МЕЖГОСУДАРСТВЕННЫЙ СТАНДАРТ
СИСТЕМА СТАНДАРТОВ БЕЗОПАСНОСТИ ТРУДА
ШУМ
ОБЩИЕ ТРЕБОВАНИЯ БЕЗОПАСНОСТИ
Occupational safety standards system. Noise. General safety requirements
ГОСТ 12.1.003-2014
Дата введения 1 ноября 2015 года
Предисловие
Цели, основные принципы и основной порядок проведения работ по межгосударственной стандартизации установлены в ГОСТ 1.0-92 "Межгосударственная система стандартизации. Основные положения" и ГОСТ 1.2-2009 "Межгосударственная система стандартизации. Стандарты межгосударственные, правила и рекомендации по межгосударственной стандартизации. Порядок разработки, принятия, применения, обновления и отмены".
Сведения о стандарте
1. Разработан Открытым акционерным обществом "Научно-исследовательский центр контроля и диагностики технических систем" (АО "НИЦ КД").
2. Внесен Федеральным агентством по техническому регулированию и метрологии Российской Федерации.
3. Принят Межгосударственным советом по стандартизации, метрологии и сертификации (Протокол от 5 декабря 2014 г. N 46-2014).
За принятие стандарта проголосовали:
4. Приказом Федерального агентства по техническому регулированию и метрологии от 29 декабря 2014 г. N 2146-ст межгосударственный стандарт ГОСТ 12.1.003-2014 введен в действие в качестве национального стандарта Российской Федерации с 1 ноября 2015 г.
5. Взамен ГОСТ 12.1.003-83, ГОСТ 12.1.023-80.
Информация об изменениях к настоящему стандарту публикуется в ежегодном информационном указателе "Национальные стандарты", а текст изменений и поправок - в ежемесячном информационном указателе "Национальные стандарты". В случае пересмотра (замены) или отмены настоящего стандарта соответствующее уведомление будет опубликовано в ежемесячном информационном указателе "Национальные стандарты". Соответствующая информация, уведомление и тексты размещаются также в информационной системе общего пользования - на официальном сайте Федерального агентства по техническому регулированию и метрологии в сети Интернет.
Введение
Шум на рабочем месте оказывает раздражающее влияние на работника, повышает его утомляемость, а при выполнении задач, требующих внимания и сосредоточенности, способен привести к росту ошибок и увеличению продолжительности выполнения задания. Длительное воздействие шума влечет тугоухость работника вплоть до его полной глухоты.
Внезапные шумы высокой интенсивности, даже кратковременные (взрывы, удары и т.п.), могут вызвать как острые нейросенсорные эффекты (головокружение, звон в ушах, снижение слуха), так и физические повреждения (разрыв барабанной перепонки с кровотечением, поражения среднего уха и улитки).
Нарушения слуха - проблема не только здоровья отдельного работника, но и безопасности труда как его самого, так и третьих лиц. Прежде всего это касается таких профессий, как пилоты гражданской авиации, водители транспортных средств и другие профессии высокого риска.
Национальным законодательством с учетом документов Международной организации труда (МОТ), Всемирной организации здравоохранения (ВОЗ), Международной организации по стандартизации (ИСО) устанавливаются гигиенические нормативы по шуму, процедуры управления соответствующими профессиональными рисками на рабочем месте и регламенты медицинского обслуживания в зависимости от вида выполняемых работ.
В настоящем стандарте шум рассматривается только с точки зрения возможного вредного влияния на здоровье работника, в первую очередь на его орган слуха, и развития в связи с этим профессионального заболевания (нарушение слуха, вызванное воздействием шума).
1. Область применения
Настоящий стандарт устанавливает принципы обеспечения безопасности и сохранения здоровья работников при воздействии на них шума в нормальных условиях рабочего процесса и общие требования к оценке этого воздействия.
Примечание 1. Возможны ситуации, выходящие за пределы нормальных условий рабочего процесса и не поддающиеся прогнозированию работодателем, когда работник подвергается повышенному риску потери или ухудшения слуха. При возникновении таких ситуаций работодатель самостоятельно или совместно с работником принимает решение о дополнительных мерах по обеспечению безопасности.
Примечание 2. В настоящем стандарте понятие "шум" относится только к диапазону слышимых частот, включающему в себя третьоктавные полосы по ГОСТ 17168-82 со среднегеометрическими частотами от 25 до 10000 Гц (см. 3.1.1). Звуковые колебания в более низком (инфразвук) и в более высоком (ультразвук) диапазонах также способны оказывать вредное влияние на здоровье работника, однако в настоящем стандарте они не рассматриваются.
Настоящий стандарт распространяется на все рабочие места и все условия шумового воздействия (на производстве, транспорте, в строительстве, горных и других работах и пр.).
Положения настоящего стандарта следует учитывать при гигиеническом нормировании шума.
2. Нормативные ссылки
В настоящем стандарте использованы нормативные ссылки на следующие стандарты:
ГОСТ ISO 9612-2015 Акустика. Измерения шума для оценки его воздействия на человека. Метод измерений на рабочих местах
ГОСТ 17168-82 <1> Фильтры электронные октавные и третьоктавные. Общие технические требования и методы испытаний
<1> В Российской Федерации действует ГОСТ Р 8.714-2010 Государственная система обеспечения единства измерений. Фильтры полосовые октавные и на доли октавы. Технические требования и методы испытаний.
ГОСТ 17187-2010 Шумомеры. Часть 1. Технические требования
ГОСТ 30691-2001 (ИСО 4871:1996) Шум машин. Заявление и контроль значений шумовых характеристик
ГОСТ 31171-2003 (ИСО 11200:1995) Шум машин. Руководство по выбору метода определения уровней звукового давления излучения на рабочем месте и в других контрольных точках
ГОСТ 31252-2004 (ИСО 3740:2000) Шум машин. Руководство по выбору метода определения уровней звуковой мощности.
Примечание. При пользовании настоящим стандартом целесообразно проверить действие ссылочных стандартов по указателю "Национальные стандарты", составленному по состоянию на 1 января текущего года, и по соответствующим информационным указателям, опубликованным в текущем году. Если ссылочный стандарт заменен (изменен), то при пользовании настоящим стандартом следует руководствоваться заменяющим (измененным) стандартом. Если ссылочный стандарт отменен без замены, то положение, в котором дана ссылка на него, применяется в части, не затрагивающей эту ссылку.
3. Термины и определения
В настоящем стандарте применены следующие термины с соответствующими определениями:
3.1. Общие определения
3.1.1. Шум: звуковые колебания в диапазоне слышимых частот, способные оказать вредное воздействие на безопасность и здоровье работника.
Примечания
1. Часто с термином "шум" связывают только нежелательные звуковые воздействия. Однако в целях оценки вредного воздействия шума на работника учитывают также звуки в форме речевых сообщений, музыки, звуковых сигналов и т.п.
2. Шум в каждой точке пространства характеризуется звуковым давлением p в этой точке или звуковым давлением, корректированным по одной из стандартизованных частотных характеристик шумомера <2>. Например, звуковое давление, корректированное по частотной характеристике A шумомера (см. 4.1.3), обозначают .
<2> ГОСТ 17187-2010 установил два основных вида частотной коррекции: A и C.
3.1.2. Звуковое давление p, Па: разность между мгновенным и статическим давлениями воздушной среды.
Примечание. Поскольку минимальное и максимальное значения звукового давления p, различаемые ухом человека вплоть до появления у него болевых ощущений, отличаются друг от друга приблизительно в миллион раз, для описания шума принято использовать выражаемый в децибелах (дБ) уровень звукового давления , где
- опорное значение звукового давления, равное 20 мкПа. Использование логарифмического масштаба для описания шумового воздействия удобно также потому, что соответствует субъективному восприятию громкости шума человеком. Поскольку звуковое давление p и уровень звукового давления
являются величинами, изменяющимися со временем, для описания шумового воздействия на некотором временном интервале T часто используют средний по этому интервалу уровень звукового давления, называемый эквивалентным уровнем звукового давления
(см. 3.1.3). Другим способом усреднения по времени является экспоненциальное усреднение (интегрирование) с разными постоянными времени
<3>.
<3> ГОСТ 17187-2010 установил следующие временные характеристики экспоненциального интегрирования с разными постоянными времени : F (
= 0,125 c), S (
= 1 с), l (
= 0,035 с).
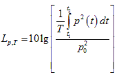
3.1.3. Эквивалентный уровень звукового давления , дБ: десятикратный десятичный логарифм отношения усредненного на заданном временном интервале T (с началом t1 и окончанием t2) квадрата звукового давления p к квадрату опорного звукового давления
(
= 20 мкПа)
3.1.4. Эквивалентный уровень звука (с частотной коррекцией A) , дБ <4>: десятикратный десятичный логарифм отношения усредненного на заданном временном интервале T (с началом t1 и окончанием t2) квадрата звукового давления, корректированного по частотной характеристике A,
к квадрату опорного звукового давления
(
= 20 мкПа)
<4> Ранее в межгосударственных стандартах по акустике в качестве единицы измерения данной величины указывали дБА.
Примечание. Выражают в децибелах (дБ).
3.1.5. Диапазон слышимых частот: диапазон частот звуков, воспринимаемых и различаемых отологически нормальными лицами.
Примечание. Обычно в качестве диапазона слышимых частот принимают диапазон, включающий в себя третьоктавные полосы со среднегеометрическими частотами от 25 до 10000 Гц.
3.2. Шум на рабочем месте
3.2.1. Оценка шумового воздействия (на работника): сравнение значения показателя шумового воздействия, полученного в результате измерения, с гигиеническим нормативом по шуму.
Примечание. Понятие "измерение" здесь рассматривается в широком смысле и может включать в себя при необходимости процедуры расчетов и прогнозирования.
3.2.2. Гигиенический норматив (по шуму): законодательно установленное предельно допустимое значение нормируемой характеристики шумового воздействия на работника на его рабочем месте.
Примечания
1. Гигиенические нормативы по шуму устанавливают по результатам комплексных санитарно-гигиенических обследований работников и клинических исследований влияния шума на слуховой аппарат человека, исходя из риска появления профессионального заболевания или травм, обусловленных шумом. Соблюдение гигиенических нормативов не исключает возникновение профессиональных заболеваний у небольшой доли работников, отличающихся повышенной чувствительностью к воздействию шума.
2. При превышении установленных гигиенических нормативов шум рассматривают как вредный фактор производственной среды.
3. Нормируемыми характеристиками шумового воздействия могут быть, например, эквивалентный уровень звука за 8-часовой рабочий день , пиковый уровень звука с частотной коррекцией
.
3.2.3. Эквивалентный уровень звука за 8-часовой рабочий день , дБ: величина, используемая в целях нормирования и оценки шума на рабочем месте и определяемая как
где - эквивалентный уровень звука, определенный в соответствии с ГОСТ ISO 9612 и настоящим стандартом для номинального рабочего дня, характеризующегося временным интервалом
, дБ;
- эффективная длительность номинального рабочего дня (т.е. интервал времени, в течение которого наблюдается воздействие шума, существенного и представительного для данного рабочего места), ч;
- базовая длительность рабочего дня, равная 8 ч.
Примечание. Величину, нормируемую и измеряемую <5> в целях оценки шума на рабочем месте, не следует путать с физической величиной, определяемой той же формулой (3), но для произвольно выбранного 8-часового интервала и неопределенных условий измерений.
<5> Понятие измеряемой величины определено в ISO/IEC Guide 98-3:2008 Uncertainty of measurement - Part 3: Guide to the expression of uncertainty in measurement (GUM:1995) (В Российской Федерации действует ГОСТ Р 54500.3-2011/Руководство ИСО/МЭК 98-3:2008 Неопределенность измерения. Часть 3. Руководство по выражению неопределенности измерения).
3.2.4. Пиковый уровень звука с частотной коррекцией C , дБ: величина, используемая в целях нормирования и оценки шума на рабочем месте и определяемая как
где - пиковое значение звукового давления, корректированного по частотной характеристике C, на интервале времени
, определенное в соответствии с ГОСТ ISO 9612 и настоящим стандартом, мкПа;
= 20 мкПа.
3.2.5. Номинальный (рабочий) день: реальный или смоделированный рабочий день, выбранный для оценки шумового воздействия.
Примечание. Номинальный день определяют на основе анализа проводимых работ как представительный для расчета шумового воздействия на работника.
3.2.6. Импульс (шума): кратковременное возрастание звукового давления.
Примечания
1. Импульс звукового давления на рабочем месте может быть создан как кратковременным излучением шума стационарным или перемещающимся источником, так и непрерывным излучением шума перемещающимся источником.
2. Длительность импульса, определяемая интервалом времени, когда он различимо превышает фоновый шум, обычно составляет менее одной секунды.
3.2.7. Импульсный шум: последовательность импульсов шума.
Примечания
1. Если импульсы шума следуют друг за другом с очень коротким промежутком времени (менее 0,2 с), например при работе пневматического рубильного молотка, то такой шум не рассматривают как импульсный. Однако если число импульсов в последовательности невелико, а общее время последовательности не превышает длительности, характерной для одного импульса (см. примечание 2 к 3.3), то применительно к рабочему месту всю последовательность можно рассматривать как один импульс, а повторение таких последовательностей - как импульсный шум. Если такая последовательность характеризует шумоизлучение машины, то она рассматривается как однократный шумовой процесс (см. 3.3.7).
2. Иногда под импульсным шумом понимают шум, содержащий импульсы.
3.2.8. Тональный шум: звук, в спектре которого присутствуют одна или несколько отчетливо выраженных частотных или узкополосных составляющих.
3.3. Шум машин
3.3.1. Шумовая характеристика (машины): одна или несколько величин, характеризующих излучаемый машиной шум в заданных условиях ее применения.
Примечания
1. Под машиной в данном определении может пониматься оборудование, транспортное средство, производящее шум сооружение и т.п.
2. Условия применения включают в себя заданную комплектацию машины, способ и место ее установки или передвижения, режим работы машины (включая, при необходимости, объект обработки или перерабатываемый материал), а также атмосферные условия.
3. Значения величин, входящих в шумовую характеристику машины, вместе с соответствующими характеристиками неопределенности (стандартной или расширенной неопределенностью, коэффициентом и уровнем охвата) получают и подтверждают в результате измерений согласно соответствующему испытательному коду по шуму (см. 3.3.2). При отсутствии испытательного кода по шуму для машин данного вида измерения проводят в соответствии с иным нормативным документом (техническими условиями на машину, методикой измерений и пр.).
3.3.2. Испытательный код по шуму: стандарт, устанавливающий требования к проведению испытаний для измерения шумовой характеристики машины определенного вида в целях ее заявления или подтверждения.
Примечание. Испытательный код по шуму относится к стандартам безопасности типа C (см. раздел 8).
3.3.3. Рабочий цикл (машины): определенная последовательность выполнения машиной рабочих операций, составляющих полный цикл функционирования машины.
Примечание. В рабочем цикле рабочие операции могут выполняться однократно или повторяться несколько раз (подряд или в чередовании с другими операциями).
3.3.4. Контрольная точка (машины): место измерения звукового давления (установки микрофона) при испытаниях машины с целью определения ее шумовой характеристики, в котором предполагается присутствие людей при нормальном применении машины.
Примечание. Контрольная точка может быть, например, в месте предполагаемого нахождения оператора машины или лица, контролирующего работу машины.
3.3.5. Эквивалентный уровень звука излучения , дБ: эквивалентный уровень звука, определенный в контрольной точке на заданном интервале времени при работе машины в заданных условиях в заданном режиме, с внесенными поправками на акустические условия испытаний.
3.3.6. Пиковый уровень звука излучения с частотной характеристикой C , дБ: величина, используемая в качестве шумовой характеристики машины и определяемая как
где - пиковое значение звукового давления излучения, корректированного по частотной характеристике C, на заданном интервале времени, мкПа;
= 20 мкПа.
3.3.7. Однократный шумовой процесс: непродолжительное шумовое событие, характерное для работы машины в нормальных условиях ее применения.
Примечания
1. Примерами однократного шумового процесса могут быть импульс или последовательность импульсов шума, переходный процесс при изменении режима работы машины и т.п.
2. Однократный шумовой процесс характеризуют, как правило, уровнем звуковой энергии.
3.3.8. Уровень экспозиции однократного шумового процесса , дБ: десятикратный десятичный логарифм отношения интегрированного на заданном временном интервале T (с началом t1 и окончанием t2) квадрата звукового давления p отдельного шумового события (импульса или переходного процесса) к опорному значению дозы шума
[
]
3.3.9. Звуковая мощность W, Вт: интеграл по поверхности S от произведения звукового давления p и составляющей скорости un колебаний частицы среды на поверхности S, нормальной к этой поверхности
Примечание. Данную величину используют для описания интенсивности излучения звуковой энергии источником в среду через поверхность S.
3.3.10. Уровень звуковой мощности , дБ: десятикратный десятичный логарифм отношения звуковой мощности W к опорной звуковой мощности
(
= 1 пВт)
Примечание. При измерениях с применением коррекции по одной из частотных характеристик или в заданной полосе частот в обозначение уровня звуковой мощности добавляют соответствующий подстрочный индекс. Например, обозначает уровень звуковой мощности с коррекцией по частотной характеристике A.
3.3.11. Звуковая энергия J, Дж: интеграл от звуковой мощности W на заданном временном интервале T (с началом t1 и окончанием t2)
Примечание. Данную величину обычно используют для описания кратковременных (однократных) шумовых процессов.
3.3.12. Уровень звуковой энергии , дБ: десятикратный десятичный логарифм отношения звуковой энергии J к опорной звуковой энергии
(
= 1 пДж)
Примечание. При измерениях с применением коррекции по одной из частотных характеристик или в заданной полосе частот в обозначение уровня звуковой энергии добавляют соответствующий подстрочный индекс. Например, обозначает уровень звуковой энергии с коррекцией по частотной характеристике A.
3.3.13. Показатель направленности , дБ: величина, характеризующая степень направленности излучения звука машиной или другим объектом и равная превышению эквивалентного уровня звукового давления (в полосе частот или с частотной характеристикой A) в заданном направлении над эквивалентным уровнем звукового давления, усредненного по всем направлениям, определяемым на одном и том же расстоянии от машины в дальнем свободном звуковом поле.
4. Гигиеническое нормирование шума и измеряемые величины
4.1. Действие шума на организм работника
4.1.1. Общие положения
Повышенный шум на рабочем месте оказывает вредное влияние на организм работника в целом, вызывая неблагоприятные изменения в его органах и системах. Длительное воздействие такого шума способно привести к развитию у работника потери слуха, увеличению риска артериальной гипертензии, болезней сердечно-сосудистой, нервной систем и др. При этом специфическим клиническим проявлением вредного действия шума является стойкое нарушение слуха (тугоухость), рассматриваемое как профессиональное заболевание.
Различают три основных вида тугоухости в зависимости от того, в какой из систем слухового тракта наблюдаются патологические изменения: звукопроведения (кондуктивная тугоухость), звуковосприятия (нейросенсорная или перцептивная тугоухость) или в обоих видов (смешанный вид тугоухости). Кондуктивная тугоухость обусловлена изменением подвижности барабанной перепонки и цепи слуховых косточек. Нейросенсорная тугоухость развивается при повреждении чувствительных нервных клеток внутреннего уха, слухового нерва и центральных образований слуховой системы. От своевременного диагностирования тугоухости на начальной стадии ее развития зависит эффективность профилактических мероприятий, предупреждающих развитие профессионального заболевания.
4.1.2. Кумулятивный эффект шумового воздействия
Развитие профессиональной тугоухости связано с постепенным поражением органа слуха работника и снижением его адаптивной способности за интервал времени между рабочими сменами восстанавливать порог слышимости, увеличивающийся в результате действия повышенного производственного шума. Развитие патологических изменений в органе слуха происходит в том случае, когда повышенный шум действует на работника в течение длительного времени (как правило, свыше пяти лет). Эффект воздействия шума, таким образом, носит кумулятивный характер, когда неблагоприятные изменения в организме накапливаются постепенно в процессе воздействия вредного фактора. Поэтому вероятность возникновения профессиональной тугоухости у работника за период его профессиональной деятельности зависит от сочетания двух факторов: уровня шума на рабочем месте и стажа работ по данной профессии.
4.1.3. Зависимость от вида шума
При одной и той же длительности воздействия и интенсивности шума эффект его воздействия на работника может быть разным в зависимости от вида шума, в частности, от его частотного состава. Так нейросенсорная тугоухость чаще развивается в случае воздействия на работника высокочастотных и тональных (узкополосных) шумов, а кондуктивная - при воздействии низкочастотного и широкополосного шума.
Чувствительность уха человека зависит от частоты прослушиваемого тона. Данная зависимость отражена стандартными кривыми равной громкости, установленными [1]. Указанные кривые достаточно хорошо описывают также вредное воздействие шума на слуховой анализатор в зависимости от частоты возбуждения. Чтобы выровнять значения уровня звукового давления, вызывающие равную вредность при возбуждении на разных частотах диапазона слышимых частот, используют коррекцию по частотной характеристике A [см. ГОСТ 17187-2010 (таблица 2)], которая близка к "перевернутой" стандартной кривой равной громкости 40 фон.
Многочисленные исследования показали, что при равном интегральном уровне шума развитие профессиональной тугоухости будет наблюдаться чаще и при меньшем стаже работ, если шум на рабочем месте преимущественно импульсный. Существует точка зрения, что аналогичный негативный эффект может быть вызван воздействием тонального шума, однако в настоящее время недостаточно данных, чтобы связать наличие тонального шума на рабочем месте с ускоренным развитием тугоухости. Вместе с тем тональный шум оказывает более выраженное общее раздражающее действие на центральную нервную систему, обуславливая тем самым развитие неспецифических проявлений влияния шума на организм работника.
4.1.4. Воздействие шума высокого уровня
Помимо накапливаемого (кумулятивного) эффекта шум может оказывать и мгновенное вредное воздействие на орган слуха работника. При очень высокой интенсивности шум способен вызывать ощущение болезненного давления в ушах. Уровень звукового давления, при котором наступает такое ощущение, называют порогом болевого ощущения. При еще большем повышении уровня (например, во время проведения взрывных работ или испытаний мощных машин) возможно получение работником акустической травмы в виде поражения барабанной перепонки вплоть до ее прободения.
В отличие от уровня порога слышимости порог болевого ощущения слабо зависит от частоты. Кривая порога болевого ощущения практически постоянна во всем диапазоне слышимых частот и имеет небольшие спады по его краям. Для выравнивания этой кривой вводят коррекцию по частотной характеристике C [см. ГОСТ 17187-2010 (таблица 2)].
4.2. Принципы гигиенического нормирования
Показатели, по наблюдениям которых можно было бы судить о степени безопасности текущего шумового воздействия на работника, в идеале должны удовлетворять следующим требованиям:
- быть тесно коррелированными с возможным появлением у работника в будущем (после выработки фиксированного стажа работы по данной профессии) профессионального заболевания (см. 4.1.2) или с получением им акустической травмы (см. 4.1.4);
Примечание 1. При исследованиях этиологии профессиональной тугоухости фиксированный стаж работы принимают равным от 10 до 14 лет (обычно 12 лет).
- быть легко определяемыми с достаточной точностью с помощью находящихся в обращении технических средств.
Вместе эти требования реализовать трудно, поэтому в практике гигиенического нормирования используют компромиссные решения. В качестве нормируемых показателей используют величины, характеризующие вероятность профессионального заболевания или акустической травмы в среднем для работников разных профессий. При этом следует понимать, что одно и то же шумовое воздействие способно оказать разное влияние на слуховой аппарат работника в зависимости от индивидуальных особенностей организма последнего.
Нормирование шума на рабочем месте заключается в установлении для выбранного показателя такого предельного значения, чтобы в ситуациях, когда значения показателя ниже предельного, риск профессионального заболевания был приемлемым, но, с учетом индивидуальной восприимчивости шума, не нулевым.
Примечание 2. Для отдельных уязвимых групп работников могут быть установлены иные предельные значения.
4.3. Нормируемые и измеряемые величины
4.3.1. Общие положения
В настоящем подразделе приведены основные показатели, которые могут быть использованы в целях гигиенического нормирования шума и измеряемые на рабочем месте для проверки соответствия установленным гигиеническим нормативам. Однако следует иметь в виду, что национальным законодательством могут быть установлены иные или дополнительные нормируемые величины.
Предельно допустимые значения нормируемых величин (гигиенические нормативы по шуму) устанавливаются национальным законодательством.
4.3.2. Эквивалентный уровень звука за 8-часовой рабочий день
Чтобы характеризовать опасность здоровью работника, связанную с кумулятивным воздействия шума (см. 4.1.2), необходимо установить показатель, обладающий следующими свойствами. С одной стороны, из практических соображений должна существовать возможность определить его значение за относительно короткий временной отрезок (обычно не превышающий нескольких часов или дней), и в то же время он должен позволять использовать его для оценки дозы шума, накопленной за трудовой стаж работника по данной профессии. В качестве такого показателя используют эквивалентный уровень звука за 8-часовой рабочий день , который в идеале должен представлять собой средний по стажу работы эквивалентный уровень звука. Чтобы результат реального измерения был по возможности близок к "идеальному" значению, измерение проводят для номинального рабочего дня, представительного с точки зрения воздействия шума на работника в предположении, что весь стаж работ будет накоплен работником на одном рабочем месте при существующих условиях организации его работы.
Измерения эквивалентного уровня звука за 8-часовой рабочий день выполняют в соответствии с ГОСТ ISO 9612 или в соответствии с нормативным документом, устанавливающим методы измерений шума на конкретных рабочих местах (при его наличии).
Примечания
1. Следует различать нормируемую и измеряемую величину от лежащей в ее основе физической величины. Определение нормируемой (измеряемой) величины помимо указания физической величины (в данном случае физической величиной будет эквивалентный уровень звука) включает в себя также максимально подробное описание условий ее измерения и, при необходимости, всех используемых преобразований. Измерения одной и той же физической величины могут проводиться с разными целями в разных приложениях, и для часто используемых приложений измеряемой величине может быть присвоен собственный термин и обозначение. Примерами этого могут служить термин "эквивалентный уровень звука за 8-часовой рабочий день" и обозначение .
2. Коррекцию по частотной характеристике A используют для того, чтобы избавиться от специфики конкретного шумового воздействия, связанной с ее спектральным составом, и приписать одинаковую "вредность" всем частотным составляющим равного уровня (см. 4.1.3).
4.3.3. Пиковый уровень звука с частотной коррекцией C
Для описания риска получения акустической травмы (см. 4.1.4) используют пиковый уровень звука с частотной коррекцией C . Данный вид частотной коррекции позволяет компенсировать несколько меньшую болевую чувствительность органа слуха к частотным составляющим на краях диапазона слышимых частот (см. 4.1.4).
Установление предельно допустимого уровня для не требует обработки большого массива статистических данных, как в случае
. Номинальный рабочий день, для которого определяют
в целях контроля соответствия установленному гигиеническому нормативу, должен включать в себя шумовые события, обычные для данного рабочего места и характеризующиеся максимальным кратковременным излучением звуковой энергии.
Неопределенность измерения может быть существенно выше, чем неопределенность измерения
(см. 7.2.2).
Примечание. В отличие от в данном случае термин, обозначающий нормируемую и измеряемую величину, совпадает с наименованием физической величины. Тем не менее и здесь также требуется различать физическую и измеряемую (нормируемую) величину.
4.3.4. Измерения уровня звукового давления в полосах частот
Как было указано в 4.1.3, частотный состав шума, действующего на работника на его рабочем месте и способного привести к развитию профессионального заболевания, в существенной степени определяет возможный характер этого заболевания, а также в какой из систем организма с наибольшей вероятностью будут наблюдаться патологические изменения. Однако даже при укрупненном разбиении спектра частот шума на октавы установить достоверную статистическую связь уровня звукового давления в октавной полосе частот с развитием той или иной патологии в настоящее время не представляется возможным. Во-первых, для установления такой связи необходим объем наблюдений, многократно превышающий тот, что использовался для нормирования , и, кроме того, неопределенность измерения октавных составляющих шума (а значит и неопределенность нормирования) будет существенно выше, чем для
. По указанным причинам уровни звукового давления в полосах частот нормировать не рекомендуется.
Вместе с тем, информация о частотном составе шума важна для правильного диагностирования вида профессиональной тугоухости. Кроме того, знание частотного состава шума может быть использовано для выбора методов и средств снижения шума на рабочем месте, а также для подбора соответствующего индивидуального средства защиты от шума. Поэтому при контроле шума на рабочих местах следует выполнять измерения уровней звукового давления в октавных полосах частот, определенных ГОСТ 17168, и фиксировать результаты в протоколе испытаний. Метод измерений уровней звукового давления в октавных полосах частот тот же, что и при измерении , однако измерительная система (средство измерений) должна иметь набор октавных фильтров, соответствующих требованиям ГОСТ 17168. Измерения уровней звукового давления в октавных полосах частот проводят одновременно с измерениями эквивалентных уровней звука, используемых для расчета
. В случае если измерительная система (средство измерений) позволяет вести запись сигнала звукового давления, то допускается определять уровни звукового давления в октавных полосах частот последующей обработкой полученного сигнала.
4.3.5. Поправки, вносимые в случае импульсного или тонального шума
Как следует из 4.1.3, при равном кумулятивный вредный эффект воздействия на организм работника будет выше, если шум имеет импульсный или тональный характер. Национальным законодательством для учета этого эффекта может быть установлено требование вносить в полученное в результате измерений значение
, прежде чем сравнивать его с нормой, поправку на импульсность или тональность. Условия и способ определения поправок приведены в Приложении А.
4.4. Подход к обеспечению безопасности шумового воздействия на основе оценки риска
Хотя в настоящее время общей практикой законодательного ограничения условий, при которых возможно вредное воздействие шума на работника, является установление предельных значений параметров шума (гигиенических нормативов) для последующего сопоставления с ними данных, полученных для конкретных рабочих мест (см. раздел 5), более адресным подходом является оценивание риска потери слуха для конкретного работника (см. [2]). Такой подход требует дополнительной информации для оценивания, в частности, о вызванном шумом постоянном смещении порога слышимости для группы работников данной профессии.
5. Оценка шума на рабочем месте
5.1. Общие положения
Оценка шума на рабочем месте заключается в сопоставлении результата измерения нормируемой величины с гигиеническим нормативом и принятия на основе этого решения о соответствии или несоответствии условий труда на данном рабочем месте безопасным с точки зрения шумового воздействия на работника.
Каждый результат измерения должен сопровождаться указанием соответствующей неопределенности измерения (см. раздел 7), которую следует учитывать при оценке шума.
При сопоставлении с гигиеническим нормативом результат измерения и параметр неопределенности должны быть представлены в децибелах с точностью до одного десятичного знака после запятой.
Характер воздействия шума на работника может сильно зависеть от рабочего места. Для некоторых рабочих мест шум может быть хорошо определен, стабилен в течение рабочей смены и мало изменяться день ото дня. В этом случае неопределенность измерения нормируемой величины в наибольшей степени определяется инструментальной составляющей и установкой измерительного микрофона. В других случаях шум может быть непостоянен, существенно зависеть от дня недели, сезона, рабочего задания и многих других факторов. Часто для таких рабочих мест бывает сложно выделить и описать характерные рабочие операции, а аналогичные рабочие места, по которым можно было бы провести усреднение, отсутствуют или число их невелико. В таких ситуациях возникают сложности с определением представительного рабочего дня, а в общую неопределенность измерения большой вклад вносит неопределенность времени выполнения рабочих операций. Таким образом, при выбранном методе измерений стандартная неопределенность, ассоциированная с измеряемой величиной, может изменяться в широких пределах.
С другой стороны, требуемая точность измерений зависит от ожидаемого значения измеряемой величины. Если заранее известно, что измеряемая величина много меньше гигиенического норматива, то допустимы измерения с большей неопределенностью. В противном случае для вынесения правильного решения о том, насколько данное рабочее место безопасно с точки зрения шумового воздействия на работника, важно, чтобы неопределенность измерения была сравнительно мала. Для уменьшения неопределенности измерения можно использовать более точный метод измерений, чем, например, установленный ГОСТ ISO 9612. Точность метода может быть повышена за счет увеличения общей продолжительности измерений, проведения измерений в течение нескольких рабочих дней, применения средств измерений с меньшей инструментальной неопределенностью и пр. Однако зачастую повышение точности измерений может быть достигнуто только ценой весьма существенного увеличения затрат на измерения, не сопоставимого с их целями.
Таким образом, при выборе метода и стратегии измерений для оценки шума на рабочем месте следует принимать во внимание многие факторы, в том числе то, кто и в каких целях проводит эти измерения (см. 5.2).
Если иного не установлено национальным законодательством, то при оценке шума рекомендуется следовать правилам, установленным в 5.2 и 5.3.
5.2. Оценка кумулятивного действия шума
Для большинства рабочих мест применение технического метода измерений по ГОСТ ISO 9612 позволяет получить значение со стандартной неопределенностью u(
), не превышающей 3 дБ. Поэтому при оценке кумулятивного действия шума руководствуются следующими правилами:
а) если после обработки данных, полученных в ходе измерений, рассчитанное значение u() не превысит 3 дБ, то с гигиеническим нормативом сравнивают непосредственно результат измерения
;
б) если значение u() превысит 3 дБ, то с гигиеническим нормативом сравнивают величину (
)' , которую определяют в зависимости от целей проведения измерений следующим образом:
- если измерения организует работодатель, например, в целях производственного контроля, то
- если измерения проводит надзорный орган, например, в целях проверки соблюдения трудового законодательства, то
Пример - Испытательной лабораторией при проведении измерений в соответствии с ГОСТ ISO 9612 в целях производственного контроля получены значения = 79,3 дБ и u(
) = 3,8 дБ. С гигиеническим нормативом сравнивают значение (
)' = 79,3 + 1,65·(3,8 - 3) = 80,6, которое больше гигиенического норматива. Таким образом, на данном рабочем месте условия труда с точки зрения воздействия шума считают небезопасными.
Примечания
1. Обоснование принципа сравнения с гигиеническим нормативом непосредственно полученного результата измерения приведено в [3].
2. Если в результат измерений внесена поправка на тональность или импульсность шума (см. Приложение А), то в формулах (9) и (10) вместо подставляют значение этой величины с внесенной поправкой.
Если в процессе измерений выясняется, что неопределенность измерения больше ожидаемой или желаемой, то измерения могут быть повторены с применением более точного метода. При этом результаты предыдущего измерения не учитывают.
Примечание. Процедуру, аналогичную описанной в 7.3, с использованием результатов измерений менее точным и более точным методами для уточнения результата измерений не применяют, поскольку данные, полученные разными методами, нельзя считать независимыми.
5.3. Оценка травмирующего действия шума
При оценке травмирующего действия шума условия труда считают безопасными, если сумма полученного в результате измерения значения и величины 1,65u(
), где u(
) - стандартная неопределенность измерения
(см. 7.2.2), не превышают значение установленного гигиенического норматива.
Примечание. Данное правило исходит из предположения, что неопределенность измерения характеризуется нормально распределенной случайной величиной. Тогда при соблюдении установленного правила 95% распределения этой случайной величины будут лежать ниже значения гигиенического норматива.
6. Меры по защите работников от воздействия шума
6.1. Общие положения
Обеспечение безопасности при воздействии шума на работника является комплексным мероприятием с участием разных сторон. Национальным законодательством устанавливаются требования к сторонам, являющимся прямыми или косвенными участниками трудового процесса, по обеспечению безопасности воздействия шума и меры, принимаемые к сторонам при несоблюдении установленных требований.
6.2. Ответственность работодателя
На работодателе лежит основная ответственность за обеспечение безопасности при воздействия шума на работников. В первую очередь, он должен обеспечить посредством принятия соответствующих мер соблюдение гигиенических нормативов и снижение риска, связанного с воздействием шума на работников. Эти меры могут включать в себя, в частности:
- оценку риска потери слуха работником;
- проектирование рабочих мест с учетом допустимого уровня риска;
- использование малошумных машин;
- использование материалов и конструкций, препятствующих распространению шума и вибрации, которая может быть переизлучена в виде шума;
- оптимальное размещение шумных машин, позволяющее минимизировать воздействие шума на рабочем месте;
- создание условий труда, при которых вредное воздействие шума не усугубляется наличием других неблагоприятных факторов;
- привлечение к работам лиц, не имеющих медицинских противопоказаний по шуму, и обеспечение прохождения ими регулярных медицинских обследований с применением средств аудиометрии;
- обучение работников правильному применению машин, уменьшающему риск появления у них профессиональной тугоухости;
- оповещение рабочих о мерах, принимаемых работодателем, позволяющих снизить риск ухудшения состояния здоровья рабочего вследствие неблагоприятного воздействия шума, и санкциях, которые могут быть наложены на рабочего при несоблюдении им указанных мер (см. 6.3);
- контроль правильности использования средств индивидуальной защиты от шума;
- проведение периодического контроля шума на рабочих местах и организация на основе полученных результатов режима труда, способствующего снижению шумовой нагрузки на работника, а также контроль за его соблюдением;
- проведение послеремонтного и, при необходимости, периодического контроля шумовых характеристик машин;
- организацию профилактических мероприятий, ослабляющих неблагоприятное воздействие шума;
- составление комплексных программ сохранения слуха работников.
Более детально указанные меры изложены в руководстве Международной организации труда [4].
В целях организации малошумных рабочих мест и малошумных производств рекомендуется использовать руководства [5] - [8].
При проведении измерений в целях контроля шума на рабочих местах следует руководствоваться требованиями раздела 7.
Если особенности производства не позволяют работодателю снизить шум на всех или на части рабочих мест до уровня ниже гигиенического норматива, то в качестве дополнительной, хотя и нежелательной, меры защиты рассматривается возможность использования средств индивидуальной защиты от шума. При выборе таких средств следует учитывать не только технические данные, указанные изготовителем, но и коэффициент снижения эффективности защиты средств в процессе их эксплуатации (см. [9]). Поскольку ношение средств индивидуальной защиты от шума увеличивает риск воздействия других неблагоприятных факторов (психологический дискомфорт, ухудшение восприятия информативных сигналов опасности и пр.), выбор вида и эффективности средств индивидуальной защиты от шума должен представлять собой компромисс в отношении данного риска и риска развития у работника профессиональной тугоухости. Если проведенная работодателем с привлечением компетентных лиц оценка рисков показывает, что риск от ношения средств индивидуальной защиты от шума существенно превышает риск развития профессионального заболевания, то средства индивидуальной защиты от шума не применяют, и работодателю следует использовать другие средства снижения шумовой нагрузки на работника.
Принимаемые работодателем меры, позволяющие снизить риск ухудшения состояния здоровья работников, в том числе появления у них повреждения слуха, должны быть отражены в правилах ведения работ. Правила ведения работ разрабатывает работодатель с привлечением специалистов соответствующего профиля (медицинских работников, конструкторов, технологов, экспертов по акустике и защите от шума и др.).
Полноту мероприятий, направленных на обеспечение безопасности воздействия шума и включенных в правила ведения работ, а также эффективность их выполнения оценивают соответствующие уполномоченные организации при оценке условий труда и периодическом контроле требований по соблюдению безопасных условий труда.
Работодатель должен обеспечивать условия работы организаций, уполномоченных на проведение оценки шума на рабочих местах, и предоставлять этим организациям данные медицинских наблюдений (см. 6.6).
Примечания
1. Периодический контроль на рабочих местах рекомендуется проводить в соответствии с требованиями ГОСТ ISO 9612.
2. Периодичность контроля шума на рабочих местах, проводимого работодателем, рекомендуется устанавливать по согласованию с организациями, осуществляющими санитарно-эпидемиологический надзор, и указывать в регламенте безопасного ведения работ.
3. Послеремонтный или периодический контроль может заключаться в проведении испытаний в соответствии с испытательным кодом по шуму для машины данного вида или в измерении шума непосредственно на рабочем месте.
6.3. Ответственность работника
Работник, оповещенный работодателем о возможных рисках, связанных с воздействием шума, и о необходимости использовать в целях снижения рисков средства индивидуальной защиты от шума, должен следовать установленным работодателем правилам безопасного ведения работ и применения средств индивидуальной защиты от шума. Ответственность за последствия отказа следовать установленным правилам и применять предписанные средства индивидуальной защиты лежит на работнике.
6.4. Ответственность изготовителей (поставщиков) машин
Машины <6>, которые в процессе работы могут производить шум, неблагоприятно воздействующий на работников, следует конструировать и изготовлять с учетом последних достижений технологии и принципов проектирования, позволяющих снизить излучаемый шум (см. [10], [11]).
<6> В настоящем пункте рассматривается ответственность изготовителей (поставщиков) машин, устанавливаемых стационарно, перемещаемых или передвигающихся в ходе производства работ. На изготовителей транспортных средств также распространяются требования по снижению шума и заявлению шумовых характеристик. Эти требования конкретизированы в стандартах на транспортные средства разных видов.
Изготовитель в эксплуатационных документах приводит значения шумовой характеристики машины с указанием, относятся ли эти значения к конкретному экземпляру (экземплярам) машины или к партии машин данной модели. Величина или величины, составляющие шумовую характеристику машины, зависят от ее конструкции.
Если конструкция машины предполагает известное расположение оператора и/или лиц, контролирующих работу машины, то заявляемыми шумовыми характеристиками являются эквивалентные уровни звука излучения и/или уровень экспозиции однократного шумового процесса
(если работа машины сопровождается однократными шумовыми процессами), а также пиковые уровни звукового давления излучения с коррекцией по частотной характеристике C
в заданных контрольных точках.
Если конструкция машины не предполагает заданное расположение оператора и/или лиц, контролирующих работу машины, или если машина при ее применении способна оказывать негативное шумовое воздействие на более чем одном рабочем месте, то заявляемыми шумовыми характеристиками являются корректированный по A уровень звуковой мощности и/или (если работа машины сопровождается однократными шумовыми процессами) уровень звуковой энергии
.
Если излучение машины является направленным, то в число заявляемых шумовых характеристик включают также показатель направленности .
Дополнительными заявляемыми характеристиками могут быть уровни звуковой мощности (звуковой энергии) и уровни звукового давления излучения в октавных или третьоктавных полосах частот. Их применяют, в частности, если шум машины содержит значимые тональные составляющие или превалирует в некоторых полосах частот. Кроме того, знание таких характеристик полезно при сравнении разных моделей машин одного вида или при оценке эффективности примененных мер снижения шума (см. раздел 8).
Шумовые характеристики машины определяют при условиях установки и в режимах работы, характерных для нормального применения машины, предусмотренного изготовителем. Такие условия и режимы задаются в испытательных кодах по шуму для машин конкретного вида, а при их отсутствии - в методиках выполнения измерений изготовителя, разработанных с учетом требований основополагающих стандартов к методам определения шумовых характеристик машин (см. раздел 8).
Примечания
1. Эквивалентный уровень звука излучения определяют для интервала времени, равного или кратного рабочему циклу машины.
2. Заявленное значение шумовой характеристики может быть использовано работодателем для выбора машины, которая будет оказывать наименьшее шумовое воздействие на работника, а также в целях ориентировочной оценки шума на рабочем месте (см. [7]). Однако при этом следует учитывать, что шум многих машин существенно зависит от условий применения (установка, объект обработки, способ использования, акустические характеристики помещения и т.д.).
Методы испытаний с целью заявления и подтверждения шумовых характеристик машин устанавливают в испытательных кодах по шуму для машин отдельных видов, а при их отсутствии в иных нормативных документах, удовлетворяющих требованиям основополагающих стандартов по испытаниям машин на шум (см. раздел 8).
6.5. Ответственность изготовителей средств защиты от шума
Средствами защиты от шума на рабочем месте, применяемыми работодателем, могут быть изолированные или встроенные элементы конструкции производственного помещения (экраны, перегородки, кабины и т.п.), поглощающие или ослабляющие звуковое излучение, а также средства индивидуальной защиты органа слуха (противошумы). Изготовители элементов конструкций и материалов, предназначенных для снижения шума в помещениях, и изготовители противошумов определяют и указывают значения акустических характеристик своих изделий в соответствии с их назначением (см., например, [12] - [14]), а также способы и условия их применения в технической (эксплуатационной) документации. Эти характеристики могут быть использованы работодателем для ориентировочных расчетов шума, воздействующего на работника на рабочем месте (см., например, [7], [15]).
6.6. Проверки с участием сторонних организаций и органов надзора
Национальным законодательством устанавливается порядок проведения проверок условий труда, в том числе по воздействию шума, с привлечением специализированных сторонних организаций и органов надзора.
Основой оценок условий труда по шуму являются измерения на рабочем месте, проводимые в соответствии с требованиями раздела 7. Результаты проверок используются работодателем для разработки мероприятий по улучшению условий труда и снижению негативного эффекта воздействия шума на работников.
7. Измерения шума на рабочем месте
7.1. Общие положения
Основными характеристиками, определяющими воздействие шума на работника и измеряемыми в целях оценки этого воздействия, являются эквивалентный уровень звука за 8-часовой рабочий день и пиковый уровень звука с частотной коррекцией C
. Как правило, если иное не установлено в стандарте для рабочих мест данного вида, а также если характер рабочего места и условия воздействия шума на нем не требуют применения более точных методов, то измерения шума на рабочем месте выполняют техническим методом по ГОСТ ISO 9612.
Согласно ГОСТ ISO 9612 организация или подразделение (далее - испытательная лаборатория), выполняющая измерение на рабочем месте, должна предварительно проанализировать рабочую обстановку и на основе результатов анализа выбрать номинальный (представительный) рабочий день, в который будут проведены измерения, и оптимальную стратегию измерений.
Оптимальная стратегия подразумевает разумный компромисс между затратами на проведение измерений и точностью результатов измерений. Обычно для целей оценки шума на рабочем месте достаточна точность технического метода по ГОСТ ISO 9612, однако в ряде случаев может потребоваться применение метода, обеспечивающего более высокую точность (например, включающего измерения шума непосредственно в слуховом канале работника, применение средств измерений более высокого класса точности, увеличение продолжительности проведения измерений и т.п.). Конечным результатом анализа рабочей обстановки будет составление испытательной лабораторией методики выполнения измерений на данном рабочем месте, в которой будут определены последовательность выполняемых в процессе измерений операции и способ расчета характеристик неопределенности измерения для выбранной стратегии измерений. В качестве оптимальной стратегии может быть выбрана одна из трех стратегий, предлагаемых ГОСТ ISO 9612, комбинация этих стратегий или иная стратегия в случае, если испытательной лабораторией доказана ее целесообразность.
Определение номинального рабочего дня зависит от измеряемой характеристики: или
(см. 7.2).
Если условия работы на данном рабочем месте таковы, что риск акустической травмы незначителен, то измерения не обязательны. Допускается выполнять ориентировочные измерения
одновременно с
и в тех же условиях, но в этом случае неопределенность измерения
не оценивают и результат измерений не сравнивают с гигиеническим нормативом (см. 5.3).
7.2. Измерения
7.2.1. Измерения
При измерениях номинальный рабочий день обычно соответствует реальному представительному рабочему дню, выбранному для проведения измерений с целью оценки шумового воздействия. Однако при использовании стратегии измерений на основе рабочего дня [см. ГОСТ ISO 9612 (раздел 11)] измерения могут быть проведены в течение нескольких представительных рабочих дней. Кроме того, для некоторых видов рабочих мест затруднительно выбрать конкретный рабочий день, который был бы представительным с точки зрения воздействия шума. Такое может быть, например, если работник в разные рабочие дни выполняет операции, различающиеся как по своему содержанию, так и сопровождаемому их шуму. В этом случае для получения значения характеристики шума, представительного для долговременного шумового воздействия на работника на данном рабочем месте, испытательная лаборатория должна определить номинальный рабочий день, который не будет соответствовать какому-либо конкретному рабочему дню, а будет, например, представлять собой искусственное сочетание фрагментов разных рабочих дней. Тогда значение
рассчитывают по результатам измерений, проведенных в разные дни, ни один из которых не будет представительным с точки зрения воздействующего шума.
Пример - Работа механизатора в сельском хозяйстве характеризуется годовым циклом. В зависимости от сезона он в течение рабочего дня выполняет преимущественно разные операции (вспашку, полив, уборку урожая, подготовку техники и др.), которые могут сопровождаться существенно разным уровнем шума. Рекомендуется определить долю времени, приходящуюся на каждую такую операцию в течение года, и искусственно сформировать номинальный рабочий день, включив в него все существенные операции с продолжительностью их выполнения, соответствующей полученным долям.
Измерения и расчет неопределенности измерения - по ГОСТ ISO 9612.
7.2.2. Измерения
Перед проведением измерений необходимо установить, какие рабочие операции или шумовые события (процессы) имеют наибольший уровень звука с коррекцией по частотной характеристике C. Номинальный рабочий день должен быть спроектирован (искусственно сконструирован) таким образом, чтобы в него вошло несколько таких операций или шумовых событий. Число N реализаций выбранного шумового события (операции) в течение номинального рабочего дня должно быть не менее пяти. В процессе измерений для каждой i-й операции (шумового события) получают значение
, дБ, i = 1, ..., N, которые затем ранжируют в порядке возрастания от
до
. В качестве результата измерения
принимают значение
.
Примечание. При правильном выборе операций (шумовых событий), сопровождающихся максимальными значениями , разброс значений
в выборке объема N, как правило, не будет превышать 5 дБ.
При условии тщательно выполненного анализа рабочей обстановки и правильного определения операции (шумового события), сопровождающейся наибольшим мгновенным воздействием на орган слуха работника, для расчета стандартной неопределенности u(), ассоциированной с
, принимают во внимание три источника неопределенности с соответствующими стандартными неопределенностями: изменчивость
по выборке (
), инструментальную неопределенность (
) и выбор контрольной точки (
).
Стандартную неопределенность , дБ, рассчитывают по приближенной формуле
Стандартную неопределенность , обусловленную применяемым средством измерений, определяют в соответствии с таблицей 1.
Таблица 1
Стандартная неопределенность
| Применяемое средство измерений | |
| Шумомер класса 1 по ГОСТ 17187 | 1,4 |
| Персональный дозиметр шума по [16] | 3,0 |
| Шумомер класса 2 по ГОСТ 17187 | 3,0 |
Стандартную неопределенность , связанную с выбором положения микрофона, принимают равной 1 дБ.
Суммарную стандартную неопределенность u(), дБ, рассчитывают по формуле
1. При определении операций или шумовых событий, сопровождающихся наибольшим воздействием шума, учитывают только те из них, что характерны для нормального рабочего процесса и повторяются с определенной степенью регулярности. Случайные нерегулярные явления с сильным шумом, но не характерные для условий работ на данном рабочем месте, во внимание не принимают даже в том случае, если этот шум чреват получением работником акустической травмы.
2. Чтобы уменьшить вклад в суммарную неопределенность, необходимо при анализе рабочей обстановки строго подходить к определению операции (шумового события) с наибольшим воздействием шума, не смешивая ее с другими операциями (шумовыми событиями), для которых шумовое воздействие также велико, но не максимально для данного рабочего места.
3. Формула (11) получена в предположении, что последовательность результатов измерений , i = 1, ..., N представляет собой выборку значений случайного процесса с равномерной плотностью распределения вероятности на интервале, аппроксимированном разностью
-
(см. [17]). Обоснование выбора значений для
и
приведено в ГОСТ ISO 9612 (подразделы C.5 и C.6). Также учтен факт, что инструментальную неопределенность при определении пикового значения можно ориентировочно принять вдвое большей, чем при определении среднеквадратичного значения.
7.3. Сопоставление результатов измерений, выполненных разными испытательными лабораториями
Измерения в целях оценки условий труда для данного рабочего места могут быть проведены разными испытательными лабораториями (например, испытательными лабораториями работодателя и надзорного органа). При этом возможны ситуации, когда оценка шума согласно 5.2 по результатам измерений разных лабораторий приведет к разным выводам в отношении соответствия/несоответствия гигиеническому нормативу. Для разрешения возникающих в таких обстоятельствах спорных вопросов следует руководствоваться нижеуказанными правилами:
а) за окончательный результат измерений принимают тот, что был получен лабораторией, аккредитованной на проведения измерений данного вида;
б) если обе лаборатории аккредитованы и выполнено условие
где и
- результаты измерений
, полученные этими лабораториями, а
(
) и
(
) - заявленные этими лабораториями стандартные неопределенности измерения
, то за окончательный результат измерения принимают значение, рассчитанное по формуле
Этот результат сравнивают с гигиеническим нормативом и принимают решение о соответствии/несоответствии;
в) если обе лаборатории аккредитованы, но условие (15) перечисления б) не выполнено, то результаты измерений двух лабораторий признают несовместимыми, и окончательное решение о соответствии/несоответствии рабочего места допустимым условиям труда по шуму на основании этих результатов принято быть не может. В этом случае рекомендуется обратиться к услугам третьей испытательной лаборатории.
8. Испытания машин с целью заявления шумовой характеристики
Информацию о шумовой характеристике машины <6> используют в разных аспектах обеспечения безопасности воздействия шума, в том числе в целях:
- сравнения шума разных машин одного вида;
- организации рабочих мест, удовлетворяющих гигиеническому нормативу по шуму;
- оценки эффективности примененных решений по снижению шума машины.
<6> В настоящем разделе рассматриваются испытания машин, устанавливаемых стационарно, перемещаемых или передвигающихся в ходе производства работ. Требования к испытаниям на шум транспортных средств устанавливают в стандартах на транспортные средства конкретного вида.
В обязанности изготовителя (поставщика) машины (см. 6.4) входит заявление ее шумовой характеристики на основе результатов измерений излучаемого шума. При заявлении и подтверждении шумовых характеристик машин следует руководствоваться ГОСТ 30691 в части, в которой он не противоречит требованиям настоящего стандарта. В состав шумовой характеристики должны входить измеренное значение величины (величин), характеризующей излучательную способность машины в условиях измерений, и соответствующая характеристика неопределенности измерения (как правило, стандартная неопределенность). Не допускается заявление одночислового значения шумовой характеристики, являющегося суммой измеренной величины и характеристики неопределенности измерения. Неопределенность измерения рассчитывает испытательная лаборатория, выполняющая измерения. Если измерения выполняют в соответствии с испытательным кодом по шуму или иным нормативным документом (например, аттестованной методикой измерений), в котором указано предельное значение характеристики неопределенности измерения, то допускается при заявлении шумовой характеристики машины использовать это предельное значение.
Чтобы результаты измерений, используемые в целях заявления шумовых характеристик машин, были сопоставимы, условия испытаний должны быть строго определены и воспроизводимы с достаточной точностью. С этой целью разрабатывают испытательные коды по шуму (стандарты типа C по классификации [17]) для испытаний относительно узкого семейства машин, позволяющих определить для них единые условия испытаний (см. [18]). При наличии соответствующего испытательного кода по шуму измерения значений шумовой характеристики машины проводят по испытательному коду, а при его отсутствии - по иному нормативному документу, согласованному с одним из общих стандартов на методы испытаний машин на шум (стандартов типа B по классификации [19]). Выбор одного из общих стандартов на методы испытаний на шум осуществляют согласно ГОСТ 31252 для машин, у которых рабочее место оператора и/или контролирующих лиц не определено (см. [20] - [29]) или ГОСТ 31171 - для машин с известным местом расположения оператора и/или контролирующих лиц (см. [30] - [34]) в зависимости от вида и особенностей конструкции машины (оборудования), доступных условий испытаний и требуемой точности результатов испытаний.
Примечание. Методы испытаний на шум подразделяются на точные, технические и ориентировочные в порядке увеличения предельного значения стандартного отклонения воспроизводимости для установленной машины в заданных условиях работы. Однако следует иметь в виду, что в общую стандартную неопределенность для данного измерения существенный вклад может внести составляющая неопределенности, связанная с нестабильностью условий работы и установки испытуемой машины. Эта нестабильность может быть существенно разной для разных машин, и при этом возможны ситуации, когда стандартная неопределенность результата испытаний, полученного с применением точного метода для одной машины, будет больше стандартной неопределенности, полученной с применением технического метода для другой машины (см., например, [20]).
ПРОВЕДЕНИЕ ИЗМЕРЕНИЙ И РАСЧЕТ ПОПРАВОК К ЭКВИВАЛЕНТНОМУ УРОВНЮ ЗВУКА ЗА 8-ЧАСОВОЙ РАБОЧИЙ ДЕНЬ
ПРИ НАЛИЧИИ ИМПУЛЬСНЫХ И ТОНАЛЬНЫХ ШУМОВ
А.1. Общие положения
Если в шуме на рабочем месте имеются импульсный или тональный шумы, то получение значения измеряемой величины, сопоставляемого затем с гигиеническим нормативом, включает в себя два этапа. На первом этапе измеряют в соответствии с ГОСТ ISO 9612 с соответствующей стандартной неопределенностью u(
). На втором этапе рассчитывают поправку
на импульсный или
на тональный шум (для расчета таких поправок может потребоваться проведение дополнительных измерений). Поправки прибавляют к
. Окончательным результатом измерений считают соответственно (
+
) или (
+
), который сравнивают с гигиеническим нормативом.
Если рабочее место характеризуется воздействием как тонального, так и импульсного шума, то учитывают только поправку или
в зависимости от того, какая из них больше.
А.2. Определение поправки на тональный шум 
А.2.1. Анализ акустической обстановки
Анализ акустической обстановки на рабочем месте является составной частью анализа рабочей обстановки по ГОСТ ISO 9612. При анализе акустической обстановки выполняют измерения для получения объективного подтверждения наличия тонального шума. Средства измерений должны удовлетворять требованиям ГОСТ ISO 9612 и ГОСТ 17168-82 для измерений в третьоктавных полосах частот.
Продолжительность вспомогательных измерений зависит от характера тонального шума. Если громкость и частота тона приблизительно постоянны, то продолжительность измерений составляет не менее 1 мин. Если громкость со временем варьируется, то продолжительность измерений должна быть выбрана достаточно большой, чтобы позволить получить оценку среднего уровня тонального шума в третьоктавной полосе частот. Если со временем меняется частота тона и пределы варьирования частоты превышают треть октавы, то вспомогательных измерений не проводят. Такой тон различают только на слух.
В ходе вспомогательных измерений определяют эквивалентные уровни звукового давления в третьоктавных полосах частот во всем диапазоне частот измерений. Поправку на тональный шум
рассчитывают, если (см. [35]) для какой-либо из третьоктавных полос результат измерения будет превышать результаты измерения в смежных третьоктавных частотах на:
- 15 дБ для третьоктавных полос со среднегеометрическими частотами от 25 до 125 Гц;
- 8 дБ для третьоктавных полос со среднегеометрическими частотами от 160 до 400 Гц;
- 5 дБ для третьоктавных полос со среднегеометрическими частотами от 500 до 10000 Гц.
Может оказаться, что при субъективном восприятии шума тональная составляющая отчетливо прослушивается, в то время как вышеуказанный критерий наличия в шуме тональной составляющей не выполнен. Это может иметь место, когда частота тональной составляющей находится вблизи границы смежных третьоктавных полос. В этом случае сравнивают суммарное (по энергии) значение в указанных смежных третьоктавных полосах с результатами измерений
в соседних с ними полосах. Поправку на тональность вносят, если превышение составит:
- 16,5 дБ для третьоктавных полос со среднегеометрическими частотами от 25 до 125 Гц;
- 11 дБ для третьоктавных полос со среднегеометрическими частотами от 160 до 400 Гц;
- 9 дБ для третьоктавных полос со среднегеометрическими частотами от 500 до 10000 Гц.
Результаты вспомогательных измерений включают в протокол измерений. В протоколе указывают число выявленных тонов, их характер, источник появления, а также третьоктавные полосы, в которых наличие тона подтверждено вспомогательными измерениями. Указывают также плавающий тон (при его наличии) с пределами изменения частоты тона, превышающими треть октавы. Плавающий тон учитывают при расчете только в том случае, если он отчетливо воспринимается на слух.
А.2.2. Измерения шума на рабочем месте и расчет
Измеряют шум на рабочем месте и определяют значение , дБ, в соответствии с ГОСТ ISO 9612. В процессе измерений определяют время
, ч, воздействия на работника тонального шума в течение номинального рабочего дня, пользуясь сведениями о тональном шуме, его источнике (источниках), условиях и продолжительности его воздействия, полученными при анализе акустической обстановки. При необходимости для подтверждения наличия тонального шума используют тот же критерий, что и в А.2.1. Поправку на тональность шума
, дБ, рассчитывают по формуле
где - базовая длительность рабочего дня, равная 8 ч.
Зависимость поправки на тональность от величины
/
показана на рисунке А.1.
Рисунок А.1. Зависимость , дБ, от
/
А.2.3. Неопределенность измерения
Если стандартная неопределенность для , рассчитанная по ГОСТ ISO 9612, равна u(
) и известна стандартная неопределенность u(
) для
(см., например, ГОСТ ISO 9612, примечание в п. C.2.3), то стандартная неопределенность u(
+
), учитывающая внесенную поправку на тональность
, может быть вычислена по формуле
В большинстве случаев неопределенностью, связанной с поправкой , можно пренебречь и принять u(
+
) = u(
).
А.3. Определение поправки на импульсный шум 
А.3.1. Общие положения
При определении поправки на импульсный шум помимо эквивалентного уровня звука за 8-часовой рабочий день по ГОСТ ISO 9612 необходимо определять также значение величины
. Последняя представляет собой эквивалентный уровня звука за 8-часовой рабочий день, но определяемый по измерениям, когда из воздействующего на работника шума исключен импульсный шум.
Исключение импульсного шума для определения может быть выполнено двумя способами. Способ 1 применим только в ситуациях, когда акустическая обстановка на рабочем месте включает в себя интервалы времени, когда импульсный шум отсутствует, и они представительны и достаточны по длительности, чтобы измерения
могли быть выполнены в соответствии с требованиями ГОСТ ISO 9612. Способ 2 не налагает каких-либо ограничений на характер акустической обстановки, но для его реализации необходимо, чтобы используемые средства измерений позволяли записывать и сохранять временной сигнал уровня звукового давления.
А.3.2. Анализ рабочей обстановки
При анализе рабочей обстановки определяют, какой способ измерений импульсного шума можно выбрать для данного рабочего места. Если имеется возможность выбрать способ 1, измерения планируют таким образом, чтобы они удовлетворяли требованиям ГОСТ ISO 9612 при измерениях как , так и
.
Если нет возможности или нецелесообразно проводить измерения в соответствии со способом 1, то анализ рабочей обстановки не отличается от того, что выполняют по ГОСТ ISO 9612 (раздел 7).
А.3.3. Измерения и обработка сигналов
А.3.3.1. Способ 1
Измерения выполняют в соответствии с ГОСТ ISO 9612, однако при этом отдельно фиксируют данные, по которым получают . На основании всех выполненных измерений определяют оценку
, дБ, а на основании измерений, выполненных в отсутствие импульсного шума, -
, дБ. В целях расчета поправки
значения
и
определяют с точностью до двух десятичных знаков после запятой.
А.3.3.2. Способ 2
Выполняют измерения в соответствии с ГОСТ ISO 9612 с регистрацией сигнала уровня звукового давления. По полученной реализации уровня звукового давления отмечают участки времени, на которых выполняется условие
где - уровень звука, измеренный при временной характеристике шумомера I ("импульс");
- уровень звука, измеренный при временной характеристике шумомера S ("медленно").
Если длительность интервала времени, на котором выполняется условие (А.2), менее 1 с, то увеличивают его до 1 с, начиная с момента времени, когда началось выполнения условия (А.2).
Вырезают из временной реализации уровня звукового давления все отмеченные участки и по оставшейся реализации рассчитывают , дБ.
Для расчета значения
и
определяют с точностью до двух десятичных знаков после запятой.
Примечание. Операции выделения участков, где выполняется условие (А.2), и формирования реализации для расчета могут быть реализованы аппаратно в шумомере, удовлетворяющем требованиям ГОСТ 17187.
А.3.4. Вычисление
Вычисляют величину h, дБ, по формуле
Поправку , дБ, рассчитывают по формуле
Зависимость поправки на импульсный шум от величины h показана на рисунке А.2.
Рисунок А.2. Зависимость , дБ, от h, дБ
А.3.5. Неопределенность измерения
Процедура, изложенная в А.3.4 и А.3.5, не вносит дополнительную неопределенность в результат измерений, т.е. стандартная неопределенность для ( +
) будет такой же, что и рассчитанная для
в соответствии с ГОСТ ISO 9612.
БИБЛИОГРАФИЯ
<1> В Российской Федерации действует ГОСТ Р ИСО 226-2009 Акустика. Стандартные кривые равной громкости.
<2> В Российской Федерации действует ГОСТ Р 52797.1-2007 (ИСО 11690-1:1996) Акустика. Рекомендуемые методы проектирования малошумных рабочих мест производственных помещений. Часть 1. Принципы защиты от шума.
<3> В Российской Федерации действует ГОСТ Р 52797.2-2007 (ИСО 11690-2:1996) Акустика. Рекомендуемые методы проектирования малошумных рабочих мест производственных помещений. Часть 2. Меры и средства защиты от шума.
<4> В Российской Федерации действует ГОСТ Р 52797.3-2007 (ИСО/ТО 11690-3:1997) Акустика. Рекомендуемые методы проектирования малошумных рабочих мест производственных помещений. Часть 3. Распространение звука в производственных помещениях и прогнозирование шума.
<5> В Российской Федерации действует ГОСТ Р ЕН 13819-2-2011 Система стандартов безопасности труда. Средства индивидуальной защиты органа слуха. Акустические методы испытаний.
<6> В Российской Федерации действует ГОСТ Р 12.4.212-99 (ИСО 4869-2:1994) Система стандартов безопасности труда. Средства индивидуальной защиты органа слуха. Противошумы. Оценка результирующего значения A-корректированных уровней звукового давления при использовании средств индивидуальной защиты от шума.
<7> В Российской Федерации действует ГОСТ Р ИСО 3741-2013 (ИСО 3741:2010) Акустика. Определение уровней звуковой мощности и звуковой энергии источников шума по звуковому давлению. Точные методы для реверберационных камер.
<8> В Российской Федерации действует ГОСТ Р ИСО 3743-1-2013 (ИСО 3741-1:2010) Акустика. Определение уровней звуковой мощности и звуковой энергии источников шума по звуковому давлению. Технические методы для малых переносных источников шума в реверберационных полях. Часть 1. Метод сравнения для испытательного помещения с жесткими стенами.
<9> Метод, установленный данным международным стандартом, описан в ГОСТ 31276-2002 Шум машин. Определение уровней звуковой мощности источников шума по звуковому давлению. Технические методы для малых переносных источников шума в реверберационных полях в помещениях с жесткими стенами и в специальных реверберационных камерах.
<10> В Российской Федерации действует ГОСТ Р ИСО 3744-2013 (ИСО 3744:2010) Акустика. Определение уровней звуковой мощности и звуковой энергии источников шума по звуковому давлению. Технический метод в существенно свободном звуковом поле над звукоотражающей плоскостью.
<11> В Российской Федерации действует ГОСТ Р ИСО 3746-2013 (ИСО 3746:2010) Акустика. Определение уровней звуковой мощности и звуковой энергии источников шума по звуковому давлению. Ориентировочный метод с использованием измерительной поверхности над звукоотражающей плоскостью.
<12> В Российской Федерации действует ГОСТ Р ИСО 3747-2013 (ИСО 3747:2010) Акустика. Определение уровней звуковой мощности и звуковой энергии источников шума по звуковому давлению. Технический/ориентировочный метод в реверберационном звуковом поле на месте установки.