Постановление Правительства РФ от 23.09.2016 N 958

"О предоставлении субсидий из федерального бюджета на финансирование расходов лизинговых организаций на обеспечение легкой промышленности оборудованием на основе финансового лизинга"
Редакция от 06.12.2017 — Документ утратил силу, см. «Постановление Правительства РФ от 27.12.2019 N 1908»
Показать изменения

ПРАВИТЕЛЬСТВО РОССИЙСКОЙ ФЕДЕРАЦИИ

ПОСТАНОВЛЕНИЕ
от 23 сентября 2016 г. N 958

О ПРЕДОСТАВЛЕНИИ СУБСИДИЙ ИЗ ФЕДЕРАЛЬНОГО БЮДЖЕТА НА ФИНАНСИРОВАНИЕ РАСХОДОВ ЛИЗИНГОВЫХ ОРГАНИЗАЦИЙ НА ОБЕСПЕЧЕНИЕ ЛЕГКОЙ ПРОМЫШЛЕННОСТИ ОБОРУДОВАНИЕМ НА ОСНОВЕ ФИНАНСОВОГО ЛИЗИНГА

(в ред. Постановлений Правительства РФ от 15.11.2016 N 1186, от 10.12.2016 N 1329, от 28.04.2017 N 508, от 23.08.2017 N 994, от 06.12.2017 N 1475)

Правительство Российской Федерации постановляет:

1. Направить в соответствии с пунктом 9 части 1 статьи 21 Федерального закона "О федеральном бюджете на 2016 год" бюджетные ассигнования, предусмотренные Министерству финансов Российской Федерации по подразделу "Общеэкономические вопросы" раздела "Национальная экономика" классификации расходов бюджетов, в размере 360000 тыс. рублей Министерству промышленности и торговли Российской Федерации для предоставления субсидий из федерального бюджета на финансирование расходов лизинговых организаций на обеспечение легкой промышленности оборудованием на основе финансового лизинга. (в ред. Постановления Правительства РФ от 10.12.2016 N 1329)

2. Утвердить прилагаемые Правила предоставления субсидий из федерального бюджета на финансирование расходов лизинговых организаций на обеспечение легкой промышленности оборудованием на основе финансового лизинга.

3. Дополнить перечень субсидий юридическим лицам, в том числе государственным корпорациям и Государственной компании "Российские автомобильные дороги", и бюджетных инвестиций юридическим лицам в соответствии со статьей 80 Бюджетного кодекса Российской Федерации, на договоры (соглашения) о предоставлении которых не распространяются положения части 2 статьи 5 Федерального закона "О федеральном бюджете на 2016 год", утвержденный распоряжением Правительства Российской Федерации от 28 марта 2016 г. N 530-р (Собрание законодательства Российской Федерации, 2016, N 14, ст. 2035; N 21, ст. 3023, 3064; N 23, ст. 3372; N 27, ст. 4495; N 31, ст. 5067; N 36, ст. 5413; N 38, ст. 5587), позицией 100 следующего содержания:

"100. Министерство промышленности и торговли Российской Федерации субсидии на финансирование расходов лизинговых организаций на обеспечение легкой промышленности оборудованием на основе финансового лизинга".

Председатель Правительства
Российской Федерации
Д. МЕДВЕДЕВ

УТВЕРЖДЕНЫ
постановлением Правительства
Российской Федерации
от 23 сентября 2016 г. N 958

ПРАВИЛА ПРЕДОСТАВЛЕНИЯ СУБСИДИЙ ИЗ ФЕДЕРАЛЬНОГО БЮДЖЕТА НА ФИНАНСИРОВАНИЕ РАСХОДОВ ЛИЗИНГОВЫХ ОРГАНИЗАЦИЙ НА ОБЕСПЕЧЕНИЕ ЛЕГКОЙ ПРОМЫШЛЕННОСТИ ОБОРУДОВАНИЕМ НА ОСНОВЕ ФИНАНСОВОГО ЛИЗИНГА

(в ред. Постановлений Правительства РФ от 15.11.2016 N 1186, от 28.04.2017 N 508, от 23.08.2017 N 994, от 06.12.2017 N 1475)

1. Настоящие Правила устанавливают порядок, цели и условия предоставления субсидий из федерального бюджета на финансирование расходов лизинговых организаций на обеспечение легкой промышленности оборудованием на основе финансового лизинга (далее - договор лизинга) в целях технической и технологической модернизации организаций легкой промышленности (далее - субсидии).

В настоящих Правилах под лизинговой организацией понимается коммерческая организация, выполняющая в соответствии с законодательством Российской Федерации и со своими учредительными документами функцию лизингодателя.

Субсидии предоставляются в целях стимулирования деятельности российских организаций легкой промышленности, способствующей увеличению доли российских производителей на внутреннем рынке, а также повышению уровня рентабельности российских организаций легкой промышленности. (в ред. Постановления Правительства РФ от 28.04.2017 N 508)

2. Субсидии предоставляются лизинговым организациям в пределах бюджетных ассигнований и лимитов бюджетных обязательств, доведенных в установленном порядке Министерству промышленности и торговли Российской Федерации как получателю средств федерального бюджета на соответствующий финансовый год на цели, указанные в пункте 1 настоящих Правил. (в ред. Постановления Правительства РФ от 28.04.2017 N 508)

3. Право на получение субсидии имеет лизинговая организация, отвечающая следующим требованиям:

а) лизинговая организация не является иностранным юридическим лицом, а также российским юридическим лицом, в уставном (складочном) капитале которого доля участия компаний, местом регистрации которых является государство или территория, включенные в утверждаемый Министерством финансов Российской Федерации перечень государств и территорий, предоставляющих льготный налоговый режим налогообложения и (или) не предусматривающих раскрытия информации и предоставления информации при проведении финансовых операций (офшорные зоны) в отношении таких юридических лиц, в совокупности превышает 50 процентов;

б-в) подпункты утратили силу. (в ред. Постановления Правительства РФ от 06.12.2017 N 1475)

г) подпункт утратил силу. (в ред. Постановления Правительства РФ от 23.08.2017 N 994)

д) отсутствует неисполненная обязанность по уплате налогов, сборов, страховых взносов, пеней, штрафов, процентов, подлежащих уплате в соответствии с законодательством Российской Федерации о налогах и сборах; (в ред. Постановления Правительства РФ от 23.08.2017 N 994)

е) отсутствует просроченная задолженность по возврату в федеральный бюджет субсидий, бюджетных инвестиций, предоставленных в том числе в соответствии с иными правовыми актами, и иная просроченная задолженность перед федеральным бюджетом; (в ред. Постановлений Правительства РФ от 15.11.2016 N 1186, от 23.08.2017 N 994)

ж) лизинговая организация не находится в процессе реорганизации, ликвидации, банкротства; (в ред. Постановления Правительства РФ от 23.08.2017 N 994)

з) лизинговая организация не получает средств из федерального бюджета в соответствии с иными нормативными правовыми актами на цели, указанные в пункте 1 настоящих Правил. (в ред. Постановления Правительства РФ от 23.08.2017 N 994)

4. Субсидия предоставляется лизинговой организации в размере выпадающих доходов лизинговой организации, возникших вследствие предоставления лизингополучателю единовременной скидки в размере 30 процентов цены приобретения оборудования при уплате авансового платежа. При этом размер субсидии не может превышать размер скидки, фактически предоставленной лизингополучателю.

5. Субсидия предоставляется при соблюдении следующих условий:

а) договор лизинга заключен в период с 1 января по 1 декабря текущего года; (в ред. Постановления Правительства РФ от 28.04.2017 N 508)

б) договором лизинга установлен срок лизинга не менее 24 месяцев и не более 84 месяцев;

в) оборудование, передаваемое в лизинг, не находилось в эксплуатации и произведено не ранее 1 января года, предшествующего году получения субсидии; (в ред. Постановления Правительства РФ от 28.04.2017 N 508)

г) авансовый платеж по договору лизинга составляет не менее 40 процентов цены приобретения оборудования;

д) размер процентной ставки по договору лизинга не должен превышать предельный уровень конечной ставки по договору лизинга, определенный в соответствии с постановлением Правительства Российской Федерации от 20 июля 2016 г. N 702 "О применении базовых индикаторов при расчете параметров субсидирования процентной ставки за счет средств федерального бюджета по кредитам, облигационным займам и (или) договорам лизинга в зависимости от сроков кредитования, а также определении предельного уровня конечной ставки кредитования, при превышении которого субсидирование процентной ставки не осуществляется; (в ред. Постановления Правительства РФ от 23.08.2017 N 994)

е) оборудование, передаваемое в лизинг, ранее не передавалось в лизинг по договорам лизинга, по которым была предоставлена субсидия;

ж) оборудование приобретается в целях реализации инвестиционных проектов организаций легкой промышленности, соответствующих следующим требованиям:

целью инвестиционного проекта является техническая и технологическая модернизация организации легкой промышленности;

общая стоимость инвестиционного проекта, включая налог на добавленную стоимость, составляет более 30 млн. рублей;

минимальное значение производительности труда, рассчитанное как отношение годового объема производства к среднегодовой численности работников организации, в результате реализации инвестиционного проекта достигает не менее 120 процентов по отношению к среднеотраслевым показателям за 2014 год.

создание и (или) модернизация высокопроизводительных рабочих мест; (в ред. Постановления Правительства РФ от 28.04.2017 N 508)

рост уровня рентабельности продаж в результате реализации инвестиционного проекта по окончании срока окупаемости инвестиционного проекта. (в ред. Постановления Правительства РФ от 28.04.2017 N 508)

6. Субсидии предоставляются на основании договора о предоставлении субсидии, заключенного между лизинговой организацией и Министерством промышленности и торговли Российской Федерации в соответствии с типовой формой, утвержденной Министерством финансов Российской Федерации (далее - договор о предоставлении субсидии), который включает в том числе: (в ред. Постановления Правительства РФ от 28.04.2017 N 508)

перечень инвестиционных проектов организаций легкой промышленности, по которым будут заключены договоры лизинга оборудования; (в ред. Постановления Правительства РФ от 28.04.2017 N 508)

согласие лизинговой организации на проведение Министерством промышленности и торговли Российской Федерации и органами государственного финансового контроля обязательных проверок соблюдения лизинговой организацией порядка, целей и условий предоставления субсидии, которые предусмотрены договором о предоставлении субсидии и настоящими Правилами. (в ред. Постановления Правительства РФ от 06.12.2017 N 1475)

Министерство промышленности и торговли Российской Федерации проводит анализ и формирует реестр организаций легкой промышленности, планирующих реализовывать проекты по обновлению оборудования в 2017 году и последующих годах. (в ред. Постановления Правительства РФ от 28.04.2017 N 508)

7. Для заключения договора о предоставлении субсидии лизинговая организация до 25 ноября текущего года включительно представляет в Министерство промышленности и торговли Российской Федерации заявление о заключении договора о предоставлении субсидии в произвольной форме с приложением следующих документов, содержащих информацию, актуальную по состоянию на 1-е число месяца, предшествующего месяцу, в котором планируется заключение договора о предоставлении субсидии: (в ред. Постановления Правительства РФ от 28.04.2017 N 508)

а) выписка из Единого государственного реестра юридических лиц, заверенная в установленном порядке (в случае непредставления организацией такого документа Министерство промышленности и торговли Российской Федерации запрашивает его самостоятельно);

б) копия годового бухгалтерского баланса лизинговой организации за год, предшествующий году заключения договора о предоставлении субсидии, с отметкой налогового органа о принятии, подтверждающего, что величина уставного капитала в соответствии с балансом лизинговой организации за последний отчетный год составляет не менее 250 млн. рублей; (в ред. Постановления Правительства РФ от 23.08.2017 N 994)

в) справка, подписанная руководителем и главным бухгалтером (при наличии) лизинговой организации, скрепленная печатью данной организации (при наличии), с указанием реквизитов счета, на который осуществляется перечисление субсидии; (в ред. Постановления Правительства РФ от 28.04.2017 N 508)

г) справка налогового органа, подтверждающая отсутствие у лизинговой организации неисполненной обязанности по уплате налогов, сборов, страховых взносов, пеней, штрафов, процентов, подлежащих уплате в соответствии с законодательством Российской Федерации о налогах и сборах, заверенная в установленном порядке (в случае непредставления такого документа Министерство промышленности и торговли Российской Федерации запрашивает его самостоятельно); (в ред. Постановлений Правительства РФ от 28.04.2017 N 508, от 23.08.2017 N 994)

д) заверенная руководителем лизинговой организации копия уведомления Федеральной службы по финансовому мониторингу о постановке лизинговой организации на учет в этой Службе в качестве организации, которая осуществляет операции с денежными средствами или иным имуществом и в сфере деятельности которой отсутствуют надзорные органы (один раз в текущем финансовом году) (в случае непредставления такого документа Министерство промышленности и торговли Российской Федерации запрашивает его самостоятельно);

е) перечень инвестиционных проектов по договорам лизинга оборудования для организаций легкой промышленности по форме согласно приложению N 2;

ж) заверенная лизингополучателем копия бизнес-плана инвестиционного проекта, по которому будет заключен договор лизинга оборудования для организаций легкой промышленности.

з) подпункт утратил силу. (в ред. Постановления Правительства РФ от 23.08.2017 N 994)

и) справка, подписанная руководителем и главным бухгалтером (при наличии) лизинговой организации, скрепленная печатью лизинговой организации (при наличии), о том, что у лизинговой организации отсутствует просроченная задолженность по возврату в федеральный бюджет субсидий, бюджетных инвестиций, предоставленных в том числе в соответствии с иными правовыми актами, и иная просроченная задолженность перед федеральными бюджетами; (в ред. Постановлений Правительства РФ от 28.04.2017 N 508, от 23.08.2017 N 994)

к) справка, подписанная руководителем и главным бухгалтером (при наличии) лизинговой организации, о том, что лизинговая организация не является иностранным юридическим лицом, а также российским юридическим лицом, в уставном (складочном) капитале которого доля участия компаний, местом регистрации которых является государство или территория, включенные в утверждаемый Министерством финансов Российской Федерации перечень государств и территорий, предоставляющих льготный налоговый режим налогообложения и (или) не предусматривающих раскрытия информации и предоставления информации при проведении финансовых операций (офшорные зоны) в отношении таких юридических лиц, в совокупности превышает 50 процентов; (в ред. Постановления Правительства РФ от 28.04.2017 N 508)

л) справка, подписанная руководителем и главным бухгалтером (при наличии) лизинговой организации о том, что лизинговая организация не получает средства из федерального бюджета в соответствии с иными нормативными правовыми актами, на цели, указанные в пункте 1 настоящих Правил. (в ред. Постановлений Правительства РФ от 28.04.2017 N 508, от 23.08.2017 N 994)

8. Министерство промышленности и торговли Российской Федерации в течение одного рабочего дня регистрирует в порядке поступления документы, указанные в пункте 7 настоящих Правил, в специальном журнале N 1, который должен быть прошнурован, пронумерован и скреплен печатью Министерства промышленности и торговли Российской Федерации.

9. Министерство промышленности и торговли Российской Федерации рассматривает в течение 15 календарных дней документы, указанные в пункте 7 настоящих Правил, в порядке их поступления в соответствии с регистрацией в специальном журнале N 1, проверяет полноту и достоверность сведений, содержащихся в них, осуществляет проверку их соответствия положениям пунктов 1, 3 и 7 настоящих Правил и заключает с лизинговой организацией договор о предоставлении субсидии либо отказывает (в письменной форме) лизинговой организации в заключении договора о предоставлении субсидии в случае, если представленные документы не соответствуют положениям пунктов 1, 3 и 7 настоящих Правил и содержат неполную и (или) недостоверную информацию. (в ред. Постановления Правительства РФ от 28.04.2017 N 508)

10. Для получения субсидии лизинговая организация, с которой заключен договор о предоставлении субсидии, представляет не позднее 9 декабря текущего года в Министерство промышленности и торговли Российской Федерации заявление о предоставлении субсидии, составленное в произвольной форме, с приложением следующих документов: (в ред. Постановления Правительства РФ от 15.11.2016 N 1186)

а) расчет размера субсидии по форме согласно приложению N 3;

б) копия договора лизинга, заверенная лизинговой организацией;

в) заверенные лизинговой организацией копии платежных документов, подтверждающих внесение организацией легкой промышленности авансового платежа с единовременной скидкой, предоставленной лизинговой организацией;

г) заверенные лизинговой организацией копии платежных документов, подтверждающих факт оплаты части стоимости оборудования по договору поставки и наличие выпадающих доходов у лизинговой компании, включая договоры поставки оборудования; (в ред. Постановления Правительства РФ от 28.04.2017 N 508)

д) справка налогового органа, подтверждающая отсутствие у лизинговой организации неисполненной обязанности по уплате налогов, сборов, страховых взносов, пеней, штрафов, процентов, подлежащих уплате в соответствии с законодательством Российской Федерации о налогах и сборах, заверенная в установленном порядке, выданная не ранее чем за 30 календарных дней до дня представления в Министерство промышленности и торговли Российской Федерации (в случае непредставления организацией такого документа Министерство промышленности и торговли Российской Федерации запрашивает его самостоятельно); (в ред. Постановлений Правительства РФ от 15.11.2016 N 1186, от 23.08.2017 N 994)

е) справка, подписанная его руководителем (иным уполномоченным лицом), подтверждающая отсутствие у получателя субсидии на 1-е число месяца, предшествующего месяцу подачи заявления на получение субсидии, задолженности по уплате страховых взносов в государственные внебюджетные фонды в соответствии с законодательством Российской Федерации о страховых взносах; (в ред. Постановления Правительства РФ от 28.04.2017 N 508)

е.1) справка, подписанная руководителем и главным бухгалтером (при наличии) лизинговой организации, подтверждающая, что лизинговая организация не получает из федерального бюджета средства на цели, указанные в пункте 1 настоящих Правил, в соответствии с иными актами Правительства Российской Федерации. (в ред. Постановлений Правительства РФ от 15.11.2016 N 1186, от 28.04.2017 N 508, от 23.08.2017 N 994)

ж) иные документы, предусмотренные договором о предоставлении субсидии.

11. Поступившие в Министерство промышленности и торговли Российской Федерации документы, указанные в пункте 10 настоящих Правил, регистрируются в течение одного рабочего дня в порядке их поступления в специальном журнале N 2, который должен быть прошнурован, пронумерован и скреплен печатью Министерства промышленности и торговли Российской Федерации.

Документы рассматриваются в порядке их поступления.

12. Министерство промышленности и торговли Российской Федерации проверяет полноту и достоверность сведений, содержащихся в документах, представленных лизинговой организацией в соответствии с пунктом 10 настоящих Правил, и по результатам проверки принимает решение о предоставлении субсидии либо об отказе в предоставлении субсидии.

Решение о предоставлении субсидии принимается Министерством промышленности и торговли Российской Федерации до 15 декабря текущего года.

Министерство промышленности и торговли Российской Федерации уведомляет в письменной форме лизинговую организацию о принятом решении в течение 10 календарных дней со дня его принятия. (в ред. Постановления Правительства РФ от 15.11.2016 N 1186)

13. Министерство промышленности и торговли Российской Федерации отказывает в предоставлении субсидии в случае:

а) несоответствия представленных сведений и документов требованиям и условиям, установленным договором о предоставлении субсидии и настоящими Правилами, или непредставления (представления не в полном объеме) указанных документов; (в ред. Постановления Правительства РФ от 23.08.2017 N 994)

б) наличия в документах неполных и (или) недостоверных сведений;

в) имеется просроченная задолженность по денежным обязательствам перед Российской Федерацией, определенным в статье 93.4 Бюджетного кодекса Российской Федерации. (в ред. Постановления Правительства РФ от 28.04.2017 N 508)

14. В случае принятия решения о предоставлении субсидии Министерство промышленности и торговли Российской Федерации не позднее 10 рабочих дней со дня принятия указанного решения обеспечивает в установленном порядке перечисление субсидии на расчетный счет лизинговой организации, открытый в российской кредитной организации. (в ред. Постановлений Правительства РФ от 15.11.2016 N 1186, от 23.08.2017 N 994)

15. В случае принятия решения об отказе в предоставлении субсидии, основанием для которого является несоответствие представленных сведений и документов требованиям и условиям, установленным договором о предоставлении субсидии и настоящими Правилами, или наличие в документах неполных и (или) недостоверных сведений, Министерство в течение 10 календарных дней со дня принятия такого решения возвращает лизинговой организации документы с мотивированным отказом (в письменной форме). (в ред. Постановлений Правительства РФ от 15.11.2016 N 1186, от 23.08.2017 N 994)

16. Показателем эффективности использования субсидии по договору о предоставлении субсидии является заключение договоров лизинга по всем инвестиционным проектам, указанным в договоре о предоставлении субсидии в соответствии с пунктом 6 настоящих Правил, а также выполнение поставки оборудования. (в ред. Постановления Правительства РФ от 28.04.2017 N 508)

Лизинговая организация, заключившая договор о предоставлении субсидии, обязана представить не позднее 30 календарных дней со дня подписания акта приема-передачи оборудования в лизинг, но не позднее 31 декабря второго года, следующего за годом, в котором была получена субсидия, отчет о достижении показателя эффективности использования субсидии по форме согласно приложению N 4 с приложением к отчету акта приема-передачи оборудования в лизинг. (в ред. Постановлений Правительства РФ от 15.11.2016 N 1186, от 06.12.2017 N 1475)

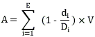
17. В случае недостижения показателя эффективности предоставления субсидии, установленного договором о предоставлении субсидии, а также в случае непредставления в установленном порядке отчета о достижении показателя эффективности использования субсидии, указанного в пункте 16 настоящих Правил, лизинговая организация уплачивает штраф (А), размер которого определяется по формуле:

,

где:

Е - количество показателей эффективности предоставления субсидии, указанных в договоре о предоставлении субсидии; (в ред. Постановления Правительства РФ от 28.04.2017 N 508)

- достигнутое значение i-ro показателя эффективности предоставления субсидии, указанного в договоре о предоставлении субсидии; (в ред. Постановления Правительства РФ от 28.04.2017 N 508)

- плановое значение i-ro показателя результативности предоставления субсидии, указанного в договоре о предоставлении субсидии;

V - размер средств федерального бюджета, использованных организацией - получателем субсидии.

18. Контроль за соблюдением лизинговыми организациями порядка, целей и условий предоставления субсидий осуществляется Министерством промышленности и торговли Российской Федерации и федеральным органом исполнительной власти, осуществляющим функции по контролю и надзору в финансово-бюджетной сфере.

19. В случае установления фактов нарушения порядка, целей и условий предоставления субсидии средства, полученные лизинговой организацией, подлежат возврату в федеральный бюджет в течение 30 календарных дней со дня получения соответствующего требования от Министерства промышленности и торговли Российской Федерации и (или) уполномоченного органа государственного финансового контроля. (в ред. Постановлений Правительства РФ от 15.11.2016 N 1186, от 06.12.2017 N 1475)

ПРИЛОЖЕНИЕ 1. ПЕРЕЧЕНЬ ДОГОВОРОВ ЛИЗИНГА ОБОРУДОВАНИЯ - Утратило силу. (в ред. Постановления Правительства РФ от 23.08.2017 N 994)

ПРИЛОЖЕНИЕ N 2
к Правилам предоставления субсидий
из федерального бюджета на финансирование
расходов лизинговых организаций на обеспечение
легкой промышленности оборудованием
на основе финансового лизинга

(форма)

ПЕРЕЧЕНЬ ИНВЕСТИЦИОННЫХ ПРОЕКТОВ ПО ДОГОВОРАМ ЛИЗИНГА ОБОРУДОВАНИЯ ДЛЯ ОРГАНИЗАЦИЙ ЛЕГКОЙ ПРОМЫШЛЕННОСТИ

Наименование / ИНН лизингополучателя Наименование инвестиционного проекта Общая стоимость проекта Производительность труда в результате реализации проекта Срок лизинга (месяцев) Наименование / год выпуска оборудования - предмета лизинга Дата поставки оборудования лизингополучателю Стоимость оборудования - предмета лизинга (рублей) <*> Размер авансового платежа по договору лизинга без учета скидки (рублей) Размер авансового платежа (рублей), уплачиваемого клиентом Размер скидки (процентов стоимости оборудования - предмета лизинга) ((гр. 9 - гр. 10) / гр- 8) Сумма потерь в доходах, подлежащая компенсации (рублей) (гр. 9 - гр. 10)
1 2 3 4 5 6 7 8 9 10 11 12
Общая сумма потерь в доходах, подлежащая компенсации:

Общая сумма потерь в доходах лизинговой организации при предоставлении лизингополучателям скидки по уплате авансового платежа по договорам лизинга оборудования для предприятий легкой промышленности, подлежащая компенсации, - ______________ рублей.

Руководитель организации      
  (подпись)   (ф.и.о.)
Главный бухгалтер      
  (подпись)   (ф.и.о.)
М.П.      
       
Исполнитель      
  (ф.и.о.)    
Телефон      
       

<*> В случае поставки оборудования по контрактам, номинированным в иностранной валюте, стоимость оборудования указывается по прогнозному курсу в соответствии с условиями поставки.

ПРИЛОЖЕНИЕ N 3
к Правилам предоставления
субсидий из федерального
бюджета на финансирование
расходов лизинговых организаций
на обеспечение легкой промышленности
оборудованием на основе
финансового лизинга (в редакции
постановления Правительства
Российской Федерации
от 28 апреля 2017 г. N 508)

(форма)

РАСЧЕТ РАЗМЕРА СУБСИДИИ, ПРЕДОСТАВЛЯЕМОЙ

(в ред. Постановления Правительства РФ от 28.04.2017 N 508)

(наименование лизинговой организации)
на финансирование расходов лизинговой организации на обеспечение легкой промышленности оборудованием на основе финансового лизинга за период с __________________ по __________________
N п/п Номер договора лизинга Дата заключения договора
лизинга
Наименование/ИНН лизингополучателя Наименование проекта Срок лизинга (месяцев) Наименование/год выпуска оборудования - предмета лизинга Дата поставки оборудования лизингополучателю Стоимость оборудования - предмета лизинга (рублей) <*> Размер авансового платежа по договору лизинга без учета скидки (рублей) Размер авансового платежа (рублей), уплаченного клиентам Размер скидки (процентов стоимости оборудования - предмета лизинга) (гр. 10 - гр. 11)/гр. 9) Размер субсидии (рублей) (гр. 9 х 0,3)
1 2 3 4 5 6 7 8 9 10 11 12 13
                         
                         
Общая сумма потерь в доходах, подлежащая компенсации  

<*> В случае поставки оборудования по контрактам, номинированным в иностранной валюте, стоимость оборудования указывается по курсу Банка России на дату оплаты авансового платежа в соответствии с условиями договора поставки.".

Общая сумма потерь в доходах лизинговой организации при предоставлении лизингополучателям скидки по уплате авансового платежа по договорам лизинга оборудования для предприятий легкой промышленности, подлежащая компенсации, - _________________ рублей.

Руководитель организации        
  (подпись)   (ф.и.о.)  
Главный бухгалтер        
  (подпись)   (ф.и.о.)  
м.п.        
Исполнитель        
  (ф.и.о.)      
Телефон        
  (ф.и.о.)      

 
ПРИЛОЖЕНИЕ N 4
к Правилам предоставления субсидий
из федерального бюджета на финансирование
расходов лизинговых организаций на обеспечение
легкой промышленности оборудованием
на основе финансового лизинга

(форма)

ОТЧЕТ О ДОСТИЖЕНИИ В ГОДУ ПОКАЗАТЕЛЯ ЭФФЕКТИВНОСТИ ИСПОЛЬЗОВАНИЯ СУБСИДИИ

N п/п Номер договора лизинга Дата заключения договора лизинга Полное наименование лизингополучателя / ИНН Наименование оборудования - предмета лизинга Дата акта приема-передачи оборудования в лизинг
1 2 3 4 5 6
Руководитель организации      
  (подпись)   (ф.и.о.)
Главный бухгалтер      
  (подпись)   (ф.и.о.)
М.П.      
       
Исполнитель      
  (ф.и.о.)    
Телефон