнеров для транспортировки уплата части взносов по договорам лизинга оборудования и технических средств
код ОКП количество единиц сумма код ОКП количество единиц сумма код ОКП количество единиц сумма
1 2 3 4 5 6 7 8 9 10 11 12 13 14 15
1.                            
                             
всего                            
Руководитель органа, уполномоченного высшим органом исполнительной власти субъекта Российской Федерации  

(должность)
 
    (подпись)  
    (расшифровка подписи) М.П. "__" ______ 20__ г.
       

Приложение N 8
к отчету о достижении значений
показателей результативности
использования субсидии

Представляется:

1) грантополучателями текущего финансового года - раз в полгода в году получения гранта, грантополучателями лет, предшествующих текущему финансовому году - один раз в год в течение 5 лет с даты получения гранта в орган управления агропромышленным комплексом субъекта Российской Федерации не позднее 15 числа месяца, следующего за отчетным полугодием;

2) органом управления агропромышленным комплексом субъекта Российской Федерации в Минсельхоз России в бумажном виде и на электронном носителе по грантополучателям текущего финансового года - раз в полгода в году получения гранта, по грантополучателям лет, предшествующих текущему финансовому году - один раз в год в течение 5 лет с даты получения гранта не позднее 25 числа, следующего за соответствующим отчетным периодом

Показатели
деятельности сельскохозяйственных потребительских кооперативов (СПоК), получивших грантовую поддержку
на __________ 20__ г.

РАЗДЕЛ I. Показатели финансово-хозяйственной деятельности

Наименование СПоК Денежная выручка, тыс. руб. Себестоимость, тыс. руб. Прибыль (убыток) до налогообложения, тыс. руб. Рентабельность, % Сумма уплаченных налогов в отчетном периоде, тыс. руб.
в году, предшествующем году отчетного периода ______________
(в отчетном периоде)
в году, предшествующем году отчетного периода _____________
(в отчетном периоде)
в году, предшествующем году отчетного периода всего ____
____
(отчетном периоде)
в году, предшествующем году отчетного периода всего ____
____
отчетном периоде)
всего в том числе от реализации продукции членов СПоК, оказания услуг и работ для членов СПоК всего в том числе от реализации продукции членов СПоК, оказания услуг и работ для членов СПоК
всего в том числе от реализации продукции членов СПоК, оказания услуг и работ для членов СПоК всего в том числе от реализации продукции членов СПоК, оказания услуг и работ для членов СПоК
1 2 3 4 5 6 7 8 9 10 11 12 13 14
Всего

РАЗДЕЛ II. Трудовые ресурсы

Показатель Среднегодовая среднесписочная численность, чел. Фонд заработной платы в год (в рублях) Среднемесячная заработная плата (в рублях) Выплата страховых отчислений в год (в рублях)
1 2 3 4 5
Всего работников, чел.        
в том числе:
постоянные работники, чел.
       
сезонные работники, чел.        
временные работники, чел.        
иностранные граждане, чел.        
граждане, являющиеся пенсионерами, чел.        
граждане в возрасте до 30 лет, чел.        

РАЗДЕЛ III. Создание (реконструкция, модернизация) объектов по заготовке, хранению, подработке, переработке, сортировке, убою, первичной переработке, охлаждению сельскохозяйственной продукции

N п/п Наименование Наличие на 1 января года, следующего за отчетным (единиц), в том числе Мощность объектов переработки, тонн/сутки Количество грантополучателей, единиц
всего Приобретено за отчетный период Реконструировано (модернизировано) за отчетный период
всего За счет средств гранта всего За счет средств гранта
1 2 3 4 5 6 7 8 9
1 Объекты по переработке молока
2 Объекты по сбору (заготовке) молока
3 Объекты по убою сельскохозяйственных животных
4 Объекты по убою сельскохозяйственной птицы
5 Объекты по переработке мяса
6 Объекты по переработке рыбы
7 Объекты по сбору (заготовке), хранению, сортировке, подработке картофеля и овощей
8 Объекты по переработке картофеля и овощей
9 Объекты по сбору (заготовке), хранению, сортировке, подработке плодов и ягод, в том числе дикорастущих
10 Объекты по переработке плодов и ягод, в том числе дикорастущих
Руководитель органа управления агропромышленным комплексом субъекта Российской Федерации  

(должность)
     
      (подпись)   (расшифровка подписи)
Главный бухгалтер органа управления агропромышленным комплексом субъекта Российской Федерации          
      (подпись)   (расшифровка подписи)
М.П. "__" ________ 20__ г.        
Исполнитель:   телефон   адрес электронной почты:  

Приложение N 9
к отчету о достижении значений
показателей результативности
использования субсидии

Представляется:

органом, уполномоченным высшим

органом исполнительной власти субъекта

Российской Федерации - в Министерство

сельского хозяйства Российской

Федерации - ежеквартально,

не позднее 15 числа месяца,

следующего за отчетным кварталом

нарастающим итогом

Сведения
о закладке многолетних насаждений (без учета виноградников) и расходах средств бюджета субъекта Российской Федерации (местного бюджета), источником финансового обеспечения которых является субсидия
по ______________________________________________
(наименование субъекта Российской Федерации)
по состоянию на _______________

N строки Наименование показателей Площадь, га Перечислено на отчетную дату, тыс. рублей
Всего в том числе за счет средств
  федерального бюджета бюджета субъекта Российской Федерации
1 2 3 гр. 4 = гр. 5 + гр. 6 5 6
2 Возмещение части затрат на закладку и уход за многолетними насаждениями x      
3 Закладка многолетних насаждений - всего        
4 в том числе:
многолетних плодовых насаждений, орехоплодных насаждений, эфиромасличных насаждений, ягодных кустарниковых насаждений
       
5 садов интенсивного типа        
6 из них с размещением от 800 до 1250 саженцев
на 1 га
       
7 с размещением от 1250 до 2500 саженцев на 1 га        
8 с размещением 2500 и более саженцев на 1 га        
9 плодовых и ягодных питомников - всего        
10 в том числе плодовых питомников        
11 из них маточников вегетативно размножаемых подвоев яблони        
12 хмельников        
13 чайных плантаций        
14 Уход за многолетними плодовыми насаждениями, орехоплодными насаждениями, ягодными кустарниковыми насаждениями, садами интенсивного типа, хмельниками до начала периода их товарного плодоношения, питомниками плодовых и ягодных культур, чайными плантациями, многолетними эфиромасличными насаждениями - всего        
15 в том числе:
многолетними плодовыми насаждениями, орехоплодными насаждениями, эфиромасличными насаждениями, ягодными кустарниковыми насаждениями
       
16 садами интенсивного типа        
17 из них с размещением от 800 до 1250 саженцев
на 1 га
       
18 с размещением от 1250 до 2500 саженцев на 1 га        
19 с размещением 2500 и более саженцев на 1 га        
20 плодовыми и ягодными питомниками - всего        
21 в том числе плодовыми питомниками        
22 из них маточниками вегетативно размножаемых подвоев яблони        
23 хмельниками        
24 чайными плантациями        
Руководитель органа, уполномоченного высшим органом исполнительной власти субъекта Российской Федерации  

(должность)
 

(подпись)
 

(расшифровка подписи)
             
Главный бухгалтер органа, уполномоченного высшим органом исполнительной власти субъекта Российской Федерации  


(подпись)
     


(расшифровка подписи)
"__" _______ 20__ г.          
М.П.            
Исполнитель:   (Ф.И.О.) тел.   адрес электронной почты  

Приложение N 10
к отчету о достижении значений
показателей результативности
использования субсидии

Представляется:

органом, уполномоченным высшим

органом исполнительной власти субъекта

Российской Федерации - в Министерство

сельского хозяйства Российской

Федерации - ежеквартально,

не позднее 15 числа месяца,

следующего за отчетным кварталом

нарастающим итогом

Сведения
о площади, засеваемой элитными семенами, и расходах средств бюджета субъекта Российской Федерации (местного бюджета), источником финансового обеспечения которых является субсидия
по ______________________________________________
(наименование субъекта Российской Федерации)
по состоянию на _______________

N п/п Наименование показателей Площадь, га Площадь, засеваемая элитными семенами, га Площадь, засеваемая элитными семенами, тонн Перечислено на отчетную дату, тыс. рублей
Всего в том числе за счет средств
собственного производства приобретенными   федерального бюджета бюджета субъекта Российской Федерации
1 2 3 4 5 6 7 8 9
  Посеяно: x x x x x x x
01 Вся посевная площадь (без многолетних трав посева прошлых лет)              
02 Зерновых и зернобобовых, (без кукурузы) - всего              
  из них:              
03 Колосовых - всего              
  из них:              
04 Пшеницы              
05 Ячменя              
06 Овса              
07 Ржи              
08 Крупяных              
09 Риса              
10 Бобовых              
11 Кукурузы - всего,              
12 в том числе
кукурузы на зерно
             
13 Сорго - всего              
14 в том числе сорго на зерно              
15 Сахарной свеклы - всего              
16 Льна-долгунца              
17 Конопли              
18 Подсолнечника на зерно              
19 Рапса - всего              
20 в том числе рапса озимого              
21 в том числе рапса ярового              
22 Сои              
23 Картофеля              
24 Овощей - всего              
25 Овощных зернобобовых культур - всего              
26 в том числе зеленого горошка              
27 Бахчевых культур              
28 Однолетних трав              
29 Многолетних трав - всего (посевы текущего года)              
  в том числе:              
30 Злаковые - всего              
31 Бобовые - всего              
  из них:              
32 клевера              
33 люцерны              
Руководитель органа, уполномоченного высшим органом исполнительной власти субъекта Российской Федерации  

(должность)
 

(подпись)
 

(расшифровка подписи)
             
Главный бухгалтер органа, уполномоченного высшим органом исполнительной власти субъекта Российской Федерации  


(подпись)
     


(расшифровка подписи)
"__" _______ 20__ г.          
М.П.            
Исполнитель:   (Ф.И.О.) тел.   адрес электронной почты  

Приложение N 11
к отчету о достижении значений
показателей результативности
использования субсидии

Представляется:

органом, уполномоченным высшим

органом исполнительной власти субъекта

Российской Федерации - в Министерство

сельского хозяйства Российской

Федерации - ежеквартально,

не позднее 15 числа месяца,

следующего за отчетным кварталом

нарастающим итогом

Сведения
о посевной площади под кормовыми культурами, площади подготовки низкопродуктивной пашни и расходах средств бюджета субъекта Российской Федерации (местного бюджета), источником финансового обеспечения которых является субсидия
по _______________________________________________
(наименование субъекта Российской Федерации)
по состоянию на _____________________

N п/п Наименование показателей Площадь, тыс. га Перечислено на отчетную дату, тыс. рублей
Всего в том числе за счет средств
  федерального бюджета бюджета субъекта Российской Федерации
1 2 3   6 7
В электронном документе нумерация граф в таблице соответствует официальному источнику.
01 посевная площадь кормовых культур по сельскохозяйственным организациям, крестьянским (фермерским) хозяйствам и индивидуальным предпринимателям в районах Крайнего Севера и приравненных к ним местностях        
02 площадь подготовки низкопродуктивной пашни (чистых паров)        
Руководитель органа, уполномоченного высшим органом исполнительной власти субъекта Российской Федерации  

(должность)
 

(подпись)
 

(расшифровка подписи)
             
Главный бухгалтер органа, уполномоченного высшим органом исполнительной власти субъекта Российской Федерации  


(подпись)
     


(расшифровка подписи)
"__" _______ 20__ г.          
М.П.            
Исполнитель:   (Ф.И.О.) тел.   адрес электронной почты  

Приложение N 12
к отчету о достижении значений
показателей результативности
использования субсидии

Представляется:

органом, уполномоченным высшим

органом исполнительной власти субъекта

Российской Федерации - в Министерство

сельского хозяйства Российской

Федерации - ежеквартально,

не позднее 15 числа месяца,

следующего за отчетным кварталом

Сведения
о маточном поголовье овец и коз, поголовье северных оленей, маралов и мясных табунных лошадей
по ______________________________________________
(наименование субъекта Российской Федерации)
по состоянию на _____________ 20__ г.

Наименование показателей Код строки Единица измерения показателя результативности Значение целевого показателя, установленное соглашением Фактическое значение целевого показателя Отклонения, тыс. голов Процент выполнения
Всего в том числе
сельскохозяйственные организации крестьянские (фермерские) хозяйства (включая индивидуальных предпринимателей)
1 2 3 4 5 6 7 8 9
Поголовье северных оленей и маралов в сельскохозяйственных организациях, крестьянских (фермерских) хозяйствах (включая индивидуальных предпринимателей), в том числе: 100 тыс. голов
северных оленей <*> 110 тыс. голов
маралов <*> 120 тыс. голов
Поголовье мясных табунных лошадей в сельскохозяйственных организациях, крестьянских (фермерских) хозяйствах (включая индивидуальных предпринимателей) 200 тыс. голов
Маточное поголовье овец и коз в сельскохозяйственных организациях, крестьянских (фермерских) хозяйствах (включая индивидуальных предпринимателей), в том числе: 300 тыс. голов
маточное поголовье овец <*> 310 тыс. голов
маточное поголовье коз <*> 320 тыс. голов

<*> Значение целевого показателя устанавливается специалистами региональных органов управления агропромышленного комплекса на то или иное поднаправление, согласно соглашению о предоставлении субсидии на текущий год.

Руководитель организации          
      (Ф.И.О.)   (подпись)
Должностное лицо, ответственное за составление формы          
  (должность)   (Ф.И.О.)   (подпись)
М.П.         "__" ________ 20__ г.
      (номер контактного телефона)   (дата составления документа)

Приложение N 13
к отчету о достижении значений
показателей результативности
использования субсидии

Представляется:

органом, уполномоченным высшим

органом исполнительной власти субъекта

Российской Федерации - в Министерство

сельского хозяйства Российской

Федерации - ежеквартально,

не позднее 15 числа месяца,

следующего за отчетным кварталом

нарастающим итогом

Сведения
о закладке и уходе за виноградниками и расходах средств бюджета субъекта Российской Федерации (местного бюджета), источником финансового обеспечения которых является субсидия
по ______________________________________________
(наименование субъекта Российской Федерации)
по состоянию на "__" ___________ 20__ г.

N строки Наименование показателей Площадь, га Перечислено на отчетную дату, тысяч рублей
Всего в том числе за счет средств
гр. 4 = гр. 5 + гр. 6 федерального бюджета бюджета субъекта Российской Федерации
1 2 3 4 5 6
2 Возмещение части затрат на закладку и уход за виноградниками x      
3 Закладка виноградников - всего        
4 технических сортов        
5 столовых сортов        
6 универсальных сортов        
7 Уход за виноградниками - всего        
8 в том числе на непосредственный уход:        
9 технических сортов        
10 столовых сортов        
11 универсальных сортов        
12 в том числе на шпалеру:        
13 технических сортов        
14 столовых сортов        
15 универсальных сортов        
16 в том числе на раскорчевку:        
17 технических сортов        
18 столовых сортов        
19 универсальных сортов        
Руководитель органа, уполномоченного высшим органом исполнительной власти субъекта Российской Федерации  

(должность)
 

(подпись)
 

(расшифровка подписи)
             
Главный бухгалтер органа, уполномоченного высшим органом исполнительной власти субъекта Российской Федерации  


(подпись)
     


(расшифровка подписи)
"__" _______ 20__ г.          
М.П.            
Исполнитель:   (Ф.И.О.) тел.   адрес электронной почты  

Приложение N 14
к отчету о достижении значений
показателей результативности
использования субсидии

Представляется:

органом, уполномоченным высшим

органом исполнительной власти субъекта

Российской Федерации - в Министерство

сельского хозяйства Российской

Федерации - ежеквартально,

не позднее 15 числа месяца,

следующего за отчетным кварталом

Сведения
об объемах произведенной и реализованной шерсти, полученной от тонкорунных и полутонкорунных пород овец за отчетный финансовый год
_________________________________________________
(наименование субъекта Российской Федерации)
по состоянию на ________ 20__ г.

Наименование показателей Код строки Единица измерения показателя результативности Значение целевого показателя, установленное соглашением Фактическое значение целевого показателя Отклонения, тыс. голов Процент выполнения
Всего в том числе
сельскохозяйственные организации крестьянские (фермерские) хозяйства (включая индивидуальных предпринимателей)
1 2 3 4 5 6 7 8 9
Объем производства шерсти в сельскохозяйственных организациях, крестьянских (фермерских) хозяйствах, включая индивидуальных предпринимателей, в том числе: 100 тыс. тонн
тонкорунной 110 тыс. тонн
полутонкорунной 120 тыс. тонн
Реализовано тонкорунной и полутонкорунной шерсти (сельскохозяйственными организациями, крестьянскими (фермерскими) хозяйствами, включая индивидуальных предпринимателей) перерабатывающим организациям на территории Российской Федерации, в том числе: 200 тыс. тонн - - -
тонкорунной 210 тыс. тонн - - -
полутонкорунной 220 тыс. тонн - - -
Руководитель организации          
      (Ф.И.О.)   (подпись)
Должностное лицо, ответственное за составление формы          
  (должность)   (Ф.И.О.)   (подпись)
М.П.         "__" ________ 20__ г.
      (номер контактного телефона)   (дата составления документа)

Приложение N 7
к приказу Минсельхоза России
от 31 января 2017 г. N 45

Форма

Заполняется:

органом, уполномоченным высшим

органом исполнительной власти

субъекта Российской Федерации

Представляется:

в Министерство сельского хозяйства

Российской Федерации

Периодичность: один раз в год

не позднее 1 марта года, следующего за отчетным

ОТЧЕТ
об исполнении условий предоставления субсидий
__________________________________________________
(наименование субъекта Российской Федерации)
за 20__ год

Условие предоставления субсидии (в соответствии с Правилами предоставления и распределения субсидий из федерального бюджета бюджету субъекта Российской Федерации на содействие достижению целевых показателей региональных программ развития агропромышленного комплекса) Реквизиты документа, подтверждающего выполнение условия предоставления субсидии
1 2
Наличие региональной программы, предусматривающей перечень мероприятий, целевых индикаторов и показателей результативности использования субсидии  
Наличие в бюджете субъекта Российской Федерации (местном бюджете) бюджетных ассигнований на исполнение расходных обязательств субъекта Российской Федерации (муниципальных образований), связанных с предоставлением средств на поддержку сельскохозяйственного производства в рамках региональной программы  
Возврат субъектом Российской Федерации средств в федеральный бюджет в случае невыполнения показателей результативности использования субсидий в порядке и на условиях, установленных пунктами 16 - 19 Правил формирования, предоставления и распределения субсидий из федерального бюджета бюджетам субъектов Российской Федерации, утвержденных постановлением Правительства Российской Федерации от 30 сентября 2014 г. N 999 "О формировании, предоставлении и распределении субсидий из федерального бюджета бюджетам субъектов Российской Федерации"  
Наличие нормативного правового акта субъекта Российской Федерации, устанавливающего порядок и условия предоставления средств из бюджета субъекта Российской Федерации на поддержку сельскохозяйственного производства, источником финансового обеспечения которых является субсидия, и включающего критерии получателей средств и размеры ставок, перечень документов, необходимых для получения указанных средств, а также сроки их рассмотрения, которые не превышают 15 рабочих дней; порядок распределения средств между направлениями государственной поддержки, источником финансового обеспечения которых является субсидия  
Руководитель органа, уполномоченного высшим органом исполнительной власти субъекта Российской Федерации      


(должность)
         
  (подпись)   (расшифровка подписи)  
М.П. "__" _________ 20__ г.        

Приложение N 8
к приказу Минсельхоза России
от 31 января 2017 г. N 45

ПЕРЕЧЕНЬ
ОБОРУДОВАНИЯ И ТЕХНИКИ ДЛЯ ПРОИЗВОДСТВЕННЫХ ОБЪЕКТОВ

Оборудование и техника для производственных объектов, предназначенных для заготовки, хранения, подработки, переработки, сортировки, убоя, первичной переработки, охлаждения молока, мяса сельскохозяйственных животных, птицы, рыбы и объектов аквакультуры, картофеля, грибов, овощей, плодов и ягод, в том числе дикорастущих, подготовки к реализации, погрузки, разгрузки сельскохозяйственной продукции и продуктов ее переработки, оснащения лабораторий производственного контроля качества и безопасности выпускаемой (производимой и перерабатываемой) продукции и проведения государственной ветеринарно-санитарной экспертизы (приобретение оборудования для лабораторного анализа качества сельскохозяйственной продукции) согласно общероссийскому классификатору продукции по видам экономической деятельности ОК 034-2014 (КПЕС 2008) по номенклатуре, определенной следующими кодами:

- по подразделу 25.9 "Изделия металлические готовые прочие" - код 25.91.11.000 Цистерны, бочки, барабаны, канистры, ящики и аналогичные емкости для любых веществ (кроме газов) из железа, чугуна или стали, вместимостью от 50 до 300 л, не оснащенные механическим или тепловым оборудованием; код 25.92.12.000 Бочки, барабаны, банки, ящики и аналогичные емкости алюминиевые для любых веществ (кроме газов) вместимостью не более 300 л;

- по подразделу 28.13 "Насосы и компрессоры прочие" - код 28.13.14 Насосы центробежные подачи жидкостей прочие, насосы прочие; код 28.13.23.000 Компрессоры для холодильного оборудования;

- по подразделу 28.22 "Оборудование подъемно-транспортное" - код 28.22.18.390 Оборудование подъемно-транспортное и погрузочно-разгрузочное прочее, не включенное в другие группировки; код 28.22.17.190 Подъемники и конвейеры пневматические и прочие непрерывного действия для товаров или материалов, не включенные в другие группировки;

- по подразделу 28.25 "Оборудование промышленное холодильное и вентиляционное" - код 28.25.11.110 Теплообменники; код 28.25.11.120 Машины для сжижения воздуха или прочих газов; код 28.25.12.110 Кондиционеры промышленные; код 28.25.13.110 Оборудование холодильное и морозильное, кроме бытового оборудования; код 28.25.13.111 Шкафы холодильные; код 28.25.13.112 Камеры холодильные сборные; код 28.25.13.113 Прилавки, прилавки-витрины холодильные; код 28.25.13.114 Витрины холодильные; код 28.25.13.115 Оборудование для охлаждения и заморозки жидкостей; код 28.25.13.119 Оборудование холодильное прочее; код 28.25.14.113 Озонаторы; код 28.25.20 Вентиляторы, кроме настольных, напольных, настенных, оконных, потолочных или вентиляторов для крыш; код 28.25.30.110 Комплектующие (запасные части) холодильного и морозильного оборудования, не имеющие самостоятельных группировок;

- по подразделу 28.29 "Машины и оборудование общего назначения прочие, не включенные в другие группировки кодами" - код 28.29.12.110 Оборудование для фильтрования или очистки воды; код 28.29.84.000 Части оборудования, не имеющие электрических соединений, не включенные в другие группировки;

- по подразделу 28.29.3 "Оборудование для взвешивания и дозировки промышленное, бытовое и прочее" - код 28.29.31.111 Весы транспортные; код 28.29.31.112 Весы платформенные и бункерные; код 28.29.31.114 Весы технологические; код 28.29.31.115 Весы лабораторные; код 28.29.31.119 Весы прочие; код 28.29.31.120 Весы непрерывного взвешивания изделий на конвейерах; код 28.29.31.130 Весы, отрегулированные на постоянную массу, и весы, загружающие груз определенной массы в емкость или контейнер;

- по подразделу 28.30 "Машины и оборудование для сельского и лесного хозяйства" - код 28.30.54 "Машины корнеуборочные или клубнеуборочные"; код 28.30.54.110 Машины для уборки и первичной обработки картофеля"; код 28.30.59.141 Машины для уборки и первичной обработки овощей и бахчевых культур; код 28.30.59.142 Машины для уборки и первичной обработки плодов и ягод в садах и виноградниках; код 28.30.81.120 Машины для очистки, сортировки фруктов; код 28.30.81.190 Машины для очистки, сортировки прочих продуктов сельскохозяйственного производства, кроме семян, зерна и сухих бобовых культур; код 28.30.82.110 Установки доильные; код 28.30.82.120 Аппараты доильные; код 28.30.83 Оборудование для приготовления кормов для животных; код 28.30.83.190 Оборудование подогрева молока, обрата и оборудование для молока прочее; код 28.30.86.110 Оборудование для сельского хозяйства, не включенное в другие группировки;

- по подразделу 28.93 "Оборудование для производства пищевых продуктов, напитков и табачных изделий" - код 28.93.12.000 Оборудование для обработки и переработки молока; код 28.93.11.000 Сепараторы-сливкоотделители центробежные; код 28.93.13.149 Оборудование технологическое прочее для комбикормовой промышленности; код 28.93.14.000 Оборудование для виноделия, производства сидра, фруктовых соков или аналогичных напитков; код 28.93.17 Оборудование для промышленной переработки или производства пищевых продуктов, включая жиры и масла, не включенное в другие группировки; код 28.93.17.170 Оборудование для переработки мяса или птицы; код 28.93.17.230 Оборудование для производства рыбных продуктов; код 28.93.17.240 Оборудование для экстракции или приготовления животных или нелетучих растительных жиров и масел; код 28.93.17.290 Оборудование для промышленного приготовления или производства пищевых продуктов прочее, не включенное в другие группировки; код 28.93.32.000 Части оборудования для производства пищевых продуктов;

- по подразделу 28.99 "Оборудование специального назначения прочее, не включенное в другие группировки" - код 28.99.39.190 Оборудование специального назначения прочее, не включенное в другие группировки.

Приложение N 9
к приказу Минсельхоза России
от 31 января 2017 г. N 45

ПЕРЕЧЕНЬ
СПЕЦИАЛИЗИРОВАННОГО ТРАНСПОРТА, ФУРГОНОВ, ПРИЦЕПОВ, ПОЛУПРИЦЕПОВ, ВАГОНОВ, КОНТЕЙНЕРОВ ДЛЯ ТРАНСПОРТИРОВКИ, ОБЕСПЕЧЕНИЯ СОХРАННОСТИ ПРИ ПЕРЕВОЗКЕ И РЕАЛИЗАЦИИ СЕЛЬСКОХОЗЯЙСТВЕННОЙ ПРОДУКЦИИ И ПРОДУКТОВ ЕЕ ПЕРЕРАБОТКИ

Специализированный транспорт, фургоны, прицепы, полуприцепы, вагоны, контейнеры для транспортировки, обеспечения сохранности при перевозке и реализации сельскохозяйственной продукции и продуктов ее переработки согласно общероссийскому классификатору продукции по видам экономической деятельности ОК 034-2014 (КПЕС 2008) по номенклатуре, определенной следующими кодами:

- по подразделу 28.22 "Оборудование подъемно-транспортное" - код 28.22.15.110 Автопогрузчики с вилочным захватом;

- по подразделу 28.30 "Машины и оборудование для сельского и лесного хозяйства" - код 28.30.2 Тракторы для сельского хозяйства прочие; код 28.30.70.000 Прицепы и полуприцепы самозагружающиеся или саморазгружающиеся для сельского хозяйства;

- по подразделу 29.10 "Средства автотранспортные" - код 29.10.4 Средства автотранспортные грузовые; код 29.10.43.000 Автомобили-тягачи сидельные для полуприцепов; код 29.10.59 Средства автотранспортные специального назначения, не включенные в другие группировки; код 29.10.59.390 Средства автотранспортные специального назначения прочие, не включенные в другие группировки;

- по подразделу 29.20 "Кузова (корпуса) для автотранспортных средств; прицепы и полуприцепы" - код 29.20.10.000 Кузова для автотранспортных средств; код 29.20.21 Контейнеры, специально предназначенные для перевозки грузов одним или более видами транспорта; код 29.20.21.110 Контейнеры общего назначения (универсальные); код 29.20.21.120 Контейнеры специализированные; код 29.20.21.190 Контейнеры прочие, не включенные в другие группировки; код 29.20.23.110 Прицепы (полуприцепы) к легковым и грузовым автомобилям, мотоциклам, мотороллерам и квадрациклам; код 29.20.23.120 Прицепы-цистерны и полуприцепы-цистерны для перевозки нефтепродуктов, воды и прочих жидкостей; код 29.20.23.130 Прицепы и полуприцепы тракторные; код 29.20.23.190 Прицепы и полуприцепы прочие, не включенные в другие группировки;

- по подразделу 30.20.3 "Состав подвижной прочий" - код 30.20.33.111 Вагоны грузовые крытые; код 30.20.33.113 Вагоны-цистерны; код 30.20.33.114 Вагоны изотермические.