Приказ Росстата от 18.04.2011 N 191

"Об утверждении методологических положений по наблюдению за ценами производителей сельскохозяйственной продукции"
Редакция от 28.12.2016 — Действует с 28.12.2016
Показать изменения

ФЕДЕРАЛЬНАЯ СЛУЖБА ГОСУДАРСТВЕННОЙ СТАТИСТИКИ

ПРИКАЗ
от 18 апреля 2011 г. N 191

ОБ УТВЕРЖДЕНИИ МЕТОДОЛОГИЧЕСКИХ ПОЛОЖЕНИЙ ПО НАБЛЮДЕНИЮ ЗА ЦЕНАМИ ПРОИЗВОДИТЕЛЕЙ СЕЛЬСКОХОЗЯЙСТВЕННОЙ ПРОДУКЦИИ

(в ред. Изменений, утв. Приказом Росстата от 28.12.2016 N 874)

В соответствии с п. 5.2 Положения о Федеральной службе государственной статистики, утвержденного Постановлением Правительства Российской Федерации от 02.06.2008 N 420, и п. 5.3.18 Постановления Правительства Российской Федерации от 05.06.2008 N 437 "О Министерстве экономического развития Российской Федерации" приказываю:

1. Утвердить прилагаемые "Методологические положения по наблюдению за ценами производителей сельскохозяйственной продукции", согласованные с Министерством экономического развития Российской Федерации (письмо от 28.03.2011 N 5736-АК/Д03), и ввести их в действие с отчета за апрель 2011 года.

2. С введением п. 1 настоящего Приказа признать утратившим силу Постановление Госкомстата России от 17.03.2000 N 24.

Руководитель
А.Е.СУРИНОВ

УТВЕРЖДЕНЫ
Приказом Росстата
от 18 апреля 2011 г. N 191

МЕТОДОЛОГИЧЕСКИЕ ПОЛОЖЕНИЯ
ПО НАБЛЮДЕНИЮ ЗА ЦЕНАМИ ПРОИЗВОДИТЕЛЕЙ СЕЛЬСКОХОЗЯЙСТВЕННОЙ ПРОДУКЦИИ

(в ред. Изменений, утв. Приказом Росстата от 28.12.2016 N 874)

Разработка Методологических положений осуществлена в соответствии с Федеральным законом от 29 ноября 2007 года N 282-ФЗ "Об официальном статистическом учете и системе государственной статистики в Российской Федерации".

Целью настоящих Методологических положений является разработка принципов организации наблюдения за ценами производителей сельскохозяйственной продукции, определения системы весов и методов расчета средних цен и индексов цен.

Общие положения

Информация, характеризующая ценовые процессы в сельском хозяйстве, необходима для проведения сравнительного анализа изменения цен на отдельные виды и группы сельскохозяйственной продукции, реализованной различными категориями сельскохозяйственных производителей, определения соотношений цен производителей сельскохозяйственной продукции и цен на приобретенные сельскохозяйственными организациями промышленные товары и услуги, а также анализа формирования потребительских цен.

При осуществлении наблюдения за ценами следует учитывать некоторые особенности сельскохозяйственного производства:

- сезонность производства;

- различия природно-климатических условий, что способствует специализации в производстве определенных видов сельскохозяйственной продукции в различных субъектах Российской Федерации;

- разнообразие типов организаций (крупные, т.е. организации, не относящиеся к субъектам малого и среднего предпринимательства; средние и малые предприятия), а также хозяйствующих субъектов различных организационно-правовых форм (личные подсобные и другие индивидуальные хозяйства граждан, крестьянские (фермерские) хозяйства и индивидуальные предприниматели).

1. Показатели статистики цен производителей сельскохозяйственной продукции

Показатели статистики цен производителей сельскохозяйственной продукции являются частью системы показателей статистики цен, которая в свою очередь входит в общую систему социально-экономических показателей.

Для характеристики ценовых процессов в сельскохозяйственном производстве используется следующая совокупность взаимосвязанных показателей:

- зарегистрированная цена производителей сельскохозяйственной продукции - цена, получаемая производителем за реализацию товара, формирующаяся как цена франко-станция отправления (т.е. без учета стоимости доставки до потребителя) и не включающая в себя налог на добавленную стоимость, а также другие налоги, не входящие в себестоимость продукции;

- средняя фактическая цена производителей сельскохозяйственной продукции - определяется исходя из цен на отдельные виды продукции как частное от деления общей стоимости реализованных видов продукции на объем их реализации в натуральном выражении. На уровень и динамику средних цен, помимо ценового фактора, могут оказывать влияние структурные сдвиги, а именно изменение соотношения доли производства различных видов продукции, нестабильность ассортимента производимой продукции, сезонные колебания спроса и т.д.;

- средняя сопоставимая цена производителей - средняя цена, рассчитанная на основе постоянного перечня отдельных видов продукции и организаций в сравниваемых периодах времени и неизменной структуры производства с использованием расчетных цен на отдельные виды товаров в условиях отсутствия их фактической реализации. На динамику средних сопоставимых цен производителей не оказывают влияние структурные сдвиги, в отличие от средних фактических цен производителей сельскохозяйственной продукции, поэтому они могут использоваться для расчетов индексов цен;

- индекс цен производителей сельскохозяйственной продукции - относительный показатель динамики цен, характеризующий изменение во времени цен на сопоставимые виды производимой продукции.

Индекс цен производителей может быть:

- индивидуальным, рассчитанным непосредственно путем деления цен конкретных видов продукции с одинаковыми качественными характеристиками в отчетном и базисном периодах;

- сводным по группе товаров, определяемым путем агрегирования индивидуальных индексов цен по сопоставимым наборам производимой продукции.

Совокупность индексов цен производителей сельскохозяйственной продукции имеет многоуровневую иерархическую структуру.

С одной стороны, индексы цен строятся на базе двух статистических группировок:

- товарной, т.е. по видам и группам наблюдаемой сельскохозяйственной продукции;

- по видам экономической деятельности, т.е. по разновидностям сельскохозяйственного производства.

С другой стороны, индексы цен рассчитываются по различным категориям сельскохозяйственных производителей:

- по сельскохозяйственным организациям, занимающимся производством и реализацией сельскохозяйственной продукции;

- по населению, осуществляющему в личных подсобных и других индивидуальных хозяйствах производство и реализацию сельскохозяйственной продукции;

- в целом по обследуемым категориям хозяйств.

2. Организация статистического наблюдения за ценами

Цель статистического наблюдения за ценами заключается в получении первичной информации, необходимой для формирования индексов цен производителей сельскохозяйственной продукции, а также средних цен на отдельные виды сельскохозяйственной продукции, сложившихся в определенные периоды времени.

Единицей наблюдения является вид товара, формирующийся на стадии производства и первой фазе его реализации (продажи) сельскохозяйственным производителем.

Объектом наблюдения является совокупность наблюдаемых товаров, производимых сельскохозяйственными производителями.

Отчетными единицами в данном наблюдении выступают производители сельскохозяйственной продукции.

В соответствии со статьей 3 Федерального закона от 29 декабря 2006 года N 264-ФЗ "О развитии сельского хозяйства" и изменениями в соответствии с Федеральным законом от 5 апреля 2009 г. N 46-ФЗ "О внесении изменений в статью 3 Федерального закона "О развитии сельского хозяйства" "сельскохозяйственными товаропроизводителями признаются организация, индивидуальный предприниматель (далее - сельскохозяйственный товаропроизводитель), осуществляющие производство сельскохозяйственной продукции, ее первичную и последующую (промышленную) переработку... и реализацию этой продукции при условии, что в доходе сельскохозяйственных товаропроизводителей от реализации товаров (работ, услуг) доля дохода от реализации этой продукции составляет не менее чем семьдесят процентов за календарный год".

Сельскохозяйственными товаропроизводителями признаются также:

1) граждане, ведущие личное подсобное хозяйство;

2) сельскохозяйственные потребительские кооперативы (перерабатывающие, сбытовые (торговые), обслуживающие (в том числе кредитные), снабженческие, заготовительные);

3) крестьянские (фермерские) хозяйства.

В соответствии с основными принципами организации статистического наблюдения за ценами данное наблюдение не ставит задачи охватить цены на абсолютно все товары, производимые всеми сельхозпроизводителями, и носит выборочный характер.

Наблюдение за ценами осуществляется по основным категориям сельскохозяйственных товаропроизводителей на выборочной основе.

В соответствии со статьей 6, п. 1 Федерального закона от 29 ноября 2007 года N 282-ФЗ "Об официальном статистическом учете и системе государственной статистики в Российской Федерации" "федеральное статистическое наблюдение в зависимости от способа проведения может быть... выборочным (проводится в отношении отдельных субъектов (объектов) изучаемой совокупности на основе представительной (репрезентативной) выборки, полно и адекватно отражающей свойства изучаемой совокупности)".

Для эффективной организации данного выборочного наблюдения необходимо соблюдение следующих условий:

- совокупность отобранных для наблюдения видов продукции и хозяйств должна быть репрезентативной, сформированной с учетом охвата всех наблюдаемых видов сельскохозяйственной продукции и особенностей экономической конъюнктуры производства в различных субъектах Российской Федерации;

- наблюдаемые виды продукции должны быть сопоставимыми по качественным характеристикам, структуре формирования цены, условиям продажи в сравниваемых периодах времени;

- регистрация цен на товары должна проводиться через одинаковые промежутки времени;

- необходимо наличие информации по наблюдаемым товарам для формирования весов.

Можно выделить основные этапы организации данного наблюдения:

- отбор представительных видов сельскохозяйственной продукции для сбора ценовой информации;

- формирование совокупности базовых сельскохозяйственных организаций, в которых проводится наблюдение за ценами на отобранные виды продукции;

- определение порядка сбора первичной ценовой информации, а также информации, которая будет использоваться в качестве весов для расчетов средних цен и индексов цен.

2.1. Формирование набора товаров для наблюдения за ценами

Под набором товаров для наблюдения за ценами понимается выборочный круг производимых видов сельскохозяйственной продукции, на которые с определенной периодичностью регистрируются цены с целью исчисления средних цен и формирования индексов цен производителей по товарам, товарным группам, видам экономической деятельности.

Набор товаров для наблюдения за ценами производителей сельскохозяйственной продукции формируется на двух уровнях - федеральном и региональном.

2.1.1. Набор товаров-представителей создается на федеральном уровне и представляет собой централизованный перечень товаров и товарных групп, единый для сбора цен во всех субъектах Российской Федерации.

Товарная группа представляет собой совокупность однородных товаров-представителей. Например: пшеница, овощи бобовые сушеные (зернобобовые культуры) и т.д. (в ред. Изменений, утв. Приказом Росстата от 28.12.2016 N 874)

Под товаром-представителем для целей настоящих Методологических положений понимается товар с определенной характеристикой, объединяющий несколько его видов, которые могут отличаться друг от друга незначительными особенностями, не влияющими на качество и основные потребительские свойства, но являющихся однородными по своему потребительскому назначению. Например: пшеница твердая, семена подсолнечника, молоко сырое крупного рогатого скота, яйца куриные в скорлупе свежие и т.д. (в ред. Изменений, утв. Приказом Росстата от 28.12.2016 N 874)

Набор товаров-представителей формируется на основе Общероссийского классификатора продукции по видам экономической деятельности (ОКПД2). Он включает основные товары, отобранные по принципу их репрезентативности. Критериями репрезентативности являются: (в ред. Изменений, утв. Приказом Росстата от 28.12.2016 N 874)

- удельный вес товаров в общем производстве, т.е. стоимость отобранных товаров должна составлять не менее 50% в производстве (реализации) той товарной группы или вида экономической деятельности, который они представляют;

- охват основных видов сельскохозяйственного производства - растениеводство и животноводство;

- производство отобранных для наблюдения товаров должно быть характерным для сельского хозяйства Российской Федерации и осуществляться на протяжении нескольких лет.

В перечень товаров-представителей, участвующих в наблюдении за ценами, отбирается продукция с различным циклом производства (реализации):

- постоянно производимая в течение года (в основном это продукция животноводства);

- производимая несколько месяцев в году, но реализуемая в течение более длительного времени (например, отдельные виды зерновых и овощных культур);

- с ярко выраженной сезонностью, например, огурцы и томаты (помидоры) открытого грунта, свекла сахарная и т.д.

Сформированный таким образом набор товаров-представителей охватывает различные товарные группы сельскохозяйственной продукции, в том числе и той, производство которой в силу биологических и природно-климатических факторов непостоянно и носит сезонный характер.

Сельскохозяйственную продукцию по своему назначению можно разделить на две группы товаров:

а) продукты, предназначенные для переработки и конечного использования потребителем;

б) продукты, предназначенные для использования внутри самого сельскохозяйственного производства, например, саженцы, рассада, семена для посева, племенной скот, инкубационные яйца и т.д. (исключение составляет фуражное зерно, реализуемое перерабатывающим предприятиям).

В набор товаров-представителей для наблюдения за ценами включаются товары, относящиеся к первой группировке. Это позволяет условно рассматривать сельскохозяйственное производство как "отдельное сельскохозяйственное предприятие", осуществляющее реализацию продукции предприятиям других видов экономической деятельности, что дает возможность для проведения экономического анализа поэтапного формирования цены и сопоставления цен на различных стадиях производства и потребления.

Перечень товаров-представителей формируется в составе формы федерального статистического наблюдения N 1-СХ-цены "Сведения о ценах производителей сельскохозяйственной продукции", которая утверждается приказом Росстата.

2.1.2. Набор видов товаров строится по принципу разукрупнения набора товаров-представителей. Он различается по субъектам Российской Федерации, так как формируется непосредственно специалистами каждого территориального органа государственной статистики совместно со специалистами сельскохозяйственных организаций для наблюдения за ценами производителей в отобранных организациях. Набор видов товаров на федеральный уровень не передается.

Вид товара - это конкретизированная минимальная единица товара, входящая в товар-представитель, обладающая определенными качественными признаками и свойствами (сорт, класс, категория, возраст и т.д.), а также другими признаками (условиями реализации). Например: яйца взрослых кур, реализованные на рынке или промышленным организациям.

Наблюдение за товарами конкретного вида с определенными специфическими особенностями сужает рамки ценовой категории, в которую он попадает, и обеспечивает соблюдение принципа сопоставимости цен при сравнении их во времени. Это позволяет при расчете индивидуальных индексов цен на отдельные виды товаров отразить только ценовое изменение и избежать искажений, вызванных различиями в качественных и других характеристиках товаров.

Сотрудники территориальных органов государственной статистики, основываясь на информации, представленной специалистами сельскохозяйственных организаций, отбирают несколько наиболее представительных видов товаров по каждому товару-представителю, различных по сортам, классам, типам покупателей, условиям реализации и т.д.

Специалисты сельскохозяйственных организаций должны представлять наиболее подробную характеристику конкретного вида товара, что позволит правильно идентифицировать его в следующем отчетном периоде и отследить чисто ценовое изменение по данному виду товара.

Специфика сельскохозяйственного производства состоит в том, что существует значительное количество организаций с широким и ежегодно меняющимся ассортиментом производимой продукции (например, организации, относящиеся к виду экономической деятельности "Смешанное сельское хозяйство"). В таких организациях необходимо регистрировать цены на большее количество видов товаров с целью своевременной замены обновляемого ассортимента продукции. (в ред. Изменений, утв. Приказом Росстата от 28.12.2016 N 874)

Информация о ценах на конкретные виды товаров на федеральный уровень не передается. Данная информация является первичной и используется только для расчетов средних цен и индексов цен на товары-представители в данном субъекте Российской Федерации.

Периодически, но не чаще одного раза в год (как правило, в начале календарного года) наборы товаров-представителей и видов товаров для наблюдения за ценами производителей сельскохозяйственной продукции актуализируются в зависимости от изменений, происходящих в ассортименте и объемах производимой сельскохозяйственной продукции, а также в связи с дополнительной потребностью заинтересованных министерств и ведомств в получении информации о ценах и индексах цен на те или иные виды продукции.

2.2. Формирование выборочной совокупности объектов наблюдения за ценами

Для наблюдения за ценами производителей сельскохозяйственной продукции, реализованной сельскохозяйственными организациями, формируется выборочная совокупность базовых организаций на основе территориального раздела Генеральной совокупности объектов статистического наблюдения.

Основное условие выборки - организации, отобранные для наблюдения за ценами должны иметь вид экономической деятельности, который в соответствии с Общероссийским классификатором видов экономической деятельности (ОКВЭД2) принадлежит к классу 01.01.АГ "Сельское хозяйство". (в ред. Изменений, утв. Приказом Росстата от 28.12.2016 N 874)

Отбор сельскохозяйственных организаций осуществляется в соответствии с "Методологическими рекомендациями по формированию выборочной совокупности сельскохозяйственных организаций для наблюдения за ценами на продукцию (услуги)" (утверждены заместителем Председателя Госкомстата России 8 июня 2004 г.) с использованием программного комплекса ЭОД "Формирование выборочной сети сельскохозяйственных организаций для наблюдения за ценами на продукцию (услуги)".

При формировании выборки применяется комбинированный метод, сочетающий сплошное наблюдение для особо крупных сельскохозяйственных организаций и выборочный метод для крупных и средних организаций (в отдельных случаях - для малых организаций, например, тепличных хозяйств).

Выборка формируется с учетом охвата всех входящих в наблюдение товаров-представителей.

Объем выборки составляет 25% от общего числа сельскохозяйственных организаций, включая крупные, в каждом субъекте Российской Федерации. Данный объем выборки считается наиболее предпочтительным для получения репрезентативной информации о ценах производителей сельскохозяйственной продукции.

Выборочные совокупности по крупным и средним (в отдельных случаях - малым) организациям формируются отдельно для каждого товара-представителя на основе методологии стратифицированной (расслоенной) выборки с равномерным размещением. В качестве критерия отбора используются показатели размеров посевных площадей и дополнительно - поголовья скота (для животноводческих организаций).

В список отобранных базовых организаций попадают наиболее представительные сельскохозяйственные организации, имеющие значительный удельный вес в объеме производства отдельных видов продукции или специализирующиеся на производстве определенных видов продукции, а также нетипичные организации, реализующие малораспространенные виды продукции, а также случайно отобранные организации.

В перечень отобранных базовых сельскохозяйственных организаций могут быть внесены корректировки, т.е. возможна замена организаций на аналогичные по виду сельскохозяйственного производства в случаях, если:

- отобранная организация собирается прекратить или изменить свою деятельность;

- объемы производства вида продукции, по которому отобрана организация, незначительны и нестабильны.

Обновление перечня базовых организаций с учетом изменений, происходящих в сельскохозяйственном производстве каждого субъекта Российской Федерации, осуществляется один раз в начале года.

При наблюдении за ценами производителей сельскохозяйственной продукции, реализованной населением, используются данные мониторинга производства сельскохозяйственной продукции, осуществляемого на базе выборочного наблюдения личных подсобных хозяйств, основы которого изложены в "Методических указаниях по проведению выборочного статистического наблюдения за сельскохозяйственной деятельностью личных подсобных и других индивидуальных хозяйств граждан на основе материалов Всероссийской сельскохозяйственной переписи 2006 года" (утверждены Приказом Росстата от 05.12.2008 N 302).

2.3. Порядок сбора ценовой информации

Сбор информации о ценах производителей сельскохозяйственной продукции, реализованной сельскохозяйственными организациями, осуществляется ежемесячно на основе формы федерального статистического наблюдения N 1-СХ-цены "Сведения о ценах производителей сельскохозяйственной продукции".

Первоначально в отобранные для наблюдения за ценами организации специалисты территориальных органов государственной статистики высылают письма с просьбой о предоставлении информации и бланки формы N 1-СХ-цены с указаниями по ее заполнению.

В соответствии со статьей 9 Федерального закона N 282-ФЗ от 29 ноября 2007 года "Об официальном статистическом учете и системе государственной статистики в Российской Федерации" отчитывающимся организациям гарантируется конфиденциальность первичной статистической информации (соответствующая запись имеется в адресной части бланка формы N 1-СХ-цены). Данные по отдельным организациям используются только для формирования сводной (агрегированной) официальной статистической информации.

Сельскохозяйственные организации, отобранные для наблюдения за ценами производителей, представляют отчет по форме N 1-СХ-цены в территориальный орган Росстата (республики, края, области, автономной области и автономного округа) в сроки, предусмотренные в бланке формы.

В бланке формы представлен перечень товаров-представителей, на которые осуществляется наблюдение за ценами, и их коды на основе ОКПД2. (в ред. Изменений, утв. Приказом Росстата от 28.12.2016 N 874)

Отчет по форме N 1-СХ-цены предусматривает сбор первичной информации по двум показателям - цена и количество реализованной продукции. Основанием для заполнения формы служат сведения о ценах и количестве реализованной продукции, содержащиеся в товарно-транспортных накладных, реестрах и других платежных документах.

Специалисты сельскохозяйственных организаций по каждому из производимых товаров-представителей отбирают один или несколько видов с наибольшим объемом производства (реализации) и приводят в форме их подробные описания.

При этом виды товаров, как отмечалось в п. 2.1.2, могут различаться не только по качественным характеристикам (классам, сортам, категориям и т.д.), но и по условиям реализации или по покупателям - "каналам реализации" продукции.

Данные о ценах приводятся на сельскохозяйственную продукцию собственного производства, фактически реализованную покупателям в момент регистрации цен.

Момент регистрации цен - это день, ближайший к отчетному (20 числу месяца), наиболее типичный по условиям реализации конкретного вида продукции. Таким образом, момент регистрации цен для различных видов продукции может немного отличаться. При этом день регистрации цен отдельного вида продукции должен быть постоянным в каждом месяце текущего года, а интервал между предыдущей и последующей регистрациями цен на конкретный вид продукции должен быть равен календарному месяцу. Если в момент регистрации цен реализация конкретного вида продукции не осуществлялась, то регистрация цен данного вида продукции может быть перенесена на несколько дней в пределах отчетного месяца.

Цены производителей сельскохозяйственной продукции включают надбавки и скидки за качество продукции и не включают расходы на транспортировку, экспедирование, погрузку и разгрузку продукции, а также налог на добавленную стоимость и другие налоги, не входящие в себестоимость продукции.

В состав регистрируемой цены не включаются дополнительные затраты сельскохозяйственных производителей сверх цены производства, которые приводятся в платежных документах. Например, затраты на тару для транспортирования овощей, оплачиваемые заказчиком отдельно.

Количество реализованной продукции приводится за предыдущий месяц по тем видам, на которые зарегистрирована цена в отчетном месяце.

Данные об объемах реализации отдельных видов продукции используются в качестве весов для расчета средних цен.

Накопленные в течение года данные о количестве реализованной продукции используются в качестве весов при расчете индексов цен производителей сельскохозяйственной продукции в следующем отчетном году.

Контроль первичных статистических данных осуществляется специалистами территориальных органов государственной статистики при приеме форм, а также в рамках комплекса ЭОД "Средние цены и индексы цен производителей сельскохозяйственной продукции".

При существенных изменениях цен (в программном комплексе ЭОД предусмотрены контроли на значительные пределы изменения цен) специалисты территориальных органов государственной статистики должны выяснить у специалистов сельскохозяйственных организаций причины повышения или снижения цен на продукцию. Наиболее частыми причинами роста (снижения) цен могут быть: изменение спроса, расходов на производство (изменение цен на горючее и смазочные материалы, минеральные удобрения, комбикорма и т.д.), сезонные причины, резкое увеличение (уменьшение) объема производства, урожайность и другие.

В рамках наблюдения за ценами сельскохозяйственных производителей по форме N 1-СХ-цены регистрация цен на сельскохозяйственную продукцию, реализованную населением, не осуществляется. Ценовая информация формируется на основе данных о количестве и стоимости реализованной населением продукции, предоставляемых в рамках формы федерального статистического наблюдения N 2 "Производство сельскохозяйственной продукции в личных подсобных и других индивидуальных хозяйствах граждан".

2.4. Особенности регистрации цен на отдельные товары и товарные группы

Позиция "пшеница" разделена на две разновидности: пшеница твердая (используется в основном для производства макаронных изделий и круп) и пшеница, кроме твердой (используется в основном, для получения хлебопекарной муки)". (в ред. Изменений, утв. Приказом Росстата от 28.12.2016 N 874)

Абзац второй - Исключен. (в ред. Изменений, утв. Приказом Росстата от 28.12.2016 N 874)

В группе "овощи бобовые сушеные (зернобобовые культуры)" отдельно выделена позиция "горох". По позиции "культуры зернобобовые (овощи бобовые сушеные) прочие, не включенные в другие группировки" должны быть отображены данные по отдельным видам, например, фасоль, чечевица, чина и т.д. (в ред. Изменений, утв. Приказом Росстата от 28.12.2016 N 874)

По позициям "семена подсолнечника" и "свекла сахарная" в форме не должна отражаться продукция, цены на которую получены в результате пересчета переработанной на давальческих началах сельскохозяйственной продукции (например, сахарная свекла, пересчитанная из сахара; семена подсолнечника - из масла подсолнечного).

"Томаты (помидоры)" и "огурцы" наблюдаются по двум позициям: выращенные в открытом грунте и закрытом грунте, т.е. в парниках и теплицах.

Отдельные позиции товаров-представителей по сути являются малыми товарными группами и информация о ценах и количестве реализованной продукции обязательно должна быть приведена на конкретные виды культур, входящие в эту группу: (в ред. Изменений, утв. Приказом Росстата от 28.12.2016 N 874)

- "культуры бахчевые" - на дыни, арбузы; (в ред. Изменений, утв. Приказом Росстата от 28.12.2016 N 874)

Абзац восьмой - Исключен. (в ред. Изменений, утв. Приказом Росстата от 28.12.2016 N 874) (в ред. Изменений, утв. Приказом Росстата от 28.12.2016 N 874)

- "косточковые плоды" - на абрикосы, вишню, черешню, персики, сливу и т.д.; (в ред. Изменений, утв. Приказом Росстата от 28.12.2016 N 874)

- "ягоды и плоды растений вида Vaccinium" - на землянику (клубнику), малину, смородину, крыжовник и т.д. (в ред. Изменений, утв. Приказом Росстата от 28.12.2016 N 874)

По всем культурам растениеводства в наблюдение не включаются семена и посадочный материал, выращиваемые для нужд сельскохозяйственных организаций.

Наблюдение за ценами на реализованные скот и птицу осуществляется как в живом, так и в убойном весе.

В наблюдение не включаются чистопородные племенные виды скота, а также скот, проданный биофабрикам, биокомбинатам.

По позиции "крупный рогатый скот" рекомендуется осуществлять наблюдение отдельно на породы мясного и молочного стада. (в ред. Изменений, утв. Приказом Росстата от 28.12.2016 N 874)

По позиции "птица сельскохозяйственная живая" в наблюдение включаются в основном куры (отдельно яичных и мясных пород), кроме видов племенного разведения. Помимо кур могут наблюдаться гуси, утки, индейки и т.д. при существенных объемах их реализации.

По позиции "яйца куриные в скорлупе свежие" не следует наблюдать яйца инкубационные. (в ред. Изменений, утв. Приказом Росстата от 28.12.2016 N 874)

По отдельным видам сельскохозяйственной продукции, реализуемой заготовительным пунктам, количество следует указывать в зачетном весе, принятом к оплате, т.е. фактическое количество, пересчитанное с учетом установленного стандартами качества. Например, на пшеницу - с установленными процентами влажности и засоренности, на молоко сырое крупного рогатого скота - с базисной жирностью и т.д.

3. Обеспечение сопоставимости цен

Для осуществления индексных расчетов необходимо сформировать непрерывные ряды сопоставимых цен как на отдельные виды наблюдаемой продукции, так и на товары-представители.

Соблюдение принципа сопоставимости цен предполагает, что в каждом отчетном периоде в конкретной организации должна быть зарегистрирована цена на товар, аналогичный (по качественным характеристикам, условиям реализации и т.д.) товару, зарегистрированному в предыдущем периоде. Таким образом, сопоставимыми ценами на отдельные виды продукции являются цены на аналогичные по качественным и другим характеристикам товары в сравниваемых периодах времени.

Для обеспечения сопоставимости в динамике цен на конкретный товар-представитель необходимо, чтобы ассортимент наблюдаемых видов продукции, входящих в данный товар-представитель, был неизменным в сравниваемых периодах.

Приведение ценовых рядов к сопоставимости является обязанностью специалистов территориальных органов государственной статистики.

Существуют определенные методы обеспечения сопоставимости цен в случаях:

- изменения качественных характеристик наблюдаемых видов продукции;

- смены канала или условий реализации продукции;

- временного или полного прекращения реализации продукции;

- наблюдения за товарами с ограниченным сроком реализации и использования (товарами с ярко выраженной сезонностью).

3.1. Обеспечение сопоставимости цен при изменении качественных характеристик наблюдаемых видов продукции

Изменение цен на отдельный вид продукции может носить не только инфляционный характер, но и быть вызвано изменением его определенных качественных характеристик.

Для отражения чисто ценового изменения необходимо сформировать динамический ряд сопоставимых цен по конкретному виду сельскохозяйственной продукции, исключающий влияние качественных изменений. Для этого следует располагать подробным описанием качественных характеристик данного товара в каждом отчетном периоде: сортов, классов и т.п. - для отдельных видов культур; породы, возраста и т.п. - для скота и птицы.

При появлении в отчетном периоде по конкретному виду продукции качественных характеристик, отличающихся от тех, что были в предыдущем периоде, следует рассматривать рост (снижение) цен на данный вид продукции как отчасти вызванный изменением качества. В связи с этим для обеспечения сопоставимости цен на данный вид продукции в сравниваемых периодах возникает необходимость корректировки отчетной цены с учетом изменения качества, для чего может применяться один из следующих способов.

1. Наиболее простым методом в этой ситуации является возможность зарегистрировать в одном месяце (например, в предыдущем) цены "старого" и "нового" видов продукции, чтобы разницу между ними рассматривать как качественное удорожание (удешевление). Далее при определении условно-расчетной цены на "старый" вид продукции следует корректировать в каждом отчетном периоде цену "нового" вида на эту разницу (до появления производства "старого" вида продукции).

2. В случае если "старый" и "новый" товары не реализовывались в одном и том же месяце и возможность определения увеличения (или уменьшения) цены за счет качественных изменений отсутствует, рекомендуется на основании данных, полученных от сельхозпроизводителей:

- составить структуру цены "старого" и "нового" товаров;

- определить стоимость увеличения (уменьшения) затрат, повлекших изменение качества продукции;

- при формировании условно-расчетной цены исходить из цены на "новый" вид товара за вычетом дополнительных издержек, связанных с изменением качества продукции.

Второй способ корректировки цен с учетом качества достаточно сложно осуществить на практике. Поэтому наиболее приемлемыми способами определения условно-расчетных цен в таких случаях являются те, которые применяются в условиях временного или полного прекращения реализации продукции (приведены в пункте 3.3).

3.2. Обеспечение сопоставимости цен при изменении канала или условий реализации продукции

В ряде случаев сельскохозяйственные организации осуществляют реализацию одного и того же вида продукции разным покупателям по различным ценам, и проследить на протяжении длительного периода времени динамику цен по конкретному каналу реализации достаточно сложно.

Для расчетов средних цен и индексов цен производителей сельскохозяйственной продукции необходимо обеспечение принципа сопоставимости цен, отслеживаемых по одним и тем же каналам реализации при постоянных условиях продажи. Это позволяет при расчете индексов цен исключить влияние на их уровень факторов, связанных с изменениями типов покупателей или условий продажи продукции.

Каналами реализации сельскохозяйственной продукции могут быть субъекты оптового и розничного рынков, организации, осуществляющие закупки для государственных и муниципальных нужд, потребительские кооперативы, перерабатывающие организации, коммерческие организации и т.п. Продукция сельскохозяйственных производителей может также реализовываться через собственную торговую сеть (магазины, палатки, киоски), на ярмарках, биржах, аукционах, населению (через систему общественного питания хозяйства). По отдельным товарам уровень и динамика цен могут различаться при реализации продукции внутри субъекта Российской Федерации и за его пределами.

Также существуют разные условия реализации продукции, такие как продажа с предварительной оплатой, частичной оплатой, бартерные поставки, мелкими или крупными партиями, по товарному кредиту и т.д., для которых уровень цен может значительно отличаться.

В наблюдении должна участвовать продукция по наиболее представительному (т.е. наиболее постоянному с наибольшим объемом продажи) каналу реализации с определенными условиями продажи. Например, по позиции "Томаты (помидоры) открытого грунта" - реализация консервному заводу с предварительной оплатой или в торговую сеть мелкими партиями.

При этом покупателей, которым реализуется конкретный вид продукции по незначительно различающимся ценам, можно условно рассматривать как один канал реализации, а цену для данного канала реализации следует рассчитать как среднюю арифметическую взвешенную с учетом объемов продажи каждому потребителю в базисном периоде.

Следует исключать из регистрации цен тех покупателей, реализация продукции которым осуществлялась единовременно по очень низким или очень высоким ценам.

Случаи смены потребителей или условий реализации, повлекшие существенное изменение цен, должны рассматриваться как изменение вида товара, которое не позволяет напрямую сравнивать цену отчетного и предыдущего периодов регистрации. В таких ситуациях рекомендуется для обеспечения сопоставимости данных использовать условно-расчетные цены, методы определения которых приведены в пункте 3.3.

3.3. Обеспечение сопоставимости цен для расчетов индексов цен в условиях временного или полного прекращения реализации продукции

Для обеспечения сопоставимости цен в целях формирования индексов цен на товары-представители необходимо исключить влияние фактора ассортиментного сдвига, т.е. сделать круг наблюдаемых видов товаров, входящих в данный товар-представитель, постоянным. В случае временного прекращения в отчетном периоде производства продукции, которая наблюдалась в базисном периоде, необходимо в качестве цен на отсутствующие виды продукции использовать условно-расчетные цены.

Ориентиром для формирования условно-расчетных цен в каждом отдельном случае могут служить цены или их относительное изменение соответственно на:

- товар-представитель, в который входит временно исчезнувший вид товара;

- аналогичные виды продукции в других сельскохозяйственных организациях;

- аналогичные виды товаров в других субъектах Российской Федерации.

В случае отсутствия возможности воспользоваться одним из вышеперечисленных способов для определения условно-расчетных цен может применяться индекс цен по товарной группе или по виду экономической деятельности, к которому относится производство данного вида товара.

При этом следует обращать внимание на то, чтобы уровень полученной условно-расчетной цены не выходил за пределы минимальной и максимальной цен видов товаров, относящихся к данному товару-представителю. Если вид товара, производство которого временно прекратилось, имел минимальный уровень цен, то условно-расчетную цену на него не следует сильно понижать, и, наоборот, на товар с максимальным уровнем цен в предыдущие периоды не рекомендуется показывать значительный рост расчетной цены.

Если изменение цен в отчетном периоде времени по продукции, производство которой не прекращалось, было незначительным, то для видов товаров, временно не производимых, может в качестве условно-расчетной цены использоваться цена предыдущей регистрации. Таким образом осуществляется так называемая "протяжка" цены.

Однако такой метод можно использовать только в условиях стабильной динамики цен и лишь один-два месяца по согласованию со специалистами сельскохозяйственной организации, участвующей в наблюдении, в тех случаях, если затраты на производство и реализацию продукции за этот период остались неизменными. Неоднократное повторение условно-расчетной цены в каждом отчетном периоде на исчезнувший вид товара исказит как оценку средней цены, так и индекс цен по товару-представителю.

При полном прекращении производства и реализации наблюдаемых видов товаров-представителей, а также закрытии или перепрофилировании хозяйства рекомендуется руководствоваться следующим.

Если закрытие организации или полное прекращение производства и реализации продукции произошло в начале года, то необходимо проверить, есть ли в регионе другое хозяйство, производящее и реализующее аналогичную продукцию, но не попавшее в наблюдение. В этом случае следует произвести замену организации и наблюдаемого вида продукции на аналогичные.

Если такой вид продукции в субъекте Российской Федерации больше не производится, то он исключается из наблюдения и, соответственно, пересчитываются сводные ценовые и индексные ряды за все предшествующие месяцы отчетного и базисного годов. Однако следует иметь в виду, что пересчет индексных рядов следует производить только в экстренных случаях.

В случае если закрытие организации или прекращение производства конкретного вида продукции произошло в конце года, то необходимо в качестве цен для исчезнувшего товара до конца отчетного года использовать условно-расчетные цены.

3.4. Особенности формирования индексных рядов на товары с ограниченным сроком реализации и использования

Производство и реализация некоторых видов сельскохозяйственной продукции, на которые осуществляется наблюдение за ценами, носит ярко выраженный сезонный характер, т.е. осуществляется циклически, только в определенные месяцы года. Это такие виды наблюдаемой продукции растениеводства, как свекла сахарная, огурцы и томаты (помидоры) открытого грунта, косточковые плоды, ягоды и плоды растений вида Vaccinium, культуры бахчевые, виноград. (в ред. Изменений, утв. Приказом Росстата от 28.12.2016 N 874)

Сформировать индексные ряды на товары с ограниченным сроком реализации и использования и обеспечить их непрерывность - наиболее трудная задача. Основная проблема состоит в том, что в определенные периоды (а это большая часть года) производство и реализация вышеперечисленных товаров-представителей отсутствует не только на территории субъекта Российской Федерации, но и в целом на территории России.

Существует несколько способов, применяемых в периоды отсутствия производства и реализации данных видов продукции.

1. Расчет индексов цен по данным товарам-представителям может осуществляться на основе условно-расчетных цен, в качестве которых рекомендуется применять индексируемую цену последнего месяца их реализации. При этом для того, чтобы определить условно-расчетную цену, необходимо использовать индекс цен по товарной группе или по виду экономической деятельности, к которому относится данный товар-представитель.

Данный метод применяется в случае резкого роста цен на другие стабильно реализуемые виды продукции.

Применение условно-расчетных цен производится вплоть до начала сезона производства и реализации товара и появления реальных цен. При этом может возникнуть ситуация, когда реальные цены окажутся значительно ниже условно-расчетных за предыдущий период, и рассчитанный на их основе индекс цен за отчетный месяц сложится ниже 100%, что не будет соответствовать действительности. В таком случае в месяц появления фактической цены необходимо произвести корректировку условно-расчетных цен на конкретный товар-представитель за все предшествующие месяцы на основе данных о реальном изменении цен, произошедшем в целом за год.

Соответственно должны быть пересчитаны сводные индексы цен по товарной группе, видам экономической деятельности и в целом по сельскому хозяйству.

Аналогичные корректировки могут быть внесены в расчет индексов цен в случаях значительного занижения условно-расчетных цен по сравнению с фактическими ценами.

2. В случае низких темпов роста цен на стабильно реализуемые виды сельскохозяйственной продукции для расчета индексов цен на товары с ограниченным сроком реализации и использования в качестве условно-расчетных цен можно применять цены последнего месяца реализации, т.е. осуществлять "протяжку" цен.

Использование "протянутых" цен в периоды значительной инфляции недопустимо, так как это приводит к искажению сводных индексов цен.

3. Сводные индексы цен по товарным группам и видам экономической деятельности могут быть рассчитаны с применением перенормирования весов внутри товарных групп в каждом отчетном периоде.

Применение данного метода в современных экономических условиях имеет ряд недостатков. Использование системы переменных весов приводит к изменению базовой стоимости, что затрудняет применение рекурсивного метода расчета сводных индексов цен и построение их к различным периодам предыдущего года. Возникает ситуация несопоставимости между сводным индексом цен и входящими в него групповыми индексами цен, а также индексами цен на товары-представители, рассчитанными к различным периодам предыдущего года.

Поэтому наиболее приемлемыми методами для формирования ценовых и индексных рядов с учетом товаров с ярко выраженной сезонностью производства и реализации являются первый и второй.

При этом для аналитических целей осуществляется расчет сводных индексов цен по продукции сельского хозяйства и растениеводства без учета товаров с ограниченным сроком реализации и использования.

4. Основные этапы расчета средних цен и индексов цен

На основе данных о ценах и количестве реализованной сельскохозяйственной продукции поэтапно осуществляется расчет средних цен и индексов цен на товары-представители, товарные группы, а также индексов цен по видам экономической деятельности в разрезе субъектов Российской Федерации, федеральных округов и России в целом. Порядок расчета показателей следующий:

- формирование базисных весов для расчета средних цен и индексов цен;

- расчет средних цен;

- получение индивидуальных и сводных индексов цен;

- расчет индексов цен к различным периодам.

4.1. Формирование весов для расчета средних цен и индексов цен производителей сельскохозяйственной продукции

Расчет средних цен на товары-представители и агрегированных индексов цен предусматривает наличие системы взвешивания.

Расчет средних цен на товары-представители осуществляется на основе переменных весов, в качестве которых используется информация о количестве реализации конкретных видов товаров, входящих в товар-представитель, в отчетном периоде.

В соответствии с международными стандартами индексные расчеты производятся на основе весов базисного периода.

При этом чтобы избежать влияния на индекс цен структурного фактора, т.е. меняющегося удельного веса отдельных видов продукции с различным уровнем цен, вызванного изменением количества их производства в каждом отчетном периоде, базисные веса в течение года должны быть постоянными.

В связи с существенными ежегодными изменениями в структуре реализации сельскохозяйственной продукции, вызванными причинами объективного и субъективного характера (природно-климатическими условиями и урожайностью, банкротством и перепрофилированием сельскохозяйственных организаций, изменением спроса на ту или иную сельскохозяйственную продукцию и т.д.), обновление весов осуществляется раз в год.

В качестве базисных весов для расчета индексов цен на первом и втором этапах агрегации используется информация о количестве, далее - информация о стоимости реализованной продукции за предыдущий год, а при ее отсутствии в начале отчетного года - информация за год, предшествующий предыдущему. Таким образом, базисные веса для осуществления индексных расчетов выбираются по принципу наибольшей приближенности к отчетному году.

Изначально базисные веса формируются в субъектах Российской Федерации и далее на федеральном уровне.

Расчет индексов цен производителей сельскохозяйственной продукции, реализованной сельскохозяйственными организациями, осуществляется на основе базисных весов путем их агрегирования (перехода от количества производства (реализации) продукции по выборочной совокупности организаций к стоимостным объемам по всем крупным и средним сельскохозяйственным организациям субъекта Российской Федерации).

Расчет индексов цен производителей сельскохозяйственной продукции, реализованной сельскохозяйственными организациями, в субъекте Российской Федерации осуществляется поэтапно по следующей схеме:

      1 этап   2 этап   3 этап   4 этап          
                                               
      Индексы цен по видам продукции в организации   > Индексы цен на товары-представители в организации   > Индексы цен на товары-представители в субъекте РФ   > Индексы цен на товарные группы (виды экономической деятельности) в субъекте РФ   > Сводный индекс цен производителей сельскохозяйственной продукции в субъекте РФ      
                   

На каждом этапе агрегирования индексов цен в качестве весов используются определенные показатели.

1 этап. На первом этапе расчета индексов цен по конкретному товару-представителю в отдельной сельскохозяйственной организации в качестве весов используется количество в натуральном выражении каждого вида продукции, входящего в данный товар-представитель и реализованного сельскохозяйственной организацией в предыдущем году (из формы федерального статистического наблюдения N 1-СХ-цены "Сведения о ценах производителей сельскохозяйственной продукции").

В начале отчетного года перед осуществлением индексных расчетов базисные веса корректируются:

- удаляется информация о количестве реализованной продукции за предыдущий год по тем видам и организациям, которые исключаются из наблюдения в отчетном году;

- вводится информация, накопленная за предыдущий год, о количестве реализованной продукции по позициям, которые включаются в наблюдение с нового года.

2 этап. Для расчета индексов цен на конкретный товар-представитель по субъекту Российской Федерации используется количество реализации в целом по данному товару-представителю в обследуемых организациях в натуральном выражении за предпредыдущий год (вводится из формы федерального статистического наблюдения с "Сведения о реализации сельскохозяйственной продукции" (годовая)).

3 этап. Индексы цен на товарные группы (виды экономической деятельности) рассчитываются на основе базисных весов, в качестве которых используется стоимость реализации по каждому входящему в товарную группу товару-представителю в целом по субъекту Российской Федерации.

4 этап. Сводный индекс цен производителей сельскохозяйственной продукции рассчитывается на основе индексов цен по укрупненным товарным группам "Культуры сельскохозяйственные, продукция овощеводства и садоводства" и "Животные живые и продукты животного происхождения" с использованием данных о стоимости реализованной продукции растениеводства и животноводства в целом по субъекту Российской Федерации.

Показатели стоимости реализации по товарам-представителям, товарным группам "Культуры сельскохозяйственные, продукция овощеводства и садоводства" и "Животные живые и продукты животного происхождения" формируются также на основе формы федерального статистического наблюдения N 21-СХ "Сведения о реализации сельскохозяйственной продукции" (годовая) за предпредыдущий год.

В качестве базисных весов при расчете индексов цен производителей сельскохозяйственной продукции, реализованной населением, на всех этапах агрегации используются данные о стоимости реализованной населением сельскохозяйственной продукции за предпредыдущий год из формы федерального статистического наблюдения N 2 "Производство сельскохозяйственной продукции в личных подсобных и других индивидуальных хозяйствах граждан", распространенные на все хозяйства населения.

На федеральном уровне в качестве базисных весов для расчета индексов цен по каждому товару-представителю используется информация о стоимости реализации этого товара в базисном периоде, которая рассчитывается путем суммирования соответствующих показателей по субъектам Российской Федерации.

4.2. Расчет средних цен

4.2.1. Расчет средних цен производителей на товары-представители (товарные группы) осуществляется на основе данных о ценах отдельных видов сельскохозяйственной продукции, фактически реализованной сельскохозяйственными организациями в отчетном периоде, по формуле средней арифметической взвешенной, т.е. путем отношения суммы произведений цен отдельных видов товаров на количество их реализации к общему количеству реализованных видов товаров, входящих в товар-представитель (товарную группу).

В качестве весов при расчете средних цен используются данные о количестве реализованной продукции в каждом отчетном периоде.

_

где:

_

- средняя цена производителей определенного товара-представителя в отчетном месяце;

n - количество видов товаров, входящих в товар-представитель;

- цена i-ого вида продукции в отчетном месяце;

- количество реализации конкретного вида продукции в отчетном периоде.

Пример расчета средней арифметической взвешенной цены на товар-представитель:

Предыдущий месяц Отчетный месяц
количество продукции, тонн цена, рублей стоимость продукции, рублей количество продукции, тонн цена, рублей стоимость продукции, рублей
1 2 3 4 = 2 x 3 5 6 7 = 5 x 6
Вид товара 1 20 2150 43000 65 2130 138450
Вид товара 2 45 2400 108000      
Вид товара 3 16 2190 35040 18 2500 45000
Вид товара 4       28 2650 74200
Вид товара 5 12 2800 33600 22 2750 60500
Товар-представитель 93 2362 219640 133 2392 318150

Таким образом средние цены производителей на продукцию, реализованную сельскохозяйственными организациями, рассчитываются ежемесячно на основе данных о ценах и количестве фактически реализованных в отчетном периоде видов товаров.

При анализе динамики средних цен и индексов цен производителей сельскохозяйственной продукции следует иметь в виду, что изменение средних цен по отдельным товарам может отличаться от индексов цен, так как средние цены рассчитываются как средневзвешенные значения по тому ассортименту товаров, реализация которых осуществлялась в отчетном периоде. Расчет индексов, цен осуществляется на основе постоянного ассортимента товаров в течение отчетного года с использованием расчетных цен на отдельные виды товаров в случаях отсутствия их фактической реализации.

Расчет средних цен за квартал и в целом за год осуществляется по формуле среднеарифметической взвешенной на основе ежемесячных средних цен и количества реализованной продукции, т.е. путем деления стоимости реализованной продукции на ее количество за квартал или в целом за год.

На основе средних цен на товары-представители рассчитываются средние цены по отдельным товарным группам в субъектах Российской Федерации и путем последовательного их агрегирования формируются средние цены по федеральным округам и России в целом.

4.2.2. Расчет средних цен производителей сельскохозяйственной продукции, реализованной населением, осуществляется ежеквартально на основе данных формы федерального статистического наблюдения N 2 "Производство сельскохозяйственной продукции в личных подсобных и других индивидуальных хозяйствах граждан". Средние цены на товары-представители по субъекту Российской Федерации рассчитываются путем деления стоимости реализованной продукции собственного производства на ее количество в натуральном выражении в отчетном квартале.

4.2.3. Расчет средних цен производителей сельскохозяйственной продукции, реализованной всеми обследуемыми категориями производителей, осуществляется по товарам-представителям и отдельным товарным группам ежеквартально путем агрегирования квартальных средних цен производителей по сельскохозяйственным организациям и по населению с учетом постоянных базисных весов.

4.3. Расчет индексов цен

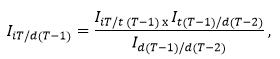
4.3.1. Расчет индивидуальных индексов цен

В связи со спецификой сельскохозяйственного производства, связанной с его цикличностью и сезонной зависимостью, расчет индивидуальных индексов цен производителей сельскохозяйственной продукции, реализованной сельскохозяйственными организациями, осуществляется за годовой период, т.е. как отношение цены конкретного вида товара в отчетном месяце к его цене в соответствующем месяце предыдущего года:

где:

- индивидуальный индекс цен i-ого вида товара в отчетном месяце t отчетного года T к соответствующему месяцу t предыдущего года T - 1;

- цена производителей i-ого вида товара в отчетном месяце t отчетного года T;

- цена производителей i-ого вида товара в соответствующем месяце t предыдущего года T - 1.

Для расчета индивидуальных индексов цен используются динамические ряды цен на отдельные виды продукции по всем наблюдаемым организациям за предыдущий год.

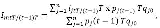
4.3.2. Расчет индексов цен к различным периодам

Расчет индексов цен к различным периодам осуществляется с использованием цепных индексов цен за годовой период, рассчитанных к единой базе - декабрю года, предшествующего предыдущему. При этом расчет цепных индексов цен по конкретному товару не допускает отсутствия индекса цен ни в одном из месяцев в рассматриваемом периоде по какому-либо виду товара или организации. Поэтому индексы цен рассчитываются на основе динамических рядов сопоставимых цен, т.е. с использованием условно-расчетных цен в периоды отсутствия производства (реализации) продукции.

Индекс цен за отчетный месяц к декабрю предыдущего года рассчитывается как отношение, в числителе которого произведение индекса цен отчетного месяца к соответствующему месяцу предыдущего года и индекса цен соответствующего месяца предыдущего года к декабрю года, предшествующего предыдущему, в знаменателе - индекс цен декабря предыдущего года к декабрю года, предшествующего предыдущему:

где:

- индекс цен отчетного месяца к декабрю предыдущего года;

- индекс цен отчетного месяца к соответствующему месяцу предыдущего года;

- индекс цен соответствующего месяца предыдущего года к декабрю года, предшествующего предыдущему;

- индекс цен декабря предыдущего года к декабрю года, предшествующего предыдущему.

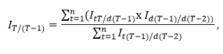
Индекс цен за отчетный месяц к предыдущему месяцу рассчитывается как отношение индекса цен отчетного месяца к декабрю предыдущего года к индексу цен предыдущего месяца к декабрю предыдущего года:

где:

- индекс цен отчетного месяца к предыдущему месяцу;

- индекс цен отчетного месяца к декабрю предыдущего года;

- индекс цен предыдущего месяца к декабрю предыдущего года.

4.3.3. Расчет сводных индексов цен

Последовательно рассчитываются индексы цен производителей сельскохозяйственной продукции по разным группировкам различной степени агрегации:

- товары-представители;

- группы товаров;

- продукция сельского хозяйства в целом;

- в разрезе подгрупп (структура кода xx.xx.x), групп (xx.xx), подклассов (xx.x) и классов (xx) видов экономической деятельности.

Для расчета индексов цен по товарам-представителям за отчетный месяц по отношению к предыдущему месяцу применяется формула Ласпейреса:

где:

- индекс цен j-ого товара-представителя в отчетном месяце к предыдущему месяцу;

n - количество видов товаров, входящих в товар-представитель;

- цена производителей i-ого вида товара в отчетном месяце;

- цена производителей i-ого вида товара в предыдущем месяце;

- количество реализации i-ого вида товара в базисном периоде.

Пример расчета индекса цен на товар-представитель:

Количество реализованной продукции в базисном периоде, тонн Цена в предыдущем месяце, рублей Цена в отчетном месяце, рублей Стоимость продукции в ценах предыдущего месяца, рублей Стоимость продукции в ценах отчетного месяца, рублей Индекс цен, %
1 2 3 4 5 = 2 x 3 6 = 2 x 4 7 = 6 / 5 x 100
Вид товара 1 350 2150 2130 752500 745500 99,07
Вид товара 2 520 2400 2397 <*> 1248000 1246659 99,89
Вид товара 3 75 2190 2500 164250 187500 114,16
Вид товара 4 250 2544 <*> 2650 636000 662500 104,17
Вид товара 5 180 2800 2750 504000 495000 98,21
Товар-представитель 1375     3304750 3337159 100,98

<*> Цены определены как условно-расчетные на основе относительного изменения средних цен на товар-представитель, полученного исходя из цен на отдельные виды товаров, реализация которых была в обоих смежных периодах.

Расчет индексов цен производителей по группам товаров, продукции сельского хозяйства в целом (в том числе в разрезе подгрупп, групп, подклассов и классов видов экономической деятельности) в связи с переходом на стоимостные веса более высокого уровня агрегации осуществляется рекурсивным методом по модифицированной формуле Ласпейреса.

Индекс цен в таких случаях определяется как отношение суммарной стоимости реализации всех товаров-представителей, входящих в группу, в ценах отчетного месяца к аналогичной их стоимости в ценах предыдущего месяца.

где:

- индекс цен по товарной группе m в отчетном месяце к предыдущему месяцу;

n - количество товаров-представителей, входящих в товарную группу;

- индекс цен по j-ому товару-представителю отчетного месяца к предыдущему месяцу;

- стоимость j-ого товара-представителя в ценах предыдущего месяца.

Пример расчета индекса цен по товарной группе:

Стоимость продукции в ценах предыдущего месяца, рублей Стоимость продукции в ценах отчетного месяца, рублей Индекс цен, %
1 2 3 = 2 x 4 / 100 4
Товар-представитель 1 3912900 3951246 100,98
Товар-представитель 2 5872300 6055516 103,12
Товар-представитель 3 967700 982892,9 101,57
Товар-представитель 4 2207893 2167047 98,15
Товар-представитель 5 571800 571800 100,00
Товар-представитель 6 800920 795714 99,35
Товарная группа 14333513 14524216 101,33

Расчет индексов цен по видам экономической деятельности производится по следующей схеме: товар-представитель (товарная группа) -> подгруппа вида экономической деятельности -> группа вида экономической деятельности -> подкласс вида экономической деятельности -> класс вида экономической деятельности.

На федеральном уровне расчеты индексов цен производителей сельскохозяйственной продукции осуществляются по следующим схемам:

1. Товар-представитель по субъекту РФ -> товар-представитель по федеральному округу -> товар-представитель по России;

2. Товар-представитель по федеральному округу -> товарная группа по федеральному округу -> товарная группа по России;

3. Товар-представитель (товарная группа) по федеральному округу -> виды экономической деятельности по федеральному округу;

4. Товар-представитель (товарная группа) по России -> виды экономической деятельности по России.

Индексы цен к декабрю предыдущего года на товары-представители и товарные группы, а также по видам экономической деятельности рассчитываются цепным методом (перемножением) на основе динамических рядов индексов цен к предыдущему месяцу.

4.3.4. Индекс цен отчетного месяца к соответствующему месяцу предыдущего года рассчитывается как отношение, в числителе которого произведение индекса цен отчетного месяца к декабрю предыдущего года и индекса цен декабря предыдущего года к декабрю года, предшествующего предыдущему, в знаменателе - индекс цен соответствующего месяца предыдущего года к декабрю года, предшествующего предыдущему:

где:

- индекс цен отчетного месяца к соответствующему месяцу предыдущего года;

- индекс цен отчетного месяца к декабрю предыдущего года;

- индекс цен декабря предыдущего года к декабрю года, предшествующего предыдущему;

- индекс цен соответствующего месяца предыдущего года к декабрю года, предшествующего предыдущему.

4.3.5. Индекс цен за период с начала года к соответствующему периоду предыдущего года рассчитывается как отношение суммы индексов цен за все месяцы с начала года к декабрю года, предшествующего предыдущему, к сумме индексов цен за аналогичные месяцы предыдущего года к декабрю года, предшествующего предыдущему:

где:

n - число месяцев с начала года;

- индекс цен за период с начала отчетного года к соответствующему периоду предыдущего года;

- индексы цен за месяцы отчетного года к декабрю предыдущего года;

- индекс цен декабря предыдущего года к декабрю года, предшествующего предыдущему;

- индексы цен соответствующих месяцев предыдущего года к декабрю года, предшествующего предыдущему.

Аналогичным образом рассчитываются индексы цен за квартал, полугодие, 9 месяцев, год. Для этого динамические ряды ежемесячных индексов цен приводятся к единой базе - декабрю года, предшествующего предыдущему. Далее сумма полученных индексов цен за месяцы отчетного года делится на сумму индексов цен за соответствующие месяцы предыдущего года. При этом число слагаемых числителя и знаменателя должно соответствовать числу месяцев сопоставляемых периодов.

Пример расчета индексов цен за период с начала года к соответствующему периоду предыдущего года (жирным шрифтом выделены индексы цен за полугодие и год):

В электронном документе индексы цен за полугодие и год, выделенные жирным шрифтом, отмечены знаком "#".

(в процентах)

Предыдущий год Отчетный год
к предыдущему месяцу к декабрю года, предшествующего предыдущему к предыдущему месяцу к декабрю года, предшествующего предыдущему за период с начала года к соответствующему периоду предыдущего года
1 2 3 4 5 6
Январь 101,21 101,21 100,93 108,35 107,05
Февраль 101,64 102,87 100,50 108,89 106,45
Март 101,32 104,23 99,87 108,75 105,73
Апрель 100,78 105,04 100,26 109,03 105,24
Май 100,55 105,62 99,13 108,08 104,65
Июнь 100,69 106,35 100,00 108,08 #104,14#
Июль 100,02 106,37 99,20 107,22 103,65
Август 100,45 106,85 98,80 105,93 103,08
Сентябрь 100,10 106,96 107,40 113,77 103,45
Октябрь 100,17 107,14 105,90 120,48 104,36
Ноябрь 100,20 107,35 105,10 126,62 105,62
Декабрь 100,00 107,35 104,80 132,70 #107,15#

Индексы цен за период с начала года к соответствующему периоду предыдущего года используются для пересчета макроэкономических показателей в сопоставимые цены.