Здания и сооружения. Методы измерения звукоизоляции ограждающих конструкций. ГОСТ 27296-2012

(утв. Приказом Росстандарта от 27.12.2012 N 2164-СТ)
Редакция от 27.12.2012 — Действует с 01.01.2014

Данный документ приведен с учетом Поправки, опубликованной в "ИУС", N 3, 2016; Поправки, опубликованной в "ИУС", N 6, 2022.


МЕЖГОСУДАРСТВЕННЫЙ СТАНДАРТ

ЗДАНИЯ И СООРУЖЕНИЯ

МЕТОДЫ ИЗМЕРЕНИЯ ЗВУКОИЗОЛЯЦИИ ОГРАЖДАЮЩИХ КОНСТРУКЦИЙ

Buildings and constructions. Methods for measurement of sound insulation of protecting designs

ГОСТ 27296-2012

Группа Ж23

МКС 91.120.20

Дата введения
1 января 2014 года

Предисловие

Цели, основные принципы и основной порядок по межгосударственной стандартизации установлены ГОСТ 1.0-92 "Межгосударственная система стандартизации. Основные положения" и ГОСТ 1.2-2009 "Межгосударственная система стандартизации. Стандарты межгосударственные, правила и рекомендации по межгосударственной стандартизации. Правила разработки, принятия, применения, обновления и отмены".

Сведения о стандарте

1. Разработан Научно-исследовательским институтом строительной физики Российской академии архитектуры и строительных наук.

2. Внесен Техническим комитетом ТК 465 "Строительство".

3. Принят Межгосударственной научно-технической комиссией по стандартизации, техническому нормированию и оценке соответствия в строительстве (МНТКС) (Протокол от 18 декабря 2012 г. N 41).

За принятие стандарта проголосовали:

Краткое наименование страны по МК (ИСО 3166) 004-97 Код страны по МК (ИСО 3166) 004-97 Сокращенное наименование органа государственного управления строительством
Азербайджан AZ Госстрой
Армения AM Министерство градостроительства
Киргизия KG Госстрой
Молдова MD Министерство строительства и регионального развития
Россия RU Министерство регионального развития
Туркмения TM Главгосслужба "Туркменстандартлары"

4. Приказом Федерального агентства по техническому регулированию и метрологии от 27 декабря 2012 г. N 2164-ст межгосударственный стандарт ГОСТ 27296-2012 введен в действие в качестве национального стандарта Российской Федерации с 1 января 2014 г.

5. Взамен ГОСТ 27296-87 и ГОСТ 24210-80.

Информация об изменениях к настоящему стандарту публикуется в ежегодном информационном указателе "Национальные стандарты", а текст изменений и поправок - в ежемесячном информационном указателе "Национальные стандарты". В случае пересмотра (замены) или отмены настоящего стандарта соответствующее уведомление будет опубликовано в ежемесячном информационном указателе "Национальные стандарты". Соответствующая информация, уведомление и тексты размещаются также в информационной системе общего пользования - на официальном сайте Федерального агентства по техническому регулированию и метрологии в сети Интернет.

1. Область применения

Настоящий стандарт устанавливает методы измерения изоляции воздушного и ударного шума внутренними и наружными ограждающими конструкциями (стенами, перекрытиями и их элементами, перегородками, покрытиями полов) жилых и общественных зданий в лабораторных и натурных условиях.

2. Нормативные ссылки

В настоящем стандарте использованы нормативные ссылки на следующие межгосударственные стандарты:

ГОСТ 17168-82 (СТ СЭВ 1807-79). Фильтры электронные октавные и третьоктавные. Общие технические требования и методы испытаний

ГОСТ 17187-2010 (IEC 61672-1:2002). Шумомеры. Часть 1. Технические требования

ГОСТ 31274-2004 (ИСО 3741:1999). Шум машин. Определение уровней звуковой мощности по звуковому давлению. Точные методы для реверберационных камер.

Примечание. При пользовании настоящим стандартом целесообразно проверить действие ссылочных стандартов в информационной системе общего пользования - на официальном сайте Федерального агентства по техническому регулированию и метрологии в сети Интернет или по ежегодному информационному указателю "Национальные стандарты", который опубликован по состоянию на 1 января текущего года, и по выпускам ежемесячного информационного указателя "Национальные стандарты" за текущий год. Если ссылочный стандарт заменен (изменен), то при пользовании настоящим стандартом следует руководствоваться заменяющим (измененным) стандартом. Если ссылочный стандарт отменен без замены, то положение, в котором дана ссылка на него, применяется в части, не затрагивающей эту ссылку.

3. Термины и определения

В настоящем стандарте применены следующие термины с соответствующими определениями:

3.1. Изоляция воздушного шума R, дБ: величина, равная десяти десятичным логарифмам отношения звуковой мощности , падающей на испытуемый элемент, к звуковой мощности , излучаемой другой стороной испытуемого элемента.

Примечание. Изоляция воздушного шума R характеризует снижение уровня воздушного шума ограждающей конструкцией, измеренное в лабораторных условиях в соответствии с методом, устанавливаемым настоящим стандартом.

3.2. Фактическая изоляция воздушного шума R', дБ: величина, равная десяти десятичным логарифмам отношения звуковой мощности, падающей на испытуемый элемент, к полной звуковой мощности, переданной в помещение низкого уровня, в том числе и по обходным путям.

Примечание. Фактическая изоляция воздушного шума R' характеризует снижение уровня воздушного шума ограждающей конструкцией, измеренное в лабораториях с обычными для здания обходными путями или в натурных условиях в соответствии с методами, устанавливаемыми настоящим стандартом.

3.3. Уровень ударного шума , дБ: средний уровень звукового давления в полосе частот в помещении низкого уровня под перекрытием, подвергающимся воздействию стандартной ударной машины.

3.4. Приведенный уровень ударного шума , дБ: средний уровень звукового давления под перекрытием поля, излучаемого перекрытием, определяемый с учетом звукопоглощения в помещении низкого уровня и приведенный к стандартной эквивалентной площади звукопоглощения 10 кв. м.

Примечание. Приведенный уровень ударного шума измеряют в лабораторных условиях в соответствии с методом, устанавливаемым настоящим стандартом.

3.5. Фактический приведенный уровень ударного шума , дБ: средний уровень звукового давления под перекрытием, определяемый с учетом косвенной передачи звука.

Примечание. Фактический приведенный уровень ударного шума измеряют в лабораториях при наличии косвенной передачи звука или в натурных условиях в соответствии с методами, устанавливаемыми настоящим стандартом.

3.6. Стандартизированный приведенный уровень ударного шума , дБ: средний уровень звукового давления под перекрытием, определяемый с учетом косвенной передачи звука и приведенный к стандартному времени реверберации, равному 0,5 с.

3.7. Улучшение изоляции ударного шума , дБ: снижение приведенного уровня ударного шума в результате устройства пола на перекрытии.

3.8. Средний уровень звукового давления в помещении , дБ: величина, равная десяти десятичным логарифмам отношения усредненных в пространстве и времени квадратов звукового давления к квадрату порогового звукового давления, равного , причем пространственное усреднение выполняется по всему помещению за исключением областей, в которых существенны прямой звук источника шума или влияние ближнего поля ограждающих поверхностей помещения (стены и т.п.).

3.9. Приведенная разность уровней звукового давления , дБ: разность средних уровней звукового давления, создаваемых в двух помещениях одним или несколькими источниками шума, установленными в одном из них, определяемая с учетом звукопоглощения в помещении низкого уровня и приведенная к стандартной эквивалентной площади звукопоглощения 10 кв. м.

3.10. Стандартизированная разность уровней звукового давления , дБ: разность средних уровней звукового давления, создаваемых в двух помещениях одним или несколькими источниками шума, установленными в одном из них, определяемая с учетом звукопоглощения в помещении низкого уровня и приведенная к стандартному времени реверберации, равному 0,5 с.

3.11. Повторяемость результатов измерений r, дБ: значение предела, который с доверительной вероятностью 0,95 не превышается величиной абсолютной разности результатов двух измерений, проведенных в пределах короткого интервала времени и при одинаковых условиях (одни и те же метод измерения, испытуемый объект, испытательная лаборатория, оператор, оборудование).

3.12. Индекс изоляции воздушного шума , дБ: величина, служащая для оценки одним числом изоляции воздушного шума ограждающей конструкцией.

3.13. Индекс приведенного уровня ударного шума , дБ: величина, служащая для оценки одним числом изоляции ударного шума.

3.14. Индекс улучшения изоляции ударного шума покрытиями полов , дБ: величина, служащая для оценки одним числом улучшения изоляции ударного шума покрытиями полов.

4. Сущность методов

4.1. Метод измерения изоляции воздушного шума внутренними ограждающими конструкциями заключается в последовательном измерении и сравнении средних уровней звукового давления в помещениях высокого и низкого уровней с учетом поглощения звука в помещении низкого уровня.

4.2. Метод измерения изоляции ударного шума внутренними ограждающими конструкциями заключается в измерении приведенных уровней ударного шума под перекрытием при работе на нем стандартной ударной машины.

4.3. Метод определения звукоизолирующих свойств покрытий полов заключается в измерении приведенных уровней ударного шума под плитой перекрытия с покрытием и без него с последующим определением значения величины улучшения изоляции ударного шума.

4.4. Метод измерения изоляции воздушного шума наружными ограждающими конструкциями основан на сравнении уровней звукового давления, создаваемых вне и внутри здания.

5. Требования к испытательным помещениям

5.1. Требования к помещениям для испытаний ограждающих конструкций в лабораторных условиях

5.1.1. Испытательные (реверберационные) помещения для измерения изоляции воздушного и ударного шума ограждающими конструкциями должны состоять из двух смежных по горизонтали или вертикали помещений (пара помещений), разделенных ограждением с проемом для монтажа образцов испытуемых конструкций.

5.1.2. Испытательные помещения должны исключать возможность косвенной передачи звука или иметь обычные для зданий обходные пути. Принадлежность этих помещений к той или иной категории должна устанавливаться экспериментально в соответствии с Приложением А.

5.1.3. Испытательные помещения должны отличаться друг от друга по объему и размерам не менее чем на 10%.

5.1.4. Соотношение размеров помещений следует выбирать из условий, обеспечивающих равномерное распределение собственных мод в диапазоне низких частот (например, соотношение размеров 1:1,05:1,25).

5.1.5. Время реверберации во всех частотных полосах по 6.4 должно составлять минимум 1 с.

5.1.6. Уровень собственного шума в испытательных помещениях низкого уровня должен быть ниже не менее чем на 10 дБ по сравнению с уровнем полезного сигнала в помещении низкого уровня в диапазоне всех частотных полос по 6.4.

5.1.7. Площадь проема, предназначенного для монтажа образца испытуемой конструкции, должна составлять для перегородок 8 - 15 кв. м, для перекрытий 10 - 20 кв. м. Минимально допустимая длина стороны проема - 2,3 м.

5.1.8. При испытаниях окон и дверей размеры проема следует принимать в соответствии с размерами испытуемых изделий. Остальная часть проема должна быть закрыта ограждающей конструкцией, обладающей высокой изоляцией. Значение изоляции воздушного шума этой конструкции должно определяться экспериментально в соответствии с Приложением А.

5.2. Требования к помещениям для испытаний внутренних ограждающих конструкций в натурных условиях

5.2.1. Испытательные помещения для измерения изоляции воздушного шума внутренними ограждающими конструкциями должны состоять из двух смежных по горизонтали или вертикали замкнутых помещений, между которыми находится испытуемая конструкция.

5.2.2. Объем помещений высокого и низкого уровней должен составлять не менее 30 куб. м, линейные размеры - не менее 2,5 м.

5.2.3. Если испытуемый образец имеет различную площадь со стороны помещений высокого и низкого уровней, то большая площадь испытуемого образца должна находиться со стороны помещения высокого уровня. Общая для двух помещений площадь ограждения должна быть не менее 10 кв. м.

5.2.4. Максимальный объем каждого из помещений не должен превышать 150 куб. м.

5.3. Требования к помещениям для испытания наружных ограждающих конструкций в натурных условиях

Для измерений изоляции воздушного шума наружными ограждающими конструкциями следует пользоваться одним испытательным помещением, объем которого должен быть не менее 25 куб. м, а его линейные размеры - не менее 2,3 м.

6. Аппаратура

6.1. Передающая измерительная система, излучающая шум при измерениях изоляции воздушного шума, должна содержать:

- генератор шума;

- полосовые третьоктавные фильтры;

- усилители мощности;

- громкоговорители.

Допускается использовать источник образцового шума, удовлетворяющий требованиям ГОСТ 31274 (приложение А).

6.2. Передающая измерительная система, излучающая шум при измерениях изоляции ударного шума, должна состоять из ударной машины, удовлетворяющей следующим требованиям:

1) пять молотков машины должны располагаться на одной прямой с расстоянием между центрами крайних молотков 400 мм;

2) эффективная масса молотка должна составлять 0,5 - 0,0125 кг;

3) нижняя часть молотка должна быть выполнена из стали в форме цилиндра диаметром 30 мм; ударная часть молотка должна быть выпуклой; радиус сферы ударной части должен быть равен 500 мм;

4) скорость падения молотков должна соответствовать свободному падению с высоты (40 1) мм;

5) время между двумя последовательно проводимыми ударами молотком должно составлять (100 5) мс;

6) расстояние между стойками машины и молотками должно быть равным или больше 100 мм.

6.3. Для определения уровня звукового давления следует применять один или несколько микрофонов. Время усреднения в каждой точке измерений должно быть не менее 6 с для всех частотных полос со среднегеометрическими частотами от 100 до 400 Гц. Для более высокочастотных полос допускается меньшее время усреднения, но не менее 4 с.

При использовании вращающегося микрофона радиус, описываемый микрофоном, должен составлять при испытаниях в лабораторных условиях не менее 1 м, в натурных условиях - не менее 0,7 м. Ось вращения микрофона должна быть наклонена по отношению к плоскости пола. Время усреднения должно включать в себя все перемещения микрофона и быть не менее 30 с. При использовании перемещаемого источника шума продолжительность измерений должна быть равна всему времени перемещения источника, которое должно быть не менее 30 с.

6.4. Измерения следует проводить во всех третьоктавных полосах со среднегеометрическими частотами в диапазоне 100 - 3150 Гц.

6.5. Эквивалентный уровень звукового давления следует определять с помощью интегрирующего шумомера.

6.6. Средства измерений шума, включая микрофоны и кабели, должны удовлетворять требованиям к шумомерам 1-го класса по ГОСТ 17187. Фильтры должны удовлетворять требованиям для фильтров 0-го или 1-го класса по ГОСТ 17168. Акустический калибратор должен удовлетворять требованиям для калибраторов 1-го класса по действующим нормативным техническим документам.

7. Измерение изоляции шума внутренними ограждающими конструкциями в лабораторных условиях

7.1. Проведение измерений изоляции воздушного шума

7.1.1. Излучающая шум измерительная система в помещениях для измерений должна создавать диффузное звуковое поле. Источники шума следует располагать не менее чем в двух местах измерительного помещения высокого уровня - в углах на расстоянии не менее 2 м от испытуемого объекта.

7.1.2. Измерительный микрофон в помещениях высокого и низкого уровней следует последовательно устанавливать не менее чем в шести точках (в трех точках для каждой позиции источника шума). Точки измерений должны отстоять не менее чем на 1 м от поверхности ограждающих конструкций, друг от друга и от источника шума.

7.1.3. Средние уровни звукового давления , дБ, рассчитывают для каждой третьоктавной полосы частот из диапазона по 6.4 по формуле

, (1)

где - уровень звукового давления в i-й точке измерения, дБ;

n - число точек измерений.

7.1.4. Эквивалентную площадь звукопоглощения помещения низкого уровня , кв. м, следует определять по значению времени реверберации , с, измеренного в каждой третьоктавной полосе частот по 6.4 в соответствии с действующими нормативными документами, и рассчитывать по формуле

, (2)

где V - объем измерительного помещения, куб. м.

7.1.5. Изоляцию воздушного шума ограждающими конструкциями R, дБ, рассчитывают по формуле

, (3)

где и - средние уровни звукового давления в третьоктавной полосе частот в помещениях высокого и низкого уровней соответственно, дБ;

S - площадь испытуемой конструкции со стороны помещения низкого уровня, кв. м.

Примечание. Для лабораторий с обычными для здания обходными путями при расчетах по формуле (3) получают фактическую изоляцию воздушного шума R' в соответствии с 3.2.

7.1.6. При необходимости рассчитывают значения изоляции воздушного шума ограждающими конструкциями в октавных полосах частот , дБ, по формуле

, (4)

где - значение изоляции воздушного шума, определенное в k-й третьоктавной полосе частот, входящей в рассматриваемую октавную полосу, дБ.

7.2. Проведение измерений приведенного уровня ударного шума

7.2.1. Ударную машину следует устанавливать не менее чем в трех точках на испытуемом перекрытии. Эти точки должны отстоять друг от друга и от краев образца не менее чем на 0,7 м.

При испытаниях анизотропных конструкций перекрытий (например, балочных, ребристых) следует предусматривать дополнительные точки. Продольная ось ударной машины должна составлять с осями балки или ребра длинной стороны перекрытия угол 45°.

При испытаниях перекрытий с мягкими покрытиями полов требуемая высота падения молотков 40 мм должна обеспечиваться с помощью подкладок под опоры машины. Непосредственно перед началом измерений машина должна проработать не менее 20 с.

7.2.2. Измерительный микрофон должен быть последовательно установлен не менее чем в трех точках под перекрытием при каждом положении ударной машины.

Расстояние между точками и от ограждающих конструкций должно быть не менее 1 м. В случае применения вращающегося микрофона по 6.3 последний при каждом положении ударной машины должен совершить один оборот.

7.2.3. Приведенный уровень ударного шума , дБ, под испытуемым перекрытием следует определять в каждой полосе частот по 6.4 по формуле

, (5)

где - средний уровень ударного шума под перекрытием, дБ, определяемый по 7.1.3;

A - эквивалентная площадь звукопоглощения помещения под перекрытием, определяемая по 7.1.4;

= 10 кв. м.

Примечание. При наличии косвенной передачи звука по формуле (5) определяют фактический приведенный уровень шума в соответствии с 3.5.

7.3. Проведение измерений улучшения изоляции ударного шума перекрытием с покрытиями полов

7.3.1. Измерение звукоизолирующих свойств покрытий полов следует проводить в помещениях, удовлетворяющих требованиям 5.1, на железобетонной плите перекрытия, изготовленной из бетона объемной плотностью от 2400 до 2500 кг/куб. м. Толщина плиты перекрытия должна быть равной (120 20) мм. Площадь плиты перекрытия должна быть не менее 10 кв. м. Допускаются и другие перекрытия, если в месте измерений они однородны и имеют индекс приведенного уровня ударного шума, определенный в соответствии с [1] <*> (подраздел 2.3), = (75 4) дБ.

<*> В Российской Федерации действует СП 51.13330.2011.

Отклонение поверхности плиты от плоскостности не должно превышать 1 мм на участке длиной 200 мм по горизонтали.

7.3.2. Испытания следует проводить на образцах материалов покрытия пола, изготовленных по одной и той же технологии, из одних и тех же составляющих, одним заводом-изготовителем, удовлетворяющих физико-механическим требованиям стандартов или технических условий. Испытуемые образцы покрытия пола должны быть уложены на перекрытие согласно требованиям технологии завода-изготовителя. При этом размеры образцов рулонных и плиточных покрытий пола не должны быть меньше размера стандартной ударной машины. Все другие виды полов должны иметь площадь не менее 10 кв. м и минимальный размер не менее 2,3 м.

7.3.3. До начала проведения испытаний образцы должны быть выдержаны в помещении при температуре (20 2)°C не менее 3 ч в раскатанном состоянии.

7.3.4. Испытания материалов, укладываемых насухо, следует проводить на трех образцах размерами 1 x 1 м, отобранных из разных партий. Каждый из трех образцов, укладываемых насухо, испытывается последовательно в трех положениях на плите перекрытия.

7.3.5. Испытания материалов с приклейкой следует проводить на трех образцах размерами 1 x 3 м, отобранных из разных партий. Каждый образец перед приклеиванием на плиту перекрытия разрезают на три части размерами 1 x 1 м и считают их за один образец. Разрезанные девять частей одного образца должны быть приклеены к перекрытию в разных его частях. В случае если площадь плиты перекрытия недостаточна для одновременной приклейки девяти частей размерами 1 x 1 м, допускается уменьшение их размеров до 0,6 x 0,8 м. При приклеивании покрытий к плите перекрытия необходимо выполнять инструкции завода-изготовителя по нанесению клеящего состава в части количества наносимого материала и периода твердения на воздухе.

7.3.6. Температуру воздуха необходимо измерить в середине помещения. Она должна быть в диапазоне 18°C - 25°C. Оптимальная температура 20°C - 24°C.

7.3.7. Ударная машина должна устанавливаться последовательно в местах, предназначенных для укладки образцов покрытий, для определения приведенного уровня ударного шума под плитой перекрытия без покрытия.

7.3.8. После укладки образцов покрытия полов ударную машину следует установить минимально в трех точках. Если пол обладает сильно выраженными колеблющимися свойствами, то следует увеличить число точек установки машины.

7.3.9. При небольших размерах образцов рулонных и плиточных покрытий ударную машину следует ставить поочередно на каждый образец так, чтобы ее ось была всегда параллельна длинной оси образца. В случае если образцы имеют большие размеры, позиции ударной машины должны соответствовать требованиям 7.2.1.

7.3.10. Приведенный уровень ударного шума под плитой перекрытия без покрытия пола и с покрытием следует определять в каждой третьоктавной полосе частот по 6.4 в соответствии с требованиями 7.2.

7.3.11. Улучшение изоляции ударного шума покрытиями полов , дБ, определяют по формуле

. (6)

В качестве результата следует принимать округленные до целого числа децибел значения.

7.3.12. Индекс улучшения изоляции ударного шума за счет рулонного или плиточного покрытия пола , дБ, следует определять по формуле

, (7)

где - поправка, дБ, характеризующая отличие измеренной частотной характеристики снижения приведенного уровня ударного шума за счет нанесения покрытия пола от оценочного частотного спектра снижения приведенного уровня ударного шума , представленного в таблице 1, дБ.

Таблица 1 - Оценочная кривая для определения индекса улучшения изоляции ударного шума

Среднегеометрическая частота третьоктавной полосы, Гц , дБ
100 2,0
125 2,5
160 3,0
200 3,5
250 4,0
320 4,5
400 6,0
500 7,5
630 9,0
800 10,5
1000 12,0
1250 15,0
1600 18,0
2000 21,0
2500 24,0
3200 27,0

7.3.13. Для вычисления поправки определяют отклонения измеренной частотной характеристики от оценочного спектра посредством вычитания для каждой третьоктавной полосы из значений измеренной частотной характеристики значений оценочного спектра. Выделяют неблагоприятные отклонения, под которыми понимают отклонения вниз от оценочного спектра, т.е. отклонения, имеющие отрицательные значения.

Если сумма неблагоприятных отклонений максимально приближается к 32 дБ, но не превышает эту величину, принимают поправку = 0 .

Если сумма неблагоприятных отклонений превышает 32 дБ, оценочный спектр смещают вниз (уменьшают значения таблицы 1 на целое число децибел) так, чтобы сумма неблагоприятных отклонений от смещенного оценочного спектра не превышала указанную величину. В этом случае принимают поправку равной величине смещения оценочного спектра, взятой со знаком минус.

Если сумма неблагоприятных отклонений значительно меньше 32 дБ или неблагоприятные отклонения отсутствуют, оценочный спектр смещают вверх (увеличивают значения таблицы 1 на целое число децибел) так, чтобы сумма неблагоприятных отклонений от смещенного оценочного спектра максимально приближалась к 32 дБ, но не превышала эту величину. В этом случае принимают поправку равной величине смещения оценочного спектра, взятой со знаком плюс.

8. Измерение изоляции шума внутренними ограждающими конструкциями в натурных условиях

8.1. Проведение измерений изоляции воздушного шума

8.1.1. Помещения для испытаний должны соответствовать требованиям 5.2.

8.1.2. Аппаратура для проведения испытаний должна соответствовать требованиям раздела 6.

8.1.3. При проведении измерений должны соблюдаться следующие условия:

1) источник шума следует устанавливать в двух местах в помещении высокого уровня;

2) измерительный микрофон следует располагать в шести точках в помещении низкого уровня и в шести точках в помещении высокого уровня, минимальное расстояние точек установки микрофона одна от другой, а также от ограждающей конструкции должно равняться 0,5 м, минимальное расстояние от источника шума - 1 м.

8.1.4. Измерение и определение изоляции воздушного шума R' осуществляется в соответствии с требованиями 7.1.

8.1.5. Уровни звукового давления помех при измерениях должны быть минимум на 3 дБ ниже суммарного уровня звукового давления полезного сигнала и помех; при разности измеренного уровня звукового давления сигнала, включающего в себя помехи, и уровня звукового давления помех 3 дБ следует уменьшить измеренные уровни звукового давления на 3 дБ, при разности от 4 до 5 дБ - уменьшить измеренные значения на 2 дБ, при разности от 6 до 9 дБ - на 1 дБ. Если же разность равна или превышает 10 дБ, то воздействие помех не учитывается.

8.1.6. При измерениях изоляции воздушного шума ограждающими конструкциями общей площадью менее 10 кв. м или если в испытуемой конструкции имеются вентиляционные каналы, технологические отверстия, а также в случаях, когда испытуемая конструкция установлена между помещениями, соединяющимися каналами, отверстиями и коммуникациями, следует определять приведенную разность уровней звукового давления , дБ, по формуле

, (8)

где и - средние уровни звукового давления в помещениях высокого и низкого уровней соответственно, определяемые по 7.1.3, дБ;

- эквивалентная площадь звукопоглощения помещения низкого уровня, определяемая по 7.1.4, кв. м;

- значение стандартной площади звукопоглощения, равное 10 кв. м.

8.1.7. Для ориентировочной оценки звукоизоляции между двумя помещениями в здании допускается определение стандартизированной разности уровней звукового давления , дБ, по формуле

, (9)

где - стандартное время реверберации для обычных помещений, равное 0,5 с;

- время реверберации в помещении низкого уровня, с.

8.2. Проведение измерений изоляции ударного шума

8.2.1. Помещения для проведения испытаний, аппаратура, порядок проведения испытаний и определения приведенного уровня ударного шума должны соответствовать требованиям 5.2 и 7.2, а также 6.3 - 6.6. При недостаточной площади свободной поверхности пола допускается установка ударной машины в трех положениях, при этом расстояния между положениями машины могут быть уменьшены.

8.2.2. Расстояние между ударной машиной и ограждающими конструкциями должно быть не менее 0,5 м.

8.2.3. Минимальное расстояние между точками установки измерительного микрофона и их удаление от ограждающих конструкций должно быть не менее 0,5 м.

8.2.4. Для ориентировочной оценки изоляции ударного шума допускается использовать стандартизованный приведенный уровень ударного шума , дБ, определяемый по формуле

, (10)

где и - те же величины, что в формуле (9).

9. Измерение изоляции внешнего шума наружными ограждающими конструкциями в натурных условиях

9.1. Проведение измерений изоляции воздушного шума, излучаемого транспортным потоком

9.1.1. Измерение следует проводить в здании, расположенном в плане под углом от 0° до 20° к прямолинейному участку улицы или дороги с транспортным потоком.

Наружную ограждающую конструкцию для измерения звукоизоляции следует выбирать по высоте обращенного к улице фасада таким образом, чтобы угол между линией, соединяющей середину этой ограждающей конструкции с ближайшей к ней точкой улицы или дороги и горизонтальной плоскостью, не превышал 50° (предпочтительно проводить измерение на уровне 3-го - 5-го этажей).

9.1.2. Измерения следует проводить двумя измерительными системами, удовлетворяющими требованиям 6.4 - 6.6.

9.1.3. Для определения звукоизоляции наружными конструкциями следует проводить измерения уровня звукового давления снаружи ограждающих конструкций одновременно с измерениями в расположенных за ними помещениях.

Допускается проведение измерений одним анализатором при плотном транспортном потоке; при этом длительность измерений в одной точке должна определяться установившимся уровнем эквивалентного шума (показания прибора изменяются в пределах 0,5 дБ для каждой рассматриваемой полосы частот), но не менее 30 с.

9.1.4. Измерительный микрофон должен быть размещен на расстоянии от 1 до 2 м от внешней поверхности испытуемой ограждающей конструкции на уровне ее середины и направлен в сторону улицы или дороги с транспортным потоком.

Если ограждающая конструкция имеет балконы, лоджии и другие элементы фасада, то микрофон должен быть размещен на расстоянии 1 м от вертикальной плоскости, проходящей через наиболее выступающие точки этих элементов фасада, на уровне середины ограждающей конструкции.

9.1.5. Измерительный микрофон в помещении низкого уровня следует размещать в шести точках на расстоянии не менее 0,5 м от ограждающих конструкций.

9.1.6. Эквивалентные уровни звукового давления снаружи помещения и внутри него следует измерять в каждой точке и каждой третьоктавной полосы частот по 6.4 с помощью интегрирующего шумомера.

9.1.7. Средние значения и следует рассчитывать для каждой третьоктавной полосы частот по формуле (1) с заменой на и соответственно.

9.1.8. Звукоизоляцию ограждающей конструкции следует рассчитывать для каждой третьоктавной полосы частот по формуле

, (11)

где S - площадь ограждающей конструкции, кв. м;

- эквивалентная площадь звукопоглощения помещения, кв. м.

9.1.9. При необходимости значения звукоизоляции в октавных полосах частот , дБ, рассчитывают по значениям звукоизоляции, определенным в третьоктавных полосах частот, входящих в рассматриваемую октавную полосу, , дБ, по формуле (4).

9.2. Проведение измерений при шуме, излучаемом источником, установленным внутри помещения

9.2.1. Измерительное помещение должно соответствовать требованиям 5.3.

9.2.2. Аппаратура для проведения испытаний должна соответствовать требованиям 6.1, 6.3 - 6.6. Источник шума следует устанавливать внутри помещения.

9.2.3. Уровни звукового давления внутри помещения следует определять согласно 7.1.1 - 7.1.3.

9.2.4. Уровни звукового давления снаружи определяют на расстоянии от до м от поверхности испытуемого ограждения.

При измерении звукоизоляции следует предусматривать не менее четырех точек измерений. Уровень звукового давления помех следует учитывать по 8.1.5. Значение площади S поверхности испытуемой конструкции определяют, как показано в Приложении В.

9.2.5. Изоляцию воздушного шума наружным ограждением следует рассчитывать для каждой третьоктавной полосы частот из диапазона по 6.4 по формуле

, (12)

где и - средние уровни звукового давления в помещении и снаружи, перед испытуемым ограждением соответственно, определяемые по формуле (1), дБ.

9.2.6. При необходимости значения изоляции воздушного шума в октавных полосах частот , дБ, рассчитывают по значениям изоляции воздушного шума, определенным в третьоктавных полосах частот , входящих в рассматриваемую октавную полосу, дБ, по формуле (4).

10. Оценка погрешностей измерений

10.1. Погрешность измерений, проведенных согласно требованиям 7.1, 7.2 и раздела 8, оценивается статистическими методами. Повторяемость результатов измерений должна отвечать требованиям таблицы 2, если площадь испытуемой конструкции не менее 10 кв. м.

Таблица 2 - Верхние границы оценки повторяемости результатов измерений

Среднегеометрическая частота третьоктавной полосы, Гц Повторяемость r, дБ, для R, R' Повторяемость r, дБ, для , или
100 5 3
125 5 2
160 5 2
200 5 2
250 3 2
320 2 2
400 2 2
500 2 2
630 1 1
800 1 1
1000 1 1
1250 1 1
1600 2 1
2000 и более 2 1

Метод определения повторяемости приведен в Приложении Г.

10.2. Каждое учреждение, проводящее прецизионные измерения, должно один раз в пять лет или после изменения условий испытания подтверждать соблюдение требований настоящего раздела.

10.3. Контроль повторяемости измерений изоляции воздушного и ударного шума проводится следующим образом:

1) выполняют шесть комплексных результатов измерений изоляции воздушного и ударного шума;

2) полученные результаты (например, изоляции воздушного шума R) разбивают на пять пар последовательных измерений без изменения их исходной последовательности. Разность результатов измерений сопоставляют с данными таблицы 2. Если полученные значения разности превышают значения, указанные в таблице 2 в любой из частотных полос, то проверку следует повторить с новыми шестью результатами. В случае повторного расхождения результатов с требованиями таблицы 2 следует изменить условия проведения измерений. При отсутствии указанного расхождения требуемая повторяемость результатов измерений соблюдается.

10.4. Для достижения требуемой повторяемости рекомендуется изменять:

- места установок источников шума, ударной машины, расстояние между микрофоном и источником звука, ограждающими конструкциями;

- число точек измерения;

- число позиций источников шума;

- время усреднения уровня звукового давления;

- метод определения эквивалентной площади звукопоглощения.

10.5. При проведении проверки повторяемости результатов измерений в лабораторных условиях следует предусматривать возможность изменения состава аппаратуры и характеристик измерительных помещений. При проведении проверки повторяемости результатов измерений в натурных условиях следует предусматривать возможность изменения состава аппаратуры.

11. Оформление результатов измерений

Результаты измерений должны представляться протоколом в виде таблицы или диаграммы для полос частот по 6.4.

В диаграммах необходимо точки измерений, соответствующие значениям измерений, соединять прямой. По оси абсцисс среднегеометрические частоты следует показывать в логарифмическом масштабе, по оси ординат следует указывать значения уровня изоляции шума в децибелах. Интервал между среднегеометрическими частотами третьоктавных полос должен соответствовать 5 мм, между значениями уровней - 1 - 2 мм. При выводе на печать протокола допускаются другие масштабы диаграммы.

Протокол измерений должен содержать:

1) название учреждения, проводившего измерения;

2) описание, эскиз и техническую характеристику объекта испытаний, условий монтажа, размеры, сведения о поверхности ограждающей конструкции и ее отдельных частей, сведения об изготовителе объекта испытаний и типовое обозначение этого объекта;

3) выбранный метод измерений;

4) вид, размеры и объем помещений для испытаний;

5) основные отклонения от процедуры проведения измерений с указанием причин;

6) дату проведения измерений и подпись исполнителя.

Приложение А
(обязательное)

ВИДЫ ИСПЫТАТЕЛЬНЫХ ПОМЕЩЕНИЙ

А.1. Пары испытательных помещений делятся на следующие виды:

1) пары помещений без косвенной передачи звука;

2) пары помещений с косвенной передачей звука.

А.2. Принадлежность пар испытательных помещений к тому или другому виду определяется экспериментально. В проем между испытательными помещениями устанавливают образец конструкции, звукоизоляция которой должна быть не ниже звукоизоляции остальных ограждающих конструкций этих помещений, и проводят обычные измерения и вычисления звукоизоляции этого образца. Затем должны быть проведены мероприятия по увеличению звукоизоляции этого образца; если после проведения этих мероприятий звукоизоляция образца не меняется, то такое значение звукоизоляции принимают за максимальное значение звукоизоляции данной пары испытательных помещений.

А.3. При испытании образцов конструкций, звукоизоляция которых удовлетворяет условию , влиянием косвенной передачи звука можно пренебречь; такую пару помещений в данном случае следует считать парой помещений без косвенной передачи звука.

А.4. При измерении звукоизоляции окон и дверей влиянием косвенной передачи звука можно пренебречь, если выполняется условие .

А.5. В том случае, когда испытуемая конструкция с поверхностной плотностью, меньшей или равной 100 кг/кв. м, имеет максимальный индекс изоляции воздушного шума дБ, а конструкция с поверхностной плотностью, большей или равной 250 кг/кв. м, имеет максимальный индекс изоляции воздушного шума дБ, влиянием косвенной передачи звука пренебрегать не следует. Данную пару испытательных помещений следует отнести к паре помещений с косвенной передачей звука.

При невозможности выполнения указанных условий следует вычислить максимальный индекс изоляции воздушного шума пары испытательных помещений по полученным значениям максимальной фактической изоляции воздушного шума в третьоктавных полосах частот по 6.4. Метод определения индекса изоляции воздушного шума содержится в [1] <*>. Кроме того, при вычислении этого индекса следует исключить результаты, полученные в третьоктавных полосах со средними геометрическими частотами 100, 125, 160 и 200 Гц.

<*> В Российской Федерации действует СП 51.13330.2011.

Приложение Б
(рекомендуемое)

ИЗМЕРЕНИЕ ВРЕМЕНИ РЕВЕРБЕРАЦИИ ИСПЫТАТЕЛЬНЫХ ПОМЕЩЕНИЙ

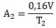
Время реверберации испытательных помещений определяют по формуле

. (Б.1)

Для уменьшения времени реверберации помещений до нормируемых значений эквивалентную площадь звукопоглощения A следует увеличить, равномерно размещая в помещениях звукопоглощающие конструкции или системы. После каждого размещения звукопоглощающих конструкций (систем) процедуру измерения времени реверберации T следует повторять до тех пор, пока это время не достигнет нормируемой величины.

Приложение В
(рекомендуемое)

ОПРЕДЕЛЕНИЕ ПЛОЩАДИ ПОВЕРХНОСТИ ИСПЫТУЕМОГО ОБРАЗЦА

При определении значений изоляции воздушного шума по формулам (3), (11) значение S определяют следующим образом. В случае измерения изоляции шума образцом наружной ограждающей конструкции за площадь S следует принимать общую площадь образца, видимого со стороны помещения низкого уровня.

Если определяется звукоизоляция только части наружной ограждающей конструкции (например, окна), то за площадь S следует принимать площадь части конструкции, видимой также со стороны помещения низкого уровня.

При испытаниях окон и дверей в лабораторных условиях или между двумя помещениями в натурных условиях величина S означает площадь свободных проемов, в которые вставлен элемент.

Значения величин S должны быть указаны в протоколе испытаний.

Приложение Г
(рекомендуемое)

ОПРЕДЕЛЕНИЕ ПОВТОРЯЕМОСТИ РЕЗУЛЬТАТОВ ИЗМЕРЕНИЙ

Г.1. Следует провести не менее 25 комплексных измерений изоляции воздушного или ударного шума.

Примечание. Указанное число измерений необходимо для определения среднего квадратического отклонения с достаточной достоверностью.

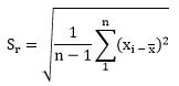
Г.2. Для достаточно большого числа n полных измерений значения одного и того же образца испытанной конструкции значение повторяемости в полосе частот определяется по формулам

, (Г.1)
, (Г.2)

, (Г.3)

где - значение квантиля распределения Стьюдента для (n - 1) степеней свободы и доверительной вероятности 0,95, принимаемое по таблице Г.1;

- оценка среднего квадратического отклонения результатов измерений, дБ.

Таблица Г.1 - Значения квантиля распределения Стьюдента для (n - 1) степеней свободы и доверительной вероятности 0,95

Число измерений n
3 4,30
4 3,18
5 2,78
6 2,57
8 2,38
10 2,26
15 2,12
20 2,08
25 2,06
30 2,04
35 2,03
40 2,02
60 2,00
120 1,98

БИБЛИОГРАФИЯ

[1] СТ СЭВ 4867-84 <*> Защита от шума в строительстве. Звукоизоляция ограждающих конструкций зданий. Нормы

<*> В Российской Федерации действует СП 51.13330.2011.