Приказ Минюста РФ от 29.12.2017 N 298

"Об утверждении Административного регламента предоставления государственной услуги по государственной регистрации актов гражданского состояния органами, осуществляющими государственную регистрацию актов гражданского состояния на территории Российской Федерации"
Редакция от 29.12.2017 — Документ утратил силу, см. «Приказ Минюста РФ от 28.12.2018 N 307»

Зарегистрировано в Минюсте России 31 января 2018 г. N 49835


МИНИСТЕРСТВО ЮСТИЦИИ РОССИЙСКИЙ ФЕДЕРАЦИИ

ПРИКАЗ
от 29 декабря 2017 г. N 298

ОБ УТВЕРЖДЕНИИ АДМИНИСТРАТИВНОГО РЕГЛАМЕНТА ПРЕДОСТАВЛЕНИЯ ГОСУДАРСТВЕННОЙ УСЛУГИ ПО ГОСУДАРСТВЕННОЙ РЕГИСТРАЦИИ АКТОВ ГРАЖДАНСКОГО СОСТОЯНИЯ ОРГАНАМИ, ОСУЩЕСТВЛЯЮЩИМИ ГОСУДАРСТВЕННУЮ РЕГИСТРАЦИЮ АКТОВ ГРАЖДАНСКОГО СОСТОЯНИЯ НА ТЕРРИТОРИИ РОССИЙСКОЙ ФЕДЕРАЦИИ

В соответствии с пунктом 2.1 статьи 4 Федерального закона от 15 ноября 1997 г. N 143-ФЗ "Об актах гражданского состояния" (Собрание законодательства Российской Федерации, 1997, N 47, ст. 5340; 2001, N 44, ст. 4149; 2002, N 18, ст. 1724; 2003, N 17, ст. 1553, N 28, ст. 2889, N 50, ст. 4855; 2004, N 35, ст. 3607; 2005, N 1 (ч. 1), ст. 25; 2006, N 1, ст. 10, N 31 (ч. 1), ст. 3420; 2008, N 30 (ч. 2), ст. 3616; 2009, N 29, ст. 3606, N 51, ст. 6154, N 52 (ч. 1), ст. 6441; 2010, N 15, ст. 1748, N 31, ст. 4210; 2011, N 27, ст. 3880, N 49 (ч. 5), ст. 7056, N 50, ст. 7342; 2012, N 24, ст. 3068, N 31, ст. 4322, N 47, ст. 6394; 2013, N 19, ст. 2326, ст. 2331, N 30 (ч. 1), ст. 4075, N 48, ст. 6165; 2014, N 14, ст. 1544, N 19, ст. 2322, N 26 (ч. 1), ст. 3371; 2015, N 1 (ч. 1), ст. 70, N 48 (ч. 1), ст. 6724; 2016, N 14, ст. 1909, N 26 (ч. 1), ст. 3888, N 27 (ч. 2), ст. 4294; 2017, N 18, ст. 2671, N 25, ст. 3596), Федеральным законом от 27 июля 2010 г. N 210-ФЗ "Об организации предоставления государственных и муниципальных услуг" (Собрание законодательства Российской Федерации, 2010, N 31, ст. 4179; 2011, N 15, ст. 2038, N 27, ст. 3873, ст. 3880, N 29, ст. 4291, N 30, ст. 4587, N 49, ст. 7061; 2012, N 31, ст. 4322; 2013, N 14, ст. 1651, N 27, ст. 3477, ст. 3480, N 30, ст. 4084, N 51, ст. 6679, N 52, ст. 6952, ст. 6961, ст. 7009; 2014, N 26, ст. 3366, N 30, ст. 4264, N 49, ст. 6928; 2015, N 1, ст. 67, ст. 72, N 10, ст. 1393, N 29, ст. 4342, ст. 4376; 2016, N 7, ст. 916, N 27, ст. 4293, ст. 4294; 2017, N 1, ст. 12), Положением о Министерстве юстиции Российской Федерации, утвержденным Указом Президента Российской Федерации от 13 октября 2004 г. N 1313 "Вопросы Министерства юстиции Российской Федерации" (Собрание законодательства Российской Федерации, 2004, N 42, ст. 4108; 2005, N 44, ст. 4535, N 52 (ч. 3), ст. 5690; 2006, N 12, ст. 1284, N 19, ст. 2070, N 23, ст. 2452, N 38, ст. 3975, N 39, ст. 4039; 2007, N 13, ст. 1530, N 20, ст. 2390; 2008, N 10 (ч. 2), ст. 909, N 29 (ч. 1), ст. 3473, N 43, ст. 4921; 2010, N 4, ст. 368, N 19, ст. 2300; 2011, N 21, ст. 2927, ст. 2930, N 29, ст. 4420; 2012, N 8, ст. 990, N 18, ст. 2166, N 22, ст. 2759, N 38, ст. 5070, N 47, ст. 6459, N 53 (ч. 2), ст. 7866; 2013, N 26, ст. 3314, N 49 (ч. 7), ст. 6396, N 52 (ч. 2), ст. 7137; 2014, N 26 (ч. 2), ст. 3515, N 50, ст. 7054; 2015, N 14, ст. 2108, N 19, ст. 2806, N 37, ст. 5130; 2016, N 1 (ч. 2), ст. 207, ст. 211, N 19, ст. 2672, N 51, ст. 7357; 2017, N 16, ст. 2397, N 17, ст. 2549, N 49, ст. 7444), а также постановлением Правительства Российской Федерации от 16 мая 2011 г. N 373 "О разработке и утверждении административных регламентов исполнения государственных функций и административных регламентов предоставления государственных услуг" (Собрание законодательства Российской Федерации, 2011, N 22, ст. 3169, N 35, ст. 5092; 2012, N 28, ст. 3908, N 36, ст. 4903, N 50, ст. 7070, N 52, ст. 7507; 2014, N 5, ст. 506; 2017, N 44, ст. 6523) приказываю:

1. Утвердить прилагаемый Административный регламент предоставления государственной услуги по государственной регистрации актов гражданского состояния органами, осуществляющими государственную регистрацию актов гражданского состояния на территории Российской Федерации.

2. Признать утратившими силу приказы Минюста России:

от 29 ноября 2011 г. N 412 "Об утверждении Административного регламента предоставления государственной услуги по государственной регистрации актов гражданского состояния органами, осуществляющими государственную регистрацию актов гражданского состояния на территории Российской Федерации" (зарегистрирован Минюстом России 13 декабря 2011 г., регистрационный N 22554);

от 20 августа 2015 г. N 204 "О внесении изменения в Административный регламент предоставления государственной услуги по государственной регистрации актов гражданского состояния органами, осуществляющими государственную регистрацию актов гражданского состояния на территории Российской Федерации, утвержденный приказом Министерства юстиции Российской Федерации от 29.11.2011 N 412" (зарегистрирован Минюстом России 9 сентября 2015 г., регистрационный N 38834).

3. Настоящий приказ вступает в силу с 1 января 2018 г.

Министр
А.В. КОНОВАЛОВ

УТВЕРЖДЕН
приказом Министерства юстиции
Российской Федерации
от 29.12.2017 N 298

АДМИНИСТРАТИВНЫЙ РЕГЛАМЕНТ ПРЕДОСТАВЛЕНИЯ ГОСУДАРСТВЕННОЙ УСЛУГИ ПО ГОСУДАРСТВЕННОЙ РЕГИСТРАЦИИ АКТОВ ГРАЖДАНСКОГО СОСТОЯНИЯ ОРГАНАМИ, ОСУЩЕСТВЛЯЮЩИМИ ГОСУДАРСТВЕННУЮ РЕГИСТРАЦИЮ АКТОВ ГРАЖДАНСКОГО СОСТОЯНИЯ НА ТЕРРИТОРИИ РОССИЙСКОЙ ФЕДЕРАЦИИ

I. Общие положения

Предмет регулирования административного регламента

1. Административный регламент предоставления государственной услуги по государственной регистрации актов гражданского состояния органами, осуществляющими государственную регистрацию актов гражданского состояния на территории Российской Федерации (далее - Административный регламент, государственная услуга, органы ЗАГС соответственно), устанавливает стандарт, сроки и последовательность административных процедур (действий) при предоставлении государственной услуги.

Круг заявителей

2. Заявителями являются:

1) граждане Российской Федерации;

2) иностранные граждане;

3) лица без гражданства;

4) а также:

при государственной регистрации рождения:

должностное лицо медицинской организации или иной организации, в которой находилась мать во время родов или находится ребенок;

орган внутренних дел, орган опеки и попечительства либо медицинская организация, воспитательная организация или организация социального обслуживания, в которую помещен найденный (подкинутый) ребенок, родители которого неизвестны;

руководитель медицинской организации, в которой происходили роды или врач которой установил факт рождения мертвого ребенка;

индивидуальный предприниматель, осуществляющий медицинскую деятельность, установивший факт рождения мертвого ребенка (при родах вне медицинской организации);

медицинская организация, в которой происходили роды или в которую обратилась мать после родов, либо орган опеки и попечительства по месту нахождения ребенка - в случае государственной регистрации рождения ребенка, оставленного матерью, не предъявившей документа, удостоверяющего ее личность;

при государственной регистрации смерти:

руководитель медицинской организации, в которой происходили роды или в которой ребенок умер, либо врач которой установил факт смерти ребенка, умершего на первой неделе жизни;

индивидуальный предприниматель, осуществляющий медицинскую деятельность, установивший факт смерти ребенка, умершего на первой неделе жизни (при родах вне медицинской организации);

должностное лицо медицинской организации или организации социального обслуживания в случае, если смерть наступила в период пребывания лица в данной организации;

должностное лицо учреждения, исполняющего наказание, в случае, если смерть осужденного наступила в период отбывания им наказания в местах лишения свободы;

должностное лицо органа дознания или следствия в случае, если проводится расследование в связи со смертью лица либо по факту смерти, когда личность умершего не установлена;

командир воинской части в случае, если смерть наступила в период прохождения лицом военной службы;

при выдаче повторных свидетельств о государственной регистрации актов гражданского состояния:

органы управления образованием, опеки и попечительства, комиссии по делам несовершеннолетних и защите их прав;

иные органы и организации в случаях, предусмотренных федеральным законодательством;

при внесении изменений в записи актов гражданского состояния, составленные в отношении детей, оставшихся без попечения родителей, и их родителей (в случае смерти родителей):

органы управления образованием, опеки и попечительства, комиссии по делам несовершеннолетних и защите их прав;

при внесении изменений в запись акта о смерти неизвестного лица - должностное лицо органа дознания или следствия.

Требования к порядку информирования о предоставлении государственной услуги

3. Информация о порядке предоставления государственной услуги, об органах ЗАГС представляется Минюстом России и его территориальными органами, органами исполнительной власти субъектов Российской Федерации, в компетенцию которых входит организация деятельности по государственной регистрации актов гражданского состояния на территории субъектов Российской Федерации:

на официальном сайте Минюста России в информационно-телекоммуникационной сети "Интернет" (www.minjust.ru) и официальных сайтах территориальных органов Минюста России в информационно-телекоммуникационной сети "Интернет";

на сайтах органов исполнительной власти субъектов Российской Федерации, в компетенцию которых входит организация деятельности по государственной регистрации актов гражданского состояния на территории субъектов Российской Федерации;

в информационно-телекоммуникационных сетях общего пользования (в том числе в федеральной государственной информационной системе "Федеральный реестр государственных и муниципальных услуг (функций)" и федеральной государственной информационной системе "Единый портал государственных и муниципальных услуг (функций)" (www.gosuslugi.ru) (далее - Единый портал);

на информационных стендах непосредственно в местах предоставления государственной услуги;

в средствах массовой информации;

в раздаточных информационных материалах (брошюрах, буклетах).

4. Информация по вопросам предоставления государственной услуги включает следующие сведения:

наименование, почтовый адрес, адрес электронной почты, номера телефонов органов ЗАГС;

график (режим) работы органов ЗАГС;

порядок получения консультаций по вопросам предоставления государственной услуги;

наименования законодательных и иных нормативных правовых актов, регулирующих предоставление государственной услуги;

текст Административного регламента с приложениями и (или) извлечения из него;

категории заявителей, которым предоставляется государственная услуга;

образцы заполнения форм заявлений о государственной регистрации актов гражданского состояния и Правила их заполнения <1>;

<1> Приказ Минюста России от 10 августа 2017 г. N 144 "Об утверждении форм заявлений о государственной регистрации актов гражданского состояния и Правил заполнения форм заявлений о государственной регистрации актов гражданского состояния" (зарегистрирован Минюстом России 22 августа 2017 г., регистрационный N 47893).

размеры государственной пошлины за предоставление государственной услуги;

реквизиты платежного поручения (квитанции) на уплату государственной пошлины, порядок их заполнения;

порядок и способы подачи заявления о предоставлении государственной услуги;

исчерпывающий перечень документов, необходимых для предоставления государственной услуги, и требования, предъявляемые к этим документам;

исчерпывающий перечень оснований для отказа в предоставлении государственной услуги;

срок предоставления государственной услуги;

порядок информирования о ходе и результатах предоставления государственной услуги;

порядок досудебного (внесудебного) обжалования решений и действий (бездействия) органа ЗАГС, а также должностных лиц;

иная информация о порядке предоставления государственной услуги.

5. Консультации по вопросам предоставления государственной услуги также предоставляются специалистами органов ЗАГС (далее - специалист) на личном приеме и по телефонам.

При ответах на звонки и устные обращения специалисты подробно и в вежливой (корректной) форме информируют обратившихся по интересующим их вопросам. Ответ по телефону должен начинаться с информации о наименовании органа, фамилии, имени, отчестве (при наличии) и должности специалиста.

При отсутствии у специалиста, принявшего звонок, возможности самостоятельно ответить на поставленные вопросы телефонный звонок должен быть переадресован (переведен) другому специалисту. В случае невозможности перевода звонка или ответа другого специалиста обратившемуся гражданину должен быть сообщен номер телефона, по которому можно получить необходимую информацию.

6. График работы органов ЗАГС устанавливается самостоятельно органами исполнительной власти субъектов Российской Федерации, в компетенцию которых входит организация деятельности по государственной регистрации актов гражданского состояния на территориях субъектов Российской Федерации, и органами местного самоуправления, наделенными законом субъекта Российской Федерации полномочиями на государственную регистрацию актов гражданского состояния.

7. Информация о месте нахождения, контактных телефонах, адресах электронной почты органов исполнительной власти субъектов Российской Федерации, в компетенцию которых входит организация деятельности по государственной регистрации актов гражданского состояния на территории субъектов Российской Федерации, приводится в приложении N 1 к Административному регламенту.

II. Стандарт предоставления государственной услуги

Наименование государственной услуги

8. Государственная услуга по государственной регистрации актов гражданского состояния (рождение, заключение брака, расторжение брака, усыновление (удочерение), установление отцовства, перемена имени и смерть), включая выдачу повторных свидетельств (справок), иных документов, подтверждающих наличие или отсутствие факта государственной регистрации акта гражданского состояния, внесение исправлений и (или) изменений в записи актов гражданского состояния, восстановление и аннулирование записей актов гражданского состояния.

Наименование органа, предоставляющего государственную услугу

9. Органами ЗАГС, предоставляющими государственную услугу, являются:

органы записи актов гражданского состояния, образованные органами государственной власти субъектов Российской Федерации;

органы местного самоуправления муниципальных районов, городских округов, городских, сельских поселений, на территории которых отсутствуют органы записи актов гражданского состояния, образованные в соответствии с Федеральным законом от 15.11.1997 N 143-ФЗ "Об актах гражданского состояния" (далее - Федеральный закон) и наделенные законом субъекта Российской Федерации полномочиями на государственную регистрацию актов гражданского состояния, в том числе органы местного самоуправления сельских поселений - на государственную регистрацию рождения, заключения брака, расторжения брака, установления отцовства, смерти (далее - орган, предоставляющий государственную услугу).

10. Запрещается требовать от заявителя осуществления действий, в том числе согласований, необходимых для получения государственной услуги и связанных с обращением в иные государственные органы и организации, за исключением получения услуг, включенных в перечень услуг, которые являются необходимыми и обязательными для предоставления государственных услуг, утвержденный Правительством Российской Федерации (пункт 3 статьи 7 Федерального закона от 27 июля 2010 г. N 210-ФЗ "Об организации предоставления государственных и муниципальных услуг").

Описание результата предоставления государственной услуги

11. Результатом предоставления государственной услуги является:

1) при государственной регистрации актов гражданского состояния - составление в Едином государственном реестре записей актов гражданского состояния (далее - Единый реестр) соответствующей записи акта гражданского состояния и выдача заявителю свидетельства о государственной регистрации акта гражданского состояния (в случаях, установленных Федеральным законом <2>, - справки о государственной регистрации акта гражданского состояния) либо извещения об отказе в государственной регистрации акта гражданского состояния;

<2> Пункты 2 и 3 статьи 9, пункт 1 статьи 20 Федерального закона.

2) при выдаче документа (повторного свидетельства либо справки), подтверждающего наличие или отсутствие факта государственной регистрации акта гражданского состояния, - выдача заявителю повторного свидетельства (справки) о государственной регистрации акта гражданского состояния, справки либо извещения об отсутствии записи акта гражданского состояния или извещения об отказе в выдаче документа;

3) при внесении исправлений (изменений) в записи актов гражданского состояния - выдача заявителю свидетельства (справки) о государственной регистрации акта гражданского состояния с новыми сведениями после внесенных исправлений (изменений) в запись акта гражданского состояния либо извещения об отказе во внесении исправлений (изменений) в запись акта гражданского состояния;

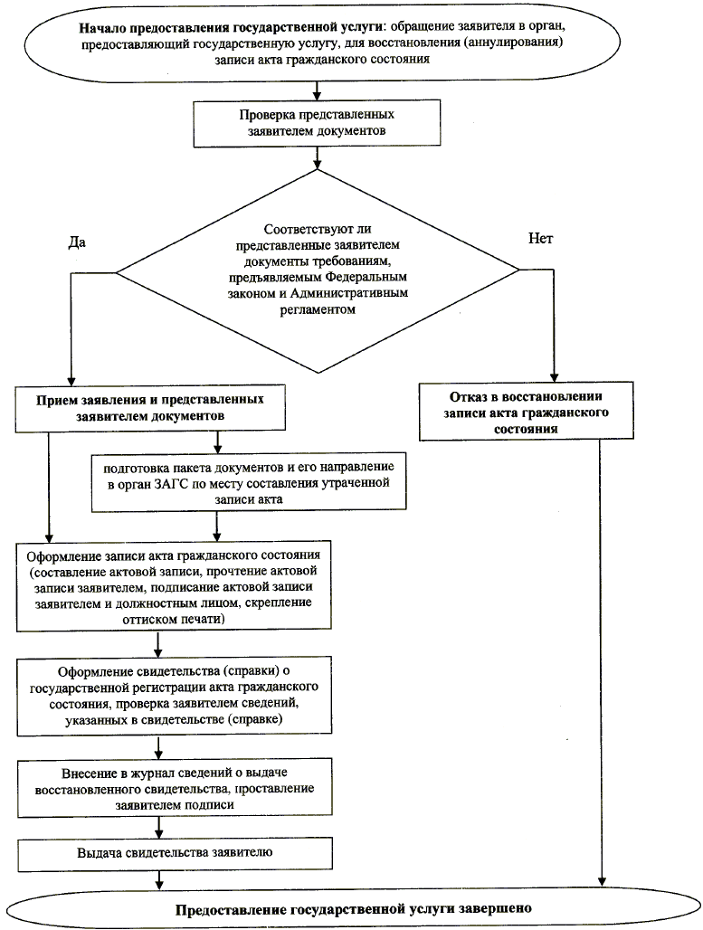
4) при восстановлении записи акта гражданского состояния - выдача заявителю свидетельства о государственной регистрации акта гражданского состояния;

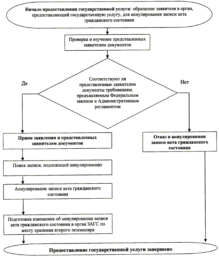
5) при аннулировании записи акта гражданского состояния - аннулирование записи акта гражданского состояния.

Срок предоставления государственной услуги, срок приостановления предоставления государственной услуги, срок выдачи (направления) документов, являющихся результатом предоставления государственной услуги

12. Государственная регистрация рождения, расторжения брака на основании решения суда, усыновления (удочерения) (далее - усыновление), смерти и выдача заявителю соответствующего свидетельства о государственной регистрации акта гражданского состояния (в случаях, установленных Федеральным законом <2>, - справки о государственной регистрации акта гражданского состояния) установленной формы производятся в день обращения заявителя при условии предъявления всех оформленных надлежащим образом документов.

<2> Пункты 2 и 3 статьи 9, пункт 1 статьи 20 Федерального закона.

13. Государственная регистрация заключения брака и расторжения брака (по взаимному согласию супругов, не имеющих общих детей, не достигших совершеннолетия, или по заявлению одного из супругов в случаях, установленных федеральным законодательством <3>) и выдача заявителю свидетельства производятся по истечении месяца со дня подачи соответствующего заявления в орган, предоставляющий государственную услугу.

<3> Статья 34 Федерального закона.

По совместному заявлению лиц, вступающих в брак, срок, указанный в данном пункте, может быть изменен руководителем органа, предоставляющего государственную услугу, при наличии уважительных причин. Срок может быть уменьшен (брак заключается до истечения месяца), а также увеличен, но не более чем на месяц. При наличии особых обстоятельств (беременности, рождения ребенка, непосредственной угрозы жизни одной из сторон и других особых обстоятельств) брак может быть заключен в день подачи заявления.

Дата и время государственной регистрации заключения брака и расторжения брака (по взаимному согласию супругов, не имеющих общих детей, не достигших совершеннолетия, или по заявлению одного из супругов в случаях, установленных федеральным законодательством <3>) устанавливаются по согласованию с заявителями и указываются на заявлениях.

<3> Статья 34 Федерального закона.

14. Государственная регистрация установления отцовства и выдача свидетельства об установлении отцовства производятся в день обращения заявителя при условии предъявления всех оформленных надлежащим образом необходимых документов, за исключением случаев подачи заявления об установлении отцовства до рождения ребенка.

В случае, если в представленном заявителями свидетельстве о рождении ребенка указаны сведения об отце ребенка, в целях установления основания внесения данных сведений орган, предоставляющий государственную услугу, проводит проверку путем истребования копии записи акта о рождении ребенка из органа ЗАГС по месту хранения данной записи. Подготовка и направление запроса об истребовании копии записи акта о рождении осуществляются органом, предоставляющим государственную услугу, в день обращения заявителей.

Орган ЗАГС по месту хранения истребуемой записи акта о рождении направляет ее копию в срок, не превышающий 10 календарных дней со дня поступления запроса об истребовании.

В случае, если государственная регистрация рождения ребенка была произведена посредством составления соответствующей записи акта гражданского состояния в Едином реестре либо запись акта (сведения о факте регистрации компетентным органом иностранного государства) о рождении ребенка содержится в Едином реестре, орган, предоставляющий государственную услугу, использует сведения, содержащиеся в Едином реестре.

<3> Статья 34 Федерального закона.

После проверки сведений о государственной регистрации рождения ребенка производится государственная регистрация установления отцовства либо выдается отказ в государственной регистрации установления отцовства в соответствии со статьей 53 Федерального закона.

15. Государственная регистрация перемены имени и выдача свидетельства о перемене имени производятся в месячный срок со дня получения заявления (срок рассмотрения заявления о перемене имени). При наличии уважительных причин (неполучение копий записей актов гражданского состояния, в которые необходимо внести изменения, и другие) срок рассмотрения заявления может быть увеличен не более чем на два месяца.

В случае, если записи актов гражданского состояния, в которые необходимо внести изменения в связи с переменой имени, утрачены, государственная регистрация перемены имени производится только после восстановления записей в порядке, установленном Федеральным законом для восстановления записей актов гражданского состояния <4>.

<4> Статья 74 Федерального закона.

В случае, если в представленных одновременно с заявлением о перемене имени документах и поступивших копиях записей актов гражданского состояния имеются несоответствия сведений, такие несоответствия должны быть устранены в порядке, установленном Федеральным законом для внесения исправлений и изменений в записи актов гражданского состояния <5>.

<5> Глава IX Федерального закона.

Срок предоставления государственной услуги для рассмотрения заявления о перемене имени, установленный Федеральным законом <6>, приостанавливается в случае необходимости восстановления или изменения записи акта гражданского состояния до решения вопроса о восстановлении либо исправлении или изменении записи акта гражданского состояния.

<6> Пункт 2 статьи 60 Федерального закона.

16. Заявление о внесении исправления или изменения в запись акта гражданского состояния должно быть рассмотрено в месячный срок со дня поступления заявления. Срок рассмотрения заявления может быть увеличен не более чем на два месяца руководителем органа, предоставляющего государственную услугу, по основанию, предусмотренному статьей 72 Федерального закона.

В случае, если запись акта гражданского состояния, в которую требуется внести исправления или изменения, совершена компетентным органом иностранного государства и решения указанного органа признаются Российской Федерацией в соответствии с международными договорами Российской Федерации, орган, предоставляющий государственную услугу, запрашивает копию записи акта гражданского состояния, подлежащей исправлению или изменению, а также копии других записей, подтверждающих наличие оснований для внесения исправления или изменения, в указанном компетентном органе иностранного государства <7>.

<7> Вступает в силу со дня вступления в силу пункта 2 статьи 3 Федерального закона от 23.06.2016 N 219-ФЗ "О внесении изменений в Федеральный закон "Об актах гражданского состояния".

17. Восстановление и аннулирование записи акта гражданского состояния производятся в день обращения заявителя при условии предъявления всех необходимых документов.

18. В случае личного обращения заявителя в орган, предоставляющий государственную услугу, в котором хранится запись акта гражданского состояния на бумажном носителе, повторное свидетельство (справка) о государственной регистрации акта гражданского состояния выдается в день обращения заявителя при условии представления всех необходимых документов.

В случае, если лицо обращается в орган, предоставляющий государственную услугу, по месту хранения записи акта гражданского состояния с запросом в письменной форме, повторное свидетельство (справка) о государственной регистрации акта гражданского состояния не позднее рабочего дня, следующего за днем оформления, высылается в орган ЗАГС по месту жительства или пребывания лица, направившего данный запрос, с уведомлением такого лица о пересылке соответствующего документа <8>.

<8> Утрачивает силу со дня вступления в силу пункта 2 статьи 3 Федерального закона от 23.06.2016 N 219-ФЗ "О внесении изменений в Федеральный закон "Об актах гражданского состояния".

19. Выдача заявителю извещения об отказе в государственной регистрации акта гражданского состояния, извещения об отказе во внесении исправлений (изменений) в запись акта гражданского состояния, извещения об отказе в восстановлении либо аннулировании записи акта гражданского состояния производится в день обращения в орган, предоставляющий государственную услугу.

20. Извещение об отказе в выдаче документа (повторного свидетельства либо справки), подтверждающего наличие или отсутствие факта государственной регистрации акта гражданского состояния, выдается в день обращения заявителя в случае его личного обращения в орган, предоставляющий государственную услугу, в котором хранится запись акта гражданского состояния на бумажном носителе, либо направляется для выдачи заявителю в орган ЗАГС по месту жительства или пребывания заявителя не позднее рабочего дня, следующего за днем поступления запроса в письменной форме в орган, предоставляющий государственную услугу, в котором хранится запись акта гражданского состояния на бумажном носителе.

21. Извещение об отсутствии записи акта гражданского состояния направляется заявителю (в случае личного обращения заявителя в орган, предоставляющий государственную услугу) либо в орган ЗАГС по месту жительства или пребывания заявителя органом ЗАГС, в котором хранится второй экземпляр записи акта гражданского состояния, не позднее рабочего дня, следующего за днем поступления заявления о выдаче документа из органа, предоставляющего услугу, с отметкой об отсутствии соответствующей записи акта гражданского состояния.

22. Сроки прохождения отдельных административных процедур предоставления государственной услуги приведены в разделе III "Состав, последовательность и сроки выполнения административных процедур (действий), требования к порядку их выполнения, в том числе особенности выполнения административных процедур (действий) в электронной форме" Административного регламента.

Перечень нормативных правовых актов, регулирующих отношения, возникающие в связи с предоставлением государственной услуги

23. Предоставление государственной услуги осуществляется в соответствии со следующими нормативными правовыми актами:

Конституцией Российской Федерации (Российская газета, 25 декабря 1993 г., N 237; Собрание законодательства Российской Федерации, 2009, N 1, ст. 1, ст. 2; 2014, N 6, ст. 548, N 30, ст. 4202);

Федеральным конституционным законом от 25 декабря 2000 г. N 2-ФКЗ "О Государственном гербе Российской Федерации" (Собрание законодательства Российской Федерации, 2000, N 52, ст. 5021; 2002, N 28, ст. 2780; 2003, N 27, ст. 2696; 2009, N 46, ст. 5417; 2011, N 1, ст. 1; 2013, N 30, ст. 4022; 2014, N 11, ст. 1088);

Гражданским кодексом Российской Федерации (часть первая) (Собрание законодательства Российской Федерации, 1994, N 32, ст. 3301; 1996, N 9, ст. 773; N 34, ст. 4026; 1999, N 28, ст. 3471; 2001, N 17, ст. 1644, N 21, ст. 2063; 2002, N 12, ст. 1093, N 48, ст. 4737, ст. 4746; 2003, N 2, ст. 167, N 52, ст. 5034; 2004, N 27, ст. 2711, N 31, ст. 3233; 2005, N 1, ст. 18, ст. 39, ст. 43, N 27, ст. 2722, N 30, ст. 3120; 2006, N 2, ст. 171, N 3, ст. 282, N 23, ст. 2380, N 27, ст. 2881, N 31, ст. 3437, N 45, ст. 4627, N 50, ст. 5279, N 52, ст. 5497, ст. 5498; 2007, N 1, ст. 21, N 7, ст. 834, N 27, ст. 3213, N 31, ст. 3993, N 41, ст. 4845, N 49, ст. 6079, N 50, ст. 6246; 2008, N 17, ст. 1756, N 20, ст. 2253, N 29, ст. 3418, N 30, ст. 3597, ст. 3616; 2009, N 1, ст. 14, ст. 19, ст. 20, ст. 23, N 7, ст. 775, N 26, ст. 3130, N 29, ст. 3582, 3618, N 52, ст. 6428; 2010, N 19, ст. 2291, N 31, ст. 4163; 2011, N 7, ст. 901, N 15, ст. 2038, N 49, ст. 7015, ст. 7041, N 50, ст. 7335, ст. 7347; 2012, N 50, ст. 6954, ст. 6963, N 53, ст. 7607, ст. 7627; 2013, N 7, ст. 609, N 19, ст. 2327, N 26, ст. 3207, N 27, ст. 3434, ст. 3459, N 30, ст. 4078, N 44, ст. 5641, N 51, ст. 6687; 2014, N 11, ст. 1100, N 19, ст. 2304, ст. 2334, N 26, ст. 3377, N 43, ст. 5799; 2015, N 1, ст. 52, N 10, ст. 1412, N 14, ст. 2020, N 21, ст. 2985, N 27, ст. 3945, ст. 3977, ст. 4000, ст. 4001, N 29, ст. 4342, ст. 4384, ст, 4394; 2016, N 1, Ст. 77, N 5, ст. 559, N 14, ст. 1909, N 22, ст. 3094, N 27, ст. 4169, ст. 4248, ст. 4265, ст. 4266, ст. 4287; 2017, N 1, ст. 38, N 7, ст. 1031);

Семейным кодексом Российской Федерации (Собрание законодательства Российской Федерации, 1996, N 1, ст. 16; 1997, N 46, ст. 5243; 1998, N 26, ст. 3014; 2000, N 2, ст. 153; 2004, N 35, ст. 3607; 2005, N 1, ст. 11; 2006, N 52, ст. 5497; 2007, N 1, ст. 21, N 30, ст. 3808; 2008, N 17, ст. 1756, N 27, ст. 3124; 2010, N 52, ст. 7001; 2011, N 19, ст. 2715, N 49, ст. 7029, ст. 7041; 2012, N 47, ст. 6394; 2013, N 27, ст. 3459, ст. 3477, N 48, ст. 6165; 2014, N 19, ст. 2331, N 45, ст. 6143; 2015, N 17, ст. 2476, N 29, ст. 4363, ст. 4366, N 48, ст. 6724; 2016, N 1, ст. 11, ст. 77; 2017, N 18, ст. 2671);

Налоговым кодексом Российской Федерации (часть вторая) (Собрание законодательства Российской Федерации, 2000, N 32, ст. 3340, ст. 3341; 2001, N 1, ст. 18, N 23, ст. 2289, N 33, ст. 3413, ст. 3421, ст. 3429, N 49, ст. 4554, ст. 4564, N 53, ст. 5015, ст. 5023; 2002, N 1, ст. 4, N 22, ст. 2026, N 30, ст. 3021, ст. 3027, ст. 3033, N 52, ст. 5132, ст. 5138; 2003, N 1, ст. 2, ст. 5, ст. 6, ст. 8, N 19, ст. 1749, N 21, ст. 1958, N 22, ст. 2066, N 23, ст. 2174, N 26, ст. 2567, N 27, ст. 2700, N 28, ст. 2874, ст. 2879, ст. 2886, N 46, ст. 4435, ст. 4443, ст. 4444, N 50, ст. 4849, N 52, ст. 5030, ст. 5038; 2004, N 15, ст. 1342, N 27, ст. 2711, ст. 2713, ст. 2715, N 30, ст. 3083, ст. 3084, ст. 3088, N 31, ст. 3219, ст. 3220, ст. 3222, ст. 3231, N 34, ст. 3517, ст. 3518, ст. 3520, ст. 3522, ст. 3523, ст. 3524, ст. 3525, ст. 3527, N 35, ст. 3607, N 41, ст. 3994, N 45, ст. 4377, N 49, ст. 4840; 2005, N 1, ст. 9, ст. 29, ст. 30, ст. 34, ст. 38, N 21, ст. 1918, N 23, ст. 2201, N 24, ст. 2312, N 25, ст. 2427, ст. 2428, ст. 2429, N 27, ст. 2707, ст. 2710, ст. 2713, ст. 2717, N 30, ст. 3101, ст. 3104, ст. 3112, ст. 3117, ст. 3118, ст. 3128, ст. 3129, ст. 3130, N 43, ст. 4350, N 50, ст. 5246, ст. 5249, N 52, ст. 5581; 2006, N 1, ст. 12, ст. 16, N 3, ст. 280, N 10, ст. 1065, N 12, ст. 1233, N 23, ст. 2380, ст. 2382, N 27, ст. 2881, N 30, ст. 3295, N 31, ст. 3433, ст. 3436, ст. 3443, ст. 3450, ст. 3452, N 43, ст. 4412, N 45, ст. 4627, ст. 4628, ст. 4629, ст. 4630, N 47, ст. 4819, N 50, ст. 5279, ст. 5286, ст. 5498; 2007, N 1, ст. 7, ст. 20, ст. 31, ст. 39, N 13, ст. 1465, N 21, ст. 2461, ст. 2462, ст. 2463, N 22, ст. 2563, ст. 2564, N 23, ст. 2691, N 31, ст. 3991, ст. 3995, ст. 4013, N 45, ст. 5416, ст. 5417, ст. 5432, N 46, ст. 5553, ст. 5554, ст. 5557, N 49, ст. 6045, ст. 6046, ст. 6071, N 50, ст. 6237, ст. 6245, ст. 6246; 2008, N 18, ст. 1942, N 26, ст. 3022, N 27, ст. 3126, N 30, ст. 3577, ст. 3591, ст. 3598, ст. 3611, ст. 3614, ст. 3616, N 42, ст. 4697, N 48, ст. 5500, ст. 5503, ст. 5504, ст. 5519, N 49, ст. 5723, ст. 5749, N 52, ст. 6218, ст. 6219, ст. 6227, ст. 6236, ст. 6237; 2009, N 1, ст. 13, ст. 19, ст. 21, ст. 22, ст. 31, N 11, ст. 1265, N 18, ст. 2147, N 23, ст. 2772, ст. 2775, N 26, ст. 3123, N 29, ст. 3582, ст. 3598, ст. 3602, ст. 3625, ст. 3638, ст. 3639, ст. 3641, ст. 3642, N 30, ст. 3735, ст. 3739, N 39, ст. 4534, N 44, ст. 5171, N 45, ст. 5271, N 48, ст. 5711, ст. 5725, ст. 5726, ст. 5731, ст. 5732, ст. 5733, ст. 5734, ст. 5737, N 51, ст. 6153, ст. 6155, N 52, ст. 6444, ст. 6450, ст. 6455; 2010, N 15, ст. 1737, ст. 1746, N 18, ст. 2145, N 19, ст. 2291, N 21, ст. 2524, N 23, ст. 2797, N 25, ст. 3070, N 28, ст. 3553, N 31, ст. 4176, ст. 4186, ст. 4198, N 32, ст. 4298, N 40, ст. 4969, N 45, ст. 5750, ст. 5756, N 46, ст. 5918, N 47, ст. 6034, N 48, ст. 6247, ст. 6248, ст. 6249, ст. 6250, ст. 6251; 2011, N 1, ст. 7, ст. 9, ст. 21, ст. 37, N 11, ст. 1492, ст. 1494, N 17, ст. 2311, ст. 2318, N 23, ст. 3262, ст. 3265; N 24, ст. 3357, N 26, ст. 3652, N 27, ст. 3881, N 29, ст. 4291, N 30, ст. 4563, ст. 4566, ст. 4575, ст. 4583, ст. 4587, ст. 4593, ст. 4596, ст. 4597, ст. 4606, N 45, ст. 6335, N 47, ст. 6608, ст. 6609, ст. 6610, ст. 6611, N 48, ст. 6729, ст. 6731, N 49, ст. 7014, ст. 7015, ст. 7016, ст. 7017, ст. 7037, ст. 7043, ст. 7061, ст. 7063, ст. 7070; N 50, ст. 7347, ст. 7347, ст. 7359; 2012, N 10, ст. 1164, N 14, ст. 1545, N 18, ст. 2128, N 19, ст. 2281, N 24, ст. 3066, N 25, ст. 3268, N 26, ст. 3447, N 27, ст. 3587, ст. 3588, N 29, ст. 3980, N 31, ст. 4319, ст. 4322, ст. 4334, N 41, ст. 5526, ст. 5527, N 49, ст. 6747, ст. 6748, ст. 6749, ст. 6750, ст. 6751, N 50, ст. 6958, ст. 6968; N 53, ст. 7578, ст. 7584, ст. 7596, ст. 7603, ст. 7604, ст. 7607, ст. 7619; 2013, N 9, ст. 874, N 14, ст. 1647, N 19, ст. 2321, N 23, ст. 2866, ст. 2888, ст. 2889, N 26, ст. 3207, N 27, ст. 3444, N 30, ст. 4031, ст. 4045, ст. 4046, ст. 4047, ст. 4048, ст. 4049, ст. 4081, ст. 4084, N 40, ст. 5033, ст. 5037, ст. 5038, ст. 5039, N 44, ст. 5640, ст. 5645, ст. 5646, N 48, ст. 6165, ст. 6335, N 51, ст. 6699, N 52, ст. 6981, ст. 6985; 2014, N 8, ст. 737, N 14, ст. 1544, N 16, ст. 1835, ст. 1838, N 19, ст. 2313, ст. 2314, N 23, ст. 2936, ст. 2938, N 26, ст. 3372, ст. 3373, ст. 3393, ст. 3404, N 30, ст. 4222, ст. 4240, ст. 4245, N 40, ст. 5315, ст. 5316, N 43, ст. 5796, ст. 5799, N 45, ст. 6157, ст. 6159, N 48, ст. 6647, ст. 6648, ст. 6649, ст. 6650, ст. 6657, ст. 6660, ст. 6661, ст. 6662, ст. 6663; 2015, N 1, ст. 5, ст. 15, ст. 16, ст. 17, ст. 18, ст. 30, ст. 32, N 10, ст. 1402, N 14, ст. 2023, N 18, ст. 2615, N 24, ст. 3373, ст. 3377, N 27, ст. 3948, ст. 3968, ст. 3969, N 29, ст. 4358, N 41, ст. 5632, N 48, ст. 6683, ст. 6684, ст. 6685, ст. 6686, ст. 6687, ст. 6688, ст. 6689, ст. 6691, ст. 6692, ст. 6693, ст. 6694; 2016, N 1, ст. 6, ст. 16, ст. 17, ст. 18, N 6, ст. 763, N 7, ст. 907, ст. 920, N 9, ст. 1169, N 10, ст. 1322, N 11, ст. 1480, ст. 1489, N 14, ст. 1902, N 15, ст. 2059, ст. 2061, ст. 2063, ст. 2064, N 17, ст. 2479, N 22, ст. 3092, ст. 3098, N 27, ст. 4161, ст. 4180, ст. 4182);

Законом Российской Федерации от 18 октября 1991 г. N 1761-1 "О реабилитации жертв политических репрессий" (Ведомости СНД и ВС РСФСР, 1992, N 28, ст. 1624; 1993, N 1, ст. 21; Собрание законодательства Российской Федерации, 1995, N 45, ст. 4242; 2000, N 33, ст. 3348; 2003, N 6, ст. 509, N 43, ст. 4108; 2004, N 35, ст. 3607; 2005, N 27, ст. 2717; 2011, N 27, ст. 3880, N 49, ст. 7039; 2016, N 11, ст. 1494) (далее - Закон о реабилитации жертв политических репрессий);

Федеральным законом от 24 ноября 1995 г. N 181-ФЗ "О социальной защите инвалидов в Российской Федерации" (Собрание законодательства Российской Федерации, 1995, N 48, ст. 4563; 1998, N 31, ст. 3803; 1999, N 2, ст. 232, N 29, ст. 3693; 2000, N 22, ст. 2267; 2001, N 24, ст. 2410, N 33, ст. 3426, N 53, ст. 5024; 2002, N 1, ст. 2, N 22, ст. 2026; 2003, N 2, ст. 167, N 43, ст. 4108; 2004, N 35, ст. 3607; 2005, N 1, ст. 25; 2006, N 1, ст. 10; 2007, N 43, ст. 5084, N 49, ст. 6070; 2008, N 9, ст. 817, N 29, ст. 3410, N 30, ст. 3616, N 52, ст. 6224; 2009, N 18, ст. 2152, N 30, ст. 3739; 2010, N 50, ст. 6609; 2011, N 27, ст. 3880, N 30, ст. 4596, N 45, ст. 6329, N 47, ст. 6608, N 49, ст. 7033; 2012, N 29, ст. 3990, N 30, ст. 4175, N 53, ст. 7621; 2013, N 8, ст. 717, N 19, ст. 2331, N 27, ст. 3460, ст. 3475, ст. 3477, N 48, ст. 6160, N 52, ст. 6986; 2014, N 26, ст. 3406, N 30, ст. 4268, N 49, ст. 6928; 2015, N 14, ст. 2008, N 27, ст. 3967, N 48, ст. 6724; 2016, N 1, ст. 19);

Федеральным законом от 12 января 1996 г. N 8-ФЗ "О погребении и похоронном деле" (Собрание законодательства Российской Федерации, 1996, N 3, ст. 146; 1997, N 26, ст. 2952; 1998, N 30, ст. 3613; 2000, N 33, ст. 3348; 2001, N 23, ст. 2282; 2002, N 30, ст. 3033, N 50, ст. 4931; 2003, N 2, ст. 160, ст. 167, N 27, ст. 2700; 2004, N 35, ст. 3607; 2005, N 17, ст. 1482; 2006, N 43, ст. 4414; 2007, N 1, ст. 26, N 27, ст. 3213; 2008, N 29, ст. 3418, N 30, ст. 3616, N 49, ст. 5736; 2009, N 1, ст. 17, N 30, ст. 3739, N 48, ст. 5720; 2011, N 30, ст. 4596, N 48, ст. 6732; 2012, N 31, ст. 4327; 2014, N 23, ст. 2930; 2015, N 1, ст. 38, N 14, ст. 2008, N 48, ст. 6723; 2016, N 27, ст. 4238, N 52, ст. 7493) (далее - Федеральный закон "О погребении и похоронном деле");

Федеральным законом;

Федеральным законом от 2 мая 2006 г. N 59-ФЗ "О порядке рассмотрения обращений граждан Российской Федерации" (Собрание законодательства Российской Федерации, 2006, N 19, ст. 2060; 2010, N 27, ст. 3410, N 31, ст. 4196; 2012, N 31, ст. 4470; 2013, N 19, ст. 2307, N 27, ст. 3474; 2014, N 48, ст. 6638; 2015, N 45, ст. 6206);

Федеральным законом от 27 июля 2006 г. N 149-ФЗ "Об информации, информационных технологиях и о защите информации" (Собрание законодательства Российской Федерации, 2006, N 31, ст. 3448; 2010, N 31, ст. 4196; 2011, N 15, ст. 2038, N 30, ст. 4600; 2012, N 31, ст. 4328; 2013, N 14, ст. 1658, N 23, ст. 2870, N 27, ст. 3479, N 52, ст. 6961, ст. 6963; 2014, N 19, ст. 2302, N 30, ст. 4223, ст. 4243, N 48, ст. 6645; 2015, N 1, ст. 84, N 27, ст. 3979, N 29, ст. 4389, ст. 4390; 2016, N 26, ст. 3877, N 28, ст. 4558, N 52, ст. 7491);

Федеральным законом от 27 июля 2006 г. N 152-ФЗ "О персональных данных" (Собрание законодательства Российской Федерации, 2006, N 31, ст. 3451; 2009, N 48, ст. 5716, N 52, ст. 6439; 2010, N 27, ст. 3407, N 31, ст. 4173, ст. 4196, N 49, ст. 6409; 2011, N 23, ст. 3263, N 31, ст. 4701; 2013, N 14, ст. 1651, N 30, ст. 4038, N 51, ст. 6683; 2014, N 23, ст. 2927, N 30, ст. 4217, ст. 4243; 2016, N 27, ст. 4164; 2017, N 9, ст. 1276);

Федеральным законом от 29 ноября 2007 г. N 282-ФЗ "Об официальном статистическом учете и системе государственной статистики в Российской Федерации" (Собрание законодательства Российской Федерации, 2007, N 49, ст. 6043; 2011, N 43, ст. 5973; 2012, N 43, ст. 5784; 2013, N 30, ст. 4084, N 27, ст. 3463; 2017, N 14, ст. 1997);

Федеральным законом от 27 июля 2010 г. N 210-ФЗ "Об организации предоставления государственных и муниципальных услуг";

Федеральным законом от 6 апреля 2011 г. N 63-ФЗ "Об электронной подписи" (Собрание законодательства Российской Федерации, 2011, N 15, ст. 2036, N 27, ст. 3880; 2012, N 29, ст. 3988; 2013, N 14, ст. 1668, N 27, ст. 3463, ст. 3477; 2014, N 11, ст. 1098, N 26, ст. 3390; 2016, N 1, ст. 65, N 26, ст. 3889);

Указом Президента Российской Федерации от 13 октября 2004 г. N 1313 "Вопросы Министерства юстиции Российской Федерации" (Собрание законодательства Российской Федерации, 2004, N 42, ст. 4108; 2005, N 44, ст. 4535, N 52, ст. 5690; 2006, N 12, ст. 1284, N 19, ст. 2070, N 23, ст. 2452, N 38, ст. 3975, N 39, ст. 4039; 2007, N 13, ст. 1530, N 20, ст. 2390; 2008, N 10, ст. 909, N 29, ст. 3473, N 43, ст. 4921; 2010, N 4, ст. 368, N 19, ст. 2300; 2011, N 21, ст. 2927, ст. 2930, N 29, ст. 4420; 2012, N 8, ст. 990, N 18, ст. 2166, N 22, ст. 2759, N 38, ст. 5070, N 47, ст. 6459, N 53, ст. 7866; 2013, N 26, ст. 3314, N 49, ст. 6396, N 52, ст. 7137; 2014, N 26, ст. 3515, N 50, ст. 7054; 2015, N 14, ст. 2108, N 19, ст. 2806, N 37, ст. 5130; 2016, N 1, ст. 207, ст. 211, N 19, ст. 2672, N 51, ст. 7357; 2017, N 16, ст. 2397, N 17, ст. 2549, N 49, ст. 7444);

постановлением Правительства Российской Федерации от 8 июля 1997 г. N 828 "Об утверждении Положения о паспорте гражданина Российской Федерации, образца бланка и описания паспорта гражданина Российской Федерации" (Собрание законодательства Российской Федерации, 1997, N 28, ст. 3444; 1999, N 41, ст. 4918; 2001, N 3, ст. 242; 2002, N 4, ст. 330; 2003, N 27, ст. 2813; 2004, N 5, ст. 374; 2006, N 52, ст. 5597; 2008, N 14, ст. 1412; 2010, N 33, ст. 4433; 2011, N 22, ст. 3190; 2012, N 10, ст. 1229; 2013, N 41, ст. 5197; 2014, N 8, ст. 818, N 26, ст. 3577; 2016, N 7, ст. 982, N 10, ст. 1424, N 29, ст. 4821, N 48, ст. 6774) (далее - Положение о паспорте гражданина Российской Федерации);

постановлением Правительства Российской Федерации от 16 мая 2011 г. N 373 "О разработке и утверждении административных регламентов исполнения государственных функций и административных регламентов предоставления государственных услуг" (Собрание законодательства Российской Федерации, 2011, N 22, ст. 3169, N 35, ст. 5092; 2012, N 28, ст. 3908, N 36, ст. 4903, N 50, ст. 7070, N 52, ст. 7507; 2014, N 5, ст. 506);

постановлением Правительства Российской Федерации от 24 октября 2011 г. N 861 "О федеральных государственных информационных системах, обеспечивающих предоставление в электронной форме государственных и муниципальных услуг (осуществление функций)" (Собрание законодательства Российской Федерации, 2011, N 44, ст. 6274, N 49, ст. 7284; 2013, N 45, ст. 5807; 2014, N 50, ст. 7113; 2015, N 1, ст. 283, N 8, ст. 1175; 2017, N 20, ст. 2913, N 23, ст. 3352);

постановлением Правительства Российской Федерации от 28 декабря 2011 г. N 1184 "О мерах обеспечения перехода федеральных органов исполнительной власти, государственных корпораций, наделенных соответствующими федеральными законами полномочиями по предоставлению государственных услуг, и органов государственных внебюджетных фондов на межведомственное информационное взаимодействие в электронном виде при предоставлении государственных услуг" (Собрание законодательства Российской Федерации, 2012, N 1, ст. 199, N 39, ст. 5269; 2013, N 48, ст. 6259; 2016, N 10, ст. 1410);

постановлением Правительства Российской Федерации от 16 августа 2012 г. N 840 "О порядке подачи и рассмотрения жалоб на решения и действия (бездействие) федеральных органов исполнительной власти и их должностных лиц, федеральных государственных служащих, должностных лиц государственных небюджетных фондов Российской Федерации, а также государственной корпорации по атомной энергии "Росатом" и ее должностных лиц" (Собрание законодательства Российской Федерации, 2012, N 35, ст. 4829; 2014, N 50, ст. 7113; 2015, N 47, ст. 6596; 2016, N 51, ст. 7370);

приказом Росархива и Минюста России от 2 августа 1999 г. N 38/230 "Об утверждении Правил передачи в государственные архивы книг государственной регистрации актов гражданского состояния, собранных из первых экземпляров записей актов гражданского состояния, и метрических книг" (зарегистрирован Минюстом России 14 сентября 1999 г., регистрационный N 1893);

приказом Минюста России от 14 октября 2005 г. N 189 "Об утверждении Правил внутреннего распорядка следственных изоляторов уголовно-исполнительной системы" (зарегистрирован Минюстом России 8 ноября 2005 г., регистрационный N 7139) с изменениями, внесенными приказами Минюста России от 27 декабря 2010 г. N 410 (зарегистрирован Минюстом России 24 января 2011 г., регистрационный N 19569), от 3 декабря 2015 г. N 277 (зарегистрирован Минюстом России 29 декабря 2015 г., регистрационный N 40334), от 23 мая 2016 г. N 115 (зарегистрирован Минюстом России 27 мая 2016 г., регистрационный N 42314), от 21 июля 2016 г. N 173 (зарегистрирован Минюстом России 29 июля 2016 г., регистрационный N 43028), от 12 мая 2017 г. N 79 (зарегистрирован Минюстом России 29 мая 2017 г., регистрационный N 46867);

приказом Минздравсоцразвития России от 26 декабря 2008 г. N 782н "Об утверждении и порядке ведения медицинской документации, удостоверяющей случаи рождения и смерти" (зарегистрирован Минюстом России 30 декабря 2008 г., регистрационный N 13055) с изменениями, внесенными приказом Минздравсоцразвития России от 27 декабря 2011 г. N 1687н (зарегистрирован Минюстом России 15 марта 2012 г., регистрационный N 23490) (далее - приказ Минздравсоцразвития России N 782н);

приказом Минздравсоцразвития России от 25 января 2010 г. N 23н "Об утверждении формы акта об оставлении ребенка матерью, не предъявившей документа, удостоверяющего ее личность, в медицинской организации, в которой происходили роды или в которую обратилась мать после родов" (зарегистрирован Минюстом России 15 февраля 2010 г., регистрационный N 16416);

приказом Минюста России, ФСБ России, МВД России, Минкультуры России от 30 ноября 2010 г. N 366/591/818/739 "Об утверждении форм справок о факте смерти лица, необоснованно репрессированного и впоследствии реабилитированного на основании Закона Российской Федерации от 18 октября 1991 г. N 1761-1 "О реабилитации жертв политических репрессий" (зарегистрирован Минюстом России 14 декабря 2010 г., регистрационный N 19179);

приказом Минздравсоцразвития России от 27 декабря 2011 г. N 1687н "О медицинских критериях рождения, форме документа о рождении и порядке его выдачи" (зарегистрирован Минюстом России 15 марта 2012 г., регистрационный N 23490) с изменениями, внесенными приказами Минздрава России от 16 января 2013 г. N 7н (зарегистрирован Минюстом России 26 марта 2013 г., регистрационный N 27898) и от 2 сентября 2013 г. N 609н (зарегистрирован Минюстом России 3 октября 2013 г., регистрационный N 30094);

приказом Минюста России от 3 марта 2014 г. N 25 "Об утверждении Положения о Главном управлении Министерства юстиции Российской Федерации по субъекту (субъектам) Российской Федерации и Перечня главных управлений Министерства юстиции Российской Федерации по субъектам Российской Федерации" (зарегистрирован Минюстом России 14 марта 2014 г., регистрационный N 31606) с изменениями, внесенными приказами Минюста России от 26 марта 2014 г. N 40 (зарегистрирован Минюстом России 26 марта 2014 г., регистрационный N 31738), от 7 апреля 2014 г. N 62 (зарегистрирован Минюстом России 8 апреля 2014 г., регистрационный N 31842), от 4 июля 2014 г. N 156 (зарегистрирован Минюстом России 11 июля 2014 г., регистрационный N 33062), от 20 апреля 2015 г. N 90 (зарегистрирован Минюстом России 29 апреля 2015 г., регистрационный N 37052), от 31 декабря 2015 г. N 331 (зарегистрирован Минюстом России 28 января 2016 г., регистрационный N 408886), от 20 октября 2016 г. N 237 (зарегистрирован Минюстом России 25 октября 2016 г., регистрационный N 44136), от 4 августа 2017 г. N 133 (зарегистрирован Минюстом России 10 августа 2017 г., регистрационный N 47736), от 5 декабря 2017 N 241 (зарегистрирован Минюстом России И декабря 2017 г. регистрационный N 49201) (далее - приказ Минюста России N 25);

приказом Минюста России от 3 марта 2014 г. N 26 "Об утверждении Положения об Управлении Министерства юстиции Российской Федерации по субъекту (субъектам) Российской Федерации и Перечня управлений Министерства юстиции Российской Федерации по субъектам Российской Федерации" (зарегистрирован Минюстом России 14 марта 2014 г., регистрационный N 31607) с изменениями, внесенными приказами Минюста России от 26 марта 2014 г. N 41 (зарегистрирован Минюстом России 26 марта 2014 г., регистрационный N 31739), от 7 апреля 2014 г. N 62 (зарегистрирован Минюстом России 8 апреля 2014 г., регистрационный N 31842), от 4 июля 2014 г. N 156 (зарегистрирован Минюстом России 11 июля 2014 г., регистрационный N 33062), от 20 апреля 2015 г. N 90 (зарегистрирован Минюстом России 29 апреля 2015 г., регистрационный N 37052), от 31 декабря 2015 г. N 331 (зарегистрирован Минюстом России 28 января 2016 г., регистрационный N 408886), от 20 октября 2016 г. N 237 (зарегистрирован Минюстом России 25 октября 2016 г., регистрационный N 44136), от 4 августа 2017 г.N 133 (зарегистрирован Минюстом России 10 августа 2017 г., регистрационный N 47736), от 5 декабря 2017 г. N 241 (зарегистрирован Минюстом России 11 декабря 2017 г., регистрационный N 49201) (далее - приказ Минюста России N 26);

приказом Минюста России от 30 июня 2016 г. N 155 "Об утверждении порядка заполнения бланков записей актов гражданского состояния и бланков свидетельств о государственной регистрации актов гражданского состояния" (зарегистрирован Минюстом России 7 июля 2016 г., регистрационный N 42777) с изменениями, внесенными приказами Минюста России от 31 августа 2016 г. N 199 (зарегистрирован Минюстом России 6 сентября 2016 г., регистрационный N 43583) и от 21 апреля 2017 г. N 65 (зарегистрирован Минюстом России 2 мая 2017 г., регистрационный N 46554);

приказом Минюста России от 19 августа 2016 г. N 194 "Об утверждении перечня документов, подтверждающих в соответствии со статьей 9 Федерального закона от 15.11.1997 N 143-ФЗ "Об актах гражданского состояния" право лица на получение документов о государственной регистрации актов гражданского состояния" (зарегистрирован Минюстом России 24 августа 2016 г., регистрационный N 43386);

приказом Минюста России от 30 июня 2017 г. N 116 "Об утверждении форм бланков свидетельств о государственной регистрации актов гражданского состояния" (зарегистрирован Минюстом России 6 июля 2017 г., регистрационный N 47319);

приказом Минюста России от 30 июня 2017 г. N 118 "Об утверждении форм записей актов гражданского состояния" (зарегистрирован Минюстом России 6 июля 2017 г., регистрационный N 47318);

приказом Минюста России от 10 августа 2017 г. N 144 "Об утверждении форм заявлений о государственной регистрации актов гражданского состояния и Правил заполнения форм заявлений о государственной регистрации актов гражданского состояния" (зарегистрирован Минюстом России 22 августа 2017 г. регистрационный N 47893) (далее - Правила заполнения заявлений);

приказом Минюста России от 20 сентября 2017 г. N 173 "Об утверждении форм справок и иных документов, подтверждающих наличие или отсутствие фактов государственной регистрации актов гражданского состояния, и Правил заполнения форм справок и иных документов, подтверждающих наличие или отсутствие фактов государственной регистрации актов гражданского состояния" (зарегистрирован Минюстом России 28 сентября 2017 г., регистрационный N 48358) (далее - приказ Минюста России N 173);

нормативными правовыми актами субъектов Российской Федерации, регулирующими порядок и условия вступления в брак до достижения возраста шестнадцати лет, порядок присвоения двойных фамилий супругам при заключении брака, фамилии и отчества ребенку, а также вопросы образования органов записи актов гражданского состояния и организации деятельности по государственной регистрации актов гражданского состояния на территории субъектов Российской Федерации.

Исчерпывающий перечень документов, необходимых в соответствии с нормативными правовыми актами для предоставления государственной услуги, подлежащих представлению заявителем, способы их получения заявителем, порядок их представления

24. Для предоставления государственной услуги заявителем представляются документы для государственной регистрации конкретного вида акта гражданского состояния или совершения иного юридически значимого действия. В случаях, установленных Федеральным законом, данные документы могут быть представлены уполномоченным лицом <9>.

<9> Пункт 2 статьи 9, пункт 2 статьи 16, пункт 2 статьи 35, пункт 1 статьи 41, пункт 2 статьи 54 Федерального закона.

Для выдачи повторного свидетельства (справки) о государственной регистрации акта гражданского состояния документы могут быть направлены почтовым отправлением с описью вложения.

25. Для государственной регистрации актов гражданского состояния и совершения иных юридически значимых действий должны быть представлены:

заявление установленной формы (в случае обязательной подачи заявления в письменной форме), составленное в соответствии с Правилами заполнения заявлений;

документы, являющиеся основанием для государственной регистрации акта гражданского состояния и совершения иного юридически значимого действия;

документ, удостоверяющий личность заявителя;

документ, подтверждающий полномочия заявителя;

документ, подтверждающий полномочия представителя заявителя;

иные документы, предусмотренные Федеральным законом, указанные в пунктах 26 - 39 Административного регламента.

Запрещается истребование документов и информации, не предусмотренных Семейным кодексом Российской Федерации и Федеральным законом.

26. Заявители вправе по собственной инициативе представлять документы, подтверждающие содержание норм иностранного семейного права, на которые они ссылаются в обоснование своих требований или возражений, и иным образом содействовать органам, предоставляющим государственную услугу, в установлении содержания норм иностранного семейного права.

27. Орган, предоставляющий государственную услугу, не вправе требовать от заявителя:

представления документов и информации или осуществления действий, представление или осуществление которых не предусмотрено нормативными правовыми актами, регулирующими отношения, возникающие в связи с предоставлением государственной услуги;

представления документов и информации, которые находятся в распоряжении других органов, предоставляющих государственную услугу, иных государственных органов, органов местного самоуправления, организаций в соответствии с нормативными правовыми актами Российской Федерации, нормативными правовыми актами субъектов Российской Федерации, муниципальными правовыми актами;

документ об уплате государственной пошлины.

28. Для государственной регистрации рождения заявители представляют:

1) документы, удостоверяющие личности родителей (одного из родителей);

2) документы, удостоверяющие личность заявителя и подтверждающие его полномочия (в случае подачи заявления о рождении уполномоченным родителями лицом);

3) заявление о рождении, которое подается в устной или письменной форме либо направляется в орган, предоставляющий государственную услугу, в форме электронного документа через Единый портал. Заявление о рождении ребенка, которое направляется в форме электронного документа, подписывается простой электронной подписью заявителя. Заполнение заявления производится с использованием технических средств (компьютеров) либо рукописным способом в соответствии с Правилами заполнения заявлений.

В случае, если родители не имеют возможности лично заявить о рождении ребенка, заявление о рождении ребенка может быть сделано родственником одного из родителей или иным уполномоченным родителями (одним из родителей) лицом либо должностным лицом медицинской организации или должностным лицом иной организации, в которой находилась мать во время родов или находится ребенок.

Заявление о рождении ребенка должно быть сделано не позднее чем через месяц со дня рождения ребенка.

Заявление о рождении ребенка, достигшего возраста одного года и более, при наличии документа установленной формы о рождении, выданного медицинской организацией или индивидуальным предпринимателем, осуществляющим медицинскую деятельность, производится родителями (одним из родителей) или иными заинтересованными лицами, а также самим ребенком, достигшим совершеннолетия;

4) один из следующих документов, являющихся основанием для государственной регистрации рождения:

- документ о рождении, выданный медицинской организацией независимо от ее организационно-правовой формы, в которой происходили роды;

- документ о рождении, выданный медицинской организацией, врач которой оказывал медицинскую помощь при родах или в которую обратилась мать после родов, либо индивидуальным предпринимателем (при родах вне медицинской организации);

- заявление лица, присутствовавшего во время родов, о рождении ребенка - при родах вне медицинской организации и без оказания медицинской помощи (до исполнения ребенком одного года). При отсутствии у указанного лица возможности явиться в орган, предоставляющий государственную услугу, его подпись на заявлении о рождении ребенка данной женщиной должна быть удостоверена организацией, в которой указанное лицо работает или учится, жилищно-эксплуатационной организацией или органом местного самоуправления по месту его жительства либо администрацией стационарной медицинской организации, в которой указанное лицо находится на лечении;

- решение суда об установлении факта рождения ребенка данной женщиной (при отсутствии иных оснований для государственной регистрации рождения ребенка);

- решение суда об установлении факта рождения ребенка, достигшего возраста одного года и более (при отсутствии документа установленной формы о рождении);

- документ установленной формы о перинатальной смерти, выданный медицинской организацией или индивидуальным предпринимателем (при государственной регистрации рождения ребенка, родившегося мертвым);

5) документ, выданный медицинской организацией и подтверждающий факт получения согласия женщины, родившей ребенка (суррогатной матери), на запись супругов, давших согласие на имплантацию эмбриона другой женщине в целях его вынашивания, родителями ребенка (при государственной регистрации рождения ребенка по заявлению супругов, давших согласие на имплантацию эмбриона другой женщине в целях его вынашивания);

6) документы, являющиеся основанием для внесения сведений об отце в запись акта о рождении ребенка:

- свидетельство о заключении брака родителей либо свидетельство об установлении отцовства;

- свидетельство о расторжении брака родителей либо решение суда о расторжении брака или признании брака недействительным, вступившее в законную силу, или свидетельство о смерти супруга матери ребенка в случае, если брак между родителями ребенка расторгнут, признан судом недействительным или если супруг матери ребенка умер, но со дня расторжения брака, признания его недействительным или со дня смерти супруга до дня рождения ребенка прошло не более трехсот дней.

В случае подачи матерью ребенка, которая предъявляет свидетельство о расторжении брака либо решение суда о расторжении брака или признании брака недействительным, вступившее в законную силу, или свидетельство о смерти супруга, если со дня расторжения брака, признания его недействительным или со дня смерти супруга до дня рождения ребенка прошло не более трехсот дней, и лицом, не состоящим в браке с матерью ребенка и признающим себя отцом ребенка, заявления о рождении и заявления об установлении отцовства производится государственная регистрация установления отцовства с одновременной регистрацией рождения ребенка. Отцом ребенка записывается указанное лицо, не состоящее в браке с матерью ребенка и признающее себя отцом ребенка.

Если отцовство не установлено, по желанию матери, не состоящей в браке, представляется заявление матери ребенка о внесении сведений об отце ребенка в запись акта о рождении в письменной форме.

29. При государственной регистрации рождения найденного (подкинутого) ребенка должны быть представлены:

заявление органа внутренних дел, органа опеки и попечительства либо медицинской организации, воспитательной организации или организации социального обслуживания, в которую помещен ребенок, о государственной регистрации рождения найденного (подкинутого) ребенка, в котором указываются сведения о фамилии, имени и отчестве (при наличии) найденного (подкинутого) ребенка;

документ об обнаружении ребенка, выданный органом внутренних дел или органом опеки и попечительства, с указанием времени, места и обстоятельств, при которых ребенок найден;

документ, выданный медицинской организацией и подтверждающий возраст и пол найденного (подкинутого) ребенка.

30. При государственной регистрации рождения ребенка, оставленного матерью, не предъявившей документа, удостоверяющего ее личность (предъявившей документ, удостоверяющий ее личность), в медицинской организации, в которой происходили роды или в которую мать обратилась после родов, должны быть представлены:

- заявление медицинской организации, в которой находится ребенок, либо органа опеки и попечительства по месту нахождения ребенка;

- документ установленной формы о рождении, выданный медицинской организацией, в которой происходили роды или в которую обратилась мать после родов;

- акт об оставлении ребенка, выданный медицинской организацией, в которой находится этот ребенок.

31. Для государственной регистрации заключения брака заявители представляют:

1) совместное заявление, которое подается в письменной форме или направляется в орган, предоставляющий государственную услугу, вместе с иными документами, необходимыми для подачи совместного заявления о заключении брака в соответствии с Федеральным законом, в форме электронных документов через Единый портал. Заявление, которое направляется в форме электронного документа, подписывается простой электронной подписью каждого заявителя. Это заявление и иные необходимые документы, предусмотренные Федеральным законом для государственной регистрации заключения брака, могут быть поданы через многофункциональный центр предоставления государственных и муниципальных услуг.

В случае направления совместного заявления о заключении брака в форме электронного документа подлинники указанных в Федеральном законе документов, необходимых для государственной регистрации заключения брака и направленных ранее в орган, предоставляющий государственную услугу, в форме электронных документов, представляются лицами, вступающими в брак, при личном обращении в орган, предоставляющий государственную услугу, в назначенное для государственной регистрации заключения брака время.

Заполнение совместного заявления производится с использованием компьютерной техники или рукописным способом в соответствии с Правилами заполнения заявлений.

В случае, если одно из лиц, вступающих в брак, не имеет возможности явиться в орган, предоставляющий государственную услугу, или в многофункциональный центр предоставления государственных и муниципальных услуг для подачи совместного заявления, волеизъявление лиц, вступающих в брак, может быть оформлено отдельными заявлениями о заключении брака. Подпись лица на заявлении должна быть нотариально удостоверена, за исключением случая, если заявление направлено через Единый портал. К нотариально удостоверенной подписи лица, совершенной на заявлении о заключении брака, приравнивается удостоверенная начальником места содержания под стражей или начальником исправительного учреждения подпись подозреваемого или обвиняемого, содержащегося под стражей, либо осужденного, отбывающего наказание в исправительном учреждении;

2) документы, удостоверяющие личности вступающих в брак;

3) документ, подтверждающий прекращение предыдущего брака (в случае если лицо (лица) состояло(и) в браке ранее).

В случае, если государственная регистрация расторжения предыдущего брака производилась органом, предоставляющим государственную услугу, в который подано заявление о заключении брака, предъявление документа, подтверждающего прекращение предыдущего брака, не требуется, и орган, предоставляющий государственную услугу, на основании сведений, изложенных заявителем в заявлении, устанавливает факт прекращения предыдущего брака на основании имеющейся записи акта о расторжении брака. В этом случае лицо (лица), вступающее(ие) в брак, вправе предъявить документ, подтверждающий прекращение предыдущего брака, по собственной инициативе;

4) разрешение на вступление в брак до достижения брачного возраста в случае, если лицо (лица), вступающее(ие) в брак, является(ются) несовершеннолетним(и);

5) документ, выданный компетентным органом иностранного государства, о семейном положении лица, вступающего в брак, в случае, если это лицо является иностранным гражданином или лицом без гражданства, проживающим на территории иностранного государства.

32. Для государственной регистрации расторжения брака заявители представляют:

1) в случае расторжения брака по взаимному согласию супругов, не имеющих общих детей, не достигших совершеннолетия, - совместное заявление супругов, которое подается в письменной форме лично или направляется в орган, предоставляющий государственную услугу, в форме электронного документа через Единый портал. Заявление о расторжении брака, которое направляется в форме электронного документа, подписывается усиленной квалифицированной электронной подписью каждого заявителя. Указанное заявление может быть подано через многофункциональный центр предоставления государственных и муниципальных услуг.

В случае, если один из супругов, желающих расторгнуть брак, не имеет возможности явиться в орган, предоставляющий услугу, или многофункциональный центр предоставления государственных и муниципальных услуг для подачи заявления, волеизъявление супругов может быть оформлено отдельными заявлениями о расторжении брака. Подпись супруга на заявлении должна быть нотариально удостоверена, за исключением случая, если заявление направлено через Единый портал;

- в случае, если один из супругов признан судом безвестно отсутствующим, недееспособным или осужден за совершение преступления к лишению свободы на срок свыше трех лет, - заявление о расторжении брака, которое подается другим супругом в письменной форме;

- в случае расторжения брака на основании решения суда - заявление супругов (одного из супругов) или опекуна недееспособного супруга в устной или письменной форме. Заявление о государственной регистрации расторжения брака может быть направлено в орган, предоставляющий государственную услугу, в форме электронного документа через Единый портал. Заявление о государственной регистрации расторжения брака, которое направляется в форме электронного документа, подписывается простой электронной подписью каждого заявителя.

Бывшие супруги (каждый из супругов) или опекун недееспособного супруга могут в письменной форме уполномочить других лиц сделать заявление о государственной регистрации расторжения брака.

Заполнение заявления производится с использованием компьютерной техники или рукописным способом в соответствии с Правилами заполнения заявлений;

2) свидетельство о заключении брака (в случае расторжения брака супругов, не имеющих общих детей, не достигших совершеннолетия, или расторжения брака по заявлению одного из супругов). В случае утраты свидетельства о заключении брака, если государственная регистрация заключения брака производилась органом, предоставляющим государственную услугу, в который подается заявление о расторжении брака, предъявление повторного свидетельства о заключении брака не требуется;

3) копию вступившего в законную силу решения (приговора) суда в отношении супруга, признанного судом безвестно отсутствующим, недееспособным или осужденного за совершение преступления к лишению свободы на срок свыше трех лет (в случае расторжения брака по заявлению одного из супругов);

4) решение суда (выписку из решения суда) о расторжении брака, вступившее в законную силу (в случае расторжения брака на основании решения суда);

5) документы, удостоверяющие личности супругов (бывших супругов);

6) документ, удостоверяющий личность лица, уполномоченного сделать заявление о государственной регистрации расторжения брака, и подтверждающий его полномочия (в случае государственной регистрации расторжения брака уполномоченным лицом на основании решения суда);

7) документ, подтверждающий полномочия опекуна недееспособного супруга (в случае расторжения брака на основании решения суда или дополнения записи акта о расторжении брака в части сведений о недееспособном супруге).

33. Для государственной регистрации усыновления заявители представляют:

1) заявление о государственной регистрации усыновления, которое излагается в устной или письменной форме либо направляется в орган, предоставляющий государственную услугу, в форме электронного документа через Единый портал.

Заявление о государственной регистрации усыновления, которое направляется в форме электронного документа, подписывается простой электронной подписью каждого усыновителя. Заполнение заявления производится с использованием компьютерной техники или рукописным способом в соответствии с Правилами заполнения заявлений.

В случае направления заявления о государственной регистрации усыновления в форме электронного документа подлинники документов, указанных в Федеральном законе, представляются усыновителями при личном обращении в орган, предоставляющий государственную услугу, в назначенное для государственной регистрации усыновления время.

Усыновители (усыновитель) вправе уполномочить в письменной форме других лиц сделать заявление о государственной регистрации усыновления;

2) решение суда об усыновлении ребенка, вступившее в законную силу и являющееся основанием для государственной регистрации усыновления;

3) документы, удостоверяющие личности (личность) усыновителей (усыновителя);

4) документы, удостоверяющие личность и полномочия лица, заявляющего о государственной регистрации усыновления (в случае подачи заявления о государственной регистрации усыновления уполномоченным лицом);

5) свидетельство о рождении усыновляемого ребенка.

34. Для государственной регистрации установления отцовства заявители представляют:

1) совместное заявление об установлении отцовства отца и матери ребенка, не состоящих между собой в браке на момент рождения ребенка.

Совместное заявление об установлении отцовства может быть подано:

- при государственной регистрации рождения ребенка;

- после государственной регистрации рождения ребенка;

- во время беременности матери, если имеются основания предполагать, что подача совместного заявления об установлении отцовства после рождения ребенка может оказаться невозможной или затруднительной.

Совместное заявление об установлении отцовства отца и матери ребенка, не состоящих между собой в браке на момент рождения ребенка, подается в письменной форме либо может быть направлено в орган, предоставляющий государственную услугу, в форме электронного документа через Единый портал.

Заполнение заявления производится с использованием компьютерной техники или рукописным способом в соответствии с Правилами заполнения заявлений.

Заявление об установлении отцовства, которое направляется в форме электронного документа, подписывается простой электронной подписью каждого заявителя.

В случае, если отец или мать ребенка не имеют возможности лично подать совместное заявление, их волеизъявление может быть оформлено отдельными заявлениями об установлении отцовства. Подпись лица, не имеющего возможности присутствовать при подаче такого заявления, должна быть нотариально удостоверена. К нотариально удостоверенной подписи отца или матери ребенка, совершенной на заявлении об установлении отцовства, приравнивается удостоверенная начальником места содержания под стражей или начальником исправительного учреждения подпись подозреваемого или обвиняемого, содержащегося под стражей, либо осужденного, отбывающего наказание в исправительном учреждении.

В случае направления совместного заявления об установлении отцовства в форме электронного документа подлинники документов, указанных в Федеральном законе, представляются заявителями при личном обращении в орган, предоставляющий государственную услугу, в назначенное для государственной регистрации установления отцовства время;

2) заявление об установлении отцовства отца ребенка, не состоящего в браке с матерью ребенка на момент рождения ребенка, подаваемое в письменной форме либо направляемое в орган, предоставляющий государственную услугу, в форме электронного документа через Единый портал. Заявление отца об установлении отцовства, которое направляется в форме электронного документа, подписывается простой электронной подписью заявителя. Заявление отца, не состоящего в браке с матерью ребенка на момент рождения ребенка, подается в случае:

- смерти матери;

- признания матери недееспособной;

- отсутствия сведений о месте пребывания матери;

- лишения матери родительских прав.

При государственной регистрации установления отцовства в случае смерти матери орган, предоставляющий государственную услугу, с использованием сведений, изложенных заявителем в заявлении, проверяет факт государственной регистрации смерти матери на территории Российской Федерации на основании сведений, содержащихся в Едином реестре <10>.

<10> Вступает в силу со дня вступления в силу пункта 2 статьи 3 Федерального закона от 23.06.2016 N 219-ФЗ "О внесении изменений в Федеральный закон "Об актах гражданского состояния".

В случае смерти матери ребенка заявитель вправе по собственной инициативе предъявить свидетельство о смерти матери.

При установлении отцовства в отношении несовершеннолетнего лица во всех вышеуказанных случаях заявителем представляется документ, подтверждающий согласие органа опеки и попечительства на установление отцовства.

В случае направления заявления об установлении отцовства в форме электронного документа подлинники документов, указанных в Федеральном законе, представляются заявителем при личном обращении в орган, предоставляющий государственную услугу, в назначенное для государственной регистрации установления отцовства время;

3) заявление об установлении отцовства на основании решения суда об установлении отцовства или об установлении факта признания отцовства. Такое заявление может быть сделано устно или в письменной форме матерью или отцом ребенка, опекуном (попечителем) ребенка, лицом, на иждивении которого находится ребенок, либо самим ребенком, достигшим совершеннолетия, либо направлено в форме электронного документа через Единый портал. Заявление о государственной регистрации установления отцовства, которое направляется в форме электронного документа, подписывается простой электронной подписью заявителя.

Заполнение заявления производится с использованием компьютерной техники или рукописным способом в соответствии с Правилами заполнения заявлений.

В случае направления в форме электронного документа заявления о государственной регистрации установления отцовства решение суда представляется заявителем при личном обращении в орган, предоставляющий государственную услугу, в назначенное для государственной регистрации установления отцовства время.

Заявители могут в письменной форме уполномочить других лиц сделать заявление о государственной регистрации установления отцовства (в случае государственной регистрации установления отцовства на основании решения суда об установлении отцовства или об установлении факта признания отцовства);

4) свидетельство о рождении ребенка (в случае установления отцовства после рождения ребенка) или документ, являющийся основанием для государственной регистрации рождения ребенка (в случае, если государственная регистрация рождения и установления отцовства производится одновременно);

5) документ, подтверждающий беременность матери, выданный медицинской организацией или частнопрактикующим врачом (в случае подачи совместного заявления до рождения ребенка);

6) согласие лица, достигшего совершеннолетия, на установление отцовства в письменной форме (если государственная регистрация установления отцовства производится в отношении лица, достигшего совершеннолетия ко дню подачи заявления об установлении отцовства). В случае, если указанное лицо признано недееспособным, предъявляется согласие его опекуна или органа опеки и попечительства.

Согласие лица, достигшего совершеннолетия, может быть выражено в отдельном заявлении (произвольной формы) или посредством подписи совместного заявления отца и матери (заявления отца);

7) документ о смерти матери, выданный компетентным органом иностранного государства, вступившее в законную силу решение суда о признании матери недееспособной или о лишении ее родительских прав либо о признании матери безвестно отсутствующей или документ, выданный органом внутренних дел по последнему известному месту жительства матери, подтверждающий невозможность установления ее места пребывания (предъявляется в случае подачи заявления об установлении отцовства отцом ребенка, не состоящим в браке с матерью ребенка на момент рождения ребенка);

8) документ, выданный органом опеки и попечительства, подтверждающий согласие данного органа на установление отцовства (в случае подачи отцом, не состоящим в браке с матерью ребенка на момент рождения ребенка, заявления об установлении отцовства в отношении лица, не достигшего совершеннолетия);

9) решение суда об установлении отцовства или об установлении факта признания отцовства, вступившее в законную силу (в случае государственной регистрации установления отцовства на основании решения суда);

10) документы, удостоверяющие личности родителей ребенка;

11) документы, удостоверяющие личность и полномочия лица, заявляющего о государственной регистрации установления отцовства (в случае подачи уполномоченным лицом заявления о государственной регистрации установления отцовства на основании решения суда).

35. Для государственной регистрации перемены имени заявитель представляет:

1) заявление о перемене имени в письменной форме. Заполнение заявления производится с использованием компьютерной техники или рукописным способом в соответствии с Правилами заполнения заявлений;

2) свидетельство о рождении лица, желающего переменить имя;

3) свидетельство о заключении брака (в случае, если заявитель состоит в браке). Если заявитель состоял не в одном браке и при заключении браков изменял фамилию на фамилию супруга, необходимо предъявить справки о заключении всех предыдущих браков;

4) свидетельство о расторжении брака (в случае, если заявитель ходатайствует о присвоении ему добрачной фамилии в связи с расторжением брака). Если заявитель состоял не в одном браке, необходимо предъявить свидетельства о расторжении предыдущих браков;

5) свидетельство о рождении каждого из детей заявителя, не достигших совершеннолетия (в случае, если заявитель имеет детей, не достигших совершеннолетия);

6) согласие обоих родителей, усыновителей или попечителя (в случае перемены имени лицом, не достигшим совершеннолетия). Согласие указанных лиц может быть написано в присутствии руководителя или специалиста органа, предоставляющего государственную услугу, либо заявителем могут быть представлены их согласия, удостоверенные нотариально.

Согласие родителей не требуется в случае приобретения лицом, желающим переменить имя, полной дееспособности до достижения им совершеннолетия в порядке, предусмотренном Гражданским кодексом Российской Федерации.

В случае лишения одного из родителей родительских прав, признания его судом недееспособным либо безвестно отсутствующим или его смерти перемена имени производится при наличии согласия другого родителя.

В указанных выше случаях заявителем представляются документы, подтверждающие соответствующие факты;

7) решение суда (в случае перемены имени лицом, не достигшим совершеннолетия, и отсутствия согласия обоих родителей, усыновителей или попечителя, за исключением случаев приобретения лицом полной дееспособности до достижения им совершеннолетия в порядке, предусмотренном Гражданским кодексом Российской Федерации);

8) документ, удостоверяющий личность заявителя.

36. Для государственной регистрации смерти заявитель представляет:

1) заявление о смерти, изложенное в устной или письменной форме либо направленное в форме электронного документа в орган, предоставляющий государственную услугу, через Единый портал. Заявление о государственной регистрации смерти, которое направляется в форме электронного документа, подписывается простой электронной подписью заявителя.

Заявление о смерти в письменной форме заполняется с использованием компьютерной техники или рукописным способом в соответствии с Правилами заполнения заявлений.

Заявить о смерти устно или в письменной форме обязаны:

- супруг (супруга), другие члены семьи умершего, а также любое другое лицо, присутствовавшее в момент смерти или иным образом информированное о наступлении смерти;

- медицинская организация или организация социального обслуживания в случае, если смерть наступила в период пребывания лица в данных организациях;

- учреждение, исполняющее наказание, в случае, если смерть осужденного наступила в период отбывания им наказания в местах лишения свободы;

- орган дознания или следствия в случае, если проводится расследование в связи со смертью лица или по факту смерти, когда личность умершего не установлена;

- командир воинской части в случае, если смерть наступила в период прохождения лицом военной службы.

В случае направления заявления о смерти в форме электронного документа решение суда представляется заявителем при личном обращении в орган, предоставляющий государственную услугу, в назначенное для государственной регистрации смерти время.

Заявление о смерти должно быть сделано не позднее чем через три дня со дня наступления смерти или со дня обнаружения тела умершего;

2) один из следующих документов:

- документ о смерти, выданный медицинской организацией или индивидуальным предпринимателем, осуществляющим медицинскую деятельность, или в случае, предусмотренном Федеральным законом от 5 июня 2012 г. N 50-ФЗ "О регулировании деятельности российских граждан и российских юридических лиц в Антарктике" (Собрание законодательства Российской Федерации, 2012, N 24, ст. 3067), - другим уполномоченным лицом в порядке, установленном приказом Минздравсоцразвития России N 782н;

- решение суда об установлении факта смерти или об объявлении лица умершим, вступившее в законную силу;

- документ, выданный компетентными органами, о факте смерти лица, необоснованно репрессированного и впоследствии реабилитированного на основании Закона о реабилитации жертв политических репрессий;

3) документ, удостоверяющий личность заявителя;

4) документ, удостоверяющий личность умершего (при его наличии).

37. Для внесения исправлений или изменений в запись акта гражданского состояния заявитель представляет:

1) заявление о внесении исправлений или изменений в запись акта гражданского состояния в письменной форме. Заявление заполняется с использованием компьютерной техники или рукописным способом в соответствии с Правилами заполнения заявлений.

Внесение исправлений или изменений в запись акта гражданского состояния, ранее составленную в отношении умершего, производится по заявлению родственника умершего или другого заинтересованного лица;

2) свидетельство (справка) о государственной регистрации акта гражданского состояния, которое(ая) подлежит обмену в связи с внесением исправления или изменения в запись акта гражданского состояния <11>;

<11> Утрачивает силу со дня вступления в силу пункта 2 статьи 3 Федерального закона от 23.06.2016 N 219-ФЗ "О внесении изменений в Федеральный закон "Об актах гражданского состояния".

3) один из следующих документов, являющихся основанием для внесения исправления или изменения в запись акта гражданского состояния:

- решение суда;

- решение органа опеки и попечительства об изменении фамилии и (или) собственно имени ребенка (в случае внесения исправления или изменения в запись акта о рождении ребенка, не достигшего возраста четырнадцати лет);

- заявление матери, не состоящей в браке с отцом ребенка, о внесении в запись акта о рождении сведений об отце ребенка либо об их изменении или исключении;

- заявление лица, достигшего совершеннолетия, об изменении сведений о родителе (родителях) в записи акта о рождении данного лица в случае перемены имени родителем (родителями);

- документ установленной формы, выданный органом дознания или следствия, об установлении личности умершего, смерть которого зарегистрирована как смерть неизвестного лица;

- документ установленной формы о факте смерти необоснованно репрессированного и впоследствии реабилитированного лица на основании Закона о реабилитации жертв политических репрессий в случае, если смерть зарегистрирована ранее;

- документ установленной формы об изменении пола, выданный медицинской организацией;

- иные документы, подтверждающие наличие основания для внесения исправления или изменения в запись акта гражданского состояния;

4) документ, удостоверяющий личность заявителя;

5) документ, подтверждающий полномочия заявителя (в случае подачи заявления иным заинтересованным лицом).

38. Для получения повторных свидетельств о государственной регистрации актов гражданского состояния и иных документов, подтверждающих наличие или отсутствие фактов государственной регистрации актов гражданского состояния, заявитель представляет:

1) заявление о выдаче повторного свидетельства о государственной регистрации акта гражданского состояния или иного документа, подтверждающего наличие или отсутствие факта государственной регистрации акта гражданского состояния.

Заявление заполняется с использованием компьютерной техники или рукописным способом в соответствии с Правилами заполнения заявлений.

Заявление о выдаче повторного свидетельства (справки) о государственной регистрации акта гражданского состояния может быть направлено в орган, предоставляющий государственную услугу, посредством почтовой связи, через Единый портал или многофункциональный центр предоставления государственных и муниципальных услуг.

Лицу, не состоящему в браке, по его просьбе органом, предоставляющим услугу, может быть выдан документ об отсутствии факта государственной регистрации заключения брака заявителя на основании сведений, содержащихся в Едином реестре, в порядке, установленном пунктами 4 или 5 статьи 9 Федерального закона <12>;

<12> Вступает в силу со дня вступления в силу пункта 2 статьи 3 Федерального закона от 23 июня 2016 г. N 219-ФЗ "О внесении изменений в Федеральный закон "Об актах гражданского состояния".

2) документ, удостоверяющий личность заявителя;

3) документы, подтверждающие право заявителя на получение повторного свидетельства (справки) о государственной регистрации акта гражданского состояния в соответствии с перечнем документов, подтверждающих в соответствии со статьей 9 Федерального закона от 15.11.1997 N 143-ФЗ "Об актах гражданского состояния" право лица на получение документов о государственной регистрации актов гражданского состояния, утвержденным приказом Минюста России от 19 августа 2016 г. N 194.

39. Для восстановления (аннулирования) записи акта гражданского состояния заявитель представляет:

1) заявление о восстановлении (аннулировании) записи акта гражданского состояния в письменной или устной форме;

2) решение суда об установлении факта государственной регистрации акта гражданского состояния (аннулировании записи акта гражданского состояния), вступившее в законную силу;

3) документ, удостоверяющий личность заявителя.

Исчерпывающий перечень документов, необходимых в соответствии с нормативными правовыми актами для предоставления государственной услуги, которые находятся в распоряжении государственных органов, участвующих в предоставлении государственных услуг, и которые заявитель вправе представить, а также способы их получения заявителями, порядок их представления

40. Для государственной регистрации смерти, а также внесения исправлений и изменений в записи актов гражданского состояния в орган, предоставляющий государственную услугу, может быть необходимо представление:

документа о факте смерти лица, необоснованно репрессированного и впоследствии реабилитированного на основании Закона о реабилитации жертв политических репрессий, смерть которого ранее не регистрировалась;

документа о факте смерти лица, необоснованно репрессированного и впоследствии реабилитированного на основании Закон о реабилитации жертв политических репрессий, смерть которого зарегистрирована ранее.

Орган, предоставляющий государственную услугу, получает указанные документы по межведомственному запросу из соответствующего компетентного органа Российской Федерации.

Заявитель также вправе представить по собственной инициативе указанные документы, полученные в компетентном органе Российской Федерации. В этом случае межведомственный запрос в компетентный орган Российской Федерации не направляется.

Непредставление заявителем указанного документа не является основанием для отказа заявителю в предоставлении государственной услуги.

41. Запрещается требовать от заявителя:

представления документов и информации или осуществления действий, представление или осуществление которых не предусмотрено нормативными правовыми актами, регулирующими отношения, возникающие в связи с предоставлением государственной услуги;

представления документов и информации, которые в соответствии с нормативными правовыми актами Российской Федерации, нормативными правовыми актами субъектов Российской Федерации и муниципальными правовыми актами находятся в распоряжении государственных органов, предоставляющих государственную услугу, иных государственных органов, органов местного самоуправления и (или) подведомственных государственным органам и органам местного самоуправления организациях, участвующих в предоставлении государственных или муниципальных услуг, за исключением документов, указанных в части 6 статьи 7 Федерального закона от 27 июля 2010 г. N 210-ФЗ "Об организации предоставления государственных и муниципальных услуг".

Требования к документам, выданным компетентными органами иностранных государств и предъявляемым для государственной регистрации актов гражданского состояния

42. Документы, выданные компетентными органами иностранных государств и предъявляемые для государственной регистрации актов гражданского состояния, должны быть легализованы, если иное не предусмотрено международными договорами Российской Федерации, и переведены на государственный язык Российской Федерации (русский язык). Верность перевода должна быть нотариально удостоверена.

Исчерпывающий перечень оснований для отказа в приеме документов, необходимых для предоставления государственной услуги

43. Основания для отказа в приеме документов, необходимых для предоставления государственной услуги, не предусмотрены.

Исчерпывающий перечень оснований для приостановления или отказа в предоставлении государственной услуги

44. Срок рассмотрения заявления о перемене имени приостанавливается в случае необходимости восстановления или изменения записи акта гражданского состояния, в которую необходимо внести изменения в связи с переменой имени, до решения вопроса о восстановлении либо исправлении или изменении записи акта гражданского состояния.

45. Отказ в государственной регистрации акта гражданского состояния или в совершении иного юридически значимого действия допускается в следующих случаях:

государственная регистрация акта гражданского состояния противоречит Федеральному закону;

документы, которые представлены заявителем, не соответствуют требованиям, предъявляемым к ним Федеральным законом и иными нормативными правовыми актами;

заявитель не имеет права на получение повторных свидетельств и иных документов, подтверждающих факты государственной регистрации акта гражданского состояния;

при наличии спора между заинтересованными лицами при внесении исправлений или изменений в записи актов гражданского состояния;

при отсутствии документов, подтверждающих наличие оснований для внесения исправлений или изменений в записи актов гражданского состояния.

Не допускается государственная регистрация заключения брака между:

лицами, из которых хотя бы одно лицо уже состоит в другом зарегистрированном браке;

близкими родственниками (родственниками по прямой восходящей и нисходящей линии (родителями и детьми, дедушкой, бабушкой и внуками), полнородными и неполнородными (имеющими общих отца или мать) братьями и сестрами) <13>;

<13> Статья 14 Семейного кодекса Российской Федерации.

усыновителями и усыновленными;

лицами, из которых хотя бы одно лицо признано судом недееспособным вследствие психического расстройства.

Руководитель органа, предоставляющего государственную услугу, может отказать в государственной регистрации заключения брака, если располагает доказательствами, подтверждающими наличие обстоятельств, препятствующих заключению брака.

46. Руководитель органа, предоставляющего государственную услугу, отказывает в государственной регистрации установления отцовства в случае наличия сведений об отце в записи акта о рождении ребенка, за исключением случая, если сведения об отце ребенка внесены по заявлению матери в порядке, предусмотренном пунктом 3 статьи 17 Федерального закона.

47. Не производится государственная регистрация перемены имени в отношении лиц, не достигших возраста 14 лет.

48. Работник органа, предоставляющего государственную услугу, не вправе производить государственную регистрацию актов гражданского состояния в отношении себя, своего супруга, его и своих родственников (родителей, детей, внуков, дедушек, бабушек, родных братьев и сестер). Государственная регистрация актов гражданского состояния в таких случаях производится другим работником органа, предоставляющего государственную услугу, или в другом органе, предоставляющем государственную услугу.

49. Не допускается выдача повторных свидетельств о государственной регистрации актов гражданского состояния:

- родителям (одному из родителей) ребенка, в отношении которого они лишены родительских прав или ограничены в родительских правах, - свидетельства о рождении ребенка;

- лицам, расторгнувшим брак, и лицам, брак которых признан недействительным, - свидетельства о заключении брака.

По просьбе указанных лиц им выдается справка установленной формы, подтверждающая факт государственной регистрации рождения ребенка или заключения брака.

50. В предоставлении государственной услуги отказывается в случае отсутствия документов, необходимых для предоставления государственной услуги и подлежащих представлению заявителем.

51. По требованию заявителя, которому отказано в предоставлении государственной услуги, руководитель органа, предоставляющего государственную услугу, обязан сообщить ему причины отказа в письменном виде.

Перечень услуг, которые являются необходимыми и обязательными для предоставления государственной услуги, в том числе сведения о документе (документах), выдаваемом (выдаваемых) организациями, участвующими в предоставлении государственной услуги

52. Услуг, которые являются необходимыми и обязательными для предоставления государственной услуги, в том числе сведений о документе (документах), выдаваемом (выдаваемых) организациями, участвующими в предоставлении государственной услуги, не имеется.

Порядок, размер и основания взимания государственной пошлины за предоставление государственной услуги

53. За государственную регистрацию актов гражданского состояния и совершение органами, предоставляющими государственную услугу, иных юридически значимых действий заявителями уплачивается государственная пошлина.

Размеры и порядок уплаты государственной пошлины устанавливаются Налоговым кодексом Российской Федерации (глава 25.3 "Государственная пошлина").

Плательщики уплачивают государственную пошлину, если иной порядок не установлен Налоговым кодексом Российской Федерации, в следующие сроки:

при обращении за выдачей документов (их дубликатов) - до выдачи документов (их дубликатов);

при обращении за совершением иных юридически значимых действий - до подачи заявлений и (или) иных документов на совершение таких действий либо до подачи соответствующих документов.

Государственная пошлина уплачивается по месту совершения юридически значимого действия в наличной или безналичной форме.

Факт уплаты государственной пошлины плательщиком в наличной форме подтверждается либо квитанцией, выдаваемой плательщику банком, либо квитанцией, выдаваемой плательщику должностным лицом или кассой органа, в котором производилась оплата.

Факт уплаты государственной пошлины плательщиком подтверждается также с использованием информации об уплате государственной пошлины, содержащейся в Государственной информационной системе о государственных и муниципальных платежах, предусмотренной Федеральным законом от 27 июля 2010 г. N 210-ФЗ "Об организации предоставления государственных и муниципальных услуг".

При наличии информации об уплате государственной пошлины, содержащейся в Государственной информационной системе о государственных и муниципальных платежах, дополнительное подтверждение уплаты плательщиком государственной пошлины не требуется.

Иностранные граждане и лица без гражданства уплачивают государственную пошлину в порядке и размерах, которые установлены Налоговым кодексом Российской Федерации для физических лиц.

54. Размер государственной пошлины за государственную регистрацию актов гражданского состояния, совершение иных юридически значимых действий, установленный статьей 333.26 Налогового кодекса Российской Федерации, составляет:

1) за государственную регистрацию заключения брака, включая выдачу свидетельства, - 350 рублей;

2) за государственную регистрацию расторжения брака, включая выдачу свидетельств:

при взаимном согласии супругов, не имеющих общих несовершеннолетних детей, - 650 рублей с каждого из супругов;

при расторжении брака в судебном порядке - 650 рублей с каждого из супругов;

при расторжении брака по заявлению одного из супругов в случае, если другой супруг признан судом безвестно отсутствующим, недееспособным или осужденным за совершение преступления к лишению свободы на срок свыше трех лет, - 350 рублей;

3) за государственную регистрацию установления отцовства, включая выдачу свидетельства об установлении отцовства, - 350 рублей;

4) за государственную регистрацию перемены имени, включающего в себя фамилию, собственно имя и (или) отчество, включая выдачу свидетельства о перемене имени, - 1 600 рублей;

5) за внесение исправлений и изменений в записи актов гражданского состояния, включая выдачу свидетельств, - 650 рублей;

6) за выдачу повторного свидетельства о государственной регистрации акта гражданского состояния - 350 рублей;

7) за выдачу физическим лицам справок из архивов органов ЗАГС и иных уполномоченных органов - 200 рублей.

55. Особенности уплаты государственной пошлины за государственную регистрацию актов гражданского состояния и другие юридически значимые действия определены статьей 333.27 Налогового кодекса Российской Федерации.

56. Перечень лиц, освобождающихся от уплаты государственной пошлины за государственную регистрацию актов гражданского состояния и совершение иных юридически значимых действий, определен статьями 333.18, 333.35 и 333.39 Налогового кодекса Российской Федерации.

57. Возврат плательщику излишне уплаченной (взысканной) суммы государственной пошлины осуществляется территориальным органом Федерального казначейства на основании распоряжений администраторов поступлений в бюджет о возврате поступлений плательщику с учетом положений главы 12, статьи 333.40 главы 25.3 Налогового кодекса Российской Федерации.

Решение о возврате плательщику излишне уплаченной (взысканной) суммы государственной пошлины принимает территориальный орган Минюста России во взаимодействии с органом ЗАГС по месту уплаты государственной пошлины в порядке, установленном законодательством Российской Федерации.

В соответствии с пунктом 3 статьи 333.40 Налогового кодекса Российской Федерации заявление о возврате излишне уплаченной (взысканной) суммы государственной пошлины может быть подано в течение трех лет со дня платы указанной суммы; возврат излишне уплаченной (взысканной) суммы государственной пошлины производится за счет средств бюджета, в который произведена переплата, в течение одного месяца со дня подачи заявления о возврате.

Все действия, связанные с проверкой информации, пересылкой всех необходимых документов и возвратом излишне уплаченной (взысканной) суммы государственной пошлины, должны быть произведены до истечения установленного Налоговым кодексом Российской Федерации месячного срока со дня подачи плательщиком заявления о возврате государственной пошлины.

Не подлежит возврату государственная пошлина, уплаченная за государственную регистрацию заключения брака, расторжения брака, перемены имени, внесение исправлений и (или) изменений в записи актов гражданского состояния, в случае, если впоследствии не была произведена государственная регистрация соответствующего акта гражданского состояния или не были внесены исправления и изменения в записи актов гражданского состояния.

Порядок, размер и основания взимания платы за предоставление услуг, которые являются необходимыми и обязательными для предоставления государственной услуги, включая информацию о методике расчета размера такой платы

58. Плата за услуги, которые являются необходимыми и обязательными для предоставления государственной услуги, не предусмотрена.

Максимальный срок ожидания в очереди при подаче заявления о предоставлении государственной услуги и получении результата ее предоставления, а также срок регистрации заявления о предоставлении государственной услуги

59. Максимальное время ожидания в очереди для подачи заявления о предоставлении государственной услуги не должно превышать пятнадцати минут.

60. Максимальные сроки ожидания прохождения административных процедур, необходимых для получения результата предоставления государственной услуги, приведены в разделе III "Состав, последовательность и сроки выполнения административных процедур (действий), требования к порядку их выполнения, в том числе особенности выполнения административных процедур (действий) в электронной форме" Административного регламента.

Срок и порядок регистрации запроса заявителя о предоставлении государственной услуги, в том числе в электронной форме

61. Заявление о предоставлении государственной услуги, поступившее в письменной форме, в форме электронного документа через Единый портал или многофункциональный центр предоставления государственных и муниципальных услуг, регистрируется органом, предоставляющим государственную услугу, в день поступления в соответствующем журнале.

Заявление, поступившее в форме электронного документа через Единый портал в выходной или нерабочий праздничный день, регистрируется органом, предоставляющим государственную услугу, в ближайший рабочий день.

Требования к помещениям, в которых предоставляется государственная услуга

62. Наличие отдельного входа для доступа заявителей в помещение, в котором расположен орган, предоставляющий государственную услугу, определяется с учетом особенностей организации деятельности по государственной регистрации актов гражданского состояния на территории субъекта Российской Федерации.

При наличии возможности на территории, прилегающей к зданию, в котором расположен орган, предоставляющий государственную услугу, должны быть места для парковки автотранспортных средств. Количество парковочных мест определяется исходя из численности граждан, обращающихся в течение рабочего времени за предоставлением государственной услуги, включая подачу соответствующих заявлений, регистрацию актов гражданского состояния, в том числе государственную регистрацию заключения брака в торжественной обстановке.

63. На центральном входе в помещение органа, предоставляющего государственную услугу, должна быть оборудована информационная табличка, содержащая наименование органа, предоставляющего государственную услугу, и режим работы.

Режим работы органов, предоставляющих государственную услугу на территории субъекта Российской Федерации, включая определение рабочих и выходных дней, устанавливается органом исполнительной власти субъекта Российской Федерации, в компетенцию которого входит организация деятельности по государственной регистрации актов гражданского состояния на территории субъекта Российской Федерации, с учетом территориальных и национальных особенностей.

Если на территории субъекта Российской Федерации полномочия на государственную регистрацию актов гражданского состояния делегированы органам местного самоуправления сельских поселений, режим их работы может отличаться от режима работы других органов, предоставляющих государственную услугу на территории субъекта Российской Федерации.

64. Помещения, предназначенные для ожидания заявителями очереди на представление или получение документов, оборудуются информационными стендами, содержащими информацию, предусмотренную пунктом 4 Административного регламента.

65. В помещениях органов, предоставляющих государственную услугу, оборудуются места для посетителей, которые включают в себя места для ожидания, информирования, приема заявителей, в том числе места для государственной регистрации заключения брака в торжественной обстановке.

66. Площадь мест ожидания и количество посадочных мест зависят от численности заявителей, ежедневно обращающихся в орган, предоставляющий государственную услугу, за предоставлением государственной услуги.

67. Помещения для ожидания оборудуются стульями (кресельными секциями), столами (стойками). Количество мест определяется исходя из возможности их размещения в конкретном органе, предоставляющем государственную услугу.

68. Прием заявителей осуществляется в специально выделенных для этих целей помещениях, в порядке живой очереди, а также может осуществляться с помощью электронной системы управления очередью.

69. Помещения для приема заявителей должны соответствовать комфортным условиям для посетителей и оптимальным условиям работы специалистов с заявителями, быть оборудованы табличками с указанием номера кабинета (окна), фамилии, имени, отчества (при наличии) и должности специалиста, осуществляющего прием заявителей.

70. Рабочие места специалистов, осуществляющих прием заявителей, должны быть оборудованы персональным компьютером с возможностью доступа к необходимым информационным базам данных, печатающим и сканирующим устройствам.

71. Для осуществления приема граждан-инвалидов создаются необходимые условия:

1) оборудование помещения пандусами, специальными ограждениями и перилами, обеспечивающими беспрепятственный вход, передвижение и разворот инвалидных колясок;

2) сопровождение инвалидов, имеющих стойкие расстройства функции зрения и самостоятельного передвижения, и оказание им помощи в помещении, где предоставляется государственная услуга;

3) надлежащее размещение оборудования и носителей информации, необходимых для обеспечения беспрепятственного доступа к помещениям, где предоставляется государственная услуга, с учетом ограничений жизнедеятельности;

4) допуск в помещения, где предоставляется государственная услуга, собаки-проводника;

5) оказание помощи в преодолении барьеров, мешающих получению государственной услуги наравне с другими лицами.

Показатели доступности и качества предоставления государственной услуги

72. Показателями доступности предоставления государственной услуги являются:

1) наличие исчерпывающих сведений о месте, порядке и сроках предоставления государственной услуги на информационных стендах, информационных ресурсах Минюста России, его территориальных органов, органов исполнительной власти субъектов Российской Федерации в информационно-телекоммуникационной сети "Интернет", на Едином портале, на официальных сайтах органов исполнительной власти субъектов Российской Федерации в информационно-телекоммуникационной сети "Интернет";

2) наличие необходимого и достаточного числа специалистов, а также помещений, в которых осуществляется предоставление государственной услуги, в целях соблюдения установленных Административным регламентом сроков предоставления государственной услуги;

3) количество взаимодействий заявителя со специалистом при предоставлении государственной услуги и их продолжительность.

73. Качество предоставления государственной услуги характеризуется:

1) наличием специалистов и уполномоченных должностных лиц с уровнем квалификации, необходимым для надлежащего исполнения административных процедур, предусмотренных Административным регламентом;

2) отсутствием очередей при приеме и выдаче документов заявителям;

3) отсутствием нарушений сроков предоставления государственной услуги;

4) отсутствием жалоб на некорректное, невнимательное отношение специалистов к заявителям (их представителям);

5) количеством отказов в предоставлении государственной услуги, признанных необоснованными органами, указанными в пункте 3 статьи 11 Федерального закона, с учетом общего количества государственных услуг, предоставленных заявителям.

Иные требования, в том числе учитывающие особенности предоставления государственной услуги в многофункциональных центрах предоставления государственных и муниципальных услуг и особенности предоставления государственной услуги в электронной форме

74. В целях соблюдения требований Федерального закона в части подачи заявления о государственной регистрации акта гражданского состояния с использованием Единого портала или через многофункциональный центр предоставления государственных и муниципальных услуг обеспечивается:

1) предоставление информации заявителям и доступ заявителей к сведениям о государственной услуге путем размещения информации о порядке предоставления государственной услуги на официальных сайтах органа исполнительной власти субъекта Российской Федерации в информационно-телекоммуникационной сети "Интернет", многофункционального центра предоставления государственных и муниципальных услуг, на Едином портале;

2) возможность непосредственной подачи заявления о государственной регистрации акта гражданского состояния с использованием Единого портала или многофункционального центра предоставления государственных и муниципальных услуг с соблюдением требований Федерального закона от 6 апреля 2011 г. N 63-ФЗ "Об электронной подписи" и статей 21.1 и 21.2 Федерального закона от 27 июля 2010 г. N 210-ФЗ "Об организации предоставления государственных и муниципальных услуг";

3) направление сообщения заявителю о предоставлении государственной услуги.

75. В случае подачи заявления о государственной регистрации акта гражданского состояния в форме электронного документа через Единый портал либо многофункциональный центр предоставления государственных и муниципальных услуг датой подачи заявления является дата обращения заявителя соответственно на Единый портал или в многофункциональный центр предоставления государственных и муниципальных услуг.

Государственная регистрация соответствующего акта гражданского состояния осуществляется в день, назначенный для явки заявителей (заявителя) в орган, предоставляющий государственную услугу.

III. Состав, последовательность и сроки выполнения административных процедур (действий), требования к порядку их выполнения, в том числе особенности выполнения административных процедур (действий) в электронной форме

Исчерпывающий перечень административных процедур

76. Блок-схемы предоставления государственной услуги приведены в приложении N 2 к Административному регламенту (далее - блок-схемы N 1 - N 10 соответственно).

Государственная регистрация рождения

77. Предоставление государственной услуги по государственной регистрации рождения (далее - государственная услуга по регистрации рождения) (блок-схема N 1) включает в себя следующие административные процедуры:

1) проверка представленных заявителями (заявителем) документов, принятие решения о результате предоставления государственной услуги по регистрации рождения;

2) прием представленных документов и регистрация письменного заявления о рождении в журнале регистрации заявлений о рождении;

3) составление и оформление записи акта о рождении;

4) составление и оформление свидетельства о рождении;

5) учет и выдача свидетельства о рождении;

6) оформление, учет и выдача справки о рождении.

Административная процедура по проверке представленных заявителями (заявителем) документов, принятию решения о результате предоставления государственной услуги по регистрации рождения

77.1. Основанием для начала административной процедуры является личное обращение заявителей (заявителя) в орган, предоставляющий государственную услугу, с одновременным представлением всех необходимых документов, предусмотренных пунктами 24 - 26 Административного регламента.

77.2. Проверка представленных для государственной регистрации рождения документов производится специалистом, ответственным за государственную регистрацию рождения.

77.3. Специалист осуществляет проверку документа, удостоверяющего личность заявителей (заявителя), и иных представленных документов, дает оценку правильности заполнения письменного заявления о рождения.

77.4. При представлении медицинского документа о рождении ребенка, выданного на территории иностранного государства, орган, предоставляющий государственную услугу, проверяет возможность осуществления государственной регистрации рождения в соответствии с международными договорами Российской Федерации и пунктом 1 статьи 7 Федерального закона.

77.5. Если необходимые документы отсутствуют либо не соответствуют установленным законодательством Российской Федерации требованиям, специалист уведомляет заявителей (заявителя) о том, что обнаружены препятствия для предоставления государственной услуги по регистрации рождения, сообщает заявителю о выявленных недостатках в представленных документах и предлагает принять меры к их устранению.

77.6. В случае наличия оснований для отказа в предоставлении государственной услуги по регистрации рождения, указанных в пунктах 45, 50 Административного регламента, специалист возвращает заявителям (заявителю) документы с объяснением причин отказа. По требованию заявителей (заявителя) руководитель органа, предоставляющего государственную услугу, выдает письменный отказ в государственной регистрации рождения.

Максимальный срок выполнения данного действия составляет 30 минут.

77.7. Реализация административной процедуры по проверке представленных заявителями (заявителем) документов, необходимых для предоставления государственной услуги по регистрации рождения, составляет 15 минут.

77.8. Результатом административной процедуры являются проверка специалистом представленных документов и принятие решения о результате предоставления государственной услуги по регистрации рождения. В случае отказа в предоставлении государственной услуги по регистрации рождения - возврат заявителям (заявителю) представленных для государственной регистрации рождения документов с объяснением причин отказа в устной или письменной форме.

Административная процедура по приему представленных документов и регистрации письменного заявления о рождении в журнале регистрации заявлений о рождении

77.9. Основанием для начала административной процедуры является принятое решение о предоставлении государственной услуги по регистрации рождения.

77.10. Специалист регистрирует заявление в журнале регистрации заявлений о рождении.

77.11. На заявлении о рождении проставляются дата и регистрационный номер принятого специалистом заявления о рождении, также указываются фамилия, имя, отчество (при наличии) специалиста. Заявление удостоверяется подписью специалиста.

77.12. Реализация административной процедуры по приему представленных документов и регистрации письменного заявления о рождении в журнале регистрации заявлений о рождении составляет 10 минут.

77.13. Результатом административной процедуры является регистрация специалистом письменного заявления о рождении в журнале регистрации заявлений о рождении.

Административная процедура по составлению и оформлению записи акта о рождении

77.14. Основанием для начала выполнения административной процедуры по оформлению записи акта о рождении является прием специалистом документов, представленных заявителями (заявителем) для государственной регистрации рождения.

77.15. Специалист составляет запись акта о рождении в форме электронного документа и на бумажном носителе не более 20 минут.

77.16. В случае рождения двойни или более детей одновременно запись акта о рождении составляется в отношении каждого ребенка с указанием последовательности их рождения.

77.17. В случае рождения мертвого ребенка сведения о его имени и отчестве в запись акта о рождении не вносятся.

77.18. Запись акта о рождении прочитывается и подписывается заявителем, руководителем органа, предоставляющего государственную услугу, или уполномоченным им работником органа, предоставляющего государственную услугу.

77.19. Запись акта о рождении, составленная в форме электронного документа, подписывается усиленной квалифицированной электронной подписью руководителя органа, предоставляющего государственную услугу, или уполномоченного им работника органа, предоставляющего государственную услугу.

77.20. Дата и номер записи акта о рождении указываются на заявлении о рождении, представленном заявителями (заявителем).

77.21. Реализация административной процедуры по составлению и оформлению записи акта о рождении составляет 30 минут.

77.22. Результатом административной процедуры является составленная и оформленная на бумажном носителе и в форме электронного документа запись акта о рождении, подписанная заявителем, руководителем органа, предоставляющего государственную услугу, или уполномоченным им работником органа, предоставляющего государственную услугу, а также скрепленная оттиском печати с воспроизведением Государственного герба Российской Федерации органа, предоставляющего государственную услугу (далее - печать органа, предоставляющего государственную услугу).

Административная процедура по составлению и оформлению свидетельства о рождении

77.23. Основанием для начала выполнения административной процедуры по составлению и оформлению свидетельства о рождении является оформленная специалистом запись акта о рождении на бумажном носителе и в форме электронного документа.

77.24. Специалист оформляет свидетельство о рождении.

77.25. По желанию родителей в свидетельство о рождении может быть внесена запись о национальности родителей (одного из родителей).

77.26. В случае рождения двойни или более детей одновременно свидетельство о рождении составляется в отношении каждого ребенка.

77.27. В отношении мертворожденного ребенка свидетельство о рождении не выдается. По просьбе родителей (одного из родителей) выдается документ, подтверждающий факт государственной регистрации рождения мертвого ребенка.

77.28. На основании составленной записи акта о рождении ребенка, умершего на первой неделе жизни, выдается свидетельство о рождении.

77.29. Свидетельство о рождении подписывается руководителем органа, предоставляющего государственную услугу, или уполномоченным им работником органа, предоставляющего государственную услугу, и скрепляется оттиском печати органа, предоставляющего государственную услугу.

77.30. Реализация административной процедуры по оформлению свидетельства о рождении составляет 10 минут.

77.31. Результатом административной процедуры является составленное и оформленное свидетельство о рождении, подписанное руководителем органа, предоставляющего государственную услугу, или уполномоченным им работником органа, предоставляющего государственную услугу, скрепленное оттиском печати органа, предоставляющего государственную услугу.

Административная процедура по учету и выдаче свидетельства о рождении

77.32. Основанием для начала выполнения административной процедуры по учету свидетельства о рождении является оформленное свидетельство о рождении.

77.33. Специалист вносит сведения об оформленном свидетельстве о рождении в журнал учета выдачи свидетельств о государственной регистрации рождения.

77.34. Специалист выдает свидетельство о рождении, подписанное руководителем органа, предоставляющего государственную услугу, или уполномоченным им работником органа, предоставляющего государственную услугу, скрепленное оттиском печати органа, предоставляющего государственную услугу.

77.35. При получении свидетельства о рождении заявители (заявитель) прочитывают (прочитывает) свидетельство о рождении, и один из них расписывается в журнале учета выдачи свидетельств о государственной регистрации рождения.

77.36. Реализация административной процедуры по учету и выдаче свидетельства о рождении составляет 10 минут.

77.37. Результатом административной процедуры являются учет и выдача свидетельства о рождении.

Административная процедура по оформлению, учету и выдаче справки о рождении

77.38. Основанием для начала выполнения административной процедуры по оформлению, учету и выдаче справки о рождении является оформленная специалистом запись акта о рождении на бумажном носителе и в форме электронного документа.

77.39. Специалист оформляет справку о рождении.

77.40. Специалист вносит в журнал учета выдачи справок о рождении сведения о справке о рождении, подписанной руководителем органа, предоставляющего государственную услугу, или уполномоченным им работником органа, предоставляющего государственную услугу, и скрепленной оттиском печати органа, предоставляющего государственную услугу.

77.41. При получении справки о рождении заявители (заявитель) прочитывают (прочитывает) справку о рождении, и один из них расписывается в журнале учета выдачи справок о рождении.

77.42. Реализация административной процедуры по оформлению, учету и выдаче справки о рождении составляет 10 минут.

77.43. Результатом административной процедуры являются оформление, учет и выдача справки о рождении.

77.44. Максимальное время совершения административных процедур при предоставлении государственной услуги по регистрации рождения составляет 50 минут.

Государственная регистрация заключения брака

78. Предоставление государственной услуги по государственной регистрации заключения брака (далее - государственная услуга по регистрации заключения брака) (блок-схема N 2) включает в себя следующие административные процедуры:

1) при приеме письменного заявления о заключении брака:

проверка представленных заявителями (заявителем) документов, принятие решения о результате предоставления государственной услуги по регистрации заключения брака;

прием представленных документов и регистрация письменного заявления о заключении брака в журнале регистрации заявлений о заключении брака;

выдача приглашения на государственную регистрацию заключения брака;

2) при государственной регистрации заключения брака:

проверка представленных заявителями документов и принятие решения о предоставлении государственной услуги по регистрации заключения брака;

составление и оформление записи акта о заключении брака;

составление и оформление свидетельства о заключении брака;

проставление штампа о заключении брака в паспорта заявителей;

учет и выдача свидетельства о заключении брака;

проведение церемонии государственной регистрации заключения брака в торжественной обстановке.

Административные процедуры при приеме письменного заявления о заключении брака

Административная процедура по проверке представленных заявителями (заявителем) документов, принятию решения о результате предоставления государственной услуги по регистрации заключения брака

78.1. Основанием для начала выполнения административной процедуры по проверке представленных документов является личное обращение заявителей (заявителя) в орган, предоставляющий государственную услугу, с одновременным представлением всех надлежащим образом оформленных документов, указанных в пунктах 25, 26 и 31 Административного регламента.

78.2. Специалист, ответственный за государственную регистрацию заключения брака, проверяет правильность оформления представленных заявителями (заявителем) документов.

78.3. Если необходимые документы отсутствуют либо не соответствуют установленным законодательством Российской Федерации требованиям, специалист уведомляет заявителей (заявителя) о том, что обнаружены препятствия для предоставления государственной услуги по регистрации заключения брака, сообщает заявителям (заявителю) о выявленных недостатках в представленных документах и предлагает принять меры по их устранению.

78.4. Специалист при проверке документа, удостоверяющего личность гражданина, особое внимание уделяет сроку действия паспорта (при достижении 20 лет, 45 лет паспорт подлежит замене), а также странице "Семейное положение". В случае, если в день государственной регистрации заключения брака срок действия паспорта истечет либо на странице "Семейное положение" паспорта отсутствует место для проставления органом, предоставляющим государственную услугу, штампа о заключении брака, заявителю сообщается, что до назначенной даты государственной регистрации заключения брака необходимо получить новый документ, удостоверяющий личность гражданина. О данном сообщении делается пометка на обратной стороне заявления о заключении брака, заявитель проставляет подпись.

78.5. Реализация административной процедуры по проверке представленных заявителями документов, необходимых для предоставления государственной услуги по регистрации заключения брака, составляет 10 минут.

78.6. Результатом административной процедуры являются проверка специалистом представленных документов и принятие решения о результате предоставления государственной услуги по регистрации заключения брака. В случае отказа в предоставлении государственной услуги по регистрации заключения брака представленные для государственной регистрации заключения брака документы возвращаются заявителям (заявителю) с объяснением причин отказа в устной или письменной форме.

78.7. В случае наличия оснований для отказа в предоставлении государственной услуги по регистрации заключения брака, указанных в пунктах 45, 50 Административного регламента, специалист возвращает заявителям документы с объяснением причин отказа. По требованию заявителей руководитель органа, предоставляющего государственную услугу, выдает письменный отказ в государственной регистрации заключения брака.

Максимальный срок выполнения данного действия составляет 30 минут.

Административная процедура по приему представленных документов и регистрации письменного заявления о заключении брака в журнале регистрации заявлений о заключении брака

78.8. Основанием для начала выполнения административной процедуры по приему представленных документов и регистрации письменного заявления о заключении брака в журнале регистрации заявлений о заключении брака является принятое решение о результате предоставления государственной услуги по регистрации заключения брака.

78.9. Специалист принимает документы и в соответствии с пунктом 13 Административного регламента назначает дату и время государственной регистрации заключения брака, о чем сообщает лицам, вступающим в брак, а на заявлении делает отметку о государственной регистрации заключения брака.

78.10. Заявление о заключении брака подлежит регистрации в журнале регистрации заявлений о заключении брака, на заявлении проставляются дата, регистрационный номер, фамилия, имя, отчество (при наличии) специалиста, принявшего заявление, и ставится его подпись.

78.11. Реализация административной процедуры по приему представленных документов и регистрации заявления о заключении брака в журнале регистрации заявлений о заключении брака составляет 10 минут.

78.12. Результатом административной процедуры являются принятие и регистрация заявления о заключении брака, назначение даты и времени государственной регистрации заключения брака.

Административная процедура по выдаче приглашения на государственную регистрацию заключения брака

78.13. Основанием для начала выполнения административной процедуры по выдаче заявителям приглашения на государственную регистрацию заключения брака являются прием заявления о заключении брака и назначение даты и времени государственной регистрации заключения брака.

78.14. Специалист выдает приглашение на государственную регистрацию заключения брака.

78.15. В приглашении на государственную регистрацию заключения брака указываются фамилии и инициалы лиц, вступающих в брак, время, дата и место государственной регистрации заключения брака.

78.16. Реализация административной процедуры по выдаче приглашения на государственную регистрацию заключения брака составляет 3 минуты.

78.17. Результатом административной процедуры является выдача приглашения на государственную регистрацию заключения брака.

Административные процедуры при государственной регистрации заключения брака

Административная процедура по проверке представленных заявителями документов и принятию решения о предоставлении государственной услуги по регистрации заключения брака

78.18. Основанием для начала выполнения административной процедуры по проверке представленных заявителями документов является личное присутствие заявителей в органе, предоставляющем государственную услугу, в назначенные ранее день и время для государственной регистрации заключения брака.

78.19. Специалист, ответственный за государственную регистрацию заключения брака, проверяет представленные заявителями документы.

78.20. В случае отсутствия документа, удостоверяющего личность гражданина, истечения срока его действия или при наличии других оснований для отказа в предоставлении государственной услуги по регистрации заключения брака, указанных в пунктах 45, 50 Административного регламента, специалист возвращает заявителям документы с объяснением причин отказа. По требованию заявителей руководитель органа, предоставляющего государственную услугу, выдает письменный отказ в государственной регистрации заключения брака.

78.21. Максимальный срок выполнения данного действия составляет 30 минут.

78.22. Реализация административной процедуры по проверке представленных заявителями документов составляет 5 минут.

78.23. Результатом административной процедуры является прием представленных заявителями документов на государственную регистрацию заключения брака, а в случае отказа в предоставлении государственной услуги по регистрации заключения брака - возврат заявителям представленных для государственной регистрации заключения брака документов с объяснением причин отказа в устной или письменной форме.

Административная процедура по составлению и оформлению записи акта о заключении брака

78.24. Основанием для начала выполнения административной процедуры по составлению и оформлению записи акта о заключении брака является прием представленных заявителями документов.

78.25. Специалист составляет запись акта о заключении брака в форме электронного документа и на бумажном носителе.

78.26. Запись акта о заключении брака на бумажном носителе прочитывается и подписывается заявителями и руководителем органа, предоставляющего государственную услугу, или уполномоченным им работником органа, предоставляющего государственную услугу, и скрепляется оттиском печати органа, предоставляющего государственную услугу.

78.27. Запись акта о заключении брака, составленная в форме электронного документа, подписывается усиленной квалифицированной электронной подписью руководителя органа, предоставляющего государственную услугу, или уполномоченным им работником органа, предоставляющего государственную услугу.

78.28. Дата и номер актовой записи указываются на заявлении о государственной регистрации заключения брака.

78.29. Реализация административной процедуры по составлению и оформлению записи акта о заключении брака составляет 30 минут.

78.30. Результатом административной процедуры является составленная и оформленная запись акта о заключении брака на бумажном носителе и в форме электронного документа, подписанная заявителями, руководителем органа, предоставляющего государственную услугу, или уполномоченным им работником органа, предоставляющего государственную услугу, и скрепленная оттиском печати органа, предоставляющего государственную услугу.

Административная процедура по составлению и оформлению свидетельства о заключении брака

78.31. Основанием для начала выполнения административной процедуры по составлению и оформлению свидетельства о заключении брака является составленная специалистом запись акта о заключении брака в форме электронного документа и на бумажном носителе.

78.32. Специалист составляет и оформляет свидетельство о заключении брака.

78.33. Свидетельство о заключения брака подписывается руководителем органа, предоставляющего государственную услугу, или уполномоченным им работником органа, предоставляющего государственную услугу, и скрепляется оттиском печати органа, предоставляющего государственную услугу.

78.34. Реализация административной процедуры по составлению и оформлению свидетельства о заключении брака составляет 5 минут.

78.35. Результатом административной процедуры является оформленное свидетельство о заключении брака, подписанное руководителем органа, предоставляющего государственную услугу, или уполномоченным им работником органа, предоставляющего государственную услугу, и скрепленное оттиском печати органа, предоставляющего государственную услугу.

Административная процедура по проставлению штампа о заключении брака в паспорта заявителей

78.36. Основанием для начала выполнения административной процедуры по проставлению штампа о заключении брака в паспорта заявителей является исполнение органом, предоставляющим государственную услугу, пункта 5 Положения о паспорте гражданина Российской Федерации и Соглашения между Правительством Российской Федерации и Правительством Республики Беларусь о взаимном внесении отметок о заключении брака или расторжении брака в паспорта граждан Российской Федерации и Республики Беларусь (заключено 4 июня 2009 г.) (далее - Соглашение).

78.37. Специалист проставляет на странице "Семейное положение" паспорта гражданина Российской Федерации и паспорта гражданина Республики Беларусь штамп о заключении брака.

78.38. В штампе делается запись о дате заключения брака, номере записи акта о заключении брака, органе, которым была произведена государственная регистрация заключения брака, лице (фамилия, имя, отчество (при наличии), дата рождения), с которым был заключен брак. Данная запись удостоверяется подписью руководителя органа, предоставляющего государственную услугу, или уполномоченного им работника органа, предоставляющего государственную услугу.

78.39. В документ, выданный компетентным органом иностранного государства, удостоверяющий личность иностранного гражданина, штамп о заключении брака не проставляется.

78.40. Реализация административной процедуры по проставлению штампа о заключении брака в паспорта заявителей составляет 5 минут.

78.41. Результатом административной процедуры является проставление специалистом штампа о заключении брака в паспорта заявителей.

Административная процедура по учету и выдаче свидетельства о заключении брака

78.42. Основанием для начала выполнения административной процедуры по учету и выдаче свидетельства о заключении брака является оформленное специалистом свидетельство о заключении брака, подписанное руководителем органа, предоставляющего государственную услугу, или уполномоченным им работником органа, предоставляющего государственную услугу, и скрепленное оттиском печати органа, предоставляющего государственную услугу.

78.43. Специалист вносит сведения об оформленном свидетельстве о заключении брака в журнал учета выдачи свидетельств о государственной регистрации заключения брака.

78.44. Специалист выдает оформленное свидетельство о заключении брака.

78.45. При получении свидетельства о заключении брака заявители прочитывают свидетельство о заключении брака, и один из них расписывается в журнале учета выдачи свидетельств о заключении брака.

78.46. Реализация административной процедуры по учету и выдаче свидетельства о заключении брака составляет 5 минут.

78.47. Результатом административной процедуры являются учет и выдача свидетельства о заключении брака заявителям.

78.48. Максимальное время совершения административных процедур при предоставлении государственной услуги по регистрации заключения брака составляет 73 минуты.

Административная процедура по проведению церемонии государственной регистрации заключения брака в торжественной обстановке

78.49. Основанием для начала выполнения административной процедуры по проведению церемонии государственной регистрации заключения брака в торжественной обстановке является желание заявителей.

78.50. Проведение церемонии государственной регистрации заключения брака в торжественной обстановке проходит в специально оформленном помещении органа, предоставляющего государственную услугу, включает в себя предметы внутреннего убранства и интерьеров помещений, торжественную речь специалиста, ответственного за государственную регистрацию заключения брака.

Ответственность за проведение церемонии государственной регистрации заключения брака в торжественной обстановке лежит на руководителе органа, предоставляющего государственную услугу, или уполномоченном им работнике органа, предоставляющего государственную услугу.

78.51. Максимальное время совершения административных процедур при предоставлении государственной услуги по регистрации заключения брака, включая проведение церемонии государственной регистрации заключения брака в торжественной обстановке, составляет 113 минут.

Государственная регистрация расторжения брака

79. Предоставление государственной услуги по государственной регистрации расторжения брака (далее - государственная услуга по регистрации расторжения брака) (блок-схемы N 3 и N 3.1 соответственно) включает в себя следующие административные процедуры:

1) при приеме заявления о расторжении брака:

проверка представленных заявителями (заявителем) документов, принятие решения о предоставлении государственной услуги по регистрации расторжения брака;

регистрация письменного заявления о расторжении брака в журнале регистрации заявлений о расторжении брака;

выдача уведомления о расторжении брака или направление извещения о расторжении брака;

2) при государственной регистрации расторжения брака:

составление и оформление записи акта о расторжении брака;

составление и оформление свидетельства о расторжении брака;

учет и выдача свидетельства о расторжении брака;

дополнение ранее составленной записи акта о расторжении брака сведениями о другом бывшем супруге (дооформление записи акта о расторжении брака);

проставление штампа о расторжении брака в паспорта (паспорт) заявителей (заявителя);

проставление в записи акта о заключении брака, находящейся на хранении в органе, предоставляющем государственную услугу, отметки о расторжении брака или направление извещения о проставлении отметки о расторжении брака в орган ЗАГС по месту хранения записи акта о заключении брака на бумажном носителе (первого экземпляра записи акта о заключении брака).

Административные процедуры при приеме заявления о расторжении брака

Административная процедура по проверке представленных заявителями (заявителем) документов, принятию решения о предоставлении государственной услуги по регистрации расторжения брака

79.1. Основанием для начала выполнения административной процедуры по проверке представленных заявителями (заявителем) документов является личное обращение заявителей (заявителя) в орган, предоставляющий государственную услугу, с одновременным представлением всех надлежащим образом оформленных документов, предусмотренных пунктом 28 Административного регламента.

79.2. Специалист проверяет представленные документы, правильность их оформления. В случае, если заявление подается уполномоченным лицом, также проверяются документы, подтверждающие его полномочия.

79.3. Заявление о расторжении брака на основании решения суда о расторжении брака может быть сделано в устной или письменной форме.

79.4. Если необходимые документы отсутствуют либо не соответствуют установленным законодательством Российской Федерации требованиям, специалист уведомляет заявителей (заявителя) о том, что обнаружены препятствия для предоставления государственной услуги по регистрации расторжения брака, сообщает заявителям (заявителю) о выявленных недостатках в представленных документах и предлагает принять меры к их устранению.

79.5. Специалист при проверке документа, удостоверяющего личность гражданина, особое внимание уделяет сроку действия паспорта (при достижении 20 лет, 45 лет паспорт подлежит замене), а также странице "Семейное положение". В случае, если в день государственной регистрации расторжения брака срок действия паспорта истек либо на странице "Семейное положение" паспорта отсутствует место для проставления органом, предоставляющим государственную услугу, в день государственной регистрации расторжения брака штампа о расторжении брака, заявителям (заявителю) сообщается, что до назначенной даты государственной регистрации расторжения брака необходимо получить новый документ, удостоверяющий личность гражданина. О данном сообщении делается пометка на обратной стороне заявления о расторжении брака, заявитель проставляет подпись.

79.6. В случае наличия оснований для отказа в предоставлении государственной услуги по регистрации расторжения брака, указанных в пунктах 45, 50 Административного регламента, специалист возвращает заявителям документы с объяснением причин отказа. По требованию заявителей руководитель органа, предоставляющего государственную услугу, выдает письменный отказ в государственной регистрации расторжения брака.

Максимальный срок возврата документов заявителям и выдачи письменного отказа в государственной регистрации расторжения брака составляет 30 минут.

79.7. Реализация административной процедуры по проверке представленных заявителями (заявителем) документов, необходимых для предоставления государственной услуги по регистрации расторжения брака, составляет 10 минут.

79.8. Результатом административной процедуры являются проверка специалистом представленных документов и принятие решения о результате предоставления государственной услуги по регистрации расторжения брака, а в случае отказа в предоставлении государственной услуги по регистрации расторжения брака - возврат заявителям представленных для государственной регистрации расторжения брака документов с объяснением причин отказа в устной или письменной форме.

Административная процедура по регистрации письменного заявления о расторжении брака в журнале регистрации заявлений о расторжении брака

79.9. Основанием для начала выполнения административной процедуры по регистрации письменного заявления о расторжении брака в журнале регистрации заявлений о расторжении брака является принятое решение о предоставлении государственной услуги по регистрации расторжения брака.

79.10. Совместное заявление о расторжении браков супругов, не имеющих общих детей, не достигших совершеннолетия, а также заявление о расторжении брака, поданное одним из супругов в случаях, установленных Федеральным законом, письменное заявление о расторжении брака бывшего супруга подлежат регистрации в журнале регистрации заявлений о расторжении брака.

79.11. Дата и время государственной регистрации расторжения брака назначаются по согласованию с обоими супругами при подаче совместного заявления о расторжении брака супругов, не имеющих общих детей, не достигших совершеннолетия. При подаче заявления о расторжении брака одним из супругов в случае, если другой супруг признан судом безвестно отсутствующим или недееспособным, осужден за совершение преступления к лишению свободы на срок свыше трех лет, дата и время назначаются по согласованию с супругом, обращающимся с заявлением о расторжении брака.

79.12. На данных заявлениях проставляются дата государственной регистрации расторжения брака, фамилия, имя, отчество (при наличии) специалиста, принявшего заявление, и ставится его подпись.

79.13. При государственной регистрации расторжения брака на основании устного или письменного заявления о расторжении брака бывшего супруга на основании решения суда должна быть представлена выписка из решения суда о расторжении брака.

79.14. Реализация административной процедуры по приему и регистрации заявления о расторжении брака составляет 10 минут.

79.15. Результатом административной процедуры являются прием специалистом представленных документов, назначение даты и времени государственной регистрации расторжения брака при подаче совместного заявления о расторжении брака супругов, не имеющих общих детей, не достигших совершеннолетия, или заявления одним из супругов в случае, если другой супруг признан судом безвестно отсутствующим или недееспособным, осужден за совершение преступления к лишению свободы на срок свыше трех лет, либо возврат заявителям (заявителю) документов с объяснением причин отказа в устной или письменной форме.

Административная процедура по выдаче уведомления о расторжении брака или направлению извещения о расторжении брака

79.16. Основанием для начала выполнения административной процедуры по выдаче уведомления или направлению извещения о расторжении брака является прием совместного заявления о расторжении брака супругов, не имеющих общих детей, не достигших совершеннолетия, или заявления одного из супругов в случае, если другой супруг признан судом безвестно отсутствующим или недееспособным, осужден за совершение преступления к лишению свободы на срок свыше трех лет.

79.17. Специалист выдает уведомление о государственной регистрации расторжения брака.

79.18. В уведомлении о государственной регистрации расторжения брака указываются фамилии и инициалы лиц, расторгающих брак, дата и место государственной регистрации расторжения брака, приводится текст пункта 4 статьи 33 Федерального закона.

79.19. Специалист направляет извещение в трехдневный срок супругу, отбывающему наказание, либо опекуну недееспособного супруга или управляющему имуществом безвестно отсутствующего супруга, а в случае их отсутствия - в орган опеки и попечительства о поступившем заявлении и дате, назначенной для государственной регистрации расторжения брака. В извещении, направляемом опекуну недееспособного супруга или супругу, отбывающему наказание, также указывается на необходимость сообщить до даты, назначенной для государственной регистрации расторжения брака, фамилию, которую он избирает при расторжении брака, а также о желании внести или не вносить сведения о национальности в запись акта о расторжении брака.

79.20. Реализация административной процедуры по выдаче уведомления о расторжении брака составляет 3 минуты, по направлению извещения - 15 минут.

79.21. Результатом административной процедуры является выдача уведомления о расторжении брака или направление извещения опекуну недееспособного супруга, супругу, отбывающему наказание, или управляющему имуществом безвестно отсутствующего супруга, а в случае их отсутствия - в орган опеки и попечительства о поступившем заявлении и дате, назначенной для государственной регистрации расторжения брака.

Административные процедуры при государственной регистрации расторжения брака

Административная процедура по составлению и оформлению записи акта о расторжении брака

79.22. Основанием для начала выполнения административной процедуры по составлению и оформлению записи акта о расторжении брака являются прием специалистом заявителей (заявителя) в назначенные для государственной регистрации расторжения брака день и время, а также представление ими документов.

79.23. В случае подачи заявления о расторжении брака по совместному заявлению супругов, не имеющих общих несовершеннолетних детей, специалист проверяет, не было ли отозвано данное заявление одним из заявителей. Если заявление было отозвано, государственная регистрация расторжения брака не производится. Заявителю разъясняется порядок подачи заявления о расторжении брака в судебном порядке.

79.24. Если заявление о расторжении брака было подано одним из супругов в случае, если другой супруг признан судом безвестно отсутствующим или недееспособным, осужден за совершение преступления к лишению свободы на срок свыше трех лет, специалист проверяет наличие поступившего ответа от опекуна недееспособного супруга, супруга, отбывающего наказание. При отсутствии ответа сведения в строку "Фамилия после расторжения брака" бывшего супруга не вносятся.

79.25. Если заявление о расторжении брака по совместному заявлению супругов, не имеющих общих несовершеннолетних детей, не было отозвано, специалист проводит проверку представленных документов.

79.26. Если необходимые документы отсутствуют либо не соответствуют установленным законодательством Российской Федерации требованиям (например, истек срок действия паспорта), специалист сообщает заявителям (заявителю) о выявленных недостатках в представленных документах и об отказе в предоставлении государственной услуги по регистрации расторжения брака.

79.27. По требованию заявителей (заявителя) руководитель органа, предоставляющего государственную услугу, выдает письменный отказ в государственной регистрации расторжения брака.

Максимальный срок выполнения данного действия составляет 30 минут.

79.28. При отсутствии препятствий специалист составляет запись акта о расторжении брака в форме электронного документа и на бумажном носителе.

79.29. Дата прекращения брака в записи акта о расторжении брака указывается в соответствии со статьей 25 и пунктом 3 статьи 169 Семейного кодекса Российской Федерации.

79.30. Запись акта о расторжении брака на бумажном носителе прочитывается и подписывается заявителями (заявителем), руководителем органа, предоставляющего государственную услугу, или уполномоченным им работником органа, предоставляющего государственную услугу, и скрепляется оттиском печати органа, предоставляющего государственную услугу.

79.31. Запись акта о расторжении брака, составленная в форме электронного документа, подписывается усиленной квалифицированной электронной подписью руководителя органа, предоставляющего государственную услугу, или уполномоченного им работника органа, предоставляющего государственную услугу.

79.32. Номер актовой записи указывается на заявлении о государственной регистрации расторжения брака.

79.33. На предъявленном свидетельстве о заключении брака проставляется отметка о расторжении брака, после чего оно возвращается заявителям (заявителю). Данная отметка содержит информацию о дате и номере записи акта о расторжении брака, органе, составившем запись акта о расторжении брака, лице (фамилия, имя, отчество (при наличии), дата рождения), с которым был расторгнут брак. Данная запись удостоверяется подписью руководителя органа, предоставляющего государственную услугу, или уполномоченного им работника органа, предоставляющего государственную услугу. Данная запись может быть проставлена в виде штампа. В случае утраты свидетельства о заключении брака, если государственная регистрация заключения брака производилась органом, предоставляющим государственную услугу, в который было подано заявление о расторжении брака, предъявление повторного свидетельства о заключении брака не требуется.

79.34. Реализация административной процедуры по составлению и оформлению записи акта о расторжении брака составляет 15 минут.

79.35. Результатом административной процедуры является составленная оформленная запись акта о расторжении брака на бумажном носителе и в форме электронного документа, подписанная заявителями (заявителем), руководителем органа, предоставляющего государственную услугу, или уполномоченным им работником органа, предоставляющего государственную услугу, и скрепленная оттиском печати органа, предоставляющего государственную услугу, либо возврат заявителям (заявителю) документов с объяснением причин отказа в устной или письменной форме.

Административная процедура по составлению и оформлению свидетельства о расторжении брака

79.36. Основанием для начала выполнения административной процедуры по составлению и оформлению свидетельства о расторжении брака является оформленная специалистом запись акта о расторжении брака в форме электронного документа и на бумажном носителе.

79.37. Специалист оформляет свидетельство о расторжении брака.

79.38. Свидетельство о расторжении брака подписывается руководителем органа, предоставляющего государственную услугу, или уполномоченным им работником органа, предоставляющего государственную услугу, и скрепляется оттиском печати органа, предоставляющего государственную услугу.

79.39. Свидетельство о расторжении брака выдается каждому из лиц, расторгнувших брак.

79.40. Реализация административной процедуры по составлению и оформлению свидетельства о расторжении брака составляет 10 минут.

79.41. Результатом административной процедуры является оформленное свидетельство о расторжении брака, подписанное руководителем органа, предоставляющего государственную услугу, или уполномоченным им работником органа, предоставляющего государственную услугу, и скрепленное оттиском печати органа, предоставляющего государственную услугу.

Административная процедура по учету и выдаче свидетельства о расторжении брака

79.42. Основанием для начала выполнения административной процедуры по учету и выдаче свидетельства о расторжении брака является оформленное свидетельство о расторжении брака, подписанное руководителем органа, предоставляющего государственную услугу, или уполномоченным им работником органа, предоставляющего государственную услугу, и скрепленное оттиском печати органа, предоставляющего государственную услугу.

79.43. Специалист вносит сведения об оформленном свидетельстве о расторжении брака в журнал учета выдачи свидетельств о расторжении брака.

79.44. Специалист выдает свидетельство о расторжении брака каждому из лиц, расторгнувших брак, при государственной регистрации расторжения брака.

79.45. При получении свидетельства о расторжении брака заявители (заявитель) прочитывают свидетельство о расторжении брака и расписываются(ется) в журнале учета выдачи свидетельств о государственной регистрации расторжения брака.

79.46. Реализация административной процедуры по учету и выдаче свидетельства о расторжении брака составляет 5 минут.

79.47. Результатом административной процедуры является выдача заявителям (заявителю) свидетельств(а) о расторжении брака.

Административная процедура по дополнению ранее составленной записи акта о расторжении брака сведениями о другом бывшем супруге (дооформлению записи акта о расторжении брака)

79.48. Основанием для начала выполнения административной процедуры является устное или письменное заявление бывшего супруга о дополнении ранее составленной записи акта о расторжении брака сведениями о нем (о дооформлении записи).

79.49. При государственной регистрации расторжения брака в случае, если один из бывших супругов зарегистрировал расторжение брака, а другой бывший супруг обращается в тот же орган, предоставляющий государственную услугу, позже, сведения об этом бывшем супруге вносятся в ранее произведенную запись акта о расторжении брака. Выписка из решения суда о расторжении брака в данном случае может не представляться.

79.50. Специалист осуществляет поиск записи акта о расторжении брака по актовым записям, составленным на бумажном носителе и в форме электронного документа, и проверку внесенных сведений.

Для проверки наличия ранее составленной записи акта о расторжении брака орган, предоставляющий государственную услугу, использует сведения Единого реестра о записи акта о расторжении брака, подлежащей изменению в связи с дополнением актовой записи сведениями о другом бывшем супруге <14>.

<14> Вступает в силу со дня вступления в силу пункта 2 статьи 3 Федерального закона от 23.06.2016 N 219-ФЗ "О внесении изменений в Федеральный закон "Об актах гражданского состояния".

79.51. Специалист вносит сведения о другом бывшем супруге в ранее составленную запись акта о расторжении брака в форме электронного документа и на бумажном носителе.

79.52. Заявитель прочитывает внесенные в актовую запись сведения и ставит подпись в строке "Фамилия, имя, отчество (при наличии), место жительства заявителей (заявителя)".

79.53. Сведения о выданном свидетельстве вносятся в строку "Выдано свидетельство".

79.54. В строку "Служебные отметки" специалист вносит сведения о дате дополнения записи акта о расторжении брака сведениями о другом бывшем супруге (фамилия, инициалы). Данная запись не подлежит удостоверению.

79.55. Реализация административной процедуры по дополнению ранее составленной записи акта о расторжении брака сведениями о другом бывшем супруге (дооформлению записи акта о расторжении брака) составляет 25 минут.

79.56. Результатом административной процедуры является дополнение записи акта о расторжении брака сведениями о другом бывшем супруге, составленной ранее в форме электронного документа и на бумажном носителе.

Административная процедура по проставлению штампа о расторжении брака в паспорта (паспорт) заявителей (заявителя)

79.57. Основанием для начала выполнения административной процедуры по проставлению штампа о расторжении брака в паспорта (паспорт) заявителей (заявителя) является исполнение пункта 5 Положения о паспорте гражданина Российской Федерации и Соглашения.

79.58. Специалист проставляет на странице "Семейное положение" паспорта гражданина Российской Федерации и паспорта гражданина Республики Беларусь штамп о расторжении брака.

79.59. В штампе делается запись об органе, составившем запись акта о расторжении брака, дате регистрации и номере записи акта о расторжении брака, лице (фамилия, имя, отчество (при наличии), дата рождения), с которым был расторгнут брак, данная запись удостоверяется подписью руководителя органа, предоставляющего государственную услугу, или уполномоченного им работника органа, предоставляющего государственную услугу.

79.60. В документ, выданный компетентным органом иностранного государства, удостоверяющий личность иностранного гражданина, штамп о расторжении брака не проставляется.

79.61. Паспорт (копия паспорта) супруга, отбывающего наказание, в орган, предоставляющий государственную услугу, для государственной регистрации расторжения брака не предъявляется.

79.62. Реализация административной процедуры по проставлению штампа о расторжении брака в паспорта (паспорт) заявителей (заявителя) составляет 5 минут.

79.63. Результатом административной процедуры является проставление специалистом штампа о расторжении брака в паспорта заявителей.

Административная процедура по проставлению в записи акта о заключении брака, находящейся на хранении в органе, предоставляющем государственную услугу, отметки о расторжении брака или направлению извещения о проставлении отметки о расторжении брака в орган ЗАГС по месту хранения записи акта о заключении брака на бумажном носителе (первого экземпляра записи акта о заключении брака)

79.64. Основанием для начала выполнения административной процедуры по проставлению в записи акта о заключении брака, находящейся на хранении в органе, предоставляющем государственную услугу, отметки о расторжении брака или направлению извещения о проставлении отметки о расторжении брака в орган ЗАГС по месту хранения записи акта о заключении брака (первого экземпляра о заключении брака) является оформленная запись акта о расторжении брака.

79.65. В случае, если запись акта о заключении брака на бумажном носителе хранится в органе, предоставляющем государственную услугу, специалист проставляет отметку или штамп о расторжении брака в данную запись акта о заключении брака, в том числе в запись акта в форме электронного документа. Данная запись на бумажном носителе подписывается руководителем органа, предоставляющего государственную услугу, или уполномоченным им работником органа, предоставляющего государственную услугу, и скрепляется оттиском печати органа, предоставляющего государственную услугу.

79.66. Если запись акта на бумажном носителе (первый экземпляр записи акта) находится на хранении в ином органе ЗАГС, специалист составляет извещение в этот орган для проставления соответствующей отметки. Данное извещение подписывается руководителем органа, предоставляющего государственную услугу, или уполномоченным им работником органа, предоставляющего государственную услугу, и скрепляется оттиском печати органа, предоставляющего государственную услугу.

79.67. Специалист регистрирует извещение в журнале исходящей корреспонденции, проставляет на извещении дату регистрации и исходящий номер.

79.68. Реализация административной процедуры по проставлению в записи акта о заключении брака, находящейся на хранении в органе, предоставляющем государственную услугу, отметки о расторжении брака или направлению извещения о проставлении отметки о расторжении брака в орган ЗАГС по месту хранения первого экземпляра записи акта о заключении брака составляет 20 минут.

79.69. Результатом административной процедуры являются проставление в записи акта о заключении брака, составленной в форме электронного документа, и на бумажном носителе, отметки о расторжении брака (данная запись удостоверяется руководителем органа, предоставляющего государственную услугу, или уполномоченным им работником органа, предоставляющего государственную услугу, и заверяется оттиском печати органа, предоставляющего государственную услугу) или направление извещения о проставлении отметки о расторжении брака в орган ЗАГС по месту хранения первого экземпляра записи акта о заключении брака.

79.70. Максимальное время совершения административных процедур при предоставлении государственной услуги по регистрации расторжения брака составляет 50 минут.

Государственная регистрация усыновления

79. Предоставление государственной услуги по государственной регистрации усыновления (далее - государственная услуга по регистрации усыновления) (блок-схема N 4) включает в себя следующие административные процедуры:

1) проверка представленных заявителями (заявителем) документов, принятие решения о предоставлении государственной услуги по регистрации усыновления;

2) прием представленных (поступивших) документов и регистрация письменного заявления об усыновлении в журнале регистрации заявлений об усыновлении;

3) составление и оформление записи акта об усыновлении;

4) составление и оформление свидетельства об усыновлении;

5) учет и выдача свидетельства об усыновлении;

6) внесение изменений в запись акта о рождении в связи с усыновлением;

7) оформление новой записи акта о рождении в связи с изменением места рождения ребенка на основании решения суда об усыновлении;

8) составление и оформление свидетельства о рождении;

9) учет и выдача свидетельства о рождении;

10) подготовка и направление извещения о внесении изменений в запись акта о рождении в связи с усыновлением или о составлении новой записи о рождении на основании решения суда об усыновлении в орган ЗАГС по месту хранения записи акта о рождении на бумажном носителе (первого экземпляра записи акта о рождении).

Административная процедура по проверке представленных заявителями (заявителем) документов, принятию решения о предоставлении государственной услуги по регистрации усыновления

80.1. Основанием для начала выполнения административной процедуры по проверке представленных заявителем (заявителями) документов является личное обращение заявителя (заявителей) в орган, предоставляющий государственную услугу, с одновременным представлением необходимых документов, указанных в пунктах 25, 26, 33 Административного регламента, или вступившее в законную силу решение суда об усыновлении, поступившее в орган, предоставляющий государственную услугу, посредством почтовой связи из суда, вынесшего данное решение об усыновлении.

80.2. Специалист, ответственный за государственную регистрацию усыновления, проверяет представленные документы и поступившее по почте решение суда об усыновлении, правильность их оформления. В случае, если заявление подается уполномоченным лицом, также проверяются документы, подтверждающие его полномочия. Если усыновителями ребенка являются иностранные граждане, предъявленные ими для государственной регистрации усыновления документы, выданные компетентными органами иностранных государств, должны соответствовать пункту 36 Административного регламента.

80.3. Заявление об усыновлении может быть подано заявителем (заявителями) в устной или письменной форме. Письменное заявление об усыновлении заполняется усыновителями (усыновителем) в случае, если государственная регистрации усыновления будет осуществляться органом, предоставляющим государственную услугу, по устному заявлению уполномоченного усыновителями (усыновителем) лица.

80.4. Проверка факта государственной регистрации усыновления в случае, если заявление по истечении месяца со дня усыновления ребенка подается в орган, предоставляющий государственную услугу, по месту жительства усыновителей, при необходимости осуществляются подготовка и направление запроса в орган, предоставляющий государственную услугу, по месту вынесения решения суда об усыновлении.

Максимальный срок выполнения данного действия составляет 10 минут.

При необходимости производятся подготовка и направление запроса в орган ЗАГС по месту вынесения решения суда об усыновлении <15>.

<15> Утрачивает силу со дня вступления в силу пункта 2 статьи 3 Федерального закона от 23.06.2016 N 219-ФЗ "О внесении изменений в Федеральный закон "Об актах гражданского состояния".

Максимальный срок выполнения данного действия составляет 10 минут.

Для проверки наличия ранее составленной на основании решения суда об усыновлении записи акта об усыновлении орган, предоставляющий государственную услугу, использует сведения Единого реестра о записи акта об усыновлении <16>.

<16> Вступает в силу со дня вступления в силу пункта 2 статьи 3 Федерального закона от 23.06.2016 N 219-ФЗ "О внесении изменений в Федеральный закон "Об актах гражданского состояния".

80.5. Если необходимые документы отсутствуют либо не соответствуют установленным законодательством Российской Федерации требованиям, специалист уведомляет заявителя о том, что обнаружены препятствия для предоставления государственной услуги по регистрации усыновления, сообщает заявителю о выявленных недостатках в представленных документах и предлагает принять меры к их устранению.

80.6. В случае наличия оснований для отказа в предоставлении государственной услуги по регистрации усыновления, указанных в пунктах 45, 50 Административного регламента, специалист возвращает заявителю документы с объяснением причин отказа.

По требованию заявителя руководитель органа, предоставляющего государственную услугу, выдает письменный отказ в государственной регистрации усыновления.

Максимальный срок возврата документов заявителю и выдачи письменного отказа в государственной регистрации усыновления составляет 30 минут.

80.7. Реализация административной процедуры по проверке представленных заявителем документов, необходимых для предоставления государственной услуги по регистрации усыновления, составляет 10 минут.

80.8. Результатом административной процедуры являются проверка специалистом представленных документов и принятие решения о результате предоставления государственной услуги по регистрации усыновления. В случае отказа в предоставлении государственной услуги по регистрации усыновления представленные документы возвращаются заявителю с объяснением причин отказа в устной или письменной форме.

Административная процедура по приему представленных (поступивших) документов и регистрации письменного заявления об усыновлении в журнале регистрации заявлений об усыновлении

80.9. Основанием для начала выполнения административной процедуры по приему представленных заявителем документов, поступившего по почте вступившего в законную силу решения суда об усыновлении и по регистрации письменного заявления об усыновлении в журнале регистрации заявлений об усыновлении является принятие решения о предоставлении государственной услуги по регистрации усыновления.

80.10. Специалист принимает представленные заявителем документы, поступившее по почте вступившее в законную силу решение суда об усыновлении, письменное заявление об усыновлении регистрируется в журнале регистрации заявлений об усыновлении.

80.11. На заявлении об усыновлении проставляются дата регистрации и регистрационный номер, фамилия, имя, отчество (при наличии) специалиста, принявшего заявление об усыновлении, и ставится его подпись.

80.12. Реализация административной процедуры по приему представленных заявителем документов, поступившего по почте вступившего в законную силу решения суда об усыновлении и по регистрации письменного заявления об усыновлении в журнале регистрации заявлений об усыновлении составляет 10 минут.

80.13. Результатом административной процедуры являются прием специалистом представленных заявителем документов, поступившего по почте вступившего в законную силу решения суда об усыновлении и регистрация письменного заявления об усыновлении в журнале регистрации заявлений об усыновлении.

Административная процедура по составлению и оформлению записи акта об усыновлении

80.14. Основанием для начала выполнения административной процедуры по составлению и оформлению записи акта об усыновлении является прием документов, представленных заявителем для государственной регистрации усыновления, или поступление в орган, предоставляющий государственную услугу, вступившего в законную силу решения суда об усыновлении.

80.15. Специалист составляет и оформляет запись акта об усыновлении в форме электронного документа и на бумажном носителе.

80.16. Запись акта об усыновлении на бумажном носителе прочитывается и подписывается заявителем, руководителем органа, предоставляющего государственную услугу или уполномоченным им работником органа, предоставляющего государственную услугу, скрепляется оттиском печати органа, предоставляющего государственную услугу.

В случае, если запись акта об усыновлении составляется на основании поступившего в орган, предоставляющий государственную услугу, вступившего в законную силу решения суда об усыновлении, строка "Фамилия, имя, отчество заявителя" не заполняется. В строке "Иные сведения и служебные отметки" указывается на данное обстоятельство.

80.17. Запись акта об усыновлении, составленная в форме электронного документа, подписывается усиленной квалифицированной электронной подписью руководителя органа, предоставляющего государственную услугу, или уполномоченного им работника органа, предоставляющего государственную услугу.

80.18. Дата и номер актовой записи указываются на письменном заявлении о государственной регистрации усыновления, представленном заявителем.

80.19. Реализация административной процедуры по составлению и оформлению записи акта об усыновлении составляет 30 минут.

80.20. Результатом административной процедуры является оформленная запись акта об усыновлении в форме электронного документа и на бумажном носителе, подписанная заявителем, руководителем органа, предоставляющего государственную услугу, или уполномоченным им работником органа, предоставляющего государственную услугу, скрепленная оттиском печати органа, предоставляющего государственную услугу.

Административная процедура по составлению и оформлению свидетельства об усыновлении

80.21. Основанием для начала выполнения административной процедуры по составлению и оформлению свидетельства об усыновлении является оформленная запись акта об усыновлении в форме электронного документа и на бумажном носителе.

80.22. Специалист составляет и оформляет свидетельство об усыновлении.

80.23. Свидетельство об усыновлении подписывается руководителем органа, предоставляющего государственную услугу, или уполномоченным им работником органа, предоставляющего государственную услугу, и скрепляется оттиском печати органа, предоставляющего государственную услугу.

80.24. Реализация административной процедуры по оформлению свидетельства об усыновлении составляет 5 минут.

80.25. Результатом административной процедуры является оформленное свидетельство об усыновлении, подписанное руководителем органа, предоставляющего государственную услугу, или уполномоченным им работником органа, предоставляющего государственную услугу, и скрепленное оттиском печати органа, предоставляющего государственную услугу.

Административная процедура по учету и выдаче свидетельства об усыновлении

80.26. Основанием для начала выполнения административной процедуры по учету и выдаче свидетельства об усыновлении является оформленное свидетельство об усыновлении.

80.27. Специалист вносит сведения об оформленном свидетельстве об усыновлении в журнал учета выдачи свидетельств о государственной регистрации усыновления.

80.28. Специалист выдает оформленное свидетельство об усыновлении, подписанное руководителем органа, предоставляющего государственную услугу, или уполномоченным им работником органа, предоставляющего государственную услугу, и скрепленное оттиском печати органа, предоставляющего государственную услугу.

80.29. При получении свидетельства об усыновлении заявитель прочитывает свидетельство об усыновлении и расписывается в журнале учета выдачи свидетельств о государственной регистрации усыновления.

80.30. Реализация административной процедуры по учету и выдаче свидетельства об усыновлении составляет 5 минут.

80.31. Результатом административной процедуры являются учет и выдача свидетельства об усыновлении.

Административная процедура по внесению изменений в запись акта о рождении в связи с усыновлением

80.32. Основанием для начала выполнения административной процедуры по внесению изменений в запись акта о рождении в связи с усыновлением является оформленная запись акта об усыновлении.

80.33. Специалист вносит в запись акта о рождении, составленную в форме электронного документа и на бумажном носителе, находящуюся на хранении в данном органе, предоставляющем государственную услугу, соответствующие изменения.

Изменения также вносятся в справочные материалы, хранящиеся в органе, предоставляющем государственную услугу.

80.34. Изменения, внесенные в запись акта о рождении, составленную на бумажном носителе, заверяются подписью руководителя органа, предоставляющего государственную услугу, или уполномоченного им работника органа, предоставляющего государственную услугу, и заверяются оттиском печати органа, предоставляющего государственную услугу.

80.35. Изменения, внесенные в запись акта о рождении, составленную в форме электронного документа, подписываются усиленной квалифицированной электронной подписью руководителя органа, предоставляющего государственную услугу, или уполномоченного им работника органа, предоставляющего государственную услугу.

80.36. Реализация административной процедуры по внесению изменений в запись акта о рождении в связи с усыновлением составляет 30 минут.

80.37. Результатом административной процедуры является внесение в запись акта о рождении, составленную на бумажном носителе и в форме электронного документа, соответствующих изменений в связи с усыновлением.

Административная процедура по оформлению новой записи акта о рождении в связи с изменением места рождения ребенка на основании решения суда об усыновлении

80.38. Основанием для начала выполнения административной процедуры по оформлению новой записи акта о рождении является просьба заявителя об изменении места рождения ребенка на основании решения суда об усыновлении.

80.39. Специалист составляет новую запись акта о рождении в форме электронного документа и на бумажном носителе.

80.40. Запись акта о рождении на бумажном носителе прочитывается и подписывается заявителем, руководителем органа, предоставляющего государственную услугу, или уполномоченным им работником органа, предоставляющего государственную услугу, и скрепляется оттиском печати органа, предоставляющего государственную услугу.

80.41. Запись акта о рождении, составленная в форме электронного документа, подписывается усиленной квалифицированной электронной подписью руководителя органа, предоставляющего государственную услугу, или уполномоченным им работником органа, предоставляющего государственную услугу.

80.42. Реализация административной процедуры по оформлению новой записи акта о рождении в связи с изменением места рождения ребенка на основании решения суда об усыновлении составляет 30 минут.

80.43. Результатом административной процедуры является оформленная новая запись акта о рождении в форме электронного документа и на бумажном носителе, подписанная заявителем, руководителем органа, предоставляющего государственную услугу, или уполномоченным им работником органа, предоставляющего государственную услугу, и скрепленная оттиском печати органа, предоставляющего государственную услугу.

Административная процедура по составлению и оформлению свидетельства о рождении

80.44. Основанием для начала выполнения административной процедуры по составлению и оформлению свидетельства о рождении является внесение соответствующих изменений в запись акта о рождении, составленную в форме электронного документа и на бумажном носителе, или оформление новой записи акта о рождении в связи с изменением места рождения на основании решения суда об усыновлении.

80.45. Специалист составляет и оформляет свидетельство о рождении.

80.46. Свидетельство о рождении подписывается руководителем органа, предоставляющего государственную услугу, или уполномоченным им работником органа, предоставляющего государственную услугу, и скрепляется оттиском печати органа, предоставляющего государственную услугу.

80.47. В случае, если дата составления новой записи акта о рождении и дата выдачи свидетельства о рождении не совпадают, для сохранения тайны усыновления в правом верхнем углу свидетельства о рождении проставляется штамп "повторное".

80.48. Реализация административной процедуры по составлению и оформлению свидетельства о рождении составляет 5 минут.

80.49. Результатом административной процедуры является оформленное свидетельство о рождении, подписанное руководителем органа, предоставляющего государственную услугу, или уполномоченным им работником органа, предоставляющего государственную услугу, и скрепленное оттиском печати органа, предоставляющего государственную услугу.

Административная процедура по учету и выдаче свидетельства о рождении

80.50. Основанием для начала выполнения административной процедуры по учету и выдаче свидетельства о рождении является оформленное свидетельство о рождении.

80.51. Специалист вносит сведения об оформленном свидетельстве о рождении в журнал учета выдачи повторных (первичных) свидетельств о государственной регистрации рождения.

80.52. Специалист выдает свидетельство о рождении, подписанное руководителем органа, предоставляющего государственную услугу, или уполномоченным им работником органа, предоставляющего государственную услугу, и скрепленное оттиском печати органа, предоставляющего государственную услугу.

80.53. При получении свидетельства о рождении заявитель прочитывает свидетельство о рождении и расписывается в журнале учета выдачи повторных (первичных) свидетельств о государственной регистрации рождения.

80.54. Реализация административной процедуры по учету и выдаче свидетельства о рождении составляет 5 минут.

80.55. Результатом административной процедуры являются учет и выдача свидетельства о рождении.

Административная процедура по подготовке и направлению извещения о внесении изменений в запись акта о рождении в связи с усыновлением либо о составлении новой записи акта о рождении на основании решения суда об усыновлении в орган ЗАГС по месту хранения записи акта о рождении на бумажном носителе (первого экземпляра записи акта о рождении)

80.56. Основанием для начала выполнения административной процедуры по подготовке и направлению извещения о внесении изменений в запись акта о рождении либо извещения о составлении новой записи акта о рождении в связи с усыновлением в орган ЗАГС по месту хранения записи акта о рождении на бумажном носителе (первого экземпляра записи акта о рождении) являются оформленные запись акта об усыновлении и новая запись акта о рождении соответственно.

80.57. Специалист составляет и оформляет извещение о внесении соответствующих изменений в ранее составленную запись акта о рождении на бумажном носителе и направляет его в орган ЗАГС по месту хранения записи акта о рождении на бумажном носителе (первого экземпляра записи акта о рождении). В случае составления новой записи акта о рождении в орган ЗАГС по месту хранения ранее составленной записи акта о рождении на бумажном носителе (первого экземпляра записи акта о рождении) подготавливается и направляется извещение для проставления в ней отметки о составлении новой записи акта о рождении. Указанные извещения подписываются руководителем органа, предоставляющего государственную услугу, или уполномоченным им работником органа, предоставляющего государственную услугу, и скрепляются оттиском печати органа, предоставляющего государственную услугу.

80.58. Специалист регистрирует извещение в журнале исходящей корреспонденции, проставляет на извещении дату регистрации и исходящий номер.

80.59. Реализация административной процедуры по подготовке и направлению извещения о внесении изменений в первый экземпляр записи акта о рождении либо о составлении новой записи акта о рождении в ранее составленную запись акта о рождении составляет 20 минут.

80.60. Результатом административной процедуры является оформленное извещение о внесении соответствующих изменений в ранее составленную запись акта о рождении или о составлении новой записи акта о рождении.

80.61. Максимальное время совершения административных процедур при предоставлении государственной услуги по регистрации усыновления составляет 70 минут.

Государственная регистрация установления отцовства

81. Предоставление государственной услуги по государственной регистрации установления отцовства (далее - государственная услуга по регистрации установления отцовства) (блок-схема N 5) включает в себя следующие административные процедуры:

1) проверка представленных заявителями (заявителем) документов и принятие решения о предоставлении государственной услуги по регистрации установления отцовства;

2) прием представленных заявителями (заявителем) документов и регистрация письменного заявления об установлении отцовства в журнале регистрации заявлений об установлении отцовства;

3) составление и оформление записи акта об установлении отцовства;

4) составление и оформление свидетельства об установлении отцовства;

5) учет и выдача свидетельства об установлении отцовства;

6) внесение изменений в запись акта о рождении в связи с установлением отцовства;

7) составление и оформление свидетельства о рождении;

8) учет и выдача свидетельства о рождении;

9) оформление и направление извещения о внесении изменений в запись акта о рождении в связи с установлением отцовства в орган ЗАГС по месту хранения записи акта о рождении на бумажном носителе (первого экземпляра записи акта о рождении).

Административная процедура по проверке представленных заявителями (заявителем) документов и принятию решения о предоставлении государственной услуги по регистрации установления отцовства

81.1. Основанием для начала выполнения административной процедуры по проверке представленных заявителем (заявителями) документов является личное обращение заявителя (заявителей) в орган, предоставляющий государственную услугу, с одновременным представлением необходимых документов, указанных в пунктах 25, 25, 34 Административного регламента.

81.2. Специалист, ответственный за государственную регистрацию установления отцовства, проверяет правильность оформления представленных документов.

81.3. Заявление об установлении отцовства может быть подано двумя отдельными заявлениями отца и матери ребенка. Подпись лица на заявлении об установлении отцовства, не имеющего возможности лично обратиться в орган, предоставляющий государственную услугу, удостоверяется нотариально.

Письменное заявление об установлении отцовства на основании решения суда об установлении отцовства или об установлении факта признания отцовства, вступившего в законную силу, заполняется родителями (родителем) в случае обращения в орган, предоставляющий государственную услугу, уполномоченного ими лица. Также проверяются документы, подтверждающие его полномочие.

В случае, если регистрация рождения ребенка была произведена ранее и в представленном свидетельстве о рождении имеется запись об отце, проводится проверка основания для внесения сведений об отце. Орган, предоставляющий государственную услугу, направляет запрос о высылке записи акта о рождении в орган ЗАГС по месту хранения первого экземпляра записи акта о рождении <17>.

<17> Утрачивает силу со дня вступления в силу пункта 2 статьи 3 Федерального закона от 23.06.2016 N 219-ФЗ "О внесении изменений в Федеральный закон "Об актах гражданского состояния".

Для проверки основания для внесения сведений об отце орган, предоставляющий государственную услугу, использует сведения Единого реестра о записи акта об установлении отцовства <18>.

<18> Вступает в силу со дня вступления в силу пункта 2 статьи 3 Федерального закона от 23.06.2016 N 219-ФЗ "О внесении изменений в Федеральный закон "Об актах гражданского состояния".

Максимальный срок направления запроса о высылке записи акта о рождении в орган ЗАГС по месту хранения первого экземпляра записи акта о рождении либо проверки основания для внесения сведений об отце с использованием сведений Единого реестра о записи акта об установлении отцовства составляет 10 минут.

81.4. Если необходимые документы отсутствуют либо не соответствуют установленным законодательством Российской Федерации требованиям, специалист уведомляет заявителя (заявителей) о том, что обнаружены препятствия для предоставления государственной услуги по регистрации установления отцовства, сообщает заявителю (заявителям) о выявленных недостатках в представленных документах и предлагает принять меры по их устранению.

81.5. В случае наличия оснований для отказа в предоставлении государственной услуги по регистрации установления отцовства, указанных в пунктах 45, 46, 50 Административного регламента, специалист возвращает заявителю (заявителям) документы с объяснением причин отказа. По требованию заявителя (заявителей) руководитель органа, предоставляющего государственную услугу, выдает письменный отказ в предоставлении государственной услуги по регистрации установления отцовства.

81.6. Реализация административной процедуры по проверке представленных заявителем (заявителями) документов, необходимых для предоставления государственной услуги по регистрации установления отцовства, составляет 10 минут.

81.7. Результатом административной процедуры являются проверка специалистом представленных документов и принятие решения о результате предоставления государственной услуги по регистрации установления отцовства. В случае отказа в предоставлении государственной услуги по регистрации установления отцовства представленные документы возвращаются заявителю (заявителям) с объяснением причин отказа в устной или письменной форме.

Административная процедура по приему представленных заявителями (заявителем) документов и регистрации письменного заявления об установлении отцовства в журнале регистрации заявлений об установлении отцовства

81.8. Основанием для начала выполнения административной процедуры по приему представленных заявителем (заявителями) документов и регистрации письменного заявления об установлении отцовства в журнале регистрации заявлений об установлении отцовства является принятие решения о предоставлении государственной услуги по регистрации установления отцовства.

81.9. Специалист принимает представленные заявителем (заявителями) документы, письменное заявление об установлении отцовства регистрируется в журнале регистрации заявлений об установлении отцовства.

81.10. На заявлении об установлении отцовства проставляются дата регистрации и регистрационный номер, фамилия, имя, отчество (при наличии) специалиста, принявшего заявление об установлении отцовства, и ставится его подпись.

81.11. Реализация административной процедуры по приему представленных заявителем документов и регистрации письменного заявления об установлении отцовства в журнале регистрации заявлений об установлении отцовства составляет 10 минут.

81.12. Результатом административной процедуры являются прием специалистом представленных заявителями документов и регистрация письменного заявления об установлении отцовства в журнале регистрации заявлений об установлении отцовства.

Административная процедура по составлению и оформлению записи акта об установлении отцовства

81.13. Основанием для начала выполнения административной процедуры по составлению и оформлению записи акта об установлении отцовства являются принятое решение о предоставлении государственной услуги по регистрации установления отцовства и прием документов, представленных заявителем (заявителями) для государственной регистрации установления отцовства.

81.14. Специалист составляет и оформляет запись акта об установлении отцовства в форме электронного документа и на бумажном носителе.

81.15. Запись акта об установлении отцовства на бумажном носителе прочитывается и подписывается заявителем, руководителем органа, предоставляющего государственную услугу, или уполномоченным им работником органа, предоставляющего государственную услугу, скрепляется оттиском печати органа, предоставляющего государственную услугу.

81.16. Запись акта об установлении отцовства, составленная в форме электронного документа, подписывается усиленной квалифицированной электронной подписью руководителя органа, предоставляющего государственную услугу, или уполномоченного им работника органа, предоставляющего государственную услугу.

81.17. Дата и номер актовой записи указываются на заявлении о государственной регистрации установления отцовства, представленном заявителем.

81.18. Реализация административной процедуры по составлению и оформлению записи акта об установления отцовства составляет 30 минут.

81.19. Результатом административной процедуры является оформленная запись акта об установлении отцовства в форме электронного документа и на бумажном носителе, подписанная заявителем, руководителем органа, предоставляющего государственную услугу, или уполномоченным им работником органа, предоставляющего государственную услугу, скрепленная оттиском печати органа, предоставляющего государственную услугу.

Административная процедура по составлению и оформлению свидетельства об установлении отцовства

81.20. Основанием для начала выполнения административной процедуры по составлению и оформлению свидетельства об установлении отцовства является оформленная запись акта об установлении отцовства в форме электронного документа и на бумажном носителе.

81.21. Специалист составляет и оформляет свидетельство об установлении отцовства.

81.22. Свидетельство об установлении отцовства подписывается руководителем органа, предоставляющего государственную услугу, или уполномоченным им работником органа предоставляющего государственную услугу, и скрепляется оттиском печати органа, предоставляющего государственную услугу.

81.23. Реализация административной процедуры по составлению и оформлению свидетельства об установлении отцовства составляет 10 минут.

81.24. Результатом административной процедуры является оформленное свидетельство об установлении отцовства, подписанное руководителем органа, предоставляющего государственную услугу, или уполномоченным им работником органа, предоставляющего государственную услугу, скрепленное печатью органа, предоставляющего государственную услугу.

Административная процедура по учету и выдаче свидетельства об установлении отцовства

81.25. Основанием для начала выполнения административной процедуры по учету и выдаче свидетельства об установлении отцовства является оформленное свидетельство об установлении отцовства.

81.26. Специалист вносит сведения об оформленном свидетельстве об установлении отцовства в журнал учета выдачи свидетельств об установлении отцовства.

81.27. Специалист выдает свидетельство об установлении отцовства заявителю.

81.28. При получении свидетельства об установлении отцовства заявитель прочитывает данное свидетельство и расписывается в журнале учета выдачи свидетельств об установлении отцовства.

81.29. Реализация административной процедуры по учету и выдаче свидетельства об установлении отцовства составляет 5 минут.

81.30. Результатом административной процедуры являются внесение специалистом сведений об оформленном свидетельстве об установлении отцовства в журнал учета выдачи свидетельств об установлении отцовства и выдача заявителю свидетельства об установлении отцовства.

Административная процедура по внесению изменений в запись акта о рождении в связи с установлением отцовства

81.31. Основанием для начала выполнения административной процедуры по внесению изменений в запись акта о рождении является оформленная запись об установлении отцовства в форме электронного документа и на бумажном носителе.

81.32. Специалист вносит в запись акта о рождении, составленную в форме электронного документа и на бумажном носителе (первый экземпляр записи акта), находящуюся на хранении в данном органе, предоставляющем государственную услугу, соответствующие изменения.

81.33. Изменения, внесенные в запись акта о рождении, составленную на бумажном носителе (первый экземпляр записи акта), заверяются подписью руководителя органа, предоставляющего государственную услугу, или уполномоченного им работника органа, предоставляющего государственную услугу, и заверяются оттиском печати органа, предоставляющего государственную услугу.

81.34. Изменения, внесенные в запись акта о рождении, составленную в форме электронного документа, подписываются усиленной квалифицированной электронной подписью руководителя органа, предоставляющего государственную услугу, или уполномоченного им работника органа, предоставляющего государственную услугу.

81.35. Реализация административной процедуры по внесению изменений в первый экземпляр записи акта о рождении, составленной в форме электронного документа и на бумажном носителе (первый экземпляр записи акта), составляет 30 минут.

81.36. Результатом административной процедуры является внесение в запись акта о рождении, составленную в форме электронного документа и на бумажном носителе (первый экземпляр записи акта), соответствующих изменений в связи с установлением отцовства.

Административная процедура по составлению и оформлению свидетельства о рождении

81.37. Основанием для начала выполнения административной процедуры по составлению и оформлению свидетельства о рождении является внесение соответствующих изменений в запись акта о рождении, составленную в форме электронного документа и на бумажном носителе.

81.38. Специалист составляет и оформляет свидетельство о рождении.

81.39. Свидетельство о рождении подписывается руководителем органа, предоставляющего государственную услугу, или уполномоченным им работником органа, предоставляющего государственную услугу, и скрепляется оттиском печати органа, предоставляющего государственную услугу.

81.40. Реализация административной процедуры по составлению и оформлению свидетельства о рождении составляет 5 минут.

81.41. Результатом административной процедуры является оформленное свидетельство о рождении, подписанное руководителем органа, предоставляющего государственную услугу, или уполномоченным им работником органа, предоставляющего государственную услугу, и скрепленное оттиском печати органа, предоставляющего государственную услугу.

Административная процедура по учету и выдаче свидетельства о рождении

81.42. Основанием для начала выполнения административной процедуры по учету и выдаче свидетельства о рождении является оформленное свидетельство о рождении.

81.43. Специалист вносит сведения об оформленном свидетельстве о рождении в журнал учета выдачи повторных свидетельств о государственной регистрации рождения.

81.44. Специалист выдает оформленное свидетельство о рождении, подписанное руководителем органа, предоставляющего государственную услугу, или уполномоченным им работником органа, предоставляющего государственную услугу, и скрепленное оттиском печати органа, предоставляющего государственную услугу.

81.45. При получении свидетельства о рождении заявитель прочитывает свидетельство о рождении и расписывается в журнале учета выдачи повторных свидетельств о государственной регистрации рождения.

81.46. Реализация административной процедуры по учету и выдаче свидетельства о рождении составляет 5 минут.

81.47. Результатом административной процедуры являются учет и выдача заявителю свидетельства о рождении.

Административная процедура по оформлению и направлению извещения о внесении изменений в запись акта о рождении в связи с установлением отцовства в орган ЗАГС по месту хранения записи акта о рождении на бумажном носителе (первого экземпляра записи акта о рождении)

81.48. Основанием для начала выполнения административной процедуры по оформлению и направлению извещения о внесении изменений в запись акта о рождении в связи с установлением отцовства в орган ЗАГС по месту хранения записи акта о рождении на бумажном носителе (первого экземпляра записи акта о рождении) являются оформленная запись об установлении отцовства и заявление родителей (родителя) о внесении изменений в запись акта о рождении.

81.49. Специалист составляет извещение о внесении соответствующих изменений в ранее составленную запись акта о рождении ребенка и направляет в орган ЗАГС по месту хранения записи акта о рождении на бумажном носителе (первого экземпляра записи акта о рождении).

81.50. Данное извещение подписывается руководителем органа, предоставляющего государственную услугу, или уполномоченным им работником органа, предоставляющего государственную услугу, и скрепляется оттиском печати органа, предоставляющего государственную услугу.

81.51. К извещению прилагаются заявление родителей (родителя) о внесении соответствующих изменений в запись акта о рождении и копия записи акта об установлении отцовства.

81.52. Специалист регистрирует извещение в журнале исходящей корреспонденции, проставляет на извещении дату регистрации и исходящий номер.

81.53. Реализация административной процедуры по оформлению и направлению извещения о внесении изменений в запись акта о рождении на бумажном носителе (первого экземпляра записи акта о рождении) составляет 20 минут.

81.54. Результатом административной процедуры являются оформление и направление извещения о внесении соответствующих изменений в ранее составленную запись акта о рождении на бумажном носителе (первый экземпляр записи акта о рождении).

81.55. Максимальное время совершения административных процедур при предоставлении государственной услуги по регистрации установления отцовства составляет 80 минут.

Государственная регистрация перемены имени

82. Предоставление государственной услуги по государственной регистрации перемены имени (далее - государственная услуга по регистрации перемены имени) (блок-схема N 6) включает в себя следующие административные процедуры:

1) проверка представленных заявителем документов и принятие решения о предоставлении государственной услуги по регистрации перемены имени;

2) прием представленных заявителем документов и регистрация заявления о перемене имени в журнале регистрации заявлений о перемене имени;

3) составление и направление запроса копий записей актов гражданского состояния, в которые необходимо внести изменения в связи с переменой имени;

4) регистрация поступивших копий записей актов гражданского состояния в журнале входящей корреспонденции и проведение анализа данных записей;

5) формирование материалов о перемене имени и принятие решения о рассмотрении заявления о перемене имени;

6) информирование заявителя о принятом решении и приглашение на государственную регистрацию перемены имени в согласованные с ним дату и время;

7) составление и оформление записи акта о перемене имени;

8) составление и оформление свидетельства о перемене имени;

9) учет и выдача свидетельства о перемене имени;

10) внесение изменений в записи актов гражданского состояния, находящиеся на хранении в данном органе, предоставляющем государственную услугу, в связи с переменой имени;

11) составление и оформление свидетельства о государственной регистрации акта гражданского состояния в связи с внесением изменений в запись акта гражданского состояния;

12) учет и выдача свидетельства о государственной регистрации акта гражданского состояния;

13) составление и направление извещения о внесении соответствующих изменений в запись акта гражданского состояния в связи с переменой имени в орган ЗАГС по месту хранения записи акта гражданского состояния, подлежащей изменению.

Административная процедура по проверке представленных заявителем документов и принятию решения о предоставлении государственной услуги по регистрации перемены имени

82.1. Основанием для начала выполнения административной процедуры по проверке представленных заявителем документов и принятию решения о предоставлении государственной услуги по регистрации перемены имени является личное обращение заявителя в орган, предоставляющий государственную услугу, с одновременным представлением необходимых документов, указанных в пунктах 25, 26, 35 Административного регламента.

82.2. Специалист, ответственный за государственную регистрацию перемены имени, проверяет наличие всех необходимых для государственной регистрации документов и правильность их оформления.

82.3. Если необходимые документы отсутствуют либо не соответствуют установленным законодательством Российской Федерации требованиям, специалист уведомляет заявителя о том, что обнаружены препятствия для предоставления государственной услуги по регистрации перемены имени, сообщает заявителю о выявленных недостатках в представленных документах и предлагает принять меры к их устранению.

82.4. В случае наличия оснований для отказа в предоставлении государственной услуги по регистрации перемены имени, указанных в пунктах 45, 47, 50 Административного регламента, специалист возвращает заявителю документы с объяснением причин отказа. По требованию заявителя руководитель органа, предоставляющего государственную услугу, выдает письменный отказ в предоставлении государственной услуги по регистрации перемены имени.

Максимальный срок для выполнения данного действия составляет 30 минут.

82.5. Реализация административной процедуры по проверке представленных заявителем документов и принятию решения о предоставлении государственной услуги по регистрации перемены имени составляет 10 минут.

82.6. Результатом административной процедуры являются проверка специалистом представленных заявителем документов и принятие решения о результате предоставления государственной услуги по регистрации перемены имени. В случае отказа в предоставлении государственной услуги по регистрации перемены имени документы возвращаются заявителю с объяснением причин отказа в устной или письменной форме.

Административная процедура по приему представленных заявителем документов и регистрации заявления о перемене имени в журнале регистрации заявлений о перемене имени

82.7. Основанием для начала выполнения административной процедуры по приему представленных заявителем документов и регистрации заявления о перемене имени в журнале регистрации заявлений о перемене имени является принятое решение о предоставлении государственной услуги по регистрации перемены имени.

82.8. Специалист принимает представленные заявителем документы, заявление о перемене имени регистрируется в журнале регистрации заявлений о перемене имени.

82.9. На заявлении о перемене имени проставляются дата регистрации и регистрационный номер, фамилия, имя, отчество (при наличии) специалиста, принявшего заявление о перемене имени, и ставится его подпись.

82.10. Реализация административной процедуры по приему представленных заявителем документов и регистрации письменного заявления о перемене имени в журнале регистрации заявлений о перемене имени составляет 5 минут.

82.11. Результатом административной процедуры являются прием специалистом представленных заявителями документов и регистрация письменного заявления о перемене имени в журнале регистрации заявлений о перемене имени.

Административная процедура по составлению и направлению запроса копий записей актов гражданского состояния, в которые необходимо внести изменения в связи с переменой имени

82.12. Основанием для начала выполнения административной процедуры по составлению и направлению запроса копий записей актов гражданского состояния, в которые необходимо внести изменения в связи с переменой имени, является прием специалистом заявления о перемене имени и представленных заявителем документов.

82.13. Специалист составляет запрос об истребовании копий записей актов гражданского состояния, в которые необходимо внести изменения в связи с переменой имени, в орган ЗАГС по месту хранения необходимых записей актов гражданского состояния. Данный запрос подписывается руководителем органа, предоставляющего государственную услугу, или уполномоченным им работником органа, предоставляющего государственную услугу, и скрепляется оттиском печати органа, предоставляющего государственную услугу <19>.

<19> Утрачивает силу со дня вступления в силу пункта 2 статьи 3 Федерального закона от 23.06.2016 N 219-ФЗ "О внесении изменений в Федеральный закон "Об актах гражданского состояния".

В случае, если запись акта гражданского состояния составлена компетентным органом иностранного государства, запрос об истребовании данной копии не направляется. К заявлению прилагается копия представленного заявителем свидетельства о регистрации данного акта.

При рассмотрении заявления о перемене имени орган, предоставляющий государственную услугу, использует сведения, содержащиеся в Едином реестре, о записях актов гражданского состояния, в которые необходимо внести изменения в связи с переменой имени <20>.

<20> Вступает в силу со дня вступления в силу пункта 2 статьи 3 Федерального закона от 23.06.2016 N 219-ФЗ "О внесении изменений в Федеральный закон "Об актах гражданского состояния".

82.14. Реализация административной процедуры по составлению и направлению запроса копий записей актов гражданского состояния составляет 10 минут на каждый запрос.

82.15. Результатом административной процедуры являются составление и направление запроса об истребовании копий записей актов гражданского состояния, в которые необходимо внести изменения в связи с переменой имени.

Административная процедура по регистрации поступивших копий записей актов гражданского состояния в журнале входящей корреспонденции и проведению анализа данных записей

82.16. Основанием для начала выполнения административной процедуры по регистрации поступивших копий записей актов гражданского состояния в журнале входящей корреспонденции и проведению анализа данных записей является получение необходимых копий записей актов гражданского состояния, в которые необходимо внести изменения в связи с переменой имени.

82.17. Специалист регистрирует в журнале входящей корреспонденции поступившие копии записей актов гражданского состояния, в которые необходимо внести изменения в связи с переменой имени. На копиях записей актов гражданского состояния проставляется входящий номер.

82.18. Специалист проводит анализ поступивших копий записей актов гражданского состояния, в которые необходимо внести изменения в связи с переменой имени.

82.19. При проведении анализа поступивших копий записей актов гражданского состояния специалист сверяет сведения, указанные в представленном заявителем документе, со сведениями, содержащимися в копиях записей актов гражданского состояния.

82.20. Реализация административной процедуры по регистрации поступивших копий записей актов гражданского состояния в журнале входящей корреспонденции и проведению анализа данных записей составляет 15 минут на каждый запрос.

82.21. Результатом административной процедуры являются регистрация поступивших копий записей актов гражданского состояния в журнале входящей корреспонденции и проведение анализа данных копий записей актов гражданского состояния.

Административная процедура по формированию материалов о перемене имени и принятию решения о рассмотрении заявления о перемене имени

82.22. Основанием для начала выполнения административной процедуры по формированию материалов о перемене имени и принятию решения о рассмотрении заявления о перемене имени являются получение и проведение анализа необходимых копий записей актов гражданского состояния, в которые необходимо внести изменения в связи с переменой имени.

82.23. Специалист, ответственный за государственную регистрацию перемены имени, формирует в дело поступившие копии записей актов гражданского состояния, в которые необходимо внести соответствующие изменения в связи с переменой имени, а также копии записей актов, находящиеся на хранении в данном органе, предоставляющем государственную услугу.

82.24. По итогам проведенного анализа специалист составляет справку о результатах рассмотрения заявления о перемене имени и отдает ее на подпись руководителю органа, предоставляющего государственную услугу. Решение о предоставлении государственной услуги принимает руководитель органа, предоставляющего государственную услугу.

82.25. В случае необходимости восстановления или внесения исправления в запись акта гражданского состояния, истребованную в связи с приемом заявления о перемене имени, срок, установленный Федеральным законом для рассмотрения заявления о перемене имени, приостанавливается до решения вопроса о восстановлении либо исправлении или изменении записи акта гражданского состояния.

82.26. Реализация административной процедуры по формированию материалов о перемене имени и принятию решения о рассмотрении заявления о перемене имени (составлению справки о рассмотрении заявления о перемене имени) составляет 50 минут.

82.27. Результатом административной процедуры являются формирование материалов о перемене имени и принятие решения о рассмотрении заявления о перемене имени (составление справки о рассмотрении заявления о перемене имени).

Административная процедура по информированию заявителя о принятом решении и приглашению на государственную регистрацию перемены имени в согласованные с ним дату и время

82.28. Основанием для начала выполнения административной процедуры по информированию заявителя о рассмотрении заявления о перемене имени и приглашению его на государственную регистрацию перемены имени в согласованные с ним дату и время являются формирование поступивших копий записей актов гражданского состояния и принятие решения по результатам рассмотрения заявления о перемене имени (составление справки о рассмотрении заявления о перемене имени).

82.29. Специалист, ответственный за государственную регистрацию перемены имени, информирует (по телефону, при наличии технической возможности - в электронной форме) заявителя о поступлении всех необходимых документов и приглашает его на государственную регистрацию перемены имени, согласовав с ним дату и время.

82.30. В случае, если записи актов гражданского состояния, в которые необходимо внести изменения в связи с переменой имени, утрачены, специалист сообщает заявителю о приостановлении рассмотрения заявления о перемене имени и о том, что государственная регистрация перемены имени будет произведена только после восстановления записей в порядке, установленном Федеральным законом для восстановления записей актов гражданского состояния.

82.31. Заявителю также сообщается, если в поступивших копиях записей актов гражданского состояния имеются несоответствия сведений с представленными заявителем документами, о том, что такие несоответствия должны быть устранены в порядке, установленном Федеральным законом для внесения исправлений и изменений в записи актов гражданского состояния.

82.32. В случае необходимости восстановления или изменения записи акта гражданского состояния срок, установленный для рассмотрения заявления о перемене имени, приостанавливается до решения вопроса о восстановлении либо исправлении или изменении записи акта гражданского состояния.

82.33. Реализация административной процедуры по информированию заявителя о принятом решении и приглашению на государственную регистрацию перемены имени в согласованные с ним дату и время или информирование заявителя о приостановлении предоставления государственной услуги по регистрации перемены имени составляет 10 минут.

82.34. Результатом административной процедуры является информирование заявителя о принятом решении и приглашение его на государственную регистрацию перемены имени в согласованные с ним дату и время или информирование заявителя о приостановлении предоставления государственной услуги по регистрации перемены имени.

Административная процедура по составлению и оформлению записи акта о перемене имени

82.35. Основанием для начала выполнения административной процедуры по составлению и оформлению записи акта о перемене имени является личное присутствие заявителя в органе, предоставляющем государственную услугу, в согласованные день и время.

82.36. Специалист составляет запись акта о перемене имени в форме электронного документа и на бумажном носителе.

82.37. Запись акта о перемене имени на бумажном носителе прочитывается и подписывается заявителем, руководителем органа, предоставляющего государственную услугу, или уполномоченным им работником органа, предоставляющего государственную услугу, и скрепляется оттиском печати органа, предоставляющего государственную услугу.

82.38. Запись акта о перемене имени, составленная в форме электронного документа, подписывается усиленной квалифицированной электронной подписью руководителя органа, предоставляющего государственную услугу, или уполномоченного им работника органа, предоставляющего государственную услугу.

82.39. Номер актовой записи указывается на письменном заявлении о государственной регистрации перемены имени, представленном заявителем.

82.40. Реализация административной процедуры по составлению и оформлению записи акта о перемене имени составляет 20 минут.

82.41. Результатом административной процедуры является оформленная специалистом запись акта о перемене имени в форме электронного документа и на бумажном носителе, прочитанная и подписанная заявителем, руководителем органа, предоставляющего государственную услугу, или уполномоченным им работником органа, предоставляющего государственную услугу, скрепленная оттиском печати органа, предоставляющего государственную услугу.

Административная процедура по составлению и оформлению свидетельства о перемене имени

82.42. Основанием для начала выполнения административной процедуры по составлению и оформлению свидетельства о перемене имени является оформленная специалистом запись акта о перемене имени в форме электронного документа и на бумажном носителе.

82.43. Специалист составляет и оформляет свидетельство о перемене имени.

82.44. Свидетельство о перемене имени подписывается руководителем органа, предоставляющего государственную услугу, или уполномоченным им работником органа, предоставляющего государственную услугу, и скрепляется оттиском печати органа, предоставляющего государственную услугу.

82.45. Реализация административной процедуры по составлению и оформлению свидетельства о перемене имени составляет 5 минут.

82.46. Результатом административной процедуры является оформленное специалистом свидетельство о перемене имени, подписанное руководителем органа, предоставляющего государственную услугу, или уполномоченным им работником органа, предоставляющего государственную услугу, скрепленное оттиском печати органа, предоставляющего государственную услугу.

Административная процедура по учету и выдаче свидетельства о перемене имени

82.47. Основанием для начала выполнения административной процедуры по учету и выдаче свидетельства о перемене имени является оформленное специалистом свидетельство о перемене имени.

82.48. Специалист вносит сведения об оформленном свидетельстве о перемене имени в журнал учета выдачи свидетельств о перемене имени.

82.49. Специалист выдает заявителю при государственной регистрации перемены имени свидетельство о перемене имени, подписанное руководителем органа, предоставляющего государственную услугу, или уполномоченным им работником органа, предоставляющего государственную услугу, скрепленное оттиском печати органа, предоставляющего государственную услугу.

82.50. При получении свидетельства о перемене имени заявитель прочитывает свидетельство и расписывается в журнале учета выдачи свидетельств о перемене имени. Подпись заявителя должна совпадать с его фамилией до перемены имени.

82.51. Реализация административной процедуры по учету и выдаче свидетельства о перемене имени составляет 5 минут.

82.52. Результатом административной процедуры являются учет свидетельства о перемене имени в журнале учета выдачи свидетельств о перемене имени и выдача его заявителю.

Административная процедура по внесению изменений в записи актов гражданского состояния, находящиеся на хранении в данном органе, предоставляющем государственную услугу, в связи с переменой имени

82.53. Основанием для начала выполнения административной процедуры по внесению изменений в записи актов гражданского состояния, находящиеся на хранении в данном органе, предоставляющем государственную услугу, в связи с переменой имени являются оформленная запись о перемене имени в форме электронного документа и на бумажном носителе и заявление заявителя о внесении соответствующих изменений.

82.54. Специалист вносит соответствующие изменения в запись акта гражданского состояния, составленную в электронном виде и на бумажном носителе, находящуюся на хранении в органе, предоставляющем государственную услугу.

82.55. Изменения, внесенные в запись акта гражданского состояния, составленную на бумажном носителе, заверяются подписью руководителя органа, предоставляющего государственную услугу, или уполномоченного им работника органа, предоставляющего государственную услугу, и заверяются оттиском печати органа, предоставляющего государственную услугу.

82.56. Изменения, внесенные в запись акта гражданского состояния, составленную в форме электронного документа, подписываются усиленной квалифицированной электронной подписью руководителя органа, предоставляющего государственную услугу, или уполномоченного им работника органа, предоставляющего государственную услугу.

82.57. Реализация административной процедуры по внесению изменений в запись акта гражданского состояния, составленную в форме электронного документа и на бумажном носителе, составляет 25 минут на каждую запись.

82.58. Результатом административной процедуры является внесение в запись акта гражданского состояния, составленную в форме электронного документа и на бумажном носителе, соответствующих изменений в связи с переменой имени.

Административная процедура по составлению и оформлению свидетельства о государственной регистрации акта гражданского состояния в связи с внесением изменений в запись акта гражданского состояния

82.59. Основанием для начала выполнения административной процедуры по составлению и оформлению свидетельства о государственной регистрации акта гражданского состояния в связи с внесением изменений в запись акта гражданского состояния является внесение соответствующих изменений в запись акта гражданского состояния в форме электронного документа и на бумажном носителе на основании записи акта о перемене имени.

82.60. Специалист составляет и оформляет свидетельство о государственной регистрации акта гражданского состояния.

82.61. Свидетельство о государственной регистрации акта гражданского состояния подписывается руководителем органа, предоставляющего государственную услугу, или уполномоченным им работником органа, предоставляющего государственную услугу, и скрепляется оттиском печати органа, предоставляющего государственную услугу.

82.62. Реализация административной процедуры по составлению и оформлению свидетельства о государственной регистрации акта гражданского состояния составляет 5 минут на каждый документ.

82.63. Результатом административной процедуры является оформленное свидетельство о государственной регистрации акта гражданского состояния, подписанное руководителем органа предоставляющего государственную услугу, или уполномоченным им работником органа, предоставляющего государственную услугу, и скрепленное оттиском печати органа, предоставляющего государственную услугу.

Административная процедура по учету и выдаче свидетельства о государственной регистрации акта гражданского состояния

82.64. Основанием для начала выполнения административной процедуры по учету и выдаче свидетельства о государственной регистрации акта гражданского состояния является оформленное свидетельство о государственной регистрации акта гражданского состояния.

82.65. Специалист вносит сведения об оформленном свидетельстве о государственной регистрации акта гражданского состояния в журнал учета выдачи повторных свидетельств о государственной регистрации акта гражданского состояния.

82.66. Специалист выдает свидетельство о государственной регистрации акта гражданского состояния заявителю.

82.67. При получении свидетельства о государственной регистрации акта гражданского состояния заявитель прочитывает свидетельство и расписывается в журнале учета выдачи повторных свидетельств о государственной регистрации актов гражданского состояния.

82.68. Реализация административной процедуры по учету и выдаче свидетельства о государственной регистрации акта гражданского состояния составляет 5 минут на каждое свидетельство.

82.69. Результатом административной процедуры являются учет свидетельства о государственной регистрации акта гражданского состояния в журнале учета выдачи повторных свидетельств и выдача его заявителю.

Административная процедура по составлению и направлению извещения о внесении соответствующих изменений в запись акта гражданского состояния в связи с переменой имени в орган ЗАГС по месту хранения записи акта гражданского состояния, подлежащей изменению

82.70. Основанием для начала выполнения административной процедуры по составлению и направлению извещения о внесении соответствующих изменений в запись акта гражданского состояния в связи с переменой имени в орган ЗАГС по месту хранения записи акта гражданского состояния, подлежащей изменению, является оформленная запись о перемене имени в форме электронного документа и на бумажном носителе.

82.71. Специалист составляет извещение о внесении соответствующего изменения в запись акта гражданского состояния на бумажном носителе (первый экземпляр записи акта гражданского состояния) в связи с переменой имени и направляет его в орган ЗАГС по месту ее хранения.

82.72. Данное извещение подписывается руководителем органа, предоставляющего государственную услугу, или уполномоченным им работником органа, предоставляющего государственную услугу, и скрепляется оттиском печати органа, предоставляющего государственную услугу.

82.73. К извещению прилагается копия записи акта о перемене имени.

82.74. Специалист регистрирует извещение в журнале исходящей корреспонденции, проставляет на извещении дату регистрации и исходящий номер.

82.75. Реализация административной процедуры по составлению и направлению извещения о внесении соответствующих изменений в запись акта гражданского состояния в связи с переменой имени в орган ЗАГС по месту хранения записи акта гражданского состояния, подлежащей изменению, составляет 10 минут на каждое извещение.

82.76. Результатом административной процедуры являются составление и направление извещения о внесении соответствующих изменений в запись акта гражданского состояния.

82.77. Максимальное время совершения административных процедур при предоставлении государственной услуги по регистрации перемены имени составляет 60 минут.

Государственная регистрация смерти

83. Предоставление государственной услуги по государственной регистрации смерти (далее - государственная услуга по регистрации смерти) (блок-схема N 7) включает в себя следующие административные процедуры:

1) проверка представленных заявителем документов и принятие решения о предоставлении государственной услуги по регистрации смерти;

2) формирование и направление межведомственного запроса в компетентный орган о направлении документа о факте смерти лица, необоснованно репрессированного и впоследствии реабилитированного на основании Закона о реабилитации жертв политических репрессий (далее - межведомственный запрос о направлении документа о факте смерти необоснованно репрессированного лица, компетентный орган, хранящий сведения о факте смерти необоснованно репрессированного лица, соответственно), смерть которого ранее не регистрировалась;

3) прием представленных заявителем документов и регистрация письменного заявления о смерти;

4) составление и оформление записи акта о смерти;

5) составление и оформление свидетельства о смерти;

6) учет и выдача свидетельства о смерти;

7) оформление, учет и выдача справки о смерти;

8) изъятие паспортов умерших граждан Российской Федерации и сдача их в территориальный орган Министерства внутренних дел Российской Федерации.

Административная процедура по проверке представленных заявителем документов и принятию решения о предоставлении государственной услуги по регистрации смерти

83.1. Основанием для начала выполнения административной процедуры по проверке представленных заявителем документов является личное обращение заявителя в орган, предоставляющий государственную услугу, с одновременным представлением документов, указанных в пунктах 25, 26, 36 Административного регламента.

83.2. Специалист, ответственный за государственную регистрацию смерти, проверяет наличие всех необходимых документов и правильность их оформления.

83.3. Заявление о смерти может быть подано в устной или письменной форме. Должностное лицо медицинской или иной организации при государственной регистрации смерти подает соответствующее письменное заявление о смерти. В случае, если заявление подается должностным лицом, также проверяются документы, подтверждающие его полномочия.

83.4. Если представлен дубликат медицинского свидетельства о смерти, орган, предоставляющий государственную услугу, проводит проверку (по телефону или путем направления запроса в соответствующие органы ЗАГС) наличия ранее составленной на основании первичного медицинского свидетельства о смерти актовой записи в органе ЗАГС по месту жительства умершего и по месту наступления смерти <21>.

<21> Утрачивает силу со дня вступления в силу пункта 2 статьи 3 Федерального закона от 23.06.2016 N 219-ФЗ "О внесении изменений в Федеральный закон "Об актах гражданского состояния".

Для проверки наличия ранее составленной на основании первичного медицинского свидетельства о смерти записи акта о смерти орган, предоставляющий государственную услугу, использует сведения Единого реестра о записи акта о смерти. <22> Максимальный срок выполнения данного действия составляет 15 минут.

<22> Вступает в силу со дня вступления в силу пункта 2 статьи 3 Федерального закона от 23.06.2016 N 219-ФЗ "О внесении изменений в Федеральный закон "Об актах гражданского состояния".

83.5. При представлении медицинского документа о смерти, выданного на территории иностранного государства, орган, предоставляющий государственную услугу, проверяет возможность осуществления государственной регистрации рождения в соответствии с международными договорами Российской Федерации и пунктом 1 статьи 7 Федерального закона. В случае отсутствия международного договора Российской Федерации в целях осуществления государственной регистрации рождения на основании документа, выданного компетентным органом иностранного государства, в орган, предоставляющий государственную услугу, заявителем по желанию могут быть предъявлены разъяснения законодательства иностранного государства, или орган, предоставляющий государственную услугу, направляет соответствующий запрос, предусмотренный статьей 166 Семейного кодекса Российской Федерации.

83.6. Если необходимые документы отсутствуют либо не соответствуют установленным законодательством Российской Федерации требованиям, специалист уведомляет заявителя о том, что обнаружены препятствия для предоставления государственной услуги по регистрации смерти, сообщает заявителю о выявленных недостатках в представленных документах и предлагает принять меры к их устранению.

83.7. В случае наличия оснований для отказа в предоставлении государственной услуги по регистрации смерти, указанных в пунктах 45, 50 Административного регламента, специалист возвращает заявителю документы с объяснением причин отказа. По требованию заявителя руководитель органа, предоставляющего государственную услугу, выдает письменный отказ в предоставлении государственной услуги по регистрации смерти.

Максимальный срок для выполнения данного действия составляет 30 минут.

83.8. Реализация административной процедуры по проверке представленных заявителем документов и принятию решения о предоставлении государственной услуги по регистрации смерти составляет 5 минут.

83.9. Результатом административной процедуры являются проверка специалистом представленных заявителем документов и принятие решения о результате предоставления государственной услуги по регистрации смерти. В случае отказа в предоставлении государственной услуги по регистрации смерти документы возвращаются заявителю с объяснением причин отказа в устной или письменной форме.

Административная процедура по формированию и направлению межведомственного запроса о направлении документа о факте смерти необоснованно репрессированного лица, смерть которого ранее не регистрировалась

83.10. Основанием для начала выполнения административной процедуры по формированию и направлению межведомственного запроса о направлении документа о факте смерти необоснованно репрессированного лица, смерть которого ранее не регистрировалась, является прием специалистом, ответственным за государственную регистрацию смерти, документов, представленных заявителем для государственной регистрации смерти, среди которых указанный документ не был представлен заявителем самостоятельно.

83.11. Специалист составляет межведомственный запрос о направлении документа о факте смерти необоснованно репрессированного лица, смерть которого ранее не регистрировалась.

83.12. Составленный в форме электронного документа межведомственный запрос подписывается усиленной квалифицированной электронной подписью руководителя органа, предоставляющего государственную услугу, или уполномоченного им работника органа, предоставляющего государственную услугу.

83.13. Специалист регистрирует данный межведомственный запрос в журнале исходящей корреспонденции, проставляет дату и номер и направляет в компетентный орган, хранящий сведения о факте смерти необоснованно репрессированного лица.

83.14. Реализация административной процедуры по составлению и направлению межведомственного запроса о направлении документа о факте смерти необоснованно репрессированного лица, смерть которого ранее не регистрировалась, составляет один рабочий день с момента обращения заявителя, не представившего указанный документ самостоятельно.

83.15. Результатом административной процедуры являются составление и направление межведомственного запроса о направлении документа о факте смерти необоснованно репрессированного лица, смерть которого ранее не регистрировалась, в компетентный орган, хранящий сведения о факте смерти необоснованно репрессированного лица.

Административная процедура по приему представленных заявителем документов и регистрации письменного заявления о смерти

83.16. Основанием для начала выполнения административной процедуры по приему представленных заявителем документов и регистрации письменного заявления о смерти в журнале регистрации заявлений о смерти является принятое решение о предоставлении государственной услуги по регистрации смерти.

83.17. Специалист принимает представленные заявителем документы, письменное заявление о смерти регистрируется в журнале регистрации заявлений о смерти.

83.18. На письменном заявлении о смерти проставляются дата регистрации и регистрационный номер, фамилия, имя, отчество (при наличии) специалиста, принявшего заявление о смерти, и ставится его подпись.

83.19. Реализация административной процедуры по приему представленных заявителем документов и регистрации письменного заявления о смерти в журнале регистрации заявлений о смерти составляет 5 минут.

83.20. Результатом административной процедуры являются прием специалистом представленных заявителями документов и регистрация письменного заявления о смерти в журнале регистрации заявлений о смерти.

Административная процедура по составлению и оформлению записи акта о смерти

83.21. Основанием для начала выполнения административной процедуры по составлению и оформлению записи акта о смерти является прием специалистом документов, представленных заявителем, а также поступившего документа о факте смерти необоснованно репрессированного лица, смерть которого ранее не регистрировалась.

83.22. Специалист составляет запись акта о смерти в форме электронного документа и на бумажном носителе.

83.23. В случае, если государственная регистрация смерти производится на основании решения суда об объявлении лица умершим, днем его смерти в записи акта о смерти указывается день вступления решения суда в законную силу или установленный решением суда день смерти.

83.24. Запись акта о смерти, составленная на бумажном носителе, прочитывается и подписывается заявителем, руководителем органа, предоставляющего государственную услугу, или уполномоченным им работником органа, предоставляющего государственную услугу, и скрепляется оттиском печати органа, предоставляющего государственную услугу.

83.25. Запись акта о смерти, составленная в форме электронного документа, подписывается усиленной квалифицированной электронной подписью руководителя органа, предоставляющего государственную услугу, или уполномоченного им работника органа, предоставляющего государственную услугу.

83.26. Дата и номер записи акта о смерти указываются на письменном заявлении о смерти.

83.27. Реализация административной процедуры по составлению и оформлению записи акта о смерти составляет 20 минут.

83.28. Результатом административной процедуры является оформленная запись акта о смерти в форме электронного документа и на бумажном носителе, подписанная заявителем, руководителем, органа, предоставляющего государственную услугу, или уполномоченным им работником органа, предоставляющего государственную услугу, скрепленная оттиском печати органа, предоставляющего государственную услугу.

Административная процедура по составлению и оформлению свидетельства о смерти

83.29. Основанием для начала выполнения административной процедуры по составлению и оформлению свидетельства о смерти является оформленная запись акта о смерти в форме электронного документа и на бумажном носителе.

83.30. Специалист составляет и оформляет свидетельство о смерти.

83.31. Свидетельство о смерти подписывается руководителем органа, предоставляющего государственную услугу, или уполномоченным им работником органа, предоставляющего государственную услугу, и скрепляется оттиском печати органа, предоставляющего государственную услугу.

83.32. Реализация административной процедуры по составлению и оформлению свидетельства о смерти составляет 10 минут.

83.33. Результатом административной процедуры является оформленное свидетельство о смерти, подписанное руководителем органа, предоставляющего государственную услугу, или уполномоченным им работником органа, предоставляющего государственную услугу, скрепленное оттиском печати органа, предоставляющего государственную услугу.

Административная процедура по учету и выдаче свидетельства о смерти

83.34. Основанием для начала выполнения административной процедуры по учету и выдаче свидетельства о смерти является оформленное свидетельство о смерти.

83.35. Специалист вносит сведения об оформленном свидетельстве о смерти в журнал учета выдачи свидетельств о смерти.

83.36. Специалист выдает заявителю оформленное свидетельство о смерти.

83.37. При получении свидетельства о смерти заявитель прочитывает данное свидетельство и расписывается в журнале учета выдачи свидетельств о смерти.

83.38. Реализация административной процедуры по учету свидетельства о смерти в журнале учета выдачи свидетельств о смерти и его выдаче заявителю составляет 5 минут.

83.39. Результатом административной процедуры являются внесение специалистом, ответственным за государственную регистрацию смерти, сведений об оформленном свидетельстве о смерти в журнал учета выдачи свидетельств о смерти и выдача свидетельства о смерти заявителю.

Административная процедура по оформлению, учету и выдаче справки о смерти

83.40. Основанием для начала выполнения административной процедуры по оформлению, учету и выдаче справки о смерти является предусмотренная законодательством Российской Федерации <23> и нормативными правовыми актами субъектов Российской Федерации выдача справки о государственной регистрации смерти.

<23> Статья 10 Федерального закона "О погребении и похоронном деле".

83.41. Специалист оформляет справку о смерти.

83.42. Специалист вносит в журнал учета выдачи справок о смерти сведения о справке о смерти, подписанной руководителем органа, предоставляющего государственную услугу, или уполномоченным им работником органа, предоставляющего государственную услугу, и скрепленную оттиском печати органа, предоставляющего государственную услугу.

83.43. При получении справки о смерти заявитель прочитывает справку о смерти и расписывается в журнале учета выдачи справок о смерти.

83.44. Реализация административной процедуры по оформлению, учету и выдаче справки о смерти составляет 10 минут.

83.45. Результатом административной процедуры являются оформление, учет и выдача справки о смерти.

Административная процедура по изъятию паспортов умерших граждан Российской Федерации и сдаче их в территориальный орган Министерства внутренних дел Российской Федерации

83.46. Основанием для начала административной процедуры по изъятию паспортов умерших граждан Российской Федерации и сдаче их в территориальный орган Министерства внутренних дел Российской Федерации являются положения пункта 2.1 статьи 66 Федерального закона, пункта 19 Положения о паспорте гражданина Российской Федерации.

83.47. Специалист подготавливает опись паспортов умерших граждан Российской Федерации.

83.48. Опись паспортов умерших граждан Российской Федерации подписывается руководителем органа, предоставляющего государственную услугу, или уполномоченным им работником органа, предоставляющего государственную услугу, и скрепляется оттиском печати органа, предоставляющего государственную услугу.

83.49. Специалист регистрирует в журнале исходящей корреспонденции данную опись с проставлением на ней даты и исходящего номера.

83.50. Подготовленные для сдачи паспорта умерших граждан Российской Федерации вместе с описью передаются в территориальный орган Министерства внутренних дел Российской Федерации.

83.51. Реализация административной процедуры по оформлению описи паспортов умерших граждан Российской Федерации составляет 10 минут.

83.52. Результатом административной процедуры являются подготовленные паспорта умерших граждан Российской Федерации и оформленная опись паспортов умерших граждан Российской Федерации.

83.53. Максимальное время совершения административных процедур при предоставлении государственной услуги по регистрации смерти составляет 40 минут.

Внесение исправлений и изменений в записи актов гражданского состояния

84. Предоставление государственной услуги по внесению исправлений и изменений в записи актов гражданского состояния (далее - государственная услуга по внесению исправлений и изменений в записи актов) по заявлениям граждан о внесении исправлений и изменений в записи актов гражданского состояния, по результатам рассмотрения которых составляется заключение органа, предоставляющего государственную услугу, либо без составления заключения органа, предоставляющего государственную услугу (блок-схемы N 8 и N 8.1 соответственно), включает в себя следующие административные процедуры:

1) с составлением заключения органа, предоставляющего государственную услугу:

проверка представленных заявителем документов и принятие решения о предоставлении государственной услуги по внесению исправлений и изменений в записи актов;

прием представленных заявителем документов и регистрация заявления о внесении исправлений или изменений в записи актов гражданского состояния в журнале регистрации заявлений о внесении исправлений и изменений в записи актов гражданского состояния;

составление и направление запроса об истребовании копии записи акта гражданского состояния, подлежащей исправлению или изменению, а также копий записей актов гражданского состояния, подтверждающих наличие оснований для внесения исправления или изменения;

регистрация поступивших копий записей актов гражданского состояния в журнале входящей корреспонденции и проведение анализа данных записей;

формирование материалов о внесении исправления или изменения в запись акта гражданского состояния, составление заключения о внесении исправления или изменения в запись акта гражданского состояния либо об отказе во внесении исправления и изменения в запись акта гражданского состояния, подготовка извещения об отказе во внесении исправления и изменения в запись акта гражданского состояния;

внесение исправления или изменения в запись акта гражданского состояния, составленную в форме электронного документа и на бумажном носителе, хранящуюся в органе, предоставляющем государственную услугу;

составление и направление извещения о направлении копии заключения о внесении исправления или изменения в запись акта гражданского состояния в орган ЗАГС по месту хранения записи акта гражданского состояния, составленной на бумажном носителе, подлежащей исправлению или изменению;

информирование заявителя о результате предоставления государственной услуги по внесению исправлений и изменений в записи актов и приглашение его в орган, предоставляющий государственную услугу, в согласованные с ним дату и время;

составление и оформление свидетельства о государственной регистрации акта гражданского состояния;

учет и выдача свидетельства о государственной регистрации акта гражданского состояния;

выдача заявителю свидетельства о государственной регистрации акта гражданского состояния, полученного из органа ЗАГС, оформившего данное свидетельство;

составление и направление извещения о внесении исправления или изменения в запись акта гражданского состояния в орган ЗАГС по месту хранения второго экземпляра записи акта гражданского состояния, составленной на бумажном носителе, подлежащей исправлению или изменению;

2) без составления заключения органа, предоставляющего государственную услугу:

проверка и прием представленных заявителем документов и принятие решения о предоставлении государственной услуги по внесению исправлений и изменений в записи актов;

регистрации заявления о внесении исправления или изменения в запись акта гражданского состояния в журнале регистрации заявлений о внесении исправлений и изменений в записи актов гражданского состояния;

формирование и направление межведомственного запроса о направлении документа о факте смерти необоснованно репрессированного лица в компетентный орган, хранящий сведения о факте смерти необоснованно репрессированного лица, смерть которого зарегистрирована ранее;

внесение исправления или изменения в запись акта гражданского состояния, составленную на бумажном носителе и хранящуюся в органе, предоставляющем государственную услугу;

составление и оформление свидетельства о государственной регистрации акта гражданского состояния;

учет и выдача свидетельства о государственной регистрации акта гражданского состояния;

составление и направление извещения о внесении исправления или изменения в запись акта гражданского состояния в орган ЗАГС по месту хранения второго экземпляра записи акта гражданского состояния, составленной на бумажном носителе, подлежащей исправлению или изменению;

выдача заявителю свидетельства о государственной регистрации акта гражданского состояния, полученного из органа ЗАГС, оформившего данное свидетельство.

Административные процедуры при предоставлении государственной услуги по внесению исправлений и изменений в записи актов с составлением заключения органа, предоставляющего государственную услугу

Административная процедура по проверке представленных заявителем документов и принятию решения о предоставлении государственной услуги по внесению исправлений и изменений в записи актов

84.1. Основанием для начала выполнения административной процедуры по проверке представленных заявителем документов и принятию решения о предоставлении государственной услуги по внесению исправлений и изменений в записи актов является личное обращение заявителя в орган, предоставляющий государственную услугу, с заявлением о внесении исправления или изменения в запись акта гражданского состояния и одновременным представлением документов, указанных в пунктах 25, 26, 37 Административного регламента.

84.2. Специалист, ответственный за прием заявления о внесении исправления или изменения в запись акта гражданского состояния, проверяет представленные документы и правильность их оформления.

84.3. Заявить о внесении исправления или изменения в запись акта гражданского состояния может иное заинтересованное лицо в случае представления нотариально удостоверенной доверенности от лица, имеющего право на внесение соответствующих исправлений и изменений. В этом случае проверяются документы, подтверждающие его полномочия.

84.4. Если запись акта гражданского состояния составлена в отношении двух лиц, заявление о внесении исправлений и изменений подается лицом, в отношении которого будут вноситься исправления или изменения. От второго лица принимается заявление в простой письменной форме о согласии на внесение соответствующего исправления или изменения.

84.5. Если необходимые документы отсутствуют либо не соответствуют установленным законодательством Российской Федерации требованиям, специалист уведомляет заявителя о том, что обнаружены препятствия для предоставления государственной услуги по внесению исправлений и изменений в записи актов, сообщает заявителю о выявленных недостатках в представленных документах и предлагает принять меры к их устранению.

84.6. В случае наличия оснований для отказа в предоставлении государственной услуги по внесению исправлений и изменений в записи актов, указанных в пунктах 45, 50 Административного регламента, специалист возвращает заявителям документы с объяснением причин отказа. По требованию заявителя руководитель органа, предоставляющего государственную услугу, выдает письменный отказ в предоставлении государственной услуги по внесению исправлений и изменений в записи актов.

84.7. Реализация административной процедуры по проверке представленных заявителем документов и принятию решения о предоставлении государственной услуги по внесению исправлений и изменений в записи актов составляет 15 минут.

84.8. Результатом административной процедуры является принятое решение о предоставлении государственной услуги по внесению исправлений и изменений в записи актов. В случае отказа в предоставлении государственной услуги по внесению исправлений и изменений в записи актов документы возвращаются заявителю с объяснением причин отказа в устной или письменной форме.

Административная процедура по приему представленных заявителем документов и регистрации заявления о внесении исправления или изменения в запись акта гражданского состояния в журнале регистрации заявлений о внесении исправлений и изменений в записи актов гражданского состояния

84.9. Основанием для начала выполнения административной процедуры по приему представленных заявителем документов и регистрации заявления о внесении исправлений или изменений в записи актов гражданского состояния в журнале регистрации заявлений о внесении исправлений и изменений в записи актов гражданского состояния являются прием представленных заявителем документов и принятое решение о предоставлении государственной услуги по внесению исправлений и изменений в записи актов.

84.10. Специалист принимает представленные заявителем документы, регистрирует в журнале регистрации заявлений о внесении исправлений и изменений в записи актов гражданского состояния письменное заявление о внесении исправления и изменения в запись акта гражданского состояния.

84.11. На письменном заявлении о внесении исправления и изменения в запись акта гражданского состояния проставляются дата регистрации и регистрационный номер, указываются фамилия, имя, отчество (при наличии) специалиста, принявшего заявление о внесении исправления и изменения в запись акта гражданского состояния, и ставится его подпись.

84.12. Реализация административной процедуры по приему представленных заявителем документов и регистрации письменного заявления о внесении исправления и изменения в запись акта гражданского состояния в журнале регистрации заявлений о внесении исправлений и изменений в записи актов гражданского состояния составляет 5 минут.

84.13. Результатом административной процедуры является прием специалистом представленных заявителями документов и регистрация письменного заявления о внесении исправления и изменения в запись акта гражданского состояния.

Административная процедура по составлению и направлению запроса об истребовании копии записи акта гражданского состояния, подлежащей исправлению или изменению, а также копий записей актов гражданского состояния, подтверждающих наличие оснований для внесения исправления или изменения

84.14. Основанием для начала выполнения административной процедуры по составлению и направлению запроса об истребовании копии записи акта гражданского состояния, подлежащей исправлению или изменению, а также копий записей актов гражданского состояния, подтверждающих наличие оснований для внесения исправления или изменения, является регистрация заявления о внесении исправления и изменения в запись акта гражданского состояния и представленных заявителем документов.

84.15. В случае, если запись акта гражданского состояния, в которую требуется внести исправления или изменения, совершена компетентным органом иностранного государства и решения указанного органа признаются Российской Федерацией в соответствии с международными договорами Российской Федерации, орган, предоставляющий государственную услугу, запрашивает копию записи акта гражданского состояния, подлежащей исправлению или изменению, а также копии других записей, подтверждающих наличие оснований для внесения исправления или изменения, в указанном компетентном органе иностранного государства.

84.16. Специалист составляет и направляет запрос об истребовании копии записи акта гражданского состояния, подлежащей исправлению или изменению, а также запрос об истребовании копии записи акта гражданского состояния, подтверждающей наличие основания для внесения исправления или изменения, в органы ЗАГС по месту хранения этих записей актов гражданского состояния на бумажном носителе. Данный запрос подписывается руководителем органа, предоставляющего государственную услугу, или уполномоченным им работником органа, предоставляющего государственную услугу, и скрепляется оттиском печати органа, предоставляющего государственную услугу.

При рассмотрении заявления о внесении исправления или изменения в запись акта гражданского состояния органом, предоставляющим государственную услугу, используются сведения Единого реестра о записи акта гражданского состояния, подлежащей исправлению или изменению, а также о других записях актов, подтверждающих наличие основании для внесения исправления или изменения <24>.

<24> Вступает в силу со дня вступления в силу пункта 2 статьи 3 Федерального закона от 23.06.2016 N 219-ФЗ "О внесении изменений в Федеральный закон "Об актах гражданского состояния".

84.17. Реализация административной процедуры по направлению запроса об истребовании копии записи акта гражданского состояния, подлежащей исправлению и изменению, а также запроса об истребовании копий записей актов гражданского состояния, подтверждающих наличие оснований для внесения исправления или изменения, составляет 5 минут на каждый запрос.

84.18. Результатом административной процедуры является направление запроса об истребовании копии записи акта гражданского состояния, подлежащей исправлению или изменению, а также запроса об истребовании копий записей актов гражданского состояния, подтверждающих наличие оснований для внесения исправления или изменения.

Административная процедура по регистрации поступивших копий записей актов гражданского состояния в журнале входящей корреспонденции и проведению анализа данных записей

84.19. Основанием для начала выполнения административной процедуры по регистрации поступивших копий записей актов гражданского состояния в журнале входящей корреспонденции и проведению анализа данных записей является получение необходимых копий записей актов гражданского состояния, в которые необходимо внести исправления или изменения, а также копий записей актов гражданского состояния, подтверждающих наличие оснований для внесения исправления или изменения.

84.20. Специалист регистрирует в журнале входящей корреспонденции поступившие копии записей актов гражданского состояния. На копиях записей актов гражданского состояния проставляется входящий номер.

84.21. Специалист проводит анализ на основании принятых от заявителя документов и полученных копий записей актов гражданского состояния, подлежащих исправлению или изменению, а также копий записей актов гражданского состояния, подтверждающих наличие оснований для внесения исправления или изменения.

Решение о внесении исправления или изменения принимается в случае, если в записи акта гражданского состояния указаны неправильные или неполные сведения; допущены орфографические ошибки или запись акта гражданского состояния произведена без учета правил, установленных законами субъектов Российской Федерации, либо представлен документ установленной формы об изменении пола, выданный медицинской организацией.

84.22. Реализация административной процедуры по регистрации в журнале входящей корреспонденции поступивших копий записей актов гражданского состояния и проведению анализа данных записей, а также копий записей актов гражданского состояния, подтверждающих наличие оснований для внесения исправления или изменения, составляет 30 минут.

84.23. Результатом административной процедуры является принятие решения о внесении исправления или изменения в запись акта гражданского состояния или отказ в предоставлении государственной услуги по внесению исправлений и изменений в записи актов.

Административная процедура по формированию материалов о внесении исправления или изменения в запись акта гражданского состояния, составлению заключения о внесении исправления или изменения в запись акта гражданского состояния, подготовке извещения об отказе во внесении исправления или изменения в запись акта гражданского состояния

84.24. Основанием для начала выполнения административной процедуры по формированию материалов о внесении исправления или изменения в запись акта гражданского состояния, составлению заключения о внесении исправления или изменения в запись акта гражданского состояния, подготовке извещения об отказе во внесении исправления или изменения в запись акта гражданского состояния является получение необходимых копий записей актов гражданского состояния, в которые необходимо внести изменения, а также копий записей актов гражданского состояния, подтверждающих наличие оснований для внесения исправления или изменения, и принятие решения о внесении исправления или изменения в запись акта гражданского состояния или отказе в предоставлении государственной услуги по внесению исправлений и изменений в записи актов.

84.25. Специалист на основании записей актов гражданского состояния, составленных на бумажном носителе и хранящихся в органе, предоставляющем государственную услугу, составляет и оформляет копии записей актов гражданского состояния, в которые необходимо внести соответствующие изменения, а также копии записей, которые подтверждают наличие основания для внесения исправления и изменений.

84.26. Специалист формирует в дело оформленные им копии записей актов гражданского состояния и поступившие копии записей актов гражданского состояния.

84.27. В связи с принятием решения о внесении исправления или изменения в запись акта гражданского состояния или отказе в предоставлении государственной услуги по внесению исправлений и изменений в записи актов специалист оформляет решение о внесении исправлений или изменений в запись акта гражданского состояния в виде заключения органа, предоставляющего государственную услугу, о внесении исправления или изменения в запись акта гражданского состояния или об отказе во внесении исправления или изменения в записи актов гражданского состояния, также составляется извещение об отказе во внесении исправления или изменения в записи актов гражданского состояния по форме N 14, утвержденной приказом Минюста России N 173.

84.28. Заключение о внесении исправления или изменения в запись акта гражданского состояния или заключение об отказе во внесении исправления или изменения в записи актов гражданского состояния подписывается руководителем органа, предоставляющего государственную услугу, или уполномоченным им работником органа, предоставляющего государственную услугу, и скрепляется оттиском печати органа, предоставляющего государственную услугу.

84.29. Реализация административной процедуры по формированию материалов о внесении исправления или изменения в запись акта гражданского состояния и составлению заключения о внесении исправления или изменения в запись акта гражданского состояния или об отказе во внесении исправления или изменения в записи актов гражданского состояния составляет 60 минут.

84.30. Результатом административной процедуры являются формирование материалов о внесении исправления или изменения в запись акта гражданского состояния и составление заключения о внесении исправления или изменения в запись акта гражданского состояния, в случае отказа во внесении исправления или изменения в записи актов гражданского состояния - заключения об отказе во внесении исправления или изменения в записи актов гражданского состояния и извещения об отказе во внесении исправления или изменения в записи актов гражданского состояния.

Административная процедура по внесению исправления или изменения в запись акта гражданского состояния, составленную в форме электронного документа и на бумажном носителе, хранящуюся в органе, предоставляющем государственную услугу

84.31. Основанием для начала выполнения административной процедуры по внесению исправления и изменения в запись акта гражданского состояния, составленную в форме электронного документа и на бумажном носителе, хранящуюся в органе, предоставляющем государственную услугу, является оформленное заключение о внесении исправления или изменения в запись акта гражданского состояния.

84.32. Специалист вносит соответствующие исправления или изменения в запись акта гражданского состояния, составленную в форме электронного документа и на бумажном носителе, находящуюся на хранении в органе, предоставляющем государственную услугу.

84.33. Исправления или изменения, внесенные в запись акта гражданского состояния, составленную на бумажном носителе, заверяются подписью руководителя органа, предоставляющего государственную услугу, или уполномоченного им работника органа, предоставляющего государственную услугу, и заверяются оттиском печати органа, предоставляющего государственную услугу.

84.34. Исправления или изменения, внесенные в запись акта гражданского состояния, составленную в форме электронного документа, подписываются усиленной квалифицированной электронной подписью руководителя органа, предоставляющего государственную услугу, или уполномоченного им работника органа, предоставляющего государственную услугу.

84.35. Реализация административной процедуры по внесению исправления или изменения в запись акта гражданского состояния, составленную в форме электронного документа и на бумажном носителе, составляет 25 минут на каждую запись.

84.36. Результатом административной процедуры является внесение в запись акта гражданского состояния, составленную в форме электронного документа и на бумажном носителе, соответствующего исправления или изменения.

Административная процедура по составлению извещения о направлении копии заключения о внесении исправления или изменения в запись акта гражданского состояния в орган ЗАГС по месту хранения записи акта гражданского состояния, составленной на бумажном носителе, подлежащей исправлению или изменению

84.37. Основанием для начала выполнения административной процедуры по составлению извещения о направлении копии заключения о внесении исправления или изменения в запись акта гражданского состояния в орган ЗАГС по месту хранения записи акта гражданского состояния, составленной на бумажном носителе, подлежащей исправлению или изменению, является оформленное заключение о внесении исправления или изменения в запись акта гражданского состояния, подписанное руководителем органа, предоставляющего государственную услугу, или уполномоченным им работником органа, предоставляющего государственную услугу, и скрепленное оттиском печати органа, предоставляющего государственную услугу.

84.38. Специалист составляет извещение о направлении копии заключения о внесении исправления или изменения в запись акта гражданского состояния в орган ЗАГС по месту хранения записи акта гражданского состояния, составленной на бумажном носителе.

Оригиналы материалов по внесению исправления или изменения в запись акта гражданского состояния (копии записей актов гражданского состояния, в которые необходимо внести изменения, копии записей актов гражданского состояния, подтверждающих наличие оснований для внесения исправления или изменения, заключение о внесении исправления или изменения в запись акта гражданского состояния, заключение об отказе во внесении исправления или изменения в записи актов гражданского состояния, иные документы, предусмотренные Федеральным законом) подлежат хранению в органе, предоставляющем государственную услугу, принявшем и составившем заключение о внесении исправления или изменения в запись акта гражданского состояния. Копия заключения о внесении исправления или изменения в запись акта гражданского состояния, удостоверенная руководителем органа, предоставляющего государственную услугу, направляется в орган ЗАГС по месту хранения записи акта гражданского состояния, составленной на бумажном носителе, подлежащей исправлению или изменению.

84.39. Реализация административной процедуры по составлению извещения о направлении копии заключения о внесении исправления или изменения в запись акта гражданского состояния в орган ЗАГС по месту хранения записи акта гражданского состояния, составленной на бумажном носителе, подлежащей исправлению или изменению, составляет 10 минут на каждое извещение.

84.40. Результатом административной процедуры является направление извещения о направлении копии заключения о внесении исправления или изменения в запись акта гражданского состояния в орган ЗАГС по месту хранения записи акта гражданского состояния, составленной на бумажном носителе, подлежащей исправлению или изменению.

Административная процедура по информированию заявителя о результате предоставления государственной услуги по внесению исправлений и изменений в записи актов и приглашению его в орган, предоставляющий государственную услугу, в согласованные с ним дату и время

84.41. Основанием для начала выполнения административной процедуры по информированию заявителя о результате предоставления государственной услуги по внесению исправлений и изменений в записи актов и приглашению его в орган, предоставляющий государственную услугу, в согласованные с ним дату и время является заключение о внесении исправления или изменения в запись акта гражданского состояния или заключение об отказе во внесении исправления или изменения в запись акта гражданского состояния и оформленное извещение об отказе во внесении исправления или изменения в запись акта гражданского состояния.

84.42. Специалист информирует (по телефону, при наличии технической возможности - в электронной форме) заявителя о поступлении всех необходимых документов, о принятии решения по данному заявлению и приглашает заявителя в орган, предоставляющий государственную услугу, согласовав с ним дату и время.

84.43. Реализация административной процедуры по информированию заявителя составляет 10 минут.

84.44. Результатом административной процедуры являются информирование заявителя о результатах рассмотрения заявления о внесении исправления или изменения в запись акта гражданского состояния и согласование даты и времени приглашения заявителя в орган, предоставляющий государственную услугу.

Административная процедура по составлению и оформлению свидетельства о государственной регистрации акта гражданского состояния

84.45. Основанием для начала выполнения административной процедуры по составлению и оформлению свидетельства о государственной регистрации акта гражданского состояния является личное обращение заявителя в орган, предоставляющий государственную услугу, в согласованные с ним дату и время.

84.46. Специалист составляет и оформляет повторное свидетельство о государственной регистрации акта гражданского состояния в соответствии с хранящейся записью акта гражданского состояния, в которую были внесены соответствующие исправления или изменения на основании заключения органа, предоставляющего государственную услугу.

84.47. Свидетельство о государственной регистрации акта гражданского состояния подписывается руководителем органа, предоставляющего государственную услугу, или уполномоченным им работником органа, предоставляющего государственную услугу, и скрепляется оттиском печати органа, предоставляющего государственную услугу.

84.48. Реализация административной процедуры по составлению и оформлению свидетельства о государственной регистрации акта гражданского состояния составляет 10 минут на каждый документ.

84.49. Результатом административной процедуры является оформленное специалистом свидетельство о государственной регистрации акта гражданского состояния, подписанное руководителем органа, предоставляющего государственную услугу, или уполномоченным им работником органа, предоставляющего государственную услугу, скрепленное оттиском печати органа, предоставляющего государственную услугу.

Административная процедура по учету и выдаче свидетельства о государственной регистрации акта гражданского состояния

84.50. Основанием для начала выполнения административной процедуры по учету и выдаче свидетельства о государственной регистрации акта гражданского состояния является оформленное специалистом свидетельство о государственной регистрации акта гражданского состояния.

84.51. Специалист вносит сведения об оформленном свидетельстве о государственной регистрации акта гражданского состояния в журнал учета выдачи повторных свидетельств о государственной регистрации актов гражданского состояния.

84.52. Специалист выдает заявителю повторное свидетельство о государственной регистрации акта гражданского состояния, подписанное руководителем органа, предоставляющего государственную услугу, или уполномоченным им работником органа, предоставляющего государственную услугу, скрепленное оттиском печати органа, предоставляющего государственную услугу.

84.53. При получении свидетельства о государственной регистрации акта гражданского состояния заявитель прочитывает свидетельство и расписывается в журнале учета выдачи повторных свидетельств о государственной регистрации актов гражданского состояния.

84.54. Реализация административной процедуры по учету и выдаче свидетельства о государственной регистрации акта гражданского состояния составляет 5 минут на каждый документ.

84.55. Результатом административной процедуры являются учет свидетельства о государственной регистрации акта гражданского состояния в журнале учета выдачи повторных свидетельств о государственной регистрации актов гражданского состояния и выдача его заявителю.

Административная процедура по выдаче заявителю свидетельства о государственной регистрации акта гражданского состояния, полученного из органа ЗАГС, оформившего данное свидетельство

84.56. Основанием для начала выполнения административной процедуры по выдаче заявителю свидетельства о государственной регистрации акта гражданского состояния, полученного из органа ЗАГС, оформившего данное свидетельство, является получение указанного свидетельства из органа ЗАГС, оформившего свидетельство о государственной регистрации акта гражданского состояния на основании заключения о внесении исправления или изменения в запись акта гражданского состояния.

84.57. Специалист, ответственный за внесение исправления или изменения в запись акта гражданского состояния, при получении свидетельства из органа ЗАГС осуществляет прием и регистрацию нового свидетельства о государственной регистрации акта гражданского состояния с внесенными изменениями и информирует заявителя о поступлении свидетельства о государственной регистрации акта гражданского состояния, после чего выдает заявителю в назначенный день указанное свидетельство. При получении свидетельства о государственной регистрации акта гражданского состояния заявитель расписывается в журнале учета выдачи свидетельств о государственной регистрации актов гражданского состояния.

84.58. Реализация административной процедуры по выдаче поступившего из органа ЗАГС свидетельства о государственной регистрации акта гражданского состояния составляет 5 минут.

84.59. Результатом административной процедуры является выдача заявителю свидетельства о государственной регистрации акта гражданского состояния, полученного из органа ЗАГС, оформившего данное свидетельство.

Административная процедура по составлению и направлению извещения о внесении исправления или изменения в запись акта гражданского состояния в орган ЗАГС по месту хранения второго экземпляра записи акта гражданского состояния, составленной на бумажном носителе, подлежащей исправлению или изменению

84.60. Основанием для начала выполнения административной процедуры по составлению извещения о внесении исправления или изменения в запись акта гражданского состояния в орган ЗАГС по месту хранения второго экземпляра записи акта гражданского состояния, составленной на бумажном носителе, подлежащей исправлению или изменению, является внесение исправления или изменения в первый экземпляр записи акта гражданского состояния.

84.61. Специалист составляет извещение о внесении исправления или изменения во второй экземпляр записи акта гражданского состояния в орган ЗАГС по месту хранения записи акта гражданского состояния, составленной на бумажном носителе.

84.62. Данное извещение подписывается руководителем органа, предоставляющего государственную услугу, или уполномоченным им работником органа, предоставляющего государственную услугу, и скрепляется печатью органа, предоставляющего государственную услугу.

84.63. Данное извещение регистрируется в журнале исходящей корреспонденции, на нем проставляются дата и исходящий номер.

84.64. Реализация административной процедуры по составлению извещения о внесении исправления или изменения в запись акта гражданского состояния в орган ЗАГС по месту хранения второго экземпляра записи акта гражданского состояния, составленной на бумажном носителе, подлежащей исправлению или изменению, составляет 5 минут на каждое извещение.

84.65. Результатом административной процедуры является направление извещения о внесении исправления или изменения во второй экземпляр записи акта гражданского состояния, составленной на бумажном носителе.

Административные процедуры при предоставлении государственной услуги по внесению исправлений и изменений в записи актов без составления заключения органа, предоставляющего государственную услугу

Административная процедура по проверке и приему представленных заявителем документов и принятию решения о предоставлении государственной услуги по внесению исправлений и изменений в записи актов

84.66. Основанием для начала выполнения административной процедуры по проверке и приему представленных заявителем документов и принятию решения о предоставлении государственной услуги по внесению исправлений и изменений в записи актов является личное обращение заявителя в орган, предоставляющий государственную услугу, с заявлением о внесении исправления или изменения в запись акта гражданского состояния и одновременным представлением документов, указанных в пунктах 25, 26, 37 Административного регламента.

84.67. Специалист органа, предоставляющего государственную услугу, проверяет представленные документы и правильность их оформления.

84.68. Если необходимые документы отсутствуют либо не соответствуют установленным законодательством Российской Федерации требованиям, специалист уведомляет заявителя о том, что обнаружены препятствия для предоставления государственной услуги, сообщает заявителю о выявленных недостатках в представленных документах и предлагает принять меры к их устранению.

84.69. В случае наличия оснований для отказа в предоставлении государственной услуги по внесению исправлений и изменений в записи актов гражданского состояния, указанных в пунктах 45, 50 Административного регламента, специалист возвращает заявителям документы с объяснением причин отказа. По требованию заявителя руководитель органа, предоставляющего государственную услугу, выдает письменный отказ в предоставлении государственной услуги по внесению исправлений и изменений в записи актов гражданского состояния.

84.70. Реализация административной процедуры по проверке и приему представленных заявителем документов составляет 10 минут.

84.71. Результатом административной процедуры является прием представленных документов. В случае отказа в предоставлении государственной услуги по внесению исправлений и изменений в записи актов документы возвращаются заявителю с объяснением причин отказа в устной или письменной форме.

Административная процедура по регистрации заявления о внесении исправления или изменения в запись акта гражданского состояния в журнале регистрации заявлений о внесении исправлений и изменений в записи актов гражданского состояния

84.72. Основанием для начала выполнения административной процедуры по регистрации заявления о внесении исправления и изменения в запись акта гражданского состояния в журнале регистрации заявлений о внесении исправлений и изменений в записи актов гражданского состояния является прием представленных заявителем документов.

84.73. Специалист регистрирует письменное заявление о внесении исправления или изменения в запись акта гражданского состояния в журнале регистрации заявлений о внесении исправлений и изменений в записи актов гражданского состояния.

84.74. На заявлении о внесении исправления и изменения в запись акта гражданского состояния проставляются дата регистрации и регистрационный номер, указываются фамилия, имя, отчество (при наличии) специалиста, принявшего заявление о внесении исправления и изменения в запись акта гражданского состояния, и ставится его подпись.

84.75. Реализация административной процедуры по регистрации письменного заявления о внесении исправления или изменения в запись акта гражданского состояния в журнале регистрации заявлений о внесении исправлений и изменений в записи актов гражданского состояния составляет 5 минут.

84.76. Результатом административной процедуры является регистрация письменного заявления о внесении исправления и изменения в запись акта гражданского состояния в журнале регистрации заявлений о внесении исправлений и изменений в записи актов гражданского состояния.

Административная процедура по формированию и направлению межведомственного запроса о направлении документа о факте смерти необоснованно репрессированного лица в компетентный орган, хранящий сведения о факте смерти необоснованно репрессированного лица, смерть которого зарегистрирована ранее

84.77. Основанием для начала выполнения административной процедуры, по формированию и направлению межведомственного запроса о направлении документа о факте смерти необоснованно репрессированного лица в компетентный орган, хранящий сведения о факте смерти необоснованно репрессированного лица, смерть которого зарегистрирована ранее, является прием документов, представленных заявителем для принятия решения о внесении исправления и изменения в запись акта гражданского состояния, среди которых указанный документ не был представлен заявителем самостоятельно.

84.78. Специалист составляет и оформляет межведомственный запрос о направлении документа о факте смерти необоснованно репрессированного лица, смерть которого зарегистрирована ранее.

84.79. Составленный в форме электронного документа запрос подписывается усиленной квалифицированной электронной подписью руководителя органа, предоставляющего государственную услугу, или уполномоченного им работника органа, предоставляющего государственную услугу.

84.80. Специалист регистрирует данный запрос в журнале исходящей корреспонденции, проставляет дату и исходящий номер и направляет в компетентный орган, хранящий сведения о факте смерти необоснованно репрессированного лица.

84.81. Реализация административной процедуры по составлению и направлению запроса о направлении документа о факте смерти необоснованно репрессированного лица составляет один рабочий день с момента обращения заявителя, не представившего указанный документ самостоятельно.

84.82. Результатом административной процедуры является получение документа о факте смерти лица, необоснованно репрессированного, смерть которого зарегистрирована ранее, или информации об отсутствии такого документа в отношении запрашиваемого лица в данном органе.

Административная процедура по внесению исправления или изменения в запись акта гражданского состояния, составленную на бумажном носителе и хранящуюся в органе, предоставляющем государственную услугу

84.83. Основанием для начала выполнения административной процедуры по внесению исправления и изменения в запись акта гражданского состояния, составленную в форме электронного документа и на бумажном носителе, является регистрация заявления о внесении исправления или изменения в запись акта гражданского состояния.

84.84. Специалист вносит соответствующие исправления или изменения в запись акта гражданского состояния, составленную в форме электронного документа и на бумажном носителе, находящуюся на хранении в данном органе, предоставляющем государственную услугу.

84.85. Исправления или изменения, внесенные в запись акта гражданского состояния, составленную на бумажном носителе, заверяются подписью руководителя органа, предоставляющего государственную услугу, или уполномоченного им работника органа, предоставляющего государственную услугу, и скрепляются печатью органа, предоставляющего государственную услугу.

84.86. Исправления или изменения, внесенные в запись акта гражданского состояния, составленную в форме электронного документа, подписываются усиленной квалифицированной электронной подписью руководителя органа, предоставляющего государственную услугу, или уполномоченного им работника органа, предоставляющего государственную услугу.

84.87. Реализация административной процедуры по внесению исправления или изменения в запись акта гражданского состояния, составленную в форме электронного документа и на бумажном носителе, составляет 20 минут на каждую запись.

84.88. Результатом административной процедуры является внесение в запись акта гражданского состояния, составленную в форме электронного документа и на бумажном носителе, соответствующего исправления или изменения.

Административная процедура по составлению и оформлению свидетельства о государственной регистрации акта гражданского состояния

84.89. Основанием для начала выполнения административной процедуры по составлению и оформлению свидетельства о государственной регистрации акта гражданского состояния являются внесенные в запись акта исправления или изменения.

84.90. Специалист составляет и оформляет повторное свидетельство о государственной регистрации акта гражданского состояния в соответствии с хранящейся записью акта гражданского состояния, в которую были внесены соответствующие исправления или изменения на основании заключения органа, предоставляющего государственную услугу.

84.91. Свидетельство о государственной регистрации акта гражданского состояния подписывается руководителем органа, предоставляющего государственную услугу, или уполномоченным им работником органа, предоставляющего государственную услугу, и скрепляется печатью органа, предоставляющего государственную услугу.

84.92. Реализация административной процедуры по составлению и оформлению свидетельства о государственной регистрации акта гражданского состояния составляет 10 минут.

84.93. Результатом административной процедуры является оформленное специалистом свидетельство о государственной регистрации акта гражданского состояния, подписанное руководителем органа, предоставляющего государственную услугу, или уполномоченным им работником органа, предоставляющего государственную услугу, скрепленное печатью органа, предоставляющего государственную услугу.

Административная процедура по учету и выдаче свидетельства о государственной регистрации акта гражданского состояния

84.94. Основанием для начала выполнения административной процедуры по учету и выдаче свидетельства о государственной регистрации акта гражданского состояния является оформленное специалистом свидетельство о государственной регистрации акта гражданского состояния.

84.95. Специалист вносит сведения об оформленном свидетельстве о государственной регистрации акта гражданского состояния в журнал учета выдачи повторных свидетельств о государственной регистрации актов гражданского состояния.

84.96. Специалист выдает заявителю свидетельство о государственной регистрации акта гражданского состояния, подписанное руководителем органа, предоставляющего государственную услугу, или уполномоченным им работником органа, предоставляющего государственную услугу, скрепленное печатью органа, предоставляющего государственную услугу.

84.97. При получении свидетельства о государственной регистрации акта гражданского состояния заявитель прочитывает свидетельство и расписывается в журнале учета выдачи повторных свидетельств о государственной регистрации актов гражданского состояния.

84.98. Реализация административной процедуры по учету и выдаче свидетельства о государственной регистрации акта гражданского состояния составляет 5 минут.

84.99. Результатом административной процедуры являются учет свидетельства в журнале учета выдачи повторных свидетельств о государственной регистрации актов гражданского состояния и выдача его заявителю.

Административная процедура по составлению и направлению извещения о внесении исправления или изменения запись в запись акта гражданского состояния в орган ЗАГС по месту хранения второго экземпляра записи акта гражданского состояния, составленной на бумажном носителе, подлежащей исправлению или изменению

84.100. Основанием для начала выполнения административной процедуры по составлению и направлению извещения о внесении исправления или изменения в запись акта гражданского состояния в орган ЗАГС по месту хранения второго экземпляра записи акта гражданского состояния, составленной на бумажном носителе, подлежащей исправлению или изменению, является внесение исправления или изменения в первый экземпляр записи акта гражданского состояния.

84.101. Специалист составляет извещение о внесении исправления или изменения во второй экземпляр записи акта гражданского состояния в орган ЗАГС по месту хранения записи акта гражданского состояния, составленной на бумажном носителе.

84.102. Данное извещение подписывается руководителем органа, предоставляющего государственную услугу, или уполномоченным им работником органа, предоставляющего государственную услугу, и скрепляется печатью органа, предоставляющего государственную услугу.

84.103. Извещение регистрируется в журнале исходящей корреспонденции, на нем проставляются дата и регистрационный номер.

84.104. Реализация административной процедуры по составлению извещения о внесении исправления или изменения в запись акта гражданского состояния в орган ЗАГС по месту хранения второго экземпляра записи акта гражданского состояния, составленной на бумажном носителе, подлежащей исправлению, составляет 5 минут на каждое извещение.

84.105. Результатом административной процедуры является направление извещения о внесении исправления или изменения во второй экземпляр записи акта гражданского состояния в орган ЗАГС по месту хранения второго экземпляра записи акта гражданского состояния, составленной на бумажном носителе, подлежащей исправлению или изменению.

Административная процедура по выдаче заявителю свидетельства о государственной регистрации акта гражданского состояния, полученного из органа ЗАГС, оформившего данное свидетельство

84.106. Основанием для начала выполнения административной процедуры по выдаче заявителю свидетельства о государственной регистрации акта гражданского состояния, полученного из органа ЗАГС, оформившего данное свидетельство, является получение указанного свидетельства.

84.107. Специалист, ответственный за внесение исправления или изменения в запись акта гражданского состояния, при получении свидетельства из органа ЗАГС, оформившего данное свидетельство, осуществляет прием и регистрацию нового свидетельства о государственной регистрации акта гражданского состояния с внесенными изменениями и информирует заявителя о поступлении свидетельства о государственной регистрации акта гражданского состояния и выдает заявителю в назначенный день указанное свидетельство. При получении свидетельства о государственной регистрации акта гражданского состояния заявитель прочитывает данное свидетельство и расписывается в журнале учета выдачи свидетельств о государственной регистрации актов гражданского состояния.

84.108. Реализация административной процедуры по выдаче поступившего из органа ЗАГС свидетельства о государственной регистрации акта гражданского состояния составляет 5 минут.

84.109. Результатом административной процедуры является выдача заявителю свидетельства о государственной регистрации акта гражданского состояния.

84.110. Максимальное время совершения административных процедур при предоставлении государственной услуги по внесению исправлений и изменений в записи актов по заявлениям граждан о внесении исправлений и изменений в записи актов гражданского состояния, по результатам рассмотрения которых составляется заключение органа, предоставляющего государственную услугу, составляет 185 минут, без составления заключения органа, предоставляющего государственную услугу, - 1 день 60 минут. Возможно увеличение максимального времени в зависимости от количества документов.

Выдача повторных свидетельств о государственной регистрации актов гражданского состояния или иных документов, подтверждающих наличие или отсутствие фактов государственной регистрации акта гражданского состояния

85. Предоставление государственной услуги по выдаче повторных свидетельств о государственной регистрации актов гражданского состояния и иных документов, подтверждающих наличие или отсутствие фактов государственной регистрации актов гражданского состояния (далее - государственная услуга по выдаче повторных документов, повторный документ соответственно) (блок-схема N 9), включает в себя следующие административные процедуры:

1) прием и регистрация заявления о выдаче повторного документа (далее - заявление о выдаче повторного документа) в случае личного обращения заявителя либо в случае обращения заявителя с запросом в письменной форме;

2) поиск записи акта гражданского состояния в архиве органа, предоставляющего государственную услугу;

3) проверка сведений, содержащихся в записи акта гражданского состояния и заявлении о выдаче повторного документа, принятие решения о предоставлении государственной услуги по выдаче повторных документов;

4) составление и оформление повторного документа либо отказа в выдаче повторного документа;

5) учет и выдача заявителю повторного документа или отказ в выдаче повторного документа в случае личного обращения заявителя либо направление повторного документа или отказа в выдаче повторного документа в орган ЗАГС по месту жительства или пребывания заявителя с уведомление заявителя о пересылке повторного документа в случае обращения заявителя с запросом в письменной форме;

6) проставление на первом экземпляре записи акта гражданского состояния отметки о выдаче повторного документа.

При отсутствии в архиве органа, предоставляющего государственную услугу, соответствующей записи акта гражданского состояния:

1) уведомление заявителя об отсутствии записи акта гражданского состояния и направление заявления о выдаче повторного документа (с отметкой об отсутствии записи акта гражданского состояния) в орган ЗАГС по месту хранения вторых экземпляров записей актов гражданского состояния;

2) поиск записи акта гражданского состояния в архиве органа ЗАГС по месту хранения вторых экземпляров записей актов гражданского состояния;

3) проверка сведений, содержащихся во втором экземпляре записи акта гражданского состояния и заявлении о выдаче повторного документа, принятие решения о предоставлении государственной услуги по выдаче повторных документов;

4) составление, оформление и направление повторного документа либо отказа в выдаче повторного документа, либо извещения об отсутствии записи акта гражданского состояния;

5) учет и выдача повторного документа либо отказа в выдаче повторного документа, либо извещения об отсутствии записи акта гражданского состояния заявителю или направление документа в орган ЗАГС по месту жительства или пребывания заявителя с уведомлением заявителя о пересылке;

6) проставление на втором экземпляре записи акта гражданского состояния отметки о направлении повторного документа.

Административная процедура по приему и регистрации заявления о выдаче повторного документа в случае личного обращения заявителя либо в случае обращения заявителя с запросом в письменной форме

85.1. Основанием для начала выполнения административной процедуры по приему и регистрации заявления о выдаче повторного документа в случае личного обращения заявителя является личное обращение заявителя в орган, предоставляющий государственную услугу, с одновременным представлением документов, указанных в пунктах 25, 38 Административного регламента.

85.1.1. Специалист, ответственный за выдачу повторных документов, проверяет представленные заявителем документы и правильность их оформления.

85.1.2. После проверки представленных документов специалист регистрирует принятое заявление в журнале регистрации заявлений о выдаче повторных свидетельств и справок о государственной регистрации актов гражданского состояния.

85.1.3. На заявлении проставляются дата принятия заявления о выдаче повторного документа, регистрационный номер, фамилия, имя, отчество (при наличии) специалиста, принявшего данное заявление, а также ставится подпись специалиста.

85.1.4. Реализация административной процедуры по приему и регистрации заявления о выдаче повторного документа в случае личного обращения заявителя в журнале регистрации заявлений о выдаче повторных свидетельств и справок о государственной регистрации актов гражданского состояния составляет 15 минут.

85.1.5. Если необходимые документы отсутствуют либо не соответствуют установленным законодательством Российской Федерации требованиям, специалист уведомляет заявителя о том, что обнаружены препятствия для предоставления государственной услуги по выдаче повторных документов, сообщает заявителю о выявленных недостатках в представленных документах и предлагает принять меры к их устранению.

85.1.6. При наличии оснований для отказа в предоставлении государственной услуги по выдаче повторных документов, указанных в пунктах 45, 49, 50 Административного регламента, специалист возвращает документы с объяснением причин отказа.

По требованию заявителя руководитель органа, предоставляющего государственную услугу, выдает письменный отказ в выдаче документа.

Максимальный срок выполнения действия составляет 30 минут.

85.1.7. Результатом административной процедуры является регистрация специалистом принятого заявления о выдаче повторного документа в журнале регистрации заявлений о выдаче повторных свидетельств и справок о государственной регистрации актов гражданского состояния либо возврат заявителю представленных документов с объяснением причин отказа в устной форме, либо выдача письменного отказа в выдаче повторного документа.

85.2. Основанием для начала выполнения административной процедуры по приему и регистрации заявления о выдаче повторного документа в случае обращения заявителя с запросом в письменной форме является поступление в орган, предоставляющий государственную услугу, заявления о выдаче повторного документа в письменной форме, в том числе в электронной форме.

85.2.1. Специалист, ответственный за выдачу повторных документов, регистрирует в журнале входящей корреспонденции поступившее заявление о выдаче повторного документа.

85.2.2. На заявлении о выдаче повторного документа проставляются дата принятия заявления о выдаче документа, регистрационный номер, фамилия, имя, отчество (при наличии) специалиста, принявшего данное заявление, и ставится подпись специалиста.

85.2.3. Реализация административной процедуры по приему и регистрации заявления о выдаче повторного документа в случае обращения заявителя с запросом в письменной форме составляет 5 минут.

85.2.4. Результатом административной процедуры является регистрация специалистом в журнале входящей корреспонденции поступившего заявления о выдаче повторного документа.

Административная процедура по поиску записи акта гражданского состояния в архиве органа, предоставляющего государственную услугу

85.3. Основанием для начала выполнения административной процедуры по поиску записи акта гражданского состояния в архиве органа, предоставляющего государственную услугу, является регистрация специалистом принятого заявления о выдаче повторного документа в журнале регистрации заявлений о выдаче повторных свидетельств и справок о государственной регистрации актов гражданского состояния либо журнале входящей корреспонденции.

85.4. Специалист осуществляет поиск записи акта гражданского состояния в архиве органа, предоставляющего государственную услугу (в том числе по записям, составленным в форме электронного документа и по справочным материалам).

85.5. Реализация административной процедуры по поиску записи акта гражданского состояния в архиве органа, предоставляющего государственную услугу, составляет 10 минут по записям, составленным в форме электронного документа, 30 минут - по справочным материалам.

85.6. Результатом административной процедуры является установление наличия или отсутствия в архиве органа, предоставляющего государственную услугу, записи акта гражданского состояния.

Административная процедура по проверке сведений, содержащихся в записи акта гражданского состояния и заявлении о выдаче повторного документа, принятию решения о предоставлении государственной услуги по выдаче повторных документов

85.7. Основанием для начала выполнения административной процедуры по проверке сведений, содержащихся в записи акта гражданского состояния и заявлении о выдаче документа, принятию решения о предоставлении государственной услуги по выдаче повторных документов является наличие записи акта гражданского состояния.

85.8. При наличии записи акта гражданского состояния специалист сверяет сведения, содержащиеся в записи акта гражданского состояния, со сведениями, содержащимися в заявлении о выдаче повторного документа, и с представленными заявителем документами.

85.9. Если при проведении проверки выявлены разночтения или ошибки в написании сведений, содержащихся в записи акта гражданского состояния, обнаружены препятствия для предоставления государственной услуги по выдаче повторных документов, специалист сообщает об этом заявителю и предлагает принять меры по их устранению (в случае личного обращения заявителя) либо направляет сообщение (в том числе в электронной форме) заявителю об обнаружении препятствий для предоставления государственной услуги с предложением принять меры по их устранению (в случае обращения заявителя с запросом в письменной форме, в том числе в электронной форме).

Максимальный срок сообщения заявителю либо направления сообщения заявителю о выявлении разночтения или ошибки в написании сведений, содержащихся в записи акта гражданского состояния, обнаружении препятствия для предоставления государственной услуги по выдаче повторных документов и предложения принять меры по их устранению составляет 15 минут в случае личного обращения заявителя и 30 минут - в случае обращения с запросом в письменной форме.

Сведения о дате и номере регистрации сообщения заявителю об обнаружении препятствий для предоставления государственной услуги по выдаче повторных документов с предложением принять меры по их устранению вносятся в журнал исходящей корреспонденции.

85.10. Если при проведении проверки выявлены основания для отказа в предоставлении государственной услуги по выдаче повторных документов, указанные в пунктах 45, 49 Административного регламента, специалист (в случае личного обращения заявителя) возвращает заявителю документы с объяснением причин отказа в устной форме. Максимальный срок выполнения данного действия составляет 15 минут.

По требованию заявителя выдается письменный отказ в выдаче повторного документа.

В случае обращения заявителя с запросом в письменной форме принимается решение о выдаче письменного отказа в выдаче повторного документа.

85.11. Реализация административной процедуры по проверке сведений, содержащихся в записи акта гражданского состояния и заявлении о выдаче повторного документа, и принятию решения о предоставлении государственной услуги по выдаче повторных документов составляет 15 минут.

85.12. Результатом административной процедуры являются принятие решения о выдаче повторного документа либо письменный отказ в выдаче повторного документа, либо направление сообщения об обнаружении препятствий для предоставления государственной услуги по выдаче повторных документов с предложением принять меры по их устранению, либо сообщение заявителю об обнаружении препятствий для предоставления государственной услуги по выдаче повторных документов с предложением принять меры по их устранению (в случае личного обращения заявителя) или возврат заявителю представленных документов с объяснением причин отказа в устной форме.

Административная процедура по составлению и оформлению повторного документа либо отказа в выдаче повторного документа

85.13. Основанием для начала выполнения административной процедуры по составлению и оформлению повторного документа либо отказа в выдаче повторного документа является принятие решения о выдаче повторного документа либо отказ в выдаче повторного документа.

85.14. Специалист составляет и оформляет повторный документ на основании имеющейся в органе, предоставляющем государственную услугу, записи акта гражданского состояния, составленной на бумажном носителе, либо отказ в выдаче повторного документа.

85.15. Повторный документ либо отказ в выдаче повторного документа подписываются руководителем органа, предоставляющего государственную услугу, или уполномоченным им работником органа, предоставляющего государственную услугу, и скрепляется оттиском печати органа, предоставляющего государственную услугу.

85.16. Реализация административной процедуры по составлению и оформлению повторного документа составляет 10 минут, отказа в выдаче повторного документа - 30 минут.

85.17. Результатом административной процедуры является оформленный повторный документ либо отказ в выдаче повторного документа.

Административная процедура по учету и выдаче заявителю повторного документа или отказа в выдаче повторного документа в случае личного обращения заявителя либо направлению повторного документа или отказа в выдаче повторного документа в орган ЗАГС по месту жительства или пребывания заявителя с уведомление заявителя о пересылке повторного документа в случае обращения заявителя с запросом в письменной форме

85.18. Основанием для начала выполнения административной процедуры по учету и выдаче заявителю повторного документа или отказа в выдаче повторного документа в случае личного обращения заявителя является оформление специалистом указанных документов.

85.18.1. Специалист вносит сведения об оформленном повторном документе или отказе в выдаче повторного документа в соответствующие журналы учета выдачи повторных документов, отказов в выдаче повторных документов.

85.18.2. Специалист выдает заявителю оформленный повторный документ или отказ в выдаче повторного документа.

85.18.3. При получении повторного документа или отказа в выдаче повторного документа заявитель прочитывает документ и расписывается в соответствующем журнале учета выдачи повторных документов, отказов в выдаче повторных документов.

85.18.4. Реализация административной процедуры по учету и выдаче заявителю повторного документа или отказа в выдаче повторного документа в случае личного обращения заявителя составляет 10 минут.

85.18.5. Результатом административной процедуры являются учет и выдача заявителю повторного документа или отказа в выдаче повторного документа.

85.19. Основанием для начала выполнения административной процедуры по направлению повторного документа или отказа в выдаче повторного документа в орган ЗАГС по месту жительства или пребывания заявителя с уведомлением заявителя о пересылке документа в случае обращения заявителя с запросом в письменной форме является оформление специалистом указанных документов.

85.19.1. Специалист оформляет соответствующее сопроводительное письмо в орган ЗАГС по месту жительства или пребывания заявителя, а также уведомление заявителя о пересылке повторного документа (в том числе в электронной форме).

85.19.2. Специалист вносит сведения об оформленном повторном документе либо отказе в выдаче повторного документа в соответствующие журналы учета выдачи повторных документов, отказов в выдаче повторных документов с указанием органа ЗАГС, в который направляется повторный документ.

85.19.3. Реализация административной процедуры по направлению повторного документа или отказа в выдаче повторного документа в орган ЗАГС по месту жительства или пребывания заявителя с уведомление заявителя о пересылке повторного документа в случае обращения заявителя с запросом в письменной форме составляет 15 минут.

85.19.4. Результатом административной процедуры является учет и направление в орган ЗАГС по месту жительства или пребывания заявителя повторного документа либо отказа в выдаче повторного документа, а также уведомление заявителя о пересылке повторного документа.

Административная процедура по проставлению на первом экземпляре записи акта гражданского состояния отметки о выдаче повторного документа

85.20. Основанием для начала выполнения административной процедуры по проставлению на первом экземпляре записи акта гражданского состояния отметки о выдаче повторного документа является выдача заявителю повторного документа.

85.21. Специалист на первом экземпляре записи акта гражданского состояния, на основании которой оформлялся повторный документ, производит отметку о выдаче повторного документа с указанием даты выдачи, серии и (или) номера выданного повторного документа, а также наименования органа ЗАГС, в который направлен документ (при направлении повторного документа в орган ЗАГС по месту жительства или пребывания заявителя).

85.22. Реализация административной процедуры по проставлению на первом экземпляре записи акта гражданского состояния отметки о выдаче повторного документа составляет 5 минут.

85.23. Результатом административной процедуры является проставление на первом экземпляре записи акта гражданского состояния отметки о выдаче повторного документа.

Административные процедуры при отсутствии в архиве органа, предоставляющего государственную услугу, соответствующей записи акта гражданского состояния

Административная процедура по уведомлению заявителя об отсутствии записи акта гражданского состояния и направлению заявления о выдаче повторного документа (с отметкой об отсутствии записи акта гражданского состояния) в орган ЗАГС по месту хранения вторых экземпляров записей актов гражданского состояния

85.24. Основанием для начала выполнения административной процедуры по уведомлению заявителя об отсутствии записи акта гражданского состояния и направлению заявления о выдаче повторного документа (с отметкой об отсутствии записи акта гражданского состояния) в орган ЗАГС по месту хранения вторых экземпляров записей актов гражданского состояния является установление в результате поиска в архиве органа, предоставляющего государственную услугу, отсутствия записи акта гражданского состояния.

85.25. Специалист проставляет на заявлении о выдаче повторного документа отметку об отсутствии соответствующей записи акта гражданского состояния в архиве органа, предоставляющего государственную услугу.

85.26. Специалист оформляет уведомление заявителя (в том числе в электронной форме) об отсутствии соответствующей записи акта гражданского состояния и направлении его письменного заявления в орган ЗАГС по месту хранения вторых экземпляров записей актов гражданского состояния, а также сопроводительное письмо в орган ЗАГС по месту хранения вторых экземпляров записей актов гражданского состояния.

85.27. Оформленные документы подписываются руководителем органа, предоставляющего государственную услугу, или уполномоченным им работником органа, предоставляющего государственную услугу, и скрепляются печатью органа, предоставляющего государственную услугу.

85.28. Оформленные документы регистрируется в журнале исходящей корреспонденции с проставлением даты и исходящего номера.

85.29. Реализация административной процедуры составляет 15 минут.

85.30. Результатом административной процедуры являются проставление на заявлении о выдаче повторного документа отметки об отсутствии соответствующей записи акта гражданского состояния, направление заявителю уведомления об отсутствии соответствующей записи акта гражданского состояния, а также направление заявления в орган ЗАГС по месту хранения вторых экземпляров записей актов гражданского состояния.

Административная процедура по поиску записи акта гражданского состояния в архиве органа ЗАГС по месту хранения вторых экземпляров записей актов гражданского состояния

85.31. Основанием для начала выполнения административной процедуры по поиску записи акта гражданского состояния в архиве органа ЗАГС по месту хранения вторых экземпляров записей актов гражданского состояния является поступление из органа, предоставляющего государственную услугу, заявления о выдаче повторного документа с отметкой об отсутствии первого экземпляра записи акта гражданского состояния.

85.32. Специалист осуществляет поиск записи акта гражданского состояния по вторым экземплярам записей актов гражданского состояния, составленных на территории субъекта Российской Федерации (по записям, составленным в форме электронного документа, и справочным материалам).

85.33. Реализация административной процедуры по поиску записи акта гражданского состояния в архиве органа ЗАГС по месту хранения вторых экземпляров записей актов гражданского состояния составляет 60 минут по записям, составленным в форме электронного документа, 1 месяц - по справочным материалам.

85.34. Результатом административной процедуры является установление наличия или отсутствия записи акта гражданского состояния в архиве органа ЗАГС по месту хранения вторых экземпляров записей актов гражданского состояния.

Административная процедура по проверке сведений, содержащихся во втором экземпляре записи акта гражданского состояния и заявлении о выдаче повторного документа, принятию решения о предоставлении государственной услуги по выдаче повторных документов

85.35. Основанием для начала выполнения административной процедуры по проверке сведений, содержащихся во втором экземпляре записи акта гражданского состояния и заявлении о выдаче повторного документа, является установление наличия записи акта гражданского состояния во вторых экземплярах записей актов гражданского состояния.

85.36. При наличии второго экземпляра записи акта гражданского состояния специалист сверяет сведения, содержащиеся в записи акта гражданского состояния, со сведениями в заявлении о выдаче повторного документа и представленных заявителем документах.

85.37. Если при проведении проверки выявлены разночтения или ошибки в написании сведений, содержащихся в записи акта гражданского состояния, обнаружены препятствия для предоставления государственной услуги по выдаче повторных свидетельств (справок) или запись акта гражданского состояния отсутствует, специалист направляет сообщение (в том числе в электронной форме) заявителю об обнаружении препятствий для предоставления государственной услуги по выдаче повторных документов с предложением принять меры по их устранению (в случае обращения заявителя с запросом в письменной форме, в том числе в электронной форме).

Максимальный срок выполнения данного действия составляет 30 минут.

Сведения о дате и номере регистрации сообщения заявителю об обнаружении препятствий для предоставления государственной услуги по выдаче повторных документов с предложением принять меры по их устранению вносятся в журнал исходящей корреспонденции.

85.38. Если при проведении проверки выявлены основания для отказа в предоставлении государственной услуги по выдаче документов, указанные в пунктах 45, 49, 50 Административного регламента, специалист принимает решение о выдаче письменного отказа в выдаче повторного документа.

85.39. Реализация административной процедуры по проверке сведений, содержащихся во втором экземпляре записи акта гражданского состояния, и заявлении о выдаче повторного документа, принятию решения о предоставлении государственной услуги по выдаче повторных документов составляет 15 минут.

85.40. Результатом административной процедуры является принятие решения о выдаче повторного документа или отказ в выдаче повторного документа.

Административная процедура по составлению, оформлению и направлению повторного документа либо отказа в выдаче повторного документа, либо извещения об отсутствии записи акта гражданского состояния

85.41. Основанием для начала выполнения административной процедуры по составлению, оформлению и направлению повторного документа либо отказа в выдаче повторного документа, либо извещения об отсутствии записи акта гражданского состояния является принятое решение о выдаче повторного документа либо отказ в выдаче повторного документа, либо установление отсутствия записи акта гражданского состояния в архиве органа ЗАГС по месту хранения вторых экземпляров записей актов гражданского состояния.

85.42. Специалист составляет и оформляет повторный документ либо отказ в выдаче повторного документа, либо извещение об отсутствии записи акта гражданского состояния, а также сопроводительные письма в орган, предоставляющий государственную услугу (в случае личного обращения заявителя), либо орган ЗАГС по месту жительства или пребывания заявителя (в случае обращения заявителя в орган, предоставляющий услугу, с запросом в письменной форме) и уведомление заявителя о пересылке документа (в том числе в электронной форме).

85.43. Оформленные документы подписываются руководителем органа ЗАГС по месту хранения вторых экземпляров записей актов гражданского состояния или уполномоченным им работником органа ЗАГС по месту хранения вторых экземпляров записей актов гражданского состояния и скрепляются оттиском печати с воспроизведением Государственного герба Российской Федерации органа ЗАГС по месту хранения вторых экземпляров записей актов гражданского состояния.

85.44. Специалист вносит сведения об оформленном повторном документе либо отказе в выдаче повторного документа, либо извещении об отсутствии записи акта гражданского состояния в соответствующие журналы учета выдачи документов с указанием органа, предоставляющего государственную услугу, либо органа ЗАГС по месту жительства или пребывания заявителя, в который направляется документ.

85.45. Сведения о дате и номере регистрации сопроводительного письма и уведомления заявителя вносятся в журнал исходящей корреспонденции с указанием наименования органа, предоставляющий государственную услугу, либо органа ЗАГС по месту жительства или пребывания заявителя, в который направляется соответствующий документ.

85.46. Реализация административной процедуры по составлению, оформлению и направлению повторного документа, извещения об отсутствии записи акта гражданского состояния составляет 10 минут, отказа в выдаче повторного документа - 30 минут.

85.47. Результатом административной процедуры являются составление и оформление повторного документа либо отказа в выдаче повторного документа, либо извещения об отсутствии записи акта гражданского состояния, а также направление документа в орган, предоставляющий государственную услугу, или в орган ЗАГС по месту жительства или пребывания заявителя с уведомлением заявителя о пересылке.

Административная процедура по проставлению на втором экземпляре записи акта гражданского состояния отметки о направлении повторного документа

85.48. Основанием для начала выполнения административной процедуры по проставлению на втором экземпляре записи акта гражданского состояния отметки о направлении повторного документа является направление в орган, предоставляющий государственную услугу (в случае личного обращения заявителя), либо орган ЗАГС по месту жительства или пребывания заявителя (в случае обращения заявителя в орган, предоставляющий услугу, с запросом в письменной форме).

85.49. Специалист на втором экземпляре записи акта гражданского состояния, на основании которой оформлялся повторный документ, производит отметку о направлении повторного документа с указанием даты направления, серии и (или) номера направленного повторного документа, наименования органа, предоставляющего государственную услугу (в случае личного обращения заявителя), либо органа ЗАГС по месту жительства или пребывания заявителя (в случае обращения заявителя в орган, предоставляющий услугу, с запросом в письменной форме), в который направлен повторный документ.

85.50. Реализация административной процедуры по проставлению на втором экземпляре записи акта гражданского состояния отметки о направлении повторного документа составляет 5 минут.

85.51. Результатом административной процедуры является проставление на втором экземпляре записи акта гражданского состояния отметки о направлении повторного документа.

85.52. Максимальное время совершения административных процедур при предоставлении государственной услуги по выдаче повторных документов составляет 90 минут, при отсутствии в архиве органа, предоставляющего государственную услугу, соответствующей записи акта гражданского состояния - 1 месяц 125 минут.

Восстановление записи акта гражданского состояния

86. Предоставление государственной услуги по восстановлению записи акта гражданского состояния (далее - государственная услуга по восстановлению записи акта) (блок-схема N 10) включает в себя следующие административные процедуры:

1) в случае, если место жительства заявителя и место нахождения органа, которому надлежит восстановить запись акта гражданского состояния, находятся в одном населенном пункте:

проверка представленных заявителем документов и принятие решения о предоставлении государственной услуги по восстановлению записи акта;

прием представленных заявителем документов и регистрация письменного заявления о восстановлении записи акта гражданского состояния;

составление и оформление записи акта гражданского состояния;

составление и оформление свидетельства о государственной регистрации записи акта гражданского состояния;

учет и выдача свидетельства о государственной регистрации акта гражданского состояния;

2) в случае, если место жительства заявителя и место нахождения органа, которому надлежит восстановить запись акта гражданского состояния, находятся разных населенных пунктах:

проверка представленных заявителем документов и принятие решения о предоставлении государственной услуги по восстановлению записи акта;

подготовка пакета документов (письменного заявления о восстановлении записи акта гражданского состояния, иных документов, представленных заявителем) и его направление в орган ЗАГС по месту составления утраченной записи акта гражданского состояния;

выдача заявителю поступившего из органа ЗАГС свидетельства о государственной регистрации акта гражданского состояния.

Административные процедуры при предоставлении государственной услуги по восстановлению записи акта в случае, если место жительства заявителя и место нахождения органа, которому надлежит восстановить запись акта гражданского состояния, находятся в одном населенном пункте

Административная процедура по проверке представленных заявителем документов и принятию решения о предоставлении государственной услуги по восстановлению записи акта

86.1. Основанием для начала выполнения административной процедуры по проверке представленных заявителем документов и принятию решения о предоставлении государственной услуги по восстановлению записи акта является личное обращение заявителя в устной или письменной форме с заявлением о восстановлении записи акта гражданского состояния.

86.2. Специалист, ответственный за государственную регистрацию актов гражданского состояния, осуществляет проверку представленных заявителем документов, указанных в пунктах 25, 26, 39 Административного регламента.

86.3. В случае обращения уполномоченного заявителем лица также проверяется документ, подтверждающий его полномочие.

86.4. Если необходимые документы отсутствуют либо не соответствуют установленным законодательством Российской Федерации требованиям <25>, специалист уведомляет заявителя о том, что обнаружены препятствия для предоставления государственной услуги по восстановлению записи акта, сообщает заявителю о выявленных недостатках в представленных документах и предлагает принять меры к их устранению.

<25> Статьи 7, 74 Федерального закона, статьи 198, 209 Гражданского процессуального кодекса Российской Федерации (Собрание законодательства Российской Федерации, 2002, N 46, ст. 4532; 2010, N 50, ст. 6611; 2013, N 9, ст. 872).

86.5. В случае наличия оснований для отказа в предоставлении государственной услуги по восстановлению записи акта, указанных в пунктах 45, 50 Административного регламента, специалист возвращает заявителю документы с объяснением причин отказа. По требованию заявителя руководитель органа, предоставляющего государственную услугу, выдает письменный отказ в предоставлении государственной услуги по восстановлению записи акта.

Максимальный срок выполнения данного действия составляет 30 минут.

86.6. Реализация административной процедуры по проверке представленных заявителем документов и принятию решения о предоставлении государственной услуги по восстановлению записи акта составляет 10 минут.

86.7. Результатом административной процедуры является проверка специалистом представленных заявителем , документов, в случае отказа в предоставлении государственной услуги по восстановлению записи акта - возврат заявителю документов с объяснением причин отказа в устной или письменной форме.

Административная процедура по приему представленных заявителем документов и регистрации письменного заявления о восстановлении записи акта гражданского состояния

86.8. Основанием для начала выполнения административной процедуры по приему представленных заявителем документов и регистрации письменного заявления о восстановлении записи акта гражданского состояния является принятое решение о предоставлении государственной услуги по восстановлению записи акта.

86.9. Специалист принимает представленные заявителем документы, регистрирует заявление в журнале регистрации заявлений о восстановлении записей актов гражданского состояния.

86.10. На заявлении проставляются дата принятия заявления, регистрационный номер, фамилия, имя, отчество (при наличии) специалиста, принявшего заявление, и ставится подпись специалиста.

86.11. Реализация административной процедуры по приему представленных заявителем документов и регистрации заявления в журнале регистрации заявлений о восстановлении записей актов гражданского состояния составляет 5 минут.

86.12. Результатом административной процедуры является прием документов и регистрация специалистом заявления, поданного в письменной форме, в журнале регистрации заявлений о восстановлении записей актов гражданского состояния.

Административная процедура по составлению и оформлению записи акта гражданского состояния

86.13. Основанием для начала выполнения административной процедуры по составлению и оформлению записи акта гражданского состояния является прием специалистом представленных заявителем документов и регистрация письменного заявления в журнале регистрации заявлений о восстановлении записей актов гражданского состояния.

86.14. Специалист составляет запись акта гражданского состояния в форме электронного документа и на бумажном носителе.

86.15. К порядковому номеру записи акта присоединяется прописная буква "В".

86.16. Запись акта гражданского состояния, составленная на бумажном носителе, прочитывается и подписывается заявителем, руководителем органа, предоставляющего государственную услугу, или уполномоченным им работником органа, предоставляющего государственную услугу, и скрепляется оттиском печати органа, предоставляющего государственную услугу.

86.17. Запись акта гражданского состояния, составленная в форме электронного документа, подписывается усиленной квалифицированной электронной подписью руководителя, органа, предоставляющего государственную услугу, или уполномоченного им работника органа, предоставляющего государственную услугу.

86.18. Дата и номер актовой записи указываются на письменном заявлении о восстановлении записи акта гражданского состояния.

86.19. Реализация административной процедуры по составлению и оформлению записи акта гражданского состояния составляет 20 минут.

86.20. Результатом административной процедуры является составленная в форме электронного документа и на бумажном носителе запись акта гражданского состояния, подписанная руководителем органа, предоставляющего государственную услугу, или уполномоченным им работником органа, предоставляющего государственную услугу, скрепленная оттиском печати органа, предоставляющего государственную услугу.

Административная процедура по составлению и оформлению свидетельства о государственной регистрации акта гражданского состояния

86.21. Основанием для начала выполнения административной процедуры по составлению и оформлению свидетельства о государственной регистрации акта гражданского состояния является оформленная запись акта гражданского состояния.

86.22. Специалист составляет и оформляет свидетельство о государственной регистрации акта гражданского состояния в соответствии с оформленной записью акта гражданского состояния.

86.23. Свидетельство о государственной регистрации акта гражданского состояния подписывается руководителем органа, предоставляющего государственную услугу, или уполномоченным им работником органа, предоставляющего государственную услугу, и скрепляется оттиском печати органа, предоставляющего государственную услугу.

86.24. Реализация административной процедуры по составлению и оформлению свидетельства о государственной регистрации акта гражданского состояния составляет 10 минут.

86.25. Результатом административной процедуры является оформленное специалистом свидетельство о государственной регистрации акта гражданского состояния, подписанное руководителем органа, предоставляющего государственную услугу, или уполномоченным им работником органа, предоставляющего государственную услугу, скрепленное оттиском печати органа, предоставляющего государственную услугу.

Административная процедура по учету и выдаче свидетельства о государственной регистрации акта гражданского состояния

86.26. Основанием для начала выполнения административной процедуры по учету и выдаче свидетельства о государственной регистрации акта гражданского состояния является оформленное специалистом свидетельство о государственной регистрации акта гражданского состояния.

86.27. Специалист вносит сведения об оформленном свидетельстве о государственной регистрации акта гражданского состояния в журнал учета выдачи свидетельств о государственной регистрации актов гражданского состояния.

86.28. Специалист выдает заявителю свидетельство о государственной регистрации акта гражданского состояния, подписанное руководителем органа, предоставляющего государственную услугу, или уполномоченным им работником органа, предоставляющего государственную услугу, скрепленное оттиском печати органа, предоставляющего государственную услугу.

86.29. При получении свидетельства о государственной регистрации акта гражданского состояния заявитель прочитывает свидетельство и расписывается в журнале учета выдачи свидетельств о государственной регистрации актов гражданского состояния.

86.30. Реализация административной процедуры по учету и выдаче свидетельства о государственной регистрации акта гражданского состояния составляет 5 минут.

86.31. Результатом административной процедуры являются учет свидетельства о государственной регистрации акта гражданского состояния в журнале учета выдачи свидетельств о государственной регистрации актов гражданского состояния и выдача его заявителю.

Административные процедуры при предоставлении государственной услуги по восстановлению записи акта в случае, если место жительства заявителя и место нахождения органа, которому надлежит восстановить запись акта гражданского состояния, находятся в разных населенных пунктах

Административная процедура по проверке представленных заявителем документов и принятию решения о предоставлении государственной услуги по восстановлению записи акта

86.32. Основанием для начала выполнения административной процедуры по проверке представленных заявителем документов и принятию решения о предоставлении государственной услуги по восстановлению записи акта является личное обращение заявителя в письменной форме о восстановлении записи акта гражданского состояния.

86.33. Специалист, ответственный за государственную регистрацию актов гражданского состояния, осуществляет проверку представленных заявителем документов, указанных в пунктах 25, 26, 39 Административного регламента.

86.34. В случае обращения уполномоченного заявителем лица специалист также проверяется документ, подтверждающий его полномочие.

86.35. Если необходимые документы отсутствуют либо не соответствуют установленным законодательством Российской Федерации требованиям <26>, специалист уведомляет заявителя о том, что обнаружены препятствия для предоставления государственной услуги по восстановлению записи акта, сообщает заявителю о выявленных недостатках в представленных документах и предлагает принять меры к их устранению.

<26> Статьи 7, 74 Федерального закона, статьи 198, 209 Гражданского процессуального кодекса Российской Федерации.

86.36. При наличии оснований для отказа в предоставлении государственной услуги по восстановлению записи акта, указанных в пунктах 45, 50 Административного регламента, специалист возвращает заявителю документы с объяснением причин отказа. По требованию заявителя руководитель органа, предоставляющего государственную услугу, выдает письменный отказ в предоставлении государственной услуги по восстановлению записи акта.

Максимальный срок выполнения данного действия составляет 30 минут.

86.37. Реализация административной процедуры по проверке представленных заявителем документов и принятию решения о предоставлении государственной услуги по восстановлению записи акта составляет 10 минут.

86.38. Результатом административной процедуры является проверка специалистом представленных заявителем документов, в случае отказа в предоставлении государственной услуги по восстановлению записи акта - возврат заявителю документов с объяснением причин отказа в устной или письменной форме.

Административная процедура по подготовке пакета документов (письменного заявления о восстановлении записи акта гражданского состояния, иных документов, представленных заявителем) и его направлению в орган ЗАГС по месту составления утраченной записи акта гражданского состояния

86.39. Основанием для начала выполнения административной процедуры по подготовке пакета документов (письменного заявления о восстановлении записи акта гражданского состояния, иных документов, представленных заявителем) и его направлению в орган ЗАГС по месту составления утраченной записи акта гражданского состояния является принятое решение о предоставлении государственной услуги по восстановлению записи акта.

86.40. Специалист принимает представленные заявителем документы, составляет и оформляет сопроводительное письмо для направления представленных заявителем документов в орган ЗАГС по месту составления утраченной записи акта гражданского состояния.

86.41. Сопроводительное письмо регистрируется в журнале исходящей корреспонденции с проставлением на нем даты и исходящего номера.

86.42. Сопроводительное письмо подписывается руководителем органа, предоставляющего государственную услугу, или уполномоченным им работником органа, предоставляющего государственную услугу, и скрепляется оттиском печати органа, предоставляющего государственную услугу.

86.43. Реализация административной процедуры по подготовке пакета документов (письменного заявления о восстановлении записи акта гражданского состояния, иных документов, представленных заявителем) и его направлению в орган ЗАГС по месту составления утраченной записи акта гражданского состояния составляет 20 минут.

86.44. Результатом административной процедуры является направление данного пакета документов в орган ЗАГС по месту составления утраченной записи акта гражданского состояния.

Административная процедура по выдаче заявителю поступившего из органа ЗАГС свидетельства о государственной регистрации акта гражданского состояния

86.45. Основанием для начала выполнения административной процедуры по выдаче заявителю поступившего из органа ЗАГС свидетельства о государственной регистрации акта гражданского состояния, является получение указанного свидетельства из органа ЗАГС, оформившего свидетельство о государственной регистрации акта гражданского состояния на основании решения суда об установлении факта государственной регистрации акта гражданского состояния.

86.46. Специалист при получении свидетельства из органа ЗАГС регистрирует его в журнале входящей корреспонденции с проставлением на сопроводительном документе даты и входящего номера.

86.47. Специалист информирует заявителя о поступлении свидетельства о государственной регистрации акта гражданского состояния по телефону, согласовывает дату и время для получения документа.

86.48. Специалист выдает заявителю в назначенный день указанное свидетельство. При получении свидетельства о государственной регистрации акта гражданского состояния заявитель расписывается в журнале учета выдачи свидетельств о государственной регистрации актов гражданского состояния.

86.49. Реализация административной процедуры по выдаче поступившего из органа ЗАГС свидетельства о государственной регистрации акта гражданского состояния составляет 5 минут.

86.50. Результатом административной процедуры является выдача заявителю свидетельства о государственной регистрации акта гражданского состояния.

86.51. Максимальное время совершения административных процедур при восстановлении записи акта гражданского состояния составляет 50 минут.

Аннулирование записи акта гражданского состояния

87. Предоставление государственной услуги по аннулированию записи акта гражданского состояния (далее - государственная услуга по аннулированию записи акта) (блок-схема N 11) включает в себя следующие административные процедуры:

1) проверка представленных заявителем документов и принятие решения о предоставлении государственной услуги по аннулированию записи акта;

2) прием представленных заявителем документов и осуществление поиска записи акта гражданского состояния, подлежащей аннулированию, в архиве органа, предоставляющего государственную услугу;

3) аннулирование записи акта гражданского состояния;

4) составление извещения о внесении отметки об аннулировании записи акта гражданского состояния в орган ЗАГС по месту хранения второго экземпляра записи акта гражданского состояния, составленной на бумажном носителе.

Административная процедура по проверке представленных заявителем документов и принятию решения о предоставлении государственной услуги по аннулированию записи акта

87.1. Основанием для начала выполнения административной процедуры по проверке представленных заявителем документов и принятию решения о предоставлении государственной услуги по аннулированию записи акта является личное обращение заявителя в устной форме об аннулировании записи акта гражданского состояния на основании решения суда об аннулировании записи акта гражданского состояния.

87.2. Специалист, ответственный за государственную регистрацию актов гражданского состояния, осуществляет проверку представленных заявителем документов, указанных в пунктах 25, 26, 39 Административного регламента.

87.3. В случае обращения уполномоченного заявителем лица также проверяется документ, подтверждающий его полномочие.

87.4. Если необходимые документы отсутствуют либо не соответствуют установленным законодательством Российской Федерации требованиям, специалист уведомляет заявителя о том, что обнаружены препятствия для предоставления государственной услуги по аннулированию записи акта, сообщает заявителю о выявленных недостатках в представленных документах и предлагает принять меры к их устранению.

87.5. В случае наличия оснований для отказа в предоставлении государственной услуги по аннулированию записи акта, указанных в пунктах 45, 50 Административного регламента, специалист возвращает заявителю документы с объяснением причин отказа. По требованию заявителя руководитель органа, предоставляющего государственную услугу, выдает письменный отказ в предоставлении государственной услуги по аннулированию записи акта.

Максимальный срок выполнения данного действия составляет 30 минут.

87.6. Реализация административной процедуры по проверке представленных заявителем документов и принятию решения о предоставлении государственной услуги по аннулированию записи акта составляет 10 минут.

87.7. Результатом административной процедуры является проверка специалистом представленных заявителем документов, в случае отказа в предоставлении государственной услуги по аннулированию записи акта - возврат заявителю документов с объяснением причин отказа в устной или письменной форме.

Административная процедура по приему представленных заявителем документов и осуществлению поиска записи акта гражданского состояния, подлежащей аннулированию, в архиве органа, предоставляющего государственную услугу

87.8. Основанием для начала выполнения административной процедуры по приему представленных заявителем документов и осуществлению поиска записи акта гражданского состояния, подлежащей аннулированию, в архиве органа, предоставляющего государственную услугу, является принятое решение о предоставлении государственной услуги по аннулированию записи акта.

87.9. Специалист принимает представленные заявителем документы и осуществляет поиск записи акта гражданского состояния, подлежащей аннулированию, в архиве органа, предоставляющего государственную услугу.

87.10. Поиск осуществляется по записям, составленным в форме электронного документа, и по справочным материалам.

При осуществлении поиска записи акта гражданского состояния специалист органа, предоставляющего государственную услугу, использует сведения Единого реестра <27>.

<27> Вступает в силу со дня вступления в силу пункта 2 статьи 3 Федерального закона от 23.06.2016 N 219-ФЗ "О внесении изменений в Федеральный закон "Об актах гражданского состояния".

87.11. Реализация административной процедуры по приему представленных заявителем документов и осуществлению поиска записи акта гражданского, состояния, подлежащей аннулированию, в архиве органа, предоставляющего государственную услугу, составляет 10 минут по записям, составленным в форме электронного документа, по справочным материалам - 30 минут.

87.12. Результатом административной процедуры является наличие или отсутствие записи акта гражданского состояния.

Административная процедура по аннулированию записи акта гражданского состояния

87.13. Основанием для начала выполнения административной процедуры по аннулированию записи акта гражданского состояния является наличие записи акта гражданского состояния, подлежащей аннулированию на основании решения суда.

87.14. Специалист сверяет сведения, указанные в записи акта гражданского состояния, составленной на бумажном носителе, со сведениями, указанными в решении суда.

87.15. В правой верхней части лицевой стороны записи акта гражданского состояния, составленной на бумажном носителе (на уровне указания сведений о номере и дате записи акта, справа от этих сведений), проставляется отметка об аннулировании записи акта гражданского состояния. В разделе "Служебные отметки" записи акта гражданского состояния, составленной на бумажном носителе, специалистом производится отметка об аннулировании записи акта гражданского состояния с указанием даты внесения отметки, наименования решения суда и его реквизитов.

87.16. Реализация административной процедуры по аннулированию записи акта гражданского состояния составляет 20 минут.

87.17. Результатом административной процедуры является внесение служебной отметки в запись акта гражданского состояния, составленную в форме электронного документа и на бумажном носителе, подписанной руководителем органа, предоставляющего государственную услугу, или уполномоченным им работником органа, предоставляющего государственную услугу, скрепленной оттиском печати органа, предоставляющего государственную услугу.

Административная процедура по составлению извещения о внесении отметки об аннулировании записи акта гражданского состояния в орган ЗАГС по месту хранения второго экземпляра записи акта гражданского состояния, составленной на бумажном носителе

87.18. Основанием для начала выполнения административной процедуры по составлению извещения о внесении служебной отметки об аннулировании записи акта гражданского состояния в орган ЗАГС по месту хранения второго экземпляра записи акта гражданского состояния, составленной на бумажном носителе, является внесение данной отметки в первый экземпляр записи акта гражданского состояния.

87.19. Специалист составляет извещение о внесении отметки об аннулировании записи акта гражданского состояния в орган по месту хранения второго экземпляра записи акта гражданского состояния, составленной на бумажном носителе.

87.20. Данное извещение подписывается руководителем органа, предоставляющего государственную услугу, или уполномоченным им работником органа, предоставляющего государственную услугу, и скрепляется оттиском печати органа, предоставляющего государственную услугу.

87.21. Извещение регистрируется в журнале исходящей корреспонденции, на нем проставляются дата и исходящий номер.

87.22. Реализация административной процедуры по составлению извещения о внесении отметки об аннулировании записи акта гражданского состояния в орган по месту хранения второго экземпляра записи акта гражданского состояния, составленной на бумажном носителе, составляет 5 минут.

87.23. Результатом административной процедуры является направление извещения о внесении отметки об аннулировании записи акта гражданского состояния в орган ЗАГС по месту хранения второго экземпляра записи акта гражданского состояния, составленной на бумажном носителе.

87.24. Максимальное время совершения административных процедур при предоставлении государственной услуги по аннулированию записи акта составляет не более 37 минут (57 минут - при отсутствии электронного архива).

IV. Формы контроля за исполнением Административного регламента

88. Текущий контроль за соблюдением и исполнением специалистами органа, предоставляющего государственную услугу, положений Административного регламента и иных нормативных правовых актов, устанавливающих требования к предоставлению государственной услуги, а также принятием решений специалистами при предоставлении государственной услуги осуществляет руководитель органа, предоставляющего государственную услугу.

89. Для текущего контроля используются сведения, имеющиеся в электронной базе данных, служебная корреспонденция, устная и письменная информация специалистов, осуществляющих выполнение административных процедур, журналы учета соответствующих документов и другие сведения.

90. О случаях и причинах нарушения сроков, последовательности и содержания административных процедур специалисты немедленно информируют руководителя органа, предоставляющего государственную услугу, а также предпринимают срочные меры по устранению нарушений.

Порядок и периодичность осуществления плановых и внеплановых проверок полноты и качества предоставления государственной услуги, в том числе порядок и формы контроля за полнотой и качеством предоставления государственной услуги

91. Контроль за предоставлением государственной услуги по государственной регистрации актов гражданского состояния осуществляется территориальными органами Минюста России (приказ Минюста России N 25, приказ Минюста России N 26).

92. Контроль за исполнением органами местного самоуправления переданных им полномочий на государственную регистрацию актов гражданского состояния осуществляется органами государственной власти субъектов Российской Федерации.

Ответственность должностных лиц органа исполнительной власти за решения и действия (бездействие), принимаемые (осуществляемые) ими в ходе предоставления государственной услуги

93. Специалисты и уполномоченные должностные лица несут ответственность в соответствии с законодательством Российской Федерации за неисполнение или ненадлежащее исполнение административных процедур (действий), а также сроков их исполнения, установленных Административным регламентом.

Требования к порядку и формам контроля за предоставлением государственной услуги, в том числе со стороны граждан, их объединений и организаций

94. Граждане, их объединения и организации вправе осуществлять контроль за предоставлением государственной услуги путем получения информации о ходе предоставления государственной услуги, в том числе о сроках завершения административных процедур (действий).

95. Граждане, их объединения и организации также вправе:

направлять замечания и предложения по улучшению доступности и качества предоставления государственной услуги;

вносить предложения о мерах по устранению нарушений Административного регламента.

96. Руководитель органа, предоставляющего государственную услугу, принимает меры к прекращению допущенных нарушений, устраняет причины и условия, способствующие совершению нарушений.

97. Информация о результатах рассмотрения замечаний и предложений граждан, их объединений и организаций доводится до сведения лиц, направивших эти замечания и предложения.

У. Досудебный (внесудебный) порядок обжалования решений и (или) действий (бездействия) органа, предоставляющего государственную услугу, а также его должностных лиц

Информация для заявителя о его праве подать жалобу на решение и (или) действие (бездействие) органа, предоставляющего государственную услугу, его должностных лиц при предоставлении государственной услуги

98. Заявители имеют право подать жалобу на решение и (или) действие (бездействие) органа, предоставляющего государственную услугу, и (или) его специалистов при предоставлении государственной услуги (далее - жалоба).

Предмет жалобы

99. Предметом жалобы являются решения и (или) действия (бездействие) специалистов органа, предоставляющего государственную услугу, принятые и осуществленные с нарушением стандарта предоставления государственной услуги, а также ненадлежащее исполнение специалистами их должностных обязанностей, установленных Административным регламентом и иными нормативными правовыми актами Российской Федерации, регулирующими отношения, возникающие в связи с предоставлением государственной услуги.

100. Заявитель может обратиться с жалобой в том числе в следующих случаях: нарушение срока регистрации заявления о предоставлении государственной услуги;

нарушение срока предоставления государственной услуги;

требование представления заявителем документов, не предусмотренных нормативными правовыми актами Российской Федерации для предоставления государственной услуги;

отказ в приеме документов, представление которых предусмотрено нормативными правовыми актами Российской Федерации для предоставления государственной услуги;

отказ в предоставлении государственной услуги, если основания отказа не предусмотрены федеральными законами и принятыми в соответствии с ними иными нормативными правовыми актами Российской Федерации;

требование внесения заявителем при предоставлении государственной услуги платы, не предусмотренной нормативными правовыми актами Российской Федерации;

отказ руководителя органа, предоставляющего государственную услугу, в исправлении допущенных опечаток и ошибок в выданных в результате предоставления государственной услуги документах либо нарушение установленного срока таких исправлений.

Органы государственной власти и должностные лица, уполномоченные на рассмотрение жалобы, должностные лица, которым может быть направлена жалоба

101. Жалоба на решения и (или) действия (бездействие), принятые в ходе предоставления государственной услуги специалистом органа, предоставляющего государственную услугу, направляется соответственно руководителю данного органа, его заместителям.

Жалоба на решения и действия (бездействие), принятые руководителем органа, предоставляющего государственную услугу, подается в орган исполнительной власти субъекта Российской Федерации, в компетенцию которого входит организация деятельности по государственной регистрации актов гражданского состояния, в Минюст России или его территориальные органы либо в суд.

Порядок подачи и рассмотрения жалобы

102. Жалоба подается в орган, предоставляющий государственную услугу, в письменной форме, в том числе при личном приеме заявителя, или в электронном виде.

103. Жалоба может быть направлена по почте, с использованием информационно-телекоммуникационной сети "Интернет" либо официальных сайтов в информационно-телекоммуникационной сети "Интернет" органа исполнительной власти субъекта Российской Федерации, Минюста России, его территориальных органов, Единого портала, многофункционального центра.

104. Жалоба должна содержать:

наименование органа, предоставляющего государственную услугу, фамилию, имя, отчество (при наличии) специалиста органа, предоставляющего государственную услугу, решения и (или) действия (бездействие) которых обжалуются;

фамилию, имя, отчество (при наличии), сведения о месте жительства заявителя - физического лица, сведения о месте нахождения заявителя, а также номер (номера) контактного (контактных) телефона (телефонов), адрес (адреса) электронной почты (при наличии) и почтовый адрес, по которым должен быть направлен ответ заявителю;

сведения об обжалуемых решениях и (или) действиях (бездействии) специалиста органа, предоставляющего государственную услугу;

доводы, на основании которых заявитель не согласен с решением и (или) действием (бездействием) руководителя органа, предоставляющего государственную услугу, специалиста данного органа. Заявителем могут быть представлены документы (при наличии), подтверждающие доводы заявителя, либо их копии.

105. В случае, если жалоба подается через представителя заявителя, также представляется документ, подтверждающий полномочия на осуществление действий от имени заявителя. В качестве документа, подтверждающего полномочия на осуществление действий от имени заявителя, может быть представлена оформленная в соответствии с законодательством Российской Федерации доверенность.

106. Прием жалоб в письменной форме осуществляется органом, предоставляющим государственную услугу (в месте, где заявитель подавал заявление о предоставлении государственной услуги, нарушение порядка которой обжалуется, либо в месте, где заявителем получен результат указанной государственной услуги).

Время приема жалоб совпадает с графиком работы органа, предоставляющего государственную услугу, при предоставлении государственной услуги.

В случае подачи жалобы при личном приеме заявитель представляет документ, удостоверяющий его личность в соответствии с законодательством Российской Федерации.

107. При подаче жалобы в электронном виде документы, указанные в пункте 105 Административного регламента, могут быть представлены в форме электронных документов, подписанных электронной подписью, вид которой предусмотрен законодательством Российской Федерации. При этом документ, удостоверяющий личность заявителя, не требуется.

Сроки рассмотрения жалобы

108. Жалоба, поступившая в орган, предоставляющий государственную услугу, подлежит регистрации не позднее следующего рабочего дня со дня ее поступления. Жалоба рассматривается в течение 15 рабочих дней со дня ее регистрации.

В случае обжалования отказа руководителя органа, предоставляющего государственную услугу, его специалиста в приеме документов у заявителя либо в исправлении допущенных опечаток и ошибок, а также в случае обжалования заявителем нарушения установленного срока таких исправлений жалоба рассматривается в течение 5 рабочих дней со дня ее регистрации.

109. В случае, если в компетенцию органа, предоставляющего государственную услугу, не входит принятие решения по поступившей жалобе в соответствии с пунктом 101 Административного регламента, в течение 3 рабочих дней со дня регистрации жалобы она направляется в уполномоченный на ее рассмотрение орган, и заявитель информируется в письменной форме о перенаправлении жалобы.

При этом срок рассмотрения жалобы исчисляется со дня регистрации жалобы в уполномоченном на ее рассмотрение органе.

110. В случае установления в ходе или по результатам рассмотрения жалобы признаков состава административного правонарушения, предусмотренного статьей 5.63 Кодекса Российской Федерации об административных правонарушениях, или признаков состава преступления должностное лицо, уполномоченное на рассмотрение жалоб, незамедлительно направляет соответствующие материалы в органы прокуратуры.

Перечень оснований для приостановления рассмотрения жалобы

111. Основания для приостановления рассмотрения жалобы отсутствуют.

Результат рассмотрения жалобы

112. По результатам рассмотрения жалобы органы исполнительной власти субъектов Российской Федерации принимают решение об удовлетворении жалобы либо об отказе в ее удовлетворении.

При удовлетворении жалобы орган, предоставляющий государственную услугу, принимает исчерпывающие меры по устранению выявленных нарушений, в том числе выдает заявителю результат государственной услуги не позднее 5 рабочих дней со дня принятия решения, если иное не установлено законодательством Российской Федерации.

В случае необходимости направления запроса срок рассмотрения жалобы может быть продлен по решению руководителя органа, предоставляющего государственную услугу, до поступления ответов на межведомственный запрос, срок подготовки которого не может превышать 5 рабочих дней.

Порядок информирования заявителя о результатах рассмотрения жалобы

113. Ответ по результатам рассмотрения жалобы направляется заявителю не позднее дня, следующего за днем принятия решения, в письменной форме.

114. В ответе по результатам рассмотрения жалобы указываются:

наименование органа, предоставляющего государственную услугу,

рассмотревшего жалобу, должность, фамилия, имя, отчество (при наличии) его должностного лица, принявшего решение по жалобе;

номер, дата, место принятия решения, включая сведения о должностном лице, решение и (или) действие (бездействие) которого обжалуется;

фамилия, имя, отчество (при наличии) или наименование заявителя;

основания для принятия решения по жалобе;

принятое по жалобе решение;

в случае, если жалоба признана обоснованной, - сроки устранения выявленных нарушений, в том числе срок предоставления результата государственной услуги;

сведения о порядке обжалования принятого по жалобе решения.

115. Ответ по результатам рассмотрения жалобы подписывается уполномоченным на рассмотрение жалобы специалистом органа исполнительной власти субъекта Российской Федерации либо органа, предоставляющего государственную услугу.

По желанию заявителя ответ по результатам рассмотрения жалобы может быть представлен не позднее рабочего дня, следующего за днем принятия решения, в форме электронного документа, подписанного электронной подписью уполномоченного на рассмотрение жалобы уполномоченного должностного лица органа исполнительной власти субъекта Российской Федерации или органа, предоставляющего государственную услугу, вид которой установлен законодательством Российской Федерации.

116. Орган, предоставляющий государственную услугу, отказывает в удовлетворении жалобы в следующих случаях:

наличие вступившего в законную силу решения суда по жалобе о том же предмете и по тем же основаниям;

подача жалобы лицом, полномочия которого не подтверждены в порядке, установленном законодательством Российской Федерации;

наличие решения по жалобе, принятого ранее в соответствии с требованиями данного раздела Административного регламента в отношении того же заявителя и по тому же предмету жалобы.

117. Орган, предоставляющий государственную услугу, вправе оставить жалобу без ответа в следующих случаях:

отсутствие в жалобе фамилии заявителя или почтового адреса, по которому должен быть направлен ответ;

наличие в жалобе нецензурных либо оскорбительных выражений, угроз жизни, здоровью и имуществу специалиста, а также членов его семьи;

отсутствие возможности прочитать какую-либо часть текста жалобы, фамилию, имя, отчество (при наличии) и (или) почтовый адрес заявителя, указанные в жалобе;

в жалобе содержится вопрос, на который заявителю неоднократно давались письменные ответы по существу в связи с ранее направляемыми обращениями (жалобами), и при этом в жалобе не приводятся новые доводы или обстоятельства.

Порядок обжалования решения по жалобе

118. В случае, если заявитель считает, что решением, принятым по результатам рассмотрения жалобы, нарушены его права и свободы, он вправе обратиться с жалобой на решение, принятое по результатам рассмотрения жалобы, к вышестоящим должностным лицам, в вышестоящие органы или суд.

Право заявителя на получение информации и документов, необходимых для обоснования и рассмотрения жалобы

119. Заявитель имеет право на получение информации и документов, необходимых для обоснования и рассмотрения жалобы.

Способы информирования заявителей о порядке подачи и рассмотрения жалобы

120. Информацию о порядке подачи и рассмотрения жалобы заявитель может получить:

на официальных сайтах в информационно-телекоммуникационной сети "Интернет" органа исполнительной власти субъекта Российской Федерации, органа, предоставляющего государственную услугу;

на Едином портале;

по справочным телефонам;

при личном приеме.

ПРИЛОЖЕНИЕ N 1
к Административному регламенту
предоставления государственной услуги
по государственной регистрации актов
гражданского состояния органами,
осуществляющими государственную
регистрацию актов гражданского состояния
на территории Российской Федерации

СВЕДЕНИЯ О МЕСТЕ НАХОЖДЕНИЯ, КОНТАКТНЫХ ТЕЛЕФОНАХ, АДРЕСАХ ЭЛЕКТРОННОЙ ПОЧТЫ ОРГАНОВ ИСПОЛНИТЕЛЬНОЙ ВЛАСТИ СУБЪЕКТОВ РОССИЙСКОЙ ФЕДЕРАЦИИ, В КОМПЕТЕНЦИЮ КОТОРЫХ ВХОДИТ ОРГАНИЗАЦИЯ ДЕЯТЕЛЬНОСТИ ПО ГОСУДАРСТВЕННОЙ РЕГИСТРАЦИИ АКТОВ ГРАЖДАНСКОГО СОСТОЯНИЯ НА ТЕРРИТОРИИ СУБЪЕКТОВ РОССИЙСКОЙ ФЕДЕРАЦИИ

N п/п Наименование органа исполнительной власти субъекта Российской Федерации Почтовый адрес Контактный телефон, адрес электронной почты
1 2 3 4
1 Управление записи актов гражданского состояния Республики Адыгея 385000, г. Майкоп,
ул. Крестьянская, д. 236
(877-2) 52-38-58,
zagsra@mail.ru
2 Комитет по делам записи актов гражданского состояния и архивов Республики Алтай 649000, Республика
Алтай,
г. Горно-Алтайск,
ул. Э. Палкина, д. 1
(388-22) 2-27-17,
archivra@mail.gomy.ru,
http://arhiv-ra.ru
3 Государственный комитет Республики Башкортостан по делам юстиции 450008, г. Уфа,
ул. Цюрупы, д. 38
(347) 273-89-84,218-10-31
oskomjust@bashkortostan.ru,
https://goskomjust.bashkortostan.ru
4 Управление ЗАГС Республики Бурятия 670034, г. Улан-Удэ,
ул. Красноармейская,
Д. 20
(301-2) 44-77-48,
info@zags.govrb.ru,
http://zags03.ru
5 Отдел записи актов гражданского состояния Министерства юстиции Республики Дагестан 367032, г. Махачкала,
ул. М. Гаджиева, д. 170
(872-2) 55-49-63,
zags.rd@yandex.ru,
http://minust.e-dag.ru
6 Государственная служба записи актов гражданского
состояния Республики Ингушетия
386101, г. Назрань,
пр-т И. Базоркина, д. 70
(873-2) 22-52-13,
zags@ingushetia.ru,
http://zags06.ru
7 Управление записи актов гражданского состояния Кабардино-Балкарской Республики 360004, г. Нальчик,
ул. Толстого, д. 180-А
(866-2) 72-22-03,
uzags@kbr.ru,
http://pravitelstvo.kbr.ru
8 Управление записи актов гражданского состояния Республики Калмыкия 358000, г. Элиста,
ул. Пушкина, д. 18
(847-22) 4-05-56, 3-42-48,
uzags08@mail.ru,
http://uzags.kalmregion.ru
9 Управление записи актов гражданского состояния Карачаево-Черкесской Республики 369000, г. Черкесск,
ул. Красноармейская,
д. 54
(878-2) 28-09-25,
uzagskchr@mail.ru,
http://zags09.ru
10 Управление записи актов гражданского состояния Республики Карелия 185010, г. Петрозаводск,
ул. Шотмана, д. 13
(814-2) 59-49-01, факс 78-28-47,
uprzaqs@sampo.ru,
uprzags@onego.ru,
http://www.gov.karelia.ru
11 Министерство юстиции Республики Коми 167000, г. Сыктывкар,
ул. Интернациональная,
д. 152
(821-2) 24-33-08,
just@minjust.rkomi.ru,
minjust.rkomi.ru
12 Департамент записи актов гражданского состояния Министерства юстиции Республики Крым 295000, Республика
Крым, г. Симферополь,
ул. Набережная,
им. 60-летия СССР, д. 28
(065-2) 52-88-26,
minjust.oodik@rk.gov.ru,
http://must.rk.gov.ru
13 Министерства юстиции Республики Марий Эл 424033, г. Йошкар-Ола,
наб. Брюгге, д. 2
(836-2) 45-34-56, 43-00-71,
minjust@mari-el.ru
http://mari-el.gov.ru/minjust
14 Республиканская службазаписи актов гражданского состояния Республики Мордовия 430003, г. Саранск,
ул. Федосеенко, д. 2 А
(834-2) 23-27-73,
zagsrm@e-mordovia.ru
http://www.e-mordovia.ru
15 Управление записи актов гражданского состояния при Правительстве Республики Саха (Якутия) 677018, г. Якутск,
ул. Аммосова, д. 8
(411-2) 42-38-25,
факс 42-53-53,
uprzags@sakha.gov.ru,
http://sakha.gov.ru/uprzags
16 Управление записи актов гражданского состояния Республики Северная Осетия - Алания 362001, г. Владикавказ,
ул. Первомайская, д. 32
(867-2) 52-49-01,
uzags-15@yandex.ru,
http://zags-15.ru
17 Управление записи актов гражданского состояния Кабинета Министров Республики Татарстан 420021, г. Казань,
ул. Ахтямова, д. 14
(884-3) 293-14-89,
zags@tatar.ru,
http://zags.tatarstan.ru
18 Управление записи актов гражданского состояния Республики Тыва (Агентство) 667000, г. Кызыл,
ул. Красноармейская,
д. 100, а/я 113
(394-22) 2-34-37; 2-26-05,
zags_tuva@mail.ru,
http://uzags.rtyva.ru
19 Комитет по делам записи актов гражданского состояния при Правительстве Удмуртской Республики 426051, г. Ижевск,
ул. М. Горького, д. 73
(341-2)51-25-60,
zagskom-priem@udmlink.ru,
http://zagskom.udmurt.ru
20 Комитет записи актов гражданского состояния при Правительстве Республики Хакасия 655019, г. Абакан,
Ленина пр., д. 67
(390-2) 299-259, 299-261,
zags@r-19.ru,
http://www.r-19.ru
21 Управление записи актов гражданского состояния Чеченской Республики 364015, г. Грозный,
ул. Д. Донского, д. 28
(871-2) 24-23-56, 24-23-57,
uzchr@rambler.ru,
http://zagschr.ru
22 Отдел ЗАГС Министерства юстиции Чувашской Республики 428032, г. Чебоксары,
ул. Ленинградская, д. 31
(835-2) 62-39-92, 64-20-78,
zags@cap.ru,
http://gov.cap.ru
23 Министерство юстиции Алтайского края 656062, г. Барнаул,
ул. Попова, д. 68
(358-2) 63-59-56, 63-70-62,
pri_kupav@mirsud.ab.ru
24 Департамент записи актов гражданского состояния Забайкальского края 672002, г. Чита,
ул. Амурская, д. 68
(302-2) 32-27-17, 26-23-11,
pochta@zags.e-zab.ru,
http://загс.забайкальскийкрай.рф
25 Агентство записи актов гражданского состояния Камчатского края 683009,
г. Петропавловск-
Камчатский,
пр. Циолковского, д. 52
(415-2) 26-26-21,26-16-33,
zags@kamgov.ru,
http://kamgov.ru/agzags
26 Управление записи актов гражданского состояния Краснодарского края 350010, г. Краснодар,
ул. Офицерская, д. 47
(861) 210-64-64,
210-64-65, 210-64-82,
uz@krasnpdar.ru,
http://kuban.uzags.ru
27 Агентство записи актов гражданского состояния Красноярского края 660009, г. Красноярск,
пр-т. Мира, д. 110
(391) 220-52-82,
inform@zags.4net.ru,
http://zags.krskstate.ru
28 Комитет записи актов гражданского состояния Пермского края 614045, г. Пермь,
ул. Советская, д. 53
(342)212-15-87,212-91-28,
comitet@zags.permkrai.ru,
http://zags.permkrai.ru
29 Департамент записи актов гражданского состояния Приморского края 690091, г. Владивосток,
ул. Адмирала Фокина,
Д. 18
(423) 240-62-82,
zags@primorsky.ru,
http://www.primorsky.ru
30 Управление записи актов гражданского состояния Ставропольского края 355017, г. Ставрополь,
ул. Мира, д. 337
(865-2) 23-20-31,23-20-72,
mail@stavzags.ru,
http://stavzags.ru
31 Комитет по делам записи актов гражданского состояния и архивов Правительства Хабаровского края 680002, г. Хабаровск,
ул. Фрунзе, д. 72
(421-2)31-56-49,31-54-74,
40-25-20, факс: 31-54-19,
komza@adm.khv.ru,
http://komza.khabkrai.ru
32 Управление записи актов гражданского состояния Амурской области 675000, г. Благовещенск,
переулок Святителя
Иннокентия, д. 6
(416-2) 52-24-31, Факс: 53-47-09,
zags@amurobl.ru,
http://www.amurobl.ru
33 Агентство записи актов гражданского состояния Архангельской области 163000, г. Архангельск,
пр. Троицкий, д. 49
(818-2) 20-14-00,
zags@dvinaland.ru,
http://arhzags.ru
34 Служба записи актов гражданского состояния Астраханской области 414040, г. Астрахань,
ул. Академика Королева,
д. 39 а
(851-2) 25-86-90
факс: 25-72-26,
zags@zags30.ru,
http://zags.astrobl.ru
35 Управление записи актов гражданского состояния Белгородской области 308007, г. Белгород,
ул. Мичурина, д. 56
(472-2) 20-01-38,
zags31@mail.ru,
http://www.zags31.ru
36 Управление записи актов гражданского состояния Брянской области 241050, г. Брянск,
ул. Фокина, д. 31
(483-2) 74-35-07,74-33-12,
dep@zagsbrk.ru,
http://zagsbrk.ru
37 Департамент записи актов гражданского состояния администрации Владимирской области 600017, г. Владимир,
ул. Луначарского, д. 3
(492-2) 35-40-32, 53-34-22,
dzags@avo.ru,
http://zags.avo.ru
38 Отдел ЗАГС Комитета юстиции Волгоградской области 400005, г. Волгоград,
пр-т им. В.И. Ленина,
д. 56 А
(844-2) 24-85-01,24-85-02,
30-70-71, 30-70-72,
zags1@volganet.ru
39 Управление ЗАГС Вологодской области 160000, г. Вологда,
Советский пр-т, д. 17
(817-2) 72-84-78,
zags@gov35.ru,
http://zags35.ru
40 Управление ЗАГС Воронежской области 394018, г. Воронеж,
пл. Ленина, д. 11
(473) 212-72-80,
zags@govvm.ru,
http://www.vmzags.ru
41 Комитет Ивановской области ЗАГС 153002, г. Иваново,
ул. Батурина, д. 13
(493-2) 30-88-80,
30-88-22, 41-66-81,
zags02@gov37.ivanovo.ru,
http://ivzags.ru
42 Служба записи актов гражданского состояния Иркутской области 664003 г. Иркутск,
ул. Киевская, д. 1
(395-2) 34-27-64
zags@govirk.ru,
http://irkobl.ru/sites/zags
43 ЗАГС (Агентство) Калининградской области 236006, г. Калининград,
Московский пр-т, д. 95
(401-2) 58-10-58,
53-19-26,58-18-58,
zags@gov39.ru,
http://zags.gov3 9.ru
44 Управление записи актов гражданского состояния Калужской области 248001, г. Калуга,
ул. Рылеева, д. 39,
(484-2) 57-39-46,
zags40@adm.kaluga.ru,
http://www.admoblkaluga.ru/sub/zags
45 Управление записи актов гражданского состояния Кемеровской области 650064, г. Кемерово,
пр-т Советский, д. 58
(384-2)36-69-17,
36-57-90, 36-45-58,
pochta@kuzbass-zags.ru,
http://www.kuzbass-zags.ru
46 Министерство юстиции Кировской области 610019, г. Киров,
ул. К. Либкнехта, д. 69
(833-2) 64-96-28,38-15-53,
zags@ako.kirov.ru,
http://минюст43.рф
47 Управление записи актов гражданского состояния Костромской области 156026, г. Кострома,
ул. Привокзальная,
д. 16а
(494-2) 42-44-24,42-17-71,
zags@adm44.ru,
http://zags.adm44.ru
48 Управление записи актов гражданского состояния Курганской области 640000, г. Курган,
ул. Советская, д. 98
(352-2) 46-27-12,
zags@kurganobl.ru,
http://zags.kurganobl.ru
49 Комитет записи актов гражданского состояния Курской области 305002, г. Курск,
ул. Марата, д. 9
(471-2) 70-07-68,
kom.zags@rkursk.ru,
http://kurskzags.ru
50 Управление записи актов гражданского состояния Ленинградской области 191311,
г. Санкт-Петербург,
ул. Смольного, д. 3
(812) 577-47-76, 577-47-91,
zags@lenreg.ru,
http://zags.lenobl.ru
51 Управление записи актов гражданского состояния и архивов Липецкой области 398050, г. Липецк,
пл. Ленина-Соборная, д. 3
(474-2) 27-74-30,
zags@admlr.lipetsk.ru,
http://uzags.com
52 Агентство записи актов гражданского состояния Министерства государственно-правового развития Магаданской области 685000, г. Магадан,
ул. Горького, д. 6
(413-2) 62-54-41,62-25-53,
mgpr@49gov.ru
http://mgpr.49gov.ru
53 Главное управление записи актов гражданского состояния Московской области 127051, г. Москва,
Средний Каретный
переулок, д. 7, стр. 1
(495) 694-20-07, 694-13-98,
zags@mosreg.ru,
http://zags.mosreg.ru
54 Сектор ЗАГС Министерства юстиции Мурманской области 183006, г. Мурманск,
пр. Ленина, д. 75
(815-2) 48-64-53,
minjust@gov-murman.ru,
http://minjust.gov-murman.ru
55 Главное управление записи актов гражданского состояния Нижегородской области 603950, Нижний
Новгород,
ул. Кожевенная, д. 1 а
(831)437-38-67,
official@zags.kreml.nnov.ru,
http://zags.govemment-nnov.ru
56 Комитет записи актов гражданского состояния и организационного обеспечения деятельности мировых судей Новгородской области 173016, г. Великий
Новгород,
ул. Менделеева, д. 4
(816-2)948-633,732-691,
zags-oodms@yandex.ru,
http://www.zagsnov.ru
57 Управление по делам записи актов гражданского состояния Новосибирской области 630011, г. Новосибирск,
Красный пр-т, д. 18
(383) 223-76-33,
zags@nso.ru,
http://www.zags.nso.ru
58 Управление записи актов гражданского состояния Главного государственно-правового управления Омской области 644033, г. Омск,
ул. Красный Путь, д. 137
(381-2) 24-64-10, 25-46-23,
zags@omskportal.ru,
http://ggpu.omskportal.ru
59 Комитет по вопросам записи актов гражданского состояния Оренбургской области 460018, г. Оренбург,
ул. Степна Разина, д. 207
(353-2) 56-14-06,
56-05-14, 56-12-23,
zags@mail.orb.ru,
http://zagsorb.ru
60 Управление записи актов гражданского состояния Орловской области 302040, г. Орел,
ул. Ломоносова, д. 6
(486-2) 59-89-29,
slu@adm.orel.ru,
http://uprzags57.ru
61 Управление записи актов гражданского состояния Пензенской области 440000 г. Пенза,
ул. Московская, д. 69
(841-2) 52-55-84,
upr_zags@sura.ru,
http://zags.pnzreg.ru
62 Главное государственное управление юстиции Псковской области 180007, г. Псков,
ул. Пароменская,
д. 21/33
(811-2) 59-52-02,
info@justice.pskov.ru,
http://justice.pskov.ru
63 Управление ЗАГС Ростовской области 344002, г. Ростов-на-
Дону, ул. Пушкинская,
д. 91/70
(863) 240-96-72,
факс. 240-95-98,
zagsro@donpac.ru,
http://zagsro.donland.ru
64 Главное управление записи актов гражданского состояния Рязанской области 390000, г. Рязань,
ул. Полонского, д. 1/54
(491-2)21-76-10,21-58-75,
zags@mail.ryazan.ru,
https://zags.ryazangov.ru
65 Управление записи актов гражданского состояния Самарской области 443041, г. Самара,
ул. Ленинская, д. 168
(846) 276-05-01,
zags@samregion.ru,
http://www.zags63.ru
66 Управление по делам записи актов гражданского состояния Правительства Саратовской области 410012, г. Саратов,
ул. Московская, д. 102
(845-2) 26-00-78,
saratov-zags@mail.ru,
http://zags.saratov.gov.ru
67 Агентство записи актов гражданского состояния Сахалинской области 693020, г. Южно-Сахалинск,
ул. Дзержинского, д. 23
(424-2)-43-69-72,
up_zags@adm.sakhalin.ru,
http://zags.admsakhalin.ru
68 Управление записи актов гражданского состояния Свердловской области 620031, г. Екатеринбург,
площадь Октябрьская,
Д. 1
(343) 251-65-90,
факс 251-61-61,
zags@egov66.ru,
http://zags.midural.ru
69 Главное управление записи актов гражданского состояния Смоленской области 214000 г. Смоленск,
ул. Октябрьской
революции,
д. 14 а
(481-2) 38-10-87,
факс 38-76-76,
zags@admin-smolensk.ru,
http://zags.admin-smolensk.ru
70 Отдел записи актов гражданского состояния Тамбовской области 392000, г. Тамбов,
ул. Советская, д. 118
(475-2)-72-35-62, 72-40-29,
post@zags.tambov.gov.ru,
http://zags.tmbreg.ru
71 Отдел записи актов гражданского состояния Тверской области 170100, г. Тверь,
ул. Советская, д. 11 а
(482-2) 34 65 56,
obl.zags.tver@mail.ru,
http://www.oblzags.tver.ru
72 Департамент записи актов гражданского состояния Томской области 634009, г. Томск,
ул. Р. Люксембург,
д. 18 а
(382-2)51-42-99,
zags@tomsk.gov.ru,
http://zags.tomsk.gov.ru
73 Комитет Тульской области по делам записи актов гражданского состояния 300041, г. Тула,
пр-т Ленина, д. 2
(487-2) 79-40-88, 79-40-89,
KOMTOZAGS@tularegion.ru,
http://zagsi.tularegion.ru
74 Управление записи актов гражданского состояния Тюменской области 625003, г. Тюмень,
ул. Республики, д. 24
(345-2) 55-66-99, факс 46-52-86,
Upr_zags@72to.ru,
https://admtyumen.ru
75 Агентство записи актов гражданского состояния Ульяновской области 432700, г. Ульяновск,
ул. Ленина, д. 83
(842-2) 58-44-57, факс 58-44-60,
zags@ulgov.ru,
http://zags.ulgov.ru
76 Государственный комитет по делам ЗАГС Челябинской области 454091, г. Челябинск,
ул. Советская, д. 65
(351) 266- 64-96, факс 264-55-29,
zags@e-chel.ru,
http://www.gk74.ru
77 Управление ЗАГС Правительства Ярославской области 150054, г. Ярославль,
ул. Чехова, д. 5
(485-2)39-02-55,
oblzags@region.adm.yar.ru,
http://yarregion.ru/depts/zags
78 Управление записи актов гражданского состояния города Москвы 119019, г. Москва,
ул. Новый Арбат, д. 21
(495) 697-52-46, факс 691-23-96,
zags@mos.ru,
http://zags.mos.ru
79 Комитет по делам записи актов гражданского состояния Правительства Санкт-Петербурга 191015, г. Санкт-
Петербург,
ул. Таврическая, д. 39
(812) 271-79-43,
kzags@gov.spb.ru,
http://kzags.gov.spb.ru
80 Управление записи актов гражданского состояния Правительства города Севастополя 299011, г. Севастополь,
ул. Очаковцев, д. 2
(369-2)55-51-72, 55-06-18,
zagssevas@mail.ru,
http://zags.sev.gov.ru
81 Управление записи актов гражданского состояния Правительства Еврейской автономной области 679016, Еврейская
автономная область,
г. Биробиджан,
пр-т 60-летия СССР,
д. 26
(426-22) 2-13-42,
zags@post.eao.ru,
http://www.eao.ru
82 Отдел записи актов гражданского состояния Аппарата администрации Ненецкого автономного округа 166000, Ненецкий
автономный округ,
г. Нарьян-Мар,
ул. Победы, д. 8
(818-53) 4-22-76, 4-22-10,
naozags@atnet.ru,
http://admin.adm-nao.ru
83 Управление записи актов гражданского состояния Аппарата Губернатора Ханты-Мансийского автономного округа - Югры 628006 Ханты-
Мансийский
автономный округ -
Югра,
г. Ханты-Мансийск,
ул. Ленина, д. 40
(346-7) 301-005,
301-002; 301-004,
uzags@admhmao.ru,
http://www.stategovemor.admhmao.ru
84 Отдел ЗАГС и архивов Организационного управления Аппарата Губернатора и Правительства Чукотского автономного округа 689000, Чукотский
автономный округ,
г. Анадырь,
ул. Беринга, д. 20
(427-22) 6-90-05,
admin87chao@chukotka-gov.ru,
http://чукотка.рф
85 Служба записи актов гражданского состояния Ямало-Ненецкого автономного округа 629007, Ямало-
Ненецкий автономный
округ, г. Салехард,
ул. Свердлова, д. 4
(349-22) 3-34-88, 3-75-32,
4-47-51,4-58-57, 375-33,
zags@szags.yanao.ru,
http://zags.gov.yanao.ru
86 Отдел ЗАГС администрации г. Байконура (Российская Федерация) 468320, г. Байконур,
ул. 8 Марта, д. 8
(336-22) 4-00-21,4-12-07,
zagsbaikonur@yandex.ru

ПРИЛОЖЕНИЕ N 2
к Административному регламенту
предоставления государственной услуги
по государственной регистрации актов
гражданского состояния органами,
осуществляющими государственную
регистрацию актов гражданского состояния
на территории Российской Федерации

БЛОК-СХЕМЫ ПРЕДОСТАВЛЕНИЯ ГОСУДАРСТВЕННОЙ УСЛУГИ ПО ГОСУДАРСТВЕННОЙ РЕГИСТРАЦИИ АКТОВ ГРАЖДАНСКОГО СОСТОЯНИЯ ОРГАНАМИ, ОСУЩЕСТВЛЯЮЩИМИ ГОСУДАРСТВЕННУЮ РЕГИСТРАЦИЮ АКТОВ ГРАЖДАНСКОГО СОСТОЯНИЯ НА ТЕРРИТОРИИ РОССИЙСКОЙ ФЕДЕРАЦИИ

Блок-схема N 1
предоставления государственной услуги по регистрации рождения

Блок-схема N 2
предоставления государственной услуги по регистрации заключения брака

Блок-схема N 3
предоставления государственной услуги по регистрации расторжения брака (по взаимному согласию супругов в соответствии со статьей 33 Федерального закона и по заявлению одного из супругов в соответствии со статьей 34 Федерального закона)

Блок-схема N 3.1
предоставления государственной услуги по регистрации расторжения брака (на основании решения суда в соответствии со статьей 35 Федерального закона)

Блок-схема N 4
предоставления государственной услуги по регистрации усыновления

Блок-схема N 5
предоставления государственной услуги по регистрации установления отцовства

Блок-схема N 6
предоставления государственной услуги по регистрации перемены имени

Блок-схема N 7
предоставления государственной услуги по регистрации смерти

Блок-схема N 8
предоставления государственной услуги по внесению исправлений и изменений в записи актов по заявлениям граждан о внесении исправлений и изменений в записи актов гражданского состояния (по результатам рассмотрения которого составляется заключение органа, предоставляющего государственную услугу)

Блок-схема N 8.1
предоставления государственной услуги по внесению исправлений или изменений в записи актов без составления заключения органа, предоставляющего государственную услугу

Блок-схема N 9
предоставления государственной услуги по выдаче повторных свидетельств (справок)

Блок-схема N 10
предоставления государственной услуги по восстановлению записи акта

Блок-схема N 11
предоставления государственной услуги по аннулированию записи акта