Постановление Госгортехнадзора РФ от 06.06.2003 N 74

"Об утверждении "Инструкции по маркшейдерскому учету объемов горных работ при добыче полезных ископаемых открытым способом"
Редакция от 24.01.2018 — Документ утратил силу, см. «Постановление Правительства РФ от 06.08.2020 N 1192»
Показать изменения

Зарегистрировано в Минюсте РФ 17 июня 2003 г. N 4700


ФЕДЕРАЛЬНЫЙ ГОРНЫЙ И ПРОМЫШЛЕННЫЙ НАДЗОР РОССИИ

ПОСТАНОВЛЕНИЕ
от 6 июня 2003 г. N 74

ОБ УТВЕРЖДЕНИИ "ИНСТРУКЦИИ ПО МАРКШЕЙДЕРСКОМУ УЧЕТУ ОБЪЕМОВ ГОРНЫХ РАБОТ ПРИ ДОБЫЧЕ ПОЛЕЗНЫХ ИСКОПАЕМЫХ ОТКРЫТЫМ СПОСОБОМ"

(в ред. Приказа Ростехнадзора от 24.01.2018 N 32)

Госгортехнадзор России постановляет:

1. Утвердить "Инструкцию по маркшейдерскому учету объемов горных работ при добыче полезных ископаемых открытым способом".

2. Направить "Инструкцию по маркшейдерскому учету объемов горных работ при добыче полезных ископаемых открытым способом" на государственную регистрацию в Министерство юстиции Российской Федерации.

Начальник
Госгортехнадзора России
В. КУЛЬЕЧЕВ

ИНСТРУКЦИЯ ПО МАРКШЕЙДЕРСКОМУ УЧЕТУ ОБЪЕМОВ ГОРНЫХ РАБОТ ПРИ ДОБЫЧЕ ПОЛЕЗНЫХ ИСКОПАЕМЫХ ОТКРЫТЫМ СПОСОБОМ

(в ред. Приказа Ростехнадзора от 24.01.2018 N 32)

I. Общие положения

1. Инструкция по маркшейдерскому учету объемов горных работ при добыче полезных ископаемых открытым способом разработана с учетом требований Закона Российской Федерации "О недрах" от 21.02.1992 N 2395-1 (Ведомости Съезда народных депутатов Российской Федерации, 1992, N 316, ст. 834), Федерального закона от 21.07.1997 N 116-ФЗ "О промышленной безопасности опасных производственных объектов" (Собрание законодательства Российской Федерации, 1997, N 30, ст. 3588), Положения о лицензировании деятельности по производству маркшейдерских работ, утвержденного Постановлением Правительства Российской Федерации от 04.06.2002 N 382 (Собрание законодательства Российской Федерации, 2002, N 23, ст. 2182), Правил организации и осуществления производственного контроля за соблюдением требований промышленной безопасности на опасном производственном объекте, утвержденных Постановлением Правительства Российской Федерации от 10.03.1999 N 263 (Собрание законодательства Российской Федерации, 1999, N 11, ст. 1305), Положения о Федеральном горном и промышленном надзоре России, утвержденного Указом Президента Российской Федерации от 03.12.2001 N 841 (Собрание законодательства Российской Федерации, 2001, N 50, ст. 4742).

2. Инструкция устанавливает технические требования по охране недр при производстве маркшейдерских работ при разработке месторождений полезных ископаемых открытым способом в части учета объемов горных работ, включая объемы вынутых горных пород, заскладированных полезных ископаемых, размещенных в отвалах, пород вскрыши и др.

3. Требования Инструкции являются обязательными для организаций независимо от их организационно-правовых форм собственности (далее - организаций), индивидуальных предпринимателей, осуществляющих составление и реализацию проектов по разработке месторождений полезных ископаемых открытым способом на территории Российской Федерации и в пределах ее континентального шельфа и морской исключительной экономической зоны Российской Федерации.

4. В соответствии со статьей 22 Закона Российской Федерации "О недрах" пользователь недр обязан обеспечить:

- соблюдение требований законодательства, а также утвержденных в установленном порядке стандартов (норм, правил) по технологии ведения работ, связанных с пользованием недрами, и при первичной переработке минерального сырья;

- соблюдение требований технических проектов, планов и схем развития горных работ, недопущение сверхнормативных потерь, разубоживания и выборочной отработки полезных ископаемых;

- ведение геологической, маркшейдерской и иной документации в процессе всех видов пользования недрами и ее сохранность;

- безопасное ведение работ, связанных с пользованием недрами;

- соблюдение утвержденных в установленном порядке стандартов (норм, правил), регламентирующих условия охраны недр, атмосферного воздуха, земель, лесов, вод, а также зданий и сооружений от вредного влияния работ, связанных с пользованием недрами;

- приведение участков земли и других природных объектов, нарушенных при пользовании недрами, в состояние, пригодное для их дальнейшего использования.

5. В соответствии со статьей 23 Закона Российской Федерации "О недрах" основными требованиями по рациональному использованию и охране недр являются:

- обеспечение наиболее полного извлечения из недр запасов основных и совместно с ними залегающих полезных ископаемых и попутных компонентов;

- достоверный учет извлекаемых и оставляемых в недрах запасов основных и совместно с ними залегающих полезных ископаемых и попутных компонентов при разработке месторождений полезных ископаемых.

6. В соответствии с пунктом 2 "Положения о лицензировании деятельности по производству маркшейдерских работ" производство маркшейдерских работ включает: пространственно-геометрические измерения горных разработок и подземных сооружений, определение их параметров, местоположения и соответствия проектной документации; наблюдения за состоянием горных отводов и обоснование их границ; ведение горной графической документации; учет и обоснование объемов горных разработок; определение опасных зон и мер охраны горных разработок, зданий, сооружений и природных объектов от воздействия работ, связанных с пользованием недрами.

7. Технические проекты на пользование участками недр, согласуемые Госгортехнадзором России или его территориальными органами (далее - органами Госгортехнадзора России), могут состоять из технико-экономических обоснований, проектов разработки месторождений полезных ископаемых, проектов производства маркшейдерских работ, иной проектной документации на пользование участками недр и соответствующих технических заданий на проектирование (далее - проектная документация).

8. При ведении маркшейдерского учета объемов горных работ при добыче полезных ископаемых открытым способом обеспечивается достоверный учет запасов полезных ископаемых. При необходимости проводится экспертиза охраны недр. Маркшейдерский учет осуществляется организацией (индивидуальным предпринимателем), имеющей лицензию на производство маркшейдерских работ.

9. Объемы вынутых горных пород по вскрыше и добыче (далее - горные породы) определяются в тех единицах измерения, в которых их планируют и учитывают.

10. Особенности маркшейдерского учета объемов горных работ применительно к конкретным горно-геологическим условиям и технологии производства горных работ учитываются в проектной документации или в проектах производства маркшейдерских работ.

11. При годовой производительности карьера 1 млн т и больше рекомендуется применять взвешивающие устройства для учета добытого и реализованного полезного ископаемого и для оперативного учета объемов вынутых пород вскрыши. В зависимости от принятых методов оперативного учета и маркшейдерской съемки в проектной документации предусматривается обеспечение соответствующих служб карьера техническими средствами, помещениями, транспортом и кадрами, необходимое для ведения достоверного учета запасов полезных ископаемых.

12. Маркшейдерская съемка горных выработок и подсчет по ее результатам объемов вынутых взорванных горных пород могут осуществляться не превышая значений следующих допустимых погрешностей (двойной средней квадратической погрешности):

- при маркшейдерской съемке уступов допустимая погрешность (%) определения объема по формуле:

(1.1)

где V - объем вынутых горных пород, приведенный к объему в целике, м3.

Формула (1.1) используется при объемах от 20 до 2000 тыс. м3. Если объем больше 2000 тыс. м3, то принимают = 1%; если объем меньше 20 тыс. м3, то методика съемки горных выработок и вычисления объемов устанавливаются с таким расчетом, чтобы погрешность не превышала 10%;

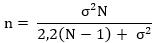
- при определении объема вынутых (взорванных) горных пород в разрыхленном состоянии по маркшейдерской съемке и перевычислении его в объем в целике через коэффициент разрыхления этих пород допустимая погрешность (%) вычисляется по формуле:

(1.2)

где V - объем вынутых (взорванных) горных пород, приведенный к объему в целике, м3.

Формула (1.2) используется при объемах от 45 до 2200 тыс. м3. Если объем больше 2200 тыс. м3, то принимают = 1,5%; если объем меньше 45 тыс. м3, то методика съемки и вычисления объемов, а также определения коэффициента разрыхления устанавливается с таким расчетом, чтобы погрешность не превышала 10%.

Допустимую погрешность, определенную по формуле (1.1) или (1.2), используют для вычисления допустимой разности между объемом горных пород, найденным по контрольному подсчету, и объемом, принятым в отчетах, а также для обоснования новых способов съемки и подсчета объемов. На эту погрешность корректировать объем, определенный по маркшейдерской съемке, не допускается.

13. Методы учета добычи и вскрыши по числу отгруженных транспортных сосудов и средней массе (объему) полезного ископаемого (пород, вскрыши) в одном сосуде или по результатам взвешивания всех транспортируемых горных пород могут применяться при определении объема горных работ с погрешностью не более 5%. Если указанная точность не обеспечивается, то результаты оперативного учета используют только для приведения к объемам, определенным по маркшейдерским данным на начало и конец отчетного периода.

14. На действующем и строящемся карьере, разрезе, ином объекте по добыче полезных ископаемых открытым способом (далее - карьер) объемы вынутых горных пород определяют по маркшейдерской съемке или по данным оперативного учета, руководствуясь следующими требованиями:

- при применении на карьере технологической схемы разработки, позволяющей определять объем вынутых за месяц горных пород в целике непосредственно по маркшейдерской съемке, объем определяется как по съемке, так и по данным оперативного учета;

- при разработке горных пород с предварительным рыхлением взрывом на зачищенный откос уступа с последующей отгрузкой больше чем за месяц объем вынутых за месяц горных пород принимается по данным оперативного учета;

- в случаях, когда применяемые на карьере методы оперативного учета не обеспечивают необходимой точности, объемы вынутых горных пород определяются по маркшейдерской съемке.

15. Объем вынутых за месяц горных пород можно принять по данным оперативного учета с последующей корректировкой по маркшейдерскому замеру.

16. Корректировка учитываемых по результатам маркшейдерской съемки или данным оперативного учета объемов добычи по выходу продукции обогатительных фабрик или других перерабатывающих производств не допускается.

17. Количество балласта и снега, вывозимого из карьера вместе с горными породами, определяется в порядке, установленном пользователем недр по согласованию с органами Госгортехнадзора России. Балласт и снег, вывезенные из карьера, в объемы по вскрыше и добыче не включаются.

Положения пункта 17 не подлежат применению в части согласования с органами Госгортехнадзора порядка определения количества балласта и снега, вывозимого из карьера вместе с горными породами (Приказ Ростехнадзора от 24.01.2018 N 32)

18. В заполняемой маркшейдерской службой карьера книге учета движения горной массы отражаются следующие данные по выемочным единицам, горизонтам, участкам, карьеру:

- объемы вынутых горных пород, определенные по маркшейдерской съемке;

- данные оперативного учета, принятые для приведения объемов горных пород, определенных по маркшейдерской съемке, к началу и к концу отчетного периода;

- объемы взорванных горных пород на уступах, перевычисленные в объемы в целике, и принятые при пересчете коэффициенты разрыхления;

- объемы взорванных горных пород на уступах, оставленные от предыдущего взрыва, приведенные к объему в целике, и принятые при пересчете коэффициенты разрыхления;

- масса добытого полезного ископаемого и его плотность в целике, если эти сведения используются для получения отчетных данных;

- объемы вынутых горных пород, определенные по контрольному маркшейдерскому подсчету, и результаты сравнения этих объемов с отчетными данными.

19. Организация взаимодействия между техническими службами карьера (маркшейдерской, геологической и др.) по учету объемов горных пород, включая маркшейдерские съемки, определение плотности горных пород в целике и на складе, оперативный учет и др. устанавливается положениями о маркшейдерской и геологической службах, проектной документации.

II. Подсчет объемов горных пород по маркшейдерской съемке

20. Объемы вынутых (взорванных) горных пород подсчитываются способами среднего арифметического, горизонтальных и вертикальных сечений, объемной палетки и другими, обеспечивающими необходимую точность. При выборе способа учитывается технология разработки и вид съемки горных выработок.

При условии, когда технологическая схема разработки позволяет определять объемы горных пород, приведенные к объему в целике, непосредственно по съемке уступов, объемы можно подсчитывать способом среднего арифметического. Этот способ не применяется, если верхняя или нижняя площадка уступа в пределах заходки имеет поперечный уклон более 0,015. Объемы подсчитываются способом горизонтальных сечений при нанесении на план горных выработок бровки уступа и промежуточного сечения.

Объемы горных пород, определенных по тахеометрической съемке, подсчитываются способом вертикальных сечений, по стереофотограмметрической съемке - одним из перечисленных выше способов, кроме способа среднего арифметического.

Способ объемной палетки можно применять для подсчета объема взорванных горных пород, если они изображены на плане в проекции с числовыми отметками, а также для подсчета объема вынутых горных пород, если заходка имеет неправильные, сложные контуры и поверхности.

Автоматизированный подсчет объемов горных пород применяется при помощи программных продуктов, обеспечивающих необходимую точность.

21. Объемы горных пород подсчитываются способами среднего арифметического и горизонтальных сечений по формуле:

(2.1)

где

V - объем экскаваторной заходки (слоя или блока), м3; , - площади сечений, соответственно по верхним и нижним бровкам, м2; - средняя высота заходки, м.

При подсчете объемов горных пород способом среднего арифметического среднюю высоту заходки вычисляют по формуле:

(2.2)

где и - сумма отметок соответственно по верхним и нижним бровкам; и - число реечных точек по этим бровкам.

22. Способ среднего арифметического не применяется, если кроме бровок уступов снимаются дополнительные точки на рабочих площадках или откосах уступов.

23. Объемы горных пород подсчитываются способом вертикальных сечений по формуле:

(2.3)

где , - площади сечений на границах вынутой заходки, м2; , ,..., - площади промежуточных сечений, м2; , , ..., - расстояния между сечениями, м.

Если расстояния между сечениями одинаковые, формула имеет вид:

(2.4)

где a - расстояние между сечениями; S - площади промежуточных сечений; n - число сечений.

Объем тела между смежными непараллельными сечениями подсчитывается по формуле:

(2.5)

где , - площади сечений, м2; , - расстояния от центра тяжести соответствующего сечения до линии пересечения сечений, м; - угол между сечениями (...°); = 57,3 - число градусов в радиане.

24. Способ объемной палетки применяется, если размеры участка выемки в плане значительно превышают среднюю вынимаемую мощность. Объем подсчитывают по формуле 2.6 или 2.7:

(2.6)

где S - площадь прямоугольника палетки, м2; - сумма высот вынутого слоя в вершинах палетки, попадающих внутрь контура и на контур выемки, м; - сумма высот вынутого слоя в вершинах палетки, попадающих на контур выемки или расположенных от него на расстоянии менее половины стороны прямоугольника палетки:

(2.7)

где S - площадь прямоугольника палетки, м2; n - число прямоугольников в пределах подсчитываемого контура; - высота слоя вынутых (взорванных) пород в каждой вершине прямоугольника, м.

Размеры сторон прямоугольников палетки принимаются равными 5 - 10 мм. Число прямоугольников палетки в контуре подсчета объемов принимается равным 15.

25. При взрыве на зачищенный откос уступа, включая метод каскадного взрывания, объем вынутых (взорванных) горных пород и коэффициенты разрыхления пород определяются:

- по результатам съемки, выполненной до взрыва и после отгрузки взорванных горных пород, подсчитывается объем горных пород части уступа, разрабатываемой с применением рыхления горных пород взрывом при многорядном расположении скважин, ограниченной по длине крайними взрывными скважинами, по ширине - откосом и последним рядом скважин (далее - блок), в целике, по которому контролируются соответствующие данные оперативного учета;

- по съемке, выполненной после взрыва и после отгрузки взорванных горных пород, подсчитывается объем , затем вычисляется коэффициент разрыхления горных пород блока по формуле:

(2.8)

При невозможности определения коэффициента разрыхления после взрыва рекомендуется пользоваться средним коэффициентом разрыхления, выведенным в результате его расчетов как минимум из 25 значений.

Полученные данные заносятся в книгу учета движения горной массы и используются при контрольных подсчетах объемов.

По результатам определения объема вынутых горных пород по маркшейдерским данным, в том числе по съемке, выполненной до взрыва, подсчитывается объем блока в целике. При этом контур блока со стороны массива проводится по последнему ряду взрывных скважин и проектному заложению откоса, которое при необходимости проверяется опытным путем.

По съемке, выполненной после взрыва, подсчитывается объем взорванных горных пород блока. Затем вычисляется поправка к объему за обобщение формы этого контура (откоса) по формуле:

(2.9)

где h - средняя высота блока (уступа), м; L - длина блока, м.

Исправленный объем взорванных горных пород подсчитывается по формуле:

(2.10)

После этого вычисляется коэффициент разрыхления пород блока по формуле (2.8).

Вынутый за месяц объем взорванных горных пород перевычисляется в объем в целике, при следующих условиях.

При тахеометрическом способе съемки объем первой заходки подсчитывается по способу вертикальных сечений. К подсчитанному объему прибавляют поправку за обобщение второго откоса этой заходки, вычисленную по формуле (2.11).

При съемке, выполненной стереофотограмметрическим способом, и когда оба откоса изображены на плане горных выработок горизонталями, поправку за обобщение откоса не учитывают.

Для приведения объема взорванных горных пород первой заходки к объему в целике коэффициент разрыхления принимают по опыту или на 10% больше значения , вычисленного по формуле (2.8). Для остальных заходок блока используют коэффициент разрыхления , который вычисляют по формуле:

(2.11)

где , - веса коэффициентов разрыхления соответственно и ; - объем взорванных горных пород первой заходки блока, м3; - объем взорванных горных пород остальной части блока, м3.

26. При предварительном рыхлении горных пород взрывом на неубранную горную массу объем вынутых горных пород блока определяется за период между двумя съемками, выполненными перед каждым очередным взрывом.

Перед взрывом по данным маркшейдерской съемки определяется объем оставленных от предыдущего взрыва горных пород. По съемке после каждого взрыва подсчитывается объем взорванных горных пород блока. При определении объема остатков взорванных пород и объема вновь взорванных горных пород подсчитывается в порядке, установленном пунктом 25 настоящей Инструкции.

Коэффициент разрыхления горных пород блока вычисляется по формуле:

(2.12)

где и - объем горных пород блока соответственно в целике и в разрыхленном состоянии, м3; - объем взорванных горных пород, оставленных от предыдущего взрыва, м3.

Объем горных пород блока в целике подсчитывается по формуле:

(2.13)

где - объем горных пород массива, подлежащий рыхлению взрывом, который ограничен в плане, с одной стороны, контактом между остатками взорванных горных пород и массивом, с другой - последним рядом взрывных скважин и проектным заложением откоса.

Для остатков взорванных горных пород коэффициент разрыхления вычисляется по формуле:

(2.14)

где - коэффициент разрыхления для горных пород блока, раздробленных предыдущим взрывом.

По съемкам, выполненным перед каждым взрывом, определяется объем горных пород по видимым в натуре контурам и объем вынутых горных пород, приведенный к объему в целике, за период между двумя съемками по формуле:

(2.15)

Поправка за остатки взорванных горных пород на конечную и начальную даты съемки вычисляется по формуле:

(2.16)

где и - объемы остатков взорванных горных пород соответственно на конечную и начальную даты съемки, м3; и - соответствующие этим объемам коэффициенты разрыхления.

При необходимости временного определения коэффициенты разрыхления для приведения объемов разрыхленных пород по отдельным заходкам блока к объемам в целике вычисляют следующим образом:

коэффициент разрыхления для первой заходки принимается - ;

для остатков пород, разрыхленных предыдущим взрывом, коэффициент разрыхления принимается - ;

- для второй и последующих заходок блока коэффициент разрыхления вычисляется по формуле:

(2.17)

где , и - веса коэффициентов разрыхления соответственно , и ; - коэффициент разрыхления горных пород блока, вычисленный по формуле (2.12).

27. Частные значения коэффициента разрыхления принимаются исходя из условия:

(2.18)
при  

28. При определении объемов горных работ по маркшейдерской съемке уступов и возможности заснять контакты между породами вскрыши и полезным ископаемым эти объемы подсчитываются раздельно. В иных случаях по маркшейдерской съемке находится общий объем вынутой горной массы, который разделяется на объемы вскрыши и добычи пропорционально результатам оперативного учета.

При взвешивании добытых полезных ископаемых их объем в целике подсчитывается по массе и плотности добытого полезного ископаемого; объем по вскрыше подсчитывается как разность между объемом горных пород (горной массы) в целике, определенным по маркшейдерской съемке, и объемом добытого полезного ископаемого в целике.

29. При несовпадении даты съемки с началом или концом отчетного периода объем вынутых горных пород подсчитывается по формуле:

(2.19)

где V, , , - объемы горных пород, м3; V - принимаемый к учету, - вынутый, определенный по маркшейдерской съемке, - вынутый за время между датой съемки и концом отчетного периода, - вынутый за время между датой предыдущей съемки и началом отчетного периода.

Объемы и принимаются на основании данных оперативного учета.

III. Определение объемов горных пород по результатам взвешивания

30. При организации на карьере оперативного учета с применением взвешивающих устройств их тип и количество выбираются с учетом вида карьерного транспорта, грузоподъемности транспортных сосудов и числа направлений грузопотоков. При необходимости предусматривают выборочное взвешивание и меры, обеспечивающие достоверный учет числа отгруженных транспортных сосудов.

31. При определении объемов вынутых горных пород вскрыши и добычи по результатам взвешивания допустимая погрешность массы горных пород принимается не более 3%; допустимая погрешность среднего значения плотности горных пород в целике по заходке, вынутой за месяц, принимается не более 4%.

32. При выборочном взвешивании транспортных сосудов выбираются данные о предельных недогрузе и перегрузе относительно среднего значения. Предельные отклонения принимаются не свыше 20% от среднего значения, число отклонений от 10 до 20% от среднего значения принимается не более 5 случаев из 100.

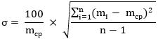
33. При взвешивании всех транспортных сосудов вычисляется коэффициент вариации (%) массы горных пород в одном сосуде по формуле:

(3.1)

где - масса горных пород в i-м сосуде, т; - среднее значение массы горных пород в одном транспортном сосуде, т; n - число взвешенных транспортных сосудов.

Если 10 %, то число транспортных сосудов, необходимое для выборочной обработки при контроле, можно рассчитать по формуле:

(3.2)

где N - общее число взвешенных транспортных сосудов.

34. Масса порожнего транспортного сосуда (тары) определяется по результатам взвешивания каждого транспортного сосуда до загрузки (после разгрузки); по среднему значению, вычисленному по данным выборочного взвешивания, не менее 20 порожних транспортных сосудов каждого типа; по значению, которое надписывают на бортах транспортного сосуда при его изготовлении и после каждого ремонта. В последнем случае и при выборочном взвешивании тару округляют до 0,1 т.

Контрольное взвешивание порожних транспортных сосудов для проверки их средней массы проводится не реже одного раза в квартал, а также при изменении типа или количества транспортных сосудов. Если часть горных пород после разгрузки остается в транспортных сосудах, то их средняя масса определяется ежемесячно, причем транспортные сосуды при взвешивании не зачищают.

Средняя масса горных пород в транспортном сосуде, полученная по контрольному взвешиванию, используется при оперативном учете до очередного контрольного взвешивания.

35. Масса отгруженных горных пород вычисляется как разность между суммарной массой всех загруженных транспортных сосудов и суммарной массой этих сосудов, которая получается по результатам взвешивания порожних транспортных сосудов или по средней массе порожнего сосуда, умноженной на их число.

IV. Маркшейдерский контроль добычи и вскрыши

36. Маркшейдерский контроль добычи и вскрыши проводится с целью обеспечения достоверного учета извлекаемых и оставляемых в недрах запасов основных и совместно с ними залегающих полезных ископаемых и попутных компонентов.

37. Маркшейдерский контроль добычи и вскрыши включает:

- периодический подсчет объемов вынутых горных пород по маркшейдерским съемкам и сравнение полученных объемов с соответствующими отчетными данными;

- определение по маркшейдерским данным средней полноты загрузки транспортных сосудов с целью повышения точности оперативного учета;

- измерение остатков полезного ископаемого на специально подготовленной территории или в специальных помещениях (далее - склады) и корректировку по ним объемов, числящихся на складах по данным бухгалтерского учета (далее - книжный остаток).

38. Контрольный подсчет объемов по карьеру выполняется один раз в год до 1 февраля следующего за отчетным года. Объемы подсчитываются способом в "две руки" или двумя независимыми подсчетами.

39. Для контрольного подсчета объемов используются съемки, выполненные в начале и конце контролируемого периода, или проводится разовая съемка карьера (части карьера).

Если объем горных пород, вынутых за год, при контрольном подсчете объемов определяется способом вертикальных сечений, то расстояния между сечениями принимаются не больше 30 - 40 м при среднем радиусе кривизны контуров уступов до 300 м и 50 - 60 м при большем радиусе кривизны. Вертикальные сечения можно составлять в масштабе 1:2000, число сечений принимается не меньше 10. Если площади соседних сечений различаются больше чем на 30%, то между ними берется дополнительное сечение.

Способ подсчета объемов в торцевой части карьера выбирается с учетом радиуса кривизны бровок и конфигурации уступов.

При подсчете объемов способом среднего арифметического отметки для вычисления средней высоты определяются не реже чем через 40 - 50 м.

При подсчете объемов способом в "две руки" расхождение между двумя независимыми подсчетами не должно превышать 1% определяемого объема.

40. При многорядном и каскадном взрывании, если на уступах имеются остатки взорванных пород, принимается следующий порядок подсчета объема горных пород, вынутых за год.

Объем вынутых горных пород подсчитывается по видимым в натуре контурам, нанесенным на планы и разрезы. По этим контурам и контактам между взорванными горными породами и массивом подсчитываются объемы и остатков взорванных горных пород, соответственно, на конечную и начальную даты съемки. Если контакты между взорванными горными породами и массивом в натуре не видны, их положение на планах и разрезах определяется по последнему ряду взрывных скважин и проектному заложению откоса.

Объем вынутых горных пород, приведенный к объему в целике, за контролируемый период вычисляется по формуле (2.15). Поправку за остатки взорванных горных пород вычисляют по формуле:

(4.1)

где и - суммарные объемы остатков взорванных горных пород соответственно на конечную и начальную даты съемки, м3; и - соответствующие этим объемам коэффициенты разрыхления.

Величины и вычисляются как средние взвешенные значения коэффициентов разрыхления остатков взорванных горных пород блоков.

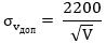
41. Допустимая разность между объемом горных пород, определенным по контрольному подсчету, и соответствующим объемом, принятым в отчетах за контролируемый период, не превышает значения, вычисленного по формуле:

(4.2)

где - объем по контрольному подсчету, м3; - объем, принятый в отчетах за контролируемый период, м3; - допустимая погрешность определения объема.

Погрешность вычисляется по формуле (1.1), если объем составляет от 20 до 2000 тыс. м3. Если объем больше 2000 тыс. м3, то принимается = 1%, если меньше 20 тыс. м3, то принимается = 1,5%, если меньше 45 тыс. м3, то принимается = 10%. Если при каждом контроле разности получаются близкими к допустимым и с одним знаком, то принимаются меры к выяснению и устранению причин систематических погрешностей учета объемов. Отчетные данные за контролируемый период в этом случае не корректируются.

При разности, больше допустимой, контрольный подсчет повторяют с выборочной полевой проверкой планов горных выработок. Если расхождение между контрольными подсчетами не превышает 1%, то отчетные данные не корректируются.

42. При превышении допустимой разности между контрольными и отчетными данными при контрольном маркшейдерском подсчете за год определяются причины таких расхождений, принимаются меры для устранения этих причин.

V. Определение остатков полезного ископаемого на складе

43. При проектировании и строительстве открытых складов осуществляется топографическая съемка площадки склада в масштабе не мельче 1:1000 с сечением рельефа через 0,25 - 0,5 м.

44. Съемка отвала полезного ископаемого на складе длительного хранения проводится после окончания складирования и перед началом отгрузки. При выявлении изменения формы или объема отвала выполняется контрольная съемка, по второй корректируются соответствующие данные в учетных документах.

45. Определение объема и плотности полезного ископаемого в отвале может осуществляться не превышая допустимых погрешностей:

Объем отвала, тыс. м3
< 20 20 - 50 50 - 200 > 200
Допустимая относительная погрешность, %        
объема отвала.................... 8 5 3 2
плотности........................ 5 5 4 2
Допустимая разность двух независимых определений объема, % .............. 12 8 4 3

46. При остатках полезного ископаемого на складе в размере 75% месячной добычи и больше складирование организуется так, чтобы маркшейдерским измерениям подлежала часть отвала, не превышающая 25% месячной добычи. Общий остаток полезного ископаемого на складе получается как сумма постоянной части отвала и переменной, определенной по маркшейдерским измерениям. Если такая организация складирования невозможна, то учет поступившего и отгруженного полезного ископаемого ведется по результатам взвешивания. Книжные остатки в этом случае корректируются по данным маркшейдерских замеров.

47. Отвалам полезного ископаемого по возможности придается правильная геометрическая форма, удобная для инструментальной съемки.

48. Объем полезного ископаемого в закрытых складах (бункерах) определяется по измерениям незаполненной части. Объем вычисляется по заранее составленной таблице, показывающей зависимость объема загруженной части склада (бункера) от высоты его незаполненной части.

49. В качестве мерных емкостей служат транспортные сосуды (железнодорожные вагоны, автомобили и др.) или емкости размером 0,5 x 0,5 x 0,5 м. В последнем случае число определений плотности принимается не менее 15. Пробы отбираются так, чтобы они представляли объем всего отвала. Загруженные и порожние железнодорожные вагоны и автомобили взвешиваются, и их масса округляется до 3,1 т. Масса полезного ископаемого в мерном ящике определяется с точностью до 1 кг. При необходимости отбираются пробы горных пород для химического анализа и определения других физических свойств.

50. Объемы отвалов и штабелей пород и почвы в зависимости от их формы определяют рулеточным замером или по результатам съемки. Рулеточный замер применяют для отвалов простой формы, объем подсчитывается по формулам геометрически правильных тел.

51. При способе пробной вырубки проходятся шурфы или другие выработки правильной геометрической формы. Стенки выработок выравниваются. Размеры выработки измеряют через каждые 0,25 м глубины. Полезное ископаемое взвешивается, масса округляется до 1 кг. При способе пробной выемки порода отбирается погрузочными машинами (экскаваторами, погрузчиками и др.). Пробы загружают в транспортные сосуды (вагоны, автомобили и др.), масса проб округляется до 0,1 т.

52. Периодичность определения плотности, принимаемой для перевычисления объема полезного ископаемого в массу при ежемесячных измерениях складов, устанавливается с учетом вида и свойств полезного ископаемого, технологии складирования и сроков хранения в отвале.

VI. Ответственность за соблюдение и контроль за выполнением требований настоящей Инструкции

53. Лица, виновные в нарушении Закона Российской Федерации "О недрах", в нарушениях утвержденных в установленном порядке стандартов (норм, правил) по безопасному ведению работ, связанных с пользованием недрами, по охране недр и окружающей природной среды, в том числе нарушениях, ведущих к загрязнению недр и приводящих месторождение полезных ископаемых в состояние, не пригодное для эксплуатации, несут уголовную ответственность в соответствии с законодательством Российской Федерации, а также административную ответственность в соответствии с законодательством Российской Федерации и законодательством субъектов Российской Федерации <*>.

<*> Статья 49 Закона Российской Федерации "О недрах".

Государственный горный надзор в целях обеспечения соблюдения всеми пользователями недр предусмотренных законодательством Российской Федерации требований по безопасному ведению горных работ, предупреждению и устранению их вредного влияния на население, окружающую природную среду, здания и сооружения, а также по охране недр государственный контроль в пределах своей компетенции за рациональным использованием и охраной недр осуществляют органы Госгортехнадзора России <*>.

<*> Подпункт 2 пункта 4 Положения о Федеральном горном и промышленном надзоре России.