Система стандартов безопасности труда. Системы управления охраной труда. Оценка результативности и эффективности. ГОСТ 12.0.230.3-2016

(утв. Госстандартом РФ 25.10.2016)
Редакция от 25.10.2016 — Действует с 01.01.2018

МЕЖГОСУДАРСТВЕННЫЙ СОВЕТ ПО СТАНДАРТИЗАЦИИ, МЕТРОЛОГИИ И СЕРТИФИКАЦИИ

INTERSTATE COUNCIL FOR STANDARDIZATION, METROLOGY AND CERTIFICATION

МЕЖГОСУДАРСТВЕННЫЙ СТАНДАРТ

СИСТЕМА СТАНДАРТОВ БЕЗОПАСНОСТИ ТРУДА

СИСТЕМЫ УПРАВЛЕНИЯ ОХРАНОЙ ТРУДА

ОЦЕНКА РЕЗУЛЬТАТИВНОСТИ И ЭФФЕКТИВНОСТИ

ГОСТ 12.0.230.3-2016

SYSTEM OF STANDARDS FOR OCCUPATIONAL SAFETY. MANAGEMENT SYSTEMS FOR OCCUPATIONAL SAFETY. EVALUATION OF EFFECTIVENESS AND EFFICIENCY

Дата введения - 2018-01-01

Предисловие

Цели, основные принципы и основной порядок проведения работ по межгосударственной стандартизации установлены в ГОСТ 1.0-2015 "Межгосударственная система стандартизации. Основные положения" и ГОСТ 1.2-2015 "Межгосударственная система стандартизации. Стандарты межгосударственные, правила и рекомендации по межгосударственной стандартизации. Правила разработки, принятия, обновления и отмены"

Сведения о стандарте

1 РАЗРАБОТАН Всероссийским научно-исследовательским институтом стандартизации и сертификации в машиностроении (ВНИИНМАШ), Обществом с ограниченной ответственностью "Экожилсервис", ФГБОУ ВО "Пермский национальный исследовательский политехнический университет"

2 ВНЕСЕН Межгосударственным техническим комитетом по стандартизации МТК 251 "Безопасность труда"

3 ПРИНЯТ Межгосударственным советом по стандартизации, метрологии и сертификации (протокол от 25 октября 2016 г. N 92-П)

За принятие проголосовали

Краткое наименование страны по МК (ИСО 3166) 004-97 Код страны по МК (ИСО 3166) 004-97 Сокращенное наименование национального органа по стандартизации
Армения AM Минэкономики Республики Армения
Киргизия KG Кыргызстандарт
Россия RU Росстандарт
Таджикистан TJ Таджикстандарт

4 Приказом Федерального агентства по техническому регулированию и метрологии от 31 мая 2017 г. N 471-ст межгосударственный стандарт ГОСТ 12.0.230.3-2016 введен в действие в качестве национального стандарта Российской Федерации с 1 января 2018 г.

5 ВВЕДЕН ВПЕРВЫЕ

Информация об изменениях к настоящему стандарту публикуется в ежегодном информационном указателе "Национальные стандарты" (по состоянию на 1 января текущего года), а текст изменений и поправок - в ежемесячном информационном указателе "Национальные стандарты". В случае пересмотра (замены) или отмены настоящего стандарта соответствующее уведомление будет опубликовано в ежемесячном информационном указателе "Национальные стандарты". Соответствующая информация, уведомление и тексты размещаются также в информационной системе общего пользования - на официальном сайте Федерального агентства по техническому регулированию и метрологии в сети Интернет (www.gost.ru).

В Российской Федерации настоящий стандарт не может быть полностью или частично воспроизведен, тиражирован и распространен в качестве официального издания без разрешения Федерального агентства по техническому регулированию и метрологии.

Введение

Создание и обеспечение результативного функционирования системы управления охраной труда направлено на достижение ее основной цели - предотвращения связанных с работой случаев травматизма и заболеваемости.

Реализация процессов обеспечения функционирования и совершенствования самой системы управления охраной труда в организации постоянно требует оперативной оценки их эффективности.

Важную роль на практике для принятия решений играет оценка результативности и эффективности систем управления охраной труда с позиций и в терминах экономических расчетов и показателей.

Проведение оценки результативности и эффективности деятельности в области охраны труда является важнейшей процедурой по реализации современных подходов к регулированию в области охраны труда, в рамках которых постсобытийные "модели штрафных санкций" (выявление уже совершенного нарушения и наказание за несоблюдение правил и требований) постепенно должны смениться упреждающими "моделями профилактического соответствия" (внедрение мероприятий профилактики и предупреждения нарушений и происшествий).

В связи с этим особую значимость приобретает реализация процедур самооценки организацией результативности и эффективности своей деятельности в области охраны труда, добровольно проводимых на регулярной основе и позволяющих ей принимать обоснованные решения стратегического характера, направленные на улучшение своей деятельности в области охраны труда.

Оценивание результативности и эффективности деятельности организации в области охраны труда - специальный процесс и инструмент управления, предназначенный для обеспечения руководства организации достоверной информацией, позволяющей определить соответствие деятельности в области охраны труда совокупности критериев, заданных руководством организации на основании требований национального законодательства, а также для внесения адекватных корректив в систему управления охраной труда на основе таких критериев.

Оценка результативности и эффективности подразумевает постоянный сбор и анализ определенных исходных данных, необходимых для оценки текущего состояния и условий охраны труда, тенденций их изменения со временем, и, при необходимости, идентификации процедур управления, требующих улучшения.

Целями проведения оценки результативности и эффективности системы управления охраной труда являются:

- оценка общей стратегии (политики) организации в области охраны труда и процедур функционирования системы управления охраной труда по предотвращению связанных с работой травм и заболеваний, а также способности системы удовлетворять другим потребностям организации и заинтересованных сторон, включая органы государственного управления, надзора и контроля;

- определение необходимых изменений в процедурах функционирования системы управления охраной труда, включая изменения в политике и в целевых показателях (индикаторах) результативности и эффективности;

- сравнение запланированных и фактически достигнутых целевых показателей (индикаторов);

- определение необходимых корректирующих действий, в том числе с учетом результатов расследования различного рода небезопасных происшествий;

- обеспечение обратной связи с подразделениями и работниками в целях рационального планирования и непрерывного совершенствования всей системы управления.

Оценка (в том числе и самооценка) результативности и эффективности деятельности в области охраны труда позволяет организации:

- реализовать систематический подход к совершенствованию системы управления охраной труда, идентифицировать и анализировать процедуры деятельности, требующие улучшения;

- использовать унифицированный набор критериев при оценке результативности и эффективности своей системы управления охраной труда;

- получать объективные данные о текущем состоянии своей системы управления охраной труда, основанные на фактах, а не на личном восприятии руководителей и/или работников;

- определять, что в данной ситуации должна сделать организация в целом, ее отдельные подразделения и каждый работник, исходя из единой системной концепции совершенствования деятельности по охране труда и, прежде всего, исходя из выявленных возможных направлений улучшения;

- отслеживать изменения в состоянии системы управления охраной труда и определять объем изменений, произошедших с момента проведения предыдущей оценки (самооценки);

- проводить сравнения с лучшими практическими результатами, достигнутыми как в самой организации, так и в других организациях, распространять передовой опыт лучших подразделений организации или других организаций;

- внедрять различные инициативы и передовые методы управления охраной труда в повседневную деятельность организации;

- устанавливать основу для признания передовых достижений в области охраны труда и стимулирования подразделений и работников.

Даже в случаях, когда организация не имеет формально оформленной системы управления охраной труда, проведение оценки результативности и эффективности ее деятельности в области охраны труда позволяет ей задавать определенные критерии совершенствования и оценивать соответствие собственной деятельности в области охраны труда и ее результативности и эффективности этим критериям.

Основным условием применения процедур оценки результативности и эффективности деятельности в области охраны труда является заинтересованность организации в совершенствовании такой деятельности (как вследствие внутренних стимулов, так и вследствие внешних стимулов регулирования, осуществляемого органами государственного управления, контроля и надзора в рамках национального законодательства), а также в улучшении достигаемых результатов.

Настоящий стандарт развивает положения ГОСТ 12.0.230 и ГОСТ 12.0.230.2, но может быть использован также независимо от них.

Во многих случаях в организациях традиционно проводится оценка результативности и эффективности деятельности в области охраны труда в том или ином выработанном на практике виде. Применение настоящего стандарта в целом или частично позволит организации улучшить такую деятельность.

При разработке настоящего стандарта использованы отдельные положения [1].

1 Область применения

1.1 Настоящий стандарт представляет собой руководящие указания по планированию и применению процедур оценки результативности и эффективности деятельности организации в области охраны труда.

Стандарт устанавливает рекомендуемый порядок сбора данных (информации), проведения анализа и использования оценки результативности и эффективности деятельности по улучшению условий и охраны труда.

1.2 Настоящий стандарт применим для любой организации и ее подразделений или для любых заинтересованных сторон, которые занимаются внедрением и поддержанием в работоспособном состоянии системы управления охраной труда, отвечающей требованиям ГОСТ 12.0.230, и/или осуществляют оценку (самооценку) результативности и эффективности деятельности в области охраны труда вне зависимости от типа, размера, местоположения и сложности самой организации.

1.3 Настоящий стандарт может быть использован организацией для самооценки результативности и эффективности своей деятельности в области охраны труда, а также органами государственного управления, надзора и контроля и иными заинтересованными лицами, включая органы общественного контроля, для оценки результативности и эффективности деятельности организаций в области охраны труда.

1.4 Настоящий стандарт содержит принципы, показатели, критерии и методы оценки результативности и эффективности, руководствуясь которыми организация вправе самостоятельно выбирать приемлемые для нее показатели, критерии и методики оценки результативности и эффективности своей деятельности по охране труда.

1.5 Настоящий стандарт не содержит конкретных правовых и технических требований по обеспечению безопасности труда и производства и не заменяет собой соответствующих требований действующих нормативных актов национального законодательства, в том числе соответствующих технических регламентов и прочих нормативных правовых актов сферы технического регулирования.

1.6 Настоящий стандарт не должен быть использован как документ, устанавливающий требования к подтверждению результативности и эффективности систем управления охраной труда в процедурах сертификации и/или самостоятельного декларирования соответствия, так как эта задача не предусмотрена ГОСТ 12.0.230 как обязательная и решается только в рамках соответствующих систем сертификации и/или декларирования соответствия в рамках установленных в них правил и процедур.

2 Нормативные ссылки

В настоящем стандарте использованы нормативные ссылки на следующие межгосударственные стандарты:

ГОСТ 12.0.002-2014 Система стандартов безопасности труда. Термины и определения

ГОСТ 12.0.230-2007 Система стандартов безопасности труда. Системы управления охраной труда. Общие требования

ГОСТ 12.0.230.2-2015 Система стандартов безопасности труда. Системы управления охраной труда. Оценка соответствия

ГОСТ ISO 9000-2011 Системы менеджмента качества. Основные положения и словарь <*>

<*> В Российской Федерации действует ГОСТ Р ИСО 9000-2015 "Система менеджмента качества. Основные положения и словарь".

Примечание - При пользовании настоящим стандартом целесообразно проверить действие ссылочных стандартов на территории государства по соответствующему указателю стандартов, составленному по состоянию на 1 января текущего года, и по соответствующим информационным указателям, опубликованным в текущем году. Если ссылочный документ заменен (изменен), то при пользовании настоящим стандартом следует руководствоваться замененным (измененным) стандартом. Если ссылочный документ отменен без замены, то положение, в котором дана ссылка на него, применяется в части, не затрагивающей эту ссылку.

3 Термины и определения

В настоящем стандарте применены термины по ГОСТ 12.0.002, ГОСТ 12.0.230, а также следующие термины с соответствующими определениями:

3.1 результативность (effectiveness): Степень реализации запланированной деятельности и достижения запланированных результатов. [ГОСТ ISO 9000-2011, пункт 3.2.14]


<**> В Российской Федерации [ГОСТ Р ИСО 9000-2015, пункт 3.7.11].

3.2 эффективность (efficiency): Связь между достигнутым результатом и использованными ресурсами. [ГОСТ ISO 9000-2011, пункт 3.2.15] <***>

<***> В Российской Федерации: эффективность (efficiency): Связь между достигнутым результатом и использованными ресурсами. [ГОСТ Р ИСО 9000-2015, пункт 3.7.10]

Примечания

1 В общем виде эффективность означает осуществление какого-либо процесса с минимальными затратами, усилиями и потерями. При этом под экономической эффективностью следует понимать показатель, определяемый соотношением экономического эффекта (результата) и затрат, породивших этот эффект (результат).

2 Экономическая эффективность может быть оценена по ряду показателей, например через эффективность использования ресурсов (ресурсная или факторная эффективность). Примером показателей ресурсной эффективности является производительность труда, которая может быть принята в качестве основного показателя эффективности при улучшении условий труда.

3 Следует иметь в виду, что экономическая эффективность деятельности организации не тождественна экономической эффективности деятельности всей системы охраны труда в масштабе отрасли или государства, а потому имеются существенные различия определения экономической эффективности деятельности по охране труда на разных уровнях управления.

3.3 результаты деятельности в области охраны труда: зафиксированные показатели (индикаторы, индексы, коэффициенты и т.д.) состояния условий труда, соблюдения требований охраны труда, применения методов управления рисками и другие достижения организации в области охраны труда.

Примечания

1 В контексте систем управления охраной труда результаты деятельности могут быть измерены по отношению:

- к политике организации в области охраны труда (согласно ГОСТ 12.0.230, подраздел 4.1);

- к целям организации по охране труда (согласно ГОСТ 12.0.230, подраздел 4.9);

- к соответствию требованиям действующего национального законодательства по охране труда;

- к улучшениям в области охраны труда, и др.

2 Результаты деятельности могут быть количественными и качественными.

3 Результаты деятельности могут быть использованы как показатели результативности и (или) показатели эффективности.

3.4 оценка (оценивание) результатов деятельности в области охраны труда; ОРД: Процесс, способствующий принятию управленческих решений, относящихся к деятельности в области охраны труда, путем выбора показателей, сбора и анализа данных, оценки информации по критериям результативности и эффективности деятельности (3.5), составления отчетности и распространения информации, периодического пересмотра и улучшения этого процесса.

3.5 критерий результативности и эффективности деятельности в области охраны труда; КРЭД: Плановый (целевой) показатель, заданный требованиями национального законодательства и/или руководством организации, политикой в области охраны труда и целями по охране труда, на основании которого производится оценка результатов деятельности в области охраны труда (3.4).

Примечание - Совокупность условий (правил), определяющих пригодность или оптимальность процедур в области охраны труда для достижения установленных целей, также составляет критерии результативности и эффективности деятельности в области охраны труда.

3.6 показатель результативности и эффективности деятельности в области охраны труда; ПРЭД: Обобщенная характеристика результативности и эффективности деятельности в области охраны труда, представленная в конкретной, принятой в организации, форме, удобной для восприятия и оценки и зафиксированной в численном, письменном или иконографическом <****> виде, в том числе на электронном носителе и др.

<****> Иконографический вид представления информации - наглядное образное графическое или изобразительное воспроизведение, фигуративное символическое представление, визуальная репрезентация некоторого предмета, явления, лица, события, идеи, темы, концепции (например, знаки и цвета безопасности).

Примечание - Показатели результативности и эффективности деятельности в области охраны труда по возможности должны быть выражены количественно.

3.7 показатель результативности и эффективности управления; ПРЭУ: Показатель результативности и эффективности деятельности в области охраны труда (3.6), характеризующий действия руководства организации, предпринимаемые с целью воздействия на результаты деятельности в области охраны труда и/или на результативность и эффективность системы управления охраной труда в организации.

3.8 показатель результативности и эффективности функционирования; ПРЭФ: Показатель результативности и эффективности деятельности в области охраны труда (3.6), характеризующий состояние условий и охраны труда в организации и обобщающий результативность и эффективность функционирования комплекса различных процедур обеспечения требований охраны труда, либо результативность и эффективность системы управления охраной труда организации в целом.

3.9 абсолютный показатель: Данные о числе тех или иных событий или их результатов.

Примечания

1 Как правило, абсолютный показатель представляет собой число с характерной размерностью.

2 Как правило, абсолютный показатель выражается в натуральных, стоимостных (денежных) или трудовых единицах измерения (человеко-дни и человеко-часы простого процесса труда).

3.10 относительный показатель: Изначально полученный абсолютный показатель (3.9), приведенный (отнесенный) к таким единицам измерения или к такой форме, которая позволяет его сопоставлять (сравнивать) с выбранным стандартизованным параметром или базовым значением.

Примечания

1 Относительный показатель представляет собой результат деления одного абсолютного показателя (3.9), находящегося в числителе, - текущего, сравниваемого, индикативного, на другой абсолютный показатель (3.9), находящийся в знаменателе - основание или база, и выражает соотношение между используемыми количественными характеристиками.

2 Относительный показатель вычисляется по различным формулам на основе требований теории статистики и является безразмерной величиной.

3 Относительный показатель может быть дополнительно нормирован и рассчитан в процентах (%, или единиц на 100, от лат. per cent - "на сотню"), в промилле (, или единиц на 1000, от лат. per mille - "на тысячу") или в расчете единиц на 10 тысяч, единиц на 100 тысяч, единиц на миллион (part per million).

4 Относительный показатель часто называют еще удельной численностью или коэффициентом (частоты, тяжести и т.п.).

5 В соответствии с международной практикой оценку неблагоприятных событий в сфере охраны труда желательно вести в расчете на 100 тысяч лиц, могущих стать пострадавшими, и/или в расчете на один миллион человеко-часов простого процесса труда, что удобно и наглядно, а также сопоставимо с данными других стран.

6 В странах, участвующих в межгосударственной стандартизации, традиционно для оценки частоты и характера несчастных случаев на производстве применяют коэффициенты частоты и тяжести (отнесенные на 1000 работников), а для оценки выявленных профессиональных заболеваний относят число таких случаев на 10 тысяч работников.

3.11 обобщенный показатель: Данные одного или разных типов, полученные из различных источников, собранные и представленные в виде одного итогового показателя.

3.12 взвешенный показатель: Данные, преобразованные с учетом коэффициента (веса) их значимости.

3.13 показатели результативности и эффективности планируемой деятельности: Данные о соответствии или несоответствии планируемых мероприятий в области охраны труда или системы управления охраной труда в целом установленным критериям результативности и эффективности деятельности в области охраны труда (3.5).

Примечание - Показатели результативности и эффективности планируемой деятельности формируются в основном по данным текущего контроля (согласно ГОСТ 12.0.230, пункт 4.11.6).

3.14 показатели недостаточной результативности и эффективности деятельности: Данные о распространенности опасных событий и происшествий, т.е. инцидентов, несчастных случаев и случаев ухудшения здоровья, включая случаи производственного травматизма и/или профессиональной заболеваемости.

Примечание - Показатели недостаточной результативности и эффективности деятельности формируются в основном по данным реагирующего мониторинга - расследования и учета опасных событий и происшествий (согласно ГОСТ 12.0.230, пункт 4.11.7).

4 Порядок оценки результатов деятельности в области охраны труда

4.1 Оценку результатов деятельности в области охраны труда (ОРД) проводят с целью выяснения текущего состояния в области охраны труда и тенденции его изменения со временем, достижений и упущений организации в области охраны труда, а также в целях сравнения деятельности различных субъектов деятельности (организаций или подразделений).

Результаты деятельности организации в области охраны труда оценивают как с позиции результативности этой деятельности (т.е. степени достижения целей и задач) так и с позиции эффективности этой деятельности (т.е. оптимальности затраченных ресурсов), в том числе выраженной в стоимостной форме.

4.2 Порядок оценки результатов деятельности в области охраны труда представляет собой упорядоченную совокупность (последовательность) постоянных процедур, осуществляемых по типичной модели управления (см. рисунок 1):

а) Планирование - выбор показателей для оценки результатов деятельности (из числа существующих показателей и/или разработка и внедрение новых показателей).

Организация должна использовать подходящие методы контроля процедуры планирования. Выбор показателей для ОРД должен осуществляться таким образом, чтобы была обеспечена возможность определить и продемонстрировать способность элементов системы управления охраной труда достигать запланированные результаты. Если запланированные результаты не достигнуты из-за тех или иных упущений, то должны быть предприняты необходимые коррекции и корректирующие действия по ГОСТ 12.0.230 (подраздел 4.15).

б) Выполнение:

1) сбор данных и информации, относящихся к выбранным показателям по установленным формам отчетности;

2) анализ и преобразование данных (включая их редукцию) в показатели, описывающие результаты деятельности организации в области охраны труда в соответствии с установленными методиками и критериями;

3) оценка показателей и иной информации, описывающих результаты деятельности в сравнении с критериями результативности и эффективности деятельности организации в области охраны труда (КРЭД);

4) подготовка отчета и передача информации о результативности и эффективности деятельности организации в области охраны труда.

в) Проверка и действие - анализ и совершенствование процедур ОРД.

>   ПЛАНИРОВАНИЕ
Планирование оценки результатов деятельности
     
    Выбор показателей для оценки деятельности      
             
               
            V
    ВЫПОЛНЕНИЕ          
    Использование данных и информации        
    Сбор данных      
    Данные       >  
             
      V      
    Преобразование и анализ данных, включая показатели      
    Информация       >  
             
      V      
    Оценка информации      
    Результаты   <      
             
      V      
    Отчетность и распространение информации      
               
               
  ПРОВЕРКА И ДЕЙСТВИЕ     <    
  Анализ и совершенствование оценки результатов деятельности      

Рисунок 1 - Оценка результатов деятельности в области охраны труда

4.3 При планировании проведения ОРД необходимо учитывать:

- текущую и планируемую производственную и хозяйственную деятельность организации;

- организационную структуру;

- соответствие политике, целям, принятым в организации регламентам и стандартам;

- опасности и риски, которые могут контролироваться и на которые можно повлиять;

- информацию, необходимую для выполнения законодательных и прочих требований;

- информацию о результатах проверок, осуществляемых органами государственного управления, надзора и контроля;

- интересы заинтересованных сторон (в том числе органов государственного управления, надзора и контроля, а также подрядных организаций);

- информацию, необходимую для анализа финансовых аспектов деятельности в области охраны труда;

- необходимость периодического (как правило, ежегодного) сопоставления информации, относящейся к деятельности в области охраны труда;

- данные научных исследований, общую стратегию деловой активности (бизнеса), культурные и социальные факторы;

- прочее.

4.4 ОРД должна быть основана:

а) на результатах проведения внешних и внутренних проверок (аудитов) системы и оценке результативности ее процедур;

б) результатах проверки деятельности организации специально уполномоченными органами государственного управления, надзора и контроля в области охраны труда;

в) информации об имевших место происшествиях, заболеваниях, несчастных случаях и авариях, и результатах выполнения мероприятий по ликвидации их последствий;

г) результатах выполнения мероприятий, предусмотренных:

1) планом мероприятий по улучшению условий и охраны труда;

2) планом мероприятий по совершенствованию системы управления охраной труда;

3) планами подготовки руководящего состава и специалистов организации в области охраны труда;

4) иными планирующими документами в области охраны труда;

д) оценке степени достижения целей по охране труда, установленных в соответствии с политикой организации в области охраны труда;

е) результатах адаптации и интегрирования системы управления охраной труда с другими системами управления, внедренными в организации (при их наличии).

4.5 ОРД также следует проводить с учетом:

- опыта совершенствования управления деятельностью по охране труда в соответствии с требованиями национального законодательства;

- рекомендаций партнеров, инвесторов, общественных объединений и иных заинтересованных сторон в области охраны труда;

4.6 Руководством организации в рамках функционирования системы управления охраной труда должны быть предусмотрены финансовые, материальные, людские и временные ресурсы, необходимые для проведения ОРД.

4.7 Методология и процедуры ОРД должны соответствовать местоположению и типу организации, ее потребностям и приоритетам. ОРД должна быть экономически оправданной и представлять собой специальный вид деятельности, который регулярно и на постоянной основе осуществляется в организации.

4.8 В зависимости от возможностей и ресурсов организации ОРД может затрагивать только отдельные элементы (аспекты) деятельности в области охраны труда, обладающие, по мнению руководства, наибольшим приоритетом. Со временем такие элементы (аспекты) деятельности должны быть расширены.

4.9 Линейные руководители играют ключевую роль в процедурах ОРД. Те из них, кто несет персональную ответственность за проведение ОРД, должны обладать необходимой компетентностью в данном вопросе.

4.10 При расчете эффективности мероприятий по охране труда с позиций экономических показателей следует учитывать то, что экономическая эффективность может быть подсчитана или оценена различными методами. Общая экономическая эффективность от поддержания работ по охране труда на должном уровне оценивается с помощью суммарного полученного продукта за счет улучшения условий труда, а также суммарного предотвращенного ущерба за счет сокращения случаев утраты трудоспособности. Суммарный предотвращенный ущерб равен сумме недополученного из-за утраты трудоспособности продукта и стоимости расходов по социальному обеспечению пострадавшего или оставшихся без кормильца иждивенцев.

Экономическая эффективность может быть оценена как интегрально на основе тех или иных экономических макропоказателей, так и детально на основе микроэкономических расчетов.

5 Показатели результативности и эффективности деятельности в области охраны труда

5.1 Показатели результативности и эффективности деятельности в области охраны труда (ПРЭД) должны:

- быть заданы в соответствии с поставленными организацией целями по охране труда так, чтобы давать представление о степени достижения целей;

- иметь ясный смысл, быть легко доступными для восприятия, понимания и интерпретации;

- быть логически обоснованными и адекватными своему назначению, а также требованиям национального законодательства и сложившейся практики, в том числе представлениям заинтересованных сторон;

- быть полными в своей совокупности для описания результативности и эффективности деятельности всей системы управления охраной труда;

- быть достоверными и проверяемыми;

- быть совместимыми и сравнимыми, а также позволять осуществлять их межсистемное использование;

- быть гибкими и адаптируемыми к различного рода изменениям.

5.2 При выборе ПРЭД организации следует учитывать:

- соответствие показателей политике в области охраны труда;

- соответствие показателей состоянию и условиям охраны труда, а также действиям руководства организации, направленным на улучшение состояния и условий охраны труда;

- полезность показателей для оценки соответствия национальному законодательству в области охраны труда;

- полезность показателей для оценки соответствия критериям результативности и эффективности деятельности организации в области охраны труда (КРЭД), их измеримость в единицах, соответствующих КРЭД;

- совместимость и понятность для всех заинтересованных сторон;

- достижимость их с точки зрения финансовых и временных ограничений;

- адекватность предполагаемому использованию в зависимости от типа, качества и количества исходных данных;

- представительность для проведения ОРД;

- восприимчивость и чувствительность к изменениям результативности и эффективности деятельности организации в области охраны труда;

- способность представлять информацию по текущим или прогнозируемым тенденциям изменения результативности и эффективности деятельности организации в области охраны труда.

5.3 Число ПРЭД выбирается минимальным, но достаточным для ОРД в целом или для оценки результативности и эффективности каких-либо отдельных элементов (аспектов) или направлений деятельности в области охраны труда.

При этом ПРЭД должны быть выбраны так, чтобы оценка совокупности таких показателей позволяла сделать наиболее полный вывод о функционировании системы управления охраной труда в организации, а также давала возможность выработать комплекс решений, направленных на улучшение всей системы, а не только ее отдельного элемента (аспекта).

Кроме того, при выборе ПРЭД руководство организации должно учесть и обеспечить сбор соответствующей информации для оценки влияния принимаемых мер в обеспечении соответствия одного из ПРЭД заданным критериям на другие показатели результативности и эффективности деятельности.

5.4 ПРЭД могут быть связаны с достижением заданных результатов в пределах определенного времени (показатели результативности и эффективности планируемой деятельности) и отражать качество функционирования процедур обеспечения безопасности труда, степень удовлетворенности персонала состоянием условий и охраны труда на рабочем месте и т.п., а также могут отражать недостаточную результативность и эффективность деятельности.

5.5 ПРЭД должны быть по возможности количественными и подразделяться по своей сути на единичные, обобщенные или взвешенные показатели, а по форме выражения - на абсолютные и относительные показатели.

Примечания

1 Абсолютные показатели позволяют зафиксировать конкретное состояние условий и охраны труда, но не позволяют в целях анализа и управления объективно оценить, а главное сравнить динамику процессов охраны труда и структуру сложных явлений типа производственного травматизма.

2 Для анализа и планирования управленческих решений в сфере охраны труда следует применять исключительно относительные показатели, которые рассчитывают по исходным первичным абсолютным показателям и/или статистическим данным.

5.6 В зависимости от временного фактора различают моментные и интервальные ПРЭД. Большинство исходных ПРЭД носит моментный характер (на ту или иную дату), но при анализе следует использовать интервальные показатели, характеризующие рассматриваемые явления и процессы за определенный период - месяц, квартал, год, трудовую жизнь работника.

Примечания

1 Основным временным периодом анализа считается календарный год.

2 Стандартной длительностью рабочего времени выполнения операций простого процесса труда считается 8-часовая ежедневная смена при 40-часовой рабочей неделе.

5.7 ПРЭД, применяемые для ОРД, подразделяют на два типа: показатели результативности и эффективности управления (ПРЭУ) и показатели результативности и эффективности функционирования (ПРЭФ).

Примечание - Отдельные ПРЭФ и ПРЭУ связаны между собой, поскольку определенные действия, предпринимаемые руководством организации, оказывают существенное влияние на состояние условий и охраны труда в целом.

5.8 ПРЭУ предусматривают информацию о способности организации и предпринимаемых ею мерах в таких аспектах управленческой деятельности, как:

- внедрение политики в области охраны труда;

- соблюдение требований национального законодательства;

- осуществление плановых мероприятий по управления состоянием и охраной труда;

- обучение в области охраны труда и системного управления охраной труда;

- образование и профессиональная компетенция специалистов по охране труда;

- обеспечение ресурсами и их эффективное использование;

- регулирование затрат на обеспечение требований и управление охраной труда;

- разработка новой и актуализация действующей документации по охране труда;

- своевременность и полнота корректирующих действий;

- характер взаимоотношений в рамках социального партнерства по вопросам охраны труда с профессиональными союзами и (или) представителями работников.

5.9 ПРЭУ используются для анализа:

- результативности и эффективности плановых мероприятий по управлению охраной труда;

- действий руководства организации, влияющих на результативность и эффективность деятельности в области охраны труда, и, возможно, состояния условий и охраны труда;

- соответствия состояния условий и охраны труда требованиям национального законодательства;

- финансовых затрат и потенциальной величины выгод от предотвращенного ущерба, связанного с недостатками в обеспечении требований охраны труда.

5.10 ПРЭУ позволяют:

- определить изменения результативности и эффективности деятельности в области охраны труда;

- идентифицировать причины, по которым фактическая результативность и эффективность не достигает соответствующих КРЭД;

- идентифицировать возможности предупреждающих действий.

5.11 ПРЭФ охватывают показатели безопасности материальных объектов и оборудования, применяемых в организации, а также показатели безопасности услуг (подрядных, сервисных работ), поддерживающих производственную и хозяйственную деятельность организации.

5.12 Рекомендуемые перечни ПРЭД приведены в приложениях А и Б.

5.13 Выбор и/или разработка собственных ПРЭД (ПРЭУ и ПРЭФ) осуществляется таким образом, чтобы имелась возможность сопоставления результативности и эффективности деятельности организации в области охраны труда с соответствующими КРЭД.

В качестве КРЭД могут выступать локальные, местные, региональные, корпоративные, национальные (в том числе законодательно закрепленные) данные (показатели, индексы, индикаторы и т.п.) в области охраны труда.

6 Сбор, преобразование и анализ исходных данных

6.1 В организации должен быть организован регулярный сбор исходных данных для определения значений выбранных ПРЭД.

Такие данные, как минимум, должны представляться подразделениями организации систематически с частотой, соответствующей периодичности ОРД.

6.2 Сбор данных должен включать соответствующие процедуры идентификации, ввода, хранения, выборки и предоставления данных и информации.

6.3 Для ОРД в организации могут быть использованы:

а) собственные данные (отчеты подразделений):

1) результаты мониторинга и измерений, опросов и наблюдений, в том числе результаты производственного контроля за соблюдением требований охраны труда;

2) записи, предусмотренные системой управления охраной труда и/или производственные записи (протоколы);

3) записи о закупках и записи об организации подрядных работ;

4) отчеты по проверкам (внутреннему аудиту);

5) записи об образовании и обучении вопросам охраны труда;

6) финансовые и бухгалтерские записи;

7) и другое;

б) данные из других источников:

1) предписания и отчеты органов государственного управления, надзора и контроля;

2) акты расследования несчастных случаев, причин инцидентов и аварий, профессиональных заболеваний;

3) отчеты по экспертизе условий труда;

4) научные отчеты и исследования по проблемам охраны труда;

5) данные от подрядных организаций;

6) данные от общественных объединений;

7) и другое.

6.4 Сбор данных должен быть осуществлен по методикам, гарантирующим, что получаемые данные по типу и качеству <*****> подходят для использования при ОРД.

<*****> Под "качеством данных" понимается совокупность свойств данных, обеспечивающих их пригодность для решения определенных задач (например, точность, полнота, адекватность, непротиворечивость, защищенность и др.)

Для повышения объективности результатов ОРД собранные данные должны быть проанализированы на предмет их достоверности. Для этого должны быть рассмотрены качество данных, их значимость, адекватность и полнота.

6.5 Собранные данные должны быть проанализированы и преобразованы в информацию, описывающую результативность и эффективность деятельности организации в области охраны труда в виде ПРЭД.

Преобразование данных для индикации (расчета) ПРЭД может быть проведено с использованием методов математической обработки, расчетов, экспертных оценок, статистических методов и/или графических средств (приложение В).

При определении ПРЭД должно быть четкое представление о преобразовании данных и о сделанных допущениях.

6.6 Формирование ПРЭД на основании представленных исходных данных, как правило, осуществляется службой охраны труда организации.

6.7 Для определения тенденций улучшения или ухудшения результативности и эффективности деятельности организации в области охраны труда информация о ПРЭД должна рассматриваться и сравниваться с установленными в организации КРЭД.

6.8 Полученная по результатам сопоставления ПРЭД с КРЭД информация позволяет:

- оценить результаты деятельности в области охраны труда;

- судить о том, как функционирует система управления охраной труда;

- определить соответствие системы управления охраной труда национальному законодательству в области охраны труда и другим требованиям, с которыми организация согласилась и приняла на себя (например, требованиями заключенных подрядных договоров), а также продемонстрировать такое соответствие;

- определить, были ли своевременно и полностью реализованы все планируемые мероприятия в области охраны труда и достигнуты ли цели по охране труда (согласно ГОСТ 12.0.230, подпункты 4.8 и 4.9);

- убедиться, что мероприятия по управлению рисками внедрены и поддерживаются на должном уровне, а также выявить возможности совершенствования процедур управления рисками (согласно ГОСТ 12.0.230, пункт 4.10.1);

- содействовать осуществлению процедур управления рисками путем обеспечения обратной связи для всех участвующих в реализации мер по управлению сторон (согласно ГОСТ 12.0.230, подраздел 4.6);

- сделать выводы о сбоях и упущениях в системе управления охраной труда, исходя из анализа несоответствий в мерах по управлению рисками, наблюдаемых опасных происшествиях и случаев ухудшения здоровья (согласно ГОСТ 12.0.230, подраздел 4.12);

- выявить тенденции изменения состояния и условий охраны труда, тенденции изменения результативности и эффективности деятельности в области охраны труда, определить возможности и/или выработать рекомендации по повышению результативности и эффективности всей деятельности организации;

- определить области деятельности, в которых необходимо выполнить корректирующие действия для обеспечения соответствия фактической результативности и эффективности установленным КРЭД (согласно ГОСТ 12.0.230, подраздел 4.13);

- использовать ее при проведении анализа системы управления охраной труда со стороны руководства организации (согласно ГОСТ 12.0.230, подраздел 4.14);

- обеспечить основу для постоянного улучшения (согласно ГОСТ 12.0.230, подраздел 4.16), в том числе определить пути экономии ресурсов или другие (в том числе финансовые) выгоды;

- обеспечить мотивацию повышения результативности и эффективности деятельности в области охраны труда.

7 Рассмотрение, анализ и улучшение результативности и эффективности деятельности в области охраны труда

7.1 Информация о ПРЭД и результатах сравнения их с КРЭД должна быть (как правило ежегодно) представлена в виде отчета (доклада о состоянии охраны труда) руководству организации, которое должно предпринимать соответствующие действия по улучшению или поддержанию необходимого уровня результативности и эффективности деятельности в области охраны труда.

7.2 Анализ результатов ОРД должен проводить представитель руководства по системе управления охраной труда.

При этом должны быть рассмотрены:

- эффективность затрат на обеспечение требований охраны труда;

- прогресс в отношении достижения КРЭД;

- приемлемость КРЭД.

При анализе результатов ОРД должны быть приняты во внимание достоверность и полнота источников данных, методов сбора и анализа данных, а также качество полученных данных с позиции их представительности.

7.3 Заключение о результативности и эффективности системы управления охраной труда должно содержать выводы о пригодности, адекватности (соответствия требованиям ГОСТ 12.0.230 и нормативным правовым документам национального законодательства) системы управления охраной труда и/или ее процедур.

7.4 Основными критериями результативности и эффективности системы управления охраной труда являются:

- улучшение условий и повышения безопасности труда работающих, оцениваемое динамикой условий труда на рабочих местах вследствие выполненных мероприятий;

- снижение производственного травматизма и профессиональной заболеваемости;

- повышение производительности труда, качества продукции за счет улучшения условий труда, если их причинно-следственную связь удается вычленить и формализовать;

- достижение всех намеченных целей своевременно и без необоснованного превышения запланированных ресурсов (финансовых, материальных, людских, временных и т.п.).

7.5 При необходимости, по результатам ОРД, характеризующим пригодность, адекватность, результативность и эффективность системы управления охраной труда и действий по поддержанию системы, могут быть изданы локальные нормативные акты организации, касающиеся:

- актуализации политики в области охраны труда;

- определения стратегических задач по совершенствованию системы управления охраной труда и/или корректировки целей;

- изменения (коррекция) процедур и стандартов системы управления охраной труда;

- определения потребности в корректирующих действиях;

- поощрения активных и ответственных работников или дисциплинарных взысканий работников, допустивших нарушения;

- разработки предложений в проекты различных планирующих документов в области охраны труда, установленных в организации на очередной период;

- подготовки предложений по корректировке программ и планов обучения и повышения квалификации персонала в области охраны труда;

- проведения внеочередных проверок (аудитов) системы управления охраной труда;

- разработки предложений по дальнейшему расширению контактов в целях ознакомления заинтересованных лиц с деятельностью организации в области охраны труда;

- и прочее - по самостоятельному выбору организации.

8 Отчетность и распространение информации

8.1 Организация в соответствии с требованиями национального законодательства должна предоставлять органам статистики, государственного управления, контроля и надзора информацию об осуществлении деятельности в области охраны труда по установленной форме и в установленные сроки.

8.2 По решению руководства организации информация о результатах ОРД может быть распространена в виде отчета внутри организации или передана заинтересованным сторонам вне организации (инвесторам, подрядчикам, кредитным и страховым организациям, средствам массовой информации и др.).

Представление информации о результатах ОРД заинтересованным сторонам может происходить по их запросам или по инициативе самой организации.

8.3 Распространение информации о результатах ОРД:

- демонстрирует возможности и действия организации по улучшению условий и охраны труда;

- способствует повышению осведомленности собственного персонала, а также подрядчиков и других заинтересованных сторон в вопросах охраны труда;

- помогает персоналу выполнять свои обязанности, содействуя тем самым достижению соответствия ПРЭД установленным КРЭД.

8.4 Методы распространения информации о результатах ОРД следует выбирать таким образом, чтобы они обеспечивали своевременность информирования внутри организации, а также соответствовали уровню знаний предполагаемого потребителя информации.

Приложение А
(рекомендуемое)

ПРИМЕРЫ ПОКАЗАТЕЛЕЙ РЕЗУЛЬТАТИВНОСТИ И ЭФФЕКТИВНОСТИ ДЕЯТЕЛЬНОСТИ ОРГАНИЗАЦИИ В ОБЛАСТИ ОХРАНЫ ТРУДА ПРИМЕНИТЕЛЬНО К ОЦЕНКЕ СИСТЕМЫ УПРАВЛЕНИЯ ОХРАНОЙ ТРУДА

А.1 Указанные ниже примеры показателей результативности и эффективности деятельности в области охраны труда (ПРЭД) приведены только в качестве рекомендуемых наглядных образцов.

А.2 Указанные ниже группы показателей и отдельные конкретные показатели не являются полными или исчерпывающими для всех возможных случаев, и каждая группа или каждый из показателей не обязательно должны быть приняты в любой из организаций.

Организация должна сама выбрать и разработать ПРЭД, исходя из своей политики и целей, с учетом специфики своей производственной деятельности, масштабности (количества и удаленности) подразделений, численности работников и др. При этом она по своему выбору может воспользоваться всеми, некоторыми или не использовать ни один из приведенных ниже примеров ПРЭД.

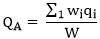
А.3 Большинство примеров ПРЭД выражены в виде долей или процентов, что наилучшим образом позволяет оценить сущность и масштаб явления. Другие - в виде количественных значений в единицу времени либо значений, приходящихся на одного работника, на единицу продукции или в виде других относительных, обобщенных или взвешенных показателей, что упрощает применение разного рода ПРЭД.

Отдельные ПРЭД представлены в форме абсолютных (численных) измеряемых параметров, величин или событий.

Таблица А.1 - Примеры показателей результативности и эффективности управления (ПРЭУ) в области охраны труда

Подраздел/пункт ГОСТ 12.0.230 Элемент системы управления охраной труда Возможный показатель
Политика
4.1 Политика в области охраны труда Динамика снижения несчастных случаев и происшествий на производстве
Число пересмотров и обновлений (актуализаций) политики в области охраны труда, осуществленных высшим руководством организации по результатам консультаций с работниками
Количество встреч и совещаний по вопросам охраны труда, проведенных высшим руководством организации (рекомендуется не реже, чем раз в месяц)
Количество анализов состояния охраны труда, осуществленных высшим руководством (не реже одного раза в год и после смертельных или групповых несчастных случаев, острых отравлений)
Рейтинг высшего руководства в управлении охраной труда, полученный в результате опросов работников
Доля работников, демонстрирующих хорошее знание политики организации в области охраны труда
4.2 Участие работников и их представителей Доля представителей работников по охране труда (по отношению к общей численности работников)
Удельная численность подразделений (бригад, смен), где имеется представитель работников по охране труда [в процентах от общей численности подразделений (бригад, смен)]
Число консультаций по вопросам охраны труда, осуществленных руководством организации с работниками за отчетный период времени (например, год)
Число регулярных заседаний комитета (комиссии) по охране труда, проведенных по текущим (существующим) проблемам и вопросам охраны труда за отчетный период времени (рекомендуется не реже одного раза в месяц)
Число рабочих мест, подвергнутых мероприятиям по оценке риска, проведенным с участием работников
Число предложений работников или их представителей, направленных на улучшение условий и охраны труда, на одного работника или представителя
Организация
4.3 Обязанности и ответственность Доля должностей управленческого персонала, для которых определены обязанности и ответственность по охране труда (рекомендуется 100%)
Соотношение работников, подлежащих и своевременно проинструктированных или обученных относительно их служебных обязанностей и ответственности по вопросам охраны труда (рекомендуется 100%)
4.4 Компетентность и подготовка Удельная численность работников, своевременно прошедших положенные виды обучения по охране труда, в т.ч. в аккредитованных организациях (в процентах от численности работников, подлежащих обучению)
Доля работников, обучение которых по охране труда проведено в форме стажировки, от общей численности работников, прошедших обучение (в процентах)
Доля работников, повысивших квалификацию по охране труда, от общей численности, установленной планом (в процентах)
Доля руководителей и специалистов, прошедших повышение квалификации по вопросам охраны труда, от общей численности руководителей и специалистов (в процентах)
Удельная численность работников топ-менеджмента, своевременно прошедших положенные виды обучения (в процентах от общей численности работников - руководителей и специалистов топ-менеджмента)
Удельная численность уполномоченных (доверенных) лиц работников по охране труда, своевременно прошедших обучение (в процентах от общей численности таких лиц)
Удельная численность подразделений (бригад, смен), где имеется лицо, квалифицированно владеющее приемами первой помощи [(в процентах от общей численности подразделений (бригад, смен)]
Удельная численность штатных работников - специалистов по охране труда и безопасности производства (в процентах от общей численности работников)
Удельная численность работников, совмещающих свои основные трудовые функции с функциями специалистов по охране труда и безопасности производства (в процентах от общей численности работников)
Удельная численность подразделений (бригад, смен), работающих в удалении или автономно, где имеется лицо, выполняющее функции специалиста по охране труда (в штате или по внутреннему совместительству) [(в процентах от общей численности подразделений (бригад, смен)]
Доля работников, оцененных как компетентный в области охраны труда персонал при назначении на должность или/и по результатам обучающих курсов по охране труда
Доля работников - специалистов по охране труда, образование которых соответствует требованиям профессионального стандарта
Доля учебных программ по охране труда, пересмотренных в целях актуализации
Доля учебных программ по вопросам охраны труда, пересмотренных и улучшенных для обеспечения их качества и результативности от общего числа таких программ (в процентах)
Израсходовано средств на проведение обучения и проверку знаний требований охраны труда, а также повышение квалификации в расчете на одного работника
4.5 Документация системы управления охраной труда Число новых инструкций по охране труда, разработанных для новых рабочих мест, новых видов работ, в силу внедрения организационных изменений, новых производственных технологий, машин и оборудования, изменения рабочих процессов, планирования и выполнения работ повышенной опасности и т.д.
Доля инструкций по охране труда, которые были пересмотрены и обновлены (в том числе на периодической основе)
Доля процедур осуществления производственной деятельности, включенных в систему управления охраной труда, которые были пересмотрены и усовершенствованы в ходе реализации корректирующих действий, а также в силу внедрения организационных изменений, новых производственных технологий, машин и оборудования, изменения рабочих процессов, планирования и выполнения работ повышенной опасности и т.д.
4.6 Передача и обмен информацией Число встреч, проведенных руководством организации в целях информирования работников по актуальным вопросам охраны труда
Число сообщений, связанных с вопросами по охране труда, распространенных среди работников при помощи электронной почты, бюллетеней или другими принятыми в организации способами внутренней коммуникации по охране труда
Число внешних информационных материалов по охране труда (докладов, статей, правил и т.д.), распространенных внутри организации
Доля ответов руководителей на предложения работников по улучшению условий и охраны труда (рекомендуется 100%)
Рейтинг эффективности взаимодействия по вопросам охраны труда, полученный по результатам опроса работников
Планирование и применение
4.7 Исходный анализ См. таблицу А.2
4.8 Планирование, разработка и применение системы управления охраной труда Доля планов по улучшению охраны труда, для которых установлены измеримые задачи (мероприятия), а также критерии оценки
Доля затрат на мероприятия по улучшению условий и охраны труда от суммы затрат на производство продукции (работ и услуг)
Удельный объем финансирования мероприятий по охране труда и безопасности производства (в процентах от общего объема затрат или в расчете на одного работника)
Доля структурных подразделений организации, освоивших бюджет на выполнение планов по улучшению охраны труда
Доля задач (мероприятий) в планах улучшения по охране труда, которые были завершены и оценены вовремя
Доля задач (мероприятий) в планах по улучшению охраны труда, которые были проверены и признаны как качественные и результативные
4.9 Цели по охране труда Число измеримых целей по охране труда, установленных в организации
Доля измеримых целей по охране труда, которые подлежат периодической проверке и обновлению
4.10 Предотвращение опасностей
4.10.1 Предупредительные и регулирующие меры Доля рабочих мест, на которых проведена и документирована оценка риска, а меры по управлению риском запланированы и реализуются
Доля процессов оценки рисков, которые завершены и документированы (по отношению к плановому количеству)
Доля проверенных результатов оценок риска на предмет их обоснованности и правильности применяемых мер по их управлению
Удельная численность работников, занятых на рабочих местах с допустимыми и оптимальными условиями труда (в процентах от общей численности занятых работников или в расчете на одну тысячу работников)
Доля рабочих мест с уровнем риска, который оценен как неприемлемый (для которого требуется осуществление мер по управлению риском)
Доля работников, которые проинформированы об уровнях риска и соответствующих мерах по управлению риском, которые должны применяться на рабочих местах
Количество реализованных мер по управлению рисками, при установлении которых учтен порядок приоритетности согласно ГОСТ 12.0.230, подпункт 4.10.1.1)
Удельная численность работников, занятых на рабочих местах, требующих неотложного (первоочередного) улучшения условий труда (в процентах от общей численности занятых работников или в расчете на одну тысячу работников)
Удельная численность работников, занятых на рабочих местах, требующих планового (очередного) улучшения условий труда (в процентах от общей численности занятых работников или в расчете на одну тысячу работников)
Число работников, для которых уровень риска снижен посредством применения средств коллективной защиты
Число работников, для которых уровень риска снижен посредством применения средств индивидуальной защиты
Удельная численность работников, своевременно и в соответствии с нормами обеспеченных средствами индивидуальной защиты (СИЗ) (в процентах от общей численности занятых работников, которые должны быть обеспечены СИЗ, или в расчете на одну тысячу работников)
Доля снижения случаев применения средств индивидуальной защиты в связи с осуществлением других способов управления рисками/превентивных мер
Число мест применения средств индивидуальной защиты, на которых осуществлена проверка надлежащего выбора типа средств индивидуальной защиты исходя из выявленного риска, а также надлежащего их применения работниками
4.10.2 Управление изменениями Количество зафиксированных изменений, для которых были предусмотрены и выполнены меры защиты, включая разработку новых регламентов работы
Количество анализов влияния на условия и состояние охраны труда, выполненных с учетом изменений в национальном законодательстве по охране труда, в правилах осуществления технологических операций
Доля рабочих мест, на которых выполнена оценка риска в процессах внедрения новой техники и материалов, изменения в приемах осуществления производственных операций и т.д.
Число работников, проинформированных о результатах оценки риска, осуществленных в процессе изменений, вносимых на их рабочие места
4.10.3 Предупреждение аварийных ситуаций, готовность к ним и реагирование Число процедур действия в аварийных ситуациях, относительно которых были проведены консультации (согласования) с внешними аварийными службами, местными органами власти и общественностью
Число процедур и планов действия в аварийных ситуациях, которые периодически проверяются и обновляются
Число процедур и планов действия в аварийных ситуациях, которые были проверены и обновлены в результате практической отработки действий
Доля работников, обученных действиям в аварийных ситуациях, в том числе аварийно-спасательным мероприятиям и приемам оказания первой помощи
Доля часов учебных курсов по охране труда, посвященных предупреждению аварийных ситуаций, обеспечению готовности и реагирования в случае их возникновения
Доля работников, участвующих в тренировках по эвакуации в случае возникновения чрезвычайных ситуаций
Доля аварийного оборудования, которое периодически должно проверяться и поддерживаться на предмет технической исправности
Количество проверок и испытаний объектов повышенной опасности
4.10.4 Снабжение Доля договоров купли-продажи, в которых определены требования по охране труда для приобретаемого оборудования, инструментов, материалов и т.д.
Доля закупленной продукции, проверенная на предмет ее соответствия требованиям охраны труда, определенным до приобретения (закупки)
Доля приобретенных крупных объектов (машин, установок и т.д.) повышенной опасности, для которых оценка риска была проведена до введения их в эксплуатацию
4.10.5 Подрядные работы Число подрядчиков, оцененных организацией на предмет их соответствия установленным требованиям охраны труда
Доля подрядчиков, которые представили отчеты по оценке риска и другим аспектам охраны труда, связанным с их рабочим персоналом
Число проверок по охране труда, периодически осуществляемых в организации на рабочих местах подрядчиков
Доля работников подрядных организаций, прошедших обучение по охране труда в отношении выполняемых ими работ
Оценка
4.11 Мониторинг и оценка результативности Доля работников, привлеченных к ответственности за нарушения требований охраны труда, от общего числа работников (отдельно руководители, специалисты и рабочие)
Средняя сумма депремирования за нарушения требований охраны труда, приходящаяся на одного нарушителя
Удельный объем финансирования, направленного на положительную мотивацию и премирование работников за успехи в выполнении мероприятий по охране труда и безопасности производства (в процентах от общего объема затрат работодателя на финансирование мероприятий по охране труда и безопасности производства в расчете на одного работника и в расчете на одного поощренного работника)
Число приостановок ведения работ в опасных условиях, в том числе у подрядчиков (с разбивкой по причинам)
4.12 Расследование связанных с работой травм, ухудшений здоровья, болезней и инцидентов и их воздействие на деятельность по обеспечению безопасности и охраны здоровья Доля завершенных расследований несчастных случаев, болезней и инцидентов, связанных с работой, по отношению ко всем соответствующим зарегистрированным происшествиям
Доля проведенных медицинских исследований (осмотров) работников (по отношению к общей численности работников)
Число корректирующих и предупреждающих действий, осуществляемых в результате анализа и определения причин несчастных случаев, аварий, инцидентов и профессиональных заболеваний
Число отчетов по расследованию причин несчастных случаев, заболеваний и инцидентов, связанных с работой, представленных для обсуждения и принятия во внимание на заседаниях высшего руководства организации (в том числе на заседаниях комитета (комиссии) по охране труда)
4.13 Проверка Число человеко-дней осуществляемых периодически проверок (внутренних аудитов) системы управления охраной труда
Доля элементов и процедур системы управления, подлежащих оценке в ходе проверок (внутренних аудитов) системы управления охраной труда
Число несоответствий и замечаний, выявленных и зарегистрированных при проверках (внутренних аудитах) системы управления охраной труда
Число инициированных по результатам проверок (внутренних аудитов) системы управления охраной труда и осуществленных корректирующих и предупреждающих действий
Число работников, прошедших подготовку по осуществлению проверок (проведению аудитов) и в отношении которых была подтверждена компетентность как внутренних аудиторов системы управления охраной труда
4.14 Анализ эффективности системы управления охраной труда руководством Элемент системы управления охраной труда
Число пунктов и стратегических задач по охране труда, рассмотренных высшим руководством при анализе системы управления охраной труда
Число рекомендаций по улучшению, сформулированных высшим руководством в ходе анализа системы управления охраной труда
Доля рекомендаций, сформулированных высшим руководством в ходе анализа системы управления охраной труда относительно нашедших отражение в планах по улучшению условий и состояния охраны труда
Действия по улучшению
4.15 Предупреждающие и корректирующие действия Доля завершенных корректирующих и предупреждающих действий по отношению ко всем действиям, инициированных в результате мониторинга деятельности по охране труда, проверок (внутренних аудитов) и анализа руководством системы управления охраной труда, а также результатов расследований несчастных случаев, аварий и случаев профзаболеваний
Доля корректирующих и предупреждающих действий, которым предшествовал углубленный анализ причин несоответствий в системе управления охраной труда
Число человеко-часов, посвященных реализации предупреждающих и корректирующих действий в системе управления охраной труда
Доля завершенных корректирующих действий, подлежащих окончательному анализу и признанных (оцененных) как результативные
Среднее время от идентификации несоответствия в системе управления охраной труда до осуществления соответствующих корректирующих действий
Доля бюджета организации, который был потрачен на реализацию и оценку корректирующих и предупреждающих действий
4.16 Непрерывное совершенствование Число новых целей по охране труда и задач, установленных в рамках достижения постоянного улучшения в системе управления охраной труда
Доля завершенных задач, связанных с улучшением элементов и процедур системы управления охраной труда (по отношению к плановым)
Число элементов и процедур системы управления охраной труда, которые в течение определенного периода оценены как значительно улучшенные
Число ключевых показателей эффективности системы управления охраной труда, представленных для сравнения (бенчмаркинга) с аналогичными ключевыми показателями эффективности других организаций
Число изменений в политике в области охраны труда или улучшений в системе управления охраной труда, рекомендованных в результате бенчмаркинга ключевых показателей эффективности
Доля выполнения плана финансирования научно-исследовательских работ и экспертно-консультационных услуг по разработке новых технологий и оборудования, управленческих решений, направленных на повышение безопасности производства и улучшение охраны труда (в процентах от общей суммы плана финансирования научно-исследовательских работ и экспертно-консультационных услуг)

Таблица А.2 - Примеры показателей результативности и эффективности функционирования (ПРЭФ) системы управления охраной труда

Данные Возможный показатель
Общие данные
Среднесписочная численность работающих, из них:
- руководители и специалисты;
- рабочие; женщины;
- лица моложе 18 лет
Количество рабочих мест, всего
Количество единиц оборудования, всего
Количество подрядных организаций на объектах организации
Сумма затрат на производство продукции
Травматизм и профзаболеваемость
Количество несчастных случаев на производстве, в том числе:
- тяжелых;
- групповых;
- смертельных
Коэффициент частоты - частота травматизма за отчетный период в расчете на 1000 работающих:

,

где - число несчастных случаев;
Ч - среднесписочная численность работающих за отчетный период
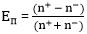
Число дней нетрудоспособности вследствие несчастного случая на производстве Коэффициент тяжести () - показатель средней тяжести одной травмы:

,

где - число дней нетрудоспособности;
- число несчастных случаев
Показатель трудовых потерь :

Число несчастных случаев по причинам:
- нарушения инструкций по охране труда;
- нарушения технологических инструкций;
- организационные причины;
- неприменения или неправильного применения средств индивидуальной защиты;
- и другое.
Распределение несчастных случаев по причинам
Число:
- переведенных на другую работу;
- получивших инвалидность в результате несчастного случая
Материальный ущерб от последствий несчастного случая (стоимость испорченного оборудования, проведенных ремонтных работ и др.)
Число несчастных случаев на производстве у подрядных организаций на объектах организации
Число работников с профессиональными заболеваниями Уровень профессиональной заболеваемости (Число работников с профессиональными заболеваниями/общее количество работников)
Число вновь выявленных профессиональных заболеваний Увеличение доли работников с профессиональными заболеваниями
Условия труда
Число рабочих мест с вредными и/или опасными условиями труда Отношение числа рабочих мест, на которых проведена оценка условий труда, к их общему числу
Удельный вес рабочих мест с вредными и/или опасными условиями труда
Число рабочих мест с вредными и опасными условиями труда и с тяжелыми физическими работами, на которых работают женщины Удельный вес работ с тяжелым физическим трудом и рабочих мест с вредными и опасными условиями труда, на которых работают женщины
Обеспеченность работников средствами индивидуальной и коллективной защиты
Число работников, имеющих право на бесплатное обеспечение средствами индивидуальной защиты, в том числе дежурными Уровень обеспеченности работников средствами индивидуальной защиты, в том числе дежурными
Число работников, обеспеченных средствами индивидуальной защиты, в том числе дежурными
Число необходимых средств коллективной защиты (в соответствии с нормами и проектами) Уровень обеспеченности средствами коллективной защиты (процент от необходимого количества в соответствии с нормами или проектами)
Число находящихся в работоспособном состоянии средств коллективной защиты
Санитарно-бытовое обслуживание
Число санитарно-бытовых помещений и устройств по нормам национального законодательства Показатель обеспеченности санитарно-бытовыми помещениями и устройствами (процент фактического обеспечения от требований норм национального законодательства)
Число оборудованных санитарно-бытовых помещений и устройств
Медицинское обслуживание
Число работников, подлежащих обязательным предварительным и периодическим видам осмотров Доля проведения обязательных предварительных и периодических медицинских осмотров
Число работников, прошедших периодический медицинский осмотр
Предоставление компенсаций за тяжелую работу, работу во вредных и опасных условиях труда
Число работников, имеющих право на компенсации за тяжелую работу, работу во вредных и опасных условиях труда Доля работников, которым предоставляются компенсации за тяжелую работу, работу во вредных и опасных условиях труда и которые имеют на это право
Число работников, которым предоставляются компенсации за тяжелую работу, работу во вредных и опасных условиях труда
Средства на компенсации за тяжелую работу, работу во вредных и опасных условиях труда
Проведение учений по охране труда
Число работников, прошедших проверку знаний по охране труда, в т.ч.:
- руководителей и специалистов:
- рабочих (возможно, по профессиям)
Коэффициент обученных и прошедших проверку знаний (в процентах от численности работников, подлежащих обучению и проверке знаний в соответствии с требованиями)
Число работников, подлежащих повторной проверке знаний требований охраны труда
Обеспечение технической безопасности производства
Число оборудования, соответствующего требованиям охраны труда (исправное техническое состояние) Доля оборудования, соответствующего требованиям охраны труда, от общего числа установленного оборудования
Число оборудования с истекшим сроком эксплуатации (без продления сроков безопасной эксплуатации) Доля оборудования с истекшим сроком эксплуатации (без продления сроков) от общего числа оборудования
Готовность к действиям при инцидентах, авариях и несчастных случаях
Обеспеченность средствами сигнализации, оповещения, связи, первичными средствами пожаротушения, аптечками первой медицинской помощи Обеспеченность (в процентах от предусмотренного проектами количества)

Приложение Б
(рекомендуемое)

ПРИМЕРЫ СТАТИСТИЧЕСКИХ ПОКАЗАТЕЛЕЙ ДЛЯ ОЦЕНКИ РЕЗУЛЬТАТИВНОСТИ И ЭФФЕКТИВНОСТИ ДЕЯТЕЛЬНОСТИ В ОБЛАСТИ ОХРАНЫ ТРУДА СУБЪЕКТОВ ПРАВА, ВКЛЮЧАЯ ОРГАНЫ УПРАВЛЕНИЯ, НАДЗОРА И КОНТРОЛЯ

Б.1 При анализе условий и охраны труда и составлении программ улучшения условий и охраны труда на различных уровнях управления, надзора и контроля применяются статистические показатели для объективного сравнительного анализа и измерения результативности и эффективности проводимых мероприятий, а также наглядности описания состояния условий и охраны труда.

Б.2 Статистические показатели представляют собой количественную характеристику правовых, социальных, экономических, гигиенических, организационных и технико-технологических явлений и процессов охраны труда в условиях их качественной определенности, непосредственно связанной с состоянием охраны труда.

Б.3 Примеры статистических показателей для оценки результативности и эффективности деятельности в области охраны труда, приведенные в таблице Б.1, являются наиболее характерными и наиболее часто используемыми для целей регулирования деятельности в области охраны труда.

Они могут быть применены к любой совокупности первичных статистических данных, свойственных отдельному субъекту права (работодателю) и к любой их совокупности (в том числе действующей в рамках вида экономической деятельности, отрасли, характера производственной деятельности, территории и т.д.).

Б.4 Примеры статистических показателей для оценки результативности и эффективности деятельности в области охраны труда не являются единственно возможным и полным перечнем всех частных случаев их использования.

Субъект права, в том числе орган управления, контроля и надзора, проводящий анализ или формирующий программу (план мероприятий) по улучшению условий и охраны труда, приведенные в таблице Б.1, должен выбрать адекватную систему показателей и индикаторов, самостоятельно установив при этом все показатели, необходимые для полной и достоверной оценки и планирования.

Б.5 Для оценки последствий производственного травматизма и профессиональной заболеваемости может быть использован широко применяющийся в международной практике показатель DALY (от англ. Disability-Adjusted - Life - Year), т.е. годы жизни, скорректированные по нетрудоспособности.

DALY - показатель, оценивающий суммарное "бремя болезни", выраженное через количество потенциальных лет полноценной жизни, утраченных из-за преждевременной смертности и из-за нетрудоспособности. Таким образом, смертность и заболеваемость (с потерей трудоспособности) удается оценить в одних единицах измерения, (количество утраченных лет полноценной жизни) и представить в виде одного показателя DALY.

Потери потенциальных лет жизни при преждевременной смертности можно оценить с помощью показателя YLL (ожидаемое (среднее) количество потерянных лет жизни), который рассчитывается на основе ожидаемой продолжительности жизни в момент смерти. Влияние нетрудоспособности можно оценить с помощью показателя YLD (ожидаемое (среднее) количество потерянных лет трудоспособной жизни). Поэтому DALY = YLL + YLD.

Таблица Б.1 - Примеры показателей для оценки результативности и эффективности деятельности в области охраны труда субъектов права, включая органы управления, контроля и надзора

Тип показателя Возможные важнейшие показатели
Базовые абсолютные статистические показатели Численность населения
Численность трудоспособного (экономически активного) населения
Численность лиц, застрахованных от профессиональных рисков (самостоятельно и/или работодателями)
Численность лиц, получающих трудовую пенсию по старости
Численность лиц, получающих досрочную трудовую пенсию по старости
Численность лиц, получающих социальное обеспечение по факту страхового случая, связанного с их работой, - производственного травмирования или профессионального заболевания
Численность лиц, получающих обеспечение (социальное, страховое) по факту страхового случая, связанного с потерей кормильца из-за смертельного травмирования, острого отравления, острого радиационного поражения
Численность рабочих мест
Численность хозяйствующих субъектов права (в т.ч. с разбивкой по численности работников, принятой в статистических показателях государства, на территории которого применяется настоящий стандарт)
Численность страхователей - всего работодателей, в том числе индивидуальных предпринимателей
Среднесписочная численность застрахованных работников одним страхователем - работодателем
Численность травм, связанных с работой, зарегистрированных по обращениям граждан в органы здравоохранения
Численность подозрений на профессиональное заболевание, зарегистрированных по обращениям граждан в органы здравоохранения
Численность травм, признанных производственными по результатам расследования, в том числе численность смертельных травм или травм с тяжелым исходом
Численность заболеваний, признанных профессиональными по результатам расследования
Численность организаций, оказывающих услуги в области охраны труда, прошедших требуемую аккредитацию (с разбивкой по направлениям и объектам оказания услуг)
Среднерыночная стоимость оказания услуг в области охраны труда (в пересчете по направлениям и объектам оказания услуг)
Относительные статистические показатели эффективности защиты от профессиональных рисков Удельная численность работников, погибших в результате несчастных случаев на производстве со смертельным исходом, в расчете на одну тысячу работников за календарный год
Удельная численность пострадавших работников в результате несчастных случаев на производстве в расчете на одну тысячу работников за календарный год
Удельная численность выявленных сокрытий несчастных случаев на производстве (в процентах от суммы учтенных и сокрытых несчастных случаев на производстве) за календарный год
Удельная численность лиц, которым впервые в рассматриваемом году установлено профессиональное заболевание, в расчете на 10 тысяч работников
Удельная численность лиц, которым впервые в рассматриваемом году установлена инвалидность по трудовому увечью, в расчете на 10 тысяч работников
Удельная численность лиц, которым впервые в рассматриваемом году назначено социальное обеспечение по профессиональным рискам, в расчете на 10 тысяч работников
Удельная численность лиц, которым назначено социальное обеспечение по профессиональным рискам, в расчете на 10 тысяч работников (с разбивкой на общий, смертельный, не смертельный травматизм, профессиональные заболевания, впервые выявленные профессиональные заболевания)
Относительные статистические показатели состояния условий труда и степени профессиональных рисков Удельная численность работников, занятых во вредных условиях труда, не отвечающих санитарно-гигиеническим нормам (в процентах от общей численности или в расчете на одну тысячу работников)
Удельная численность работников, занятых в опасных условиях труда (в процентах от общей численности или в расчете на одну тысячу работников)
Удельная численность работников, занятых в допустимых условиях труда, отвечающих установленным санитарно-гигиеническим нормам (в процентах от общей численности или в расчете на одну тысячу работников)
Удельная численность рабочих мест, на которых проведена оценка условий труда (в том числе в форме обязательных по национальному законодательству оценок условий труда) (в процентах от общего количества рабочих мест)
Удельная численность рабочих мест, на которых по результатам оценки условий труда установлены вредные и/или опасные условия труда (в процентах от общего количества рабочих мест)
Удельная численность работников, занятых на рабочих местах, прошедших оценку условий труда (в процентах от общей численности занятых работников или в расчете на одну тысячу работников)
Удельная численность работников, охваченных периодическими медицинскими осмотрами (в процентах от общей численности занятых работников или в расчете на одну тысячу работников)
Удельная численность работников, работающих вахтовым методом (в процентах от общей численности занятых работников или в расчете на одну тысячу работников)
Удельная численность работодателей, эксплуатирующих опасные производственные объекты (в процентах от общей численности работодателей или в расчете на одну тысячу работодателей)
Удельная численность работодателей, эксплуатирующих собственные транспортные средства (в процентах от общей численности работодателей или в расчете на одну тысячу работодателей)
Удельная численность работодателей, деятельность которых относится к тому или иному классу профессионального риска (в процентах от общей численности работодателей или в расчете на одну тысячу работодателей)
Удельная численность лиц, болеющих теми или иными профессиональными заболеваниями, в зависимости от этиологии заболевания (в процентах от общей численности заболевших или в расчете на 10 тысяч работников)
Удельная численность лиц, болеющих теми или иными профессиональными заболеваниями, в зависимости от класса профессионального риска производственной деятельности работодателя (в процентах от общей численности заболевших или в расчете на 10 тысяч работников)
Относительные статистические показатели эффективности регулирования деятельности работодателей по выполнению государственных нормативных требований охраны труда (на уровне региона, отрасли, фокус-группы организаций) Удельная численность работодателей, имеющих системы организации работ по охране труда и безопасности производства (системы управления охраной труда, интегрированные системы и т.п.) (в процентах от общей численности работодателей или в расчете на одну тысячу работодателей)
Удельная численность работодателей, имеющих сертифицированные системы организации работ по охране труда и безопасности производства (системы управления охраной труда, интегрированные системы и т.п.) (в процентах от общей численности работодателей или в расчете на одну тысячу работодателей)
Удельная численность работодателей, оформивших в установленном порядке декларации соответствия условий труда государственным нормативным требованиям охраны труда (в процентах от общей численности работодателей или в расчете на одну тысячу работодателей)
Удельная численность работодателей, имеющих штатных работников - специалистов по охране труда (в процентах от общей численности работодателей, обязанных их иметь, или в расчете на одну тысячу работодателей)
Удельная численность работодателей, имеющих работников - уполномоченных (доверенных) лиц по охране труда (в процентах от общей численности работодателей или в расчете на одну тысячу работодателей)
Удельная численность работодателей, имеющих совместный комитет (комиссию) по охране труда (в процентах от общей численности работодателей или в расчете на одну тысячу работодателей)
Удельная численность работодателей, своевременно проведших оценку условий труда (в процентах от общей численности работодателей или в расчете на одну тысячу работодателей)
Удельная численность работодателей, своевременно организовавших прохождение периодического медицинского осмотра работниками (в процентах от общей численности работодателей или в расчете на одну тысячу работодателей)
Удельная численность работодателей, заключивших с представителями работников коллективный договор, который прошел уведомительную регистрацию (в процентах от общей численности работодателей или в расчете на одну тысячу работодателей)
Удельная численность работодателей - индивидуальных предпринимателей, своевременно прошедших обучение по охране труда в аккредитованных организациях (в процентах от общей численности работодателей - индивидуальных предпринимателей или в расчете на одну тысячу работодателей - индивидуальных предпринимателей)
Удельная численность специалистов по охране труда, имеющих профильное образование или прошедших профессиональную переподготовку через систему дополнительного профессионального образования по охране труда (в процентах от общей численности специалистов по охране труда)
Удельная численность страхователей, которым установлены скидки к страховому тарифу (в процентах от общей численности страхователей или в единицах на одну тысячу страхователей)
Удельная численность страхователей, которым установлены надбавки к страховому тарифу (в процентах от общей численности страхователей или в единицах на одну тысячу страхователей)
Статистические показатели регулирования деятельности работодателей по выполнению государственных нормативных требований охраны труда Удельная численность действующих муниципальных программ по улучшению условий и охраны труда (в процентах от общей численности муниципальных образований региона)
Удельная численность территориальных (муниципальных) трехсторонних соглашений по регулированию социально-трудовых отношений (в процентах от общей численности муниципальных образований региона)
Удельная численность муниципальных служащих - специалистов по охране труда, ведущих непосредственную работу по реализации функций по управлению охраной труда в соответствии с переданными им отдельными полномочиями по государственному управлению охраной труда (в процентах от общей численности муниципальных образований региона)
Удельная численность муниципальных мероприятий по улучшению условий и охраны труда (в процентах от общей численности муниципальных образований региона)
Удельные финансовые затраты на организационные мероприятия по управлению условиями и охраной труда за год (на одного застрахованного работника или в процентах от средней заработной платы)
Статистические показатели надзора за правоприменительной практикой работодателей по выполнению государственных нормативных требований охраны труда Удельная численность работодателей, охваченная проверками по охране труда территориальным органом государственной инспекции труда (в процентах от общей численности работодателей или в расчете на одну тысячу работодателей)
Удельная численность работодателей, охваченных общественными проверками по охране труда по линии профсоюзов (в процентах от общей численности работодателей или в расчете на одну тысячу работодателей)
Удельная численность выявленных в ходе проведения проверок правонарушений (на одну проверку)
Удельная численность предписаний, выданных по результатам проведения проверок (в процентах от числа проверок)
Удельная численность мероприятий реагирования на выявленные нарушения (в процентах от числа проверок), в том числе:
- оформление трудовых договоров с работниками;
- прекращение использования не имеющих сертификатов соответствия или не соответствующих требованиям охраны труда (в том числе требованиям технических регламентов) средств индивидуальной и коллективной защиты работников;
- отстранение от работы лиц, не прошедших в установленном порядке обучение и инструктаж по охране труда, стажировку на рабочем месте и проверку знаний требований охраны труда
Удельная численность принятых судами решений о назначении административных наказаний на основании протоколов, оформленных должностными лицами государственной инспекции труда (в процентах от числа направленных в суды протоколов для привлечения к административной ответственности лиц, виновных в допущенных административных правонарушениях)
Удельная численность привлеченных по результатам проверок к дисциплинарной ответственности работников организаций, виновных в допущенных нарушениях требований трудового законодательства (в единицах на одну тысячу работников)
Удельная численность направленных материалов в органы прокуратуры и следствия в целях рассмотрения в установленном порядке вопроса о привлечении к уголовной ответственности должностных лиц, виновных в допущенных нарушениях требований трудового законодательства в связи с несчастными случаями на производстве (в процентах к числу несчастных случаев на производстве)
Удельная численность обращений граждан (в единицах на 100 тыс. работников)
Удельная численность проведенных расследований несчастных случаев (в процентах от числа несчастных случаев, признанных страховыми)
Удельная численность несчастных случаев, квалифицированных как "не связанные с производством", из общего количества расследованных несчастных случаев (в процентах)
Статистические показатели защиты пострадавших от профессиональных рисков средствами обязательного социального страхования Объем средств, направляемый на страховое обеспечение по причине утраты трудоспособности и/или утраты кормильца (в процентах от суммы собираемых взносов и в процентах от суммарной заработной платы застрахованных работников)
Удельная численность несчастных случаев и/или случаев заболевания, подозреваемого как имеющее причинную связь с условиями труда и рассматриваемого как возможное профессиональное заболевание, квалифицированных как "не страховые", из общего количества произошедших и расследованных случаев (в процентах)
Удельная численность лиц, получающих страховое обеспечение по причине утраты трудоспособности (из-за несчастного случая, и/или из-за острого отравления, и/или из-за хронической профессиональной болезни) (в единицах на 100 тыс. застрахованных работников)
Удельная численность несчастных случаев и/или случаев профессионального заболевания, сокрытых от своевременного расследования и учета, в определенный календарный период к общему числу таких расследованных случаев в тот же период (в процентах)
Удельная численность лиц, получающих страховое обеспечение по причине утраты кормильца (в процентах к числу лиц, получающих страховое обеспечение, или в единицах на 100 тыс. населения)
Статистические показатели выполнения работодателями нормативных требований охраны труда согласно национальному законодательству Удельная численность работодателей, имеющих сертифицированную систему организации работ по охране труда и безопасности производства (системы управления охраной труда, интегрированные системы и т.п.), к числу всех работодателей
Удельная численность работодателей, имеющих совместный комитет (комиссию) по охране труда, к числу всех работодателей
Удельная численность работодателей, подписавших коллективный договор и соглашения по охране труда, к числу работодателей, работники которых объединены в действующую профсоюзную организацию

Приложение В
(справочное)

ПРИМЕРЫ МЕТОДОВ МАТЕМАТИЧЕСКОЙ ОБРАБОТКИ И ПРЕДСТАВЛЕНИЯ ДАННЫХ ДЛЯ ИНДИКАЦИИ (РАСЧЕТА ПОКАЗАТЕЛЕЙ) РЕЗУЛЬТАТИВНОСТИ И ЭФФЕКТИВНОСТИ ДЕЯТЕЛЬНОСТИ В ОБЛАСТИ ОХРАНЫ ТРУДА

В.1 Методы математической обработки и представления данных для индикации (расчета показателей) результативности и эффективности деятельности в области охраны труда, приводимые ниже, не являются единственно возможным и полным перечнем всех частных случаев их использования.

Ниже приведены наиболее часто используемые и наиболее характерные методы обработки и представления данных. Они могут быть применены к любой совокупности первичных статистических данных.

В.2 Все первичные (до обработки и после) данные могут быть представлены как единичные показатели, характеризующие какое-то отдельное свойство (признак) деятельности в области охраны труда.

Единичный показатель может быть выражен в вербальной (в шкале наименований и/или порядка) или в количественной форме.

Единичный показатель может иметь размерность или быть безразмерным.

Для наглядности сравнения единичный показатель может быть приведен к относительной форме. При этом он автоматически становится безразмерным.

На практике единичный показатель чаще всего приводят к относительной форме в долях от базовой (реперной, нормативной) величины на интервале от 0 до 1,0 или в процентах от базовой (реперной, нормативной) величины на интервале от 0% до 100%. Следует знать, что для дальнейшей обработки наиболее удобно представление единичных показателей в долях.

В ряде случаев наглядного представления соотношения "положительных" и "отрицательных" моментов полезно представить единичный показатель на интервале: от минус 1 - "все плохо", например ничего не сделано, до плюс 1 - "все хорошо", например все выполнено в срок. Тогда показатель будет равен:

, (В.1)

где - число положительных моментов;

- число отрицательных моментов.

В.3 В практике охраны труда из различных статистических единичных показателей ряда случайных чисел, характеризующих состояние охраны труда, наиболее часто используется мода, т.е. наиболее часто встречающееся значение единичного показателя.

В.4 Помимо единичных показателей существуют обобщенные (комплексные, сложные, интегральные, синтезированные и т.п.) показатели, получаемые теми или иными методами из единичных показателей с помощью различных функций. Такие показатели определяют (рассчитывают) путем построения сводной сравнительной оценки, которая, объединяя информацию о значениях отдельных единичных показателей и информацию об их значимости, позволила бы упорядочить (проранжировать) по степени их общей предпочтительности все рассматриваемые объекты (например, состояние охраны труда).

Наиболее часто в практике методов обобщенных показателей применяется аддитивная синтезирующая функция - взвешенная арифметическая средняя , где каждый суммируемый отдельный i-й единичный показатель берется с тем или иным весом значимости :

, (В.2)
где .

При применении функции следует помнить, что она не позволяет описать критичность состояния всего объекта при критичности состояния отдельных элементов за счет влияния некритических элементов. Это затрудняет ее использование в охране труда и безопасности производства, где невыполнение даже одного элемента системы чревато неработоспособностью системы в целом.

Для учета таких ситуаций используют мультипликативную синтезирующую функцию - взвешенную геометрическую среднюю , где каждый перемножаемый отдельный i-й единичный показатель берется с тем или иным весом значимости :

. (В.3)

В функции "неблагополучие" одного элемента (показателя) влечет за собой "неблагополучие" всей функции.

В.5 Оценка результатов деятельности в области охраны труда является многокритериальной задачей, и для ее решения могут использоваться различные методы построения обобщенного показателя. Одним из таких способов выступает обобщенная функция желательности Харрингтона, которая обладает такими свойствами, как непрерывность, монотонность и гладкость.

Суть метода оценок по обобщенной функции Харрингтона - получение общего показателя состояния и условий охраны труда и сравнение по нему различных систем управления охраной труда взамен простого сравнения отдельных показателей, характеризующих результативность и эффективность.

Пересчет конкретных ПРЭД в абстрактные числовые значения основан на применении "кривой желательности" Харрингтона, которая определяется функцией (безразмерной количественной переменной) с двумя участками насыщения (при d -> 0 и d -> 1) и линейным участком (при d от 0,2 до 0,63):

.

Ось координат Y называется шкалой частных показателей, ось d - шкалой желательности. Промежуток эффективных значений на шкале частных показателей - [-2; +5]. Выбор этого промежутка на шкале частных показателей обусловлен тем, что именно в этих точках значения на шкале желательности уже практически близки к граничным, но еще могут существенно меняться в зависимости от значений ПРЭД.

Шкала желательности делится в диапазоне от 0 до 1 на пять диапазонов. Соответствия между отношениями предпочтения в вербальной (лингвистической) и числовой системах представлены в таблице В.1. "Кривая желательности" медленно изменяется в области крайних оценок ("очень хорошо", "очень плохо") и быстро меняется в области средних оценок ("удовлетворительно"), что характерно для многих характеристик безопасности, надежности, качества. Таким образом, шкала Харрингтона по существу отражает характер искажений экспертных оценок, вызванных их субъективным характером. Действительно, если бы экспертные оценки не страдали указанным недостатком, то следовало бы приведенным в таблице В.1 лингвистическим переменным сопоставить на шкале желательности интервалы одинаковой длины.

Таблица В.1 - Соответствие вербальной и числовой систем функции Харрингтона

Вербальное (лингвистическое) выражение Интервалы значений функции Харрингтона
"Очень хорошо" От 0,80 до 1,00
"Хорошо" От 0,63 до 0,80
"Удовлетворительно" От 0,37 до 0,63
"Плохо" От 0,20 до 0,37
"Очень плохо" От 0 до 0,20

Конкретные ПРЭД распределяются на промежутке эффективных значений шкалы частных показателей в масштабе, соответствующем предъявляемым к ним требованиям. Если "наилучшему" значению конкретного ПРЭД присвоить значение "+5", а "наихудшему" - "-2", то все остальные расположатся между ними, образуя масштабируемую последовательность значений.

Затем соответствующие им показатели пересчитываются в отметки на шкале желательности. Полученное значение частного показателя желательностей d(i), основанное на оценке i-го ПРЭД, пересчитывается вместе с другими в обобщенный коэффициент желательности D:

,

где n - число используемых ПРЭД, причем число это может быть не одинаковым для разных систем.

Примечание - Можно использовать и взвешенную геометрическую среднюю частных желательностей, но вопрос о весах тех или иных желательностей остается на субъективный выбор исследователя.

Важное свойство функции D состоит в том, что достаточно хотя бы одного нулевого (близкого к нулю) значения частного показателя желательности d(i), чтобы D также имело нулевое (близкое к нулю) значение. Таким образом, при непригодном значении хотя бы одного ПРЭД D -> 0, что свидетельствует о плохой результативности и эффективности. Величина D -> 1 только в том случае, когда наблюдаются высокие значения всех показателей d(i). Таким образом, использование функции Харрингтона позволяет получить более жесткую ОРД в области охраны труда по сравнению с традиционно используемыми индексами, например рассчитываемыми как среднее арифметическое отдельных показателей состояния и условий охраны труда.

Число n может быть не одинаковым для разных систем. Это позволяет сравнивать обобщенные коэффициенты даже тогда, когда отсутствует часть параметров сравнения у различных систем или отсутствуют данные по ним. Корень n-й степени "сглаживает" возникающие отклонения, а полученный результат позволяет оценивать системы (с определенной точностью) "математически".

Если коэффициент желательности D находится на нижнем криволинейном участке функции Харрингтона, то для достижения удовлетворительной результативности и эффективности деятельности в области охраны труда и системы управления охраной труда потребуется "подтягивание" практически всех ПРЭД до приемлемого уровня (что связано с большими затратами ресурсов).

Если коэффициент желательности D расположен на линейном участке [0,2; 0,8], то даже относительно небольшое улучшение в отношении одного-двух ПРЭД может существенно увеличить "желательность" деятельности или системы.

Когда деятельность или система имеет обобщенный коэффициент желательности D порядка от 0,8 до 0,9, принято говорить о деятельности или системе как очень хорошей и близкой к пределу своего развития. Улучшение их характеристик путем "вытягивания" всех ПРЭД на максимум потребует чрезмерно больших ресурсов.

Для выявления предельно нежелательного отклонения в результативности и эффективности деятельности в области охраны труда наиболее часто используют одностороннее ограничение обобщенной функции Харрингтона, а в качестве границы предельно допустимых значений обычно используют значение 0,37.

Следует также отметить, что в практике охраны труда часто применяется ранжированный ряд вербальных (лингвистических) оценок типа "очень хорошо", "хорошо", "удовлетворительно", "плохо", "очень плохо". Одним из наиболее удобных способов преобразования этих качественных показателей в определенные числовые оценки (см. таблицу В.1) также является функция Харрингтона.

В.6 Важную роль в анализе показателей результативности и эффективности деятельности по охране труда играет группировка информации - деление всей изучаемой совокупности объектов на качественно однородные группы по соответствующим признакам. В зависимости от задач говорят о типологических, структурных и аналитических (причинно-следственных) группировках.

Примером типологических группировок могут быть группы работников по трудовым функциям (профессиям, специальностям), группы работодателей по численности или характеру производственной деятельности.

Структурные группировки предназначены для изучения внутреннего строения показателей сложных объектов, соотношения в нем отдельных частей. Примером таких группировок может стать состав пострадавших по профессиям, стажу работы, возрасту. Особенно большое значение имеют структурные группировки при анализе сводной отчетности организации или их совокупности.

Аналитические (причинно-следственные) группировки используются для определения наличия, направления и формы связи между изучаемыми показателями.

При построении группировок нужно очень серьезно относиться к делению совокупности на группы, а также к выбору числа групп, потому что в зависимости от этого могут существенно измениться результаты анализа.

В.7 Важную роль при принятии решений играет наглядность представления информации. Как правило, информацию представляют в табличном и/или графическом виде.

Результаты обработки первичных показателей, как правило, представляют в виде таблиц. Таблица является наиболее рациональной, компактной и относительно наглядной формой представления материала.

Наиболее наглядными способами представления информации являются графики (диаграммы) и их раскраска цветом.

По форме графического образа выделяют линейные графики (к ним относят статистические кривые), плоскостные графики (подразделяются на столбиковые, полосовые, квадратные, круговые, секторные, фоновые, точечные, фигурные, пиктографики), объемные (отражаются в виде поверхностных распределений).

В.8 Для наглядности состояния совокупности единичных показателей удобно использовать радиальные (сетчатые) диаграммы, позволяющие отображать эту совокупность разнородных показателей и тем самым наглядно характеризовать состояние всей этой совокупности по значениям отдельных единичных показателей.

В радиальной диаграмме множество радиусов задает перебор единичных показателей. Отнормированное к интервалу от 0 до 1 или от минус 1 до плюс 1 значение единичного показателя фиксируется по радиусу. Если при этом прочерчены базовые окружности значений "минус 1", "0" и "плюс 1", то фигурой идеально хорошего состояния будет окружность с радиусом "плюс 1". Легко визуализируемое отклонение от этой окружности будет характеризовать "недоработки" по тем или иным показателям.

БИБЛИОГРАФИЯ

[1] ISO 14031:2013 Экологический менеджмент. Оценивание экологической деятельности. Руководящие указания (Environmental management. Environmental performance evaluation. Guidelines)
УДК 658.3:331.45:006.354 МКС 13.100
Ключевые слова: система управления охраной труда, результативность, эффективность, показатели, оценка