Постановление Правительства РФ от 20.05.2017 N 606

"Об утверждении Правил выплаты денежного поощрения лучшим учителям образовательных организаций, реализующих образовательные программы начального общего, основного общего и среднего общего образования"
Редакция от 20.05.2017 — Документ утратил силу, см. «Постановление Правительства РФ от 29.12.2018 N 1739»

ПРАВИТЕЛЬСТВО РОССИЙСКОЙ ФЕДЕРАЦИИ

ПОСТАНОВЛЕНИЕ
от 20 мая 2017 г. N 606

ОБ УТВЕРЖДЕНИИ ПРАВИЛ ВЫПЛАТЫ ДЕНЕЖНОГО ПООЩРЕНИЯ ЛУЧШИМ УЧИТЕЛЯМ ОБРАЗОВАТЕЛЬНЫХ ОРГАНИЗАЦИЙ, РЕАЛИЗУЮЩИХ ОБРАЗОВАТЕЛЬНЫЕ ПРОГРАММЫ НАЧАЛЬНОГО ОБЩЕГО, ОСНОВНОГО ОБЩЕГО И СРЕДНЕГО ОБЩЕГО ОБРАЗОВАНИЯ

В соответствии с пунктом 6 Положения о денежном поощрении лучших учителей, утвержденного Указом Президента Российской Федерации от 28 января 2010 г. N 117 "О денежном поощрении лучших учителей", Правительство Российской Федерации постановляет:

Утвердить прилагаемые Правила выплаты денежного поощрения лучшим учителям образовательных организаций, реализующих образовательные программы начального общего, основного общего и среднего общего образования.

Председатель Правительства
Российской Федерации
Д. МЕДВЕДЕВ

УТВЕРЖДЕНЫ
постановлением Правительства
Российской Федерации
от 20 мая 2017 г. N 606

ПРАВИЛА ВЫПЛАТЫ ДЕНЕЖНОГО ПООЩРЕНИЯ ЛУЧШИМ УЧИТЕЛЯМ ОБРАЗОВАТЕЛЬНЫХ ОРГАНИЗАЦИЙ, РЕАЛИЗУЮЩИХ ОБРАЗОВАТЕЛЬНЫЕ ПРОГРАММЫ НАЧАЛЬНОГО ОБЩЕГО, ОСНОВНОГО ОБЩЕГО И СРЕДНЕГО ОБЩЕГО ОБРАЗОВАНИЯ

1. Настоящие Правила определяют порядок выплаты денежного поощрения лучшим учителям образовательных организаций, реализующих образовательные программы начального общего, основного общего и среднего общего образования (далее соответственно - лучшие учителя, денежное поощрение).

2. Выплата денежного поощрения осуществляется в пределах бюджетных ассигнований, предусмотренных федеральным законом о федеральном бюджете на соответствующий финансовый год и плановый период, и лимитов бюджетных обязательств, доведенных в установленном порядке до Министерства образования и науки Российской Федерации как получателя средств федерального бюджета на цели, указанные в пункте 1 настоящих Правил.

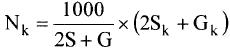
3. Количество денежных поощрений для каждого субъекта Российской Федерации (), выраженное целым числом (при этом указанный показатель не может быть менее 1 на субъект Российской Федерации), определяется по формуле:

,

где:

1000 - количество установленных денежных поощрений;

S - количество обучающихся в образовательных организациях, расположенных в сельской местности, в целом по Российской Федерации;

G - количество обучающихся в образовательных организациях, расположенных в городской местности, в целом по Российской Федерации;

- количество обучающихся в образовательных организациях, расположенных в сельской местности, по субъекту Российской Федерации;

- количество обучающихся в образовательных организациях, расположенных в городской местности, по субъекту Российской Федерации.

4. Количество денежных поощрений для каждого из субъектов Российской Федерации утверждается приказом Министерства образования и науки Российской Федерации.

5. Денежное поощрение носит персональный характер и выплачивается победителям конкурсов на получение денежного поощрения лучшими учителями (далее - конкурс), проведенных органами государственной власти субъектов Российской Федерации, осуществляющими государственное управление в сфере образования, в соответствии с правилами проведения конкурса, утвержденными Министерством образования и науки Российской Федерации.

6. По итогам конкурсов органы государственной власти субъектов Российской Федерации, осуществляющие государственное управление в сфере образования, представляют в Министерство образования и науки Российской Федерации до 15 июля текущего года перечни победителей конкурсов в электронном и бумажном виде с приложением следующих документов:

а) копия протокола конкурсной комиссии об итогах проведения конкурса, заверенная в установленном порядке;

б) копия приказа (решения) органа государственной власти субъекта Российской Федерации, осуществляющего государственное управление в сфере образования, об итогах конкурса, заверенная в установленном порядке;

в) личные заявления от победителей конкурса о предоставлении денежного поощрения, содержащие реквизиты счетов победителей конкурса, открытых в кредитных организациях, и прилагаемые к ним копии документов, удостоверяющих личность победителей конкурса;

г) справки с места работы на каждого победителя конкурса.

7. Министерство образования и науки Российской Федерации на основании документов, представленных в соответствии с пунктом 6 настоящих Правил, не позднее 1 сентября текущего года издает приказ об утверждении перечня победителей конкурсов, которым выплачивается денежное поощрение.

8. Перечисление денежного поощрения осуществляется Министерством образования и науки Российской Федерации в установленном порядке не позднее 5 октября текущего года на открытые в кредитных организациях счета победителей конкурса, реквизиты которых указаны в личных заявлениях победителей конкурса в соответствии с подпунктом "в" пункта 6 настоящих Правил.