Приказ Минтранса РФ от 08.12.2017 N 513

"О порядке определения начальной (максимальной) цены контракта, а также цены контракта, заключаемого с единственным поставщиком (подрядчиком, исполнителем), при осуществлении закупок в сфере регулярных перевозок пассажиров и багажа автомобильным транспортом и городским наземным электрическим транспортом"
Редакция от 08.12.2017 — Документ утратил силу, см. «Приказ Минтранса РФ от 30.05.2019 N 158»

Зарегистрировано в Минюсте России 28 декабря 2017 г. N 49537


МИНИСТЕРСТВО ТРАНСПОРТА РОССИЙСКОЙ ФЕДЕРАЦИИ

ПРИКАЗ
от 8 декабря 2017 г. N 513

О ПОРЯДКЕ ОПРЕДЕЛЕНИЯ НАЧАЛЬНОЙ (МАКСИМАЛЬНОЙ) ЦЕНЫ КОНТРАКТА, А ТАКЖЕ ЦЕНЫ КОНТРАКТА, ЗАКЛЮЧАЕМОГО С ЕДИНСТВЕННЫМ ПОСТАВЩИКОМ (ПОДРЯДЧИКОМ, ИСПОЛНИТЕЛЕМ), ПРИ ОСУЩЕСТВЛЕНИИ ЗАКУПОК В СФЕРЕ РЕГУЛЯРНЫХ ПЕРЕВОЗОК ПАССАЖИРОВ И БАГАЖА АВТОМОБИЛЬНЫМ ТРАНСПОРТОМ И ГОРОДСКИМ НАЗЕМНЫМ ЭЛЕКТРИЧЕСКИМ ТРАНСПОРТОМ

Во исполнение пункта 1 постановления Правительства Российской Федерации от 11 октября 2016 г. N 1028 "О сфере деятельности, в которой при осуществлении закупок устанавливается порядок определения начальной (максимальной) цены контракта, цены контракта, заключаемого с единственным поставщиком (подрядчиком, исполнителем), и федеральном органе исполнительной власти, устанавливающем такой порядок" (Собрание законодательства Российской Федерации, 2016, N 42, ст. 5940) приказываю:

1. Утвердить прилагаемый Порядок определения начальной (максимальной) цены контракта, а также цены контракта, заключаемого с единственным поставщиком (подрядчиком, исполнителем), при осуществлении закупок в сфере регулярных перевозок пассажиров и багажа автомобильным транспортом и городским наземным электрическим транспортом.

2. Настоящий приказ вступает в силу с 1 июля 2018 г.

Министр
М.Ю. СОКОЛОВ

УТВЕРЖДЕН
приказом Минтранса России
от 8 декабря 2017 г. N 513

ПОРЯДОК ОПРЕДЕЛЕНИЯ НАЧАЛЬНОЙ (МАКСИМАЛЬНОЙ) ЦЕНЫ КОНТРАКТА, А ТАКЖЕ ЦЕНЫ КОНТРАКТА, ЗАКЛЮЧАЕМОГО С ЕДИНСТВЕННЫМ ПОСТАВЩИКОМ (ПОДРЯДЧИКОМ, ИСПОЛНИТЕЛЕМ), ПРИ ОСУЩЕСТВЛЕНИИ ЗАКУПОК В СФЕРЕ РЕГУЛЯРНЫХ ПЕРЕВОЗОК ПАССАЖИРОВ И БАГАЖА АВТОМОБИЛЬНЫМ ТРАНСПОРТОМ И ГОРОДСКИМ НАЗЕМНЫМ ЭЛЕКТРИЧЕСКИМ ТРАНСПОРТОМ

1. Настоящий Порядок разработан в целях реализации части 2 статьи 14 Федерального закона от 13 июля 2015 г. N 220-ФЗ "Об организации регулярных перевозок пассажиров и багажа автомобильным транспортом и городским наземным электрическим транспортом в Российской Федерации и внесении изменений в отдельные законодательные акты Российской Федерации" <1>.

<1> Собрание законодательства Российской Федерации, 2015, N 29, ст. 4346.

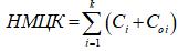
2. Настоящий Порядок определяет единые правила расчета заказчиками начальной (максимальной) цены контракта, цены контракта, заключаемого с единственным поставщиком (подрядчиком, исполнителем) (далее - НМЦК), при осуществлении закупок в сфере регулярных перевозок пассажиров и багажа автомобильным транспортом и городским наземным электрическим транспортом.

3. В случае если в соответствии с документацией о закупках работ, связанных с осуществлением регулярных перевозок по регулируемым тарифам (далее - работ), либо в соответствии с контрактом (в случае осуществления закупок таких работ у единственного поставщика (подрядчика, исполнителя) (далее - подрядчик) плата за проезд пассажиров и провоз багажа подлежит перечислению государственному или муниципальному заказчику, НМЦК определяется по формуле (1), а если эта плата подлежит перечислению подрядчику по формуле (2).

, руб. (1)
, руб. (2)

где:

- определенная в соответствии с пунктом 5 настоящего Порядка максимальная стоимость работы транспортных средств i-го класса, руб.;

- стоимость приобретения и установки в транспортных средствах i-го класса оборудования для организации безналичной оплаты проезда, а также плановые расходы на его эксплуатацию и (или) на оплату услуг оператора системы безналичной оплаты проезда в случае, если контрактом предусмотрено, что приобретение, установка и эксплуатация и (или) на оплату услуг оператора системы безналичной оплаты проезда такого оборудования осуществляется за счет подрядчика, руб.;

- размер субсидий, которые будут предоставлены подрядчику в соответствии с нормативным правовым актом субъекта Российской Федерации, муниципальным нормативным правовым актом, принятыми в соответствии с Бюджетным кодексом Российской Федерации <2>, в целях компенсации недополученных доходов от предоставления льгот на проезд пассажиров или части затрат на выполнение предусмотренных контрактом работ, руб. (в отсутствие соответствующих нормативных правовых актов принимается равным нулю);

<2> Собрание законодательства Российской Федерации, 1998, N 31, ст. 3823; 2017, N 49, ст. 7317.

П - определенная в соответствии с пунктом 4 настоящего Порядка планируемая плата за проезд пассажиров и провоз багажа, оставляемая в распоряжении подрядчика, руб.;

k - количество предусмотренных контрактом классов транспортных средств.

4. В случае если до осуществления закупок, перевозки по предусмотренным контрактом маршрутам выполнялись не менее года, планируемая плата за проезд пассажиров и провоз багажа, оставляемая в распоряжении подрядчика, определяется в зависимости от соотношения фактического и планируемого пробега, приведенного по вместимости транспортных средств, по формуле (5) или (6).

, руб., если (5)

, руб., если (6)

где:

- фактическая плата за проезд пассажиров и провоз багажа, полученная на j-том маршруте в год, предшествующий году начала действия контракта, руб.;

- индекс изменения тарифов на перевозки пассажиров и багажа за каждый год срока действия контракта, определенный на основе установленных нормативным правовым актом субъекта Российской Федерации или муниципальным нормативным правовым актом, принятыми в соответствии с постановлением Правительства Российской Федерации от 7 марта 1995 г. N 239 "О мерах по упорядочению государственного регулирования цен (тарифов)" <3> предельных тарифов на регулярные перевозки пассажиров и багажа автомобильным транспортом и городским наземным электрическим транспортом;

<3> Собрание законодательства Российской Федерации, 1995, N 11, ст. 997; 2001, N 20, ст. 2015; 2009, N 33, ст. 4086; 2010, N 2, ст. 179; N 37, ст. 4707; 2015, N 10, ст. 1526; 2017, N 5, ст. 816.

- определенный в соответствии с пунктом 5 настоящего Порядка фактический пробег, приведенный по вместимости, транспортных средств, используемых для перевозок по j-ому маршруту в год, предшествующий первому году срока действия контракта, место-км;

- определенный в соответствии с пунктом 6 настоящего Порядка планируемый пробег, приведенный по вместимости, транспортных средств, используемых для перевозок по j-ому маршруту в t-ом году срока действия контракта, место-км;

n - количество предусмотренных контрактом маршрутов.

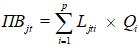
В случае если до осуществления закупок перевозки по предусмотренным контрактом маршрутам не выполнялись или выполнялись менее года, планируемая плата за проезд пассажиров и провоз багажа, оставляемая в распоряжении подрядчика, определяется по формуле (7).

, руб. (7)

где:

- определенная в соответствии с пунктом 7 настоящего Порядка максимальная стоимость работы транспортных средств i-го класса, руб.;

- коэффициент возмещения стоимости работы выручкой от оплаты проезда, рассчитанный как соотношение общей планируемой платы за проезд пассажиров и провоз багажа по ранее установленным маршрутам к стоимости работы на ранее установленных маршрутах;

k - количество предусмотренных контрактом классов транспортных средств.

5. Фактический пробег, приведенный по вместимости, транспортных средств, используемых для перевозок по j-ому маршруту в год, предшествующий первому году срока действия контракта (), определяется по формуле (8).

, место-км (8)

где:

- фактический пробег транспортных средств i-го класса по j-ому маршруту в год, предшествующий первому году срока действия контракта, км;

- максимальная вместимость транспортных средств i-го класса, мест;

р - количество предусмотренных контрактом классов транспортных средств на j-ом маршруте.

6. Планируемый пробег, приведенный по вместимости, транспортных средств, используемых для перевозок по j-ому маршруту в t-ом году срока действия контракта (), определяется по формуле (9).

, место-км (9)

где:

- предусмотренный контрактом пробег транспортных средств i-го класса по j-ому маршруту в t-ом году срока действия контракта, км;

- максимальная вместимость транспортных средств i-го класса, мест;

р - количество предусмотренных контрактом классов транспортных средств на j-ом маршруте.

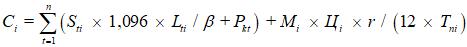
7. Максимальная стоимость работы транспортных средств i-го класса () определяется по формуле (10).

, (10)

где:

- определенные в соответствии с приложениями N 1, 2 и 3 к настоящему Порядку максимальные себестоимости 1 км пробега соответственно автобусов, трамваев и троллейбусов i-го класса в t-ый год срока действия контракта, руб./км;

1,096 - уровень рентабельности, обеспечивающий экономически устойчивую деятельность;

- планируемый пробег транспортных средств i-го класса в t-ом году срока действия контракта, км;

- коэффициент использования пробега. При расчете принимают значения, равные средним фактически сложившимся при осуществлении регулярных перевозок по регулируемым тарифам автомобильным транспортом и городским наземным электрическим транспортом общего пользования в территориально-административном образовании; при отсутствии такой информации принимают значения, равные 0,9 при перевозках в городском сообщении, и 0,91 - в пригородном сообщении;

- вознаграждение за реализацию билетов в t-ом году срока действия контракта (в случае, если реализация билетов осуществляется сторонними организациями);

- установленное реестром маршрутов в отношении маршрутов, предусмотренных контрактом, максимальное количество транспортных средств i-го класса, ед.;

- определенная в соответствии с пунктом 8 настоящего Порядка средняя рыночная стоимость транспортных средств i-го класса, руб.;

- срок полезного использования транспортных средств i-го класса, определенный в соответствии с Классификацией основных средств, включаемых в амортизационные группы, утвержденной постановлением Правительства Российской Федерации от 1 января 2002 г. N 1 <4>, лет;

<4> Собрание законодательства Российской Федерации, 2002, N 1, ст. 52; 2003, N 28, ст. 2940, N 33, ст. 3270; 2006, N 48, ст. 5028; 2008, N 39, ст. 4434; 2009, N 9, ст. 1128; 2010, N 51, ст. 6942; 2015, N 28, ст. 4239; 2016, N 29, ст. 4818.

n - срок действия контракта, лет;

r - общее количество месяцев исполнения контракта, в том числе неполных.

8. Средняя рыночная стоимость транспортных средств i-го класса (Цi) определяется как среднеарифметическое значение цен, указанных в полученных по запросу заказчика ответах поставщиков данных транспортных средств.

Опрос продолжается до получения 3 - 4 ответов, в которых указаны стоимости транспортных средств i-го класса, различающиеся в пределах не более 10%. Ответы, не соответствующие данному требованию, не учитываются.

Приложение N 1
к Порядку определения
начальной (максимальной) цены
контракта, а также цены
контракта, заключаемого
с единственным поставщиком
(подрядчиком, исполнителем),
при осуществлении закупок
в сфере регулярных перевозок
пассажиров и багажа
автомобильным транспортом
и городским наземным
электрическим транспортом

РАСЧЕТ МАКСИМАЛЬНОЙ СЕБЕСТОИМОСТИ 1 КМ ПРОБЕГА АВТОБУСОВ

1. Максимальная себестоимость 1 км пробега транспортных средств i-го класса в t-ый год срока действия контракта () определяется по формуле (1).

, руб./км (1)

где:

- определенные в соответствии с пунктом 2 настоящего приложения расходы на оплату труда водителей транспортных средств i-го класса в t-ый год срока действия контракта в расчете на 1 км пробега;

- определенные в соответствии с пунктом 4 настоящего приложения расходы на оплату труда кондукторов транспортных средств в t-ый год срока действия контракта в расчете на 1 км пробега;

- определенные в соответствии с пунктом 4 настоящего приложения расходы на оплату труда кондукторов транспортных средств в t-ый год срока действия контракта в расчете на 1 км пробега;

- определенные в соответствии с пунктом 6 настоящего приложения отчисления на социальные нужды от оплаты труда водителей и кондукторов транспортных средств i-го класса в t-ый год срока действия контракта в расчете на 1 км пробега;

- определенные в соответствии с пунктом 7 настоящего приложения расходы на топливо для транспортных средств i-го класса в t-ый год срока действия контракта в расчете на 1 км пробега;

- определенные в соответствии с пунктом 8 настоящего приложения расходы на смазочные и прочие эксплуатационные материалы для транспортных средств i-го класса в t-ый год срока действия контракта в расчете на 1 км пробега;

- определенные в соответствии с пунктом 9 настоящего приложения расходы на износ и ремонт шин транспортных средств i-го класса в t-ый год срока действия контракта в расчете на 1 км пробега;

- определенные в соответствии с пунктом 10 настоящего приложения расходы на техническое обслуживание и ремонт транспортных средств i-го класса в t-ый год срока действия контракта в расчете на 1 км пробега;

- определенные в соответствии с пунктом 14 настоящего приложения прочие расходы по обычным видам деятельности в сумме с косвенными расходами для транспортных средств i-го класса в t-ом году срока действия контракта.

2. Расходы на оплату труда водителей транспортных средств i-го класса в t-ый год срока действия контракта в расчете на 1 км пробега () определяются по формуле (2).

, руб./км (2)

12 - количество месяцев в году;

1,2 - коэффициент, учитывающий расходы на оплату основного и дополнительного отпуска водителя, а также расходы на заработную плату подменного водителя на период отпуска основного водителя;

- максимальное из значений средней месячной оплаты труда водителя транспортного средства i-го класса, определенных в соответствии с пунктом 3 настоящего приложения, в соответствии с Федеральным отраслевым соглашением по автомобильному и городскому наземному пассажирскому транспорту или в соответствии с Отраслевым тарифным соглашением по организациям городского наземного электрического транспорта Российской Федерации, заключенных в рамках реализации статей 45 и 48 Трудового кодекса Российской Федерации <5>;

<5> Собрание законодательства Российской Федерации, 2002, N 1, ст. 3; 2017, N 49, ст. 7331.

- планируемое количество часов работы транспортных средств i-го класса в t-ом году срока действия контракта, час;

- коэффициент, характеризующий продолжительность подготовительно-заключительного времени, времени прохождения предрейсовых инструктажей и медицинских осмотров водителя (при использовании автоматизированной системы контроля за оплатой проезда принимается равным 1,08, при отсутствии такой системы - 1,05);

- индекс потребительских цен для t-ого года срока действия контракта, принимаемый в соответствии с публикуемыми Минэкономразвития России прогнозами социально-экономического развития Российской Федерации <6>;

<6> Постановление Правительства Российской Федерации от 14 ноября 2015 г. N 1234 "О порядке разработки, корректировки, осуществления мониторинга и контроля реализации прогноза социально-экономического развития Российской Федерации на среднесрочный период и признании утратившими силу некоторых актов Правительства Российской Федерации" (Собрание законодательства Российской Федерации, 2015, N 47, ст. 6598; 2017, N 38, ст. 5627).

- планируемый пробег транспортных средств i-го класса в t-ом году срока действия контракта, км;

- годовой фонд рабочего времени водителя транспортных средств при соблюдении нормальной, 40 часовой, продолжительности рабочего времени неделю (для водителей, работающих в районах Крайнего Севера, принимается равным 1608 час., для водителей, работающих в местностях, приравненных к районам Крайнего Севера, - 1656 часов, для водителей, работающих в прочих местностях, - 1744 часов).

3. Средняя месячная оплата труда водителя транспортных средств i-го класса определяется по формуле (3).

, руб. (3)

где:

СЗП - среднемесячная номинальная начисленная заработная плата работников крупных и средних предприятий и некоммерческих организаций всех отраслей экономики за ближайший истекший отчетный период (для муниципальных маршрутов в границах поселения, городского округа или двух и более поселений одного муниципального района принимается в соответствии с данными Росстата в отношении указанных административно-территориальных единиц субъекта Российской Федерации, для муниципальных маршрутов в границах субъектов Российской Федерации - городов федерального значения Москвы, Санкт-Петербурга или Севастополя в соответствии с данными Росстата в отношении указанных субъектов Российской Федерации, для межмуниципальных маршрутов в границах субъекта Российской Федерации - в соответствии с данными Росстата в отношении этого субъекта Российской Федерации, для смежных межрегиональных маршрутов в сообщении с субъектами Российской Федерации - городами федерального значения Москвой, Санкт-Петербургом или Севастополем - в соответствии с данными Росстата в отношении этих субъектов Российской Федерации), руб.;

- коэффициент, учитывающий дифференциацию заработной платы водителей в зависимости от класса транспортного средства и вида маршрутов (принимается в соответствии с таблицей 1);

- коэффициент, учитывающий особенности рынка труда в городах с численностью населения свыше миллиона человек (для г. Москвы принимается равным не менее 0,45, для г. Санкт-Петербурга - не менее 0,7, для остальных городов с численностью населения свыше миллиона человек - не менее 0,8);

Таблица 1

Коэффициенты, учитывающие дифференциацию заработных плат работников в зависимости от класса транспортных средств и вида маршрутов ()

N п/п Категория работника Муниципальные маршруты в границах городского округа города федерального значения Москвы, Санкт-Петербурга, Севастополя Прочие маршруты
по 01.01.2022 с 01.01.2022 по 01.01.2022 с 01.01.2022
1 Водитель автобуса особо малого класса. 0,7 0,85 0,95 1,08
2 Водитель автобуса малого класса 0,75 0,98 1,0 1,15
3 Водитель автобуса среднего класса 0,85 1,05 1,1 1,28
4 Водитель автобуса большого класса 1,15 1,43 1,6 1,85
5 Водитель автобуса особо большого класса 1,22 1,5 1,7 1,95
6 Кондуктор 0,6 0,7 0,8 0,95
7 Ремонтный рабочий 0,7 0,8 0,9 1,0

4. Расходы на оплату труда кондукторов транспортных средств i-го класса в t-ом году срока действия контракта в расчете на 1 км пробега определяются по формуле (4).

, руб./км (4)

12 - количество месяцев в году;

1,2 - коэффициент, учитывающий расходы на оплату основного и дополнительного отпуска кондуктора, а также расходы на заработную плату подменного кондуктора на период отпуска основного кондуктора;

x - максимальное из значений средней месячной оплаты труда кондуктора автобуса, определенных в соответствии с пунктом 5 настоящего приложения, в соответствии с Федеральным отраслевым соглашением по автомобильному и городскому наземному пассажирскому транспорту или в соответствии с Отраслевым тарифным соглашением по организациям городского наземного электрического транспорта Российской Федерации, заключенных в рамках реализации статей 45 и 48 Трудового кодекса Российской Федерации;

- планируемое количество часов работы транспортных средств i-го класса с кондукторами в t-ом году срока действия контракта, час;

1,05 - коэффициент, характеризующий продолжительность подготовительно-заключительного времени;

- индекс потребительских цен для t-ого года срока действия контракта, принимаемый в соответствии с публикуемыми Минэкономразвития России прогнозами социально-экономического развития Российской Федерации;

- планируемый пробег транспортных средств i-го класса в t-ом году срока действия контракта, км;

- годовой фонд рабочего времени кондуктора при соблюдении нормальной, 40-часовой продолжительности рабочего времени в неделю (для кондукторов, работающих в районах Крайнего Севера, принимается равным 1656 час., для кондукторов, работающих в местностях, приравненных к районам Крайнего Севера, - 1704 часов, для кондукторов, работающих в прочих местностях, - 1792 часов).

5. Средняя месячная оплата труда кондуктора транспортных средств i-го класса определяется по формуле (5).

, руб. (5)

где:

СЗП - среднемесячная номинальная начисленная заработная плата работников крупных и средних предприятий и некоммерческих организаций всех отраслей экономики за ближайший истекший отчетный период (для муниципальных маршрутов в границах поселения, городского округа или двух и более поселений одного муниципального района принимается в соответствии с данными Росстата в отношении указанных административно-территориальных единиц субъекта Российской Федерации, для муниципальных маршрутов в границах субъектов Российской Федерации - городов федерального значения Москвы, Санкт-Петербурга или Севастополя в соответствии с данными Росстата в отношении указанных субъектов Российской Федерации, для межмуниципальных маршрутов в границах субъекта Российской Федерации - в соответствии с данными Росстата в отношении этого субъекта Российской Федерации, для смежных межрегиональных маршрутов в сообщении с субъектами Российской Федерации - городами федерального значения Москвой, Санкт-Петербургом или Севастополем - в соответствии с данными Росстата в отношении этих субъектов Российской Федерации), руб.;

- коэффициент, учитывающий дифференциацию в оплате труда кондукторов транспортных средств в зависимости от вида маршрутов (принимается в соответствии с таблицей 1);

- коэффициент, учитывающий особенности рынка труда в городах с численностью населения свыше миллиона человек (для г. Москвы принимается равным не менее 0,45, для г. Санкт-Петербурга - не менее 0,7, для остальных городов с численностью населения свыше миллиона человек - не менее 0,8).

6. Отчисления на социальные нужды от оплаты труда водителей и кондукторов транспортных средств i-го класса в t-ый год срока действия контракта в расчете на 1 км пробега () определяются по формуле (6).

, руб./км (6)

где

- расходы на оплату труда водителей транспортных средств i-го класса в t-ом году срока действия контракта в расчете на 1 км пробега, руб.;

- расходы на оплату труда кондукторов транспортных средств i-го класса в t-ом году срока действия контракта в расчете на 1 км пробега, руб.;

- суммарный тариф отчислений на социальные нужды и обязательное социальное страхование от несчастных случаев на производстве и профессиональных заболеваний от расходов на оплату труда, определяемый в соответствии с законодательством Российской Федерации, % (если закупка размещается исключительно среди субъектов малого предпринимательства, принимается равным максимальному значению, установленному специальными налоговыми режимами для субъектов малого предпринимательства, в иных случаях принимается равным значению, установленному для общей системы налогообложения).

7. Расходы на топливо для транспортных средств i-го класса в t-ый год срока действия контракта расчете на 1 км пробега () определяются по формуле (7).

, руб. (7)

где:

- нормативный расход топлива в расчете на 1 км пробега автобусов i-го класса, определенный в соответствии с пунктом 40 Инструкции по учету доходов и расходов по обычным видам деятельности на автомобильном транспорте, утвержденной приказом Минтранса России от 24 июня 2003 г. N 153 <7>;

<7> Зарегистрирован Минюстом России 24 июля 2003 г., регистрационный N 4916.

- цена 1 литра топлива, указанная в последней, предшествующей дате размещения информации об НМЦК, официальной публикации территориального органа Росстата, руб.;

- индекс цен производителей нефтепродуктов для t-ого года срока действия контракта (принимаемый в соответствии с публикуемыми Минэкономразвития России прогнозами социально-экономического развития Российской Федерации).

8. Расходы на смазочные и прочие эксплуатационные материалы для транспортных средств i-го класса в t-ый год срока действия контракта в расчете на 1 км пробега () определяются по формуле (8).

, руб./км (8)

где:

- расходы на топливо для транспортных средств i-го класса в t-ый год срока действия контракта расчете на 1 км пробега.

9. Расходы на износ и ремонт шин транспортных средств i-го класса в t-ый год срока действия контракта в расчете на 1 км пробега () определяются по формуле (9).

, руб./км (9)

где:

- базовые удельные расходы на шины i-го класса в расчете на 1 км пробега транспортных средств i-го класса, руб./км (для автобусов особо малого класса принимаются равными не менее 0,14, для автобусов малого класса - не менее 0,23, для автобусов среднего класса - не менее 0,63, для автобусов большого класса - не менее 0,81, для автобусов особо большого класса - не менее 0,9).

- индекс цен на машины и оборудование для t-ого года срока действия контракта (для первого года срока действия контракта принимается равным произведению определяемых Росстатом индексов цен производителей машин и оборудования за период с конца 2016 года по период, ближайший к началу срока действия контракта, и прогнозного индекса цен производителей машин и оборудования для каждого года срока действия контракта, определяемого Минэкономразвития России в прогнозе социально-экономического развития Российской Федерации.

10. Расходы на техническое обслуживание и ремонт транспортных средств i-го класса в t-ый год срока действия контракта в расчете на 1 км пробега () определяются по формуле (10).

, руб./км (10)

где:

- определенные в соответствии с пунктом 11 настоящего приложения расходы на оплату труда ремонтных рабочих с отчислениями на социальные нужды в расчете на 1 км пробега транспортных средств i-го класса в t-ый год срока действия контракта;

- определенные в соответствии с пунктом 12 настоящего приложения расходы на запасные части и материалы, используемые при техническом обслуживании и ремонте транспортных средств i-го класса в t-ый год срока действия контракта в расчете на 1 км пробега.

11. Расходы на оплату труда ремонтных рабочих с отчислениями на социальные нужды в расчете на 1 км пробега автобусов i-го класса в t-ый год срока действия контракта () определяются по формуле (11).

, руб./км (11)

где:

0,001 - коэффициент приведения базовой удельной трудоемкости технического обслуживания и ремонта транспортных средств к 1 км пробега;

12 - количество месяцев в году;

1,2 - коэффициент, учитывающий расходы на оплату основного и дополнительного отпуска ремонтного рабочего, а также расходы на заработную плату подменного рабочего на период отпуска;

- индекс потребительских цен для t-ого года срока действия контракта, принимаемый в соответствии с публикуемыми Минэкономразвития России прогнозами социально-экономического развития Российской Федерации;

ЗПР - определенная в соответствии пунктом 12 настоящего приложения расчетная часовая оплата труда ремонтного рабочего, руб./час;

- базовая удельная трудоемкость технического обслуживания транспортных средств i-го класса, час./1000 км (для автобусов особо малого класса принимаются равной не менее 5,9, для автобусов малого класса - не менее 8,0, для автобусов среднего класса - не менее 9,3, для автобусов большого класса - не менее 13,3, для автобусов особо большого класса - не менее 19,1);

- коэффициент корректировки базовой удельной трудоемкости технического обслуживания транспортных средств в зависимости от природно-климатических условий (принимается в соответствии с таблицей 2);

- базовая удельная трудоемкость текущего ремонта транспортных средств i-го класса, час./1000 км (для автобусов особо малого класса принимаются равной не менее 5,4, для автобусов малого класса - не менее 6,4, для автобусов среднего класса - не менее 7,8, для автобусов большого класса - не менее 10,2, для автобусов особо большого класса - не менее 13,2);

- коэффициент корректировки базовой трудоемкости текущего ремонта транспортных средств в зависимости от природно-климатических условий (принимается в соответствии с таблицей 2);

- годовой фонд рабочего времени ремонтного рабочего при соблюдении нормальной, 40 часовой, продолжительности рабочего времени в неделю (для ремонтных рабочих, работающих в районах Крайнего Севера, принимается равным 1704 час., для ремонтных рабочих, работающих в местностях, приравненных к районам Крайнего Севера, - 1744 часов, для ремонтных рабочих, работающих в прочих местностях, - 1832 часов).

- суммарный тариф отчислений на социальные нужды и обязательное социальное страхование от несчастных случаев на производстве и профессиональных заболеваний от расходов на оплату труда, определяемый в соответствии с законодательством Российской Федерации, % (если закупка размещается исключительно среди субъектов малого предпринимательства, принимается равным максимальному значению, установленному специальными налоговыми режимами для субъектов малого предпринимательства, в иных случаях принимается равным значению, установленному для общей системы налогообложения).

12. Расчетная часовая оплата труда ремонтного рабочего (ЗПР) определяется по формуле (12).

, руб. (12)

где:

СЗП - среднемесячная номинальная начисленная заработная плата работников крупных и средних предприятий и некоммерческих организаций всех отраслей экономики за ближайший истекший отчетный период (для муниципальных маршрутов в границах поселения, городского округа или двух и более поселений одного муниципального района принимается в соответствии с данными Росстата в отношении указанных административно-территориальных единиц субъекта Российской Федерации, для муниципальных маршрутов в границах субъектов Российской Федерации - городов федерального значения Москвы, Санкт-Петербурга или Севастополя в соответствии с данными Росстата в отношении указанных субъектов Российской Федерации, для межмуниципальных маршрутов в границах субъекта Российской Федерации - в соответствии с данными Росстата в отношении этого субъекта Российской Федерации, для смежных межрегиональных маршрутов в сообщении с субъектами Российской Федерации - городами федерального значения Москвой, Санкт-Петербургом или Севастополем - в соответствии с данными Росстата в отношении этих субъектов Российской Федерации), руб.;

- коэффициент, учитывающий дифференциацию в оплате труда ремонтных рабочих в зависимости от вида маршрутов (принимается в соответствии с таблицей 1);

- коэффициент, учитывающий особенности рынка труда в городах с численностью населения свыше миллиона человек (для г. Москвы принимается равным не менее 0,45, для г. Санкт-Петербурга - не менее 0,7, для остальных городов с численностью населения свыше миллиона человек - не менее 0,8).

Таблица 2

Коэффициенты корректировки в зависимости от природно-климатических условий базовых удельных трудоемкостей технического обслуживания и ремонта транспортных средств, а также расходов на запасные части и материалы (, , )

Субъект Российской Федерации
Республика Дагестан, Республика Северная Осетия - Алания, Чеченская Республика, Республика Ингушетия, Республика Крым, Кабардино-Балкарская Республика; Краснодарский и Ставропольский края; Калининградская и Ростовская обл.; г. Севастополь 1,0 0,9 0,9
Республика Башкортостан, Удмуртская Республика; Пермский край; Курганская, Свердловская, Челябинская обл. 0,9 1,1 1,1
Республика Алтай, Республика Бурятия, Республика Карелия, Республика Коми, Республика Тыва, Республика Хакасия; Алтайский, Забайкальский, Камчатский, Красноярский, Приморский и Хабаровский края; Амурская, Архангельская, Иркутская, Кемеровская, Мурманская, Новосибирская, Омская, Сахалинская, Томская, Тюменская и Читинская обл.; Ненецкий автономный округ, Ханты-Мансийский автономный округ, Ямало-Ненецкий автономный округ 0,9 1,2 1,25
Республика Саха (Якутия), Магаданская обл., Чукотский автономный округ 0,8 1,3 1,4
Прочие 1,0 1,0 1,0

13. Расходы на запасные части и материалы, используемые при техническом обслуживании и ремонте транспортных средств i-го класса в t-ый год срока действия контракта в расчете на 1 км пробега () определяются по формуле (13).

, руб./км (13)

где:

- базовые удельные расходы на запасные части и материалы для транспортных средств i-го класса в расчете на 1 км пробега, руб./км (для автобусов особо малого класса принимаются равными не менее 2,1, для автобусов малого класса - не менее 2,5, для автобусов среднего класса - не менее 3,5, для автобусов большого класса - не менее 6,2, для автобусов особо большого класса - не менее 8,3);

- коэффициент корректировки базовых удельных расходов на запасные части и материалы в зависимости от природно-климатических условий (принимается в соответствии с таблицей 2);

- индекс цен на машины и оборудование для t-ого года срока действия контракта (для первого года срока действия контракта принимается равным произведению определяемых Росстатом индексов цен производителей машин и оборудования за период с конца 2016 года по период, ближайший к началу срока действия контракта, и прогнозного индекса цен производителей машин и оборудования для каждого года срока действия контракта, определяемого Минэкономразвития России в прогнозе социально-экономического развития Российской Федерации.

14. Прочие расходы по обычным видам деятельности в сумме с косвенными расходами для транспортных средств i-го класса в t-ом году срока действия контракта () определяются по формуле (14).

, руб./км (14)

где:

- отношение суммы прочих расходов по обычным видам деятельности и косвенных расходов к переменным расходам (принимается равным не менее 0,6);

- определенные в соответствии с пунктом 7 настоящего приложения расходы на топливо для транспортных средств i-го класса в t-ый год срока действия контракта в расчете на 1 км пробега;

- определенные в соответствии с пунктом 8 настоящего приложения расходы на смазочные и прочие эксплуатационные материалы для транспортных средств i-го класса в t-ый год срока действия контракта в расчете на 1 км пробега;

- определенные в соответствии с пунктом 9 настоящего приложения расходы на износ и ремонт шин транспортных средств i-го класса в t-ый год срока действия контракта в расчете на 1 км пробега;

- определенные в соответствии с пунктом 10 настоящего приложения расходы на техническое обслуживание и ремонт транспортных средств i-го класса в t-ый год срока действия контракта в расчете на 1 км пробега.

Приложение N 2
к Порядку определения
начальной (максимальной) цены
контракта, а также цены
контракта, заключаемого
с единственным поставщиком
(подрядчиком, исполнителем),
при осуществлении закупок
в сфере регулярных перевозок
пассажиров и багажа
автомобильным транспортом
и городским наземным
электрическим транспортом

РАСЧЕТ МАКСИМАЛЬНОЙ СЕБЕСТОИМОСТИ 1 КМ ПРОБЕГА ТРАМВАЕВ

1. Максимальная себестоимость 1 км пробега транспортных средств i-го класса в t-ый год срока действия контракта () определяется по формуле (1).

, руб./км (1)

где:

- определенные в соответствии с пунктом 2 настоящего приложения расходы на оплату труда водителей транспортных средств i-го класса в t-ый год срока действия контракта в расчете на 1 км пробега;

- определенные в соответствии с пунктом 4 настоящего приложения расходы на оплату труда кондукторов транспортных средств в t-ый год срока действия контракта в расчете на 1 км пробега;

- определенные в соответствии с пунктом 6 настоящего приложения отчисления на социальные нужды от оплаты труда водителей и кондукторов транспортных средств i-го класса в t-ый год срока действия контракта в расчете на 1 км пробега;

- определенные в соответствии с пунктом 7 настоящего приложения расходы на электроэнергию на движение транспортных средств i-го класса в t-ом году срока действия контракта в расчете на 1 км пробега;

- определенные в соответствии с пунктом 8 настоящего приложения расходы на техническое обслуживание и ремонт транспортных средств i-го класса в t-ый год срока действия контракта в расчете на 1 км пробега;

- определенные в соответствии с пунктом 12 настоящего приложения расходы на содержание контактно-кабельной сети в t-ом году срока действия контракта в расчете на 1 км пробега;

- определенные в соответствии с пунктом 13 настоящего приложения расходы на содержание тяговых подстанций в t-ом году срока действия контракта в расчете на 1 км пробега;

- определенные в соответствии с пунктом 14 настоящего приложения расходы на содержание и ремонт трамвайного пути в t-ом году срока действия контракта в расчете на 1 км пробега;

- определенные в соответствии с пунктом 15 настоящего приложения расходы на содержание службы движения в t-ом году срока действия контракта в расчете на 1 км пробега;

- определенные в соответствии с пунктом 16 настоящего приложения прочие расходы по обычным видам деятельности в сумме с косвенными расходами для автобусов i-го класса в t-ом году срока действия контракта.

2. Расходы на оплату труда водителей транспортных средств i-го класса в t-ый год срока действия контракта в расчете на 1 км пробега () определяются по формуле (2).

, руб./км (2)

12 - количество месяцев в году;

1,2 - коэффициент, учитывающий расходы на оплату основного и дополнительного отпуска водителя, а также расходы на заработную плату подменного водителя на период отпуска основного водителя;

- максимальное из значений средней месячной оплаты труда водителя трамвая i-го класса, определенных в соответствии с пунктом 3 настоящего приложения, в соответствии с Федеральным отраслевым соглашением по автомобильному и городскому наземному пассажирскому транспорту или в соответствии с Отраслевым тарифным соглашением по организациям городского наземного электрического транспорта Российской Федерации, заключенных в рамках реализации статей 45 и 48 Трудового кодекса Российской Федерации <8>;

<8> Собрание законодательства Российской Федерации, 2002, N 1, ст. 3; 2017, N 49, ст. 7331.

- планируемое количество часов работы трамваев i-го класса в t-ом году срока действия контракта, час;

- коэффициент, характеризующий продолжительность подготовительно-заключительного времени, времени прохождения предрейсовых инструктажей и медицинских осмотров водителя (при использовании автоматизированной системы контроля за оплатой проезда принимается равным 1,08, при отсутствии такой системы - 1,05);

- индекс потребительских цен для t-ого года срока действия контракта, принимаемый в соответствии с публикуемыми Минэкономразвития России прогнозами социально-экономического развития Российской Федерации <9>;

<9> Постановление Правительства Российской Федерации от 14 ноября 2015 г. N 1234 "О порядке разработки, корректировки, осуществления мониторинга и контроля реализации прогноза социально-экономического развития Российской Федерации на среднесрочный период и признании утратившими силу некоторых актов Правительства Российской Федерации" (Собрание законодательства Российской Федерации, 2015, N 47, ст. 6598; 2017, N 38, ст. 5627).

- планируемый пробег транспортных средств i-го класса в t-ом году срока действия контракта, км;

- годовой фонд рабочего времени водителя транспортных средств при соблюдении нормальной, 40 часовой, продолжительности рабочего времени в неделю (для водителей, работающих в районах Крайнего Севера, принимается равным 1608 час., для водителей, работающих в местностях, приравненных к районам Крайнего Севера, - 1656 часов, для водителей, работающих в прочих местностях, - 1744 часов).

3. Средняя месячная оплата труда водителя транспортных средств i-го класса определяется по формуле (3).

, руб. (3)

где:

СЗП - среднемесячная номинальная начисленная заработная плата работников крупных и средних предприятий и некоммерческих организаций всех отраслей экономики за ближайший истекший отчетный период (для муниципальных маршрутов в границах поселения, городского округа или двух и более поселений одного муниципального района принимается в соответствии с данными Росстата в отношении указанных административно-территориальных единиц субъекта Российской Федерации, для муниципальных маршрутов в границах субъектов Российской Федерации - городов федерального значения Москвы, Санкт-Петербурга или Севастополя в соответствии с данными Росстата в отношении указанных субъектов Российской Федерации, для межмуниципальных маршрутов в границах субъекта Российской Федерации - в соответствии с данными Росстата в отношении этого субъекта Российской Федерации, для смежных межрегиональных маршрутов в сообщении с субъектами Российской Федерации - городами федерального значения Москвой, Санкт-Петербургом или Севастополем - в соответствии с данными Росстата в отношении этих субъектов Российской Федерации), руб.;

- коэффициент, учитывающий дифференциацию заработной платы водителей в зависимости от класса транспортного средства и вида маршрутов (принимается в соответствии с таблицей 1);

- коэффициент, учитывающий особенности рынка труда в городах с численностью населения свыше миллиона человек (для г. Москвы принимается равным не менее 0,45, для г. Санкт-Петербурга - не менее 0,7, для остальных городов с численностью населения свыше миллиона человек - не менее 0,8);

Таблица 1

Коэффициенты, учитывающие дифференциацию заработных плат работников в зависимости от класса транспортного средства и вида маршрута ()

N п/п Категория работника Муниципальные маршруты в границах городского округа города федерального значения Москвы, Санкт-Петербурга Севастополя Прочие маршруты
по 01.01.2022 с 01.01.2022 по 01.01.2022 с 01.01.2022
1 Водитель трамвая большого класса 0,8 0,9 1,0 1,15
2 Водитель трамвая особо большого класса 0,9 1,05 1,2 1,4
3 Кондуктор 0,6 0,7 0,8 0,95
4 Ремонтный рабочий 0,7 0,8 0,9 1,0

4. Расходы на оплату труда кондукторов транспортных средств i-го класса в t-ом году срока действия контракта в расчете на 1 км пробега определяются по формуле (4).

, руб./км (4)

12 - количество месяцев в году;

1,2 - коэффициент, учитывающий расходы на оплату основного и дополнительного отпуска кондуктора, а также расходы на заработную плату подменного кондуктора на период отпуска основного кондуктора;

- максимальное из значений средней месячной оплаты труда кондуктора транспортного средства i-го класса, определенных в соответствии с пунктом 5 настоящего приложения, в соответствии с Федеральным отраслевым соглашением по автомобильному и городскому наземному пассажирскому транспорту или в соответствии с Отраслевым тарифным соглашением по организациям городского наземного электрического транспорта Российской Федерации, заключенных в рамках реализации статей 45 и 48 Трудового кодекса Российской Федерации;

- планируемое количество часов работы транспортных средств i-го класса с кондукторами в t-ом году срока действия контракта, час;

1,05 - коэффициент, характеризующий продолжительность подготовительно-заключительного времени;

- индекс потребительских цен для t-ого года срока действия контракта, принимаемый в соответствии с публикуемыми Минэкономразвития России прогнозами социально-экономического развития Российской Федерации;

- планируемый пробег транспортных средств i-го класса в t-ом году срока действия контракта, км;

- годовой фонд рабочего времени кондуктора при соблюдении нормальной, 40 часовой, продолжительности рабочего времени в неделю (для кондукторов, работающих в районах Крайнего Севера, принимается равным 1656 час., для кондукторов, работающих в местностях, приравненных к районам Крайнего Севера, - 1704 часов, для водителей, работающих в прочих местностях, - 1792 часов).

5. Средняя месячная оплата труда кондуктора транспортного средства i-го класса определяется по формуле (5).

, руб. (5)

где:

СЗП - среднемесячная номинальная начисленная заработная плата работников крупных и средних предприятий и некоммерческих организаций всех отраслей экономики за ближайший истекший отчетный период (для муниципальных маршрутов в границах поселения, городского округа или двух и более поселений одного муниципального района принимается в соответствии с данными Росстата в отношении указанных административно-территориальных единиц субъекта Российской Федерации, для муниципальных маршрутов в границах субъектов Российской Федерации - городов федерального значения Москвы, Санкт-Петербурга или Севастополя в соответствии с данными Росстата в отношении указанных субъектов Российской Федерации, для межмуниципальных маршрутов в границах субъекта Российской Федерации - в соответствии с данными Росстата в отношении этого субъекта Российской Федерации, для смежных межрегиональных маршрутов в сообщении с субъектами Российской Федерации - городами федерального значения Москвой, Санкт-Петербургом или Севастополем - в соответствии с данными Росстата в отношении этих субъектов Российской Федерации), руб.;

- коэффициент, учитывающий дифференциацию в оплате труда кондукторов в зависимости от вида маршрутов (принимается в соответствии с таблицей 1);

- коэффициент, учитывающий особенности рынка труда в городах с численностью населения свыше миллиона человек (для г. Москвы принимается равным не менее 0,45, для г. Санкт-Петербурга - не менее 0,7, для остальных городов с численностью населения свыше миллиона человек - не менее 0,8).

6. Отчисления на социальные нужды от оплаты труда водителей и кондукторов транспортных средств i-го класса в t-ый год срока действия контракта в расчете на 1 км пробега () определяются по формуле (6).

, руб./км (6)

где

- расходы на оплату труда водителей транспортных средств i-го класса в t-ом году срока действия контракта в расчете на 1 км пробега, руб.;

- расходы на оплату труда кондукторов транспортных средств i-го класса в t-ом году срока действия контракта в расчете на 1 км пробега, руб.;

- суммарный тариф отчислений на социальные нужды и обязательное социальное страхование от несчастных случаев на производстве и профессиональных заболеваний от расходов на оплату труда, определяемый в соответствии с законодательством Российской Федерации, % (если закупка размещается исключительно среди субъектов малого предпринимательства, принимается равным максимальному значению, установленному специальными налоговыми режимами для субъектов малого предпринимательства, в иных случаях принимается равным значению, установленному для общей системы налогообложения).

7. Расходы на электроэнергию на движение транспортных средств i-го класса в t-ом году срока действия контракта () в расчете на 1 км пробега определяются по формуле (4).

руб./км (4)

где:

1,18 - коэффициент, учитывающий потери в тяговых подстанциях, в системе электроснабжения, а также расходы электроэнергии на вспомогательные производственные процессы (прочее производственное потребление);

- потребление электроэнергии на движение транспортных средств i-го класса, КВт.ч/км (для трамваев большого класса принимается равным не менее 2,9, для трамваев особо большого класса - не менее 3,7);

- цена 1 КВт.ч электроэнергии по состоянию на конец года, предшествующего году заключения контракта, руб. (принимается в соответствии с данными территориальных органов Росстата);

- индекс цен на электрическую энергию для t-ого года срока действия контракта (принимаемый в соответствии с публикуемыми Минэкономразвития России прогнозами социально-экономического развития Российской Федерации).

8. Расходы на техническое обслуживание и ремонт транспортных средств i-го класса в t-ый год срока действия контракта в расчете на 1 км пробега () определяются по формуле (5).

, руб./км (5)

где:

- определенные в соответствии с пунктом 9 настоящего приложения расходы на оплату труда ремонтных рабочих с отчислениями на социальные нужды в расчете на 1 км пробега транспортных средств i-го класса в t-ый год срока действия контракта;

- определенные в соответствии с пунктом 11 настоящего приложения расходы на запасные части и материалы, используемые при техническом обслуживании и ремонте транспортных средств i-го класса в t-ый год срока действия контракта в расчете на 1 км пробега.

9. Расходы на оплату труда ремонтных рабочих с отчислениями на социальные нужды в расчете на 1 км пробега транспортных средств i-го класса в t-ый год срока действия контракта () определяются по формуле (6).

, руб./км (6)

где:

0,001 - коэффициент приведения базовой удельной трудоемкости технического обслуживания и ремонта транспортных средств к 1 км пробега;

12 - количество месяцев в году;

1,2 - коэффициент, учитывающий расходы на оплату основного и дополнительного отпуска водителя, а также расходы на заработную плату подменного водителя на период отпуска основного водителя;

- индекс потребительских цен для t-ого года срока действия контракта, принимаемый в соответствии с публикуемыми Минэкономразвития России прогнозами социально-экономического развития Российской Федерации;

ЗПР - определенная в соответствии пунктом 10 настоящего приложения расчетная часовая оплата труда ремонтного рабочего, руб./час;

- базовая удельная трудоемкость технического обслуживания транспортного средства i-го класса, час./1000 км (для трамваев большого класса принимается равным не менее 20,0, для трамваев особо большого класса - не менее 26,0);

- коэффициент корректировки базовой удельной трудоемкости технического обслуживания транспортных средств в зависимости от природно-климатических условий (принимается в соответствии с таблицей 2);

- базовая удельная трудоемкость текущего ремонта транспортных средств i-го класса, час./1000 км (для трамваев большого класса принимается равной не менее 12,0, для трамваев особо большого класса - не менее 13,5);

- коэффициент корректировки базовой трудоемкости текущего ремонта транспортных средств в зависимости от природно-климатических условий (принимается в соответствии с таблицей 2);

- годовой фонд рабочего времени ремонтного рабочего при соблюдении нормальной, 40 часовой, продолжительности рабочего времени в неделю (для ремонтных рабочих, работающих в районах Крайнего Севера, принимается равным 1704 час., для ремонтных рабочих, работающих в местностях, приравненных к районам Крайнего Севера, - 1744 часов, для ремонтных рабочих, работающих в прочих местностях, - 1832 часов).

- суммарный тариф отчислений на социальные нужды и обязательное социальное страхование от несчастных случаев на производстве и профессиональных заболеваний от расходов на оплату труда, определяемый в соответствии с законодательством Российской Федерации, % (если закупка размещается исключительно среди субъектов малого предпринимательства, принимается равным максимальному значению, установленному специальными налоговыми режимами для субъектов малого предпринимательства, в иных случаях принимается равным значению, установленному для общей системы налогообложения).

Таблица 2

Коэффициенты корректировки в зависимости от природно-климатических условий базовых удельных трудоемкостей технического обслуживания и ремонта транспортных средств, а также расходов на запасные части и материалы (, , )

Субъект Российской Федерации
Республика Дагестан, Республика Северная Осетия - Алания, Чеченская Республика, Республика Ингушетия, Республика Крым, Кабардино-Балкарская Республика; Краснодарский и Ставропольский края; Калининградская и Ростовская обл.; г. Севастополь 1,0 0,9 0,9
Республика Башкортостан, Удмуртская Республика; Пермский край; Курганская, Свердловская, Челябинская обл. 0,9 1,1 1,1
Республика Алтай, Республика Бурятия, Республика Карелия, Республика Коми, Республика Тыва, Республика Хакасия; Алтайский, Забайкальский, Камчатский, Красноярский, Приморский и Хабаровский края; Амурская, Архангельская, Иркутская, Кемеровская, Мурманская, Новосибирская, Омская, Сахалинская, Томская, Тюменская и Читинская обл.; Ненецкий автономный округ, Ханты-Мансийский автономный округ, Ямало-Ненецкий автономный округ 0,9 1,2 1,25
Республика Саха (Якутия), Магаданская обл., Чукотский автономный округ 0,8 1,3 1,4
Прочие 1,0 1,0 1,0

10. Расчетная часовая оплата труда ремонтного рабочего (ЗПР) определяется по формуле (7).

, руб. (7)

где:

СЗП - среднемесячная номинальная начисленная заработная плата работников крупных и средних предприятий и некоммерческих организаций всех отраслей экономики за ближайший истекший отчетный период (для муниципальных маршрутов в границах поселения, городского округа или двух и более поселений одного муниципального района принимается в соответствии с данными Росстата в отношении указанных административно-территориальных единиц субъекта Российской Федерации, для муниципальных маршрутов в границах субъектов Российской Федерации - городов федерального значения Москвы, Санкт-Петербурга или Севастополя в соответствии с данными Росстата в отношении указанных субъектов Российской Федерации, для межмуниципальных маршрутов в границах субъекта Российской Федерации - в соответствии с данными Росстата в отношении этого субъекта Российской Федерации, для смежных межрегиональных маршрутов в сообщении с субъектами Российской Федерации - городами федерального значения Москвой, Санкт-Петербургом или Севастополем - в соответствии с данными Росстата в отношении этих субъектов Российской Федерации), руб.;

- коэффициент, учитывающий дифференциацию в оплате труда ремонтных рабочих в зависимости от вида маршрутов (принимается в соответствии с таблицей 1);

- коэффициент, учитывающий особенности рынка труда в городах с численностью населения свыше миллиона человек (для г. Москвы принимается равным не менее 0,45, для г. Санкт-Петербурга - не менее 0,7, для остальных городов с численностью населения свыше миллиона человек - не менее 0,8).

11. Расходы на запасные части и материалы, используемые при техническом обслуживании и ремонте транспортных средств i-го класса в t-ый год срока действия контракта в расчете на 1 км пробега () определяются по формуле (8).

, руб./км, (8)

где:

- базовые удельные расходы на запасные части и материалы для транспортных средств i-го класса в расчете на 1 км пробега, руб./км (для трамваев большого класса принимаются равными не менее 4,4, для трамваев особо большого класса - не менее 5,2);

- коэффициент корректировки базовых удельных расходов на запасные части и материалы в зависимости от природно-климатических условий (принимается в соответствии с таблицей 2);

- коэффициент корректирования удельных расходов на запасные части и материалы, расходуемые при техническом обслуживании и ремонте трамваев в зависимости от организации работы трамваев (принимается для одиночных трамваев - 1,0 для трамваев в сцепе - 1,1);

- индекс цен на машины и оборудование для t-ого года срока действия контракта (для первого года срока действия контракта принимается равным произведению определяемых Росстатом индексов цен производителей машин и оборудования за период с конца 2016 года по период, ближайший к началу срока действия контракта, и прогнозного индекса цен производителей машин и оборудования для каждого года срока действия контракта, определяемого Минэкономразвития России в прогнозе социально-экономического развития Российской Федерации.

12. Расходы на содержание контактно-кабельной сети в t-ом году срока действия контракта в расчете на 1 км пробега транспортных средств () определяются по формуле (9).

, руб./км (9)

где:

143800 - базовые удельные расходы на содержание контактно-кабельной сети, в однопутном исчислении, руб./км;

- общая протяженность контактно-кабельной сети в однопутном исчислении, по предусмотренным контрактом маршрутам, км;

- коэффициент корректировки базовых удельных расходов в зависимости от условий эксплуатации контактно-кабельной сети (принимается в соответствии с таблицей 3);

- коэффициент корректирования базовых удельных расходов в зависимости от природно-климатических условий (принимается в соответствии с таблицей 4);

- индекс цен на машины и оборудование для t-ого года срока действия контракта (для первого года срока действия контракта принимается равным произведению определяемых Росстатом индексов цен производителей машин и оборудования за период с конца 2016 года по период, ближайший к началу срока действия контракта, и прогнозного индекса цен производителей машин и оборудования для каждого года срока действия контракта, определяемого Минэкономразвития России в прогнозе социально-экономического развития Российской Федерации.

- предусмотренный контрактом суммарный планируемый пробег транспортных средств всех классов в t-ом году срока действия контракта, км.

Таблица 3

Коэффициент корректировки базовых удельных расходов на содержание контактно-кабельной сети и трамвайного пути ()

N п/п Условия эксплуатации
В городах с численностью населения до 200 тыс. жителей В городах с численностью населения свыше 200 тыс. жителей
1 Отсутствие уклонов более 3%, средний уклон менее 1%, отсутствие малых кривых (менее 18 м) - 1,0
2 Наличие участков с тяжелыми условиями движения (уклонами более 3%, средний уклон более 1%), наличие малых кривых (менее 18 м) Отсутствие заслонов более 3%, средний уклон менее 1%, отсутствие малых кривых (менее 18 м) 1,05
3 - Наличие участков с тяжелыми условиями движения (уклонами более 3%, средний уклон более 1%), наличие малых кривых (менее 18 м) 1,1

Таблица 4

Коэффициент корректирования базовых удельных расходов в зависимости от природно-климатических условий ()

N п/п Субъект Российской Федерации, особенности территории
1 Республика Алтай, Республика Башкортостан, Республика Бурятия, Республика Карелия, Республика Коми, Республика Тыва, Удмуртская Республика, Республика Хакасия; Алтайский, Забайкальский, Камчатский, Красноярский, Пермский, Приморский, Хабаровский края; Амурская, Архангельская, Иркутская, Кемеровская, Курганская, Мурманская, Новосибирская, Омская, Сахалинская, Свердловская, Томская, Тюменская, Челябинская, Читинская области; Ненецкий, Ханты-Мансийский, Ямало-Ненецкий автономные округа 1,05
2 Прибрежные районы морей с шириной полосы до 5 км 1,05
3 Прочие субъекты Российской Федерации 1,0

13. Расходы на содержание тяговых подстанций в t-ом году срока действия контракта в расчете на 1 км пробега транспортных средств () определяются по формуле (10).

, руб./км (10)

где:

357 - базовые удельные расходы на содержание тяговых подстанций, руб./1 кВт;

- установленная мощность тяговых подстанций для предусмотренных контрактом маршрутов, кВт;

- предусмотренный контрактом суммарный планируемый пробег транспортных средств всех классов в t-ом году срока действия контракта, км;

- индекс цен на машины и оборудование для t-ого года срока действия контракта (для первого года срока действия контракта принимается равным произведению определяемых Росстатом индексов цен производителей машин и оборудования за период с конца 2016 года по период, ближайший к началу срока действия контракта, и прогнозного индекса цен производителей машин и оборудования для каждого года срока действия контракта, определяемого Минэкономразвития России в прогнозе социально-экономического развития Российской Федерации.

14. Расходы на содержание трамвайного пути в t-ом году срока действия контракта в расчете на 1 км пробега () рассчитывают по формуле (11).

, руб./км (11)

где:

554 000 - базовые удельные расходы на содержание и ремонт трамвайного пути, руб./км сети в однопутном исчислении;

- суммарная протяженность трамвайного пути в однопутном исчислении, км; lп принимают с учетом степени детализации проводимого расчета: для одного маршрута, группы маршрутов или всей маршрутной сети;

- коэффициент корректирования базовых удельных расходов в зависимости от условий эксплуатации трамвайного пути;

- коэффициент корректирования базовых удельных расходов в зависимости от природно-климатических условий

- индекс цен на машины и оборудование для t-ого года срока действия контракта (для первого года срока действия контракта принимается равным произведению определяемых Росстатом индексов цен производителей машин и оборудования за период с конца 2016 года по период, ближайший к началу срока действия контракта, и прогнозного индекса цен производителей машин и оборудования для каждого года срока действия контракта, определяемого Минэкономразвития России в прогнозе социально-экономического развития Российской Федерации;

- предусмотренный контрактом суммарный планируемый пробег транспортных средств всех классов в t-ом году срока действия контракта, км.

15. Расходы на содержание службы движения в t-ом году срока действия контракта в расчете на 1 км пробега () определяются по формуле (12).

, руб./км (12)

где:

105900 - базовые удельные расходы на содержание службы движения, руб.;

М - общее максимальное количество транспортных средств, установленное реестром маршрутов в отношении маршрутов, предусмотренных контрактом, ед.;

СЗП - среднемесячная номинальная начисленная заработная плата работников крупных и средних предприятий и некоммерческих организаций всех отраслей экономики муниципального образования по месту осуществления перевозок в год, предшествующий первому году срока действия контракта, руб.;

- индекс потребительских цен для t-ого года срока действия контракта, принимаемый в соответствии с публикуемыми Минэкономразвития России прогнозами социально-экономического развития Российской Федерации;

- среднемесячная номинальная начисленная заработная плата организаций всех отраслей экономики Российской Федерации в год, предшествующий первому году срока действия контракта, руб.;

- предусмотренный контрактом суммарный планируемый пробег транспортных средств всех классов в t-ом году срока действия контракта, км.

Таблица 5

Отношение суммы прочих расходов по обычным видам деятельности и косвенных расходов к переменным расходам ()

N п/п Суммарный годовой пробег трамваев по предусмотренным контрактом маршрутам, тыс. км Значение не менее
1 до 5000 0,73
2 свыше 5000 до 15000 включительно 0,89
3 свыше 15000 до 25000 включительно 1,09
4 свыше 25000 до 35000 включительно 1,30
5 свыше 35000 1,49

16. Расходы по обычным видам деятельности в сумме с косвенными расходами для транспортных средств i-го класса в t-ом году срока действия контракта в расчете на 1 км пробега () определяется по формуле (13).

, руб./км (13)

где:

- отношение суммы прочих расходов по обычным видам деятельности и косвенных расходов к переменным расходам (принимается в соответствии с таблицей 5);

- определенные в соответствии с пунктом 7 настоящего приложения расходы на электроэнергию на движение транспортных средств i-го класса в t-ом году срока действия контракта в расчете на 1 км пробега;

- определенные в соответствии с пунктом 8 настоящего приложения расходы на техническое обслуживание и ремонт транспортных средств i-го класса в t-ый год срока действия контракта в расчете на 1 км пробега.

Приложение N 3
к Порядку определения
начальной (максимальной) цены
контракта, а также цены
контракта, заключаемого
с единственным поставщиком
(подрядчиком, исполнителем),
при осуществлении закупок
в сфере регулярных перевозок
пассажиров и багажа
автомобильным транспортом
и городским наземным
электрическим транспортом

РАСЧЕТ МАКСИМАЛЬНОЙ СЕБЕСТОИМОСТИ 1 КМ ПРОБЕГА ТРОЛЛЕЙБУСОВ

1. Максимальная себестоимость 1 км пробега транспортных средств i-го класса в t-ый год срока действия контракта () определяется по формуле (1).

, руб./км (1)

где:

- определенные в соответствии с пунктом 2 настоящего приложения расходы на оплату труда водителей транспортных средств i-го класса в t-ый год срока действия контракта в расчете на 1 км пробега;

- определенные в соответствии с пунктом 4 настоящего приложения расходы на оплату труда кондукторов транспортных средств в t-ый год срока действия контракта в расчете на 1 км пробега;

- определенные в соответствии с пунктом 6 настоящего приложения отчисления на социальные нужды от оплаты труда водителей и кондукторов транспортных средств i-го класса в t-ый год срока действия контракта в расчете на 1 км пробега;

- определенные в соответствии с пунктом 7 настоящего приложения расходы на электроэнергию на движение транспортных средств i-го класса в t-ом году срока действия контракта в расчете на 1 км пробега;

- определенные в соответствии с пунктом 8 настоящего приложения расходы на износ и ремонт шин транспортных средств i-го класса в t-ом году срока действия контракта в расчете на 1 км пробега;

- определенные в соответствии с пунктом 9 настоящего приложения расходы на техническое обслуживание и ремонт транспортных средств i-го класса в t-ом году срока действия контракта в расчете на 1 км пробега;

- определенные в соответствии с пунктом 13 настоящего приложения расходы на содержание контактно-кабельной сети троллейбуса в t-ом году срока действия контракта в расчете на 1 км пробега транспортных средств;

- определенные в соответствии с пунктом 14 настоящего приложения расходы на содержание тяговых подстанций в t-ом году срока действия контракта в расчете на 1 км пробега транспортных средств;

- определенные в соответствии с пунктом 15 настоящего приложения расходы на содержание службы движения в t-ом году срока действия контракта в расчете на 1 км пробега транспортных средств;

- определенные в соответствии с пунктом 16 настоящего приложения прочие расходы по обычным видам деятельности в сумме с косвенными расходами для транспортного средства i-го класса в t-ом году срока действия контракта в расчете на 1 км пробега.

2. Расходы на оплату труда водителей транспортных средств i-го класса в t-ый год срока действия контракта в расчете на 1 км пробега () определяются по формуле (2).

, руб./км (2)

12 - количество месяцев в году;

1,2 - коэффициент, учитывающий расходы на оплату основного и дополнительного отпуска водителя, а также расходы на заработную плату подменного водителя на период отпуска основного водителя;

- максимальное из значений средней месячной оплата труды водителя трамвая i-го класса, определенных в соответствии с пунктом 3 настоящего приложения, в соответствии с Федеральным отраслевым соглашением по автомобильному и городскому наземному пассажирскому транспорту или в соответствии с Отраслевым тарифным соглашением по организациям городского наземного электрического транспорта Российской Федерации, заключенных в рамках реализации статей 45 и 48 Трудового кодекса Российской Федерации <10>;

<10> Собрание законодательства Российской Федерации, 2002, N 1, ст. 3; 2017, N 49, ст. 7331.

- планируемое количество часов работы транспортных средств i-го класса в t-ом году срока действия контракта, час;

- коэффициент, характеризующий продолжительность подготовительно-заключительного времени, времени прохождения предрейсовых инструктажей и медицинских осмотров водителя (при использовании автоматизированной системы контроля за оплатой проезда принимается равным 1,08, при отсутствии такой системы - 1,05);

- индекс потребительских цен для t-ого года срока действия контракта, принимаемый в соответствии с публикуемыми Минэкономразвития России прогнозами социально-экономического развития Российской Федерации <11>;

<11> Постановление Правительства Российской Федерации от 14 ноября 2015 г. N 1234 "О порядке разработки, корректировки, осуществления мониторинга и контроля реализации прогноза социально-экономического развития Российской Федерации на среднесрочный период и признании утратившими силу некоторых актов Правительства Российской Федерации" (Собрание законодательства Российской Федерации, 2015, N 47, ст. 6598; 2017, N 38, ст. 5627).

- планируемый пробег транспортных средств i-го класса в t-ом году срока действия контракта, км;

- годовой фонд рабочего времени водителя транспортного средства при соблюдении нормальной, 40 часовой, продолжительности рабочего времени в неделю (для водителей, работающих в районах Крайнего Севера, принимается равным 1608 час., для водителей, работающих в местностях, приравненных к районам Крайнего Севера, - 1656 часов, для водителей, работающих в прочих местностях, - 1744 часов).

3. Средняя месячная оплата труда водителя транспортного средства i-го класса определяется по формуле (3).

, руб. (3)

где:

СЗП - среднемесячная номинальная начисленная заработная плата работников крупных и средних предприятий и некоммерческих организаций всех отраслей экономики за ближайший истекший отчетный период (для муниципальных маршрутов в границах поселения, городского округа или двух и более поселений одного муниципального района принимается в соответствии с данными Росстата в отношении указанных административно-территориальных единиц субъекта Российской Федерации, для муниципальных маршрутов в границах субъектов Российской Федерации - городов федерального значения Москвы, Санкт-Петербурга или Севастополя в соответствии с данными Росстата в отношении указанных субъектов Российской Федерации, для межмуниципальных маршрутов в границах субъекта Российской Федерации - в соответствии с данными Росстата в отношении этого субъекта Российской Федерации, для смежных межрегиональных маршрутов в сообщении с субъектами Российской Федерации - городами федерального значения Москвой, Санкт-Петербургом или Севастополем - в соответствии с данными Росстата в отношении этих субъектов Российской Федерации), руб.;

- коэффициент, учитывающий дифференциацию заработной платы водителей в зависимости от класса транспортного средства и вида маршрута (принимается в соответствии с таблицей 1);

- коэффициент, учитывающий особенности рынка труда в городах с численностью населения свыше миллиона человек (для г. Москвы принимается равным не менее 0,45, для г. Санкт-Петербурга - не менее 0,7, для остальных городов с численностью населения свыше миллиона человек - не менее 0,8).

Таблица 1

Коэффициенты, учитывающие дифференциацию заработных плат работников в зависимости от класса транспортного средства и вида маршрута ()

N п/п Категория работника Муниципальные маршруты в границах городского округа города федерального значения Москвы, Санкт-Петербурга Севастополя Прочие маршруты
по 01.01.2022 с 01.01.2022 по 01.01.2022 с 01.01.2022
1 Водитель троллейбуса большого класса 0,9 1,05 1,2 1,4
2 Водитель троллейбуса особо большого класса 1,15 1,35 1,5 1,75
3 Кондуктор 0,6 0,7 0,8 0,95
4 Ремонтный рабочий 0,7 0,8 0,9 1,0

4. Расходы на оплату труда кондукторов транспортных средств i-го класса в t-ом году срока действия контракта в расчете на 1 км пробега определяются по формуле (4).

, руб./км (4)

12 - количество месяцев в году;

1,2 - коэффициент, учитывающий расходы на оплату основного и дополнительного отпуска кондуктора, а также расходы на заработную плату подменного кондуктора на период отпуска основного кондуктора;

- максимальное из значений средней месячной оплаты труда кондуктора транспортного средства, определенных в соответствии с пунктом 5 настоящего Приложения, в соответствии с Федеральным отраслевым соглашением по автомобильному и городскому наземному пассажирскому транспорту или в соответствии с Отраслевым тарифным соглашением по организациям городского наземного электрического транспорта Российской Федерации;

- планируемое количество часов работы транспортных средств i-го класса с кондукторами в t-ом году срока действия контракта, час;

1,05 - коэффициент, характеризующий продолжительность подготовительно-заключительного времени;

- индекс потребительских цен для t-ого года срока действия контракта, принимаемый в соответствии с публикуемыми Минэкономразвития России прогнозами социально-экономического развития Российской Федерации;

- планируемый пробег транспортных средств i-го класса в t-ом году срока действия контракта, км;

- годовой фонд рабочего времени кондуктора при соблюдении нормальной, 40 часовой, продолжительности рабочего времени в неделю (для кондукторов, работающих в районах Крайнего Севера, принимается равным 1656 час., для кондукторов, работающих в местностях, приравненных к районам Крайнего Севера, - 1704 часов, для кондукторов, работающих в прочих местностях, - 1792 часов).

5. Средняя месячная оплата труда кондуктора транспортного средства i-го класса определяется по формуле (5).

, руб. (5)

где:

СЗП - среднемесячная номинальная начисленная заработная плата работников крупных и средних предприятий и некоммерческих организаций всех отраслей экономики за ближайший истекший отчетный период (для муниципальных маршрутов в границах поселения, городского округа или двух и более поселений одного муниципального района принимается в соответствии с данными Росстата в отношении указанных административно-территориальных единиц субъекта Российской Федерации, для муниципальных маршрутов в границах субъектов Российской Федерации - городов федерального значения Москвы, Санкт-Петербурга или Севастополя в соответствии с данными Росстата в отношении указанных субъектов Российской Федерации, для межмуниципальных маршрутов в границах субъекта Российской Федерации - в соответствии с данными Росстата в отношении этого субъекта Российской Федерации, для смежных межрегиональных маршрутов в сообщении с субъектами Российской Федерации - городами федерального значения Москвой, Санкт-Петербургом или Севастополем - в соответствии с данными Росстата в отношении этих субъектов Российской Федерации), руб.;

- коэффициент, учитывающий дифференциацию в оплате труда кондукторов в зависимости от вида маршрутов (принимается в соответствии с таблицей 1);

- коэффициент, учитывающий особенности рынка труда в городах с численностью населения свыше миллиона человек (для г. Москвы принимается равным не менее 0,45, для г. Санкт-Петербурга - не менее 0,7, для остальных городов с численностью населения свыше миллиона человек - не менее 0,8).

6. Отчисления на социальные нужды от оплаты труда водителей и кондукторов транспортных средств i-го класса в t-ый год срока действия контракта в расчете на 1 км пробега () определяются по формуле (6).

, руб./км (6)

где

- расходы на оплату труда водителей транспортных средств i-го класса в t-ом году срока действия контракта в расчете на 1 км пробега, руб.;

- расходы на оплату труда кондукторов транспортных средств i-го класса в t-ом году срока действия контракта в расчете на 1 км пробега, руб.;

- суммарный тариф отчислений на социальные нужды и обязательное социальное страхование от несчастных случаев на производстве и профессиональных заболеваний от расходов на оплату труда, определяемый в соответствии с законодательством Российской Федерации, % (если закупка размещается исключительно среди субъектов малого предпринимательства, принимается равным максимальному значению, установленному специальными налоговыми режимами для субъектов малого предпринимательства, в иных случаях принимается равным значению, установленному для общей системы налогообложения).

7. Расходы на электроэнергию на движение транспортных средств i-го класса в t-ом году срока действия контракта () в расчете на 1 км пробега определяются по формуле (4).

, руб./км (4)

где:

1,18 - коэффициент, учитывающий потери в тяговых подстанциях, в системе электроснабжения, а также расходы электроэнергии на вспомогательные производственные процессы (прочее производственное потребление);

- потребление электроэнергии на движение транспортных средств i-го класса, КВт.ч/км (для троллейбусов большого класса принимается равным не менее 1,7, для троллейбусов особо большого класса - не менее 2,6);

- цена 1 КВт.ч электроэнергии по состоянию на конец года, предшествующего году заключения контракта, руб. (принимается в соответствии с данными территориальных органов Росстата);

- индекс цен на электрическую энергию для t-ого года срока действия контракта (принимаемый в соответствии с публикуемыми Минэкономразвития России прогнозами социально-экономического развития Российской Федерации).

8. Расходы на износ и ремонт шин транспортных средств i-го класса в t-ый год срока действия контракта в расчете на 1 км пробега () определяются по формуле (5).

, руб./км (5)

где:

- базовые удельные расходы на шины i-го класса в расчете на 1 км пробега транспортных средств i-го класса, руб./км (для троллейбусов большого класса принимается равным не менее 0,72 для троллейбусов особо большого класса - не менее 0,9).

- индекс цен на машины и оборудование для t-ого года срока действия контракта (для первого года срока действия контракта принимается равным произведению определяемых Росстатом индексов цен производителей машин и оборудования за период с конца 2016 года по период, ближайший к началу срока действия контракта, и прогнозного индекса цен производителей машин и оборудования для каждого года срока действия контракта, определяемого Минэкономразвития России в прогнозе социально-экономического развития Российской Федерации.

9. Расходы на техническое обслуживание и ремонт транспортных средств i-го класса в t-ый год срока действия контракта в расчете на 1 км пробега () определяются по формуле (6).

, руб./км (6)

где:

- определенные в соответствии с пунктом 10 настоящего приложения расходы на оплату труда ремонтных рабочих с отчислениями на социальные нужды в расчете на 1 км пробега транспортных средств i-го класса в t-ый год срока действия контракта;

- определенные в соответствии с пунктом 12 настоящего приложения расходы на запасные части и материалы, используемые при техническом обслуживании и ремонте транспортных средств i-го класса в t-ый год срока действия контракта в расчете на 1 км пробега.

10. Расходы на оплату труда ремонтных рабочих с отчислениями на социальные нужды в расчете на 1 км пробега транспортных средств i-го класса в t-ый год срока действия контракта () определяются по формуле (7).

, руб./км (7)

где:

0,001 - коэффициент приведения базовой удельной трудоемкости технического обслуживания и ремонта транспортных средств к 1 км пробега;

12 - количество месяцев в году;

1,2 - коэффициент, учитывающий расходы на оплату основного и дополнительного отпуска водителя, а также расходы на заработную плату подменного водителя на период отпуска основного водителя;

- индекс потребительских цен для t-ого года срока действия контракта, принимаемый в соответствии с публикуемыми Минэкономразвития России прогнозами социально-экономического развития Российской Федерации;

ЗПР - определенная в соответствии пунктом 10 настоящего приложения расчетная часовая оплата труда ремонтного рабочего, руб./час;

- базовая удельная трудоемкость технического обслуживания транспортного средства i-го класса, час./1000 км (для троллейбусов большого класса принимается равным не менее 25,0, для троллейбусов особо большого класса - не менее 30,0);

- коэффициент корректировки базовой удельной трудоемкости технического обслуживания транспортных средств в зависимости от природно- климатических условий (принимается в соответствии с таблицей 2);

- базовая удельная трудоемкость текущего ремонта транспортных средств i-го класса, час./1000 км (для троллейбусов большого класса принимается равной не менее 8,0, для троллейбусов особо большого класса - не менее 9,0);

- коэффициент корректировки базовой трудоемкости текущего ремонта транспортных средств в зависимости от природно-климатических условий (принимается в соответствии с таблицей 2);

- годовой фонд рабочего времени ремонтного рабочего при соблюдении нормальной, 40 часовой, продолжительности рабочего времени неделю (для ремонтных рабочих, работающих в районах Крайнего Севера, принимается равным 1704 час., для ремонтных рабочих, работающих в местностях, приравненных к районам Крайнего Севера, - 1744 часов, для ремонтных рабочих, работающих в прочих местностях, - 1832 часов);

- суммарный тариф отчислений на социальные нужды и обязательное социальное страхование от несчастных случаев на производстве и профессиональных заболеваний от расходов на оплату труда, определяемый в соответствии с законодательством Российской Федерации, % (если закупка размещается исключительно среди субъектов малого предпринимательства, принимается равным максимальному значению, установленному специальными налоговыми режимами для субъектов малого предпринимательства, в иных случаях принимается равным значению, установленному для общей системы налогообложения).

Таблица 2

Коэффициенты корректировки в зависимости от природно-климатических условий базовых удельных трудоемкостей технического обслуживания и ремонта транспортных средств, а также расходов на запасные части и материалы (, , )

Субъект Российской Федерации
Республика Дагестан, Республика Северная Осетия - Алания, Чеченская Республика, Республика Ингушетия, Республика Крым, Кабардино-Балкарская Республика; Краснодарский и Ставропольский края; Калининградская и Ростовская обл.; г. Севастополь 1,0 0,9 0,9
Республика Башкортостан, Удмуртская Республика; Пермский край; Курганская, Свердловская, Челябинская обл. 0,9 1,1 1,1
Республика Алтай, Республика Бурятия, Республика Карелия, Республика Коми, Республика Тыва, Республика Хакасия; Алтайский, Забайкальский, Камчатский, Красноярский, Приморский и Хабаровский края; Амурская, Архангельская, Иркутская, Кемеровская, Мурманская, Новосибирская, Омская, Сахалинская, Томская, Тюменская и Читинская обл.; Ненецкий автономный округ, Ханты-Мансийский автономный округ, Ямало-Ненецкий автономный округ 0,9 1,2 1,25
Республика Саха (Якутия), Магаданская обл., Чукотский автономный округ 0,8 1,3 1,4
Прочие 1,0 1,0 1,0

11. Расчетная часовая оплата труда ремонтного рабочего (ЗПР) определяется по формуле (8).

, руб. (8)

где:

СЗП - среднемесячная номинальная начисленная заработная плата работников крупных и средних предприятий и некоммерческих организаций всех отраслей экономики за ближайший истекший отчетный период (для муниципальных маршрутов в границах поселения, городского округа или двух и более поселений одного муниципального района принимается в соответствии с данными Росстата в отношении указанных административно-территориальных единиц субъекта Российской Федерации, для муниципальных маршрутов в границах субъектов Российской Федерации - городов федерального значения Москвы, Санкт-Петербурга или Севастополя в соответствии с данными Росстата в отношении указанных субъектов Российской Федерации, для межмуниципальных маршрутов в границах субъекта Российской Федерации - в соответствии с данными Росстата в отношении этого субъекта Российской Федерации, для смежных межрегиональных маршрутов в сообщении с субъектами Российской Федерации - городами федерального значения Москвой, Санкт-Петербургом или Севастополем - в соответствии с данными Росстата в отношении этих субъектов Российской Федерации), руб.;

- коэффициент, учитывающий дифференциацию в оплате труда ремонтных рабочих в зависимости от вида маршрута (принимается в соответствии с таблицей 1);

- коэффициент, учитывающий особенности рынка труда в городах с численностью населения свыше миллиона человек (для г. Москвы принимается равным не менее 0,45, для г. Санкт-Петербурга - не менее 0,7, для остальных городов с численностью населения свыше миллиона человек - не менее 0,8).

12. Расходы на запасные части и материалы, используемые при техническом обслуживании и ремонте транспортных средств i-го класса в t-ый год срока действия контракта в расчете на 1 км пробега () определяются по формуле (9).

, руб./км (9)

где:

- базовые удельные расходы на запасные части и материалы для транспортных средств i-го класса в расчете на 1 км пробега, руб./км (для троллейбусов большого класса принимаются равными не менее 3,3, для троллейбусов особо большого класса - не менее 3,6);

- коэффициент корректировки базовых удельных расходов на запасные части и материалы в зависимости от природно-климатических условий (принимается в соответствии с таблицей 2);

- индекс цен на машины и оборудование для t-ого года срока действия контракта (для первого года срока действия контракта принимается равным произведению определяемых Росстатом индексов цен производителей машин и оборудования за период с конца 2016 года по период, ближайший к началу срока действия контракта, и прогнозного индекса цен производителей машин и оборудования для каждого года срока действия контракта, определяемого Минэкономразвития России в прогнозе социально-экономического развития Российской Федерации.

13. Расходы на содержание контактно-кабельной сети в t-ом году срока действия контракта в расчете на 1 км пробега транспортных средств () определяются по формуле (10).

, руб./км (10)

где:

164600 - базовые удельные расходы на содержание контактно-кабельной сети, в однопутном исчислении, руб./км;

- общая протяженность контактно-кабельной сети в однопутном исчислении, по предусмотренным контрактом маршрутам, км;

- коэффициент корректировки базовых удельных расходов в зависимости от условий эксплуатации контактно-кабельной сети (принимается в соответствии с таблицей 3;

- коэффициент корректирования базовых удельных расходов в зависимости от природно-климатических условий (принимается в соответствии с таблицей 4);

- индекс цен на машины и оборудование для t-ого года срока действия контракта (для первого года срока действия контракта принимается равным произведению определяемых Росстатом индексов цен производителей машин и оборудования за период с конца 2016 года по период, ближайший к началу срока действия контракта, и прогнозного индекса цен производителей машин и оборудования для каждого года срока действия контракта, определяемого Минэкономразвития России в прогнозе социально-экономического развития Российской Федерации;

- предусмотренный контрактом суммарный планируемый пробег транспортных средств всех классов в t-ом году срока действия контракта, км.

Таблица 3

Коэффициент корректировки базовых удельных расходов на содержание контактно-кабельной сети ()

N п/п Условия эксплуатации
В городах с численностью населения до 200 тыс. жителей В городах с численностью населения свыше 200 тыс. жителей
1 Отсутствие уклонов более 3%, средний уклон менее 1%, отсутствие малых радиусов поворота (менее 14 м) - 1,0
2 Наличие участков с тяжелыми условиями движения (уклонами более 3%, средний уклон более 1%), наличие малых радиусов поворота (менее 14 м) Отсутствие уклонов более 3%, средний уклон менее 1%, отсутствие малых радиусов поворота (менее 14 м) 1,05
3 - Наличие участков с тяжелыми условиями движения (уклонами более 3%, средний уклон более 1%), наличие малых радиусов поворота (менее 14 м) 1,1

14. Расходы на содержание тяговых подстанций в t-ом году срока действия контракта в расчете на 1 км пробега транспортных средств () определяются по формуле (11).

, руб./км (11)

где:

357 - базовые удельные расходы на содержание тяговых подстанций, руб./1 кВт;

- установленная мощность тяговых подстанций для предусмотренных контрактом маршрутов, кВт;

- предусмотренный контрактом суммарный планируемый пробег транспортных средств всех классов в t-ом году срока действия контракта, км;

- индекс цен на машины и оборудование для t-ого года срока действия контракта (для первого года срока действия контракта принимается равным произведению определяемых Росстатом индексов цен производителей машин и оборудования за период с конца 2016 года по период, ближайший к началу срока действия контракта, и прогнозного индекса цен производителей машин и оборудования для каждого года срока действия контракта, определяемого Минэкономразвития России в прогнозе социально-экономического развития Российской Федерации.

Таблица 4

Коэффициент корректирования базовых удельных расходов в зависимости от природно-климатических условий ()

N п/п Субъект Российской Федерации, особенности территории
1 Республика Алтай, Республика Башкортостан, Республика Бурятия, Республика Карелия, Республика Коми, Республика Тыва, Удмуртская Республика, Республика Хакасия; Алтайский, Забайкальский, Камчатский, Красноярский, Пермский, Приморский, Хабаровский края; Амурская, Архангельская, Иркутская, Кемеровская, Курганская, Мурманская, Новосибирская, Омская, Сахалинская, Свердловская, Томская, Тюменская, Челябинская, Читинская области; Ненецкий, Ханты-Мансийский, Ямало-Ненецкий автономные округа 1,05
2 Прибрежные районы морей с шириной полосы до 5 км 1,05
3 Прочие субъекты Российской Федерации 1,0

15. Расходы на содержание службы движения в t-ом году срока действия контракта в расчете на 1 км пробега () определяются по формуле (12).

, руб./км (12)

где:

105900 - базовые удельные расходы на содержание службы движения, руб.;

М - общее максимальное количество транспортных средств, установленное реестром маршрутов в отношении маршрутов, предусмотренных контрактом, ед.;

СЗП - среднемесячная номинальная начисленная заработная плата работников крупных и средних предприятий и некоммерческих организаций всех отраслей экономики муниципального образования по месту осуществления перевозок в год, предшествующий первому году срока действия контракта, руб.;

- индекс потребительских цен для t-ого года срока действия контракта, принимаемый в соответствии с публикуемыми Минэкономразвития России прогнозами социально-экономического развития Российской Федерации;

- среднемесячная номинальная начисленная заработная плата организаций всех отраслей экономики Российской Федерации в год, предшествующий первому году срока действия контракта, руб.;

- предусмотренный контрактом суммарный планируемый пробег транспортных средств всех классов в t-ом году срока действия контракта, км.

Таблица 5

Отношение суммы прочих расходов по обычным видам деятельности и косвенных расходов к переменным расходам ()

N п/п Суммарный годовой пробег троллейбусов по предусмотренным контрактом маршрутам, тыс. км Значение не менее
1 до 20000 1,55
2 свыше 20000 до 40000 включительно 1,44
3 свыше 40000 до 60000 включительно 1,66
4 свыше 60000 1,89

16. Расходы по обычным видам деятельности в сумме с косвенными расходами для транспортных средств i-го класса в t-ом году срока действия контракта в расчете на 1 км пробега () определяется по формуле (13).

, руб./км (13)

где:

- отношение суммы прочих расходов по обычным видам деятельности и косвенных расходов к переменным расходам (принимается в соответствии с таблицей 5);

- определенные в соответствии с пунктом 7 настоящего приложения расходы на электроэнергию на движение транспортных средств i-го класса в t-ом году срока действия контракта в расчете на 1 км пробега;

- определенные в соответствии с пунктом 8 настоящего приложения расходы на износ и ремонт шин транспортных средств i-го класса в t-ый год срока действия контракта в расчете на 1 км пробега;

- определенные в соответствии с пунктом 9 настоящего приложения расходы на техническое обслуживание и ремонт транспортных средств i-го класса в t-ый год срока действия контракта в расчете на 1 км пробега.