Постановление Правительства РФ от 22.11.97 N 1470

"Об утверждении Порядка предоставления государственных гарантий на конкурсной основе за счет средств бюджета развития Российской Федерации и Положения об оценке эффективности инвестиционных проектов при размещении на конкурсной основе централизованных инвестиционных ресурсов бюджета развития Российской Федерации"
Редакция от 03.09.1998 — Документ не действует
Показать изменения

ПРАВИТЕЛЬСТВО РОССИЙСКОЙ ФЕДЕРАЦИИ

ПОСТАНОВЛЕНИЕ
от 22 ноября 1997 г. N 1470

ОБ УТВЕРЖДЕНИИ ПОРЯДКА ПРЕДОСТАВЛЕНИЯ ГОСУДАРСТВЕННЫХ ГАРАНТИЙ НА КОНКУРСНОЙ ОСНОВЕ ЗА СЧЕТ СРЕДСТВ БЮДЖЕТА РАЗВИТИЯ РОССИЙСКОЙ ФЕДЕРАЦИИ И ПОЛОЖЕНИЯ ОБ ОЦЕНКЕ ЭФФЕКТИВНОСТИ ИНВЕСТИЦИОННЫХ ПРОЕКТОВ ПРИ РАЗМЕЩЕНИИ НА КОНКУРСНОЙ ОСНОВЕ ЦЕНТРАЛИЗОВАННЫХ ИНВЕСТИЦИОННЫХ РЕСУРСОВ БЮДЖЕТА РАЗВИТИЯ РОССИЙСКОЙ ФЕДЕРАЦИИ

(в ред. - Постановлений Правительства РФ от 20.05.98 N 467, от 03.09.98 N 1024)

Правительство Российской Федерации постановляет:

1. Утвердить разработанные Министерством экономики Российской Федерации и Министерством финансов Российской Федерации Порядок предоставления государственных гарантий на конкурсной основе за счет средств Бюджета развития Российской Федерации и Положение об оценке эффективности инвестиционных проектов при размещении на конкурсной основе централизованных инвестиционных ресурсов Бюджета развития Российской Федерации (прилагаются).

2. Предоставить Министерству экономики Российской Федерации полномочия выступать от имени Правительства Российской Федерации при заключении с банками договоров поручительства на предоставление государственных гарантий для реализации инвестиционных проектов.

3. Министерству экономики Российской Федерации внести в документы, регламентирующие проведение конкурсов по реализации централизованных инвестиционных ресурсов, соответствующие изменения, вытекающие из настоящего постановления.

Председатель Правительства
Российской Федерации
В.ЧЕРНОМЫРДИН

УТВЕРЖДЕН
постановлением Правительства
Российской Федерации
от 22 ноября 1997 г.
N 1470
 

ПОРЯДОК
ПРЕДОСТАВЛЕНИЯ ГОСУДАРСТВЕННЫХ ГАРАНТИЙ НА КОНКУРСНОЙ ОСНОВЕ ЗА СЧЕТ СРЕДСТВ БЮДЖЕТА РАЗВИТИЯ РОССИЙСКОЙ ФЕДЕРАЦИИ

(в ред. - Постановления Правительства РФ от 03.09.98 N 1024)

I. Общие положения

1. Настоящий Порядок разработан во исполнение статей 85 и 90 Федерального закона "О федеральном бюджете на 1997 год" (Собрание законодательства Российской Федерации, 1997, N 9, ст. 1012), указов Президента Российской Федерации от 17 сентября 1994 г. N 1928 "О частных инвестициях в Российской Федерации" (Собрание законодательства Российской Федерации, 1994, N 22, ст. 2462), от 20 января 1996 г. N 70 "О внесении изменений и дополнений в Указ Президента Российской Федерации от 17 сентября 1994 г. N 1928 "О частных инвестициях в Российской Федерации" (Собрание законодательства Российской Федерации, 1996, N 4, ст. 267), от 23 июля 1997 г. N 773 "О предоставлении гарантий или поручительств по займам и кредитам" (Собрание законодательства Российской Федерации, 1997, N 30, ст.3606), а также постановления Правительства Российской Федерации от 1 мая 1996 г. N 534 "О дополнительном стимулировании частных инвестиций в Российской Федерации" (Собрание законодательства Российской Федерации, 1996, N 19, ст. 2298).

2. Государственные гарантии за счет средств Бюджета развития Российской Федерации (далее именуются - государственные гарантии) являются поручительством Правительства Российской Федерации и предоставляются российским инвесторам на конкурсной основе под заемные средства для реализации инвестиционных проектов.

3. Основными целями предоставления государственных гарантий являются стимулирование инвестиционной активности и привлечение средств инвесторов для развития российской экономики по ключевым направлениям.

4. Настоящий Порядок определяет механизм предоставления государственных гарантий, этапы, условия организации и проведения конкурсов, права и обязанности их организаторов и участников, основные требования к представляемой документации, процедуру ее рассмотрения, а также оформления результатов конкурсов. Комиссия по инвестиционным конкурсам при Министерстве экономики Российской Федерации (далее именуется - Комиссия по инвестиционным конкурсам), образованная в соответствии с постановлением Правительства Российской Федерации от 22 июня 1994 г. N 744 "О порядке размещения централизованных инвестиционных ресурсов на конкурсной основе" (Собрание законодательства Российской Федерации, 1994, N 9, ст. 1025), разрабатывает и утверждает регламент работы по проведению конкурсов инвестиционных проектов.

II. Условия предоставления государственных гарантий

5. Комиссия по инвестиционным конкурсам обеспечивает публикацию в средствах массовой информации сообщения об условиях проведения конкурса.

6. Организация, желающая участвовать в конкурсе на получение государственных гарантий (далее именуется - претендент), направляет в адрес Министерства экономики Российской Федерации заверенные подписью руководителя организации и печатью организации следующие документы в двух экземплярах:

а) официальное обращение о намерениях участвовать в конкурсе;

б) копия лицензии на право осуществления хозяйственной деятельности в соответствии с действующим законодательством;

в) подтверждение отсутствия просроченной задолженности по ранее предоставленным из федерального бюджета средствам, выданным на возвратной основе;

г) утвержденный претендентом бизнес-план, составленный по форме, указанной в приложении N 3 к Положению об оценке эффективности инвестиционных проектов при размещении на конкурсной основе централизованных инвестиционных ресурсов Бюджета развития Российской Федерации, утвержденному постановлением Правительства Российской Федерации от 22 ноября 1997 г. N 1470 "Об утверждении Порядка предоставления государственных гарантий на конкурсной основе за счет средств Бюджета развития Российской Федерации и Положения об оценке эффективности инвестиционных проектов при размещении на конкурсной основе централизованных инвестиционных ресурсов Бюджета развития Российской Федерации"

д) заключение экспертных органов Государственного комитета Российской Федерации по охране окружающей среды;

е) подлинник и копия выписки коммерческого банка, обслуживающего претендента, о наличии и движении средств по счетам за текущий год;

ж) заключение Межведомственной балансовой комиссии о финансовой состоятельности претендента и о неприменении к нему процедур, предусмотренных законодательством о банкротстве;

з) бухгалтерская отчетность за предыдущий год и за текущий год

(с отметкой налоговой инспекции);

и) письмо, подтверждающее готовность коммерческого банка (далее именуется - кредитор) участвовать в кредитовании проекта, для осуществления которого запрашивается государственная гарантия, и его согласие принять на себя риск, не покрываемый государственной гарантией;

к) баланс кредитора на последнюю отчетную дату, предшествующую отправке письма.

7. Для финансирования инвестиционного проекта стоимостью до 250 млрд. рублей претендент должен предоставить собственные средства в объеме не менее 20 процентов его стоимости (по бизнес-плану), проекта стоимостью от 250 млрд. рублей - не менее 10 процентов его стоимости и проекта лизинга стоимостью от 1 трлн. рублей - не менее 5 процентов его стоимости (в денежных единицах 1997 года).

8. К рассмотрению принимаются инвестиционные проекты претендентов, имеющих устойчивое финансовое положение и способных вернуть кредит с начисленными на него процентами в срок и в полном объеме. Проекты должны иметь положительную величину чистого дисконтированного дохода в расчетный период. Чистый дисконтированный доход определяется путем сложения за все годы дисконтированных показателей чистой (после вычета налогов) прибыли и амортизации и вычитания из полученной суммы объема инвестиций, предназначенных на реализацию данного проекта.

Критерием отбора инвестиционных проектов для оказания государственной поддержки является величина дохода, который получит государство в результате реализации проекта. Принятые к рассмотрению проекты ранжируются в соответствии с показателем бюджетной эффективности. Этот показатель определяется как отношение суммы дисконтированной величины налоговых поступлений и обязательных платежей к размеру государственной гарантии.

9. При предоставлении государственных гарантий приоритет имеют инвестиционные проекты претендентов, полностью выполняющих текущие обязательства перед федеральным бюджетом и государственными внебюджетными фондами.

10. Размер государственных гарантий, выдаваемых кредиторам, составляет до 40 процентов от фактически предоставляемых ими средств для реализации конкретного инвестиционного проекта.

Размер государственных гарантий указывается в заключаемом между Министерством экономики Российской Федерации и кредитором договоре поручительства по форме согласно приложению.

III. Конкурсный отбор инвестиционных проектов

11. Конкурсный отбор инвестиционных проектов осуществляется Комиссией по инвестиционным конкурсам и создаваемыми ею рабочей группой и экспертным советом.

Состав Комиссии по инвестиционным конкурсам и рабочей группы обновляется ежегодно.

По инвестиционным проектам, представляемым на конкурс, проводится экспертиза за счет средств претендента.

12. Бизнес-планы и другие документы претендентов проверяются на соответствие предъявляемым требованиям и действующему законодательству.

Не допускаются к конкурсу претенденты:

находящиеся в стадии реорганизации, ликвидации или банкротства либо ограничиваемые в правовом отношении в соответствии с действующим законодательством, а также имеющие структуры, которые находятся в такой стадии либо деятельность которых ограничивается указанным образом;

сообщившие о себе ложные сведения;

не представившие необходимые документы, а также представившие их с пропусками или ошибками;

имеющие просроченную задолженность по ранее предоставленным из федерального бюджета средствам на возвратной основе.

13. Комиссия по инвестиционным конкурсам рассматривает материалы претендента и принимает решения о предоставлении (отказе в предоставлении) ему государственных гарантий. Результаты конкурса определяются с учетом соблюдения федерального бюджетного и налогового законодательства органами государственной власти субъектов Российской Федерации, на территории которых зарегистрирован претендент и должностными лицами указанных органов.

В течение десяти дней после принятия решения Комиссия по инвестиционным конкурсам направляет претендентам письменное уведомление об оказании государственной поддержки проекту с указанием ее размера, либо об отказе в ней, либо о необходимости доработки проекта с последующим его повторным направлением на рассмотрение в Министерство экономики Российской Федерации.

14. Исполнение обязательств по предоставленным государственным гарантиям осуществляется за счет средств, предусмотренных в Бюджете развития Российской Федерации на соответствующий год. Объем предоставленных государственных гарантий фиксируется при расчете государственного долга Российской Федерации. Лимиты использования государственных гарантий для реализации инвестиционных проектов устанавливаются федеральным законом о федеральном бюджете на соответствующий год.

15. Министерство экономики Российской Федерации при заключении с кредитором договора поручительства на предоставление государственных гарантий обязуется возместить кредитору из Бюджета развития Российской Федерации оговоренную в договоре часть фактически предоставленных им средств на финансирование инвестиционного проекта организации, победившей в конкурсе (далее именуется - заемщик).

16. Срок действия государственных гарантий определяется по бизнес-плану проекта как время, за которое намечено возвратить взятый в коммерческом банке кредит на финансирование данного проекта. Указанный срок фиксируется в договоре поручительства, заключаемом между Министерством экономики Российской Федерации и кредитором, и пересмотру не подлежит.

IV. Исполнение обязательств, предусмотренных государственными гарантиями

17. Под гарантийным случаем понимается факт невозврата заемщиком основного долга в срок, установленный в кредитном договоре, заключенном между заемщиком и кредитором.

Кредитор обязуется незамедлительно, но не позднее чем через один рабочий день после первичного неисполнения заемщиком любого из своих обязательств перед кредитором (в том числе обязательств, неисполнение которых не влечет за собой гарантийных выплат), официально оповестить об этом Министерство экономики Российской Федерации, а также информировать указанное Министерство обо всех обстоятельствах, могущих повлечь за собой неисполнение заемщиком своих обязательств перед кредитором или третьими лицами и принимать в соответствии с действующим законодательством все меры для получения подобной информации.

Официальным оповещением считается письменное обращение кредитора в Министерство экономики Российской Федерации, подписанное руководителем организации кредитора и заверенное печатью организации. Датой оповещения считается дата регистрации официального обращения кредитора в Министерстве экономики Российской Федерации.

18. Ответственность Министерства экономики Российской Федерации перед кредитором за неисполнение заемщиком обеспеченных поручительством обязательств наступает после того, как кредитор:

официально оповестит Министерство экономики Российской Федерации о наступлении гарантийного случая незамедлительно после его наступления, но не позднее чем через один рабочий день после первичного неисполнения заемщиком своих обязательств перед кредитором;

документально подтвердит факт наступления гарантийного случая путем представления Министерству экономики Российской Федерации заверенной выписки со ссудного счета заемщика, копии переписки между кредитором и заемщиком, содержащей требование погасить задолженность и предисковое судебное предупреждение;

примет все предусмотренные действующим законодательством меры для погашения задолженности заемщика в полном объеме без осуществления компенсационных мер, в том числе реализует все виды обеспечения по максимально возможным ценам, обратится в арбитражный суд с иском о наложении ареста на все виды имущества заемщика до принятия судом решения о бесспорном взыскании с заемщика в пользу кредитора всей суммы просроченной задолженности в случаях, когда такое взыскание невозможно в досудебном бесспорном порядке. Кредитор обязан за свой счет принять все доступные ему меры для поиска имущества заемщика, на которое может быть наложено взыскание. В случае если указанные меры не привели к погашению суммы основного долга, подлежащей компенсации Министерством экономики Российской Федерации, кредитор обязан обратиться в суд с иском о признании заемщика банкротом.

19. Министерство экономики Российской Федерации для рассмотрения официального обращения кредитора образует комиссию с привлечением, Главного управления федерального казначейства Министерства финансов Российской Федерации, финансовых органов субъекта Российской Федерации, на территории которого реализуется инвестиционный проект, кредитора и заемщика. (в ред. Постановления Правительства РФ от 03.09.98 N 1024))

Эта комиссия рассматривает обоснованность требований кредитора к заемщику по кредитному договору, заключенному между ними, оценивает достаточность действий кредитора по возврату основного долга и определяет размер убытков кредитора, подлежащих возмещению со стороны Министерства экономики Российской Федерации.

По результатам проведенной работы указанная комиссия подготавливает заключение, в котором подтверждает (не подтверждает) наступление ответственности Министерства экономики Российской Федерации за неисполнение или ненадлежащее исполнение заемщиком обеспеченного поручительством обязательства. Документы подписываются председателем и членами указанной комиссии в трех экземплярах, по одному для Министерства экономики Российской Федерации, кредитора и заемщика.

20. Министерство экономики Российской Федерации дает поручение Главному управлению федерального казначейства Министерства финансов Российской Федерации о перечислении средств из Бюджета развития Российской Федерации на корреспондентский счет кредитора для возмещения части основного долга по кредитному договору. Возмещению подлежит только основной долг без начисленных на него процентов, пеней и штрафов.

Поручение о перечислении средств дается Министерством экономики Российской Федерации в недельный срок после получения заключения комиссии, предусмотренной пунктом 19 настоящего Порядка.

Министерство экономики Российской Федерации в необходимых случаях вправе провести проверку представленных материалов. В таких случаях Министерство экономики Российской Федерации сообщает об этом заемщику и кредитору (не позднее 7 дней после получения материалов указанной комиссии) с указанием порядка и сроков проведения проверки.

Срок перечисления средств кредитору во исполнение гарантийных обязательств может быть продлен на период проведения проверки материалов указанной комиссии или устранения замечаний по их оформлению, о чем сообщается заемщику и кредитору.

21. В случае реализации государственной гарантии кредитор передает в Министерство экономики Российской Федерации документы, удостоверяющие требования к заемщику и права, обеспечивающие эти требования в объеме, в котором удовлетворены требования кредитора.

Министерство экономики Российской Федерации для защиты интересов государства обязано в месячный срок после реализации государственной гарантии обратиться в арбитражный суд с иском о банкротстве заемщика, если оно не было осуществлено на основании исковых требований кредитора.

Средства, полученные Министерством экономики Российской Федерации в целях удовлетворения требований к заемщику, зачисляются в Бюджет развития Российской Федерации.

Приложение
к Порядку предоставления
государственных гарантий
на конкурсной основе за счет
средств Бюджета развития
Российской Федерации

 
                        ПРИМЕРНЫЙ ДОГОВОР                         
        ПОРУЧИТЕЛЬСТВА НА ПРЕДОСТАВЛЕНИЕ ГОСУДАРСТВЕННЫХ          
         ГАРАНТИЙ ДЛЯ РЕАЛИЗАЦИИ ИНВЕСТИЦИОННЫХ ПРОЕКТОВ          
                                                                  
    г. Москва                            "__" ____________ 199_ г.
                                                                  
    Министерство  экономики   Российской   Федерации, именуемое  в
дальнейшем "Поручитель", в соответствии с Федеральным законом   "О
федеральном бюджете на 1997 год" (статьи 87 и 90) в лице  ________
_________________________________________________________________,
                            (Ф.И.О.)                              
действующего  на  основании Порядка предоставления государственных
гарантий  на  конкурсной  основе  за счет средств Бюджета развития
Российской  Федерации,  утвержденного Постановлением Правительства
Российской   Федерации  от 22 ноября 1997 г. N 1470,  коммерческий
банк ____________________________________________________________,
                         (наименование)                           
именуемый в дальнейшем "Кредитор", в лице _______________________,
                                            (должность, Ф.И.О.)   
действующего на основании _______________________________________,
коммерческая организация ______________________________, именуемая
                                 (наименование)                   
в дальнейшем "Заемщик", в лице __________________________________,
                                            (Ф.И.О.)              
действующего на основании _______________________________________,
заключили настоящий Договор поручительства о нижеследующем:       
    1.   Предметом   данного   Договора   является   обязательство
Поручителя  возместить  Кредитору финансовые средства,  фактически
предоставленные им в виде кредита Заемщику _______________________
                                            (полное наименование) 
___________________________________ для реализации инвестиционного
проекта ___________________________, победившего на инвестиционном
              (наименование)                                      
конкурсе,   проводимом   Поручителем,   в  случае  подтвержденного
документально  невыполнения  Заемщиком  своих  обязательств  перед
Кредитором.  Возмещению  не подлежат проценты за пользование этими
средствами, пени и штрафы, а также любые формы упущенной выгоды.  
    2. Поручитель обязуется исполнить обязательства Заемщика перед
Кредитором по кредитному договору ________________________________
                                        (реквизиты договора)      
в размере, не превышающем __________ процентов от суммы фактически
предоставленного кредита, но не более ____________ млн. рублей.   
    Исполнение Поручителем указанного обязательства Заемщика перед
Кредитором происходит при выполнении Кредитором следующих условий:
    а)   Кредитор   обязан   оповестить  Поручителя  о наступлении
гарантийного  случая незамедлительно после его наступления,  но не
позднее  чем через один рабочий день после первичного неисполнения
Заемщиком своих обязательств перед Кредитором;                    
    б) Кредитор обязуется незамедлительно, но не позднее чем через
один  рабочий  день после первичного неисполнения Заемщиком любого
из   своих   обязательств   перед  Кредитором  (в  том  числе  тех
обязательств,  неисполнение  которых  не влечет за собой выплат со
стороны  Поручителя), официально оповестить об этом Поручителя,  а
также  информировать Поручителя обо всех обстоятельствах,  могущих
повлечь   за   собой   неисполнение  или  ненадлежащее  исполнение
Заемщиком своих обязательств перед Кредитором или третьими лицами,
и  принимать  в соответствии  с действующим  законодательством все
меры для своевременного получения подобной информации.            
    Официальным   оповещением   считается   письменное   обращение
Кредитора  к Поручителю  с изложением существа предмета обращения,
подписанное   руководителем   организации  Кредитора  и заверенное
печатью.  Датой  оповещения  считается  дата регистрации обращения
Кредитора в организацию Поручителя;                               
    в)  Кредитор обязан документально подтвердить факт наступления
гарантийного  случая  путем  представления  Поручителю  заверенной
выписки   со  ссудного  счета  Заемщика,   копии  переписки  между
Кредитором    и   Заемщиком,    содержащей   требование   погасить
задолженность и предысковое судебное предупреждение;              
    г)  наряду  с официальным  оповещением Кредитор обязан принять
все   предусмотренные   действующим   законодательством  меры  для
погашения задолженности Заемщика в полном объеме без осуществления
компенсационных  мер,  предусмотренных настоящим Договором,  в том
числе  реализовать  все  виды обеспечения по максимально возможным
ценам (преимущественно на основе аукционных торгов),  обратиться в
арбитражный  суд  с иском о наложении ареста на все виды имущества
Заемщика  до  принятия  судом  решения  о бесспорном  взыскании  с
Заемщика в пользу Кредитора всей суммы просроченной задолженности,
в случаях когда такое взыскание невозможно в досудебном бесспорном
порядке. В случае если указанные меры не привели к погашению суммы
основного долга, подлежащей компенсации Поручителем в соответствии
с настоящим Договором,  Кредитор обязан обратиться в суд с иском о
признании Заемщика банкротом;                                     
    д) Кредитор обязан за свой счет принять все доступные ему меры
для  поиска  имущества  Заемщика,  на  которое может быть наложено
взыскание;                                                        
    е)   Кредитор   обязуется   включить   все   особые   условия,
предусмотренные  настоящим  Договором,   касающиеся  Заемщика,   в
двусторонний договор,  заключаемый между Кредитором и Заемщиком, и
согласовать этот договор с Поручителем.                           
    Исполнение   Поручителем   обязательств   производится   путем
перечисления средств платежными поручениями с ____________________
счета N ___________ в ___________ на счет Кредитора N ___________.
    3. Поручитель обязуется перечислить Кредитору в недельный срок
со  дня получения заключения комиссии (образуемой в соответствии с
пунктом  19  Порядка  предоставления  государственных  гарантий на
конкурсной  основе  за  счет  средств  Бюджета развития Российской
Федерации) средства в размере, соответствующем сумме фактически не
возвращенных Заемщиком кредитных ресурсов Кредитора,  но не больше
суммы возмещения, предусмотренной пунктом 2 настоящего Договора.  
    Поручитель  вправе провести проверку сведений,  содержащихся в
представленных  комиссией  документах,  и  по результатам проверки
потребовать  их  уточнения,   а  также  потребовать  от  Кредитора
документально   подтвердить   факт   исполнения   обязательства  в
соответствии  с пунктом 2 настоящего Договора.  В этом случае срок
исполнения Поручителем указанного обязательства исчисляется со дня
предоставления комиссией уточненных документов.                   
    4. В случае если Заемщик использовал предоставленные кредитные
ресурсы   частично,   то  возмещению  со  стороны  Поручителя  при
наступлении   гарантийного   случая   в  соответствии  с условиями
настоящего  Договора подлежит лишь указанный в пункте 2 настоящего
Договора  процент  от  суммы  фактически  предоставленных Заемщику
Кредитором кредитных ресурсов.                                    
    5.  За неисполнение Поручителем своих обязательств в порядке и
в сроки,  предусмотренные настоящим Договором, Кредитор взыскивает
неустойку   в  размере   0,1   процента   от  суммы  неисполненных
обязательств за каждый день просрочки.                            
    6.   В   случае   реализации  государственной  гарантии  права
требования по кредитному договору, заключенному между Кредитором и
Заемщиком,    эквивалентные   сумме   выплат,    произведенных   в
соответствии с гарантией, переходят к Поручителю.  Кредитор обязан
вручить   Поручителю   документы,   удостоверяющие   требование  к
Заемщику, и передать права, обеспечивающие это требование.        
    7.  Настоящий  Договор  вступает в силу с момента подписания и
действует  до  исполнения  сторонами  своих  обязательств по нему.
Обязательство  Поручителя перед Кредитором по выполнению Заемщиком
своих   обязательств   перед   Кредитором   является   акцессорным
обязательством    и  автоматически   погашается   при   ликвидации
задолженности, подлежащей возмещению со стороны Поручителя.       
    8.   Прекращение   поручительства  может  быть  произведено  в
соответствии   со  статьей  367  Гражданского  кодекса  Российской
Федерации.                                                        
    9.  Споры  и разногласия,  возникшие при исполнении настоящего
Договора  или  в связи  с ним,  рассматриваются  в предусмотренном
действующим  законодательством  порядке.  Однако  стороны берут на
себя  обязательства  способствовать  разрешению всех возникающих в
процессе   исполнения   настоящего   Договора   разногласий  путем
переговоров в досудебном порядке.                                 
    10.  Поручитель  и Кредитор  при  изменении  своих юридических
статусов   и  юридических   адресов   обязуются  в 3-дневный  срок
уведомить об этом соответствующие стороны.                        
    11.  Настоящий  Договор составлен в трех экземплярах,  имеющих
одинаковую  юридическую  силу  и хранящихся по одному экземпляру у
Поручителя, Кредитора и Заемщика.                                 
                                                                  
                    Юридические адреса сторон                     
                                                                  
    Поручитель              Кредитор                Заемщик       
____________________   ____________________   ____________________
   (наименование)         (наименование)         (наименование)   
                       Адрес ______________   Адрес ______________
                       ____________________   ____________________
                       Реквизиты __________   Реквизиты __________
                       ____________________   ____________________
                                                                  
                         Подписи сторон                           
                                                                  
     Руководитель           Руководитель          Руководитель    
организации Поручителя организации Кредитора  организации Заемщика
______________________ _____________________  ____________________
    (наименование)         (наименование)        (наименование)   
______________________ _____________________  ____________________
       (Ф.И.О.)               (Ф.И.О.)              (Ф.И.О.)      

УТВЕРЖДЕНО
постановлением Правительства
Российской Федерации
от 22 ноября 1997 г.
N 1470

ПОЛОЖЕНИЕ
ОБ ОЦЕНКЕ ЭФФЕКТИВНОСТИ ИНВЕСТИЦИОННЫХ ПРОЕКТОВ ПРИ РАЗМЕЩЕНИИ НА КОНКУРСНОЙ ОСНОВЕ ЦЕНТРАЛИЗОВАННЫХ ИНВЕСТИЦИОННЫХ РЕСУРСОВ БЮДЖЕТА РАЗВИТИЯ РОССИЙСКОЙ ФЕДЕРАЦИИ

(в ред. - Постановления Правительства РФ от 20.05.98 N 467)

I. Общие положения

1. Настоящее Положение разработано в соответствии с Федеральным законом "О федеральном бюджете на 1997 год" (Собрание законодательства Российской Федерации, 1997, N 9, ст. 1012) и регулирует отношения, возникающие в связи с размещением на конкурсной основе централизованных инвестиционных ресурсов Бюджета развития Российской Федерации, предусмотренных федеральным бюджетом для финансирования наиболее эффективных инвестиционных проектов.

2. Основными целями конкурсного размещения централизованных инвестиционных ресурсов Бюджета развития Российской Федерации являются стимулирование инвестиционной активности и привлечение средств отечественных и иностранных частных инвесторов в развитие российской экономики.

3. Настоящее Положение определяет условия организации и проведения конкурсов претендентов на получение централизованных инвестиционных ресурсов Бюджета развития Российской Федерации, права и обязанности организаторов и участников конкурса, основные требования к конкурсной документации и конкурсным предложениям участников, процедуру рассмотрения этих предложений, а также оформление результатов конкурса Комиссией по инвестиционным конкурсам при Министерстве экономики Российской Федерации (далее именуется - Комиссия по инвестиционным конкурсам), образованной в соответствии с постановлением Правительства Российской Федерации от 22 июня 1994 г. N 744 "О порядке размещения централизованных инвестиционных ресурсов на конкурсной основе" (Собрание законодательства Российской Федерации, 1994, N 9, ст. 1025), которая самостоятельно разрабатывает и утверждает регламент работы по проведению конкурсов инвестиционных проектов.

II. Условия размещения на конкурсной основе централизованных инвестиционных ресурсов
Бюджета развития Российской Федерации по инвестиционным проектам

4. Комиссия по инвестиционным конкурсам обеспечивает публикацию в средствах массовой информации сообщения об условиях проведения конкурса и требованиях, предъявляемых к участникам.

В конкурсе в качестве претендентов могут выступать юридические и физические лица в соответствии с законодательством Российской Федерации. В случае участия в реализации отдельного проекта нескольких инвесторов в конкурсе участвует одна организация, которая должна иметь оформленные в установленном порядке уставные документы и самостоятельный баланс. При этом государственная поддержка может предоставляться только претенденту, имеющему полностью оплаченный уставный капитал.

Не допускаются к конкурсу претенденты:

находящиеся сами или имеющие структуры, которые находятся в стадии реорганизации, ликвидации или банкротства, либо ограничиваемые в правовом отношении в соответствии с законодательством Российской Федерации;

сообщившие о себе ложные сведения;

не представившие необходимые документы или представившие их с пропусками и ошибками;

не представившие гарантии в отношении выполнения финансовых обязательств;

имеющие просроченную задолженность по ранее предоставленным средствам федерального бюджета на возвратной и платной основе.

5. Претендент имеет право выбора следующих форм государственной финансовой поддержки инвестиционных проектов:

а) выделение средств Бюджета развития Российской Федерации на возвратной и платной основе для финансирования расходов по осуществлению инвестиционного проекта с уплатой процентов за пользование ими в размере, определенном федеральным законом о федеральном бюджете на соответствующий год;

б) предоставление государственных инвестиционных ресурсов на условиях закрепления в государственной собственности части акций создаваемых акционерных обществ с последующей их реализацией на рынке ценных бумаг и направлением выручки от реализации в доход Бюджета развития Российской Федерации.

6. Для финансирования инвестиционного проекта претендент должен предоставить собственные средства в объеме не менее 20 процентов от сметной стоимости проекта (стоимости строительства).

7. Размер государственной поддержки при реализации инвестиционных проектов устанавливается:

для вновь начинаемого строительства - в процентах от сметной стоимости проекта, определенной на основе проектно-сметной документации, или стоимости строительства, рассчитанной в обосновании инвестиций;

для переходящего строительства - в процентах от остаточной стоимости (сметной стоимости) проекта.

Сметная стоимость проекта и стоимость строительства определяются в соответствии с действующими на момент оценки нормативными документами. При определении сметной стоимости проекта следует руководствоваться инструкцией о порядке разработки, согласования, утверждения и составе проектной документации на строительство предприятий, зданий и сооружений (СНиП 11-01-95), а стоимости строительства - порядком разработки, согласования, утверждения и состава обоснований инвестиций в строительство предприятий, зданий и сооружений (СП 11-101-95).

Объем переходящего строительства определяется на основе сметной стоимости проекта и выполненных ко времени разработки бизнес-плана и подачи конкурсной заявки объемов работ.

В бизнес-плане в обязательном порядке должны быть приведены обоснования размера инвестиций по данным проекта (ТЭО) или специальных расчетов в ценах года утверждения документов и в ценах года подачи заявки на участие в конкурсе.

8. Объем собственных средств претендента, направляемых на финансирование проекта к началу его реализации, подтверждается формами годовой бухгалтерской отчетности за предыдущий год, а за период текущего года - справкой претендента о нераспределенной прибыли, неиспользованной амортизации, денежных средствах от продажи акций (в объеме их поступления на счет претендента) и от реализации основных фондов. Справки о наличии собственных средств между началом года и сроком подачи заявки на участие в конкурсе должны подтверждаться данными бухгалтерских балансов за истекшие кварталы текущего года.

По проектам, представленным на конкурс вновь созданной организацией, не располагающей указанными источниками собственных средств, по решению учредителей либо органа юридического лица, уполномоченного на это учредительными документами, для финансирования проекта могут быть использованы средства, внесенные учредителями в оплату уставного капитала.

III. Порядок конкурсного размещения централизованных инвестиционных ресурсов
Бюджета развития Российской Федерации среди претендентов

9. Конкурсный отбор инвестиционных проектов осуществляется Комиссией по инвестиционным конкурсам и создаваемыми ею рабочей группой и экспертным советом.

Составы Комиссии по инвестиционным конкурсам и рабочей группы обновляются ежегодно.

10. Претенденты, желающие участвовать в конкурсе на получение централизованных инвестиционных ресурсов, направляют в адрес Министерства экономики Российской Федерации заверенные подписью и печатью в двух экземплярах следующие документы:

официальное обращение о намерении участвовать в конкурсе с указанием ожидаемой формы и размера государственной поддержки;

копия лицензии на право осуществления соответствующей хозяйственной деятельности согласно законодательству Российской Федерации;

утвержденный бизнес-план, составленный по форме согласно приложению N 1. При подготовке бизнес-планов по объектам агропромышленного комплекса учитывается постановление Правительства Российской Федерации от 21 июня 1996 г. N 723 "О мерах по стабилизации экономического положения и развитию реформ в агропромышленном комплексе" (Собрание законодательства Российской Федерации, 1996, N 27, ст. 3264). Бизнес-планы по объектам агропромышленного комплекса в соответствии с их отраслевой принадлежностью согласовываются претендентом с министерствами и ведомствами, входящими в состав агропромышленного комплекса;

заключение экспертных органов Государственного комитета Российской Федерации по охране окружающей среды;

заключение государственной вневедомственной (независимой) экспертизы по проектно-сметной документации в соответствии с действующими требованиями, утвержденными постановлением Совета Министров - Правительства Российской Федерации от 20 июня 1993 г. N 585 "О государственной экспертизе градостроительной и проектно-сметной документации и утверждении проектов строительства" (Собрание актов Президента и Правительства Российской Федерации, 1993, N 26, ст. 2427);

подлинник и копия выписки коммерческого банка, обслуживающего претендента, о наличии средств на счетах за период текущего года;

подтверждение Межведомственной балансовой комиссии о финансовой состоятельности претендента и о неприменении к нему процедур, предусмотренных законодательством Российской Федерации о банкротстве;

подтверждение отсутствия просроченной задолженности по ранее предоставленным из федерального бюджета средствам, выданным на возвратной основе;

бухгалтерская отчетность за предыдущий и текущий годы (с отметкой налоговой инспекции);

подлинник и копия соглашений с коммерческими банками или другими инвесторами, предоставляющими заемные средства для реализации данного проекта.

11. Министерство экономики Российской Федерации рассматривает соответствие представленных документов требованиям указов Президента Российской Федерации, постановлений Правительства Российской Федерации и настоящего Положения, устанавливающих условия размещения централизованных инвестиционных ресурсов на конкурсной основе, и принимает решение о допуске проекта к конкурсу либо направляет претенденту мотивированный отказ.

12. После принятия Министерством экономики Российской Федерации решения о допуске претендента к конкурсу материалы передаются в экспертный совет при Комиссии по инвестиционным конкурсам для оценки эффективности проектов.

Комиссия по инвестиционным конкурсам при наличии существенных различий в оценках эффективности наиболее крупных и сложных объектов вправе направить материалы на рассмотрение другим независимым экспертам.

13. Комиссия по инвестиционным конкурсам рассматривает представленные документы и принимает решение о предоставлении (отказе) претенденту государственной поддержки за счет централизованных инвестиционных ресурсов Бюджета развития Российской Федерации.

В течение 10 дней после принятия указанного решения претенденту направляется выписка из протокола заседания Комиссии по инвестиционным конкурсам либо сообщается о необходимости доработки проекта с последующим его повторным направлением на рассмотрение в установленном порядке.

IV. Расчеты после проведения конкурса

14. По результатам инвестиционного конкурса оформляются следующие документы:

протокол заседания Комиссии по инвестиционным конкурсам о выделении победителю конкурса государственной поддержки за счет средств Бюджета развития Российской Федерации;

соглашение, заключаемое между Министерством экономики Российской Федерации и коммерческим банком, об обслуживании счетов, открываемых для проведения операций по финансированию инвестиционного проекта за счет средств Бюджета развития Российской Федерации (далее именуется - расчетный банк);

договор о финансировании инвестиционного проекта, заключаемый между Министерством экономики Российской Федерации и победителем конкурса;

договор о кредитовании инвестиционного проекта, заключаемый между победителем конкурса и коммерческим банком или иной кредитной организацией (далее именуется - кредитор);

договор займа, заключаемый между победителем конкурса и инвесторами, не являющимися кредитными организациями, в случае если они предоставят средства для финансирования инвестиционного проекта (далее именуется - заимодавец).

При выборе коммерческих банков, участвующих в реализации инвестиционного проекта, должно соблюдаться безусловное требование о невозможности совмещения в одном банке функций расчетного банка и банка-кредитора по одному и тому же проекту.

15. Победитель конкурса обязан провести тендер среди поставщиков товаров и производителей работ и услуг, необходимых для реализации инвестиционного проекта. В состав тендерной комиссии в обязательном порядке входят победитель конкурса и все кредиторы и заимодавцы проекта. Голоса между членами тендерной комиссии распределяются пропорционально долям предоставленных ими средств в общем объеме финансирования инвестиционного проекта. По результатам тендера составляется график платежей, который сообщается Министерству экономики Российской Федерации, расчетному банку, кредиторам и заимодавцам.

16. Перечисление средств Бюджета развития Российской Федерации на финансирование инвестиционных проектов производится в пределах фактически произведенных затрат с соблюдением доли централизованных инвестиционных ресурсов и доли собственных и заемных средств.

17. При получении подтверждения от расчетного банка о зачислении предусмотренных в графике платежей собственных средств победителя конкурса, средств кредиторов или заимодавцев Министерство экономики Российской Федерации оформляет платежные документы и передает их в ОПЕРУ-1 при Центральном банке Российской Федерации для перечисления с лицевого счета Министерства экономики Российской Федерации балансового счета 40108 "Источники для финансирования отдельных государственных программ и мероприятий за счет средств федерального бюджета на возвратной основе" на специальный счет Министерства экономики Российской Федерации в расчетном банке.

Расчетный банк не позднее следующего банковского дня после дня зачисления суммы платежа, полученной от Министерства экономики Российской Федерации, на свой корреспондентский счет обеспечивает перечисление всей суммы очередного платежа на счет победившего в тендере поставщика товаров (работ, услуг), необходимых для реализации проекта.

V. Особенности проведения конкурсов по высокоэффективным коммерческим проектам

18. Настоящий раздел подготовлен с учетом действующих нормативных правовых актов, регулирующих проведение конкурсов по высокоэффективным коммерческим проектам: указов Президента Российской Федерации от 17 сентября 1994 г. N 1928 "О частных инвестициях в Российской Федерации" (Собрание законодательства Российской Федерации, 1994, N 22, ст. 2462) и от 20 января 1996 г. N 70 "О внесении изменений и дополнений в Указ Президента Российской Федерации от 17 сентября 1994 г. N 1928 "О частных инвестициях в Российской Федерации" (Собрание законодательства Российской Федерации, 1996, N 4, ст. 267), постановления Правительства Российской Федерации от 1 мая 1996 г. N 534 "О дополнительном стимулировании частных инвестиций в Российской Федерации" (Собрание законодательства Российской Федерации, 1996, N 19, ст. 2298).

Оценка инвестиционных проектов, их классификация проводятся по представленным претендентом материалам и служит основой определения форм, размера и условий государственной поддержки этих проектов.

Особенности размещения на конкурсной основе централизованных инвестиционных ресурсов
Бюджета развития Российской Федерации по высокоэффективным инвестиционным проектам

19. Претендент имеет право выбора следующих форм государственной поддержки высокоэффективных инвестиционных проектов:

а) выделение средств Бюджета развития Российской Федерации при условии возврата предоставленных средств в течение 2 лет с момента их получения и с уплатой процентов за пользование ими в размере, определенном федеральным законом о федеральном бюджете на соответствующий год;

б) предоставление государственных инвестиционных ресурсов на условиях закрепления в государственной собственности части акций создаваемых акционерных обществ, которые реализуются на рынке ценных бумаг по истечении 2 лет с начала получения прибыли от реализации проекта, с направлением выручки от реализации этих акций в доход Бюджета развития Российской Федерации.

Размер пакета акций, закрепляемых в собственности государства, а также год их реализации определяются в соответствии с бизнес-планом проекта.

20. В соответствии с постановлением Правительства Российской Федерации от 1 мая 1996 г. N 534 "О дополнительном стимулировании частных инвестиций в Российской Федерации" для коммерческих проектов обязательными условиями являются: доля государственной поддержки за счет средств федерального бюджета устанавливается по годам реализации проекта в размере от 20 до 50 процентов капитальных вложений и соответственно доля собственных и заемных средств, включая иностранные кредиты, составляет от 80 до 50 процентов.

21. В целях отбора наиболее эффективных коммерческих проектов необходимо учитывать, что срок окупаемости инвестиционного проекта не должен превышать 2 лет с начала реализации проекта по данному бизнес-плану.

Оценка и классификация высокоэффективных инвестиционных проектов по категориям

22. Размер государственной поддержки, предоставляемой за счет средств Бюджета развития Российской Федерации, устанавливается в зависимости от категории проекта и не может превышать от сметной стоимости проекта:

50 процентов - для проектов, обеспечивающих производство продукции, не имеющей зарубежных аналогов, при условии защищенности ее отечественными патентами или аналогичными зарубежными документами (категория "А");

40 процентов - для проектов, обеспечивающих производство экспортных товаров несырьевых отраслей, имеющих спрос на внешнем рынке, на уровне лучших мировых образцов (категория "Б");

30 процентов - для проектов, обеспечивающих производство импортозамещающей продукции с более низким уровнем цен (70 процентов) на нее по сравнению с импортируемой (категория "В");

20 процентов - для проектов, обеспечивающих производство продукции, пользующейся спросом на внутреннем рынке (категория "Г").

23. Претендент на получение государственной поддержки реализации проекта категории "А" дополнительно к документам, приведенным в пункте 10 настоящего Положения, представляет Комиссии по инвестиционным конкурсам:

копии патентов, выданных в Российской Федерации и зарубежных странах, или международных заявок на патентование;

заключение Министерства науки и технологий Российской Федерации о наукоемкости проекта, отношении к приоритетным направлениям науки и техники и соответствии перечню критических технологий.

Характеристика продукции приводится в разделе 2 бизнес-плана. Сведения об экспорте продукции, не имеющей зарубежных аналогов, приводятся в разделе 5 бизнес-плана.

Министерство экономики Российской Федерации в случае необходимости вправе запросить у претендента заключение патентного поверенного, подтверждающее отсутствие или наличие зарубежных аналогов продукции, намеченной к выпуску, наличие международной заявки и ноу-хау. В отдельных случаях подтверждается невозможность или нецелесообразность патентования данной продукции за рубежом.

24. Для подтверждения соответствия товарной продукции, предусмотренной в инвестиционном проекте, уровню лучших мировых образцов претендент на получение государственной поддержки реализации проекта категории "Б" в составе документов на участие в конкурсе представляет копии контрактов на поставку продукции зарубежным покупателям.

Претендент представляет Комиссии по инвестиционным конкурсам в составе бизнес-плана сведения о контрактах, договорах с зарубежными и отечественными покупателями. При этом доля поставки на экспорт в объеме реализуемой продукции должна быть не менее 30 процентов.

25. При рассмотрении инвестиционных проектов категории "В" приоритетными являются проекты, обеспечивающие организацию отечественного производства продукции по номенклатуре, установленной Министерством экономики Российской Федерации с участием министерств и ведомств Российской Федерации, согласно приложению N 2.

Претендент на получение государственной поддержки инвестиционного проекта категории "В" представляет Министерству экономики Российской Федерации в составе документов карту технического уровня продукции, заверенную Министерством науки и технологий Российской Федерации, согласно приложению N 3.

В составе бизнес-плана претендент указывает сведения об объеме импорта и ценах на продукцию, замещаемую продукцией по инвестиционному проекту, при этом цена импортозамещающей продукции должна быть не менее чем на 30 процентов ниже цены импортного аналога (контрактная цена без таможенных пошлин).

Министерство экономики Российской Федерации вправе запросить у претендента:

справку Государственного таможенного комитета Российской Федерации об объеме импорта соответствующей продукции в году, предшествующем реализации инвестиционного проекта;

экспертное заключение Государственного комитета Российской Федерации по стандартизации, метрологии и сертификации о нормативном и метрологическом обеспечении товарной продукции.

26. Претендент на получение государственной поддержки инвестиционного проекта категории "Г" представляет Комиссии по инвестиционным конкурсам документы, приведенные в пункте 10 настоящего Положения.

27. По результатам рассмотрения представленных материалов Министерством экономики Российской Федерации и экспертным советом при Комиссии по инвестиционным конкурсам категория проекта может быть изменена по согласованию с претендентом.

Предоставление централизованных инвестиционных ресурсов Бюджета развития Российской Федерации
на условиях закрепления в государственной собственности части акций создаваемых акционерных обществ

28. Централизованные инвестиционные ресурсы Бюджета развития Российской Федерации на условиях закрепления в государственной собственности части акций создаваемых акционерных обществ предоставляются при условии, что одним из учредителей создаваемого акционерного общества от имени государства выступает Российский фонд федерального имущества, вносящий в оплату акций акционерного общества денежные средства, предоставленные Министерством экономики Российской Федерации для реализации инвестиционного проекта.

Условия закрепления в государственной собственности части акций создаваемых акционерных обществ определяются соглашением о закреплении в государственной собственности части акций создаваемого акционерного общества, подписанным Российским фондом федерального имущества, Министерством экономики Российской Федерации и претендентом. Указанное соглашение представляется в составе документов для участия в конкурсе.

29. Закрепление в государственной собственности части акций создаваемого акционерного общества оформляется распоряжением Правительства Российской Федерации о полномочиях Российского фонда федерального имущества как одного из учредителей создаваемого акционерного общества.

Участие субъектов малого предпринимательства в конкурсном распределении
централизованных инвестиционных ресурсов Бюджета развития Российской Федерации

30. К субъектам малого предпринимательства относятся претенденты, отвечающие требованиям статьи 3 Федерального закона "О государственной поддержке малого предпринимательства в Российской Федерации" (Собрание законодательства Российской Федерации, 1995, N 25, ст. 2343).

Для целей настоящего Положения под субъектами малого предпринимательства понимаются также физические лица, занимающиеся предпринимательской деятельностью без образования юридического лица.

31. Для субъектов малого предпринимательства в объем собственных средств, направляемых на финансирование проекта, кроме источников, приведенных в пункте 8 настоящего Положения, дополнительно включаются прибыль и начисленная амортизация, получаемые в результате производственной деятельности в период создания производственных мощностей по данному проекту.

VI. Особенности размещения централизованных инвестиционных ресурсов
Бюджета развития Российской Федерации в конкурсные проекты федеральной инвестиционной программы

32. Конкурсный отбор проектов федеральной инвестиционной программы на соответствующий год для финансирования за счет средств Бюджета развития Российской Федерации производится в следующем порядке: федеральные органы исполнительной власти, органы исполнительной власти субъектов Российской Федерации, организации представляют в Министерство экономики Российской Федерации в сроки, установленные Правительством Российской Федерации, бизнес-план и другие расчетные материалы для включения в перечень важнейших строек и объектов федеральных целевых программ, реализуемых за счет средств Бюджета развития Российской Федерации на возвратной и платной основе.

33. Министерство экономики Российской Федерации рассматривает соответствие бизнес-планов и других материалов требованиям настоящего Положения, утвержденных федеральных целевых программ, указов Президента Российской Федерации, постановлений Правительства Российской Федерации и представляет в Комиссию по инвестиционным конкурсам предложения о целесообразности привлечения средств Бюджета развития Российской Федерации для финансирования инвестиционных проектов федеральной инвестиционной программы.

34. Комиссия по инвестиционным конкурсам осуществляет отбор представленных инвестиционных проектов, подлежащих финансированию за счет средств Бюджета развития Российской Федерации на возвратной и платной основе, имея в виду, что срок окупаемости указанных инвестиционных проектов не ограничивается двумя годами с момента получения государственной поддержки.

VII. Особенности работы с инвестиционными проектами, финансируемыми за счет средств государственной поддержки угольной отрасли

Утратил силу. (в ред. Постановления Правительства РФ от 20.05.98 N 467)

Приложение N 1
к Положению об оценке эффективности
инвестиционных проектов при размещении
на конкурсной основе централизованных
инвестиционных ресурсов Бюджета развития
Российской Федерации

МАКЕТ БИЗНЕС-ПЛАНА, ПРЕДСТАВЛЯЕМОГО ПРЕТЕНДЕНТОМ В СОСТАВЕ ЗАЯВКИ

Бизнес-план представляет собой неотъемлемую часть заявки претендента на участие в конкурсном распределении централизованных инвестиционных ресурсов.

Бизнес-план разрабатывается на период, превышающий срок окупаемости проекта на один год. В макете бизнес-плана приведены таблицы, соответствующие высокоэффективным коммерческим проектам со сроком окупаемости, равным двум годам.

Расчеты бизнес-плана ведутся в постоянных среднегодовых ценах года, в котором проводится конкурс.

1. Титульный лист

"Утверждаю"

Должность

____________________Фамилия И. О.
" "__________________ 199 г.

(печать)

БИЗНЕС-ПЛАН

(краткое название проекта)

Название и адрес предприятия

Имена, адреса и телефоны основных учредителей с указанием доли в уставном капитале

Фамилия, имя, отчество руководителя организации-претендента

Суть проекта (3-5 строк)

Форма участия государства в финансовом обеспечении проекта

Финансирование проекта (в процентах):

собственные средства

заемные средства (отдельно - отечественные и иностранные)

средства государственной поддержки

Характер строительства

Сметная стоимость проекта

Сроки строительства

Срок окупаемости проекта

Кем и когда разработана и утверждена проектно-сметная документация

Наличие заключений государственной вневедомственной (независимой), а также экологической экспертизы (наименование организации и даты утверждения)

Заявление о коммерческой тайне

2. Вводная часть или резюме проекта
(3-4 стр.)

Это характеристика проекта, раскрывающая цели проекта и доказательства его выгодности. Показать, в чем сущность проекта, привести обоснование отнесения проекта к категории "А", "Б", "В" или "Г", назвать преимущества продукции (услуг) в сравнении с лучшими отечественными и зарубежными аналогами, указать объем ожидаемого спроса на продукцию, потребность в инвестициях (таблица 2) и срок возврата заемных средств.

Если реализация проекта позволит решить социальные вопросы (создание новых рабочих мест, прокладка дорог и коммуникаций общего пользования, расширение жилого фонда, использование труда инвалидов и т.п.), то указать их.

3. Анализ положения дел в отрасли
(назначением раздела является указание на характер отрасли - развивающаяся, стабильная, стагнирующая, 3-4 стр.)

1. Общая характеристика потребности и объем производства продукции в регионе или России. Значимость данного производства для экономического и социального развития страны или региона.

2. Ожидаемая доля организации в производстве продукции в регионе или в России.

3. Потенциальные конкуренты (указать наименования и адреса основных производителей товара, их сильные и слабые стороны).

4. Какие и где появились аналоги продукта за последние 3 года.

4. Производственный план
(назначение раздела - аргументировать выбор производственного процесса и охарактеризовать технико-экономические показатели согласно проектно-сметной документации, утвержденной претендентом, до 5 стр.)

1. Программа производства и реализации продукции (таблица 4). Принятая технология производства.

2. Требования к организации производства.

3. Состав основного оборудования, его поставщики и условия поставок (аренда, покупка). Лизинг оборудования.

4. Поставщики сырья и материалов (название, условия поставок) и ориентировочные цены.

5. Альтернативные источники снабжения сырьем и материалами.

6. Численность работающих и затраты на оплату труда (таблица 5).

7. Стоимость производственных основных фондов (таблица 7).

8. Форма амортизации (простая, ускоренная). Норма амортизационных отчислений. Основание для применения нормы ускоренной амортизации (таблица 7).

9. Годовые затраты на выпуск продукции. Переменные и постоянные затраты. Себестоимость единицы продукции (таблица 6).

10. Стоимость строительства, структура капитальных вложений, предусмотренная в проектно-сметной документации и сметно-финансовом расчете, в том числе строительно-монтажные работы, затраты на оборудование, прочие затраты (таблица 1). Общая стоимость инвестиционного проекта (таблица 2).

11. Обеспечение экологической и технической безопасности.

5. План маркетинга
(в разделе должно быть показано, что реализация товара не вызовет серьезных проблем, и определен объем затрат на сбыт продукции, до 5 стр.)

1. Подтверждение отсутствия зарубежных аналогов продукции по проектам категории "А", мирового уровня продукции и спроса на нее на внешнем рынке по проектам категории "Б", замещения импорта при более низком уровне цен на продукцию по проектам категории "В", спроса на внутреннем рынке на продукцию по проектам категории "Г".

Патентная ситуация. Защита товара в стране лицензиата на внутреннем и экспортном рынках. Возможность для конкурентов производить соответствующую продукцию без нарушения патентных прав претендента.

Конечные потребители. Является ли организация монополистом в выпуске данной продукции. Характер спроса (равномерный или сезонный). Характеристики конкурентов. Особенности сегмента рынка, на которые ориентируется проект, важнейшие тенденции и ожидаемые изменения. Какие свойства продукции или дополнительные услуги делают проект предпочтительным по отношению к конкурентам.

2. Организация сбыта. Дать описание системы сбыта с указанием фирм, привлекаемых к реализации продукта.

3. Обоснование объема инвестиций, связанных с реализацией продукции (таблица 2). Торгово-сбытовые издержки (таблица 6).

4. Каких возможных действий конкурентов следует опасаться и каковы основные элементы стратегии противодействия.

5. Обоснование цены на продукцию (таблица 4).

Оптовая цена товара определяется исходя из сложившейся конъюнктуры на внутреннем и внешнем рынках, а также уровня рентабельности, достаточного для поддержания стабильного финансового состояния и платежеспособности организации.

6. Расходы и доходы в случае проведения послепродажного обслуживания.

7. Программа по организации рекламы. Примерный объем затрат.

8. Программа реализации продукции (таблица 4). Выручка от продажи в целом и по отдельным товарам рассчитывается в соответствии с данными об объеме производства по кварталам и годам, уровне и сроках освоения проектной мощности, а также о ценах. Договоры или протоколы о намерениях реализации товара по предлагаемым ценам.

6. Организационный план
(2-3 стр.)

1. Сведения о претенденте. Статус, уставный капитал, состав организации, финансовое положение.

Расчеты коэффициентов оценки структуры баланса претендента: текущей ликвидности, обеспеченности собственными средствами и их отношения к величине заемных средств в составе средств финансирования проекта, восстановления (утраты) платежеспособности в соответствии с постановлением Правительства Российской Федерации от 20 мая 1994 г. N 498 "О некоторых мерах по реализации законодательства о несостоятельности (банкротстве) предприятий" (Собрание законодательства Российской Федерации, 1994, N 5, ст. 490). Методика расчета коэффициентов изложена в приложении N 1 к указанному постановлению Правительства Российской Федерации и Методических положениях по оценке финансового состояния предприятий и установлению неудовлетворительной структуры баланса, утвержденных Федеральным управлением по делам о несостоятельности (банкротстве) при Государственном комитете Российской Федерации по управлению государственным имуществом от 12 августа 1994 г. N 31-р.

2. Форма собственности претендента. По товариществам указываются условия создания и партнерства; по акционерным обществам - состав основных акционеров и принадлежащие им доли.

3. По открытым акционерным обществам указывается объем выпущенных акций и объем их эмиссии.

4. Члены совета директоров, краткие биографические справки.

5. Обладатель права подписи финансовых документов.

6. Распределение обязанностей между членами руководящего состава.

7. Поддержка проекта местной администрацией.

7. Финансовый план
(данный раздел является ключевым, по нему планируются затраты на реализацию проекта и определяется его эффективность, до 5 стр.)

1. Объем финансирования проекта по источникам должен представляться по форме таблицы 3.

Согласие коммерческих банков или других заимодателей, включая иностранных, на предоставление средств должно быть документально подтверждено соответствующими руководителями с обязательным указанием условий предоставления кредитов: наличие государственной гарантии, процентная ставка, сроки предоставления и погашения кредита, дополнительные требования.

Ходатайство о предоставлении средств федерального бюджета на возвратной и платной основе должно быть подкреплено сведениями об отсутствии других источников финансирования проекта и обязательством целевого использования испрашиваемых государственных средств.

В случае стремления претендента получить государственную гарантию при потери вложенного капитала в разделе необходимо охарактеризовать риски и обосновать значение гарантии.

2. Финансовые результаты реализации (план по прибыли) инвестиционного проекта показывают распределение выручки, полученной от продажи продукции, и объем чистой прибыли по кварталам и годам (таблица 8).

3. Исходными данными определения эффективности инвестиционного проекта служат данные плана денежных поступлений и выплат (таблица 9). На первые два года реализации проекта показатели определяются с разбивкой по кварталам. Необходимым условием реализуемости проекта является положительное значение показателя денежного потока для каждого интервала времени.

4. Эффективность инвестиционных проектов оценивается по показателям срока окупаемости, точки безубыточности и бюджетного эффекта.

5. Срок окупаемости представляет собой период времени с начала реализации проекта по данному бизнес-плану до момента, когда разность между накопленной суммой чистой прибыли с амортизационными отчислениями и объемом инвестиционных затрат приобретет положительное значение. Срок окупаемости рассчитывается по данным таблицы 9.

Объем инвестиционных затрат на реализацию проекта принимается по данным таблицы 2.

При определении эффективности проекта показатели чистой прибыли и амортизационных отчислений относятся только к реализации инвестиционного проекта и не должны отражать результаты текущей хозяйственной деятельности существующей организации.

6. Точка безубыточности соответствует объему реализации, начиная с которого выпуск продукции должен приносить прибыль. Рассчитанный объем реализации (выпуска) продукции сопоставляется с проектной мощностью создаваемого предприятия.

Точка безубыточности рассчитывается как отношение величины постоянных расходов к разности цены продукции и величины переменных расходов, деленной на объем реализации продукции. Данные о постоянных и переменных расходах принимаются согласно таблице 6.

7. Бюджетный эффект инвестиционного проекта определяется как сальдо поступлений и выплат федерального бюджета в связи с реализацией данного проекта (таблица 10). В расчетах проводится дисконтирование объемов поступлений и выплат по годам реализации проекта.

Чистый дисконтированный доход государства как эффект от реализации проекта (ЧДД) определяется суммой погодовых сальдо поступлений и выплат в бюджет, приведенных к ценам первого года:

где Т - суммарная продолжительность жизненного цикла проекта, включая строительство объекта и эксплуатацию основного технологического оборудования;

- ежегодная разность выплат и поступлений в бюджет (таблица 10, пункт 3);

t - годы реализации проекта (t = 1, 2, 3...);

d - коэффициент дисконтирования.

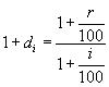
Коэффициент дисконтирования () без учета риска проекта определяется как отношение ставки рефинансирования (r), установленной Центральным банком Российской Федерации, и объявленного Правительством Российской Федерации на текущий год темпа инфляции (i):

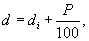
8. Поправка на риск проекта
определяется по данным следующей таблицы:

Величина рискаПример цели проектаP, процент
Низкийвложения при интенсификации производства на базе освоенной техники3 - 5
Среднийувеличение объема продаж существующей продукции8 - 10
Высокийпроизводство и продвижение на рынок нового продукта13 - 15
Очень высокийвложения в исследования и инновации18 - 20

Коэффициент дисконтирования, учитывающий риски при реализации проектов, определяется по формуле:

Таблица 1

Потребность в капитальных вложениях согласно проектно-сметной документации

млн. рублей
(в среднегодовых ценах
года проведения конкурса)

Наименование показателейВсего по проектно - сметной документацииВыполненоПодлежит выполнению до конца строительства
на начало текущего годана момент подачи заявки на конкурс
12345
Капитальные вложения по утвержденному проекту, всего    
в том числе:    
строительно - монтажные работы    
оборудование    
прочие затраты    

Таблица 2

Инвестиции (в период строительства и эксплуатации)
(в период строительства и эксплуатации)

(млн. рублей)

Статьи затрат1 год2 год3 год
всегопо кварталамвсегопо кварталамвсего
IIIIIIIVIIIIIIIV
123456789101112
1. Капитальные вложения по утвержденному проекту, подлежащие выполнению (таблица 1)           
2. Капитальные вложения в объекты сбыта           
3. Приобретение оборотных средств           
4. Другие инвестиции в период освоения и эксплуатации производственных мощностей           
5. Итого - объем инвестиций (сумма показателей пунктов 1 - 4)           

Таблица 3

Источники средств
(на начало реализации проекта)

(млн. рублей)

Наименование источниковСредства на начало реализации проекта
12
СОБСТВЕННЫЕ СРЕДСТВА 
1. Выручка от реализации акций (взнос в уставный капитал в денежной форме) 
2. Нераспределенная прибыль (фонд накопления) 
3. Неиспользованная амортизация основных средств 
4. Амортизация нематериальных активов 
5. Результат от продажи основных средств 
6. Собственные средства, всего (сумма показателей пунктов 1 - 5) 
ЗАЕМНЫЕ И ПРИВЛЕЧЕННЫЕ СРЕДСТВА 
7. Кредиты банков (по всем видам кредитов) 
8. Заемные средства других организаций 
9. Долевое участие в строительстве 
10. Прочие 
11. Заемные и привлеченные средства, всего (сумма показателей пунктов 7 - 10) 
12. Предполагаемая государственная поддержка проекта 
13. Итого (сумма показателей пунктов 6, 11, 12) 

Таблица 4

Программа производства и реализации продукции

ПоказателиЕдиница измерен.1 год2 год3 год всего
всегопо кварталамвсегопо кварталам
IIIIIIIVIIIIIIIV
12345678910111213
1. ______________            
(вид продукции <*>)
Объем производства:            
в натуральном выражении            
в стоимостном выражении            
Объем реализации в натуральном выражении, всего            
в том числе:            
на внутреннем рынке            
на внешнем рынке            
Цена реализации за единицу продукции:            
на внутреннем рынке            
на внешнем рынке (в иностранной валюте)            
Выручка от реализации продукции            
Общая выручка от реализации (в рублях)            
в том числе:            
НДС            
акцизы            
пошлины            
2. Общая выручка от реализации продукции, итого (в рублях)            
в том числе:            
НДС            
акцизы            
пошлины            

* Заполняется по каждому виду продукции или по типовым представителям отдельно.

Таблица 5

Численность работающих, расходы на оплату труда и отчисления на социальные нужды

ПоказателиЕдиница измерен.1 год2 год3 год всего
всегопо кварталамвсегопо кварталам
IIIIIIIVIIIIIIIV
12345678910111213
Численность работающих по проекту, всего            
в том числе:            
1. рабочие, непосредственно занятые производством продукции            
2. рабочие, служащие и ИТР, не занятые непосредственно производством продукции            
3. сотрудники аппарата управления на уровне цехов и организации            
4. сотрудники, занятые сбытом продукции            
Расходы на оплату труда и отчисления на социальные нужды            
5. Расходы на оплату труда рабочих, непосредственно занятых производством продукции, всего            
в том числе:            
заработная плата отчисления на социальные нужды            
6. Расходы на оплату труда рабочих, служащих и ИТР, не занятых непосредственно производством продукции, всего            
в том числе:            
заработная плата отчисления на социальные нужды            
7. Расходы на оплату труда сотрудников аппарата управления на уровне цехов и организации, всего            
в том числе:            
заработная плата отчисления на социальные нужды            
8. Расходы на оплату труда сотрудников службы сбыта продукции, всего            
в том числе:            
заработная плата отчисления на социальные нужды            
9. Расходы на оплату труда, всего            
в том числе:            
заработная плата отчисления на социальные нужды            

Таблица 6

Затраты на производство и сбыт продукции
(на годовой объем)

(млн. рублей)

Показатели1 год2 год3 год всего
всегопо кварталамвсегопо кварталам
IIIIIIIVIIIIIIIV
____________________           
(вид продукции <*>)
1. Прямые (переменные) затраты, всего           
в том числе:           
затраты на сырье, материалы, комплектующие, полуфабрикаты и др.           
затраты на топливо и энергию на технологические цели           
затраты на оплату труда производственных рабочих           
отчисления на социальные нужды           
2. Постоянные (общие) затраты, всего           
в том числе:           
общепроизводственные расходы, всего           
из них:           
затраты на материалы, инструмент, приспособления и др.           
затраты на топливо, энергию           
затраты на оплату труда           
отчисления на социальные нужды           
общехозяйственные расходы, всего           
из них:           
затраты на материалы и др.           
затраты на топливо, энергию           
затраты на оплату труда           
отчисления на социальные нужды           
расходы на сбыт продукции, всего           
из них:           
затраты на материалы и др.           
затраты на топливо, энергию           
затраты на оплату труда           
отчисления на социальные нужды           
3. Общие затраты на производство и сбыт продукции (услуг), всего           
в том числе:           
затраты на материалы и др.           
затраты на топливо, энергию           
затраты на оплату труда           
отчисления на социальные нужды           
4. НДС, акцизы, уплаченные из затрат на материалы, топливо, энергию и др.           

* Заполняется по основным видам продукции

Таблица 7

Амортизационные отчисления

(млн. рублей)

ПоказателиНорма амортизации в соответствии с установленным порядком (в процентах)1 год2 годТретий и последующие годы, всего
всегопо кварталамвсегопо кварталам
IIIIIIIVIIIIIIIV
1. Основные фонды и нематериальные активы по проекту, всего            
в том числе:            
а) по бизнес - плану, всего            
из них:            
здания и сооружения оборудование нематериальные активы            
б) ранее понесенные затраты на создание фондов, всего            
из них:            
здания и сооружения оборудование нематериальные активы            
в) начисленная амортизация по проекту            
г) остаточная стоимость основных фондов и нематериальных активов по проекту            
2. Ранее созданные основные фонды и нематериальные активы, относимые на себестоимость продукции по бизнес - плану (общепроизводственные, общехозяйственные и сбытовые)            
а) всего            
в том числе:            
здания и сооружения оборудование нематериальные активы            
б) начисленная амортизация            
в) остаточная стоимость основных фондов            
3. Начисленная амортизация, всего (сумма показателей пунктов 1 "в" и 2 "б")            
4. Всего остаточная стоимость основных средств и нематериальных активов, всего (сумма показателей пунктов 1 "г" и 2 "в")            

Таблица 8

Финансовые результаты производственной и сбытовой деятельности
(на годовой объем)

(млн. рублей)

Показатели1 год2 годТретий и последующие годы, всего
всегопо кварталамвсегопо кварталам
IIIIIIIVIIIIIIIV
1. Общая выручка от реализации продукции (таблица 4, пункт 2)           
2. НДС, акцизы и аналогичные обязательные платежи от реализации выпускаемой продукции (таблица 4, пункт 2)           
3. Уплачиваемые экспортные пошлины           
4. Выручка от реализации продукции за минусом НДС, акцизов и аналогичных обязательных платежей (разность между показателями пункта 1 и пунктов 2, 3)           
5. Общие затраты на производство и сбыт продукции (услуг) (таблица 6, пункт 3)           
в том числе           
а) НДС, акцизы и аналогичные обязательные платежи, уплачиваемые из затрат на материалы, топливо, энергию (таблица 6, пункт 4)           
6. Амортизационные отчисления (таблица 7, пункт 3)           
7. Налоги, включаемые в себестоимость, всего           
в том числе: (указать каждый в отдельности)           
8. Финансовый результат (прибыль) (разность между показателями пункта 4 и пунктов 5, 6 и 7)           
9. Налоги, относимые на финансовый результат (прибыль), всего           
в том числе:           
налог на имущество           
другие налоги (указать каждый в отдельности)           
10. Погашение основного долга и выплата процентов за кредит           
11. Налогооблагаемая прибыль (разность показателей пункта 8 и пунктов 9 и 10)           
12. Налог на прибыль           
13. Чистая прибыль (разность показателей пункта 8 и пунктов 9 и 12)           
14. Платежи в бюджет (сумма показателей пунктов 2, 3, 7, 9, 12 за вычетом показателя пункта 5 "а")           

Таблица 9

План денежных поступлений и выплат

(млн. рублей)

Показатели1 год2 годТретий
всегопо кварталамвсегопо кварталамследующие годы, всего
IIIIIIIVIIIIIIIV
ДЕЯТЕЛЬНОСТЬ ПО ПРОИЗВОДСТВУ И СБЫТУ ПРОДУКЦИИ (УСЛУГ)
1. Денежные поступления, всего (сумма показателей пунктов 1 "а" и 1 "б")           
в том числе:           
а) поступления от продажи продукции (услуг) (таблица 8, пункт 1)           
б) прочие доходы от производственной деятельности           
2. Денежные выплаты, всего (сумма показателей пунктов 2 "а" и 2 "б")           
в том числе:           
а) затраты по производству и сбыту продукции (услуг) (таблица 8, пункт 5)           
б) платежи в бюджет (таблица 8, пункт 14)           
3. Сальдо потока от деятельности по производству и сбыту продукции (разность показателей пунктов 1 и 2)           
ИНВЕСТИЦИОННАЯ ДЕЯТЕЛЬНОСТЬ
4. Поступление средств, всего (сумма показателей пунктов 4 "а", 4 "б" и 4 "в")           
в том числе:           
а) денежные средства претендента на начало реализации проекта           
б) продажа имущества           
в) продажа финансовых активов (паи, ценные бумаги других эмитентов)           
5. Выплаты, всего (таблица 2, пункт 5)           
6. Сальдо потока от инвестиционной деятельности (разность показателей пунктов 4 и 5)           
7. Сальдо потока по производственной и инвестиционной деятельности (сумма показателей пунктов 3 и 6)           
Сальдо потока нарастающим итогом           
ФИНАНСОВАЯ ДЕЯТЕЛЬНОСТЬ
8. Поступление средств, всего (сумма показателей пунктов 8 "а", 8 "б" и 8 "в")           
в том числе:           
а) поступления от продажи своих акций           
из них продажа государству           
б) кредиты           
в том числе государственная поддержка           
в) займы           
9. Выплата средств, всего (сумма показателей пунктов 9 "а", 9 "б" и 9 "в")           
в том числе:           
а) уплата процентов за предоставленные средства (кроме процентов по краткосрочным кредитам)           
из них:           
по средствам государственной поддержки за счет федерального бюджета           
по кредитам коммерческих банков (по каждому кредиту в отдельности)           
по другим заемным средствам (по каждому кредиту в отдельности)           
б) погашение основного долга, всего           
из них:           
по средствам государственной поддержки за счет федерального бюджета           
по кредитам коммерческих банков (по каждому в отдельности)           
по другим заемным средствам (по каждому кредиту в отдельности)           
в) выплата дивидендов           
10. Сальдо потока по финансовой деятельности (разность показателей пунктов 8 и 9)           
11. Общее сальдо потока (сумма показателей пунктов 7 и 10)           
Сальдо потока нарастающим итогом           

Таблица 10

Бюджетный эффект от реализации проекта

(млн. рублей)

Наименование статьи1 год2 годТретий и последующие годы, всего
1. Выплаты   
а) предполагаемая государственная поддержка проекта (таблица 3, пункт 12)   
б) НДС (комплектующие изделия, запасные части, оборудование, строительные работы, материалы, топливо, электроэнергия)   
2. Поступление средств, итого (сумма показателей пунктов 2 "а", 2 "б", 2 "в", 2 "г", 2 "д", 2 "е", 2 "ж")   
в том числе:   
а) налоги и платежи в бюджет (таблица 9, пункт 2 "б")   
б) единовременные затраты при оформлении земельного участка <*>   
в) подоходный налог на заработную плату 0,12 x затраты на оплату труда (таблица 6, пункт 3)   
г) отчисления на социальные нужды (пенсионный фонд, фонд социального страхования, фонд занятости, обязательное медицинское страхование (таблица 6, пункт 3 - отчисления на социальные нужды)   
д) выручка от продажи государственного пакета акций   
е) возврат процентов по государственному кредиту (таблица 9, пункт 9 "а")   
ж) возврат основного долга государству (таблица 9, пункт 9 "б")   
3. Сальдо потока (разность показателей пунктов 2 и 1)   
4. То же нарастающим итогом   
5. Коэффициент дисконтирования (пункт 8 макета бизнес - плана)   
6. Дисконтированная величина, сальдо потока (частное от деления показателей пунктов 3 и 5)   
7. Чистый дисконтированный доход государства нарастающим итогом   
8. Чистый дисконтированный доход государства с учетом рисков нарастающим итогом   

 

* Подтверждается первичным документом.

Приложение N 2
к Положению об оценке
эффективности инвестиционных
проектов при размещении на
конкурсной основе централизованных
инвестиционных ресурсов Бюджета
развития Российской Федерации

ПРИОРИТЕТНАЯ НОМЕНКЛАТУРА ИМПОРТОЗАМЕЩАЮЩЕЙ ПРОДУКЦИИ

1. Двуокись циркония

2. Порошок танталовый электролитический

3. Прокат танталовый

4. Двуокись церия

5. Рений

6. Кремний монокристаллический

7. Свинец

8. Графит конструкционный высокопрочный

9. Сырье титановое

10. Интегральные микросхемы

11. Цветные кинескопы и комплектующие изделия для телевизоров, видео и вычислительной техники

12. Моторкомпрессоры в озонобезопасном исполнении для холодильной техники

13. Магнезиальные порошки

14. Штрипс листовой

15. Трубы стальные со специальной отделкой и различными видами покрытий

16. Ткани льносодержащие (с использованием котонина)

17. Обувь для детей

18. Сахар - песок

19. Агар - агар

20. Пектин

21. Цельномолочная продукция (фасованная)

22. Масло растительное

23. Соевый изолят

24. Соевый концентрат

25. Машины для строительства, ремонта и содержания автомобильных дорог

26. Погрузчики одноковшовые

27. Гидромоторы и гидронасосы

28. Экскаваторы - погрузчики и манипуляторы на спецшасси

29. Краны на спецшасси грузоподъемностью 30 т и выше

30. Технологическое оборудование для скоростного и экономичного домостроения из легких стройконструкций с наполнителем

31. Станки металлорежущие высокой и особо высокой точности, а также для нанотехнологии

32. Линии автоматические, обрабатывающие центры, гибкие производственные модули и системы

33. Автоматы кузнечно - прессовые

34. Термопластавтоматы

35. Электродвигатели взрывобезопасные (с высотой оси вращения 63 - 132 мм)

36. Приборы силовые полупроводниковые

37. Преобразователи силовые мощностью 5 кВт и выше

38. Компактные люминесцентные лампы

39. Энергоэкономичные галогенные источники света

40. Узлы и агрегаты систем питания, электрооборудования и снижения токсичности автомобильных двигателей

41. Дизельные двигатели для малотоннажных и легковых автомобилей

42. Топливная аппаратура для дизелей

43. Микроавтобусы

44. Малотоннажные грузовые автомобили

45. Двигатели дизельные для комбайнов

46. Гильзопоршневые комплекты

47. Насосы поршневые

48. Насосы ротационные

49. Турбокомпрессоры для двигателей внутреннего сгорания

50. Компрессоры для холодильного оборудования и кондиционеров

51. Технологическое оборудование для сахарных заводов

52. Комплекты оборудования по производству жестяных банок для консервной промышленности

53. Оборудование по производству детского питания

54. Оборудование для пивоваренной промышленности

55. Маслоэкстракционные установки для масложировой промышленности

56. Расфасовочно - упаковочное и заверточное оборудование для кондитерской промышленности

57. Комплектное оборудование для переработки птицы

58. Компрессоры для торгово - холодильного оборудования

59. Кольцепрядильные машины для выработки хлопчатобумажной пряжи

60. Ровничная машина для выработки хлопчатобумажной ровницы

61. Красильно - отделочное оборудование для отделки тканей шириной 160 и более сантиметров

62. Оборудование для котонизации льняного полотна

63. Лекарственные средства

64. Отдельные виды оборудования для быстрого обслуживания в системе общественного питания

65. Автоклавы тоннельного типа для стерилизации консервов

Приведенная номенклатура не является исчерпывающей и может быть дополнена при изменении ситуации на внутреннем и внешнем рынках.

Приложение N 3
к Положению об оценке эффективности
инвестиционных проектов при размещении
на конкурсной основе централизованных
инвестиционных ресурсов Бюджета развития
Российской Федерации

 
                              КАРТА                               
                  ТЕХНИЧЕСКОГО УРОВНЯ ПРОДУКЦИИ                   
                                                                  
                   1. Общие данные о продукции                    
                                                                  
    Назначение и область применения продукции                     
__________________________________________________________________
__________________________________________________________________
__________________________________________________________________
    Организация - заказчик (основной потребитель)                 
__________________________________________________________________
__________________________________________________________________
    Организация - разработчик                                     
__________________________________________________________________
__________________________________________________________________
    Дата начала разработки _______________________________________
    Дата окончания разработки ____________________________________
    Дата начала серийного производства ___________________________
    Страны, в которых продукция обладает патентной чистотой ______
__________________________________________________________________
                                                                  
                2. Определение технического уровня                
 
Наименование 
 показателя 
   Единица 
  величины 
 показателя 
             Значение показателя 
Дополнительные 
    данные 
оцениваемой 
 продукции 
заменяемого 
 образца 
      лучших аналогов 
отечественного
зарубежного
     1 
     2 
     3 
     4 
      5 
     6 
        7 
 
    В графе 1 указывают показатель технического  уровня  продукции
(показатели удельного расхода сырья,  материалов, топлива, энергии
и др. показатели, характеризующие технический уровень продукции). 
    В графах 3  -  6  указывают  значения показателей  оцениваемой
продукции и показателей, приведенных для сравнения.               
    Выбор аналогов  (графа  5  и  6) осуществляется по результатам
патентных исследований уровня и тенденций  развития  данного  вида
продукции.                                                        
 
 Руководитель организации - разработчика                       
                                                               
 личная подпись ____________ расшифровка ______________________
                             подписи                           
 "__" ____________ 199_ г.