Точность (правильность и прецизионность) методов и результатов измерений. Часть 1. Основные положения и определения. ГОСТ р ИСО 5725-1-2002

(утв. Постановлением Госстандарта РФ от 23.04.2002 N 161-СТ)
Редакция от 23.04.2002 — Действует с 01.11.2002

ГОСУДАРСТВЕННЫЙ СТАНДАРТ РОССИЙСКОЙ ФЕДЕРАЦИИ

ТОЧНОСТЬ (ПРАВИЛЬНОСТЬ И ПРЕЦИЗИОННОСТЬ) МЕТОДОВ И РЕЗУЛЬТАТОВ ИЗМЕРЕНИЙ

Часть 1

ОСНОВНЫЕ ПОЛОЖЕНИЯ И ОПРЕДЕЛЕНИЯ

Accuracy (trueness and precision) of measurement methods and results. Part 1. General principles and definitions

ГОСТ Р ИСО 5725-1-2002

Группа Т80

ОКС 17.020
ОКСТУ 0008

Дата введения 2002-11-01

ГОСТ Р ИСО 5725-2-2002, ГОСТ Р ИСО 5725-3-2002, ГОСТ Р ИСО 5725-4-2002, ГОСТ Р ИСО 5725-5-2002, ГОСТ Р ИСО 5725-6-2002 включены в систему отдельными документами.

Предисловие

1 РАЗРАБОТАН Федеральным государственным унитарным предприятием "Всероссийский научно-исследовательский институт метрологической службы" Госстандарта России (ВНИИМС), Всероссийским научно-исследовательским институтом стандартизации (ВНИИСтандарт), Всероссийским научно-исследовательским институтом классификации, терминологии и информации по стандартизации и качеству (ВНИИКИ) Госстандарта России

ВНЕСЕН Управлением метрологии и Научно-техническим управлением Госстандарта России

2 ПРИНЯТ И ВВЕДЕН В ДЕЙСТВИЕ Постановлением Госстандарта России от 23 апреля 2002 г. N 161-ст

3 Настоящий стандарт представляет собой полный аутентичный текст международного стандарта ИСО 5725-1:1994 "Точность (правильность и прецизионность) методов и результатов измерений. Часть 1. Основные положения и определения"

В необходимых случаях в тексте стандарта даны комментарии научного редактора, выделенные курсивом

4 ВВЕДЕН ВПЕРВЫЕ

ИЗДАНИЕ (март 2009 г.) с Поправкой (ИУС 11-2003)

ПРЕДИСЛОВИЕ К ГОСУДАРСТВЕННЫМ СТАНДАРТАМ РОССИЙСКОЙ ФЕДЕРАЦИИ ГОСТ Р ИСО 5725-1-2002 - ГОСТ Р ИСО 5725-6-2002 ПОД ОБЩИМ ЗАГОЛОВКОМ "ТОЧНОСТЬ (ПРАВИЛЬНОСТЬ И ПРЕЦИЗИОННОСТЬ) МЕТОДОВ И РЕЗУЛЬТАТОВ ИЗМЕРЕНИЙ"

Целью разработки Государственных стандартов Российской Федерации (ГОСТ Р ИСО 5725-1-2002, ГОСТ Р ИСО 5725-2-2002, ГОСТ Р ИСО 5725-3-2002, ГОСТ Р ИСО 5725-4-2002, ГОСТ Р ИСО 5725-5-2002, ГОСТ Р ИСО 5725-6-2002), далее - ГОСТ Р ИСО 5725, является прямое применение в Российской Федерации шести частей основополагающего Международного стандарта ИСО 5725 под общим заголовком "Точность (правильность и прецизионность) методов и результатов измерений" в практической деятельности по метрологии (разработке, аттестации и применению методик выполнения измерений), стандартизации методов контроля (испытаний, измерений, анализа), испытаниям продукции, в том числе для целей подтверждения соответствия, оценке компетентности испытательных лабораторий согласно требованиям ГОСТ Р ИСО/МЭК 17025-2000 <*>.

<*> С 1 июля 2007 г. введен в действие ГОСТ Р ИСО/МЭК 17025-2006.

ГОСТ Р ИСО 5725 представляют собой полный аутентичный текст шести частей международного стандарта ИСО 5725, в том числе:

ГОСТ Р ИСО 5725-1-2002 "Точность (правильность и прецизионность) методов и результатов измерений. Часть 1. Основные положения и определения";

ГОСТ Р ИСО 5725-2-2002 "Точность (правильность и прецизионность) методов и результатов измерений. Часть 2. Основной метод определения повторяемости и воспроизводимости стандартного метода измерений";

ГОСТ Р ИСО 5725-3-2002 "Точность (правильность и прецизионность) методов и результатов измерений. Часть 3. Промежуточные показатели прецизионности стандартного метода измерений";

ГОСТ Р ИСО 5725-4-2002 "Точность (правильность и прецизионность) методов и результатов измерений. Часть 4. Основные методы определения правильности стандартного метода измерений";

ГОСТ Р ИСО 5725-5-2002 "Точность (правильность и прецизионность) методов и результатов измерений. Часть 5. Альтернативные методы определения прецизионности стандартного метода измерений";

ГОСТ Р ИСО 5725-6-2002 "Точность (правильность и прецизионность) методов и результатов измерений. Часть 6. Использование значений точности на практике".

Каждая часть содержит аутентичный перевод предисловия и введения к международному стандарту ИСО 5725, а также предисловие к государственным стандартам Российской Федерации (ГОСТ Р ИСО 5725-1-2002 - ГОСТ Р ИСО 5725-6-2002) и издается самостоятельно.

Пользование частями 2 - 6 ГОСТ Р ИСО 5725 в отдельности возможно только совместно с частью 1 (ГОСТ Р ИСО 5725-1), в которой установлены основные положения и определения, касающиеся всех частей ГОСТ Р ИСО 5725.

В соответствии с основными положениями ИСО 5725-1 (пункт 1.2) настоящий стандарт распространяется на методы измерений непрерывных (в смысле принимаемых значений в измеряемом диапазоне) величин, дающие в качестве результата измерений единственное значение. При этом это единственное значение может быть и результатом расчета, основанного на ряде измерений одной и той же величины.

Стандарты ИСО 5725 могут применяться для оценки точности выполнения измерений различных физических величин, характеризующих измеряемые свойства того или иного объекта, в соответствии со стандартизованной процедурой. При этом в пункте 1.2 ИСО 5725-1 особо отмечено, что стандарт может применяться для оценки точности выполнения измерений состава и свойств очень широкой номенклатуры материалов, включая жидкости, порошкообразные и твердые материалы - продукты материального производства или существующие в природе, при условии, что учитывают любую неоднородность материала.

Применяемый в международных стандартах термин "стандартный метод измерений" адекватен отечественному термину "стандартизованный метод измерений".

В ИСО 5725:1994-1998 и ИСО/МЭК 17025-99 понятие "метод измерений" ("measurement method") включает совокупность операций и правил, выполнение которых обеспечивает получение результатов с известной точностью. Таким образом, понятие "метод измерений" по ИСО 5725 и ИСО/МЭК 17025 адекватно понятию "методика выполнения измерений (МВИ)" по ГОСТ Р 8.563-96 "Государственная система обеспечения единства измерений. Методики выполнения измерений" (пункт 3.1) и соответственно значительно шире по смыслу, чем определение термина "метод измерений" в Рекомендации по межгосударственной стандартизации РМГ 29-99 "Государственная система обеспечения единства измерений. Метрология. Основные термины и определения" (пункт 7.2).

В связи с утратой силы ГОСТ Р 8.563-96, следует руководствоваться принятым взамен ГОСТ Р 8.563-2009.

Более того, в оригинале ИСО 5725 очень часто употребляется в качестве понятия "метод измерений" и английский термин "test method", перевод которого на русский язык - "метод испытаний" (см. в оригинале примечание 1 к пункту 3.2 ИСО 5725-1) и который по смыслу совпадает с термином 6.2 ИСО 5725-1 "standard measurement method" (стандартизованный метод измерений). Соответственно в качестве термина "результат измерений" в оригинале стандарта чаще используется английский термин "test result" (см. пункт 3.2 ИСО 5725-1), причем в контексте как с термином "test method" (см. пункт 3.2), так и с термином "measurement method" (см. в оригинале, например, пункты 1.2 или 7.2.1 ИСО 5725-1).

При этом следует иметь в виду, что область применения ИСО 5725 - точность стандартизованных методов измерений, в том числе предназначенных для целей испытаний продукции, позволяющих количественно оценить характеристики свойств (показателей качества и безопасности) объекта испытаний (продукции). Именно поэтому во всех частях стандарта результаты измерений характеристик образцов, взятых в качестве выборки из партии изделий (или проб, отобранных из партии материала), являются основой для получения результатов испытаний всей партии (объекта испытаний). Когда объектом испытаний является конкретный образец (test speciment, sample), результаты измерений и испытаний могут совпадать. Такой подход имеет место в примерах по определению показателей точности стандартного (стандартизованного) метода измерений, содержащихся в ИСО 5725.

Следует отметить, что в отечественной метрологии точность (accuracy) и погрешность (еrror) результатов измерений, как правило, определяются сравнением результата измерений с истинным или действительным (условно истинным) значением измеряемой физической величины (являющимися фактически эталонными значениями измеряемых величин, выраженными в узаконенных единицах).

В условиях отсутствия необходимых эталонов, обеспечивающих воспроизведение, хранение и передачу соответствующих значений единиц величин, необходимых для оценки погрешности (точности) результатов измерений, и в отечественной, и в международной практике за действительное значение зачастую принимают общее среднее значение (математическое ожидание) установленной (заданной) совокупности результатов измерений. В ИСО 5725 эта ситуация отражена в термине "принятое опорное значение" (см. пункты 3.5 и 3.6 ГОСТ Р ИСО 5725-1) и рекомендуется ГОСТ Р ИСО 5725-1 для использования в этих случаях и в отечественной практике.

Термины "правильность" (trueness) и "прецизионность" (precision) в отечественных нормативных документах по метрологии до настоящего времени не использовались. При этом "правильность" - степень близости результата измерений к истинному или условно истинному (действительному) значению измеряемой величины или в случае отсутствия эталона измеряемой величины - степень близости среднего значения, полученного на основании большой серии результатов измерений (или результатов испытаний) к принятому опорному значению. Показателем правильности обычно является значение систематической погрешности (см. пункт 3.7 ГОСТ Р ИСО 5725-1).

В свою очередь "прецизионность" - степень близости друг к другу независимых результатов измерений, полученных в конкретных установленных условиях. Эта характеристика зависит только от случайных факторов и не связана с истинным или условно истинным значением измеряемой величины (см. пункт 3.12 ГОСТ Р ИСО 5725-1). Мера прецизионности обычно вычисляется как стандартное (среднеквадратическое) отклонение результатов измерений, выполненных в определенных условиях. Количественные значения мер прецизионности существенно зависят от заданных условий. Экстремальные показатели прецизионности - повторяемость, сходимость (repeatability) и воспроизводимость (reproducibility) регламентируют и в отечественных нормативных документах, в том числе в большинстве государственных стандартов на методы контроля (испытаний, измерений, анализа) (см. пункты 3.12 - 3.20 ГОСТ Р ИСО 5725-1).

В соответствии с ИСО 5725 цель государственных стандартов ГОСТ Р ИСО 5725 состоит в том, чтобы:

а) изложить основные положения, которые следует иметь в виду при оценке точности (правильности и прецизионности) методов и результатов измерений при их применении, а также при планировании экспериментов по оценке различных показателей точности (ГОСТ Р ИСО 5725-1);

б) регламентировать основной способ экспериментальной оценки повторяемости (сходимости) и воспроизводимости методов и результатов измерений (ГОСТ Р ИСО 5725-2);

в) регламентировать процедуру получения промежуточных показателей прецизионности методов и результатов измерений, изложив условия их применения и методы оценки (ГОСТ Р ИСО 5725-3);

г) регламентировать основные способы определения правильности методов и результатов измерений (ГОСТ Р ИСО 5725-4);

д) регламентировать для применения в определенных обстоятельствах несколько альтернатив основным способам (ГОСТ Р ИСО 5725-2 и ГОСТ Р ИСО 5725-4) определения прецизионности и правильности методов и результатов измерений, приведенных в ГОСТ Р ИСО 5725-5;

е) изложить некоторые практические применения показателей правильности и прецизионности (ГОСТ Р ИСО 5725-6).

Представленные в виде таблицы рекомендации по применению основных положений ГОСТ Р ИСО 5725 в деятельности по метрологии, стандартизации, испытаниям, оценке компетентности испытательных лабораторий со ссылками на нормы государственных стандартов Российской Федерации, содержащих требования к выполнению соответствующих работ, приведены в приложении к предисловию в ГОСТ Р ИСО 5725-1.

Алгоритмы проведения экспериментов по оценке повторяемости, воспроизводимости, промежуточных показателей прецизионности, показателей правильности (характеристик систематической погрешности) методов и результатов измерений рекомендуется внедрять через программы экспериментальных метрологических исследований показателей точности (характеристик погрешности) результатов измерений, выполняемых по разрабатываемой МВИ, и (или) через программы контроля показателей точности применяемых МВИ.

Использование приведенных в приложениях А к каждому стандарту условных обозначений в качестве обязательных рекомендуется только для тех показателей точности, которые до настоящего времени в отечественной метрологической практике не использовались (например, для показателей по пунктам 3.9 - 3.12 ГОСТ Р ИСО 5725-1). Для остальных показателей и критериев используемые в стандартах ГОСТ Р ИСО 5725 условные обозначения, как правило, могут применяться наряду с условными обозначениями этих показателей и критериев, принятых в действующих отечественных документах (например, предел повторяемости (сходимости) с условным обозначением r по пункту 3.16 ГОСТ Р ИСО 5725-1 наряду с условным обозначением d, принятым для этого показателя в ряде рекомендаций по метрологии, а также в государственных стандартах на методы испытаний продукции).

ПРЕДИСЛОВИЕ К МЕЖДУНАРОДНОМУ СТАНДАРТУ ИСО 5725

Международная организация по стандартизации (ИСО) является Всемирной федерацией национальных организаций по стандартизации (комитетов - членов ИСО). Разработка международных стандартов обычно осуществляется техническими комитетами ИСО. Каждый член ИСО, заинтересованный в деятельности соответствующего технического комитета, имеет право быть представленным в этом комитете. Правительственные и неправительственные международные организации, сотрудничающие с ИСО, также принимают участие в этой работе. ИСО тесно сотрудничает с Международной электротехнической комиссией (МЭК) по всем вопросам стандартизации в области электротехники.

Проекты международных стандартов, принятые техническими комитетами, направляются техническим комитетом - членам ИСО на голосование перед их утверждением Советом ИСО в качестве международных стандартов. Стандарты утверждаются в качестве международных в соответствии с установленными в ИСО требованиями: в случае их одобрения по меньшей мере 75% комитетов - членов ИСО, принимавших участие в голосовании.

Международный стандарт ИСО 5725-1 был подготовлен Техническим комитетом ИСО/ТК 69 "Применение статистических методов", Подкомитетом ПК 6 "Методы и результаты измерений".

ИСО 5725 состоит из следующих частей под общим заголовком "Точность (правильность и прецизионность) методов и результатов измерений":

Часть 1. Основные положения и определения

Часть 2. Основной метод определения повторяемости и воспроизводимости стандартного метода измерений

Часть 3. Промежуточные показатели прецизионности стандартного метода измерений

Часть 4. Основные методы определения правильности стандартного метода измерений

Часть 5. Альтернативные методы определения прецизионности стандартного метода измерений

Часть 6. Использование значений точности на практике

ИСО 5725 (части 1 - 6) в совокупности аннулирует и заменяет ИСО 5725:1986, область распространения которого была расширена включением правильности (в дополнение к прецизионности) и условий промежуточной прецизионности (в дополнение к условиям повторяемости и воспроизводимости).

Приложение А является обязательным для настоящей части ИСО 5725, приложение В - справочное.

ВВЕДЕНИЕ К МЕЖДУНАРОДНОМУ СТАНДАРТУ ИСО 5725

0.1 В ИСО 5725 для описания точности метода измерений используют два термина: "правильность" и "прецизионность". Термин "правильность" характеризует степень близости среднего арифметического значения большого числа результатов измерений к истинному или принятому опорному значению, термин "прецизионность" - степень близости результатов измерений друг к другу.

0.2 Необходимость рассмотрения "прецизионности" возникает из-за того, что измерения, выполняемые на предположительно идентичных материалах при предположительно идентичных обстоятельствах, не дают, как правило, идентичных результатов. Это объясняется неизбежными случайными погрешностями, присущими каждой измерительной процедуре, а факторы, оказывающие влияние на результат измерения, не поддаются полному контролю. При практической интерпретации результатов измерений эта изменчивость должна учитываться. Например, нельзя установить фактическое различие между полученным результатом измерений и какой-либо точной величиной, если она лежит в области неизбежных случайных погрешностей измерительной процедуры. Аналогичным образом, сопоставление результатов испытаний двух существенно различающихся партий материала не выявит какого-либо существенного отличия в качестве, если расхождение между результатами лежит в вышеупомянутой области.

0.3 На изменчивость результатов измерений, выполненных по одному методу, помимо различий между предположительно идентичными образцами, могут влиять многие различные факторы, в том числе:

а) оператор;

b) используемое оборудование;

с) калибровка оборудования;

d) параметры окружающей среды (температура, влажность, загрязнение воздуха и т.д.);

е) интервал времени между измерениями.

Различия между результатами измерений, выполняемых разными операторами и/или с использованием различного оборудования, как правило, будут больше, чем между результатами измерений, выполняемых в течение короткого интервала времени одним оператором с использованием одного и того же оборудования.

0.4 Прецизионность является общим термином для выражения изменчивости повторяющихся измерений. Два условия прецизионности, называемые условиями повторяемости и воспроизводимости, были признаны необходимыми и, во многих практических случаях, полезными для представления изменчивости метода измерений. В условиях повторяемости (сходимости) факторы а)-е), перечисленные выше, считают постоянными, и они не влияют на изменчивость, в то время как в условиях воспроизводимости все эти факторы переменны и влияют на изменчивость результатов испытаний. Таким образом, повторяемость и воспроизводимость представляют собой два крайних случая прецизионности, где первый характеризует минимальную, а второй - максимальную изменчивость результатов. Прочие промежуточные условия между этими двумя экстремальными условиями прецизионности допустимы, когда один или несколько факторов а) - е) могут изменяться и использоваться при определенных обстоятельствах. Прецизионность, как правило, выражают в терминах стандартных отклонений <*>.

<*> Термин "стандартное отклонение (англ. standard deviation)" означает корень квадратный из дисперсии, определяемый в отечественных нормативных документах как "среднеквадратическое отклонение".

0.5 Правильность метода измерений имеет смысл в случаях, когда можно прямо или косвенно представить истинное значение измеряемой величины. Хотя для некоторых методов измерений истинное значение не может быть известно точно, существует возможность располагать принятым опорным значением измеряемой величины, например, когда имеются в распоряжении соответствующие стандартные образцы <*> или когда принятое опорное значение может быть установлено посредством ссылки на другой метод измерений, или путем приготовления известного образца. При этом правильность того или иного метода измерений может быть исследована посредством сопоставления принятого опорного значения с уровнем результатов, полученных этим методом. Правильность, как правило, выражают в терминах систематической погрешности (смещение). Например, при химическом анализе систематическая погрешность проявляется в случаях, когда метод измерений не позволяет полностью выделить элемент или когда наличие одного элемента мешает определению другого.


<*> Термин "стандартные образцы (СО)" в ИСО 5725 и ИСО/МЭК 17025 соответствует англ. термину "reference materials (RM)"; в необходимых случаях в тексте оригинала ИСО 5725-4, ИСО 5725-6 и ИСО/МЭК 17025 (пункт 5.6.3.2) используют термин "certified reference materials (СRМ)", что в переводе на русский язык означает "аттестованные стандартные образцы" (см., например, пункт 4.2.1 ГОСТ Р ИСО 5725-4). В ГОСТ Р ИСО 5725, а также в ГОСТ Р ИСО/МЭК 17025-2000 этот термин (СRМ) используют применительно к государственным и отраслевым стандартным образцам (ГСО и ОСО) по ГОСТ 8.315-97. Термин "стандартные образцы предприятия (лаборатории) (СОП)" соответствует английскому термину "internal reference materials" или "private reference materials prepared by the laboratory"; последнее словосочетание переводится как "собственные стандартные образцы, приготовленные лабораторией" (см., например, пункт 6.2.2.1с ИСО 5725-6).

0.6 Общий термин "точность" используют в ИСО 5725 в отношении обоих терминов - "правильность" и "прецизионность". Одно время термин "точность" использовался, распространяясь лишь на одну составляющую, именуемую теперь правильностью, однако стало очевидным, что он выражает суммарное отклонение результата от эталонного (опорного) значения, вызванное как случайными, так и систематическими причинами.

1 Область применения

1.1 Цель стандартов ГОСТ Р ИСО 5725 состоит в следующем:

a) изложить основные положения, которые следует иметь в виду при оценке точности (правильности и прецизионности) методов и результатов измерений, их применении, а также при экспериментальной оценке различных показателей точности (ГОСТ Р ИСО 5725-1);

b) регламентировать основной метод экспериментальной оценки двух экстремальных показателей прецизионности методов измерений (ГОСТ Р ИСО 5725-2);

c) регламентировать процедуру получения промежуточных показателей прецизионности, изложив условия их применения и методы их оценки (ГОСТ Р ИСО 5725-3);

d) регламентировать основные методы определения правильности метода измерений (ГОСТ Р ИСО 5725-4);

e) регламентировать несколько альтернатив основным методам, приведенным в ГОСТ Р ИСО 5725-2 и ГОСТ Р ИСО 5725-4 для определения прецизионности и правильности методов измерений, при выполнении измерений в иных заданных условиях (ГОСТ Р ИСО 5725-5);

f) дать представление о некоторых практических применениях показателей правильности и прецизионности (ГОСТ Р ИСО 5725-6).

1.2 Настоящий стандарт распространяется на методы измерений непрерывных (в смысле принимаемых значений в измеряемом диапазоне) величин, дающие в качестве результата измерений единственное значение. При этом единственное значение может быть и результатом расчета, основанного на ряде измерений одной и той же величины.

В стандарте представлены определения величин, которые характеризуют, с количественной точки зрения, способность метода измерений дать верный результат (правильность) или повторить полученный результат (прецизионность). Таким образом представляется, что один и тот же параметр был измерен точно таким же способом и что измерительная процедура находится под контролем.

Настоящий стандарт может быть применен к очень широкой номенклатуре материалов, включая жидкости, порошки и твердые объекты, произведенные или существующие в природе при условии, что учитывают любую неоднородность материала.

2 Нормативные ссылки

В настоящем стандарте использованы ссылки на следующие стандарты:

ГОСТ Р 8.563-96 Государственная система обеспечения единства измерений. Методики выполнения измерений

ГОСТ Р ИСО 5725-2-2002 Точность (правильность и прецизионность) методов и результатов измерений. Часть 2. Основной метод определения повторяемости и воспроизводимости стандартного метода измерений

ГОСТ Р ИСО 5725-3-2002 Точность (правильность и прецизионность) методов и результатов измерений. Часть 3. Промежуточные показатели прецизионности стандартного метода измерений

ГОСТ Р ИСО 5725-4-2002 Точность (правильность и прецизионность) методов и результатов измерений. Часть 4. Основные методы определения правильности стандартного метода измерений

ГОСТ Р ИСО 5725-5-2002 Точность (правильность и прецизионность) методов и результатов измерений. Часть 5. Альтернативные методы определения прецизионности стандартного метода измерений

ГОСТ Р ИСО 5725-6-2002 Точность (правильность и прецизионность) методов и результатов измерений. Часть 6. Использование значений точности на практике

ГОСТ Р ИСО/МЭК 17025-2000 <*> Общие требования к компетентности испытательных и калибровочных лабораторий

<*> С 1 июля 2007 г. введен в действие ГОСТ Р ИСО/МЭК 17025-2006.

ГОСТ Р 51672-2000 Метрологическое обеспечение испытаний продукции для целей подтверждения соответствия. Основные положения.

3 Определения

В стандартах ГОСТ Р ИСО 5725 применяют следующие термины с соответствующими определениями.

Некоторые определения даны в соответствии с ИСО 3534-1 [1].

Условные обозначения, используемые в ГОСТ Р ИСО 5725, представлены в приложении А.

3.1 наблюдаемое значение (observed value): Значение характеристики, полученное в результате единичного наблюдения (ИСО 3534-1 [1]).

3.2 результат измерений (test result): Значение характеристики, полученное выполнением регламентированного метода измерений.

Примечание 1 - В нормативном документе на метод измерений должно регламентироваться, сколько (одно или несколько) единичных наблюдений должно быть выполнено, способы их усреднения (среднее арифметическое значение результатов многократных наблюдений, медиана или стандартное отклонение) и способы представления в качестве результата измерений (или результата испытаний - см. предисловие). Может потребоваться введение стандартных поправок (например, таких как приведение объема газа к нормальной температуре и давлению). Таким образом, результат измерений (испытаний) может быть представлен как результат, рассчитанный из нескольких наблюдаемых значений. В простейшем случае результат измерений (испытаний) является собственно наблюдаемым значением (ИСО 3534-1 [1]).

Такой подход к представлению результатов измерений имеет место в МИ 1317 [2].

3.3 уровень испытаний в эксперименте по оценке прецизионности (level of the test in a precision experiment): Общее среднее значение результатов испытаний, полученных от всех лабораторий для одного конкретного испытуемого материала или образца.

В отечественных документах используется термин "общее среднее значение результатов испытаний конкретного образца".

3.4 базовый элемент (ячейка) в эксперименте по оценке прецизионности (cell in a precision experiment): Совокупность результатов испытаний на одном уровне, полученных одной лабораторией.

3.5 принятое опорное значение (accepted reference value): Значение, которое служит в качестве согласованного для сравнения и получено как:

а) теоретическое или установленное значение, базирующееся на научных принципах;

b) приписанное или аттестованное значение, базирующееся на экспериментальных работах какой-либо национальной или международной организации;

с) согласованное или аттестованное значение, базирующееся на совместных экспериментальных работах под руководством научной или инженерной группы;

d) математическое ожидание измеряемой характеристики, то есть среднее значение заданной совокупности результатов измерений - лишь в случае, когда а), b) и с) недоступны (ИСО 3534-1 [1]).

В отечественной метрологии погрешность (the error) результатов измерений, как правило, определяется сравнением результата измерений с истинным или действительным значением измеряемой физической величины (являющимися фактически эталонными значениями измеряемых величин, выраженными в узаконенных единицах).

Согласно 3.6 РМГ 29-99 [3] истинное значение физической величины (true value of a quantity) - значение, которое идеальным образом характеризует в качественном и количественном отношении соответствующую физическую величину; согласно 3.7 РМГ 29 действительное значение физической величины (conventional true value) - значение величины, полученное экспериментальным путем и настолько близкое к истинному значению, что в поставленной измерительной задаче может быть использовано вместо него.

В условиях отсутствия необходимых эталонов, обеспечивающих воспроизведение, хранение и передачу соответствующих значений величин, необходимых для определения погрешности (точности) результатов измерений и в отечественной, и в международной практике за действительное значение зачастую принимают общее среднее значение (математическое ожидание) заданной совокупности результатов измерений, выражаемое в отдельных случаях в условных единицах. Эта ситуация и отражена в термине "принятое опорное значение" 3.5 ГОСТ Р ИСО 5725-1 и рекомендуется для использования в отечественной практике.

3.6 точность (accuracy): Степень близости результата измерений к принятому опорному значению.

Примечание 2 - Термин "точность", когда он относится к серии результатов измерений (испытаний), включает сочетание случайных составляющих и общей систематической погрешности (ИСО 3534-1 [1]).

3.7 правильность (trueness): Степень близости среднего значения, полученного на основании большой серии результатов измерений (или результатов испытаний), к принятому опорному значению.

Примечания

3 Показателем правильности обычно является значение систематической погрешности.

4 Правильность понимают иногда как "точность среднего значения". Однако такое употребление не рекомендуется [ИСО 3534-1] [1].

Термин "правильность" в отечественных нормативных документах до настоящего времени не применялся.

В рамках обеспечения единства измерений термин "правильность (trueness)" - степень близости результата измерений к истинному (действительному) значению измеряемой величины или в случае отсутствия эталона измеряемой величины - степень близости среднего значения, полученного на основании большой серии результатов измерений (или результатов испытаний), к принятому опорному значению.

3.8 систематическая погрешность (bias): Разность между математическим ожиданием результатов измерений и истинным (или в его отсутствие - принятым опорным) значением.

Примечание 5 - Большее систематическое отклонение от принятого опорного значения находит свое отражение в большем значении систематической погрешности [ИСО 3534-1] [1].

1 Определение термина "bias", содержащееся в 3.8 ГОСТ Р ИСО 5725-1 и примечании 5, фактически соответствует понятию "систематическая погрешность (systematic error)", приведенному в 3.14 Международного словаря терминов в метрологии (VIM) [4]. Термин "bias (of a measuring instrument)" в VIM (5.25) определен как "смещение (неправильность средства измерений) - систематическая погрешность в показании средства измерений".

2 В качестве составляющих систематической погрешности измерений выделяют неисключенную систематическую погрешность (НСП) (9.7 РМГ 29 [3]), составляющую систематической погрешности измерений, обусловленную несовершенством реализации принятого принципа измерений (9.4 РМГ 29) и 3.10 ГОСТ Р ИСО 5725-1), погрешность градуировки применяемого средства измерений (9.22 РМГ 29) и др.

3 Если математическое ожидание систематической погрешности известно и постоянно, то в результат измерений вносят соответствующую поправку. Знак поправки противоположен знаку погрешности.

Когда систематическая погрешность пропорциональна значению измеряемой величины, то с целью исключения влияния систематической погрешности используют поправочный множитель (числовой коэффициент - correction factor), на который умножают неисправленный результат измерений (см. также 3.16 VIM и 9.18 РМГ 29).

3.9 систематическая погрешность лаборатории при реализации конкретного метода измерений (конкретной МВИ) (laboratory bias): Разность между математическим ожиданием результатов измерений (или результатов испытаний) в отдельной лаборатории и истинным (или в его отсутствие - принятым опорным) значением измеряемой характеристики.

Термин в отечественных документах до настоящего времени не применялся. Вместе с тем значение систематической погрешности лаборатории при реализации конкретной МВИ и стабильность этого значения в течение определенного периода времени в международной практике является одним из основных показателей компетентности испытательных лабораторий, которым руководствуются заказчики и органы по аккредитации при подтверждении или признании компетентности испытательной лаборатории в соответствии с требованиями ИСО/МЭК 17025-99, а также при формировании сети лабораторий высокого рейтинга.

Учитывая изложенное, этот показатель качества выполнения измерений в данной лаборатории необходимо внедрять в практику контроля точности измерений в соответствии с процедурами, регламентированными ГОСТ Р ИСО 5725-4 и в разделах 6, 7 ГОСТ Р ИСО 5725-6.

3.10 систематическая погрешность метода измерений (bias of the measurеment method): Разность между математическим ожиданием результатов измерений, полученных во всех лабораториях, применяющих данный метод, и истинным (или в его отсутствие принятым опорным значением) измеряемой характеристики.

Примечание 6 - Систематическую погрешность метода измерений оценивают отклонением среднего значения результатов измерений, полученных от большого числа различных лабораторий, применяющих один и тот же метод. Систематическая погрешность метода измерений может зависеть от значения измеряемой характеристики, то есть может быть различной на разных уровнях.

3.11 лабораторная составляющая систематической погрешности (laboratory comроnent of bias): Разность между систематической погрешностью лаборатории при реализации конкретного метода измерений (конкретной МВИ) и систематической погрешностью метода измерений (МВИ).

Примечания

7 Лабораторная составляющая систематической погрешности при реализации конкретного метода измерений (МВИ) является специфической для данной лаборатории и условий выполнения измерений в пределах лаборатории, и ее значение также может зависеть от значения измеряемой величины.

8 Лабораторная составляющая систематической погрешности при реализации конкретного метода измерений (МВИ) относится к общему среднему результату измерений, но не к истинному или опорному значению измеряемой величины.

Термин до настоящего времени в отечественных документах не применялся, вместе с тем этот показатель, так же как и показатель по 3.9 ГОСТ Р ИСО 5725-1 весьма полезен при проведении метрологических исследований (аттестации) МВИ по ГОСТ Р 8.563 и оценке компетентности лабораторий по ГОСТ Р ИСО/МЭК 17025.

3.12 прецизионность (precision): Степень близости друг к другу независимых результатов измерений, полученных в конкретных регламентированных условиях.

Примечания

9 Прецизионность зависит только от случайных погрешностей и не имеет отношения к истинному или установленному значению измеряемой величины.

10 Меру прецизионности обычно выражают в терминах неточности и вычисляют как стандартное отклонение результатов измерений. Меньшая прецизионность соответствует большему стандартному отклонению.

11 "Независимые результаты измерений (или испытаний)" - результаты, полученные способом, на который не оказывает влияния никакой предшествующий результат, полученный при испытаниях того же самого или подобного объекта. Количественные значения мер прецизионности существенно зависят от регламентированных условий. Крайними случаями совокупностей таких условий являются условия повторяемости и условия воспроизводимости (ИСО 3534-1 [1]).

3.13 повторяемость (repeatability): Прецизионность в условиях повторяемости (ИСО 3534-1 [1]).

В отечественных нормативных документах наряду с термином "повторяемость" используют термин "сходимость", содержащийся также в 8.4 РМГ 29 и 3.6 VIМ [4]. Далее в стандарте употребляют термин "повторяемость (сходимость)" (ГОСТ Р 51672).

3.14 условия повторяемости (сходимости) (repeatability conditions): Условия, при которых независимые результаты измерений (или испытаний) получаются одним и тем же методом на идентичных объектах испытаний, в одной и той же лаборатории, одним и тем же оператором, с использованием одного и того же оборудования, в пределах короткого промежутка времени (ИСО 3534-1 [1]).

3.15 стандартное (среднеквадратическое) отклонение повторяемости (сходимости)(repeatability standard deviation): Стандартное (среднеквадратическое) отклонение результатов измерений (или испытаний), полученных в условиях повторяемости (сходимости).

Примечания

12 Эта норма является мерой рассеяния результатов измерений в условиях повторяемости.

13 Подобным образом можно было бы ввести и использовать понятия "дисперсии повторяемости" и "коэффициента вариации повторяемости" в качестве характеристик рассеяния результатов измерений в условиях повторяемости (ИСО 3534-1 [1]).

3.16 предел повторяемости (сходимости) (repeatability limit): Значение, которое с доверительной вероятностью 95% не превышается абсолютной величиной разности между результатами двух измерений (или испытаний), полученными в условиях повторяемости (сходимости).

Примечание 14 - Используемое условное обозначение - r (ИСО 3534-1 [1]).

3.17 воспроизводимость (reproducibility): Прецизионность в условиях воспроизводимости (ИСО 3534-1 [1]).

3.18 условия воспроизводимости (reproducibility conditions): Условия, при которых результаты измерений (или испытаний) получают одним и тем же методом, на идентичных объектах испытаний, в разных лабораториях, разными операторами, с использованием различного оборудования (ИСО 3534-1 [1]).

Следует отметить, что в отечественных государственных стандартах и других нормативных документах на методы испытаний продукции, в том числе для целей подтверждения соответствия (обязательной сертификации), условия воспроизводимости соответствуют установленным в 3.18 ГОСТ Р ИСО 5725-1 (см. также ГОСТ Р 51672). Именно таким понятием воспроизводимости результатов измерений оперируют при возникновении спорных ситуаций между лабораториями поставщика и покупателя при контроле качества и (или) безопасности продукции.

3.19 стандартное (среднеквадратическое) отклонение воспроизводимости (reproducibility standard deviation): Стандартное (среднеквадратическое) отклонение результатов измерений (или испытаний), полученных в условиях воспроизводимости.

Примечания

15 Эта норма является мерой рассеяния результатов измерений (или испытаний) в условиях воспроизводимости.

16 Подобным образом можно было бы ввести и использовать понятия "дисперсии воспроизводимости" и "коэффициента вариации воспроизводимости", в качестве характеристик рассеяния результатов измерений (или) испытаний в условиях воспроизводимости (ИСО 3534-1 [1]).

3.20 предел воспроизводимости (reproducibility limit): Значение, которое с доверительной вероятностью 95% не превышается абсолютной величиной разности между результатами двух измерений (или испытаний), полученными в условиях воспроизводимости.

Примечание 17 - Используемое условное обозначение - R. (ИСО 3534-1 [1]).

3.21 выброс (outlier): Элемент совокупности значений, который несовместим с остальными элементами данной совокупности.

Примечание 18 - Статистические критерии (меры и уровни значимости), используемые для идентификации выбросов в экспериментах по оценке правильности и прецизионности, описаны в ГОСТ Р ИСО 5725-2.

3.22 совместный оценочный эксперимент (collaborative assessment experiment): Межлабораторный эксперимент, в котором показатели работы каждой лаборатории оценивают в условиях применения одного и того же стандартного метода измерений на идентичном материале.

Примечания

19 Определения 3.16 и 3.20 применяют к величинам и результатам, которые могут принять любое значение в диапазоне измерений. Если результат измерений является дискретным или округленным, то каждый из пределов представляет собой минимальное дискретное или округленное значение, которое с доверительной вероятностью не менее 95% не превышается абсолютной величиной разности между двумя единичными результатами измерений.

20 Определения 3.8-3.11, 3.15, 3.16, 3.19 и 3.20 подразумевают теоретические значения, которые в действительности остаются неизвестными. Значения стандартных отклонений воспроизводимости и повторяемости, а также систематической погрешности, фактически определяемые экспериментальным путем (описанным в ГОСТ Р ИСО 5725-2 и ГОСТ Р ИСО 5725-4), представляют собой, со статистической точки зрения, оценки данных теоретических значений и, следовательно, содержат погрешности.

Вследствие этого, например, уровни вероятности, связанные с пределами r и R, не будут точно равны 95%. Они будут приближаться к 95%, если в эксперименте по оценке прецизионности принимает участие большое количество лабораторий, но могут существенно отличаться от 95%, если участвует в эксперименте менее 30 лабораторий.

Это неизбежно, но в то же время не преуменьшает практическую полезность этих пределов, так как, в первую очередь, они были введены для суждения о том, могла ли разность между результатами быть приписана случайностям, присущим методу измерений, или нет. Разности, превышающие предел повторяемости (сходимости) r или предел воспроизводимости R, являются подозрительными.

21 Условные обозначения r и R уже использованы для других целей: так r рекомендована в ИСО 3534-1 [1] как коэффициент корреляции и R (или W) - для диапазона рядов наблюдений. Тем не менее не должно возникать никаких недоразумений, если для предела повторяемости (сходимости) r и предела воспроизводимости R используют полные формулировки всякий раз, когда существует возможность неправильного понимания, особенно при ссылке в стандартах.

4 Практическое применение определений, используемых в стандарте при регламентации экспериментов по оценке точности

4.1 Стандартный метод измерений

4.1.1 Чтобы измерения выполнялись одинаковым образом, метод измерений должен быть стандартизован. Все измерения должны выполняться согласно данному стандартному методу. Это означает, что должен быть письменный документ, устанавливающий во всех подробностях, как должно выполняться измерение, и предпочтительно включающий в себя описание процедур получения и подготовки образцов для выполнения измерений.

В отечественных документах обычно применяется термин "стандартизованный".

4.1.2 Наличие документированного (стандартизованного) метода измерений предполагает существование организации, несущей ответственность за его разработку.

Примечание 22 - Стандартный метод измерений более подробно рассматривают в 6.2.

4.2 Эксперимент по оценке точности

4.2.1 Показатели точности (правильности и прецизионности) должны определяться на основании серии результатов измерений, представленных участвующими в эксперименте лабораториями. Эксперимент организуется специально образованным советом экспертов, который проводит его по специальным правилам.

Такого рода межлабораторный эксперимент носит название "эксперимент по оценке точности". Подобный эксперимент может также называться "экспериментом по оценке прецизионности" или "экспериментом по оценке правильности" в соответствии с его ограниченной целью. Если целью является определение правильности, то эксперимент по оценке прецизионности должен быть либо завершен ранее, либо они должны проводиться одновременно.

Оценки точности, получаемые на основании такого эксперимента, должны всегда рассматриваться как достоверные только для измерений, выполненных в соответствии со стандартизованным методом.

4.2.2 Эксперимент по оценке точности часто можно рассматривать в качестве практической проверки адекватности стандартного метода измерений. Одной из основных целей стандартизации является устранение различий между пользователями (лабораториями), насколько это возможно, и определение по данным, полученным в результате эксперимента, степени достижения этой цели. С другой стороны, явные различия во внутрилабораторных стандартных отклонениях (см. раздел 7) или в средних значениях по лабораториям могут указывать на недостаточную детализацию стандартного метода измерений и на необходимость его совершенствования. Если это так, об этом следует сообщать в орган, ответственный за стандартизацию, для принятия необходимых мер.

4.3 Идентичные объекты испытаний

В эксперименте по оценке точности пробы определенного материала или образцы определенной продукции рассылают из центрального пункта определенному числу лабораторий, расположенных в разных местах, разных странах или даже на разных континентах. Определение условий повторяемости (сходимости) (3.14), устанавливающее, что измерения в этих лабораториях должны проводиться на идентичных объектах, относится к моменту, когда эти измерения фактически осуществляются. Для достижения этого должны быть выполнены следующие условия:

а) образцы должны быть идентичными при их рассылке в лаборатории;

b) они должны оставаться идентичными во время транспортирования и на протяжении любых интервалов времени, которые могут предшествовать периоду фактического выполнения измерений.

При организации экспериментов по оценке точности оба условия должны тщательно соблюдаться.

Примечание 23 - Отбор материала более полно рассматривается в 6.4.

4.4 Короткие интервалы времени

4.4.1 Согласно определению условий повторяемости (сходимости) (3.14) измерения для определения повторяемости должны быть выполнены при неизменных рабочих условиях, т.е. в течение периода выполнения измерений, факторы, перечисленные в 0.3, должны оставаться постоянными. В частности, оборудование не должно подвергаться перекалибровке в промежутке времени между измерениями, если только это не является обязательной частью каждого измерения. На практике измерения в условиях повторяемости должны проводиться в течение как можно менее продолжительного периода времени, чтобы свести к минимуму изменения данных факторов, таких как условия окружающей среды, которым не может быть всегда гарантировано постоянство.

4.4.2 Существует, однако, обстоятельство, которое может увеличить интервал времени между измерениями, и оно заключается в том, что результаты измерений предположительно должны быть независимыми. Если имеется опасение, что предшествующие результаты могут повлиять на последующие результаты измерений (и тем самым снизить оценку дисперсии повторяемости), может оказаться необходимым предоставление отдельных образцов, зашифрованных таким образом, чтобы оператор не знал, какие из них предположительно идентичны. Должны быть даны инструкции относительно порядка, в котором данные образцы должны подвергаться измерениям, и, предварительно в данный порядок должен быть внесен элемент случайности таким образом, чтобы все "идентичные" образцы не подвергались измерениям вместе. Могут иметь место случаи, когда в паузе между повторяющимися измерениями короткоживущий объект может быть подвержен изменениям, тогда вся серия измерений должна быть полностью завершена в течение короткого интервала времени. В поисках компромисса предпочтение должно отдаваться здравому смыслу.

4.5 Участвующие лаборатории

4.5.1 Основное исходное предположение, лежащее в основе настоящего стандарта заключается в том, что для стандартного метода измерений повторяемость (сходимость), по крайней мере приблизительно, одинакова для всех лабораторий, применяющих этот метод, так что допустимо установить одно общее среднее стандартное отклонение повторяемости (сходимости), которое будет применимо для любой лаборатории. Тем не менее, любая лаборатория, выполняя серию измерений в условиях повторяемости (сходимости), может получить оценку своего собственного стандартного отклонения повторяемости для метода измерений и сопоставить ее с общепринятой стандартной величиной. Такая процедура рассматривается в ГОСТ Р ИСО 5725-6.

4.5.2 Величины, определенные в 3.8-3.20, теоретически применимы ко всем лабораториям, которые могут выполнить измерения данным методом. На практике лаборатории определяются на основании выборки из этой совокупности лабораторий. Подробности выполнения такой выборки представлены в 6.3. Соблюдение данных там инструкций относительно количества лабораторий, которые должны входить в выборку, и количества измерений, которые они выполняют, должно привести к удовлетворительным результирующим оценкам правильности и прецизионности. Если, однако, в какой-то момент станет очевидно, что участвующие лаборатории не были или больше не являются действительно представительными по отношению ко всем лабораториям, использующим данный стандартный метод измерений, тогда измерения необходимо повторить.

4.6 Условия наблюдений

4.6.1 Внутрилабораторные факторы, влияющие на изменчивость получаемых результатов, перечислены в 0.3. Они могут быть представлены как "время", "'оператор" и "оборудование", когда наблюдения в различные моменты времени учитывают влияние изменения условий окружающей среды и перекалибровки оборудования между наблюдениями. В условиях повторяемости наблюдения осуществляются при неизменности всех внутрилабораторных факторов. В условиях воспроизводимости эти факторы наоборот изменчивы, и, кроме того, поскольку наблюдения выполняются в различных лабораториях, проявляются дополнительные эффекты, являющиеся следствием различия между лабораториями (в административном управлении), материально-техническом обеспечении, проверке стабильности наблюдений и т.д.

4.6.2 При определенных обстоятельствах может оказаться полезным рассмотрение промежуточных условий прецизионности, при которых наблюдения осуществляются в одной и той же лаборатории, но при этом один или больше факторов - "время", "оператор" или "оборудование" - могут меняться. При установлении прецизионности метода измерений очень важно точно определить соответствующие условия наблюдения, т.е. должны ли быть три вышеупомянутых фактора неизменными или нет.

Кроме того, масштаб изменчивости, вызванной тем или иным фактором, будет зависеть от метода измерений. Например, в случае количественного химического анализа преобладающее влияние могут иметь факторы "оператор" и "время"; таким же образом в случае микроанализа могут доминировать факторы "оборудование" и "условия окружающей среды", а при измерениях физических свойств - "оборудование" и "калибровка".

5 Статистическая модель

5.1 Исходная модель

С целью оценки точности (правильности и прецизионности) метода измерений целесообразно предположить, что каждый результат измерений, y, представляет собой сумму трех составляющих

, (1)

где (для конкретного исследуемого материала):

m - общее среднее значение (математическое ожидание);

B - лабораторная составляющая систематической погрешности в условиях повторяемости;

e - случайная составляющая погрешности каждого результата измерений в условиях повторяемости.

5.1.1 Общее среднее значение m

5.1.1.1 Общее среднее значение m представляет собой уровень испытаний, например, образцы химической продукции различной чистоты либо разных других материалов (например, сталь различных марок) будут соответствовать различным уровням. В технике очень часто уровень испытаний определяется исключительно методом измерений, и такое понятие, как независимое истинное значение не применяют. Тем не менее, в некоторых случаях понятие истинного значения испытуемой характеристики может оказаться подходящим, как например, истинная концентрация титруемого раствора. Уровень m необязательно равняется истинному значению .

5.1.1.2 Когда исследуют расхождения между результатами измерений, полученными одним и тем же методом, систематическая погрешность метода не будет оказывать никакого влияния, и ею можно пренебречь. Однако при сопоставлении результатов измерений со значением, установленным в контракте или стандарте со ссылкой на истинное значение (), а не на "уровень испытаний" (m), либо при сопоставлении результатов, полученных с использованием различных методов измерений, систематическую погрешность метода, естественно, необходимо учитывать. Если истинное значение существует, и имеется в наличии пригодный стандартный образец, систематическая погрешность метода измерений должна определяться согласно указаниям ГОСТ Р ИСО 5725-4.

5.1.2 Составляющая B

5.1.2.1 Данная составляющая считается постоянной в течение выполнения любых серий измерений в условиях повторяемости, но она будет различной по величине для измерений, выполняемых в других условиях. Если результаты измерений в одних и тех же двух лабораториях постоянно сопоставляются, то для них необходимо определить их относительную систематическую погрешность (смещение): либо исходя из их индивидуальных значений систематической погрешности, определенных в ходе эксперимента по оценке точности, либо посредством выполнения специальных исследований собственно между лабораториями. Однако чтобы сделать общее утверждение относительно различия между двумя произвольными лабораториями, либо при сопоставлении двух лабораторий, в которых не были определены их собственные систематические погрешности, то должно рассматриваться общее распределение лабораторных составляющих систематической погрешности. Это стало аргументом в пользу введения понятия воспроизводимости. Процедуры, представленные в ГОСТ Р ИСО 5725-2, разрабатывались в предположении, что распределение лабораторных составляющих систематической погрешности является приблизительно нормальным, но на практике их применяют для большинства распределений, при условии, что последние являются унимодальными.

5.1.2.2 Дисперсия B называется межлабораторной и выражается следующим образом:

, (2)

где

включает в себя изменчивость результатов, полученных разными операторами и на разном оборудовании.

В основном эксперименте по оценке прецизионности, описанном в ГОСТ Р ИСО 5725-2, данные составляющие не разделяют. В ГОСТ Р ИСО 5725-3 представлены методы оценки значений некоторых случайных составляющих B.

5.1.2.3 Вообще говоря, B может рассматриваться в качестве суммы как случайных, так и систематических составляющих. Здесь не ставится задача дать исчерпывающий перечень факторов, вносящих свой вклад в B, но можно отметить, что в их состав входят различные климатические условия, различия в аппаратуре в пределах допусков, назначенных изготовителем, и даже различия в процедурах обучения операторов в разных местах.

5.1.3 Составляющая e

5.1.3.1 Данная составляющая представляет собой случайную погрешность, имеющую место в каждом результате измерений, а процедуры, представленные в настоящем стандарте, были разработаны в предположении, что распределение этой составляющей погрешности является приближенно нормальным. Однако на практике эти процедуры применимы для большинства распределений при условии, что распределения являются унимодальными.

5.1.3.2 В пределах одной лаборатории дисперсия в условиях повторяемости носит название внутрилабораторной дисперсии и выражается следующим образом:

. (3)

5.1.3.3 Можно ожидать, что будет иметь различные значения в разных лабораториях вследствие различий, например в квалификации операторов, однако в настоящем стандарте подразумевается, что для стандартизованного соответствующим образом метода измерений такие различия между лабораториями будут невелики и что оправдано установление общего значения внутрилабораторной дисперсии для всех лабораторий, использующих данный метод. Это общее значение, которое оценивают средним арифметическим внутрилабораторных дисперсий, носит название дисперсии повторяемости и его обозначают следующим образом:

. (4)

Данное среднее арифметическое берут по всем лабораториям, принимающим участие в эксперименте по оценке точности, которые остаются после исключения выбросов из числа всех дисперсий.

5.2 Соотношение между исходной моделью и прецизионностью

5.2.1 Для модели по 5.1 дисперсию повторяемости определяют непосредственно как дисперсию составляющей погрешности е, а дисперсия воспроизводимости зависит от суммы дисперсии повторяемости (сходимости) и межлабораторной дисперсии, упомянутой в 5.1.2.2.

5.2.2 В качестве мер прецизионности используют две величины:

- стандартное отклонение повторяемости

и (5)

- стандартное отклонение воспроизводимости

. (6)

5.3 Альтернативные модели

В случаях, когда это уместно, используют дополнения к исходной модели, описанные в соответствующих частях ГОСТ Р ИСО 5725.

6 Постановка эксперимента по оценке точности

6.1 Планирование эксперимента по оценке точности

6.1.1 Эксперимент по оценке прецизионности и/или правильности стандартного метода измерений должен планировать совет экспертов, хорошо знакомых с методом измерений и его применением. По крайней мере один член совета экспертов должен иметь опыт в области статистических методов подготовки и анализа экспериментов.

6.1.2 При планировании эксперимента должны рассматриваться следующие вопросы.

а) Существует ли для данного метода измерений удовлетворяющий соответствующим требованиям эталон?

b) Сколько лабораторий должно быть вовлечено в совместный эксперимент?

с) Каким образом должны отбираться лаборатории и каким требованиям они должны удовлетворять?

d) Каков диапазон уровней, с которыми придется столкнуться на практике?

е) Сколько уровней должно быть использовано в эксперименте?

f) Какие материалы являются подходящими для представления данных уровней и каким образом они должны быть подготовлены?

g) Какое число параллельных определений должно быть назначено?

h) Какие временные рамки должны быть установлены для завершения всех измерений?

i) Является ли исходная модель (5.1) подходящей, или должен быть рассмотрен видоизмененный вариант?

j) Нужны ли особые меры предосторожности для обеспечения уверенности в том, что во всех лабораториях измерениям подвергаются идентичные материалы, находящиеся в одном и том же состоянии?

Эти вопросы рассматриваются в 6.2 - 6.4.

6.2 Стандартный метод измерений

Как указано в 4.1, исследуемый метод измерений должен быть стандартизован. Он также должен быть устойчивым (робастным), другими словами, небольшие отклонения в процедуре не должны быть причиной непредвиденно больших изменений результатов. Если такое может произойти, то должны быть приняты адекватные меры предосторожности или предупреждения. Желательно также, чтобы в процессе разработки стандартного метода измерений были приложены все усилия для устранения или уменьшения систематической погрешности.

Для определения правильности и прецизионности как устоявшихся, так и стандартизованных в последнее время методов измерений могут использоваться схожие экспериментальные процедуры. В последнем случае полученные результаты должны восприниматься в качестве предварительных оценок, так как правильность и прецизионность могут меняться по мере приобретения лабораториями опыта.

Документ, в котором излагается метод измерений, должен быть изложен ясно, подробно и полно. Все существенные операции, имеющие отношение к окружающим условиям выполнения процедур, реактивам и аппаратуре, предварительной проверке оборудования, а также к подготовке образцов для испытаний, должны быть включены в этот документ, возможно, посредством ссылок на другие письменно оформленные процедуры, доступные для операторов. Способ вычисления и представления результата испытаний должен быть точно определен, включая число значащих цифр, которое должно заноситься в протокол.

6.3 Отбор лабораторий для эксперимента по оценке точности

6.3.1 Выбор лабораторий

Со статистической точки зрения лаборатории, участвующие в любом эксперименте, по оценке точности, должны быть выбраны наугад из числа всех лабораторий, применяющих данный метод измерений. Добровольно вызвавшиеся лаборатории могут не быть представительной выборкой и всей совокупности лабораторий. Однако на формирование представительства лабораторий могут влиять другие практические соображения, такие например, чтобы участвующие в эксперименте лаборатории находились на разных континентах или в разных климатических зонах.

Участвующие в эксперименте лаборатории не должны быть из числа тех, которые уже приобрели особый опыт применения метода в ходе его стандартизации. Также они не должны включать специализированные "опорные" (референтные) лаборатории, чтобы демонстрировать ту точность, которую можно достичь при реализации метода высококвалифицированным персоналом.

Количество лабораторий, принимающих участие в совместном межлабораторном эксперименте, и количество результатов измерений, требуемых от каждой лаборатории на каждом уровне, являются взаимозависимыми характеристиками. Указания по этим вопросам представлены в 6.3.2-6.3.4.

6.3.2 Количество лабораторий, необходимое для оценки прецизионности

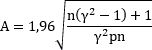
6.3.2.1 Величины, представленные символом в формулах (2) - (6) раздела 5, являются истинными стандартными отклонениями, значение которых неизвестно; конечная цель эксперимента по оценке прецизионности - оценить эти значения. Когда необходимо дать оценку (s) истинного стандартного отклонения (), можно поставить задачу определения диапазона вокруг , в пределах которого ожидается нахождение оценки (s). Это хорошо известная статистическая проблема, решаемая путем использования - распределения и количества результатов, на которых основывалась оценка s. Анализ обычно основывается на соотношении

, (7)

А означающем, что оценки стандартных отклонений s) могут ожидаться в пределах A от истинного стандартного отклонения () с определенной вероятностью P. A часто выражают в процентах.

6.3.2.2 Для единичного уровня неопределенность в стандартном отклонении повторяемости будет зависеть от количества лабораторий (p) и количества результатов измерений в каждой лаборатории (n). В отношении стандартного отклонения воспроизводимости, определяемого по двум стандартным отклонениям [см. равенство (6)], зависимость является более сложной. Нужен дополнительный показатель , представляющий отношение стандартных отклонений воспроизводимости и повторяемости

. (8)

6.3.2.3 Для вероятности P, равной 95%, были получены приближенные выражения для коэффициента A, представленные ниже. Эти выражения дают ориентиры для планирования необходимого количества лабораторий и результатов испытаний, требующихся от каждой лаборатории на каждом уровне, и выглядят следующим образом.

- для повторяемости

; (9)

- для воспроизводимости

. (10)

Примечание 24 - Можно предположить, что дисперсия выборки, характеризующейся степенями свободы и математическим ожиданием , имеет приближенно нормальное распределение с дисперсией 2 . Выражения (9) и (10) были получены путем применения данного предположения к дисперсиям оценок и . Адекватность аппроксимации была проверена точным вычислением.

6.3.2.4 Значение неизвестно, однако в наличии часто имеются предварительные оценки внутрилабораторных стандартных отклонений и стандартных межлабораторных отклонений, полученные в процессе стандартизации метода измерений. Точные значения неопределенности оценок стандартных отклонений повторяемости и воспроизводимости при разном количестве лабораторий (p) и разном числе результатов из расчета на каждую лабораторию (n) представлены в таблице 1, а также построены в форме графиков в приложении В.

Таблица 1

Значения неопределенности оценок стандартных отклонений повторяемости и воспроизводимости

Количество лабораторий
n = 2 n = 3 n = 4 = 1 = 2 = 5
n = 2 n = 3 n = 4 n = 2 n = 3 n = 4 n = 2 n = 3 n = 4
5 0,62 0,44 0,36 0,46 0,37 0,32 0,61 0,58 0,57 0,68 0,67 0,67
10 0,44 0,31 0,25 0,32 0,26 0,22 0,41 0,39 0,38 0,45 0,45 0,45
15 0,36 0,25 0,21 0,26 0,21 0,18 0,33 0,31 0,30 0,36 0,36 0,36
20 0,31 0,22 0,18 0,22 0,18 0,16 0,28 0,27 0,26 0,31 0,31 0,31
25 0,28 0,20 0,16 0,20 0,16 0,14 0,25 0,24 0,23 0,28 0,28 0,27
30 0,25 0,18 0,15 0,18 0,15 0,13 0,23 0,22 0,21 0,25 0,25 0,25
35 0,23 0,17 0,14 0,17 0,14 0,12 0,21 0,20 0,19 0,23 0,23 0,23
40 0,22 0,16 0,13 0,16 0,13 0,11 0,20 0,19 0,18 0,22 0,22 0,22

6.3.3 Количество лабораторий, необходимое для оценки систематической погрешности

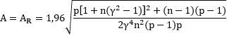
6.3.3.1 Систематическая погрешность метода измерений может быть оценена как разность

, (11)

где

- общее среднее значение всех результатов измерений, полученных всеми лабораториями на одном из уровней эксперимента;

- принятое опорное значение измеряемой характеристики.

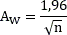
Неопределенность этой оценки может быть выражена уравнением

, (12)

которое означает, что оценка будет находиться в пределах от истинного значения систематической погрешности метода измерений с вероятностью 0,95. При этом, используя величину (см. уравнение (8)), получим

. (13)

Значения A представлены в таблице 2.

Таблица 2

Значения A - неопределенности оценки систематической погрешности метода измерений (3.10)

Количество лабораторий p Значение A
= 1 = 2 = 5
n = 2 n = 3 n = 4 n = 2 n = 3 n = 4 n = 2 n = 3 n = 4
5 0,62 0,51 0,44 0,82 0,80 0,79 0,87 0,86 0,86
10 0,44 0,36 0,31 0,58 0,57 0,56 0,61 0,61 0,61
15 0,36 0,29 0,25 0,47 0,46 0,46 0,50 0,50 0,50
20 0,31 0,25 0,22 0,41 0,40 0,40 0,43 0,43 0,43
25 0,28 0,23 0,20 0,37 0,36 0,35 0,39 0,39 0,39
30 0,25 0,21 0,18 0,33 0,33 0,32 0,35 0,35 0,35
35 0,23 0,19 0,17 0,31 0,30 0,30 0,33 0,33 0,33
40 0,22 0,18 0,15 0,29 0,28 0,28 0,31 0,31 0,31

6.3.3.2 Систематическая погрешность лаборатории во время проведения эксперимента может быть оценена по формуле

, (14)

где

- среднее арифметическое значение всех результатов, полученных лабораторией на отдельном уровне эксперимента;

- принятое опорное значение измеряемой характеристики.

Неопределенность этой оценки может быть выражена соотношением

, (15)

которое означает, что оценка будет находиться в пределах от истинного значения систематической погрешности лаборатории с вероятностью 0,95. При этом внутрилабораторная неопределенность равна

. (16)

Значения представлены в таблице 3.

Таблица 3

Значения - неопределенности оценки систематической погрешности лаборатории при реализации данного метода измерений (3.9)

Количество результатов испытаний n Значение
5 0,88
10 0,62
15 0,51
20 0,44
25 0,39
30 0,36
35 0,33
40 0,31

6.3.4 О выборе лабораторий

Выбор количества лабораторий должен быть компромиссом между наличием ресурсов и желанием уменьшить неопределенность оценок до достаточного уровня. Из рисунков В.1 и В.2 приложения В видно, что оценки стандартных отклонений повторяемости (сходимости) и воспроизводимости могут существенно отличаться от своих истинных значений в том случае, если в эксперименте по оценке прецизионности принимает участие только небольшое количество (p5) лабораторий, и при p < 20 увеличение количества лабораторий на две или три приводит лишь к небольшому снижению неопределенностей оценок. Обычно значение выбирают между 8 и 15 (8p15). Когда больше (то есть больше 2), как в наиболее часто встречающемся случае, за счет получения более чем двух (n = 2) результатов измерений в каждой лаборатории и на каждом уровне, снижение неопределенности очень мало.

6.4 Отбор материалов, предназначенных для эксперимента по оценке точности

6.4.1 Материалы, предназначенные для использования в эксперименте по определению точности метода измерений, должны в полной мере представлять те из них, к которым этот метод применяют на практике. Как правило, достаточно широкий диапазон уровней для адекватного установления значения точности обычно обеспечивают пять различных материалов. Меньшее количество могло бы быть использовано при первом изучении недавно разработанного метода измерений, когда еще нет уверенности, что не потребуется его модифицировать по результатам дальнейших экспериментов.

6.4.2 Если измерения должны выполняться на дискретных объектах, не меняющихся в результате измерений, они могли бы, в принципе, проводиться с использованием одного и того же набора образцов объектов в различных лабораториях. Это, однако, может потребовать циркулирования одного и того же набора объектов по многим лабораториям, часто расположенным далеко друг от друга, в разных странах или на разных континентах, со значительным риском потери или повреждений объектов во время транспортирования. Если в разных лабораториях предусматривается использовать различные объекты, они должны быть выбраны таким образом, чтобы предполагались идентичными для практических целей.

6.4.3 При выборе материала для представления различных уровней необходимо принимать во внимание, должен ли материал быть специально гомогенизирован перед подготовкой проб к отправке или же влияние гетерогенности материала должно быть учтено в значениях точности.

6.4.4 В случаях, когда измерения должны выполняться на твердых материалах, которые не могут быть гомогенизированы (таких как металлы, резина или текстильные изделия), а также когда измерения не могут быть повторены на том же самом испытуемом образце, неоднородность исследуемого материала будет источником существенной составляющей прецизионности измерений, и понятие идентичного материала в этом случае вряд ли применимо. Эксперименты по оценке прецизионности по-прежнему могут проводиться, однако значения прецизионности могут быть действительны только для конкретного используемого образца материала и должны быть приписаны именно как таковые. Более универсальное использование определяемой прецизионности возможно лишь в случае, если есть возможность продемонстрировать, что нет существенных различий между образцами материалов, выпущенных в разное время или разными производителями. Это может потребовать проведения более сложного эксперимента по сравнению с рассмотренным в настоящем стандарте.

6.4.5 Обычно в случаях, когда измерения связаны с разрушением объекта, составляющая изменчивости результатов измерений, являющаяся следствием различий между образцами, на которых выполнялись измерения, должна быть пренебрежимо мала в сравнении с изменчивостью собственно метода измерений или же должна составлять ее неотъемлемую часть и, таким образом, представлять собой составляющую прецизионности.

6.4.6 В случаях, когда материалы, подвергаемые измерениям, могут изменяться во времени, полный цикл выполнения эксперимента должен устанавливаться с учетом этого обстоятельства. В некоторых случаях было бы уместно устанавливать периоды времени, в течение которых должны быть выполнены измерения на тех или иных образцах.

6.4.7 Изложенный подход к организации эксперимента не следует понимать в узком смысле. В частности, это относится к термину "различные лаборатории", подразумевающему соответствующее транспортирование испытуемых образцов в лабораторию. Однако некоторые образцы для испытаний не транспортабельны, например резервуар для хранения нефти. В таких случаях измерения в разных лабораториях означают, что операторы из этих лабораторий вместе со своим оборудованием командируются на место испытаний. В других случаях измеряемая величина может быть преходящей или переменной, например скорость течения воды в реке, когда необходимо максимально позаботиться о том, чтобы различные измерения выполнялись, по возможности, в одинаковых условиях. Главным принципом всегда должна быть объективность подтверждения возможности повторения того же самого измерения.

6.4.8 Установление значений прецизионности для метода измерений предполагает, что прецизионность либо не зависит от испытуемого материала, либо зависит от материала определенным образом. Некоторые методы измерений позволяют оценить прецизионность лишь для испытуемоего материала одного или более классов (марок). Такого рода данные будут лишь очень грубым приближением к значению прецизионности для материала других марок. Гораздо чаще прецизионность тесно связана с уровнем испытаний, и ее определение в таком случае включает установление соотношения между прецизионностью и уровнем. Поэтому при опубликовании значений прецизионности стандартного метода измерений рекомендуется указывать четкую спецификацию материала, используемого в эксперименте по оценке прецизионности, и всю номенклатуру материалов, к которым могут быть применимы эти значения прецизионности.

6.4.9 Для оценки правильности по меньшей мере один из используемых материалов должен иметь принятое опорное значение измеряемой характеристики. Если есть зависимость правильности от уровня, материалы с известными опорными значениями измеряемой характеристики понадобятся на нескольких уровнях.

7 Использование данных о точности

7.1 Представление значений правильности и прецизионности

7.1.1 Когда целью эксперимента по оценке прецизионности является получение оценок стандартных отклонений повторяемости и воспроизводимости в условиях, определенных в 3.14 и 3.18, должна применяться исходная модель, описанная в 5.1. Соответствующий метод оценки описан в ГОСТ Р ИСО 5725-2, либо ему можно найти альтернативу в ГОСТ Р ИСО 5725-5. Когда же целью является получение оценок промежуточных показателей прецизионности, должны применяться альтернативные модели и методы, представленные в ГОСТ Р ИСО 5725-3.

7.1.2 Когда определяется систематическая погрешность метода измерений, ее значение всегда должно представляться вместе с описанием опорного значения, относительно которого она определялась. В случаях, когда систематическая погрешность меняется в зависимости от уровня, информацию следует представить в виде таблицы, в которой указывают уровень, установленную систематическую погрешность и опорное значение, использованное при этих испытаниях.

7.1.3 Когда для оценки правильности или прецизионности метода измерений осуществляют межлабораторный эксперимент, каждая принимавшая в нем участие лаборатория должна быть проинформирована о ее лабораторной составляющей систематической погрешности по отношению к общему среднему значению, которое было определено по результатам эксперимента. Данная информация может иметь ценность в будущем при проведении аналогичных экспериментов, однако она не должна использоваться в калибровочных целях.

7.1.4 Значения стандартных отклонений повторяемости и воспроизводимости для любого стандартного метода измерений должны определяться согласно положениям, изложенным в ГОСТ Р ИСО 5725-2 - ГОСТ Р ИСО 5725-4, и должны публиковаться в качестве части стандартного метода измерений в разделе, озаглавленном "Прецизионность". В данном разделе могут быть также представлены пределы повторяемости и воспроизводимости (r и R). Если прецизионность не зависит от уровня, в каждом случае могут быть приведены единственные средние значения. Если прецизионность зависит от уровня, информация должна быть оформлена в виде таблицы (подобной таблице 4), а также может быть выражена математической зависимостью. Значения промежуточных показателей прецизионности представляют в аналогичной форме.

Таблица 4

Пример способа представления стандартных отклонений показателей прецизионности

Диапазон изменения измеряемой величины или уровень Стандартное отклонение повторяемости Стандартное отклонение воспроизводимости
От ...... до .......    
От ...... до .......    
От ...... до .......    

7.1.5 В разделе "Прецизионность" должны быть также приведены определения условий повторяемости и воспроизводимости (3.14 и 3.18). Когда приводят значения промежуточных показателей прецизионности, необходимо указать, какой (или какие два) из факторов (время, операторы, оборудование) являлись изменяющимися. Когда приводят пределы повторяемости и воспроизводимости, должно быть добавлено некое утверждение, связывающее их с расхождением между результатами двух измерений и 95%-ным уровнем вероятности. Предлагаемые формулировки выглядят следующим образом.

Расхождение между результатами двух измерений, полученными на идентичном испытуемом материале одним оператором с использованием одного и того же оборудования в пределах кратчайшего из возможных интервалов времени, будет превышать предел повторяемости (r) в среднем не чаще одного раза на 20 случаев при нормальном и правильном использовании метода.

Результаты измерений на идентичном испытуемом материале, полученные двумя лабораториями, будут различаться с превышением предела воспроизводимости (R) в среднем не чаще одного раза на 20 случаев при нормальном и правильном использовании метода.

Необходимо обеспечить, чтобы определение результата измерений не вызывало сомнений: либо посредством упоминания пунктов стандарта на метод измерений, в соответствии с которыми выполнялись измерения, чтобы получить этот результат измерений, либо другим способом.

7.1.6 Обычно в конце раздела "Прецизионность" добавляют краткое упоминание об эксперименте по оценке точности. Предлагаемая формулировка выглядит следующим образом.

Данные по оценке точности были получены из эксперимента, организованного и проанализированного в соответствии с ГОСТ Р ИСО 5725 . . . (указывают часть и год утверждения стандарта) и проведенного с участием (p) лабораторий и (q) уровней. Данные из (...) лабораторий содержат выбросы. Выбросы не были включены в расчет стандартных отклонений повторяемости и воспроизводимости.

Необходимо также добавить описание материалов, использованных в эксперименте по оценке точности, особенно в случаях, когда правильность или прецизионность зависит от природы материалов (их однородности, стабильности свойств и т.д.).

(Поправка).

7.2 Практические применения значений правильности и прецизионности

Практические применения значений правильности и прецизионности подробно рассмотрены в ГОСТ Р ИСО 5725-6. Некоторые примеры приведены в 7.2.1-7.2.3.

7.2.1 Проверка приемлемости результатов измерений

В технических условиях на продукцию может содержаться требование повторения измерений в условиях повторяемости. В этих обстоятельствах для проверки приемлемости результатов измерений и для того, чтобы решить, какое действие необходимо предпринять в том случае, если они неприемлемы, может быть использовано стандартное отклонение повторяемости. В случае, когда один и тот же материал подвергают измерениям и поставщик, и покупатель и их результаты различаются между собой, стандартные отклонения повторяемости (сходимости) и воспроизводимости могут быть использованы для принятия решения о том, что эти расхождения находятся в пределах ожидаемого значения для данного метода измерений.

7.2.2 Стабильность результатов измерений в пределах лаборатории

Выполняя регулярные измерения на стандартных образцах, лаборатория может проверить стабильность своих результатов и получить таким образом доказательство для подтверждения своей компетентности в отношении как систематической погрешности, так и повторяемости результатов своих измерений.

7.2.3 Оценка деятельности лаборатории

Практику аккредитации лабораторий применяют все чаще. Знание правильности и прецизионности метода измерений позволяет оценить систематическую погрешность и повторяемость результатов лаборатории, претендующей быть признанной компетентной (лаборатории-кандидата), либо посредством использования стандартных образцов, либо на основании межлабораторного эксперимента.

7.2.4 Сопоставление альтернативных методов измерений

Два метода измерений могут быть пригодными для определения одной и той же измеряемой характеристики, один из которых проще и дешевле другого, но реже применяемый. С целью оправдания использования более дешевого метода для некоторой ограниченной номенклатуры испытуемых материалов могут быть использованы значения правильности и прецизионности.

ПРИЛОЖЕНИЕ А
(обязательное)

УСЛОВНЫЕ ОБОЗНАЧЕНИЯ И СОКРАЩЕНИЯ, ИСПОЛЬЗУЕМЫЕ В ГОСТ Р ИСО 5725 И СИМВОЛЫ, ИСПОЛЬЗУЕМЫЕ В КАЧЕСТВЕ ПОДСТРОЧНЫХ ИНДЕКСОВ

a Отсекаемый на оси ординат отрезок в соотношении lg s = c + d lg m
A Показатель, используемый для расчета неопределенности оценки
b Угловой коэффициент прямой в соотношении lg s = c + d lg m
B Лабораторная составляющая систематической погрешности измерений при реализации конкретного метода - разность между систематической погрешностью лаборатории при реализации конкретного метода измерений (конкретной МВИ) и систематической погрешностью метода измерений
Составляющая величины B, представляющая все факторы, которые не изменяются в условиях промежуточной прецизионности
, и т.д. Составляющие величины B, представляющие факторы, которые изменяются в условиях промежуточной прецизионности
с Отсекаемый на оси ординат отрезок в соотношении lg s = c + d lg m
C, C', C" Тестовые статистики
, , Критические значения для статистик
Критическая разность для вероятности P
Критический диапазон для вероятности P
d Угловой коэффициент прямой в соотношении lg s = c + d lg m
e Составляющая результата измерений, представляющая случайную погрешность каждого результата измерений
f Коэффициент критического диапазона
p-квантиль F-распределения с и степенями свободы
G Статистика Граббса
h Статистика Манделя для межлабораторной совместимости
k Статистика Манделя для внутрилабораторной совместимости
LCL Нижний предел контроля (действия либо предупреждения)
m Общее среднее значение измеряемой характеристики; уровень
M Количество факторов, рассматриваемых в условиях промежуточной прецизионности
N Количество повторений (итераций)
n Количество результатов измерений, полученных в одной лаборатории на одном уровне (т.е. в пределах ячейки - базового элемента)
p Количество лабораторий, участвующих в межлабораторном эксперименте
P Вероятность
q Количество уровней измеряемой характеристики в межлабораторном эксперименте
r Предел повторяемости (сходимости)
R Предел воспроизводимости
RM Стандартный образец
s Оценка стандартного (среднеквадратического) отклонения
Прогнозируемое стандартное (среднеквадратическое) отклонение
T Итог или сумма какого-либо выражения
t Количество объектов испытаний или групп объектов
UCL Верхний предел контроля (действия либо предупреждения)
W Весовой коэффициент, используемый при расчете взвешенной регрессии
w Диапазон изменения выборки результатов измерений
x Заданная величина, используемая для критерия Граббса
y Результат измерений (или результат испытаний)
Среднее арифметическое значение результатов измерений (или результатов испытаний)
Общее среднее значение результатов измерений (или результатов испытаний)
Уровень значимости
Вероятность ошибки второго рода
Отношение стандартного отклонения воспроизводимости к стандартному отклонению повторяемости (сходимости) (/)
Систематическая погрешность лаборатории при реализации конкретного стандартного метода измерений (конкретной МВИ)
Оценка
Систематическая погрешность метода измерений
Оценка
Поддающаяся обнаружению разность между систематическими погрешностями двух лабораторий при реализации одного и того же метода измерений или систематическими погрешностями двух методов измерений (МВИ) одного и того же назначения на идентичных образцах
Истинное или принятое опорное значение измеряемой величины (характеристики)
Число степеней свободы
Поддающееся обнаружению соотношение между стандартными отклонениями повторяемости (сходимости) для методов В и А
Истинное значение стандартного отклонения
Составляющая результата измерений, представляющая изменение, обусловленное временем, прошедшим с момента последней калибровки
Поддающееся обнаружению соотношение между квадратными корнями из межлабораторных средних квадратов для методов В и А
p-квантиль -распределения с степенями свободы
  Символы, используемые в качестве подстрочных индексов
C Различие, определяемое калибровкой
E Различие, определяемое оборудованием
i Идентификатор для конкретной лаборатории
I( ) Идентификатор для промежуточных мер прецизионности; в скобках - идентификация типа промежуточной ситуации
j Идентификатор для уровня (ГОСТ Р ИСО 5725-2) Идентификатор для группы испытаний или для фактора (ГОСТ Р ИСО 5725-3)
k Идентификатор для конкретного результата испытаний в лаборатории i на уровне j
L Межлабораторный
m Идентификатор для поддающейся обнаружению систематической погрешности
M Различие, обусловленное неидентичностью проб (образцов)
О Различие, определяемое сменой оператора
P Вероятность
r Повторяемость
R Воспроизводимость
T Различие, обусловленное периодом (временем), в течение которого проводятся измерения или оценочный эксперимент
W Внутрилабораторный
1, 2, 3... Для результатов измерений, нумеруемых в порядке их получения
(1), (2), (3) ... Для результатов измерений (или результатов испытаний), нумеруемых в порядке возрастания измеряемой величины

ПРИЛОЖЕНИЕ В
(справочное)

ДИАГРАММЫ НЕОПРЕДЕЛЕННОСТЕЙ ДЛЯ ПОКАЗАТЕЛЕЙ ПРЕЦИЗИОННОСТИ

Рисунок В.1 - Ожидаемая величина, на которую может отличаться от истинного значения на уровне вероятности 95%

Рисунок В.2 - Ожидаемая величина, на которую может отличаться от истинного значения на уровне вероятности 95%

ПРИЛОЖЕНИЕ С
(справочное)

БИБЛИОГРАФИЯ

[1] ISO 3534-1:1993 Statistics-Vocabulary and symbols - Part 1: Statistical methods. Terms and definitions

[2] МИ 1317-86 Методические указания. Государственная система обеспечения единства измерений. Результаты и характеристики погрешности измерений. Формы представления: Способы использования при испытаниях образцов продукции и контроле их параметров

[3] РМГ 29-99 Рекомендации по межгосударственной стандартизации. Государственная система обеспечения единства измерений. Метрология. Основные термины и определения

[4] Международный словарь терминов в метрологии VIM (Русско-англо-французско-немецко-испанский Словарь основных и общих терминов в метрологии, ИПК Издательство стандартов, 1998 г.)

[5] ISO 3534-2:1993 Statistics-Vocabulary and symbols - Part 2: Statistical quality control

[6] ISO 3534-3:1985 Statistics-Vocabulary and symbols - Part 3: Design of experiments

[7] ISO Guide 33: 1989. Use of certified reference materials

[8] ISO Guide 35: 1989. Certification of reference materials - General and statistical principles

[9] МИ 2552-99 Рекомендация. Государственная система обеспечения единства измерений. Применение Руководства по выражению неопределенности измерений

Рекомендации по применению основных положений государственных стандартов Российской Федерации ГОСТ Р ИСО 5725 в деятельности по метрологии, стандартизации, испытаниям, оценке компетентности испытательных лабораторий

Цель работы, практические применения положений ГОСТ Р ИСО 5725 Стандарт, раздел, пункт ГОСТ Р ИСО 5725 Обозначение стандартов, номера разделов, пунктов, содержащих требования к выполнению работ
1 Разработка и аттестация методик выполнения измерений (методик испытаний продукции, в том числе для целей подтверждения соответствия) ГОСТ Р 8.563, пункты 5.1, 5.2;
ГОСТ Р 51672, пункты 5.7, 5.9
1.1 Организация планирования и проведения эксперимента по оценке различных показателей точности МВИ (метрологических исследований разработанной МВИ с целью установления приписанных характеристик погрешности измерений, повторяемости, воспроизводимости) ГОСТ Р ИСО 5725-1 разделы 6, 7;
ГОСТ Р ИСО 5725-2, разделы 5 и 6
ГОСТ Р 8.563, пункт 5.2
1.2 Способы экспериментальной оценки различных показателей точности (характеристик погрешности) МВИ
1.2.1 Основной метод определения стандартных отклонений повторяемости и воспроизводимости результатов измерений характеристик однородных (идентичных) материалов (объектов) ГОСТ Р ИСО 5725-1, раздел 5;
ГОСТ Р ИСО 5725-2, пункты 1.4, 1.5, разделы 4, 5, 7;
ГОСТ Р ИСО 5725-6, раздел 4
ГОСТ Р 1.5-92 <*>, пункт 7.3.8
1.2.2 Альтернативные методы определения стандартных отклонений повторяемости и воспроизводимости результатов измерений характеристик гетерогенных материалов (неидентичных объектов) ГОСТ Р ИСО 5725-5, разделы 1, 4, 5, 6 То же
1.2.3 Способы внутрилабораторного и межлабораторного исследования и анализа промежуточных показателей прецизионности, обусловленных изменениями условий эксперимента (факторов - время, калибровка, оператор и оборудование) в пределах лаборатории ГОСТ Р ИСО 5725-3, разделы 5 - 9
1.2.4 Основные способы определения систематической погрешности метода измерений (МВИ) ГОСТ Р ИСО 5725-4, разделы 4, 6 ГОСТ Р 8.563, пункт 5.2;
ГОСТ Р 1.5-92 <*>, пункт 7.3.8
1.2.5 Способы определения систематической погрешности лаборатории при реализации конкретного метода измерений (конкретной МВИ) ГОСТ Р ИСО 5725-4, раздел 5
1.3 Процедуры внутрилабораторного контроля показателей точности результатов выполняемых измерений: ГОСТ Р ИСО 5725-6, раздел 6 ГОСТ Р 8.563, раздел 5, пункт 5.2
- с применением контрольных карт Шухарта пункт 6.1 (таблица 3)  
- методом кумулятивных сумм пункт 6.2  
2 Стандартизация МВИ (метода контроля, измерений, испытаний, анализа) ГОСТ Р 1.5-92 <*>, пункт 7.3;
ГОСТ Р 8.563, раздел 7;
ГОСТ Р 51672, пункт 5.11
2.1 Общие требования к документу, регламентирующему стандартный метод измерений, испытаний, анализа (МВИ) ГОСТ Р ИСО 5725-1 пункты 4.1, 6.2;
ГОСТ Р ИСО 5725-6, пункт 8.1
ГОСТ Р 1.5-92 <*>, пункт 7.3;
ГОСТ Р 51672, пункт 5.11
2.2 Обоснование предложений о возможности стандартизации в качестве альтернативного метода измерений (испытаний, анализа), широко используемого на практике. ГОСТ Р ИСО 5725-6, пункты 8.1 - 8.3 ГОСТ Р 1.5-92 <*>, пункт 7.3.2
Требования к квазимежлабораторной программе апробации альтернативного метода измерений (испытаний, анализа), альтернативной МВИ ГОСТ Р ИСО 5725-6, пункт 8.5
2.3 Процедура межлабораторного оценивания и подтверждения показателей точности предлагаемого к стандартизации альтернативного метода измерений (испытаний, анализа), предназначенного для определения одного и того же показателя качества или безопасности продукции (процесса или услуги), для которого уже стандартизован иной (на сегодня основной или арбитражный) метод измерений (испытаний, анализа) ГОСТ Р ИСО 5725-6, раздел 8, пункты 8.2, 8.3 ГОСТ Р 1.5-92 <*>, пункт 7.3.2
2.4 Стандартизация требований к установлению окончательного результата испытаний и разрешения спорных ситуаций - процедур выполнения арбитражных измерений (испытаний) с учетом методов проверки приемлемости результатов измерений (испытаний), полученных в условиях как повторяемости, так и воспроизводимости ГОСТ Р ИСО 5725-6, раздел 5 ГОСТ Р 1.5-92 <*>, пункт 7.3
3 Оценка компетентности испытательных лабораторий ГОСТ Р ИСО/МЭК 17025
3.1 Оценка качества применения лабораторией методов измерений, их документирования и соблюдения стандартизованных процедур выполнения измерений (испытаний) - для лабораторий - заявителей на получение признания своей компетентности ГОСТ Р ИСО 5725-1, раздел 7;
ГОСТ Р ИСО 5725-4, раздел 5;
ГОСТ Р ИСО 5725-6, раздел 7, пункты 7.1, 7.2
3.2 Оценка соответствия применения в лаборатории процедур контроля показателей точности результатов выполняемых измерений (испытаний) требованиям ГОСТ Р ИСО 5725 (для всех лабораторий) ГОСТ Р ИСО 5725-6, раздел 6; раздел 7, пункт 7.3 ГОСТ Р ИСО/МЭК 17025
3.3 Оценка деятельности лабораторий посредством межлабораторных сравнительных испытаний ГОСТ Р ИСО 5725-6, раздел 7, пункты 7.1, 7.2.4, 7.3.4
3.4 Инспекционный контроль за деятельностью аккредитованных лабораторий ГОСТ Р ИСО 5725-6, раздел 7, пункт 7.3  

<*> В настоящее время действуют:
ГОСТ 1.5-2001 Межгосударственная система стандартизации. Стандарты межгосударственные, правила и рекомендации по межгосударственной стандартизации. Общие требования к построению, изложению, оформлению, содержанию и обозначению.
ГОСТ Р 1.5-2004 Стандартизация в Российской Федерации. Стандарты национальные Российской Федерации. Правила построения, изложения, оформления и обозначения.
УДК 389.14:006.354 ОКС 17.020 Т 80 ОКСТУ 0008
       
Ключевые слова: измерение, испытания, метод измерений, стандартизация метода измерений, результаты измерений, результаты испытаний, точность, правильность, прецизионность, систематическая погрешность, повторяемость, воспроизводимость, случайная погрешность, эксперимент по оценке точности, альтернативный метод измерений, статистический анализ