Инструкция ЦБ РФ от 28.06.2017 N 180-И

"Об обязательных нормативах банков"
Редакция от 26.07.2018 — Документ утратил силу, см. «Инструкция ЦБ РФ от 29.11.2019 N 199-И»
Показать изменения

Зарегистрировано в Минюсте России 12 июля 2017 г. N 47383


ЦЕНТРАЛЬНЫЙ БАНК РОССИЙСКОЙ ФЕДЕРАЦИИ

ИНСТРУКЦИЯ
от 28 июня 2017 г. N 180-И

ОБ ОБЯЗАТЕЛЬНЫХ НОРМАТИВАХ БАНКОВ

(в ред. Указаний ЦБ РФ от 08.09.2017 N 4521-У, от 06.12.2017 N 4635-У, от 02.04.2018 N 4763-У, от 04.07.2018 N 4851-У, от 26.07.2018 N 4875-У)

Настоящая Инструкция на основании статей 62, 64 - 67, 70 - 72 Федерального закона от 10 июля 2002 года N 86-ФЗ "О Центральном банке Российской Федерации (Банке России)" (Собрание законодательства Российской Федерации, 2002, N 28, ст. 2790; 2003, N 2, ст. 157; N 52, ст. 5032; 2004, N 27, ст. 2711; N 31, ст. 3233; 2005, N 25, ст. 2426; N 30, ст. 3101; 2006, N 19, ст. 2061; N 25, ст. 2648; 2007, N 1, ст. 9, ст. 10; N 10, ст. 1151; N 18, ст. 2117; 2008, N 42, ст. 4696, ст. 4699; N 44, ст. 4982; N 52, ст. 6229, ст. 6231; 2009, N 1, ст. 25; N 29, ст. 3629; N 48, ст. 5731; 2010, N 45, ст. 5756; 2011, N 7, ст. 907; N 27, ст. 3873; N 43, ст. 5973; N 48, ст. 6728; 2012, N 50, ст. 6954; N 53, ст. 7591, ст. 7607; 2013, N 11, ст. 1076; N 14, ст. 1649; N 19, ст. 2329; N 27, ст. 3438, ст. 3476, ст. 3477; N 30, ст. 4084; N 49, ст. 6336; N 51, ст. 6695, ст. 6699; N 52, ст. 6975; 2014, N 19, ст. 2311, ст. 2317; N 27, ст. 3634; N 30, ст. 4219; N 40, ст. 5318; N 45, ст. 6154; N 52, ст. 7543; 2015, N 1, ст. 4, ст. 37; N 27, ст. 3958, ст. 4001; N 29, ст. 4348, ст. 4357; N 41, ст. 5639; N 48, ст. 6699; 2016, N 1, ст. 23, ст. 46, ст. 50; N 26, ст. 3891; N 27, ст. 4225, ст. 4273, ст. 4295; 2017, N 1, ст. 46; N 14, ст. 1997; N 18, ст. 2661, ст. 2669) (далее - Федеральный закон "О Центральном банке Российской Федерации (Банке России)"), статьи 24 Федерального закона "О банках и банковской деятельности" (в редакции Федерального закона от 3 февраля 1996 года N 17-ФЗ) (Ведомости Съезда народных депутатов РСФСР и Верховного Совета РСФСР, 1990, N 27, ст. 357; Собрание законодательства Российской Федерации, 1996, N 6, ст. 492; 1998, N 31, ст. 3829; 1999, N 28, ст. 3459, ст. 3469; 2001, N 26, ст. 2586; N 33, ст. 3424; 2002, N 12, ст. 1093; 2003, N 27, ст. 2700; N 50, ст. 4855; N 52, ст. 5033, ст. 5037; 2004, N 27, ст. 2711; N 31, ст. 3233; 2005, N 1, ст. 18, ст. 45; N 30, ст. 3117; 2006, N 6, ст. 636; N 19, ст. 2061; N 31, ст. 3439; N 52, ст. 5497; 2007, N 1, ст. 9; N 22, ст. 2563; N 31, ст. 4011; N 41, ст. 4845; N 45, ст. 5425; N 50, ст. 6238; 2008, N 10, ст. 895; 2009, N 1, ст. 23; N 9, ст. 1043; N 18, ст. 2153; N 23, ст. 2776; N 30, ст. 3739; N 48, ст. 5731; N 52, ст. 6428; 2010, N 8, ст. 775; N 27, ст. 3432; N 30, ст. 4012; N 31, ст. 4193; N 47, ст. 6028; 2011, N 7, ст. 905; N 27, ст. 3873, ст. 3880; N 29, ст. 4291; N 48, ст. 6730; N 49, ст. 7069; N 50, ст. 7351; 2012, N 27, ст. 3588; N 31, ст. 4333; N 50, ст. 6954; N 53, ст. 7605, ст. 7607; 2013, N 11, ст. 1076; N 19, ст. 2317, ст. 2329; N 26, ст. 3207; N 27, ст. 3438, ст. 3477; N 30, ст. 4084; N 40, ст. 5036; N 49, ст. 6336; N 51, ст. 6683, ст. 6699; 2014, N 6, ст. 563; N 19, ст. 2311; N 26, ст. 3379, ст. 3395; N 30, ст. 4219; N 40, ст. 5317, ст. 5320; N 45, ст. 6144, ст. 6154; N 49, ст. 6912; N 52, ст. 7543; 2015, N 1, ст. 37; N 17, ст. 2473; N 27, ст. 3947, ст. 3950; N 29, ст. 4355, ст. 4357, ст. 4385; N 51, ст. 7243; 2016, N 1, ст. 23; N 15, ст. 2050; N 26, ст. 3860; N 27, ст. 4294, ст. 4295; 2017, N 14, ст. 2000; N 18, ст. 2661, ст. 2669; N 25, ст. 3596) (далее - Федеральный закон "О банках и банковской деятельности") и в соответствии с решением Совета директоров Банка России (протокол заседания Совета директоров Банка России от 29 мая 2017 года N 12) устанавливает числовые значения и методики определения обязательных нормативов банков, а также особенности осуществления Банком России надзора за их соблюдением.

Глава 1. Общие положения

1.1. Настоящая Инструкция применяется в отношении следующих обязательных нормативов банков с универсальной лицензией (далее - банки): (в ред. Указания ЦБ РФ от 06.12.2017 N 4635-У)

достаточности капитала;

ликвидности;

максимального размера риска на одного заемщика или группу связанных заемщиков;

максимального размера крупных кредитных рисков;

максимального размера кредитов, банковских гарантий и поручительств, предоставленных банком своим участникам (акционерам);

совокупной величины риска по инсайдерам банка;

использования собственных средств (капитала) банков для приобретения акций (долей) других юридических лиц;

максимального размера риска на связанное с банком лицо (группу связанных с банком лиц).

1.2. Числовые значения и методики определения иных обязательных нормативов, установленных Федеральным законом "О Центральном банке Российской Федерации (Банке России)", а именно: предельного размера имущественных (неденежных) вкладов в уставный капитал кредитной организации, а также перечень видов имущества в неденежной форме, которое может быть внесено в оплату уставного капитала; минимального размера резервов, создаваемых под риски; размеров валютного и процентного рисков; обязательных нормативов для банков с базовой лицензией, банковских групп и небанковских кредитных организаций - устанавливаются иными нормативными актами Банка России. (в ред. Указания ЦБ РФ от 06.12.2017 N 4635-У)

1.3. Обязательные нормативы банков (далее - обязательные нормативы) рассчитываются в соответствии с определенными в настоящей Инструкции методиками их определения на основании принципов достоверности и объективности, осмотрительности, преобладания экономической сущности над формой и других международно признанных принципов, позволяющих качественно оценить операции и отразить их в отчетности. При расчете обязательных нормативов учитываются остатки на балансовых и внебалансовых счетах (их частях), если иное не определено Банком России. (в ред. Указания ЦБ РФ от 06.12.2017 N 4635-У)

При расчете обязательных нормативов должны выполняться следующие требования:

если остатки на балансовых счетах и (или) их части, не входящие в перечень балансовых счетов и (или) кодов, приведенных в настоящей Инструкции для расчета обязательного норматива, по экономическому содержанию относятся к рискам, регулируемым (ограничиваемым) обязательным нормативом, банк включает эти счета (их части) в расчет обязательного норматива;

если остатки на балансовых счетах и (или) их части, входящие в перечень балансовых счетов и (или) кодов, приведенных в настоящей Инструкции для расчета обязательного норматива, и предназначенные для покрытия (уменьшения) регулируемого им риска, по экономическому содержанию не покрывают (не уменьшают) данный риск, банк не включает эти счета (их части) в расчет обязательного норматива.

При расчете обязательных нормативов банками, осуществляющими функции центрального контрагента, соответствующими условиям кода 8846 приложения 1 к настоящей Инструкции, не учитываются остатки на балансовых и внебалансовых счетах (их частях), образовавшиеся в результате проведения операций при осуществлении клиринговой деятельности и функций центрального контрагента.

1.4. Настоящая Инструкция устанавливает числовые значения и методику расчета следующих надбавок к нормативам достаточности капитала банка (далее - надбавки):

поддержания достаточности капитала;

антициклической;

за системную значимость.

1.5. При расчете обязательных нормативов рейтинги долгосрочной кредитоспособности, присвоенные иностранными кредитными рейтинговыми агентствами по международной рейтинговой шкале "Эс-энд-Пи Глобал Рейтингс" (S&P Global Ratings) или "Фитч Рейтингс" (Fitch Ratings) либо "Мудис Инвесторс Сервис" (Moody's Investors Service) (далее - иностранные кредитные рейтинговые агентства), используются только в отношении иностранных объектов рейтинга (за исключением пункта 2.6 настоящей Инструкции, приложений 7, 10 к настоящей Инструкции, в которых рейтинги долгосрочной кредитоспособности, присвоенные иностранными кредитными рейтинговыми агентствами, используются с учетом положений документов Базельского комитета по банковскому надзору). (в ред. Указания ЦБ РФ от 06.12.2017 N 4635-У)

В отношении российских объектов рейтинга используются кредитные рейтинги, присвоенные по национальной рейтинговой шкале для Российской Федерации кредитными рейтинговыми агентствами, сведения о которых внесены Банком России в реестр кредитных рейтинговых агентств (далее - российские кредитные рейтинговые агентства), не ниже уровня, установленного Советом директоров Банка России. Информация о минимальных уровнях кредитных рейтингов, присвоенных российскими кредитными рейтинговыми агентствами, размещается на официальном сайте Банка России в информационно-телекоммуникационной сети "Интернет" (далее - официальный сайт Банка России) и публикуется в "Вестнике Банка России".

Рейтинги долгосрочной кредитоспособности, присвоенные иностранными кредитными рейтинговыми агентствами, используются при применении настоящей Инструкции с учетом особенностей, установленных Указанием Банка России от 25 ноября 2014 года N 3453-У "Об особенностях использования рейтингов кредитоспособности в целях применения нормативных актов Банка России", зарегистрированным Министерством юстиции Российской Федерации 16 декабря 2014 года N 35194.

Глава 2. Нормативы достаточности капитала банка: норматив достаточности базового капитала банка, норматив достаточности основного капитала банка, норматив достаточности собственных средств (капитала) банка и норматив достаточности собственных средств (капитала) банка с учетом взвешивания активов по уровню риска 100 процентов (в ред. Указания ЦБ РФ от 06.12.2017 N 4635-У)

2.1. Нормативы достаточности капитала банка, за исключением норматива достаточности собственных средств (капитала) банка с учетом взвешивания активов по уровню риска 100 процентов (далее - норматив финансового рычага (Н1.4), рассчитываются как отношения величины базового капитала банка, величины основного капитала банка и величины собственных средств (капитала) банка, определяемых по методике, предусмотренной Положением Банка России от 28 декабря 2012 года N 395-П "О методике определения величины собственных средств (капитала) кредитных организаций ("Базель III")", зарегистрированным Министерством юстиции Российской Федерации 22 февраля 2013 года N 27259, 29 ноября 2013 года N 30499, 2 октября 2014 года N 34227, 11 декабря 2014 года N 35134, 17 декабря 2014 года N 35225, 24 марта 2015 года N 36548, 5 июня 2015 года N 37549, 5 октября 2015 года N 39152, 8 декабря 2015 года N 40018, 17 декабря 2015 года N 40151, 26 августа 2016 года N 43442 (далее - Положение Банка России N 395-П), к сумме: (в ред. Указания ЦБ РФ от 06.12.2017 N 4635-У)

кредитного риска по активам, отраженным на балансовых счетах бухгалтерского учета (активы за вычетом сформированных резервов на возможные потери и резервов на возможные потери по ссудам, ссудной и приравненной к ней задолженности, взвешенные по уровню риска);

кредитного риска по условным обязательствам кредитного характера;

кредитного риска по производным финансовым инструментам;

риска изменения стоимости кредитного требования в результате ухудшения кредитного качества контрагента;

операционного риска;

рыночного риска.

2.1.1. Нормативы достаточности капитала банка - норматив достаточности базового капитала банка (далее - норматив Н1.1), норматив достаточности основного капитала банка (далее - норматив Н1.2), норматив достаточности собственных средств (капитала) банка (далее - норматив Н1.0) - рассчитываются по формуле:

(в ред. Указания ЦБ РФ от 04.07.2018 N 4851-У)

Положения абзаца второго в части кода 8772 применяются по 31.12.2018 включительно (пункт 14.2).

где:

Н1.i - один из следующих нормативов: норматив Н1.1, норматив Н1.2, норматив Н1.0;

- одна из следующих величин: - величина базового капитала банка, - величина основного капитала банка, - величина собственных средств (капитала) банка, определенных в соответствии с методикой, предусмотренной Положением Банка России N 395-П;

показатель рассчитывается отдельно для каждого норматива достаточности капитала банка. Определение величины активов банка I - III и V групп для целей расчета нормативов достаточности капитала банка осуществляется в соответствии с требованиями подпунктов 2.3.1 - 2.3.3 и 2.3.5 пункта 2.3 настоящей Инструкции. Расчет величины активов банка IV группы для норматива Н1.1 осуществляется в соответствии с подпунктом 2.3.4.1 пункта 2.3 настоящей Инструкции, для норматива Н1.2 - подпунктом 2.3.4.2 пункта 2.3 настоящей Инструкции и для норматива Н1.0 - подпунктом 2.3.4.3 пункта 2.3 настоящей Инструкции;

- коэффициент риска i-го актива, определяемый в соответствии с пунктом 2.3 настоящей Инструкции;

- i-й актив банка. При использовании подхода, предусмотренного пунктом 2.6 настоящей Инструкции, показатель () заменяется на показатель - стоимость i-го актива (кредитного требования и требований по получению начисленных (накопленных) процентов по i-му активу), уменьшенная на сумму (стоимость) предоставленного обеспечения;

- величина сформированных резервов на возможные потери или резервов на возможные потери по ссудам, по ссудной и приравненной к ней задолженности i-го актива (за исключением сформированных резервов на возможные потери, учтенных при расчете показателя );

БК - показатель, предусматривающий применение повышенных требований по покрытию капиталом соответствующего уровня отдельных активов банка в соответствии с международными подходами к повышению устойчивости банковского сектора (сумма кодов 8750, 8852, 8879, 8881);

В абзаце десятом цифры "8750," исключены с даты вступления в силу нормативного акта Банка России, устанавливающего расчет кредитного риска по сделкам, результатом которых является привлечение денежных средств посредством выпуска ценных бумаг, исполнение обязательств по которым обеспечивается поступлениями денежных средств от активов, переданных в обеспечение (пункт 1.1 Указания ЦБ РФ от 04.07.2018 N 4851-У).

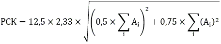
ПКр - кредитные требования и требования по получению начисленных (накопленных) процентов по кредитам, предоставленным заемщикам - физическим лицам (включая приобретенные права требования по кредитам, а также кредитные требования и требования по получению начисленных (накопленных) процентов по операциям предоставления денежных средств по кредитным картам) после 1 июля 2013 года в целях приобретения товаров (работ, услуг) для нужд, не связанных с осуществлением предпринимательской деятельности, или без определения цели, если указанные кредиты не обеспечены залогом недвижимости и (или) залогом автотранспортного средства (далее - кредиты на потребительские цели), по которым полная стоимость кредита (далее - ПСК) рассчитывается в порядке, установленном Федеральным законом от 21 декабря 2013 года N 353-ФЗ "О потребительском кредите (займе)" (Собрание законодательства Российской Федерации, 2013, N 51, ст. 6673; 2014, N 30, ст. 4230; 2016, N 27, ст. 4164) (коды 8763, 8764, 8765, 8766, 8768, 8788, 8789, 8796, 8797, 8798, 8799, 8859.x, 8860, 8860.x, 8861, 8861.x, 8862, 8862.x, 8864, 8864.x, 8865, 8865.x, 8863.3). В расчет кодов, входящих в показатель ПКр, не включаются кредиты на потребительские цели, по которым кредитный риск рассчитывается согласно подходу на основе внутренних рейтингов (далее - ПВР) в соответствии с Положением Банка России от 6 августа 2015 года N 483-П "О порядке расчета величины кредитного риска на основе внутренних рейтингов", зарегистрированным Министерством юстиции Российской Федерации 25 сентября 2015 года N 38996, 22 декабря 2015 года N 40193 (далее - Положение Банка России N 483-П). Показатель ПКр используется при расчете нормативов достаточности капитала банка; (в ред. Указаний ЦБ РФ от 02.04.2018 N 4763-У, от 26.07.2018 N 4875-У)

- операции с повышенными коэффициентами риска (сумма кодов 8731, 8737, 8809.i, 8814.i, 8816, 8818.i, 8820, 8822, 8824.i, 8826.i, 8828.i, 8830.i, 8832, 8834.i, 8836.i, 8838 за вычетом кода 8856.i). Показатель используется при расчете нормативов достаточности капитала банка. Значения показателя рассчитываются отдельно для каждого норматива достаточности капитала банка: - для норматива Н1.1, - для норматива Н1.2, - для норматива Н1.0. В расчет показателя не включаются: активы, относящиеся к I - III и V группам активов в соответствии с подпунктами 2.3.1 - 2.3.3 и 2.3.5 пункта 2.3 настоящей Инструкции; кредитные требования и требования по получению начисленных (накопленных) процентов, указанные в кодах 8734, 8751, 8756.i, 8765, 8766, 8767, 8783, 8792.i, 8806, 8846, 8851, 8861, 8861.x, 8862, 8862.x, 8863, 8863.x, 8863.2, 8878.А, 8878.Н, 8880; активы, уменьшающие IV группу активов в соответствии с подпунктом 2.3.4 пункта 2.3 настоящей Инструкции (за исключением активов, удовлетворяющих требованиям кодов, предусматривающих применение повышенных коэффициентов); кредитные требования и требования по получению начисленных (накопленных) процентов к центральным банкам и правительствам стран - участников Содружества Независимых Государств независимо от страновой оценки; кредитные требования и требования по получению начисленных (накопленных) процентов к заемщикам банка, являющимся головным исполнителем поставок продукции по государственному оборонному заказу (далее - головной исполнитель) или исполнителем, участвующем в поставках продукции по государственному оборонному заказу (далее - исполнитель) в соответствии со статьей 3 Федерального закона от 29 декабря 2012 года N 275-ФЗ "О государственном оборонном заказе" (Собрание законодательства Российской Федерации, 2012, N 53, ст. 7600; 2013, N 52, ст. 6961; 2015, N 27, ст. 3950; N 29, ст. 4342; 2016, N 27, ст. 4250; 2017, N 1, ст. 12; N 31, ст. 4786; 2018, N 1, ст. 65) (далее - Федеральный закон "О государственном оборонном заказе"), по ссудам, предоставленным для целей выполнения государственного оборонного заказа; кредитные требования и требования по получению начисленных (накопленных) процентов к заемщикам банка, соответствующим требованиям абзаца четвертого постановления Правительства Российской Федерации от 15 января 2018 года N 10 "Об определении случаев освобождения акционерного общества и общества с ограниченной ответственностью от обязанности раскрывать и (или) предоставлять информацию, касающуюся крупных сделок и (или) сделок, в совершении которых имеется заинтересованность" (Собрание законодательства Российской Федерации, 2018, N 4, ст. 628) (далее - постановление Правительства Российской Федерации N 10);

(ред. Указания ЦБ РФ от 04.07.2018 N 4851-У)

- операции с повышенными коэффициентами риска, совершенные после 1 мая 2016 года (сумма кодов 8744.i, 8746.i, 8748.i, 8754.i, 8786.i, 8791.i, 8793.i). Показатель используется при расчете нормативов достаточности капитала банка. Значения показателя рассчитываются отдельно для каждого норматива достаточности капитала банка: - для норматива Н.1.1, - для норматива Н1.2, - для норматива Н1.0. Активы, удовлетворяющие требованиям кодов, входящих в показатель , не включаются в коды 8740, 8771. В расчет показателя не включаются: активы, удовлетворяющие требованиям кодов 8878.А, 8880; кредитные требования и требования по получению начисленных (накопленных) процентов к заемщикам банка, являющимся головными исполнителями или исполнителями в соответствии со статьей 3 Федерального закона "О государственном оборонном заказе", по ссудам, предоставленным для целей выполнения государственного оборонного заказа; кредитные требования и требования по получению начисленных (накопленных) процентов к заемщикам банка, соответствующим требованиям абзаца четвертого постановления Правительства Российской Федерации N 10; активы, по которым кредитный риск рассчитывается на основе ПВР. В коды 8743.i, 8745.i, 8747.i, 8785.i, 8790.i не включаются активы, удовлетворяющие требованиям кодов показателя , за исключением операций, удовлетворяющих требованиям кодов 8808.i

(ред. Указания ЦБ РФ от 04.07.2018 N 4851-У)

Положения абзаца тринадцатого в части кода 8771 применяются по 31.12.2018 включительно (пункт 14.2).

КРВi - величина кредитного риска по условным обязательствам кредитного характера, рассчитанная в порядке, установленном приложением 2 к настоящей Инструкции. Значения показателя КРВi рассчитываются отдельно для каждого норматива достаточности капитала банка: - для норматива Н1.1 (код 8810.1), - для норматива Н1.2 (код 8810.2), - для норматива Н1.0 (код 8810.0);

КРС - величина кредитного риска по производным финансовым инструментам, определенным в соответствии с Федеральным законом от 22 апреля 1996 года N 39-ФЗ "О рынке ценных бумаг" (Собрание законодательства Российской Федерации, 1996, N 17, ст. 1918; 2001, N 33, ст. 3424; 2002, N 52, ст. 5141; 2004, N 27, ст. 2711; N 31, ст. 3225; 2005, N 11, ст. 900; N 25, ст. 2426; 2006, N 1, ст. 5; N 2, ст. 172; N 17, ст. 1780; N 31, ст. 3437; N 43, ст. 4412; 2007, N 1, ст. 45; N 18, ст. 2117; N 22, ст. 2563; N 41, ст. 4845; N 50, ст. 6247; 2008, N 52, ст. 6221; 2009, N 1, ст. 28; N 18, ст. 2154; N 23, ст. 2770; N 29, ст. 3642; N 48, ст. 5731; N 52, ст. 6428; 2010, N 17, ст. 1988; N 31, ст. 4193; N 41, ст. 5193; 2011, N 7, ст. 905; N 23, ст. 3262; N 29, ст. 4291; N 48, ст. 6728; N 49, ст. 7040; N 50, ст. 7357; 2012, N 25, ст. 3269; N 31, ст. 4334; N 53, ст. 7607; 2013, N 26, ст. 3207; N 30, ст. 4043, ст. 4082, ст. 4084; N 51, ст. 6699; N 52, ст. 6985; 2014, N 30, ст. 4219; 2015, N 1, ст. 13; N 14, ст. 2022; N 27, ст. 4001; N 29, ст. 4348, ст. 4357; 2016, N 1, ст. 50, ст. 81; N 27, ст. 4225; 2017, N 25, ст. 3592) (далее - Федеральный закон "О рынке ценных бумаг"), по договорам, которые признаются производными финансовыми инструментами в соответствии с правом иностранного государства, нормами международного договора или обычаями делового оборота, и договорам купли-продажи иностранной валюты, драгоценных металлов, ценных бумаг, не являющимся производными финансовыми инструментами, предусматривающим обязанность одной стороны передать иностранную валюту, драгоценные металлы, ценные бумаги в собственность другой стороне не ранее третьего рабочего дня после заключения договора, обязанность другой стороны принять и оплатить указанное имущество, порядок бухгалтерского учета по которым определен Положением Банка России от 4 июля 2011 года N 372-П "О порядке бухгалтерского учета производных финансовых инструментов", зарегистрированным Министерством юстиции Российской Федерации 22 июля 2011 года N 21445, 6 декабря 2013 года N 30553, 18 декабря 2015 года N 40165 (далее - Положение Банка России N 372-П) (далее - ПФИ). Величина КРС рассчитывается в порядке, установленном приложением 3 к настоящей Инструкции (код 8811); (в ред. Указания ЦБ РФ от 06.12.2017 N 4635-У)

РСК - величина риска изменения стоимости кредитного требования в результате ухудшения кредитного качества контрагента, рассчитанная в порядке, установленном приложением 7 к настоящей Инструкции (код 8866);

ОР - величина операционного риска, рассчитанная в соответствии с Положением Банка России от 3 ноября 2009 года N 346-П "О порядке расчета размера операционного риска", зарегистрированным Министерством юстиции Российской Федерации 17 декабря 2009 года N 15697, 19 июля 2012 года N 24957, 8 декабря 2015 года N 40019 (далее - Положение Банка России N 346-П) (код 8942);

РРi - величина рыночного риска, рассчитанная в соответствии с Положением Банка России от 3 декабря 2015 года N 511-П "О порядке расчета кредитными организациями величины рыночного риска", зарегистрированным Министерством юстиции Российской Федерации 28 декабря 2015 года N 40328 (далее - Положение Банка России N 511-П). Показатель РРi используется при расчете нормативов достаточности капитала банка. Значения показателя РР рассчитываются отдельно для каждого норматива достаточности капитала банка: - для норматива Н1.1 (код 8812.1), - для норматива Н1.2 (код 8812.2), - для норматива Н1.0 (код 8812.0);

КРПi - величина кредитного риска, рассчитанная на основе ПВР для целей включения в нормативы достаточности капитала. Значения показателя КРПi рассчитываются отдельно для каждого норматива достаточности капитала банка: - для норматива Н1.1, - для норматива Н1.2, - для норматива Н1.0 (сумма кодов 8757.i, 8758.i, 8759). Балансовые активы, участвующие в расчете показателя КРПi, не включаются в активы I - III и V групп активов, а учитываются в IV группе активов с последующим исключением.

- величина кредитного риска по вложениям банка в акции и (или) паи акционерных инвестиционных фондов, паевых инвестиционных фондов, негосударственных пенсионных фондов, а также фондов, расположенных за пределами территории Российской Федерации (далее - вложения в фонд), в том числе переданным в доверительное управление, рассчитанная в соответствии с приложением 9 к настоящей Инструкции. Значения показателя рассчитываются отдельно для каждого норматива достаточности капитала банка: - для норматива Н1.1 (код 8761.1), - для норматива Н1.2 (код 8761.2), - для норматива Н1.0 (код 8761.0). (в ред. Указания ЦБ РФ от 08.09.2017 N 4521-У)

Балансовые активы, участвующие в расчете показателя , не включаются в активы I - III и V групп активов, а учитываются в IV группе активов с последующим исключением. (в ред. Указания ЦБ РФ от 08.09.2017 N 4521-У)

2.1.2. Норматив финансового рычага (Н1.4) рассчитывается как отношение величины основного капитала банка, определяемой по методике, предусмотренной Положением Банка России N 395-П, к сумме: (в ред. Указания ЦБ РФ от 06.12.2017 N 4635-У)

балансовых активов, взвешенных по уровню кредитного риска 100 процентов; (в ред. Указания ЦБ РФ от 06.12.2017 N 4635-У)

кредитного риска по условным обязательствам кредитного характера; (в ред. Указания ЦБ РФ от 06.12.2017 N 4635-У)

кредитного риска по операциям с ПФИ, рассчитанного в соответствии с приложением 10 к настоящей Инструкции; (в ред. Указания ЦБ РФ от 06.12.2017 N 4635-У)

кредитного риска по сделкам купли-продажи ценных бумаг без прекращения признания с обязательством обратной продажи (покупки) ценных бумаг и по операциям займа ценных бумаг (далее - кредитование ценными бумагами). (в ред. Указания ЦБ РФ от 06.12.2017 N 4635-У)

Норматив финансового рычага (Н1.4) рассчитывается по формуле: (в ред. Указания ЦБ РФ от 06.12.2017 N 4635-У)

, (в ред. Указания ЦБ РФ от 06.12.2017 N 4635-У)

где:

- величина основного капитала банка, определенная в соответствии с методикой, предусмотренной Положением Банка России N 395-П; (в ред. Указания ЦБ РФ от 06.12.2017 N 4635-У)

АРфр - величина балансовых активов банка, отраженных на балансовых счетах бухгалтерского учета (за вычетом показателей, принимаемых в уменьшение величины источников основного капитала (в целях расчета норматива финансового рычага (Н1.4), а также сформированных резервов на возможные потери и (или) резервов на возможные потери по ссудам, ссудной и приравненной к ней задолженности), взвешенных по уровню риска 100 процентов (код 8773 за вычетом кодов 8774, 8775); (в ред. Указания ЦБ РФ от 06.12.2017 N 4635-У)

КРВфр - величина кредитного риска по условным обязательствам кредитного характера в целях расчета норматива финансового рычага (Н1.4) с учетом применения коэффициентов кредитного эквивалента (код 8780); (в ред. Указания ЦБ РФ от 06.12.2017 N 4635-У)

КРСфр - величина кредитного риска по ПФИ в целях расчета норматива финансового рычага (Н1.4), рассчитанная в соответствии с приложением 10 к настоящей Инструкции (код 8776); (в ред. Указания ЦБ РФ от 06.12.2017 N 4635-У)

РКЦБфр - величина кредитного риска по сделкам кредитования ценными бумагами (сумма кодов 8777, 8779 за вычетом кода 8778). (в ред. Указания ЦБ РФ от 06.12.2017 N 4635-У)

2.2. Минимально допустимое числовое значение норматива Н1.1 устанавливается в размере 4,5 процента.

Минимально допустимое числовое значение норматива Н1.2 устанавливается в размере 6 процентов.

Минимально допустимое числовое значение норматива Н1.0 устанавливается в размере 8 процентов.

Минимально допустимое числовое значение норматива финансового рычага (Н1.4) устанавливается в размере 3 процентов. (в ред. Указания ЦБ РФ от 06.12.2017 N 4635-У)

2.3. При расчете нормативов достаточности капитала, за исключением норматива финансового рычага (Н1.4), банки оценивают активы на основании следующей классификации рисков. (в ред. Указания ЦБ РФ от 06.12.2017 N 4635-У)

2.3.1. I группа активов банка включает следующие активы:

наличные денежные средства (в том числе в иностранной валюте), золото в хранилищах банка (код 8962);

средства на счетах кредитных организаций (филиалов) по кассовому обслуживанию структурных подразделений, а также средства для кассового обслуживания кредитных организаций (филиалов), которое осуществляется не по месту открытия корреспондентских счетов (субсчетов) (счета N N 30210 и 30235);

суммы, депонированные в учреждениях Банка России для получения следующим днем наличных денежных средств и золота (код 8969);

номинированные и фондированные в рублях средства на корреспондентском и депозитном счетах в Банке России, в том числе на корреспондентских счетах расчетных центров организованного рынка ценных бумаг (далее - ОРЦБ) в Банке России, а также средства, депонируемые уполномоченными банками в Банке России, прочие средства, размещенные в Банке России, в том числе на клиринговых банковских счетах, требования к Банку России по получению начисленных (накопленных) процентов. Порядок отнесения кредитных требований (их части) и требований по получению начисленных (накопленных) процентов (их части) к категории "фондированные в рублях" установлен подпунктом 2.3.8 настоящего пункта (коды 8912.1, 8912.2, 8912.0);

обязательные резервы, депонированные в Банке России (счета N N 30202, 30204, 30238);

вложения в облигации Банка России, номинированные и фондированные в рублях (код 8900);

номинированные и фондированные в рублях кредитные требования (то есть требования банка к заемщику (контрагенту), которым присущ кредитный риск, включая ссуды, ссудную и приравненную к ней задолженность, определенные в соответствии с Положением Банка России от 28 июня 2017 года N 590-П "О порядке формирования кредитными организациями резервов на возможные потери по ссудам, ссудной и приравненной к ней задолженности", зарегистрированным Министерством юстиции Российской Федерации __ _____ 2017 года N ____ (далее - Положение Банка России N 590-П), средства на корреспондентских счетах, включая остатки средств по незавершенным расчетам по корреспондентским счетам, драгоценные металлы, предоставленные клиентам, средства, перечисленные в соответствии с резервными требованиями уполномоченных органов иностранных государств, вложения в ценные бумаги (долговые обязательства), по которым не рассчитывается величина рыночного риска, а также требования по возврату ценных бумаг по сделкам, совершаемым на возвратной основе) и требования по получению начисленных (накопленных) процентов в части, обеспеченной номинированными в рублях гарантиями Российской Федерации, Министерства финансов Российской Федерации (за исключением активов, удовлетворяющих требованиям кода 8891), банковскими гарантиями Банка России (код 8973);

номинированные и фондированные в рублях кредитные требования и требования по получению начисленных (накопленных) процентов к Российской Федерации, федеральным органам исполнительной власти, в том числе Министерству финансов Российской Федерации (код 8902);

номинированные и фондированные в рублях кредитные требования и требования по получению начисленных (накопленных) процентов в части, обеспеченной залогом номинированных в рублях государственных долговых ценных бумаг Российской Федерации, долговых ценных бумаг Банка России, в размере 80 процентов справедливой стоимости указанных ценных бумаг (коды 8974.1, 8974.2, 8974.0);

кредитные требования и требования по получению начисленных (накопленных) процентов к центральным банкам или правительствам стран, имеющих страновые оценки по классификации экспортных кредитных агентств, участвующих в Соглашении стран - членов Организации экономического сотрудничества и развития (ОЭСР) "Об основных принципах предоставления и использования экспортных кредитов, имеющих официальную поддержку" (далее - страновые оценки), "0", "1", или стран с высоким уровнем доходов, являющихся членами ОЭСР и (или) Европейского союза, перешедших на единую денежную единицу Европейского союза (далее - Еврозона) (информация о страновых оценках и странах с высоким уровнем доходов, являющихся членами ОЭСР и (или) Еврозоны, размещается на соответствующем сайте ОЭСР в информационно-телекоммуникационной сети "Интернет"), к организациям, которым в соответствии с законодательством соответствующих стран предоставлено право осуществлять заимствования от имени государства (код 8901);

кредитные требования и требования по получению начисленных (накопленных) процентов в части, обеспеченной гарантиями (поручительствами, резервными аккредитивами) правительств или центральных банков стран, имеющих страновые оценки "0", "1", или стран с высоким уровнем доходов, являющихся членами ОЭСР и (или) Еврозоны, организаций, которые в соответствии с законодательством соответствующих стран приравнены к гарантиям (поручительствам, резервным аккредитивам) правительств или центральных банков указанных стран, а также кредитные требования и требования по получению начисленных (накопленных) процентов в части, обеспеченной залогом номинированных в той же валюте, что и требование долговых ценных бумаг центральных банков или государственных долговых ценных бумаг стран, имеющих страновые оценки "0", "1", или стран с высоким уровнем доходов, являющихся членами ОЭСР и (или) Еврозоны, в размере 80 процентов справедливой стоимости указанных ценных бумаг (коды 8917.1, 8917.2, 8917.0);

кредитные требования и требования по получению начисленных (накопленных) процентов к международным финансовым организациям (Банк международных расчетов, Международный валютный фонд, Европейский центральный банк) и международным банкам развития (Всемирный банк (Международный банк реконструкции и развития, Международная финансовая корпорация, Многостороннее агентство по гарантированию инвестиций), Азиатский банк развития, Африканский банк развития, Европейский банк реконструкции и развития, Межамериканский банк развития, Европейский инвестиционный банк, Северный инвестиционный банк, Карибский банк развития, Исламский банк развития, Банк развития при Совете Европы, Европейский инвестиционный фонд); кредитные требования и требования по получению начисленных (накопленных) процентов в части, обеспеченной гарантиями (поручительствами, резервными аккредитивами) указанных международных финансовых организаций, гарантиями (банковскими гарантиями) указанных международных банков развития, а также залогом долговых ценных бумаг указанных международных финансовых организаций и международных банков развития, в размере 80 процентов справедливой стоимости ценных бумаг (код 8976);

кредитные требования и требования по получению начисленных (накопленных) процентов (коды 8945.1, 8945.2, 8945.0) в части, обеспеченной:

гарантийным депозитом (вкладом);

собственными номинированными в той же валюте, что и требование долговыми ценными бумагами банка-кредитора, находящимися у него в залоге (в виде заклада) в размере 80 процентов справедливой стоимости ценных бумаг, а также указанными ценными бумагами, учтенными на счетах депо в соответствии с Положением Банка России от 13 ноября 2015 года N 503-П "О порядке открытия и ведения депозитариями счетов депо и иных счетов", зарегистрированным Министерством юстиции Российской Федерации 16 декабря 2015 года N 40137 (далее - Положение Банка России N 503-П), в отношении которых зафиксировано (зарегистрировано) право залога при наличии в депозитарном договоре условия о том, что в случае прекращения залога фиксация (регистрация) факта снятия ограничения операций с ценными бумаги осуществляется на основании соответствующего поручения, подписанного залогодержателем;

залогом золота в слитках в помещениях банка-кредитора или иных банков для совершения операций с ценностями, соответствующих требованиям, установленным Положением Банка России от 24 апреля 2008 года N 318-П "О порядке ведения кассовых операций и правилах хранения, перевозки и инкассации банкнот и монеты Банка России в кредитных организациях на территории Российской Федерации", зарегистрированным Министерством юстиции Российской Федерации 26 мая 2008 года N 11751, 23 марта 2010 года N 16687, 1 июня 2011 года N 20919, 22 февраля 2012 года N 23310, 24 сентября 2014 года N 34111, 4 марта 2015 года N 36361 (золото в слитках в хранилищах банков);

В связи с утратой силы Положения Банка России от 24.04.2008 N 318-П, следует руководствоваться принятым взамен Положением ЦБ РФ от 29.01.2018 N 630-П.

требования по возврату ценных бумаг, переданных без прекращения признания по сделкам, совершаемым на возвратной основе, обеспеченные денежными средствами в той же валюте, что и переданные ценные бумаги, полученными в рамках договоров, удовлетворяющих требованиям подпункта 2.6.1 пункта 2.6 настоящей Инструкции.

Активы I группы дополнительно корректируются на активы, включенные в код 8715.

Коэффициент риска по I группе активов имеет значение 0 (ноль).

2.3.2. II группа активов банка включает следующие активы:

номинированные и фондированные в рублях кредитные требования и требования по получению начисленных (накопленных) процентов к субъектам Российской Федерации, муниципальным образованиям Российской Федерации (код 8904);

номинированные и фондированные в рублях кредитные требования и требования по получению начисленных (накопленных) процентов в части, обеспеченной номинированными в рублях гарантиями субъектов Российской Федерации или муниципальных образований Российской Федерации, а также залогом номинированных в рублях долговых ценных бумаг субъектов Российской Федерации или муниципальных образований Российской Федерации, в размере 80 процентов справедливой стоимости ценных бумаг (коды 8913.1, 8913.2, 8913.0);

номинированные и фондированные в рублях кредитные требования и требования по получению начисленных (накопленных) процентов к банкам-резидентам, к государственной корпорации "Банк развития внешнеэкономической деятельности (Внешэкономбанк)" (далее Внешэкономбанк) сроком размещения до 90 календарных дней (коды 8964.1, 8964.2, 8964.0);

требования (коды 8941.1, 8941.2, 8941.0):

а) участников клиринга (в части средств, перечисленных для исполнения и (или) обеспечения исполнения обязательств, допущенных к клирингу, в том числе в качестве индивидуального клирингового обеспечения, а также требования, возникшие по результатам клиринга):

к кредитным организациям, осуществляющим клиринговую деятельность в соответствии с Федеральным законом от 7 февраля 2011 года N 7-ФЗ "О клиринге, клиринговой деятельности и центральном контрагенте" (Собрание законодательства Российской Федерации, 2011, N 7, ст. 904; N 48, ст. 6728; N 49, ст. 7040, ст. 7061; 2012, N 53, ст. 7607; 2013, N 30, ст. 4084; 2014, N 11, ст. 1098; 2015, N 27, ст. 4001; N 29, ст. 4357; 2016, N 1, ст. 23, ст. 47) (далее - клиринговые кредитные организации) и (или) осуществляющим функции центрального контрагента в соответствии с требованиями Федерального закона от 7 февраля 2011 года N 7-ФЗ "О клиринге, клиринговой деятельности и центральном контрагенте" (далее - кредитные организации, осуществляющие функции центрального контрагента) (за исключением требований к кредитным организациям, осуществляющим функции центральных контрагентов, указанных в коде 8846);

к кредитным организациям, осуществляющим денежные расчеты по итогам клиринга (далее - расчетные кредитные организации);

б) клиринговых кредитных организаций, кредитных организаций, осуществляющих функции центрального контрагента, к расчетным кредитным организациям в части средств, перечисленных для исполнения и (или) обеспечения исполнения обязательств, допущенных к клирингу, в качестве индивидуального и коллективного клирингового обеспечения;

в) участников расчетов к расчетным небанковским кредитным организациям, включая средства, перечисленные в фонд поддержания ликвидности, специально созданный участниками расчетов;

г) банков-доверителей (комитентов) по брокерским операциям с ценными бумагами и другими активами в части, размещенной брокером (за исключением случая, когда в качестве брокера выступает кредитная организация) в клиринговых кредитных организациях, кредитных организациях, осуществляющих функции центрального контрагента (за исключением требований к кредитным организациям, осуществляющим функции центрального контрагента, указанным в коде 8846), расчетных кредитных организациях, расчетных небанковских кредитных организациях;

д) банков к валютным и фондовым биржам;

кредитные требования и требования по получению начисленных (накопленных) процентов к центральным банкам или правительствам стран, имеющих страновую оценку "2", к организациям, которым в соответствии с законодательством соответствующих стран предоставлено право осуществлять заимствования от имени государства (код 8903);

кредитные требования и требования по получению начисленных (накопленных) процентов в части, обеспеченной гарантиями (поручительствами, резервными аккредитивами) правительств или центральных банков стран, имеющих страновую оценку "2", в размере 80 процентов справедливой стоимости ценных бумаг, организаций, которые в соответствии с законодательством соответствующих стран приравнены к гарантиям (поручительствам, резервным аккредитивам) правительств или центральных банков указанных стран, а также кредитные требования и требования по получению начисленных (накопленных) процентов в части, обеспеченной залогом номинированных в той же валюте, что и требование долговых ценных бумаг центральных банков или государственных долговых ценных бумаг стран, имеющих страновую оценку "2", в размере 80 процентов справедливой стоимости ценных бумаг (коды 8975.1, 8975.2, 8975.0);

кредитные требования и требования по получению начисленных (накопленных) процентов к кредитным организациям, имеющим рейтинги долгосрочной кредитоспособности, присвоенные иностранными кредитными рейтинговыми агентствами, и являющимся резидентами стран, имеющих страновые оценки "0", "1", или стран с высоким уровнем доходов, являющихся членами ОЭСР и (или) Еврозоны (коды 8953.1, 8953.2, 8953.0);

кредитные требования и требования по получению начисленных (накопленных) процентов в части, обеспеченной гарантиями (поручительствами, резервными аккредитивами), полученными (выставленными) от кредитных организаций (кредитными организациями), имеющих (имеющими) рейтинги долгосрочной кредитоспособности, присвоенные иностранными кредитными рейтинговыми агентствами, и являющихся (являющимися) резидентами стран, имеющих страновые оценки "0", "1", а также стран с высоким уровнем доходов, являющихся членами ОЭСР и (или) Еврозоны (коды 8959.1, 8959.2, 8959.0);

кредитные требования и требования по получению начисленных (накопленных) процентов, номинированные и (или) фондированные в рублях, при наличии договора страхования экспортных кредитов и инвестиций, обеспеченного номинированными в рублях гарантиями Внешэкономбанка, выданными в соответствии с постановлением Правительства Российской Федерации от 22 ноября 2011 года N 964 "О порядке осуществления деятельности по страхованию и обеспечению экспортных кредитов и инвестиций от предпринимательских и политических рисков" (Собрание законодательства Российской Федерации, 2011, N 48, ст. 6936; 2013, N 5, ст. 407; 2014, N 47, ст. 6564; 2016, N 14, ст. 1992) (далее - постановление Правительства Российской Федерации N 964), исполнение обязательств по которым обеспечено номинированными в рублях государственными гарантиями, выданными в соответствии с бюджетным законодательством Российской Федерации, а также кредитные требования и требования по получению начисленных (накопленных) процентов банков-агентов к государственной корпорации "Агентство по страхованию вкладов" по возмещению денежных средств, выплаченных в соответствии с положениями Федерального закона от 23 декабря 2003 года N 177-ФЗ "О страховании вкладов физических лиц в банках Российской Федерации" (Собрание законодательства Российской Федерации, 2003, N 52, ст. 5029; 2004, N 34, ст. 3521; 2005, N 1, ст. 23; N 43, ст. 4351; 2006, N 31, ст. 3449; 2007, N 12, ст. 1350; 2008, N 42, ст. 4699; N 52, ст. 6225; 2011, N 1, ст. 49; N 27, ст. 3873; N 29, ст. 4262; N 49, ст. 7059; 2013, N 19, ст. 2308; N 27, ст. 3438; N 49, ст. 6336; N 52, ст. 6975; 2014, N 14, ст. 1533; N 30, ст. 4219; N 52, ст. 7543; 2015, N 1, ст. 4, ст. 14; N 27, ст. 3958; N 29, ст. 4355; 2016, N 27, ст. 4297; 2017, N 18, ст. 2669) (далее - Федеральный закон о страховании вкладов) вкладчикам банков - участников системы страхования вкладов, в отношении которых наступил страховой случай (код 8871);

номинированные и фондированные в рублях кредитные требования, обеспеченные номинированными в рублях гарантиями (поручительствами) юридических лиц, в части, по которой исполнение обязательств обеспечено номинированными в рублях государственными гарантиями, выданными в соответствии с бюджетным законодательством Российской Федерации (код 8891);

золото в пути (код 8742);

вложения в облигации единого института развития в жилищной сфере, которому предоставляется государственная поддержка в соответствии с бюджетным законодательством Российской Федерации (далее - единый институт развития), номинированные и фондированные в рублях, а также вложения в облигации с ипотечным покрытием, номинированные и фондированные в рублях, в части, обеспеченной номинированным в рублях поручительством единого института развития (коды 8943.1, 8943.2, 8943.0).

Активы II группы дополнительно:

уменьшаются на активы, включенные в код (коды) 8886.К;

корректируются на активы, включенные в код 8716.

Коэффициент риска по II группе активов составляет 20 процентов.

2.3.3. III группа активов банка включает следующие активы:

номинированные и (или) фондированные в иностранной валюте кредитные требования и требования по получению начисленных (накопленных) процентов к Российской Федерации, федеральным органам исполнительной власти, в том числе Министерству финансов Российской Федерации, субъектам Российской Федерации, муниципальным образованиям Российской Федерации, Банку России. Порядок отнесения кредитных требований (их части) и требований по получению начисленных (накопленных) процентов (их части) к категории "фондированные в иностранной валюте" установлен подпунктом 2.3.8 настоящего пункта (коды 8960.1, 8960.2, 8960.0);

кредитные требования и требования по получению начисленных (накопленных) процентов, номинированные и (или) фондированные в иностранной валюте, а также кредитные требования в виде предоставленных (размещенных) драгоценных металлов и требования по получению начисленных (накопленных) процентов в части, обеспеченной гарантиями Российской Федерации, федеральных органов исполнительной власти, в том числе Министерства финансов Российской Федерации, субъектов Российской Федерации, муниципальных образований Российской Федерации, банковскими гарантиями Банка России, а также кредитные требования и требования по получению начисленных (накопленных) процентов при наличии договора страхования экспортных кредитов и инвестиций, обеспеченного номинированными в иностранной валюте гарантиями Внешэкономбанка, выданными в соответствии с постановлением Правительства Российской Федерации N 964, исполнение обязательств по которым обеспечено государственными гарантиями, выданными в соответствии с бюджетным законодательством Российской Федерации (код 8966);

номинированные в иностранной валюте кредитные требования и требования по получению начисленных (накопленных) процентов в части, обеспеченной залогом номинированных в той же валюте государственных долговых ценных бумаг Российской Федерации, долговых ценных бумаг субъектов Российской Федерации, долговых ценных бумаг муниципальных образований Российской Федерации, в размере 80 процентов справедливой стоимости ценных бумаг (коды 8923.1, 8923.2, 8923.0);

кредитные требования и требования по получению начисленных (накопленных) процентов к центральным банкам или правительствам стран, имеющих страновую оценку "3", к организациям, которым в соответствии с законодательством соответствующих стран предоставлено право осуществлять заимствования от имени государства (код 8932);

кредитные требования и требования по получению начисленных (накопленных) процентов в части, обеспеченной гарантиями (поручительствами, резервными аккредитивами) правительств или центральных банков стран, имеющих страновую оценку "3", организаций, которые в соответствии с законодательством соответствующих стран приравнены к гарантиям (поручительствам, резервным аккредитивам) правительств или центральных банков указанных стран, а также кредитные требования и требования по получению начисленных (накопленных) процентов в части, обеспеченной залогом номинированных в той же валюте, что и требование долговых ценных бумаг центральных банков или государственных долговых ценных бумаг стран, имеющих страновую оценку "3", в размере 80 процентов справедливой стоимости ценных бумаг (коды 8985.1, 8985.2, 8985.0);

кредитные требования и требования по получению начисленных (накопленных) процентов к кредитным организациям, не имеющим рейтингов долгосрочной кредитоспособности, присвоенных иностранными кредитными рейтинговыми агентствами, и являющимся резидентами стран, имеющих страновую оценку "0", "1", или стран с высоким уровнем доходов, являющихся членами ОЭСР и (или) Еврозоны, а также к кредитным организациям - резидентам стран, имеющих страновую оценку "2" (коды 8954.1, 8954.2, 8954.0);

кредитные требования и требования по получению начисленных (накопленных) процентов в части, обеспеченной гарантиями (поручительствами, резервными аккредитивами), полученными (выставленными) от кредитных организаций (кредитными организациями), не имеющих (не имеющими) рейтингов долгосрочной кредитоспособности, присвоенных иностранными кредитными рейтинговыми агентствами, и являющихся (являющимися) резидентами стран, имеющих страновую оценку "0", "1", или стран с высоким уровнем доходов, являющихся членами ОЭСР и (или) Еврозоны, а также от кредитных организаций - резидентов (кредитными организациями - резидентами) стран, имеющих страновую оценку "2" (коды 8946.1, 8946.2, 8946.0).

Активы III группы дополнительно:

корректируются на активы, включенные в код 8717;

увеличиваются на активы, включенные в код (коды) 8888.Т;

уменьшаются на активы, включенные в код (коды) 8887.К.

Коэффициент риска по III группе активов составляет 50 процентов.

2.3.4. IV группа активов банка включает все прочие активы банка.

Коэффициент риска по IV группе активов составляет 100 процентов.

2.3.4.1. В состав IV группы активов при расчете норматива Н1.1 включаются остатки (их части) на активных балансовых счетах, за исключением:

остатков (их частей) на балансовых счетах, которые вошли в расчет активов банка I - III и V групп (счета N N 30202, 30204, 30210, 30235, 30238; коды 8708.1, 8709.1, 8710.1, 8711.1, 8712.1, 8713.1, 8714.1, 8742, 8871, 8891, 8900, 8901, 8902, 8903, 8904, 8913.1, 8917.1, 8923.1, 8932, 8943.1, 8945.1, 8946.1, 8959.1, 8962, 8966, 8969, 8973, 8974.1, 8975.1, 8976, 8985.1);

остатков на балансовых счетах N N 10601, 10605, 10610, 10620 (за исключением переоценки инструментов хеджирования потоков денежных средств по объектам хеджирования, не оцениваемым по справедливой стоимости), 10623, 10625, 109, 11101, 30208, 30228, 30302, 30304, 30306, 40109, 40111, 50905, 52601, 60414, 60805, 61401, 61403, 706А, 707А, 70802;

суммы средств, рассчитанной по кодам 8700.1, 8703.1, 8704.1, 8718, 8730, 8732, 8734, 8736, 8738, 8740, 8743.1, 8745.1, 8747.1, 8749, 8751, 8753.1, 8756.1, 8760.1, 8762, 8767, 8771, 8781, 8783, 8785.1, 8787, 8790.1, 8792.1, 8795, 8806, 8808.1, 8813.1, 8815, 8817.1, 8819, 8821, 8823.1, 8825.1, 8827.1, 8829.1, 8831, 8833.1, 8835.1, 8837, 8839, 8846, 8851, 8858, 8858.x, 8859, 8863, 8863.x, 8863.2, 8869, 8874, 8876, 8878.А, 8878.Н, 8880, 8893.1, 8936, 8947, 8952.1, 8956.1, 8981. (в ред. Указаний ЦБ РФ от 08.09.2017 N 4521-У, от 06.12.2017 N 4635-У, от 02.04.2018 N 4763-У, от 04.07.2018 N 4851-У, от 26.07.2018 N 4875-У)

Положения абзаца четвертого в части кода 8771 применяются по 31.12.2018 включительно (пункт 14.2)

В абзаце четвертом цифры "8749," исключены с даты вступления в силу нормативного акта Банка России о расчете кредитного риска по сделкам секьюритизации (пункт 1.2 Указания ЦБ РФ от 04.07.2018 N 4851-У).

В состав IV группы активов дополнительно включаются:

сумма средств, рассчитанная по коду 8870, в том случае, если банком используется подход, предусмотренный пунктом 2.6 настоящей Инструкции;

корректирующие IV группу активов расчетные величины, рассчитанные по коду 8857.1;

сумма кредитных требований и требований по получению начисленных (накопленных) процентов, рассчитанная по коду 8889.Т;

корректирующая IV группу активов расчетная величина, рассчитанная по коду 8718.

2.3.4.2. В состав IV группы активов при расчете норматива Н1.2 включаются остатки (их части) на активных балансовых счетах, за исключением:

остатков (их частей) на балансовых счетах, которые вошли в расчет активов банка I - III и V групп (счета N N 30202, 30204, 30210, 30235, 30238; коды 8708.2, 8709.2, 8710.2, 8711.2, 8712.2, 8713.2, 8714.2, 8742, 8900, 8901, 8902, 8903, 8904, 8913.2, 8917.2, 8923.2, 8932, 8943.2, 8945.2, 8946.2, 8959.2, 8962, 8966, 8969, 8973, 8974.2, 8975.2, 8976, 8871, 8891, 8985.2);

остатков на балансовых счетах N N 10601, 10605, 10610, 10620 (за исключением переоценки инструментов хеджирования потоков денежных средств по объектам хеджирования, не оцениваемым по справедливой стоимости), 10623, 10625, 109, 11101, 30208, 30228, 30302, 30304, 30306, 40109, 40111, 50905, 52601, 60414, 60805, 61401, 61403, 706А, 707А, 70802;

суммы средств, рассчитанной по кодам 8700.2, 8703.2, 8704.2, 8718, 8730, 8732, 8734, 8736, 8738, 8740, 8743.2, 8745.2, 8747.2, 8749, 8751, 8753.2, 8756.2, 8760.2, 8762, 8767, 8771, 8781, 8783, 8785.2, 8787, 8790.2, 8792.2, 8795, 8806, 8808.2, 8813.2, 8815, 8817.2, 8819, 8821, 8823.2, 8825.2, 8827.2, 8829.2, 8831, 8833.2, 8835.2, 8837, 8839, 8846, 8851, 8858, 8858.x, 8859, 8863, 8863.x, 8863.2, 8869, 8874, 8875, 8876, 8877, 8878.А, 8878.Н, 8880, 8893.2, 8936, 8947, 8952.2, 8956.2, 8981. (в ред. Указаний ЦБ РФ от 08.09.2017 N 4521-У, от 06.12.2017 N 4635-У, от 02.04.2018 N 4763-У, от 04.07.2018 N 4851-У, от 26.07.2018 N 4875-У)

Положения абзаца четвертого в части кода 8771 применяются по 31.12.2018 включительно (пункт 14.2)

В абзаце четвертом цифры "8749," исключены с даты вступления в силу нормативного акта Банка России о расчете кредитного риска по сделкам секьюритизации (пункт 1.2 Указания ЦБ РФ от 04.07.2018 N 4851-У).

В состав IV группы активов дополнительно включаются:

сумма средств, рассчитанная по коду 8870, в том случае, если банком используется подход, предусмотренный пунктом 2.6 настоящей Инструкции;

корректирующие IV группу активов расчетные величины, рассчитанные по коду 8857.2;

сумма кредитных требований и требований по получению начисленных (накопленных) процентов, рассчитанная по коду 8889.Т;

корректирующая IV группу активов расчетная величина, рассчитанная по коду 8718.

2.3.4.3. В состав IV группы активов при расчете норматива Н1.0 включаются остатки (их части) на активных балансовых счетах, за исключением:

остатков (их частей) на балансовых счетах, которые вошли в расчет активов банка I - III и V групп (счета N N 30202, 30204, 30210, 30235, 30238; коды 8708.0, 8709.0, 8710.0, 8711.0, 8712.0, 8713.0, 8714.0, 8742, 8900, 8901, 8902, 8903, 8904, 8913.0, 8917.0, 8923.0, 8932, 8943.0, 8945.0, 8946.0, 8959.0, 8962, 8966, 8969, 8973, 8974.0, 8975.0, 8976, 8871, 8891, 8985.0);

остатков на балансовых счетах N N 10605, 10610, 10620, 10623, 10625, 109, 11101, 30208, 30228, 30302, 30304, 30306, 40109, 40111, 50905, 52601, 60414, 60805, 61401, 61403, 706А, 707А, 70802;

суммы средств, рассчитанной по кодам 8700.0, 8703.0, 8704.0, 8718, 8730, 8732, 8734, 8736, 8738, 8740, 8743.0, 8745.0, 8747.0, 8749, 8751, 8753.0, 8756.0, 8760.0, 8762, 8767, 8771, 8781, 8783, 8785.0, 8787, 8790.0, 8792.0, 8795, 8806, 8808.0, 8813.0, 8815, 8817.0, 8819, 8821, 8823.0, 8825.0, 8827.0, 8829.0, 8831, 8833.0, 8835.0, 8837, 8839, 8846, 8851, 8858, 8858.x, 8859, 8863, 8863.x, 8863.2, 8869, 8874, 8875, 8876, 8877, 8878.А, 8878.Н, 8880, 8882, 8883, 8884, 8934, 8936, 8947, 8948, 8948.0, 8952.0, 8956.0, 8970, 8970.0, 8971, 8971.0, 8981. (в ред. Указаний ЦБ РФ от 08.09.2017 N 4521-У, от 06.12.2017 N 4635-У, от 02.04.2018 N 4763-У, от 04.07.2018 N 4851-У, от 26.07.2018 N 4875-У)

Положения абзаца четвертого в части кода 8771 применяются по 31.12.2018 включительно (пункт 14.2)

В абзаце четвертом цифры "8749," исключены с даты вступления в силу нормативного акта Банка России о расчете кредитного риска по сделкам секьюритизации (пункт 1.2 Указания ЦБ РФ от 04.07.2018 N 4851-У).

В состав IV группы активов дополнительно включаются:

сумма средств, рассчитанная по коду 8870, в том случае, если банком используется подход, предусмотренный пунктом 2.6 настоящей Инструкции;

корректирующие IV группу активов расчетные величины, рассчитанные по коду 8857.0;

сумма кредитных требований и требований по получению начисленных (накопленных) процентов, рассчитанная по коду (кодам) 8889.Т;

корректирующая IV группу активов расчетная величина, рассчитанная по коду 8718.

2.3.34. Активы, по которым величина кредитного риска рассчитывается в соответствии с нормативным актом Банка России о расчете кредитного риска по сделкам секьюритизации, не включаются в расчет I - III и V групп активов, в коды, входящие в показатели БК, ПКр, и , а также в коды 8734, 8738, 8740, 8751, 8771, 8783, 8806, 8839, 8846, 8956.i. Данные активы учитываются в IV группе активов с последующим исключением. (в ред. Указания ЦБ РФ от 04.07.2018 N 4851-У)

2.3.5. V группа активов банка включает следующие активы:

кредитные требования и требования по получению начисленных (накопленных) процентов, а также просроченные требования к центральным банкам или правительствам стран, имеющих страновую оценку "7", к организациям, которым в соответствии с законодательством соответствующих стран предоставлено право осуществлять заимствования от имени государства, к кредитным организациям - резидентам указанных стран (коды 8980.1, 8980.2, 8980.0).

Активы V группы дополнительно:

увеличиваются на активы, включенные в код 8890;

корректируются на активы, включенные в код 8719;

уменьшаются на активы, удовлетворяющие требованиям кодов 8755.1, 8755.2, 8755.0.

Коэффициент риска по V группе активов составляет 150 процентов.

2.3.6. В расчет активов банка I - III групп включаются остатки (их части) на активных балансовых счетах, уменьшенные на часть остатков, на которую наложен арест и (или) которая изъята следственными органами и (или) органами принудительного исполнения судебных актов.

В расчет активов банка I - III групп не включаются кредитные требования и требования по получению начисленных (накопленных) процентов к кредитным организациям с отозванной лицензией на осуществление банковских операций.

В расчет активов банка III группы не включаются кредитные требования и требования по получению начисленных (накопленных) процентов, номинированные и (или) фондированные в иностранной валюте, к Российской Федерации, федеральным органам исполнительной власти, в том числе Министерству финансов Российской Федерации, субъектам Российской Федерации, муниципальным образованиям Российской Федерации, Банку России, кредитные требования и требования по получению начисленных (накопленных) процентов, номинированные и (или) фондированные в иностранной валюте, а также кредитные требования в виде предоставленных (размещенных) драгоценных металлов и требования по получению начисленных (накопленных) процентов в части, обеспеченной гарантиями указанных субъектов, а также кредитные требования и требования по получению начисленных (накопленных) процентов, обеспеченные залогом номинированных в иностранной валюте государственных долговых ценных бумаг Российской Федерации, долговых ценных бумаг субъектов Российской Федерации, долговых ценных бумаг муниципальных образований Российской Федерации, в случае, если Российская Федерация имеет страновую оценку "4" и выше.

2.3.7. Взвешивание активов по уровню риска осуществляется путем умножения остатка (сумм остатков) на соответствующем балансовом счете (счетах) или его части (их частях), уменьшенного (уменьшенных) на величину сформированных резервов на возможные потери или резервов на возможные потери по ссудам, по ссудной и приравненной к ней задолженности, на коэффициент риска (в процентах).

Расчет кодов, участвующих в расчете знаменателей нормативов достаточности капитала банка (за исключением кодов, уменьшающих IV группу активов), осуществляется с уменьшением указанных в соответствующем коде активов на величину сформированных под них резервов в соответствии с Положением Банка России N 590-П и Положением Банка России от 20 марта 2006 года N 283-П "О порядке формирования кредитными организациями резервов на возможные потери", зарегистрированным Министерством юстиции Российской Федерации 25 апреля 2006 года N 7741, 2 июля 2007 года N 9739, 6 декабря 2007 года N 10639, 10 сентября 2008 года N 12260, 5 августа 2009 года N 14477, 17 декабря 2009 года N 15670, 24 мая 2011 года N 20837, 21 декабря 2011 года N 22714, 18 декабря 2012 года N 26162, 11 декабря 2013 года N 30582, 20 октября 2014 года N 34363, 25 сентября 2015 года N 39003, 26 августа 2016 года N 43443 (далее - Положение Банка России N 283-П).

В связи с утратой силы Положения Банка России от 20.03.2006 N 283-П, следует руководствоваться принятым взамен Положением ЦБ РФ от 23.10.2017 N 611-П.

2.3.8. В целях настоящей Инструкции отнесение кредитных требований (их части) и требований по получению начисленных (накопленных) процентов (их части) к категории "фондированные в рублях" и (или) к категории "фондированные в иностранной валюте" осуществляется в следующем порядке.

Банк рассчитывает коэффициент рублевого зондирования (Кф) как соотношение совокупной величины пассивов в рублях, определяемой как сумма не включенных в расчет размеров (лимитов) открытых валютных позиций остатков по счетам (их части) N N 102, 10601, 10602, 10611, 10701, 10801, 30109, 30111, 30122, 30123, 30220, 30222, 30223, 30227, 30230, 30231, 30232, 30411, 30412, 30414, 30415, 30601, 30603, 30604, 30606, 312 - 317, 32901, 40101, 40105, 40106, 40116, 402, 40301 - 40307, 40312, 404 - 408, 409П, 410 - 423, 425 - 440, 47403, 47405, 47407, 47412, 47414, 47416, 47418, 47419, 47422, 520 - 524, 52602, 60305, 60307, 60311, 60313, 60322, 60349, 70601 - 70605, 70613, 70615, 70701 - 70705, 70713, 70715, 70801, к совокупной величине активов в рублях, определяемой как сумма не включенных в расчет размеров (лимитов) открытых валютных позиций остатков по активным счетам, участвующим в расчете норматива Н1.0 (без коэффициентов взвешивания по риску), за вычетом резервов на возможные потери по ним, сформированных в соответствии с Положением Банка России N 590-П и Положением Банка России N 283-П, кода 8961 и остатков по счетам N N 20319, 20320, 30416, 30417, 30418, 30419, 325А, 459А, 47427, 50120, 50220, 50620, 50720, 60302, 60310, 60336, 60414, 60903, 61702, 61703, 61909, 61910 при одновременном добавлении к указанной совокупной величине активов в рублях остатков по счетам (их части) N N 10901, 30208, 50905, 70606...70611, 70614, 70616, 70706 - 70711, 70714, 70716, 70802. (в ред. Указания ЦБ РФ от 06.12.2017 N 4635-У)

В случае если на дату расчета нормативов достаточности капитала банка коэффициент рублевого фондирования равен либо больше единицы, кредитные требования и требования по получению начисленных (накопленных) процентов относятся к категории "фондированные в рублях" (I и II группы активов).

В случае если на дату расчета нормативов достаточности капитала банка коэффициент рублевого фондирования меньше единицы, кредитные требования и требования по получению начисленных (накопленных) процентов относятся к категории "фондированные в рублях" (I и II группы активов) в части, равной величине кредитного требования и требования по получению начисленных (накопленных) процентов, умноженной на коэффициент рублевого фондирования. Оставшаяся часть кредитного требования и требования по получению начисленных (накопленных) процентов относится к категории "фондированные в иностранной валюте" (III - V группы активов).

Коэффициент рублевого фондирования равен единице в случаях, если банк не располагает лицензией на осуществление банковских операций со средствами в иностранной валюте.

Вложения банков в финансовые активы за счет целевых бюджетных средств или иных целевых источников могут не включаться в состав активов, а соответствующие источники финансирования - в состав пассивов при расчете коэффициента рублевого фондирования. Отнесение указанных кредитных требований и требований по получению начисленных (накопленных) процентов к категории "фондированные в рублях" и (или) к категории "фондированные в иностранной валюте" осуществляется исходя из валют номинирования требования и соответствующего ему обязательства в соответствии с подходами по отнесению к группам риска активов в рублях.

2.3.9. В целях настоящей Инструкции в отношении кредитных требований к контрагенту по возврату денежных средств по сделкам, совершаемым на возвратной основе с ценными бумагами, полученными без прекращения признания, применяются нормы настоящей Инструкции, предусмотренные в отношении кредитных требований, надлежащее исполнение обязательств по которым обеспечивается залогом соответствующих ценных бумаг, при соблюдении условий, предусмотренных в подпункте 2.3.14 настоящего пункта.

2.3.10. В целях настоящей Инструкции кредитное требование, являющееся базовым активом по срочной сделке, в результате заключения которой у контрагента по этой сделке возникает обязательство уплатить банку денежную сумму, равную или превышающую величину кредитного требования, в случае неплатежеспособности заемщика по базовому активу, взвешивается с коэффициентом риска, установленным для кредитных требований в части, обеспеченной гарантиями при соблюдении условий, предусмотренных в подпунктах 2.3.11 и 2.3.13 настоящего пункта. В данном случае в качестве гаранта рассматривается контрагент по срочной сделке.

2.3.11. Кредитные требования и требования по получению начисленных (накопленных) процентов (в том числе удовлетворяющие требованиям кодов, входящих в показатели БК, ПКр, ПКi и за исключением кредитных требований и требований по получению начисленных (накопленных) процентов, удовлетворяющих требованиям кодов 8738, 8767, 8839, 8863.x, 8863.2), по которым надлежащее исполнение обязательств заемщика обеспечено залогом ценных бумаг, поручительством, гарантией (банковской гарантией), резервным аккредитивом, эмитентов, поручителей, гарантов, указанных в подпунктах 2.3.1 - 2.3.3 настоящего пункта, относятся к I - III группам активов в случае, если условия гарантии (банковской гарантии) не предусматривают возможности ее отзыва гарантом, а также условия договора о залоге, договора поручительства, соглашения о выставлении резервного аккредитива не предусматривают возможности их изменения и расторжения по требованию залогодателя (поручителя, эмитента).

В случае если договором в качестве применимого права установлено иностранное право, указанные в настоящем подпункте требования относятся к I - III группам активов при соблюдении также следующих условий:

права, возникшие в силу предоставленной гарантии (банковской гарантии), договора о залоге, договора поручительства, соглашения о выставлении резервного аккредитива, заключенных в письменной форме, подлежат судебной защите;

банк располагает заключением лица, правомочного оказывать юридические услуги, подтверждающим соблюдение установленных настоящим подпунктом условий.

2.3.12. Кредитные требования и требования по получению начисленных (накопленных) процентов, по которым надлежащее исполнение обязательств заемщика обеспечено гарантиями субъектов Российской Федерации, муниципальных образований Российской Федерации, относятся к I - III группам активов, если соблюдены условия, указанные в подпункте 2.3.11 настоящего пункта.

2.3.13. Кредитные требования и требования по получению начисленных (накопленных) процентов, по которым надлежащее исполнение обязательств заемщика обеспечено поручительством, гарантией (банковской гарантией), резервным аккредитивом гарантов, поручителей, эмитентов, указанных в подпунктах 2.3.1 - 2.3.3 настоящего пункта, относятся к I - III группам активов при соблюдении следующих условий:

гарантия (банковская гарантия), поручительство, резервный аккредитив содержат ссылку на основное обязательство или совокупность обязательств (кредитное требование (кредитные требования) и требование (требования) по получению начисленных (накопленных) процентов), обеспечиваемое (обеспечиваемых) гарантией (банковской гарантией), поручительством, резервным аккредитивом;

срок действия гарантии (банковской гарантии), договора поручительства, соглашения о выставлении резервного аккредитива заканчивается не ранее наступления срока исполнения обязательства (обязательств), обеспечиваемого (обеспечиваемых) гарантией (банковской гарантией), поручительством, резервным аккредитивом.

2.3.14. Кредитные требования и требования по получению начисленных (накопленных) процентов, по которым надлежащее исполнение обязательств заемщика обеспечено залогом ценных бумаг эмитентов, указанных в подпунктах 2.3.1 - 2.3.3 настоящего пункта, относятся к I - III группам активов в размере 80 процентов справедливой стоимости ценных бумаг при соблюдении следующих условий:

ценные бумаги обращаются на ОРЦБ (за исключением векселей и собственных долговых ценных бумаг банка-кредитора);

срок действия договора о залоге прекращается не ранее наступления срока исполнения обязательства, обеспечиваемого залогом;

эмитент ценных бумаг и контрагент (заемщик) по кредитному требованию не входят в одну банковскую группу (холдинг);

права на ценные бумаги должны быть удостоверены депозитариями, удовлетворяющими критериям, предусмотренным пунктом 1.2 Указания Банка России от 17 ноября 2011 года N 2732-У "Об особенностях формирования кредитными организациями резерва на возможные потери по операциям с ценными бумагами, права на которые удостоверяются депозитариями", зарегистрированного Министерством юстиции Российской Федерации 12 декабря 2011 года N 22544, 1 августа 2012 года N 25070, 11 декабря 2014 года N 35134, 18 декабря 2015 года N 40170 (далее - Указание Банка России N 2732-У);

ценные бумаги номинированы в той же валюте, что и кредитное требование и требование по получению начисленных (накопленных) процентов.

2.3.15. Кредитные требования и требования по получению начисленных (накопленных) процентов, надлежащее исполнение обязательств по которым обеспечено залогом, поручительством, гарантией (банковской гарантией), резервным аккредитивом, относятся к I - III группам активов в части, под которую предоставлено соответствующее обеспечение, за исключением стоимости предмета залога, на который наложен арест и (или) который изъят следственными органами и (или) органами принудительного исполнения судебных актов.

2.3.16. Кредитные требования и требования по получению начисленных (накопленных) процентов, надлежащее исполнение обязательств по которым обеспечено залогом золота в слитках или залогом долговых ценных бумаг эмитентов, указанных в подпунктах 2.3.1 - 2.3.3 настоящего пункта, относятся к I - III группам активов, в части, равной учетной цене, установленной Банком России на золото в слитках, или в размере 80 процентов справедливой стоимости долговых ценных бумаг, принятых в обеспечение надлежащего исполнения обязательств.

2.3.17. Кредитные требования и требования по получению начисленных (накопленных) процентов, надлежащее исполнение обязательств по которым обеспечено залогом (закладом) номинированных в той же валюте, что и требование собственных долговых ценных бумаг банка-кредитора, относятся к I группе активов в части, равной сумме подлежащих отражению на соответствующих счетах бухгалтерского учета обязательств, предусмотренных собственными долговыми ценными бумагами, находящимися в закладе в банке-кредиторе, в размере 80 процентов справедливой стоимости ценных бумаг.

2.3.18. Кредитные требования и требования по получению начисленных (накопленных) процентов (в том числе удовлетворяющие требованиям кодов, входящих в показатели БК, ПКр, ПКi и за исключением кредитных требований и требований по получению начисленных (накопленных) процентов, удовлетворяющих требованиям кодов 8738, 8767, 8839, 8863.x, 8863.2) в части, обеспеченной гарантийным депозитом (вкладом), понятие которого применяется в настоящей Инструкции в значении, определенном в подпункте 6.2.2 пункта 6.2 Положения Банка России N 590-П, относятся к I группе активов в части, равной сумме обязательств, предусмотренных договором депозита (вклада) и подлежащих отражению на соответствующих счетах бухгалтерского учета.

Гарантийный депозит (вклад) не может учитываться в качестве обеспечения для целей настоящей Инструкции, если соответствует одному или нескольким условиям, содержащимся в пункте 6.5 Положения Банка России N 590-П.

2.3.19. В случае если коэффициент риска по кредитному требованию и требованию по получению начисленных (накопленных) процентов в части, обеспеченной залогом, гарантией (банковской гарантией), резервным аккредитивом, поручительством, выше, чем по кредитному требованию и требованию по получению начисленных (накопленных) процентов без учета обеспечения, для целей настоящей Инструкции применяется коэффициент риска, соответствующий кредитному требованию и требованию по получению начисленных (накопленных) процентов, без учета обеспечения.

2.3.20. В расчет активов, взвешенных по уровню риска, не включаются кредитные требования и вложения в акции, уменьшающие величину собственных средств (капитала) в соответствии с подпунктом 2.4 пункта 2 и подпунктом 4.2 пункта 4 приложения к Положению Банка России N 395-П, а также уменьшающие сумму источников базового капитала, добавочного капитала, дополнительного капитала и сумму основного и дополнительного капитала, определенных в соответствии с требованиями подпунктов 2.2 и 2.4 пункта 2, подпункта 3.2 пункта 3 и пункта 4 Положения Банка России N 395-П.

2.3.21. В расчет активов, взвешенных по уровню риска, в части вложений в акции и долговые обязательства включаются только те вложения в акции и долговые обязательства (за исключением вложений, указанных в подпункте 2.3.20 настоящего пункта), по которым не рассчитывается рыночный риск. Вложения в акции и долговые обязательства, оцениваемые как активы I - V групп, по которым рассчитывается рыночный риск (за исключением акций и долговых обязательств, переданных без прекращения признания по сделкам, совершаемым на возвратной основе), исключаются из расчета активов, взвешенных по уровню риска, кодами 8700.1, 8700.2, 8700.0 при расчете IV группы активов в соответствии с подпунктами 2.3.4.1, 2.3.4.2 и 2.3.4.3 настоящего пункта соответственно.

В расчет активов, взвешенных по уровню риска, включаются кредитные требования в виде вложений в указанные выше ценные бумаги, оцениваемые по справедливой стоимости через прибыль или убыток, а также имеющиеся в наличии для продажи, по которым может быть определена справедливая стоимость или формируются резервы на возможные потери в соответствии с Положением Банка России N 283-П, подлежащие учету на балансовых счетах N N 501, 502, 506, 507 в соответствии с пунктами 2.2 и 2.5 приложения 8 к Положению Банка России от 27 февраля 2017 года N 579-П "О Плане счетов бухгалтерского учета для кредитных организаций и порядке его применения", зарегистрированному Министерством юстиции Российской Федерации 20 марта 2017 года N 46021 (далее - Положение Банка России N 579-П).

2.3.22. Определение уровня риска по синдицированным кредитам осуществляется в соответствии с приложением 4 к настоящей Инструкции.

2.3.23. Кредитные требования и требования по получению начисленных (накопленных) процентов по ипотечным кредитам (займам), предоставленным участникам накопительно-ипотечной системы жилищного обеспечения военнослужащих в период прохождения ими военной службы по контракту, а также в случаях, указанных в статье 10 Федерального закона от 20 августа 2004 года N 117-ФЗ "О накопительно-ипотечной системе жилищного обеспечения военнослужащих" (Собрание законодательства Российской Федерации, 2004, N 34, ст. 3532; 2006, N 6, ст. 636; 2007, N 50, ст. 6237; 2008, N 30, ст. 3616; 2009, N 48, ст. 5731; 2011, N 27, ст. 3879; N 48, ст. 6728; 2012, N 26, ст. 3443; 2013, N 27, ст. 3477; N 30, ст. 4084; N 52, ст. 6961; 2014, N 23, ст. 2930; 2015, N 27, ст. 4001; 2016, N 14, ст. 1905; N 18, ст. 2494; 2017, N 11, ст. 1541), включаются в расчет кода 8973.

В целях настоящей Инструкции под требованием по ипотечному кредиту (займу), ипотечной ссуде понимается требование по кредитному договору (договору займа), обеспеченному ипотекой в соответствии с нормами Федерального закона от 16 июля 1998 года N 102-ФЗ "Об ипотеке (залоге недвижимости)" (Собрание законодательства Российской Федерации, 1998, N 29, ст. 3400; 2001, N 46, ст. 4308; 2002, N 7, ст. 629; N 52, ст. 5135; 2004, N 6, ст. 406; N 27, ст. 2711; N 45, ст. 4377; 2005, N 1, ст. 40, ст. 42; 2006, N 50, ст. 5279; N 52, ст. 5498; 2007, N 27, ст. 3213; N 50, ст. 6237; 2008, N 20, ст. 2251; N 52, ст. 6219; 2009, N 1, ст. 14; N 29, ст. 3603; 2010, N 25, ст. 3070; 2011, N 27, ст. 3879, ст. 3880; N 50, ст. 7347; 2013, N 19, ст. 2328; N 51, ст. 6683; 2014, N 26, ст. 3375, ст. 3377; N 30, ст. 4218; 2015, N 1, ст. 29, ст. 52; N 14, ст. 2022; N 41, ст. 5640; 2016, N 26, ст. 3886; N 27, ст. 4248, ст. 4294) (далее - Федеральный закон "Об ипотеке (залоге недвижимости)"), а также требование по кредитному договору (договору займа), обеспеченное залогом недвижимости, по которому осуществляется государственная регистрация договора об ипотеке (ипотеки), если с даты предоставления ссуды по такому договору прошло не более двух месяцев.

При расчете соотношения величины основного долга по ссуде к справедливой стоимости предмета залога по ипотечным ссудам, по которым первоначальный взнос заемщика за приобретаемое недвижимое имущество, выступающее в качестве залога по ссуде, осуществляется заемщиком за счет собственных средств и составляет более 20 процентов от справедливой стоимости предмета залога, величина основного долга по ссуде уменьшается на величину страховой суммы по договору страхования ответственности заемщика, являющегося залогодателем по договору об ипотеке, или по договору страхования финансового риска банка-кредитора, заключенному в соответствии с пунктами 4 и 5 статьи 31 Федерального закона "Об ипотеке (залоге недвижимости)" на основании типовых правил страхования, утвержденных стандартом саморегулируемой организации, объединяющей страховые организации, при заключении указанных договоров страхования со страховой организацией, имеющей кредитный рейтинг не ниже "ruAA+" по национальной рейтинговой шкале для Российской Федерации АО "Эксперт РА" либо "AA+(RU)" по национальной рейтинговой шкале для Российской Федерации АКРА (АО), либо на часть страховой суммы, если договор страхования заключен со страховой организацией, имеющей кредитный рейтинг не ниже "ruAA" по национальной рейтинговой шкале для Российской Федерации АО "Эксперт РА" либо "AA(RU)" по национальной рейтинговой шкале для Российской Федерации АКРА (АО), соответствующую размеру переданного в перестрахование риска выплаты страхового возмещения страховой (перестраховочной) организации, имеющей кредитный рейтинг не ниже "ruAA+" по национальной рейтинговой шкале для Российской Федерации АО "Эксперт РА" либо "AA+(RU)" по национальной рейтинговой шкале для Российской Федерации АКРА (АО), при условии передачи такой страховой (перестраховочной) организации не менее 70 процентов риска. (в ред. Указания ЦБ РФ от 06.12.2017 N 4635-У)

Расчет соотношения величины основного долга по ссуде к справедливой стоимости предмета залога по ипотечным ссудам в целях расчета кодов 8734, 8751, 8806 банк вправе осуществлять либо на дату выдачи ссуды, либо на дату расчета обязательных нормативов.

2.3.24. В расчет активов, взвешенных по уровню риска, остатки по балансовому счету N 47408 "Расчеты по конверсионным операциям, производным финансовым инструментам и прочим договорам (сделкам), по которым расчеты и поставка осуществляются не ранее следующего дня после дня заключения договора (сделки)" и балансовым счетам по учету прочих размещенных средств, возникающие в связи с началом расчетов до наступления срока сделки с ПФИ, а также связанные с операциями с участием кредитных организаций, осуществляющих функции центрального контрагента, в части их требований к участникам клиринга по уплате возвратных первоначального и (или) периодического платежей, в соответствии с настоящим пунктом включаются в сумме превышения требований над величиной обязательств соответственно по каждой сделке с ПФИ или в сумме превышения требований по уплате возвратных первоначального и (или) периодического платежей над величиной полученного обеспечения (за исключением коллективного клирингового обеспечения).

2.3.25. Включаемые в расчет показателя ПКi активы уменьшаются на величину сформированных на возможные потери по ним резервов в соответствии с Положением Банка России N 590-П и Положением Банка России N 283-П. К полученным после уменьшения на величину сформированных резервов активам, относящимся к IV группе активов, применяется повышенный коэффициент риска, указанный в соответствующем коде, включенном в расчет показателя ПКi.

Активы, включаемые в расчет показателя ПКi и код 8957, подпадающие под действие двух и более разных повышенных коэффициентов риска, первоначально включаются в каждый из кодов, требованиям которого соответствующий актив удовлетворяет. В последующем расчеты нормативов достаточности капитала банка, показателя ПКi и IV группы активов корректируются кодами 8855.1, 8855.2, 8855.0, 8856.1, 8856.2, 8856.0, 8857.1, 8857.2, 8857.0 соответственно в целях достижения однократного применения к каждому конкретному активу повышенного коэффициента, наибольшего из возможных.

К части активов, номинированных в рублях, удовлетворяющих требованиям кодов, входящих в показатель ПКi, которые отнесены к IV группе активов из-за их фондированности валютой (коэффициент рублевого фондирования составляет менее единицы, повышенные коэффициенты риска не применяются.

К части активов, удовлетворяющих требованиям кодов, входящих в показатель ПКi, которые отнесены к IV группе активов из-за недостаточности обеспечения, позволяющего отнести актив к I - III группам активов в полном объеме, повышенные коэффициенты риска применяются в порядке, предусмотренном настоящей Инструкцией.

2.3.26. При расчете показателя ПКi, а также в случаях, предусмотренных пунктом 7 приложения 3 к настоящей Инструкции, используются рейтинги кредитоспособности, присвоенные иностранными или российскими кредитными рейтинговыми агентствами.

При этом если заемщик банка (эмитент ценных бумаг, выпуск ценных бумаг) имеет рейтинги долгосрочной кредитоспособности разных уровней, присвоенные разными иностранными кредитными рейтинговыми агентствами, то в качестве кредитного рейтинга принимается наивысший из присвоенных иностранными кредитными рейтинговыми агентствами.

Если заемщик банка (эмитент ценных бумаг, выпуск ценных бумаг) имеет кредитные рейтинги, присвоенные по национальной рейтинговой шкале для Российской Федерации разными российскими кредитными рейтинговыми агентствами, то применяется один из кредитных рейтингов не ниже уровня, установленного Советом директоров Банка России.

2.3.27. В целях настоящей Инструкции по сделкам, совершаемым на возвратной основе с ценными бумагами, переданными без прекращения признания (за исключением операций с ценными бумагами, ранее полученными на возвратной основе без первоначального признания, а также операций, предусмотренных подпунктом 2.3.33 настоящего пункта), в расчете активов, взвешенных по уровню риска, учитывается:

банком-заемщиком - величина кредитного риска на контрагента по возврату ценных бумаг, переданных без прекращения признания;

банком-кредитором - величина кредитного риска на контрагента по возврату денежных средств.

Величина требования по возврату ценных бумаг, взвешенного по уровню риска, определяется банком-заемщиком как сумма обеспеченной части требования по возврату ценных бумаг, взвешенной на коэффициент риска по соответствующему обеспечению, и необеспеченной части требования по возврату ценных бумаг, взвешенной на максимальный коэффициент риска из установленных пунктом 2.3 настоящей Инструкции в отношении контрагента или эмитента ценной бумаги. Для необеспеченной части требования по возврату ценных бумаг при заполнении кода 8733.i, а также в целях сравнения значений коэффициентов риска в отношении эмитента ценной бумаги и контрагента по сделке, совершаемой на возвратной основе с ценными бумагами, переданными без прекращения признания, с кредитной организацией, осуществляющей функции центрального контрагента и удовлетворяющей требованиям кода 8846 настоящей Инструкции, коэффициент риска в отношении контрагента по сделке принимается в размере 5 процентов. При этом при расчете величины активов, взвешенных по уровню риска, в расчет не включаются вложения в акции и долговые ценные бумаги, переданные без прекращения признания по сделкам, совершаемым на возвратной основе.

По сделкам, совершаемым на возвратной основе с ценными бумагами, переданными без прекращения признания, по которым рыночный риск рассчитывается в соответствии с Положением Банка России N 511-П, необеспеченная часть требования по возврату ценных бумаг взвешивается банком-заемщиком на коэффициент риска, установленный пунктом 2.3 настоящей Инструкции в отношении контрагента.

Величина актива, взвешенного по уровню риска, определяется банком-кредитором как сумма необеспеченной части требования, взвешенной на коэффициент риска на контрагента, и обеспеченной части требования, взвешенной на коэффициент риска, применяемый для взвешивания балансового актива, исполнение обязательств по которому обеспечено залогом ценных бумаг соответствующего эмитента.

Под обеспечением по сделкам, совершаемым на возвратной основе с ценными бумагами, переданными без прекращения признания, для банка-заемщика признаются денежные средства, полученные в рамках договоров, удовлетворяющих требованиям подпункта 2.6.1 пункта 2.6 настоящей Инструкции, для банка-кредитора - ценные бумаги, полученные без первоначального признания.

В расчет активов, взвешенных по уровню риска, требования принимаются за минусом сформированных резервов в соответствии с Положением Банка России N 590-П и Положением Банка России N 283-П.

Величина риска по требованиям к контрагенту по сделкам, совершаемым на возвратной основе с ценными бумагами, переданными без прекращения признания, определяется на основании остатков по счетам учета ценных бумаг, переданных без прекращения признания, с учетом переоценки указанных требований, а также остатков по счетам учета прочих размещенных средств в части требований по возврату денежных средств.

Сделки признаются обеспеченными, если ценные бумаги номинированы в той же валюте, что и денежное требование. Ценные бумаги принимаются в расчет обеспечения в размере 80 процентов их справедливой стоимости.

По сделкам, совершаемым на возвратной основе с ценными бумагами фондов, указанными в абзаце двадцатом подпункта 2.1.1 пункта 2.1 настоящей Инструкции, переданными без прекращения признания, необеспеченная часть требования по возврату ценных бумаг взвешивается банком-заемщиком на коэффициент риска, рассчитываемый как отношение величины кредитного риска по вложениям в фонд, рассчитанной в соответствии с приложением 9 к настоящей Инструкции, к балансовой стоимости ценных бумаг данного фонда. (в ред. Указания ЦБ РФ от 08.09.2017 N 4521-У)

2.3.28. В целях настоящей Инструкции кредитные требования и требования по получению начисленных (накопленных) процентов к контрагенту по сделке, по которой исполнение обязательств перед банком по данной сделке (за исключением требований по синдицированным кредитам, аккредитивам, ипотечным ценным бумагам) зависит от исполнения обязательств третьим лицом (третьими лицами) - конечным получателем (конечными получателями) денежных средств (актива) (далее - третье лицо), взвешиваются на максимальный коэффициент риска из установленных пунктом 2.3 настоящей Инструкции в отношении контрагента или третьего лица (третьих лиц). Требования настоящего пункта реализуются с использованием кодов 8886.К, 8887.К, 8888.Т, 8889.Т, 8890.

2.3.29. Существенные вложения банка в обыкновенные акции (доли) отдельного юридического лица, не являющегося финансовой организацией (за исключением вложений со сроком нахождения на балансе до пяти рабочих дней), в части, превышающей 15 процентов от величины собственных средств (капитала) банка (лимит индивидуальных вложений), а также существенные совокупные вложения банка в обыкновенные акции (доли) юридических лиц, не являющихся финансовыми организациями (за исключением вложений со сроком нахождения на балансе до пяти рабочих дней), в части, превышающей 60 процентов от величины собственных средств (капитала) банка (лимит совокупных вложений), включаются в расчет активов, взвешенных по уровню риска, в соответствии с порядком, предусмотренным кодами 8880 и 8881.

В целях определения критерия существенности в расчет величины вложений банка в обыкновенные акции (доли) юридического лица (юридических лиц), не являющегося финансовой организацией (не являющихся финансовыми организациями), включаются в том числе вложения в обыкновенные акции, по которым рассчитывается рыночный риск.

В расчет величины вложений банка в обыкновенные акции (доли) юридического лица (юридических лиц), не являющегося финансовой организацией (не являющихся финансовыми организациями), не включаются вложения в обыкновенные акции (доли), ранее полученные на возвратной основе без первоначального признания.

Понятие вложений в обыкновенные акции (доли) юридического лица (юридических лиц), не являющегося финансовой организацией (не являющихся финансовыми организациями), применяется в значении понятия вложений в обыкновенные акции (доли) финансовых организаций, предусмотренного подпунктом 2.2.9 пункта 2 Положения Банка России N 395-П.

В случае если сумма, рассчитанная по коду 8880, превышает величину вложений в обыкновенные акции (доли), по которым не рассчитывается рыночный риск, величина превышения относится в уменьшение вложений в обыкновенные акции (доли), по которым рассчитывается рыночный риск.

2.3.30. Существенные вложения банка в обыкновенные акции (доли) финансовой организации в значении, определенном подпунктом 2.2.9.2 пункта 2 Положения Банка России N 395-П (за исключением вложений со сроком нахождения на балансе до пяти рабочих дней, а также вложений, являющихся частью мероприятий, проводимых в рамках реализации согласованного Банком России плана мер по финансовому оздоровлению кредитной организации в соответствии с Федеральным законом от 26 октября 2002 года N 127-ФЗ "О несостоятельности (банкротстве)" (Собрание законодательства Российской Федерации, 2002, N 43, ст. 4190; 2004, N 35, ст. 3607; 2005, N 1, ст. 18, ст. 46; N 44, ст. 4471; 2006, N 30, ст. 3292; N 52, ст. 5497; 2007, N 7, ст. 834; N 18, ст. 2117; N 30, ст. 3754; N 41, ст. 4845; N 49, ст. 6079; 2008, N 30, ст. 3616; N 49, ст. 5748; 2009, N 1, ст. 4, ст. 14; N 18, ст. 2153; N 29, ст. 3632; N 51, ст. 6160; N 52, ст. 6450; 2010, N 17, ст. 1988; N 31, ст. 4188, ст. 4196; 2011, N 1, ст. 41; N 7, ст. 905; N 19, ст. 2708; N 27, ст. 3880; N 29, ст. 4301; N 30, ст. 4576; N 48, ст. 6728; N 49, ст. 7015, ст. 7024, ст. 7040, ст. 7061, ст. 7068; N 50, ст. 7351, ст. 7357; 2012, N 31, ст. 4333; N 53, ст. 7607, ст. 7619; 2013, N 23, ст. 2871; N 26, ст. 3207; N 27, ст. 3477, ст. 3481; N 30, ст. 4084; N 51, ст. 6699; N 52, ст. 6975, ст. 6984; 2014, N 11, ст. 1095, ст. 1098; N 30, ст. 4217; N 49, ст. 6914; N 52, ст. 7543; 2015, N 1, ст. 10, ст. 11, ст. 29, ст. 35; N 27, ст. 3945, ст. 3958, ст. 3967, ст. 3977; N 29, ст. 4350, ст. 4355, ст. 4362; 2016, N 1, ст. 11, ст. 27, ст. 29; N 23, ст. 3296; N 26, ст. 3891; N 27, ст. 4225, ст. 4237, ст. 4293; 2017, N 1, ст. 29; N 18, ст. 2661; N 25, ст. 3596) (далее - Федеральный закон "О несостоятельности (банкротстве)") и (или) реализации согласованного Банком России плана участия государственной корпорации "Агентство по страхованию вкладов" (далее - Агентство по страхованию вкладов) в осуществлении мер по предупреждению банкротства банков, предусматривающего оказание Агентством по страхованию вкладов финансовой помощи в соответствии с Федеральным законом "О несостоятельности (банкротстве)"), и (или) отложенные налоговые активы, не зависящие от прибыли кредитной организации, включаются в расчет кодов 8878.А и 8878.Н в следующем порядке.

Существенные вложения в обыкновенные акции (доли) финансовой организации включаются в расчет кода 8878.А в сумме существенных вложений в обыкновенные акции (доли) финансовой организации, по которым не рассчитывается рыночный риск, уменьшенной на сумму двух величин, рассчитанных (без учета требований подпункта 8.1 пункта 8 Положения Банка России N 395-П) в соответствии с:

подпунктом 2.2.9.2 пункта 2 Положения Банка России N 395-П в части, пропорциональной удельному весу вложений в обыкновенные акции (доли), по которым не рассчитывается величина рыночного риска, в общем объеме вложений в обыкновенные акции (доли) финансовой организации;

подпунктом 2.2.9.3 пункта 2 Положения Банка России N 395-П в части показателя, уменьшающего источники базового капитала банка, относящейся к существенным вложениям в обыкновенные акции (доли) и пропорциональной удельному весу вложений в обыкновенные акции (доли), по которым не рассчитывается величина рыночного риска, в общей сумме вложений в обыкновенные акции (доли) финансовой организации и отложенных налоговых активов.

В расчет кода 8878.Н отложенные налоговые активы включаются за минусом суммы двух величин, рассчитанных (без учета требований подпункта 8.1 пункта 8 Положения Банка России N 395-П) в соответствии с:

подпунктом 2.2.3 пункта 2 Положения Банка России N 395-П в части показателя, уменьшающего источники базового капитала банка;

подпунктом 2.2.9.3 пункта 2 Положения Банка России N 395-П в части показателя, уменьшающего источники базового капитала банка, пропорциональной удельному весу отложенных налоговых активов в общей сумме вложений в обыкновенные акции (доли) финансовой организации и отложенных налоговых активов.

2.3.31. Вложения в акции (доли), по которым не рассчитывается величина рыночного риска, включаются в расчет кодов 8825.1, 8825.2 и 8825.0 в сумме, уменьшенной:

на величину вложений, рассчитанных по кодам 8878.А и 8880;

на величину вложений в акции (доли) финансовой организации, уменьшающих источники базового капитала, добавочного капитала и дополнительного капитала в соответствии с подпунктами 2.2.9 и 2.4.3 пункта 2, подпунктом 3.2.3 пункта 3 Положения Банка России N 395-П и пропорциональных удельному весу вложений в акции (доли), по которым не рассчитывается величина рыночного риска, в общем объеме вложений в акции (доли) финансовой организации и (или) в общем объеме вложений в акции (доли) финансовой организации и отложенных налоговых активов;

на величину вложений в акции (доли), уменьшающих источники основного капитала в соответствии с подпунктом 2.4 пункта 2 приложения к Положению Банка России N 395-П (с учетом требований подпункта 8.1.1 пункта 8 Положения Банка России N 395-П) и пропорциональных удельному весу вложений в акции (доли), по которым не рассчитывается величина рыночного риска, в общем объеме вложений в акции (доли);

на величину вложений, вошедших в расчет кодов 8753.1, 8753.2 и 8753.0.

2.3.32. В расчет активов, взвешенных по уровню риска, остатки по балансовым счетам N 47410 "Требования по аккредитивам с нерезидентами" и N 47431 "Требования по аккредитивам" включаются в части сумм требований к плательщикам (гарантам) по исполненным аккредитивам.

2.3.33. В целях расчета нормативов достаточности капитала банка по операциям с клиринговыми сертификатами участия, полученными от клиринговой организации - центрального контрагента, соответствующего условиям кода 8846:

денежные средства, переданные в имущественный пул и (или) полученные по операциям, совершаемым на возвратной основе с клиринговыми сертификатами участия, и отражаемые на балансовом счете N 30424 "Средства в клиринговых организациях, предназначенные для исполнения обязательств, допущенных к клирингу, индивидуального клирингового и иного обеспечения", включаются в расчет кода 8846;

ценные бумаги (за исключением ценных бумаг, по которым рассчитывается величина рыночного риска), переданные в имущественный пул, включаются в расчет активов, взвешенных по уровню риска, в размере справедливой стоимости указанных ценных бумаг, отраженной на балансовых счетах бухгалтерского учета, с применением коэффициентов риска, установленных пунктами 2.1 и 2.3 настоящей Инструкции в отношении эмитентов ценных бумаг. При этом в расчет нормативов достаточности капитала банка не включаются вложения в клиринговые сертификаты участия, отраженные на внебалансовых счетах;

требования банка-заемщика по сделкам, совершаемым на возвратной основе с клиринговыми сертификатами участия, переданными без прекращения признания (за исключением операций с клиринговыми сертификатами участия, ранее полученными на возвратной основе без первоначального признания), включаются в расчет активов, взвешенных по уровню риска, исходя из балансовой стоимости активов (за исключением ценных бумаг, по которым рассчитывается величина рыночного риска), составляющих имущественный пул клиринговых сертификатов участия, переданных без прекращения признания, в сумме обеспеченной и необеспеченной частей. Обеспеченная часть требования, равная номинальной стоимости клиринговых сертификатов участия (за исключением части номинальной стоимости клиринговых сертификатов участия, относящейся к ценным бумагам, по которым рассчитывается величина рыночного риска), переданных без прекращения признания, отражаемой на внебалансовом счете N 91419 "Ценные бумаги, переданные по операциям, совершаемым на возвратной основе", взвешивается на коэффициент риска по соответствующему обеспечению. Обеспечением по сделкам, совершаемым на возвратной основе с клиринговыми сертификатами участия, переданными без прекращения признания, для банка-заемщика признаются денежные средства, полученные в рамках договоров, удовлетворяющих требованиям подпункта 2.6.1 пункта 2.6 настоящей Инструкции. Необеспеченная часть требования равна превышению балансовой стоимости активов, составляющих имущественный пул клиринговых сертификатов участия, переданных без прекращения признания, над номинальной стоимостью указанных клиринговых сертификатов участия. Необеспеченная часть требования, относящаяся к ценным бумагам, взвешивается на коэффициенты риска, установленные пунктами 2.1 и 2.3 настоящей Инструкции в отношении эмитентов ценных бумаг, входящих в имущественный пул, в сумме, равной разнице между балансовой стоимостью соответствующих ценных бумаг и стоимостью, по которой данные ценные бумаги были внесены в имущественный пул. Необеспеченная часть требования, относящаяся к денежным средствам в иностранной валюте, взвешивается на коэффициенты риска, установленные пунктами 2.1 и 2.3 настоящей Инструкции, в отношении контрагента. При этом в расчет активов, взвешенных по уровню риска, для целей расчета нормативов достаточности капитала банка не включаются стоимость активов (денежных средств и ценных бумаг), составляющих имущественный пул клиринговых сертификатов участия, переданных без прекращения признания, а также вложения в клиринговые сертификаты участия;

требования банка-заемщика по сделкам, совершаемым на возвратной основе с клиринговыми сертификатами участия, ранее полученными на возвратной основе без первоначального признания, включаются в расчет кода 8733.i с коэффициентом риска 0 процентов;

требования банка-кредитора по возврату денежных средств по сделкам, совершаемым на возвратной основе с клиринговыми сертификатами участия, рассматриваются как необеспеченные и включаются в расчет кода 8846.

2.4. При определении в целях расчета нормативов достаточности капитала банка величины кредитного риска по кредитным требованиям и требованиям по получению начисленных (накопленных) процентов и ПФИ, которые обеспечены соответствующими способами исполнения обязательств заемщика (контрагента), банк вправе не чаще чем один раз в год принять (пересмотреть) решение о применении одного из подходов, предусмотренных в пунктах 2.3 и 2.6 настоящей Инструкции в отношении активов и ПФИ, указанных в пункте 2.6 настоящей Инструкции.

Банки могут применять один из возможных подходов к снижению кредитного риска по обеспеченным кредитным требованиям и требованиям по получению начисленных (накопленных) процентов и по ПФИ.

2.5. Информация о принятии (пересмотре) уполномоченным органом банка решения о применении одного из подходов к снижению кредитного риска по обеспеченным кредитным требованиям и требованиям по получению начисленных (накопленных) процентов, а также ПФИ, предусмотренных в пунктах 2.3 и 2.6 настоящей Инструкции, доводится банком до Банка России (территориального учреждения Банка России, уполномоченного структурного подразделения центрального аппарата Банка России), осуществляющего надзор за его деятельностью (далее - Банк России (территориальное учреждение Банка России, уполномоченное структурное подразделение центрального аппарата Банка России), в письменном виде в течение семи рабочих дней с даты принятия решения. Информация об используемом при расчете нормативов достаточности капитала банка подходе должна содержаться в примечаниях к форме отчетности 0409813 "Сведения об обязательных нормативах, показателе финансового рычага и нормативе краткосрочной ликвидности (публикуемая форма)" и форме отчетности 0409135 "Информация об обязательных нормативах и о других показателях деятельности кредитной организации", установленных Указанием Банка России от 24 ноября 2016 года N 4212-У "О перечне, формах и порядке составления и представления форм отчетности кредитных организаций в Центральный банк Российской Федерации", зарегистрированным Министерством юстиции Российской Федерации 14 декабря 2016 года N 44718, 29 марта 2017 года N 46155 (далее - Указание Банка России N 4212-У).

2.6. Кредитные требования и требования по получению начисленных (накопленных) процентов, указанные в подпункте 2.6.1 настоящего пункта и приложении 3 к настоящей Инструкции, по которым предоставлено обеспечение из числа указанных в подпункте 2.6.2 настоящего пункта, включаются в расчет нормативов достаточности капитала банка за вычетом сформированных резервов на возможные потери или резервов на возможные потери по ссудам, по ссудной и приравненной к ней задолженности. Банки вправе в соответствии с порядком, определенным пунктом 2.5 настоящей Инструкции, оценивать кредитные требования и требования по получению начисленных (накопленных) процентов, указанные в подпункте 2.6.1 настоящего пункта (за исключением тех, по которым кредитный риск рассчитывается на основе ПВР) и приложении 3 к настоящей Инструкции.

2.6.1. Расчет стоимости активов (кредитных требований и требований по получению начисленных (накопленных) процентов), возникших из договоров репо, определенных статьей 51.3 Федерального закона "О рынке ценных бумаг", заключенных в том числе на условиях генерального соглашения (единого договора) и удовлетворяющих правилам пункта 1 статьи 4.1 Федерального закона "О несостоятельности (банкротстве)", а также требованиям пунктов 3 и (или) 4 статьи 4.1 Федерального закона "О несостоятельности (банкротстве)" (далее - финансовые договоры, включенные в соглашение о неттинге), с учетом обеспечения, указанного в подпункте 2.6.2 настоящего пункта, осуществляется по формуле:

,

где:

- расчетная стоимость кредитного требования и требований по получению начисленных (накопленных) процентов, включаемая в расчет нормативов достаточности капитала банка с коэффициентом риска в зависимости от заемщика (контрагента) в соответствии с подпунктами 2.3.1 - 2.3.5 пункта 2.3 настоящей Инструкции;

A - балансовая стоимость кредитного требования и требований по получению начисленных (накопленных) процентов (включая требования по возврату ценных бумаг, переданных по сделкам, совершаемым на возвратной основе, с ценными бумагами, ранее полученными на возвратной основе без первоначального признания) за вычетом резервов на возможные потери или резервов на возможные потери по ссудам, по ссудной и приравненной к ней задолженности - для банка-кредитора; балансовая стоимость предоставленного обеспечения исполнения обязательств за минусом резервов на возможные потери, сформированные в отношении контрагента по сделке (банка-кредитора либо третьего лица, у которого хранится (находится на счетах) обеспечение в связи с риском невозврата указанного обеспечения) - для банка-заемщика;

C - балансовая стоимость полученного обеспечения (за исключением коллективного клирингового обеспечения) - для банка-кредитора; сумма обязательств перед банком-кредитором по полученным денежным средствам - для банка-заемщика;

Ei - абсолютное значение чистой позиции по ценной бумаге по финансовым договорам с контрагентом, включенным в соглашение о неттинге. Под чистой позицией понимается разница между суммой всех длинных позиций и суммой всех коротких позиций по ценным бумагам по финансовым договорам с контрагентом, включенным в соглашение о неттинге;

Hi - дисконт, применяемый к абсолютной чистой позиции по ценной бумаге;

Efx - абсолютное значение чистой позиции по валюте, отличной от расчетной;

Hfx - минимальный дисконт в размере 8 процентов, применяемый при несовпадении валюты расчетов и чистой позиции по валюте.

Минимальные значения дисконтов (в процентах) при условии проведения ежедневного перечисления маржи и (или) переоценки кредитного требования и обеспечения (далее - переоценка) и срока реализации залога в десять рабочих дней () приведены в следующей таблице.

N п/п Кредитный рейтинг эмиссии долговых ценных бумаг (эмитента), присвоенный иностранными кредитными рейтинговыми агентствами "Эс-энд-Пи Глобал Рейтингс" (S&P Global Ratings) или "Фитч Рейтингс" (Fitch Ratings)/"Мудис Инвесторс Сервис" (Moody's Investors Service) Срок, оставшийся до погашения (досрочного погашения) Величина дисконтов
Эмитенты - государства, национальные центральные банки и организации, которым в соответствии с законодательством соответствующих стран предоставлено право осуществлять заимствования от имени государства; международные финансовые организации и международные банки развития, указанные в подпункте 2.3.1 пункта 2.3 настоящей Инструкции Прочие эмитенты
1 2 3 4 5
1 AAA-AA-/Aaa-Aa3 не более 1 года 0,5 1,0
от 1 года и до 5 лет 2,0 4,0
свыше 5 лет 4,0 8,0
2 A+-BBB-/A1-Baa3 не более 1 года 1,0 2,0
от 1 года и до 5 лет 3,0 6,0
свыше 5 лет 6,0 12,0
3 BB+-BB-/Ba1-Ba3 любой 15,0 обеспечение не учитывается
4 Золото в слитках в хранилищах банков (абзац третий подпункта 2.6.2 настоящего пункта). 15,0
5 Долевые ценные бумаги эмитентов, включенные в списки для расчета Индекса ММВБ 50 и (или) Индекса РТС 50 (включая конвертируемые облигации), а также фондовых индексов акций, указанных в приложении 6 к настоящей Инструкции. 50,0
6 Гарантийный депозит (вклад), первоначальный платеж, прочие периодические платежи и (или) встречные требования, возникшие из договора об обмене депозитами, денежные средства, полученные в рамках договоров репо, удовлетворяющих требованиям настоящего пункта. 0
7 Денежные средства в рублях, составляющие имущественный пул клиринговых сертификатов участия. 0
8 Денежные средства в иностранной валюте, составляющие имущественный пул клиринговых сертификатов участия. 8,0

По активам (обеспечению), не указанным в таблице, применяется дисконт в размере 100 процентов.

В случае если предоставленное обеспечение включает несколько различных активов, величина дисконта (H) определяется по формуле:

,

где:

ai - доля актива в общей стоимости обеспечения;

Hi - дисконт, применяемый к данному активу.

Величина дисконта по клиринговым сертификатам участия - величина дисконта, определяемая выпустившей данные ценные бумаги клиринговой организацией - центральным контрагентом, соответствующей условиям кода 8846, исходя из информации об активах, составляющих имущественный пул, и дисконтов, установленных настоящим подпунктом. Ценные бумаги в иностранной валюте, входящие в имущественный пул, учитываются с дисконтом, определяемым как сумма дисконта по эмитенту ценной бумаги (с учетом срока, оставшегося до ее погашения) и дисконта в размере 8 процентов.

Информация о величине дисконтов по клиринговым сертификатам участия на ежедневной основе доводится до участников клиринга в составе информации, предоставляемой банкам - участникам клиринга клиринговой организацией - центральным контрагентом в соответствии с правилами клиринга, и (или) раскрывается на официальном сайте клиринговой организации - центрального контрагента в информационно-телекоммуникационной сети "Интернет".

2.6.1.1. В случае если срок реализации залога составляет количество рабочих дней (), отличное от десяти, и перечисление маржи и (или) переоценка осуществляются не ежедневно, минимальные значения дисконтов () корректируются в зависимости от реальных минимальных сроков реализации залога и периодичности перечисления маржи и (или) переоценки с использованием формулы:

,

где:

Hi (Hfx) - скорректированные значения дисконтов;

- фактическое количество рабочих дней между перечислением маржи и (или) переоценкой. В случае если перечисление маржи не предполагается в течение срока операции, в качестве значения принимается срок от отчетной даты до окончания операции. В случае если предполагаются ежедневные перечисление маржи и переоценка, значение равно единице.

- минимальный срок реализации залога в зависимости от типа операции;

- минимальное значение дисконта для срока реализации в десять рабочих дней.

Минимальные сроки реализации залога для различных типов операций приведены в следующей таблице:

N п/п Тип операции Минимальный срок реализации залога () Условия
1 2 3 4
1 Договоры репо Пять рабочих дней Ежедневное перечисление маржи и (или) ежедневная переоценка
2 Сделки с ПФИ Десять рабочих дней Ежедневное перечисление маржи и (или) ежедневная переоценка

2.6.1.2. Значение дисконта (Hi) равно нулю по договорам репо с Банком России, субъектами Российской Федерации или муниципальными образованиями Российской Федерации, международными финансовыми организациями, международными банками развития, клиринговыми организациями - резидентами, кредитными организациями, осуществляющими функции центрального контрагента, кредитными организациями - резидентами стран, имеющих страновые оценки "0", "1", или стран с высоким уровнем доходов, являющихся членами ОЭСР и (или) Еврозоны, а также кредитными организациями - резидентами (включая Внешэкономбанк) сроком размещения до 90 календарных дней и при одновременном выполнении следующих условий:

обеспечение предоставлено в виде гарантийного депозита (вклада), денежных средств, полученных в рамках договоров репо, уплаченного первоначального платежа, прочих совершенных периодических платежей и (или) встречных требований, возникших из договора об обмене депозитами, долговыми ценными бумагами Российской Федерации, Банка России, государств или центральных банков стран, имеющих страновые оценки "0", "1", или стран с высоким уровнем доходов, являющихся членами ОЭСР и (или) Еврозоны, и международных финансовых организаций;

кредитное требование и обеспечение номинированы в одной и той же валюте;

сделка заключена на срок "овернайт" или договор о ее заключении предусматривает ежедневное перечисление маржи и ежедневную переоценку;

расчеты по сделкам осуществляются в соответствии с обычаями делового оборота;

при наступлении неплатежеспособности или банкротства контрагента (заемщика) у банка существует возможность для реализации прав, вытекающих из наличия обеспечения по операции, но не более четырех рабочих дней.

2.6.2. Обеспечением по требованиям, указанным в настоящем пункте и приложении 3 к настоящей Инструкции, являются:

долговые ценные бумаги, выпущенные банком-кредитором и находящиеся у последнего в закладе;

золото в слитках в хранилищах банков;

залог долговых ценных бумаг (в том числе полученных по договорам репо) Российской Федерации, субъектов Российской Федерации или муниципальных образований Российской Федерации, Банка России, правительств или центральных банков стран, имеющих рейтинг долгосрочной кредитоспособности, присвоенный как минимум одним из иностранных кредитных рейтинговых агентств на уровне не ниже уровня "BB-" по международной рейтинговой шкале "Эс-энд-Пи Глобал Рейтингс" (S&P Global Ratings) или "Фитч Рейтингс" (Fitch Ratings) либо "Ba3" по международной рейтинговой шкале "Мудис Инвесторс Сервис" (Moody's Investors Service), а также организаций, которым в соответствии с законодательством указанных стран предоставлено право осуществлять заимствования от имени государства, международных финансовых организаций и международных банков развития, указанных в подпункте 2.3.1 пункта 2.3 настоящей Инструкции, организаций (резидентов и нерезидентов), имеющих рейтинг долгосрочной кредитоспособности, присвоенный как минимум одним из иностранных кредитных рейтинговых агентств на уровне не ниже уровня "BBB-" по международной рейтинговой шкале "Эс-энд-Пи Глобал Рейтингс" (S&P Global Ratings) или "Фитч Рейтингс" (Fitch Ratings) либо "Baa3" по международной рейтинговой шкале "Мудис Инвесторс Сервис" (Moody's Investors Service), долевых ценных бумаг организаций-эмитентов, включенных в списки для расчета Индекса ММВБ 50 и (или) Индекса РТС 50 (включая конвертируемые облигации), а также индексов акций, указанных в приложении 7 к настоящей Инструкции;

уплаченный первоначальный платеж, прочие совершенные периодические платежи;

встречные требования, возникшие из договора об обмене депозитами, номинированными в одной или разных валютах (золоте, отдельных драгоценных металлах, по которым рассчитывается открытая валютная позиция согласно Инструкции Банка России от 28 декабря 2016 года N 178-И "Об установлении размеров (лимитов) открытых валютных позиций, методике их расчета и особенностях осуществления надзора за их соблюдением кредитными организациями", зарегистрированной Министерством юстиции Российской Федерации 17 марта 2017 года N 46007;

гарантийный депозит (вклад), удовлетворяющий требованиям подпункта 6.2.2 пункта 6.2 Положения Банка России N 590-П, денежные средства, полученные в рамках договоров прямого репо, удовлетворяющих требованиям подпункта 2.6.1 настоящего пункта.

В качестве обеспечения по кредитному требованию и требованию по получению начисленных (накопленных) процентов не могут рассматриваться ценные бумаги, выпущенные контрагентом (заемщиком), а также лицами, аффилированными с контрагентом (заемщиком), а также ценные бумаги, права на которые удостоверены депозитариями, не удовлетворяющими критериям, предусмотренным пунктом 1.2 Указания Банка России N 2732-У. Исключением являются клиринговые сертификаты участия, полученные по сделкам, совершаемым на возвратной основе, контрагентом по которым выступает клиринговая организация - центральный контрагент, соответствующий условиям кода 8846.

2.6.3. Для случаев, когда актив (кредитное требование и требование по получению начисленных (накопленных) процентов) обеспечен более чем одним видом обеспечения, расчет стоимости актива (кредитного требования и требования по получению начисленных (накопленных) процентов) с учетом предоставленного обеспечения осуществляется в зависимости от установленной договором о предоставлении обеспечения последовательности его использования для исполнения обязательств.

2.6.4. Сумма (стоимость) предоставленного обеспечения будет приниматься в уменьшение кредитного требования и требования по получению начисленных (накопленных) процентов в случае, если срок действия гарантийного депозита (вклада), и (или) залога, и (или) финансового договора, включенного в соглашение о неттинге, заканчивается не ранее наступления срока исполнения контрагентом (заемщиком) обязательства (обязательств), обеспечиваемого (обеспечиваемых) залогом, и (или) гарантийным депозитом (вкладом), и (или) финансовым договором, включенным в соглашение о неттинге.

2.6.5. Итоговое значение стоимости активов (кредитных требований и требований по получению начисленных (накопленных) процентов) после уменьшения на величину суммы (стоимости) предоставленного обеспечения не может превышать соответствующую стоимость активов (кредитных требований и требований по получению начисленных (накопленных) процентов) без учета обеспечения.

2.6.6. Уменьшенная на величину суммы (стоимости) предоставленного обеспечения стоимость активов (кредитных требований и требований по получению начисленных (накопленных) процентов) включается в расчет нормативов достаточности капитала банка с коэффициентом риска в зависимости от заемщика (контрагента) в соответствии с подпунктами 2.3.1 - 2.3.5 пункта 2.3 настоящей Инструкции. При этом сумма требований участников клиринга к расчетным кредитным организациям в части индивидуального клирингового обеспечения, перечисленного для исполнения и (или) обеспечения исполнения обязательств, допущенных к клирингу, и кредитных требований, возникших по результатам клиринга, включается в расчет нормативов достаточности капитала банка с коэффициентом риска в отношении такой кредитной организации в соответствии с пунктом 2.3 настоящей Инструкции.

Полученная величина кредитного риска, включаемая в расчет нормативов достаточности капитала банка с коэффициентами риска в зависимости от заемщика (контрагента) в соответствии с подпунктами 2.3.1 - 2.3.3, 2.3.5 пункта 2.3 настоящей Инструкции, не умножается на повышенный коэффициент 1,5.

При этом полученная величина кредитного риска в отношении связанных с банком лиц (за исключением кредитных организаций (резидентов и нерезидентов) - участников банковской группы, в состав которой входит банк-кредитор, составляющей консолидированную отчетность для определения рисков, принимаемых на консолидированной основе, которая представляется головной кредитной организацией банковской группы в орган банковского надзора страны пребывания головной кредитной организации (далее - кредитные организации, участники банковской группы, в состав которой входит банк-кредитор), рассчитанная в соответствии с настоящим пунктом, умножается на коэффициент 1,3 для целей расчета нормативов достаточности капитала банка.

Глава 3. Надбавки к нормативам достаточности капитала банка

3.1. Минимально допустимое числовое значение надбавок определяется как сумма минимально допустимых числовых значений надбавки поддержания достаточности капитала, антициклической надбавки, а в случае, если банк является системно значимым, надбавки за системную значимость. Соблюдение минимально допустимого числового значения надбавок обеспечивается за счет источников базового капитала в размере, превышающем величину, требуемую для соблюдения нормативов достаточности капитала банка, за исключением норматива финансового рычага (Н1.4). (в ред. Указания ЦБ РФ от 06.12.2017 N 4635-У)

3.2. Минимально допустимое числовое значение надбавки поддержания достаточности капитала устанавливается в процентах от взвешенных по риску активов, рассчитанных в соответствии с главой 2 настоящей Инструкции и приложениями 1 - 4 и 7 к настоящей Инструкции в целях расчета норматива достаточности капитала банка соответствующего уровня, в соответствии со следующей таблицей.

Дата с 01.01.2017 с 01.01.2018 с 01.01.2019
Значение надбавки поддержания достаточности капитала 1,25 1,875 2,5

3.3. Величина антициклической надбавки определяется банком как средневзвешенная величина национальных антициклических надбавок, установленных во всех государствах (включая антициклическую надбавку Российской Федерации), с резидентами которых банк заключил сделки (предоставил обеспечение по сделкам, в том числе заключенным с третьими лицами), по которым рассчитывается кредитный и рыночный риск.

В расчет антициклической надбавки не включаются сделки, заключенные с центральными банками, государственными органами и органами местного самоуправления, организациями, которым предоставлено право осуществлять заимствования от имени государства, Банком международных расчетов, Международным валютным фондом, Европейским центральным банком, международными банками развития, кредитными организациями, предприятиями, находящимися в государственной и муниципальной собственности.

В целях определения величины активов и внебалансовых обязательств по сделкам с резидентами Российской Федерации из общей суммы активов и внебалансовых обязательств дополнительно исключаются сделки с государственными корпорациями, государственными унитарными предприятиями (в том числе казенными), государственными учреждениями (автономными, бюджетными и казенными), муниципальными унитарными предприятиями, хозяйственными обществами с долей государственной или муниципальной собственности, превышающей 50 процентов уставного капитала, акционерными обществами, в отношении которых используется специальное право на участие Российской Федерации, субъектов Российской Федерации или муниципальных образований Российской Федерации в управлении указанными акционерными обществами ("золотая акция").

Величина антициклической надбавки банка рассчитывается в процентах как сумма произведений значений национальных антициклических надбавок (включая антициклическую надбавку Российской Федерации), установленных уполномоченными национальными органами, и отношений сумм требований к резидентам соответствующих государств (за исключением требований к лицам, указанным в абзаце втором настоящего пункта) к совокупной величине всех требований по сделкам с резидентами всех государств (за исключением требований к лицам, указанным в абзаце втором настоящего пункта), по которым рассчитываются кредитный и рыночный риски.

Величина антициклической надбавки принимается банком равной нулю в случаях, если соответствующим уполномоченным национальным органом антициклическая надбавка не установлена, а сделки с резидентами данной страны банком заключены (предоставлено обеспечение по сделкам).

Требования, подверженные кредитному риску, включаются банком в расчет национальной антициклической надбавки в величине, определенной в соответствии с главой 2 настоящей Инструкции и приложениями 1 - 4 и 7 к настоящей Инструкции.

Требования, подверженные рыночному риску, включаются банком в расчет национальной антициклической надбавки в размере суммы специального процентного риска и специального фондового риска, определенных в соответствии с Положением Банка России N 511-П, умноженной на 12,5.

Требования к резиденту одного государства, обеспеченные резидентом другого государства, банк вправе включать в расчет антициклической надбавки в составе требований к резидентам того государства, резидент которого предоставил обеспечение (из числа обеспечения, поименованного в подпунктах 2.3.1 - 2.3.4 пункта 2.3 настоящей Инструкции).

Если уполномоченный национальный орган (за исключением Банка России) установил национальную антициклическую надбавку в величине, превышающей 2,5 процента от взвешенных по риску активов, такая национальная антициклическая надбавка принимается банком в расчет антициклической надбавки в величине 2,5 процента от взвешенных по риску активов.

Минимально допустимое числовое значение антициклической надбавки устанавливается в процентах от значения, рассчитанного в соответствии с настоящим пунктом, в соответствии со следующей таблицей:

Дата с 01.01.2017 с 01.01.2018 с 01.01.2019
Значение антициклической надбавки 50 75 100

Информация о величине и дате начала применения российской антициклической надбавки, установленной Советом директоров Банка России, публикуется на официальном сайте Банка России. Информация о величине и дате начала применения иных национальных антициклических надбавок, установленных соответствующими уполномоченными национальными органами, публикуется на сайте Базельского комитета по банковскому надзору в информационно-телекоммуникационной сети "Интернет".

3.4. Расчет надбавки за системную значимость осуществляется банками, определяемыми в соответствии с Указанием Банка России от 22 июля 2015 года N 3737-У "О методике определения системно значимых кредитных организаций", зарегистрированным Министерством юстиции Российской Федерации 11 августа 2015 года N 38444.

Минимально допустимое числовое значение надбавки за системную значимость устанавливается в процентах от взвешенных по риску активов, в соответствии со следующей таблицей.

Дата с 01.01.2017 с 01.01.2018 с 01.01.2019
Значение надбавки за системную значимость 0,35 0,65 1,0

Глава 4. Нормативы ликвидности банка

4.1. В целях контроля за состоянием ликвидности банка, то есть его способности обеспечить своевременное и полное выполнение своих денежных и иных обязательств, вытекающих из сделок с использованием финансовых инструментов, устанавливаются нормативы мгновенной, текущей, долгосрочной ликвидности, которые регулируют (ограничивают) риски потери банком ликвидности и определяются как отношение между активами и пассивами с учетом сроков, сумм и типов активов и пассивов, других факторов.

4.2. Норматив мгновенной ликвидности банка (Н2) регулирует (ограничивает) риск потери банком ликвидности в течение одного операционного дня и определяет минимальное отношение суммы высоколиквидных активов банка к сумме обязательств (пассивов) банка по счетам до востребования, скорректированных на величину минимального совокупного остатка средств по счетам физических и юридических лиц до востребования, определяемую в порядке, установленном пунктом 4.6 настоящей Инструкции. Норматив мгновенной ликвидности банка (Н2) рассчитывается по формуле:

,

где:

Лам - высоколиквидные активы, то есть финансовые активы, которые должны быть получены в течение ближайшего календарного дня, и (или) могут быть незамедлительно востребованы банком, и (или) в случае необходимости могут быть реализованы банком в целях незамедлительного получения денежных средств, в том числе средства на корреспондентских счетах банка в Банке России, в банках-резидентах, во Внешэкономбанке, в банках стран, имеющих страновые оценки "0", "1", или стран с высоким уровнем доходов, являющихся членами ОЭСР и (или) Еврозоны, в банках стран БРИКС, имеющих страновую оценку "2", в Международном банке реконструкции и развития, Международной финансовой корпорации и Европейском банке реконструкции и развития, средства в кассе банка. Показатель Лам рассчитывается как сумма остатков на счетах N N 30210, 30235, 30413, 30416, 30417 и кодов 8720, 8742, 8894, 8895, 8910, 8921, 8962, 8967, 8969, 8972, уменьшенная на значение кода 8701;

Овм - обязательства (пассивы) по счетам до востребования, по которым вкладчиком и (или) кредитором может быть предъявлено требование об их незамедлительном погашении. Показатель Овм рассчитывается как сумма остатков на счетах N N 301П - 30126, 30220, 30222, 30223, (30227 - 30228), 30230, 30231, 30232, 30236, 30411, 30412, 30414, 30420, 30421, 30601, 30604, 30606, 31201, 31210, 31213, 31214, 31301, 31302, 31310, 31401, 31402, 31410, 31501, 31502, 31601, 31602, 317, 318, 32901, 40101, 40105, 40106, (40108 - 40109), (40110 - 40111), 40116, 402, 40301, 40302, 40312, 404, 405, 406, 407, 408, 40903, 40905, (40907 - 40908), 40909, 40910, 40912, 40913, 41001, 41101, 41201, 41301, 41401, 41501, 41601, 41701, 41801, 41901, 42001, 42101, 42108 42201, 42301, 42309, 42501, 42601, 42609, 42701, 42801, 42901, 43001, 43101, 43201, 43301, 43401, 43501, 43601, 43701, 43801, 43901, 44001, 47403, 47405, 47407, 47416, 47418, 47422, 476, 52301, 52401, 52402, 52403, 52404, 52405, 52406, 60301, 60305, 60307, 60309, 60311, 60313, 60322, 60335, 61701, а также как сумма остатков на счетах, учтенных по кодам 8721, 8872, 8885, 8905, 8916, 8927, 8933, 8937, 8940, 8990, - 8853, - 8906, - 8911, - 8914, - 8955, - 8994. Показатель Овм увеличивается на значение кода 8872 на следующий рабочий день после возникновения у банка обязанности немедленного досрочного исполнения обязательств по привлеченным средствам или выпущенным ценным бумагам;

Овм* - величина минимального совокупного остатка средств по счетам физических и юридических лиц до востребования, определенная в порядке, установленном пунктом 4.6 настоящей Инструкции (код 8922).

Минимально допустимое числовое значение норматива Н2 устанавливается в размере 15 процентов.

4.3. Норматив текущей ликвидности банка (Н3) регулирует (ограничивает) риск потери банком ликвидности в течение ближайших к дате расчета норматива 30 календарных дней и определяет минимальное отношение суммы ликвидных активов банка к сумме обязательств (пассивов) банка по счетам до востребования и со сроком исполнения обязательств в ближайшие 30 календарных дней, скорректированных на величину минимального совокупного остатка средств по счетам физических и юридических лиц до востребования и со сроком исполнения обязательств в ближайшие 30 календарных дней, определяемую в порядке, установленном пунктом 4.6 настоящей Инструкции. Норматив текущей ликвидности банка (Н3) рассчитывается по формуле:

,

где:

Лат - ликвидные активы, то есть финансовые активы, которые должны быть получены банком, и (или) могут быть востребованы в течение ближайших 30 календарных дней, и (или) в случае необходимости реализованы банком в течение ближайших 30 календарных дней в целях получения денежных средств в указанные сроки. Показатель Лат рассчитывается как сумма высоколиквидных активов (показатель Лам) и остатков на счетах (частей остатков на счетах) N N 30233, 31903, 31904, 32003, 32004, 32103, 32104, 32203, 32204, 32303, 32304, 44101, 44102, 44103, 44202, 44203, 44204, 44302, 44303, 44304, 44402, 44403, 44404, 44503, 44603, 44703, 44803, 44903, 45003, 45103, 45203, 45303, 45403, 45502, 45601, 45701, 46002, 46102, 46202, 46302, 46402, 46502, 46602, 46702, 46802, 46902, 47002, 47102, 47202, 47302, 51201, 51202, 51301, 51302, а также как сумма остатков на счетах, учтенных по кодам 8722, 8848, 8849, 8908, 8931, 8950, 8984, 8989, 8995, - 8702, - 8706, - 8938, - 8987;

Овт - обязательства (пассивы) по счетам до востребования, по которым вкладчиком и (или) кредитором может быть предъявлено требование об их незамедлительном погашении, и обязательства банка перед кредиторами (вкладчиками) со сроком исполнения обязательств в ближайшие 30 календарных дней. Показатель Овт рассчитывается как сумма остатков на счетах (частей остатков на счетах) N N 30109, 30111, 30116, 30117, 30122, 30123, 30220, 30222, 30223, (30227 - 30228), 30230, 30231, 30232, 30236, 30411, 30412, 30414, 30420, 30421, 30601, 30604, 30606, 31201, 31202, 31203, 31210, 31213, 31214, 31215, 31216, 31301, 31302, 31303, 31304, 31310, 31401, 31402, 31403, 31404, 31410, 31501, 31502, 31503, 31504, 31601, 31602, 31603, 31604, 317, 318, 32901, 40101, 40105, 40106, (40108 - 40109), (40110 - 40111), 40116, 402, 40301, 40302, 40312, 404, 405, 406, 407, 408, 40903, 40905, (40907 - 40908), 40909, 40910, 40911 (за исключением лицевых счетов "Средства, предназначенные для зачисления на счета типа "С"), 40912, 40913, 41001, 41002, 41101, 41102, 41201, 41202, 41301, 41302, 41401, 41402, 41501, 41502, 41601, 41602, 41701, 41702, 41801, 41802, 41901, 41902, 42001, 42002, 42101, 42102, 42108, 42109 42201, 42202, 42301, 42302, 42309, 42310, 42501, 42502, 42601, 42602, 42609, 42610, 42701, 42702, 42801, 42802, 42901, 42902, 43001, 43002, 43101, 43102, 43201, 43202, 43301, 43302, 43401, 43402, 43501, 43502, 43601, 43602, 43701, 43702, 43801, 43802, 43901, 43902, 44001, 44002, 47403, 47405, 47407, 47416, 47418, 47422, 476, 52001, 52101, 52201, 52301, 52302, 52401, 52402, 52403, 52404, 52405, 52406, 60301, 60305, 60307, 60309, 60311, 60313, 60322, 60335, 61701, а также как сумма остатков на счетах, учтенных по кодам 8723, 8872, 8905, 8907, 8916, 8927, 8928, 8933, 8939, 8940, 8990, 8991, 8993, - 8854, - 8868, - 8906, - 8911, - 8938, - 8965, - 8994, - 8999;

Овт* - величина минимального совокупного остатка средств по счетам физических и юридических лиц до востребования и со сроком исполнения обязательств в ближайшие 30 календарных дней, определяемая в порядке, установленном пунктом 4.6 настоящей Инструкции (код 8930).

Минимально допустимое числовое значение норматива Н3 устанавливается в размере 50 процентов.

4.4. К высоколиквидным (Лам) и ликвидным (Лат) активам относятся только те финансовые активы банка из числа перечисленных в пунктах 4.2 и 4.3 настоящей Инструкции, в том числе вошедшие в портфели однородных ссуд и однородных требований, которые в соответствии с Положением Банка России N 590-П и Положением Банка России N 283-П относятся к I и II категориям качества. Высоколиквидные и ликвидные активы включаются в расчет нормативов Н2 и Н3 за вычетом расчетного резерва на возможные потери по указанным активам в соответствии с Положением Банка России N 590-П и Положением Банка России N 283-П. Финансовые активы банка, сгруппированные в портфели однородных ссуд и однородных требований, включаются в расчет за вычетом сформированного резерва на возможные потери по данным портфелям в соответствии с Положением Банка России N 590-П и Положением Банка России N 283-П соответственно пропорционально объему активов, входящих в портфели однородных ссуд и однородных требований и включенных в расчет показателей Лам и Лат.

Кроме активов I и II категорий качества в расчет показателей Лам и Лат включаются остатки на балансовых счетах, по которым в связи с отсутствием по ним кредитного риска не предъявляются требования по определению расчетных резервов и формированию резервов на возможные потери в соответствии с Положением Банка России N 590-П и Положением Банка России N 283-П. В расчет показателей Лам и Лат включаются активы, числящиеся на соответствующих балансовых счетах, если они планируются банком к получению в форме, позволяющей отнести их к высоколиквидным и ликвидным активам.

Активы, по которым осуществляется переоценка в порядке, предусмотренном Положением Банка России N 579-П, включаются в расчет показателей Лам и Лат с учетом суммы отрицательной и положительной разниц по переоценке.

Активы, составляющие имущественный пул клиринговых сертификатов участия, рассматриваются как обремененные и не участвуют в расчете показателей Лам и Лат. При этом в расчет показателей Лам и Лат включаются вложения в клиринговые сертификаты участия, отраженные на внебалансовых счетах.

4.5. Норматив долгосрочной ликвидности банка (Н4) регулирует (ограничивает) риск потери банком ликвидности в результате размещения средств в долгосрочные активы и определяет максимально допустимое отношение кредитных требований банка с оставшимся сроком до даты погашения свыше 365 или 366 календарных дней к собственным средствам (капиталу) банка и обязательствам (пассивам) с оставшимся сроком до даты погашения свыше 365 или 366 календарных дней, скорректированным на величину минимального совокупного остатка средств по счетам со сроком исполнения обязательств до 365 календарных дней и счетам до востребования физических и юридических лиц, определяемую в порядке, установленном пунктом 4.6 настоящей Инструкции. Норматив долгосрочной ликвидности банка (Н4) рассчитывается по формуле:

,

где:

Крд - кредитные требования с оставшимся сроком до даты погашения свыше 365 или 366 календарных дней, а также пролонгированные кредитные требования, если с учетом вновь установленных сроков погашения кредитных требований сроки, оставшиеся до их погашения, превышают 365 или 366 календарных дней, за вычетом сформированного резерва на возможные потери по указанным кредитным требованиям в соответствии с Положением Банка России N 590-П и Положением Банка России N 283-П (сумма кодов 8996 и 8724 за минусом кода 8850);

ОД - обязательства (пассивы) банка по кредитам и депозитам, полученным банком, за исключением суммы полученного банком субординированного кредита (займа, депозита, облигационного займа) в части остаточной стоимости, включенной в расчет собственных средств (капитала) банка, а также по обращающимся на рынке долговым обязательствам банка с оставшимся сроком погашения свыше 365 или 366 календарных дней (сумма кодов 8918, 8949, 8997 и 8725 за минусом кода 8873). Обязательства, отраженные по коду 8873, принимаются в уменьшение показателя ОД на следующий рабочий день после возникновения у банка обязанности досрочного исполнения обязательств по привлеченным средствам или выпущенным ценным бумагам в части средств, отраженных по коду 8872;

О* - величина минимального совокупного остатка средств по счетам со сроком исполнения обязательств до 365 календарных дней и счетам до востребования физических и юридических лиц, не вошедшим в расчет показателя ОД, определяемая в порядке, установленном пунктом 4.6 настоящей Инструкции (код 8978).

Максимально допустимое числовое значение норматива Н4 устанавливается в размере 120 процентов.

4.6. Показатели Овм*, Овт*, О* определяются как минимальный совокупный остаток средств по счетам юридических и физических лиц, участвующих в расчете кодов 8922, 8930, 8978, предусмотренных приложением 1 к настоящей Инструкции, сложившийся за расчетный период по результатам суммирования остатков по состоянию на первое число каждого месяца расчетного периода в пределах 1 процента средней величины совокупных остатков средств по соответствующим счетам юридических и физических лиц за расчетный период.

Для целей определения показателей Овм*, Овт*, О* расчетный период равен 12 месяцам, предшествующим дате расчета.

Показатель Овм* определяется как минимальный из показателей ... ... , рассчитываемых по формуле:

,

где:

n - число счетов юридических и физических лиц, участвующих в расчете за расчетный период;

показатель рассчитывается по формуле:

,

где:

- j-й остаток по счету юридического или физического лица из , где j = 1, 2 ... n;

показатель z рассчитывается по формуле:

,

где:

- сумма остатков средств на счетах юридических и физических лиц, принимаемых в расчет по состоянию на первое число i-го месяца расчетного периода.

Расчет показателей Овт*, О* осуществляется в порядке, установленном настоящим пунктом для показателя Овм* по остаткам средств на счетах соответствующей срочности.

Банк вправе самостоятельно принять (пересмотреть не чаще чем один раз в год) решение о включении в расчет нормативов Н2, Н3 и Н4 показателей Овм*, Овт*, О*. Информация о принятии такого решения уполномоченным органом банка доводится банком до Банка России (территориального учреждения Банка России, уполномоченного структурного подразделения центрального аппарата Банка России) в письменном виде в течение семи рабочих дней с даты принятия решения. В случае принятия банком решения не включать в расчет нормативов Н2, Н3 и Н4 показатели Овм, Овт*, О* указанные показатели принимаются в расчет с нулевым значением. Информация об используемом при расчете нормативов Н2, Н3 и Н4 подходе должна содержаться в примечаниях к форме отчетности 0409813 "Сведения об обязательных нормативах, показателе финансового рычага и нормативе краткосрочной ликвидности (публикуемая форма)" и форме отчетности 0409135 "Информация об обязательных нормативах и о других показателях деятельности кредитной организации", установленных Указанием Банка России N 4212-У.

Определение значений остатков средств на соответствующих счетах на каждую отчетную дату расчетного периода осуществляется на основе фактических отраженных в документах бухгалтерского учета данных о величине остатков средств на отдельных лицевых счетах, включаемых в расчет показателей Овм*, Овт*, О*. В качестве источников данных используется форма отчетности 0409101 "Оборотная ведомость по счетам бухгалтерского учета кредитной организации", установленная Указанием Банка России N 4212-У.

Глава 5. Максимальный размер риска на одного заемщика или группу связанных заемщиков (Н6)

5.1. Норматив максимального размера риска на одного заемщика или группу связанных заемщиков (Н6) регулирует (ограничивает) кредитный риск банка в отношении одного заемщика или группы связанных заемщиков и определяет максимальное отношение совокупной суммы обязательств заемщика (заемщиков, входящих в группу связанных заемщиков) перед банком и обязательств перед третьими лицами, вследствие которых у банка возникают требования в отношении указанного заемщика (заемщиков, входящих в группу связанных заемщиков), к собственным средствам (капиталу) банка. Норматив максимального размера риска на одного заемщика или группу связанных заемщиков (Н6) рассчитывается по формуле:

,

где:

Крз - совокупная сумма кредитных требований банка к заемщику (группе связанных заемщиков), возникающих по обязательствам заемщика (заемщиков, входящих в группу связанных заемщиков) перед банком и перед третьими лицами, вследствие которых у банка возникают требования в отношении указанного заемщика (заемщиков, входящих в группу связанных заемщиков), за вычетом сформированного резерва на возможные потери по указанным требованиям в соответствии с Положением Банка России N 590-П и Положением Банка России N 283-П.

5.2. В величину Крз в целях расчета норматива Н6 также включаются:

вложения банка в акции (доли), включая те, по которым рассчитывается рыночный риск, и за исключением тех, которые получены по сделкам, совершаемым на возвратной основе, без первоначального признания, а также за исключением тех, которые уменьшают величину собственных средств (капитала) кредитной организации в соответствии с требованиями подпункта 2.4 пункта 2 приложения к Положению Банка России N 395-П, а также которые уменьшают сумму источников базового капитала, добавочного капитала и дополнительного капитала, определенных в соответствии с требованиями подпунктов 2.2.9 и 2.4.3 пункта 2, подпункта 3.2.3 пункта 3 Положения Банка России N 395-П;

величина кредитного риска по условным обязательствам кредитного характера, рассчитанная в соответствии с приложением 2 к настоящей Инструкции;

величина кредитного риска по ПФИ, рассчитанная в соответствии с приложением 3 к настоящей Инструкции;

принятые в обеспечение кредитных требований и условных обязательств кредитного характера ценные бумаги, эмитированные (выпущенные) одним юридическим лицом или связанными юридическими лицами стран, имеющих страновую оценку "2" и выше;

балансовая стоимость финансовых активов, отчужденных банком с одновременным предоставлением приобретателю (контрагенту) права отсрочки платежа, а также требования в отношении продавца (контрагента) по поставке финансовых активов с одновременным предоставлением ему права отсрочки поставки финансовых активов;

требования к контрагенту по возврату денежных средств по сделкам, совершаемым на возвратной основе с ценными бумагами, полученными без первоначального признания;

требования к контрагенту по возврату ценных бумаг по сделкам, совершаемым на возвратной основе с ценными бумагами, переданными без прекращения признания, рассчитанные в соответствии с порядком, предусмотренным пунктом 5.4 настоящей Инструкции и приложением 5 к настоящей Инструкции;

стоимость ценных бумаг, переданных без прекращения признания по сделкам, совершаемым на возвратной основе, в соответствии с порядком, предусмотренным приложением 5 к настоящей Инструкции;

ценные бумаги, полученные без первоначального признания по сделкам, совершаемым на возвратной основе, в том числе проданные и приобретенные до наступления даты расчетов по обратной части операций, совершаемых на возвратной основе. Указанные ценные бумаги включаются в расчет показателя Крз в порядке, предусмотренном пунктом 5.4 настоящей Инструкции;

остатки денежных средств на корреспондентских счетах в кредитных организациях - корреспондентах в части определенных договорами минимальных размеров денежных средств, требуемых к обязательному поддержанию (хранению) на указанных корреспондентских счетах. Указанные остатки также включаются в величину Крз, если при отсутствии в договоре между кредитными организациями условия о минимальном размере денежных средств, требуемых к обязательному поддержанию (хранению) на корреспондентском счете, у банка и (или) Банка России (территориального учреждения Банка России, уполномоченного структурного подразделения центрального аппарата Банка России) в соответствии с пунктом 1.3 и (или) пунктом 10.3 настоящей Инструкции имеются основания полагать, что подобные обязательства по корреспондентскому счету "НОСТРО" существуют;

остатки денежных средств на клиринговых банковских счетах, открытых клиринговым кредитным организациям и (или) кредитным организациям, осуществляющим функции центрального контрагента, в расчетных кредитных организациях в части средств, перечисленных для обеспечения исполнения обязательств, допущенных к клирингу в качестве коллективного клирингового обеспечения;

остатки денежных средств на счетах участников расчетов в клиринговых организациях и (или) кредитных организациях, осуществляющих функции центрального контрагента, перечисленные для исполнения и (или) обеспечения исполнения обязательств, допущенных к клирингу, а также требования, возникшие по результатам клиринга;

ценные бумаги, переданные в имущественный пул. Указанные ценные бумаги включаются в расчет показателя Крз в порядке, предусмотренном пунктом 5.3 настоящей Инструкции.

5.3. Норматив Н6 рассчитывается по каждому эмитенту, в ценные бумаги которого банком произведены вложения, включая те ценные бумаги, по которым рассчитывается рыночный риск, а также ценные бумаги, переданные в доверительное управление и в имущественный пул. При этом норматив Н6 рассчитывается отдельно в отношении органов власти каждого из субъектов Российской Федерации и каждого из органов местного самоуправления.

5.4. Норматив Н6 при применении пункта 2.3 настоящей Инструкции в целях расчета нормативов достаточности капитала банка рассчитывается по каждому эмитенту, ценные бумаги которого предоставлены в качестве обеспечения по кредитному требованию и условным обязательствам кредитного характера. Указанное обеспечение принимается в расчет пропорционально величине риска невозврата по кредитному требованию в пределах основного долга (величине риска по условному обязательству), то есть с учетом величины расчетного резерва на возможные потери по данному кредитному требованию (условному обязательству). При этом по обеспечению по кредитному требованию (условному обязательству), отнесенному к I категории качества в соответствии с Положением Банка России N 590-П и (или) Положением Банка России N 283-П, норматив Н6 не рассчитывается.

Независимо от применяемого в целях расчета нормативов достаточности капитала банка подхода, предусмотренного пунктом 2.3 либо пунктом 2.6 настоящей Инструкции, норматив Н6 рассчитывается также по каждому контрагенту по сделкам продажи ценных бумаг (включая клиринговые сертификаты участия), совершаемым на возвратной основе, без прекращения признания.

Порядок расчета норматива Н6 банком-кредитором и банком-заемщиком по сделкам купли-продажи ценных бумаг без прекращения признания с обязательством обратной продажи (покупки) ценных бумаг (включая клиринговые сертификаты участия) изложен в приложении 5 к настоящей Инструкции.

5.5. Норматив Н6 не рассчитывается:

по эмитенту, ценные бумаги (включая клиринговые сертификаты участия) которого приняты в качестве обеспечения по кредитному требованию, если сделка заключена с центральным контрагентом, указанным в коде 8846 настоящей Инструкции;

по остаткам денежных средств на клиринговых банковских счетах, открытых клиринговым кредитным организациям и (или) кредитным организациям, осуществляющим функции центрального контрагента, в расчетных кредитных организациях в части средств, перечисленных для исполнения и (или) обеспечения исполнения обязательств, допущенных к клирингу, в качестве индивидуального клирингового обеспечения, а также по требованиям, возникшим по результатам клиринга;

по эмитенту по вложениям в клиринговые сертификаты участия.

5.6. Норматив Н6 рассчитывается по группе связанных заемщиков (юридических и (или) физических лиц), признаваемых таковыми в соответствии со статьей 64 Федерального закона "О Центральном банке Российской Федерации (Банке России)".

Норматив Н6 рассчитывается также по группе связанных заемщиков, если заемщики являются близкими родственниками, определяемыми таковыми в соответствии с Международными стандартами финансовой отчетности, введенными в действие на территории Российской Федерации (далее - близкие родственники).

В целях расчета норматива Н6 участие органов государственной власти и органов местного самоуправления в уставном капитале юридических лиц и (или) создание ими юридических лиц на праве хозяйственного ведения (оперативного управления) или ином тождественном правовом режиме, а также участие государственных корпораций, созданных на основании федеральных законов, в уставных капиталах юридических лиц не рассматривается в качестве основания для отнесения к группе связанных заемщиков.

В целях выявления связанности заемщиков друг с другом банк использует доступные источники получения информации, к которым относятся учредительные документы заемщиков банка, их бухгалтерская, налоговая, статистическая и иная отчетность, дополнительно предоставляемые заемщиками сведения, средства массовой информации и другие источники, определяемые банком самостоятельно.

В целях расчета норматива Н6 нахождение заемщиков под контролем или значительным влиянием банка-кредитора не рассматривается в качестве основания для отнесения заемщиков к группе связанных заемщиков.

Норматив Н6 не рассчитывается по группе связанных заемщиков в случае полного совпадения лиц, одновременно входящих в группу связанных заемщиков в целях расчета норматива Н6 и группу связанных с банком лиц в целях расчета норматива Н25 в соответствии с главой 8 настоящей Инструкции.

В целях расчета норматива Н6 наличие между заемщиками банка, являющимися головными исполнителями или исполнителями в соответствии со статьей 3 Федерального закона "О государственном оборонном заказе", такой связи, при которой ухудшение экономического положения одного из них может явиться причиной неисполнения (ненадлежащего исполнения) другим заемщиком (другими заемщиками) обязательств перед банком, не рассматривается в качестве основания для отнесения заемщиков к группе связанных заемщиков. (в ред. Указания ЦБ РФ от 04.07.2018 N 4851-У)

В целях расчета норматива Н6 наличие между заемщиками банка, соответствующими требованиям абзаца четвертого постановления Правительства Российской Федерации N 10, отношений контроля или значительного влияния, или нахождение указанных заемщиков под контролем или значительным влиянием третьего лица (третьих лиц), или наличие между указанными заемщиками такой связи, при которой ухудшение экономического положения одного из заемщиков может явиться причиной неисполнения (ненадлежащего исполнения) другим заемщиком (другими заемщиками) обязательств перед банком, не рассматривается в качестве оснований для отнесения данных заемщиков к группе связанных заемщиков. (в ред. Указания ЦБ РФ от 04.07.2018 N 4851-У)

5.7. Все кредитные требования банка к заемщику или группе связанных заемщиков, условные обязательства кредитного характера, ПФИ включаются в расчет норматива Н6 с коэффициентом риска в зависимости от заемщика (контрагента) в соответствии с подпунктами 2.3.1 - 2.3.4 пункта 2.3 настоящей Инструкции и кодами 8735, 8741, 8752, 8772, 8807, 8847. При этом применяется коэффициент риска, установленный в отношении балансовых активов, размещенных у соответствующего заемщика (контрагента).

Положения абзаца первого в части кода 8772 применяются по 31.12.2018 включительно (пункт 14.2).

Кредитные требования банка к заемщику или группе связанных заемщиков, условные обязательства кредитного характера, ПФИ, относимые к V группе риска в соответствии с подпунктом 2.3.5 пункта 2.3 настоящей Инструкции, пунктом 10 приложения 2 и пунктом 7 приложения 3 к настоящей Инструкции, включаются в расчет норматива Н6 с коэффициентом риска 100 процентов.

Кредитные требования участников клиринга к кредитным организациям, осуществляющим функции центрального контрагента, в части коллективного клирингового обеспечения включаются в расчет норматива Н6 с коэффициентом риска 100 процентов.

Для целей расчета норматива Н6 банк имеет право в отношении кредитных требований к заемщику или группе связанных заемщиков, исполнение обязательств по которым обеспечено залогом долговых и долевых ценных бумаг (в том числе полученных по сделкам, совершаемым на возвратной основе, без первоначального признания), и (или) гарантийным депозитом (вкладом), и (или) залогом золота в слитках, и (или) первоначальным платежом, прочими периодическими платежами, и (или) встречным требованием, возникшим из договора об обмене депозитами, номинированными в одной или разных валютах, применять подход, предусмотренный пунктом 2.6 настоящей Инструкции.

Для расчета норматива Н6 кредитные требования к контрагенту по сделке, по которой исполнение обязательств перед банком по данной сделке (за исключением требований по синдицированным кредитам, аккредитивам, ипотечным ценным бумагам) зависит от исполнения обязательств третьим лицом (третьими лицами), взвешиваются на максимальный коэффициент риска из установленных пунктом 2.3 настоящей Инструкции в отношении контрагента или третьего лица (третьих лиц).

Кредитные требования, соответствующие условиям кодов 8923.1, 8923.2, 8923.0, 8960.1, 8960.2, 8960.0 (в части требований к субъектам Российской Федерации, муниципальным образованиям Российской Федерации), 8966, включаются в расчет норматива Н6 с коэффициентом риска 50 процентов независимо от страновой оценки Российской Федерации.

Кредитные требования к обществам, соответствующим критериям естественных монополий, деятельность которых регулируется Федеральным законом от 17 августа 1995 года N 147-ФЗ "О естественных монополиях" (Собрание законодательства Российской Федерации, 1995, N 34, ст. 3426; 2001, N 33, ст. 3429; 2002, N 1, ст. 2; 2003, N 2, ст. 168; N 13, ст. 1181; 2004, N 27, ст. 2711; 2006, N 1, ст. 10; N 19, ст. 2063; 2007, N 1, ст. 21; N 43, ст. 5084; N 46, ст. 5557; 2008, N 52, ст. 6236; 2011, N 29, ст. 4281; N 30, ст. 4590, ст. 4596; N 50, ст. 7343; 2012, N 26, ст. 3446; N 31; ст. 4321; N 53, ст. 7616; 2015, N 41, ст. 5629), при условии их включения в раздел 2 перечня стратегических предприятий и стратегических акционерных обществ, утвержденного Указом Президента Российской Федерации от 4 августа 2004 года N 1009 "Об утверждении Перечня стратегических предприятий и стратегических акционерных обществ" (Собрание законодательства Российской Федерации, 2004, N 32, ст. 3313; N 48, ст. 4768; N 49, ст. 4888; N 50, ст. 5019; 2005, N 4, ст. 256; N 35, ст. 3590; N 37, ст. 3739; N 51, ст. 5515; 2006, N 6, ст. 672; N 9, ст. 986; N 11, ст. 1164; N 14, ст. 1510; N 18, ст. 1978; N 19, ст. 2071; N 24, ст. 2586; N 26, ст. 2819; N 42, ст. 4351; N 48, ст. 5013; N 49, ст. 5191; 2007, N 1, ст. 208; N 5, ст. 634; N 7, ст. 859, ст. 860, ст. 861, ст. 863; N 8, ст. 976; N 9, ст. 1062; N 13, ст. 1532, ст. 1533, ст. 1534, ст. 1535, ст. 1536, ст. 1537, ст. 1538; N 18, ст. 2185, ст. 2188, ст. 2189, ст. 2190; N 19, ст. 2341; N 23, ст. 2747; N 26, ст. 3165; N 27, ст. 3254; N 31, ст. 4018; N 32, ст. 4125; N 33, ст. 4186, ст. 4187, ст. 4188; N 34, ст. 4209; N 36, ст. 4364; N 38, ст. 4510; N 43, ст. 5173, ст. 5175; N 45, ст. 5463; N 48, ст. 5950, ст. 5953, ст. 5954, ст. 5955; N 49, ст. 6131; N 50, ст. 6254; N 52, ст. 6428; N 53, ст. 6551, ст. 6552; 2008, N 8, ст. 701; N 9, ст. 821, ст. 822, ст. 826; N 10, ст. 908; N 15, ст. 1525, ст. 1526, ст. 1528; N 16, ст. 1674; N 17, ст. 1819; N 18, ст. 2004; N 22, ст. 2540, ст. 2543; N 24, ст. 2835, ст. 2836, ст. 2837; N 28, ст. 3362; N 29, ст. 3475; N 40, ст. 4518, ст. 4521; N 51, ст. 6137; N 52, ст. 6365; 2009, N 10, ст. 1200; N 11, ст. 1276; N 12, ст. 1406, ст. 1408, ст. 1409; N 19, ст. 2299; N 24, ст. 2921; N 35, ст. 4223; N 38, ст. 4457; N 45, ст. 5321, ст. 5322; N 52, ст. 6537; 2010, N 14, ст. 1630; N 15, ст. 1776; N 17, ст. 2056, ст. 2057; N 20, ст. 2431; N 24, ст. 3018; N 25, ст. 3126; N 26, ст. 3330; N 40, ст. 5044, ст. 5045, ст. 5047; N 43, ст. 5483; N 45, ст. 5770; 2011, N 18, ст. 2598; N 21, ст. 2929; N 23, ст. 3299; N 29, ст. 4423; N 36, ст. 5126; N 37, ст. 5201; N 43, ст. 6023, ст. 6030; N 46, ст. 6476; 2012, N 1, ст. 32, ст. 33; N 8, ст. 991; N 13, ст. 1491; N 17, ст. 1916; N 21, ст. 2628, ст. 2629; N 22, ст. 2755; N 23, ст. 2993; N 24, ст. 3139; N 28, ст. 3883; N 33, ст. 4630; N 43, ст. 5812; N 45, ст. 6206; N 48, ст. 6663, ст. 6666; N 53, ст. 7856; 2013, N 6, ст. 491; N 13, ст. 1525, ст. 1530; N 18, ст. 2263; N 31, ст. 4202; N 46, ст. 5926; N 49, ст. 6398; N 50, ст. 6568; 2014, N 3, ст. 258; N 8, ст. 784; N 10, ст. 1018; N 13, ст. 1454; N 17, ст. 2046; N 23, ст. 2969; N 36, ст. 4828; N 49, ст. 6933; 2015, N 6, ст. 942; N 14, ст. 2105; N 22, ст. 3205; N 26, ст. 3876; N 35, ст. 4971; N 41, ст. 5646; N 42, ст. 5782; 2016, N 7, ст. 959, ст. 960; N 20, ст. 2818, ст. 2819; N 21, ст. 2991; N 35, ст. 5298; N 37, ст. 5483; N 45, ст. 6237; 2017, N 1, ст. 147; N 5, ст. 779; N 6, ст. 914) (далее - Перечень стратегических предприятий), а также при условии, что ценные бумаги этих обществ включены в Ломбардный список Банка России в соответствии с Указанием Банка России от 10 августа 2012 года N 2861-У "О перечне ценных бумаг, входящих в Ломбардный список Банка России", зарегистрированным Министерством юстиции Российской Федерации 26 сентября 2012 года N 25541, 8 мая 2013 года N 28350, 14 ноября 2014 года N 34697, 11 декабря 2014 года N 35134, 16 января 2015 года N 35560 (далее - Ломбардный список Банка России), включаются в величину Крз с коэффициентом риска 50 процентов.

В величину Крз с коэффициентом риска 50 процентов включаются кредитные требования к юридическим лицам, входящим в консолидированную группу (в соответствии с принципами консолидации, приведенными в Международном стандарте финансовой отчетности (IFRS) 10 "Консолидированная финансовая отчетность", введенном в действие на территории Российской Федерации приказом Министерства финансов Российской Федерации от 28 декабря 2015 года N 217н "О введении Международных стандартов финансовой отчетности и Разъяснений Международных стандартов финансовой отчетности в действие на территории Российской Федерации и о признании утратившими силу некоторых приказов (отдельных положений приказов) Министерства финансов Российской Федерации", зарегистрированным Министерством юстиции Российской Федерации 2 февраля 2016 года N 40940, 1 августа 2016 года N 43044, с поправками, введенными в действие на территории Российской Федерации приказом Министерства финансов Российской Федерации от 27 июня 2016 года N 98н "О введении документов Международных стандартов финансовой отчетности в действие на территории Российской Федерации и о признании утратившими силу некоторых приказов Министерства финансов Российской Федерации", зарегистрированным Министерством юстиции Российской Федерации 15 июля 2016 года N 42869 (далее - приказ Минфина России N 98н), головной организацией которой является юридическое лицо - резидент, одновременно удовлетворяющий следующим требованиям: (в ред. Указания ЦБ РФ от 04.07.2018 N 4851-У)

прямое и косвенное (через третье лицо (третьи лица) участие Российской Федерации в уставном капитале юридического лица - резидента превышает 50 процентов; (в ред. Указания ЦБ РФ от 04.07.2018 N 4851-У)

отношение совокупной выручки (в рублях и иностранной валюте) за последний отчетный год (в соответствии с критериями оценки и признания, приведенными в Международном стандарте финансовой отчетности (IFRS) 15 "Выручка по договорам с покупателями", введенном в действие на территории Российской Федерации приказом Минфина России N 98н, с поправками, введенными в действие на территории Российской Федерации приказом Министерства финансов Российской Федерации от 11 июля 2016 года N 111н "О введении в действие и прекращении действия документов Международных стандартов финансовой отчетности на территории Российской Федерации", зарегистрированным Министерством юстиции Российской Федерации 1 августа 2016 года N 43044, приказом Министерства финансов Российской Федерации от 14 сентября 2016 года N 156н "О введении документа Международных стандартов финансовой отчетности в действие на территории Российской Федерации", зарегистрированным Министерством юстиции Российской Федерации 5 октября 2016 года N 43921) на консолидированной основе к величине валового внутреннего продукта в текущих ценах за последний отчетный год, информация о которой публикуется на официальном сайте Федеральной службы государственной статистики в информационно-коммуникационной сети "Интернет", превышает 2 процента. (в ред. Указания ЦБ РФ от 04.07.2018 N 4851-У)

В величину Крз с коэффициентом риска 50 процентов включаются кредитные требования к заемщикам банка, соответствующим требованиям абзаца четвертого постановления Правительства Российской Федерации N 10. (в ред. Указания ЦБ РФ от 04.07.2018 N 4851-У)

5.8. В величину Крз в целях расчета норматива Н6 не включаются предоставленные кредитным организациям - резидентам субординированные кредиты (займы, депозиты, облигационные займы) в части, уменьшающей сумму основного капитала и дополнительного капитала в соответствии с подпунктом 2.4.4 пункта 2, подпунктом 3.2.4 пункта 3 Положения Банка России N 395-П и подпунктом 4.2 пункта 4 приложения к Положению Банка России N 395-П.

5.9. Норматив Н6 не рассчитывается в отношении кредитных организаций - участников банковской группы, в состав которой входит банк-кредитор.

5.10. При расчете норматива Н6 остатки по балансовому счету N 47408 "Расчеты по конверсионным операциям, производным финансовым инструментам и прочим договорам (сделкам), по которым расчеты и поставка осуществляются не ранее следующего дня после дня заключения договора (сделки)" и балансовым счетам по учету прочих размещенных средств, возникающие в связи с началом расчетов до наступления срока исполнения ПФИ, а также связанные с операциями с участием кредитных организаций, осуществляющих функции центрального контрагента, в части их требований к участникам клиринга по уплате возвратных первоначального и (или) периодического платежей включаются в величину Крз в сумме превышения требований над величиной обязательств соответственно по каждому ПФИ или в сумме превышения требований по уплате возвратных первоначального и (или) периодического платежей над величиной полученного обеспечения (за исключением коллективного клирингового обеспечения).

5.11. Норматив Н6 не рассчитывается в отношении требований к Российской Федерации, федеральным органам исполнительной власти и Банку России.

5.12. Максимально допустимое числовое значение норматива Н6 устанавливается в размере 25 процентов.

Глава 6. Максимальный размер крупных кредитных рисков (Н7)

6.1. Норматив максимального размера крупных кредитных рисков (Н7) регулирует (ограничивает) совокупную величину крупных кредитных рисков банка и определяет максимальное отношение совокупной величины крупных кредитных рисков и размера собственных средств (капитала) банка. Норматив максимального размера крупных кредитных рисков (Н7) рассчитывается по формуле:

,

где:

- i-й крупный кредитный риск за вычетом сформированного резерва на возможные потери по соответствующим кредитным требованиям (условным обязательствам кредитного характера) в соответствии с Положением Банка России N 590-П и Положением Банка России N 283-П, определенный с учетом взвешивания на коэффициент риска, установленный в отношении соответствующих активов в соответствии с настоящей Инструкцией (сумма кодов 8998 и 8726 за вычетом кодов 8909 и 8924). Показатель рассчитывается на основании методики, установленной для расчета показателя Крз главой 5 настоящей Инструкции. В расчет показателя кредитный риск по сделке продажи ценных бумаг, совершаемой на возвратной основе, без прекращения признания включается в сумме наибольшей из двух величин - кредитного риска по контрагенту по сделке и кредитного риска по эмитенту передаваемых по сделке ценных бумаг, - рассчитанных в соответствии с приложением 5 к настоящей Инструкции.

6.1.1. В целях расчета норматива Н7 требования банка к заемщику, входящему более чем в одну группу связанных заемщиков, подлежат включению в каждую из групп, в которую входит заемщик, для определения, является ли риск банка по группе крупным кредитным риском, и расчета показателя (код 8998). В последующем сумма значения показателя корректируется кодом 8909 в целях достижения однократного включения в расчет требований банка к заемщику, входящему более чем в одну группу связанных заемщиков.

6.1.2. В целях расчета норматива Н7 требования банка по сделкам продажи ценных бумаг, совершаемым на возвратной основе, без прекращения признания (требования к контрагенту по возврату ценных бумаг и требования к эмитенту ценных бумаг, переданных по сделке) подлежат включению в совокупную сумму требований банка к контрагенту и эмитенту для определения, является ли риск банка по контрагенту и эмитенту крупным кредитным риском, и расчета показателя (код 8998). В последующем значение показателя совокупной величины крупных кредитных рисков корректируется кодом 8924 в целях достижения однократного включения в расчет требований банка по сделке в сумме наибольшей из двух величин - кредитного риска по контрагенту по сделке и кредитного риска по эмитенту передаваемых по сделке ценных бумаг, - рассчитанных в соответствии с приложением 5 к настоящей Инструкции.

6.2. В соответствии со статьей 65 Федерального закона "О Центральном банке Российской Федерации (Банке России)" крупным кредитным риском является сумма кредитов, гарантий и поручительств в пользу одного клиента, превышающая пять процентов собственных средств (капитала) банка.

6.3. Максимально допустимое числовое значение норматива Н7 устанавливается в размере 800 процентов.

Глава 7. Максимальный размер кредитов, банковских гарантий и поручительств, предоставленных банком своим участникам (акционерам) (Н9.1)

7.1. Норматив максимального размера кредитов, банковских гарантий и поручительств, предоставленных банком своим участникам (акционерам) (Н9.1), регулирует (ограничивает) кредитный риск банка в отношении участников (акционеров) банка и определяет максимальное отношение размера кредитов, банковских гарантий и поручительств, предоставленных банком своим участникам (акционерам), к собственным средствам (капиталу) банка. Норматив максимального размера кредитов, банковских гарантий и поручительств, предоставленных банком своим участникам (акционерам) (Н9.1), рассчитывается по формуле:

,

где:

- величина i-го кредитного требования банка, а также кредитного риска по условным обязательствам кредитного характера, ПФИ в отношении участников (акционеров), которые имеют право распоряжаться 5 и более процентами долей (голосующих акций) банка, за вычетом сформированного резерва на возможные потери по указанным кредитным требованиям в соответствии с Положением Банка России N 590-П и Положением Банка России N 283-П, определенная с учетом взвешивания на коэффициенты риска, установленные в отношении соответствующих активов в соответствии с настоящей Инструкцией (сумма кодов 8926 и 8727). Показатель рассчитывается в отношении участников (акционеров) в порядке, установленном главой 5 настоящей Инструкции для показателя Крз. Требования банка к участникам группы связанных заемщиков, не являющимся участниками (акционерами) банка, при расчете Н9.1 не учитываются.

7.2. Максимально допустимое числовое значение норматива Н9.1 устанавливается в размере 50 процентов.

Глава 8. Максимальный размер риска на связанное с банком лицо (группу связанных с банком лиц) (Н25)

8.1. Норматив максимального размера риска на связанное с банком лицо (группу связанных с банком лиц) (Н25) регулирует (ограничивает) кредитный риск банка в отношении связанного с ним лица (группы связанных с ним лиц) и определяет максимальное отношение совокупной суммы обязательств лица (лиц, входящих в группу лиц) перед банком и обязательств перед третьими лицами, вследствие которых у банка возникают требования в отношении указанного лица (лиц, входящих в группу лиц), к собственным средствам (капиталу) банка. Норматив максимального размера риска на связанное с банком лицо (группу связанных с банком лиц) (Н25) рассчитывается по формуле:

,

Крл - совокупная сумма требований банка к связанному с ним лицу (группе связанных с ним лиц), возникающих по обязательствам связанного с банком лица (группы связанных с банком лиц) перед банком и вследствие наличия обязательств связанного с банком лица (группы связанных с банком лиц) перед третьими лицами, вследствие которых у банка возникают требования в отношении указанного лица (лиц, входящих в группу лиц), за вычетом сформированного резерва на возможные потери по указанным требованиям в соответствии с Положением Банка России N 590-П и Положением Банка России N 283-П. Показатель Крл рассчитывается на основании методики, установленной настоящей главой, с учетом требований для расчета показателя Крз, установленных главой 5 (за исключением положений абзацев первого, второго и шестого пункта 5.6, пункта 5.12) настоящей Инструкции. (в ред. Указания ЦБ РФ от 08.09.2017 N 4521-У)

Максимально допустимое числовое значение норматива Н25 устанавливается в размере 20 процентов.

8.2. Отнесение физических и юридических лиц (группы лиц) к связанным с банком лицам (группе связанных с банком лиц) осуществляется банком на основании критериев, определенных абзацем третьим статьи 64 и статьей 64.1 Федерального закона "О Центральном банке Российской Федерации (Банке России)".

8.3. Норматив Н25 рассчитывается:

по группе связанных с банком лиц;

по каждому из связанных с банком лиц, которые не составляют группу связанных с банком лиц.

8.4. Кредитные требования, включенные в IV группу активов в соответствии с подпунктом 2.3.4.3 пункта 2.3 настоящей Инструкции и (или) в показатель ПК0 в соответствии с подпунктом 2.1.1 пункта 2.1 настоящей Инструкции, к которым не применяется коэффициент риска менее 100 процентов в соответствии с главой 5 настоящей Инструкции, в случае, если кредитное требование возникло по сделкам, совершенным с юридическими лицами, поименованными в абзацах первом, двенадцатом - пятнадцатом, семнадцатом графы 1 строки кода 8813.i приложения 1 к настоящей Инструкции, включаются в величину Крл:

с коэффициентом 20 процентов в период с 1 января 2017 года по 31 декабря 2017 года;

с коэффициентом 50 процентов в период с 1 января 2018 года по 31 декабря 2018 года.

Глава 9. Совокупная величина риска по инсайдерам банка (Н10.1)

9.1. Норматив совокупной величины риска по инсайдерам банка (Н10.1) регулирует (ограничивает) совокупный кредитный риск банка в отношении всех физических лиц, способных воздействовать на принятие решения о выдаче кредита банком.

Для целей настоящей Инструкции к числу физических лиц, способных воздействовать на принятие решения о выдаче кредита банком, относятся:

физические лица, являющиеся аффилированными лицами юридического лица в соответствии со статьей 4 Закона РСФСР от 22 марта 1991 года N 948-1 "О конкуренции и ограничении монополистической деятельности на товарных рынках" (Ведомости Съезда народных депутатов РСФСР и Верховного Совета РСФСР, 1991, N 16, ст. 499; Собрание законодательства Российской Федерации, 1995, N 22, ст. 1977; 1998, N 19, ст. 2066; 2002, N 1, ст. 2, N 41, ст. 3969; 2006, N 31, ст. 3434);

члены кредитного совета (комитета) банка;

главный бухгалтер банка (филиала) (лицо, его замещающее);

руководитель филиала банка (лицо, его замещающее);

иные сотрудники кредитной организации, способные в силу своего служебного положения воздействовать на принятие решения о выдаче кредита банком. Критерии отнесения сотрудников кредитной организации к лицам, способным воздействовать на принятие решения о выдаче кредита банком, должны быть определены во внутренних документах кредитной организации;

близкие родственники лиц, перечисленных в абзацах третьем - седьмом настоящего пункта.

9.2. Норматив Н10.1 определяет максимальное отношение совокупной суммы кредитных требований к инсайдерам к собственным средствам (капиталу) банка. Норматив совокупной величины риска по инсайдерам банка (Н10.1) рассчитывается по формуле:

,

где:

- величина i-го кредитного требования к инсайдеру банка, кредитного риска по условным обязательствам кредитного характера, ПФИ, заключенным с инсайдером, за вычетом сформированного резерва на возможные потери по указанным кредитным требованиям в соответствии с Положением Банка России N 590-П и Положением Банка России N 283-П, определенная с учетом взвешивания на коэффициенты риска, установленные в отношении соответствующих активов в соответствии с настоящей Инструкцией. Показатель рассчитывается в отношении инсайдеров банка в порядке, установленном главой 5 настоящей Инструкции для показателя Крз (сумма кодов 8925 и 8728). Требования банка к участникам группы связанных заемщиков, не являющимся инсайдерами банка, при расчете Н10.1 не учитываются. Требования банка к лицам, которые на момент возникновения обязательств перед банком относились к лицам, способным воздействовать на принятие решения о выдаче кредита банком, и не исполнившие обязательства на день, когда они перестали к ним относиться, включаются в расчет норматива Н10.1 до момента исполнения обязательств перед банком.

9.3. Максимально допустимое числовое значение норматива Н10.1 устанавливается в размере 3 процентов.

Глава 10. Норматив использования собственных средств (капитала) банка для приобретения акций (долей) других юридических лиц (Н12)

10.1. Норматив использования собственных средств (капитала) банка для приобретения акций (долей) других юридических лиц (Н12) регулирует (ограничивает) совокупный риск вложений банка в акции (доли) других юридических лиц и определяет максимальное отношение сумм, инвестируемых банком на приобретение акций (долей) других юридических лиц, к собственным средствам (капиталу) банка. Норматив использования собственных средств (капитала) банка для приобретения акций (долей) других юридических лиц (Н12) рассчитывается по формуле:

,

где:

- величина i-й инвестиции банка в акции (доли) других юридических лиц за вычетом сформированного резерва на возможные потери по указанным инвестициям. Показатель рассчитывается как сумма остатков по кодам 8729, 8919, 8963, - 8920, - 8982.

10.2. В расчет норматива Н12 включаются вложения банка в акции (доли) юридических лиц, приобретаемых с целью получения инвестиционного дохода или с иными целями (включая переданные в имущественный пул), за исключением получения прибыли от реализации в краткосрочной перспективе, в том числе переданные в доверительное управление, за исключением вложений:

по которым рассчитывается рыночный риск;

уменьшающих показатели достаточности капитала банка в соответствии с подпунктом 2.4 пункта 2 приложения к Положению Банка России N 395-П, а также уменьшающих сумму источников базового капитала, добавочного капитала и дополнительного капитала, определенных в соответствии с требованиями подпунктов 2.2.9 и 2.4.3 пункта 2, подпункта 3.2.3 пункта 3 Положения Банка России N 395-П;

составляющих менее 5 процентов уставного капитала организации, участником (акционером) которой является банк, зарегистрированного в установленном порядке на дату расчета собственных средств (капитала) банка;

в ценные бумаги, полученные по сделкам без первоначального признания;

в акции (доли) кредитных организаций - участников своей банковской группы.

10.3. Максимально допустимое числовое значение норматива Н12 устанавливается в размере 25 процентов.

Глава 11. Порядок применения банками настоящей Инструкции

11.1. Банки обязаны соблюдать установленные настоящей Инструкцией обязательные нормативы ежедневно.

Нарушение банком числового значения обязательного норматива по состоянию на любой операционный день является несоблюдением обязательного норматива.

11.2. В случае если на основании пункта 1.3 настоящей Инструкции в расчет обязательного норматива (обязательных нормативов), определенный настоящей Инструкцией, банком вносятся изменения, одновременно с формами отчетности 0409135 "Информация об обязательных нормативах и о других показателях деятельности кредитной организации" и 0409118 "Данные о концентрации кредитного риска" банк представляет пояснительную записку с изложением примененного расчета норматива.

11.3. Способ контроля за ежедневным соблюдением обязательных нормативов определяется банком самостоятельно с учетом требований Положения Банка России от 16 декабря 2003 года N 242-П "Об организации внутреннего контроля в кредитных организациях и банковских группах", зарегистрированного Министерством юстиции Российской Федерации 27 января 2004 года N 5489, 22 декабря 2004 года N 6222, 20 марта 2009 года N 13547, 30 июня 2014 года N 32913.

Расчет обязательных нормативов осуществляется в обязательном порядке в случаях, когда Банк России (территориальное учреждение Банка России, уполномоченное структурное подразделение центрального аппарата Банка России) требует представления расчета нормативов на внутримесячную дату (внутримесячные даты).

В случае предъявления Банком России (территориальным учреждением Банка России, уполномоченным структурным подразделением центрального аппарата Банка России) требования о представлении расчета обязательных нормативов на внутримесячную дату (внутримесячные даты) все показатели, участвующие в расчете обязательных нормативов, в том числе показатель собственных средств (капитала) и величина резервов, рассчитываются на дату расчета обязательных нормативов.

11.4. Если на внутримесячную дату (внутримесячные даты) банком нарушен обязательный норматив и (или) банком, субординированные инструменты которого содержат условия о прекращении обязательств или конвертации в обыкновенные акции (доли) в результате снижения норматива базового капитала ниже уровня, установленного подпунктом 2.3.4 пункта 2 Положения Банка России N 395-П, допускается данное снижение, информация об этом с указанием норматива, по которому допущено нарушение установленного настоящей Инструкцией числового значения и (или) снижение ниже уровня, установленного Положением Банка России N 395-П, и даты (дат), за которую (которые) он был нарушен (снижен), представляется банком в составе формы отчетности 0409135 "Информация об обязательных нормативах и о других показателях деятельности кредитной организации" и формы отчетности 0409118 "Данные о концентрации кредитного риска" по состоянию на первое число месяца, следующего за отчетным.

11.5. Банки осуществляют расчет обязательных нормативов и надбавок, установленных настоящей Инструкцией, в процентах с одним и тремя знаками после запятой соответственно (округление до одного (трех) знака (знаков) после запятой осуществляется по математическим правилам). (в ред. Указания ЦБ РФ от 06.12.2017 N 4635-У)

11.6. Банки, включая банки, являющиеся участниками банковской группы (холдинга), обязаны соблюдать надбавки ежеквартально по состоянию на первое число месяца, следующего за отчетным кварталом.

Банки, являющиеся головными кредитными организациями банковской группы, должны соблюдать надбавки только на консолидированной основе в соответствии с Положением Банка России от 3 декабря 2015 года N 509-П "О расчете величины собственных средств (капитала), обязательных нормативов и размеров (лимитов) открытых валютных позиций банковских групп", зарегистрированным Министерством юстиции Российской Федерации 28 декабря 2015 года N 40318.

Сумма минимально допустимых значений всех установленных настоящей Инструкцией надбавок делится на квартили в порядке, установленном приложением 8 к настоящей Инструкции. Банк вправе распределять часть или всю сумму прибыли, направлять ее на цели, предусмотренные статьей 24 Федерального закона "О банках и банковской деятельности", в размере, не превышающем значения, приведенного в графе 3 таблицы, только в случаях, если фактическое значение суммы всех надбавок находится в диапазоне второго - четвертого квартилей или превышает сумму всех минимально допустимых надбавок.

N п/п Фактическое значение суммы надбавок Доля прибыли, подлежащей распределению, в процентах
1 2 3
1 В первом квартиле 0
2 Во втором квартиле 20
3 В третьем квартиле 40
4 В четвертом квартиле 60
5 Превышает сумму минимально допустимых значений надбавок 100

Фактическое значение суммы всех установленных надбавок определяется как минимальное из следующих значений:

разность значения норматива Н1.1, рассчитанного банком в соответствии с требованиями главы 2 настоящей Инструкции, и минимально допустимого значения норматива Н1.1, установленного в пункте 2.2 настоящей Инструкции;

разность значения норматива Н1.2, рассчитанного банком в соответствии с требованиями главы 2 настоящей Инструкции, и минимально допустимого значения норматива Н1.2, установленного в пункте 2.2 настоящей Инструкции;

разность значения норматива Н1.0, рассчитанного банком в соответствии с требованиями главы 2 настоящей Инструкции, и минимально допустимого значения норматива Н1.0, установленного в пункте 2.2 настоящей Инструкции.

Порядок распределения прибыли (части прибыли) в зависимости от даты и соотношения фактического и минимально допустимого значений суммы надбавок установлен приложением 8 к настоящей Инструкции.

Глава 12. Особенности осуществления Банком России надзора за соблюдением банками обязательных нормативов и надбавок, установленных настоящей Инструкцией

12.1. Банк России (территориальные учреждения Банка России, уполномоченные структурные подразделения центрального аппарата Банка России) осуществляют надзор за соблюдением банками обязательных нормативов и надбавок на основании:

данных, полученных в составе форм отчетности 0409101 "Оборотная ведомость по счетам бухгалтерского учета кредитной организации", 0409123 "Расчет собственных средств (капитала) ("Базель III")", 0409135 "Информация об обязательных нормативах и о других показателях деятельности кредитной организации" и 0409118 "Данные о концентрации кредитного риска", установленных Указанием Банка России N 4212-У;

данных проверок, осуществляемых Банком России (его уполномоченными представителями) в соответствии со статьей 73 Федерального закона "О Центральном банке Российской Федерации (Банке России)";

данных отчетности, представленной банком по требованию Банка России (территориального учреждения Банка России, уполномоченного структурного подразделения центрального аппарата Банка России) на внутримесячную дату (внутримесячные даты) по формам отчетности 0409101 "Оборотная ведомость по счетам бухгалтерского учета кредитной организации", 0409123 "Расчет собственных средств (капитала) ("Базель III")", 0409135 "Информация об обязательных нормативах и о других показателях деятельности кредитной организации" и 0409118 "Данные о концентрации кредитного риска";

информации о величине кредитного риска по условным обязательствам кредитного характера в соответствии с пунктом 13 приложения 2 к настоящей Инструкции, представляемой банком по запросу Банка России (территориального учреждения Банка России, уполномоченного структурного подразделения центрального аппарата Банка России);

информации о величине кредитного риска по ПФИ по форме, приведенной в пункте 10 приложения 3 к настоящей Инструкции, представляемой банком по запросу Банка России (территориального учреждения Банка России, уполномоченного структурного подразделения центрального аппарата Банка России);

информации о величине риска изменения стоимости кредитного требования в результате ухудшения кредитного качества контрагента по форме, приведенной в пункте 8 приложения 7 к настоящей Инструкции, представляемой банком по запросу Банка России (территориального учреждения Банка России, уполномоченного структурного подразделения центрального аппарата Банка России).

12.2. Отчетность на внутримесячную дату (внутримесячные даты) представляется в следующие сроки:

банками, не имеющими филиалов, - не позднее чем через три рабочих дня после предъявления требования о представлении отчетности Банком России;

банками, имеющими филиалы (за исключением многофилиальных банков), - не позднее чем через четыре рабочих дня после предъявления требования о представлении отчетности Банком России;

многофилиальными банками - не позднее чем через 10 рабочих дней после предъявления требования о представлении отчетности Банком России.

12.3. В целях контроля за рисками, принимаемыми банками, Банк России (территориальное учреждение Банка России, уполномоченное структурное подразделение центрального аппарата Банка России) в соответствии с пунктом 1.3 настоящей Инструкции на основании профессионального суждения, формируемого в ходе осуществления надзора (документарного анализа и (или) проверок) предъявляет банку требование о включении в расчет (об исключении из расчета) обязательных нормативов и надбавок активов и (или) обязательств в соответствии с пунктом 1.3 настоящей Инструкции, включая требование об уточнении состава кодов (расшифровок), приведенных в приложении 1 к настоящей Инструкции.

12.4. Банк России вправе применять к банкам меры, предусмотренные статьей 74 Федерального закона "О Центральном банке Российской Федерации (Банке России)", в случае несоблюдения обязательного норматива в совокупности за шесть и более операционных дней в течение любых 30 последовательных операционных дней.

Глава 13. Об основаниях и порядке установления контрольных значений обязательных нормативов

13.1. Банк России (территориальное учреждение Банка России, уполномоченное структурное подразделение центрального аппарата Банка России) может устанавливать банкам контрольные значения обязательных нормативов по их ходатайствам в случае нарушения (в том числе прогнозируемого) банком обязательных нормативов с учетом оснований, перечисленных в пункте 13.2 настоящей Инструкции, при условии, что имеется прямая причинно-следственная связь между возникновением основания и невыполнением банком соответствующего норматива. Под установлением контрольных значений обязательных нормативов понимается установление значений обязательных нормативов на квартальные даты, которое позволяет обеспечить равномерное приведение значений нарушенных обязательных нормативов к требуемым (нормативным) значениям. При нарушении контрольных значений обязательных нормативов меры применяются к банкам в соответствии с пунктом 12.4 настоящей Инструкции.

13.2. При установлении банку контрольных значений обязательных нормативов Банк России (территориальное учреждение Банка России, уполномоченное структурное подразделение центрального аппарата Банка России) принимает во внимание следующие основания:

изменение Банком России методики расчета обязательных нормативов;

изменение Банком России методики расчета собственных средств (капитала);

изменение Банком России методики формирования резервов на возможные потери и резерва на возможные потери по ссудам, по ссудной и приравненной к ней задолженности;

уточнение (расширение) в законодательстве Российской Федерации или в нормативных актах Банка России состава групп связанных заемщиков и (или) заемщиков, связанных с банком;

изменение состава акционеров и инсайдеров;

возникновение отсутствовавших на момент заключения договоров с заемщиками оснований для отнесения заемщиков к группе связанных заемщиков и (или) для отнесения заемщиков к связанным с банком лицам.

13.3. В случае нарушения (в том числе прогнозируемого) обязательных нормативов по основаниям, перечисленным в пункте 13.2 настоящей Инструкции, банк может направить в Банк России (территориальное учреждение Банка России, уполномоченное структурное подразделение центрального аппарата Банка России) ходатайство, составленное в произвольной форме и подписанное лицом, осуществляющим функции единоличного исполнительного органа банка, либо его заместителем, уполномоченным подписывать отчетность, главным бухгалтером либо лицом, замещающим главного бухгалтера.

Банк России (территориальное учреждение Банка России, уполномоченное структурное подразделение центрального аппарата Банка России) рассматривает ходатайство банка и в течение 10 рабочих дней направляет банку информацию о принятом решении. В случае если это решение является положительным, Банк России (территориальное учреждение Банка России, уполномоченное структурное подразделение центрального аппарата Банка России) направляет банку также информацию о контрольных значениях обязательных нормативов и сроке, на который они устанавливаются.

Срок, на который Банк России (территориальное учреждение Банка России, уполномоченное структурное подразделение центрального аппарата Банка России) устанавливает банку контрольные значения обязательных нормативов, не может превышать одного календарного года.

Глава 14. Заключительные положения

14.1. Настоящая Инструкция вступает в силу по истечении 10 дней после дня ее официального опубликования.

14.2. По 31 декабря 2018 года включительно применяются:

положения абзаца второго подпункта 2.1.1 пункта 2.1, абзаца первого пункта 5.7 настоящей Инструкции - в части кода 8772;

положения абзаца четырнадцатого подпункта 2.1.1 пункта 2.1, абзаца четвертого подпункта 2.3.4.1, абзаца четвертого подпункта 2.3.4.2 и абзаца четвертого подпункта 2.3.4.3 пункта 2.3 настоящей Инструкции - в части кода 8771;

Официальный источник электронного документа содержит неточность: имеется в виду абзац тринадцатый подпункта 2.1.1 пункта 2.1.

положения строк кодов 8771 и 8772 приложения 1 к настоящей Инструкции;

положение абзаца первого пункта 10 приложения 2 к настоящей Инструкции Банка - в части кода 8772;

положения абзацев двенадцатого и тринадцатого подпункта 2.1.1 пункта 2.1 настоящей Инструкции - в части кредитных требований и требований по получению начисленных (накопленных) процентов к заемщикам банка, соответствующим требованиям абзаца четвертого постановления Правительства Российской Федерации N 10; (в ред. Указания ЦБ РФ от 04.07.2018 N 4851-У)

положения абзаца восьмого пункта 5.6 и абзаца одиннадцатого пункта 5.7 настоящей Инструкции. (в ред. Указания ЦБ РФ от 04.07.2018 N 4851-У)

14.3. Со дня вступления в силу настоящей Инструкции признать утратившими силу:

Инструкцию Банка России от 3 декабря 2012 года N 139-И "Об обязательных нормативах банков", зарегистрированную Министерством юстиции Российской Федерации 13 декабря 2012 года N 26104;

Указание Банка России от 25 октября 2013 года N 3097-У "О внесении изменений в Инструкцию Банка России от 3 декабря 2012 года N 139-И "Об обязательных нормативах банков", зарегистрированное Министерством юстиции Российской Федерации 29 ноября 2013 года N 30498;

Указание Банка России от 30 мая 2014 года N 3268-У "О внесении изменений в Инструкцию Банка России от 3 декабря 2012 года N 139-И "Об обязательных нормативах банков", зарегистрированное Министерством юстиции Российской Федерации 18 июня 2014 года N 32735;

Указание Банка России от 30 сентября 2014 года N 3401-У "О внесении изменений в Инструкцию Банка России от 3 декабря 2012 года N 139-И "Об обязательных нормативах банков", зарегистрированное Министерством юстиции Российской Федерации 20 октября 2014 года N 34362;

подпункт 1.7 пункта 1 Указания Банка России от 25 ноября 2014 года N 3452-У "О внесении изменений в отдельные нормативные акты Банка России", зарегистрированного Министерством юстиции Российской Федерации 11 декабря 2014 года N 35134;

Указание Банка России от 16 декабря 2014 года N 3490-У "О внесении изменений в Инструкцию Банка России от 3 декабря 2012 года N 139-И "Об обязательных нормативах банков", зарегистрированное Министерством юстиции Российской Федерации 24 декабря 2014 года N 35372;

Указание Банка России от 18 декабря 2014 года N 3497-У "О внесении изменений в Инструкцию Банка России от 3 декабря 2012 года N 139-И "Об обязательных нормативах банков", зарегистрированное Министерством юстиции Российской Федерации 29 декабря 2014 года N 35453;

Указание Банка России от 16 февраля 2015 года N 3566-У "О внесении изменений в Инструкцию Банка России от 3 декабря 2012 года N 139-И "Об обязательных нормативах банков", зарегистрированное Министерством юстиции Российской Федерации 20 февраля 2015 года N 36180;

Указание Банка России от 18 июня 2015 года N 3684-У "О внесении изменений в Инструкцию Банка России от 3 декабря 2012 года N 139-И "Об обязательных нормативах банков", зарегистрированное Министерством юстиции Российской Федерации 16 июля 2015 года N 38029;

Указание Банка России от 1 сентября 2015 года N 3764-У "О внесении изменения в пункт 1.3 Инструкции Банка России от 3 декабря 2012 года N 139-И "Об обязательных нормативах банков", зарегистрированное Министерством юстиции Российской Федерации 23 сентября 2015 года N 38976;

Указание Банка России от 30 ноября 2015 года N 3855-У "О внесении изменений в Инструкцию Банка России от 3 декабря 2012 года N 139-И "Об обязательных нормативах банков", зарегистрированное Министерством юстиции Российской Федерации 28 декабря 2015 года N 40324;

Указание Банка России от 24 декабря 2015 года N 3910-У "О внесении изменения в пункт 2 Указания Банка России от 16 декабря 2014 года N 3490-У "О внесении изменений в Инструкцию Банка России от 3 декабря 2012 года N 139-И "Об обязательных нормативах банков", зарегистрированное Министерством юстиции Российской Федерации 29 декабря 2015 года N 40347;

Указание Банка России от 7 апреля 2016 года N 3990-У "О внесении изменений в Инструкцию Банка России от 3 декабря 2012 года N 139-И "Об обязательных нормативах банков", зарегистрированное Министерством юстиции Российской Федерации 22 апреля 2016 года N 41903;

Указание Банка России от 29 июня 2016 года N 4055-У "О внесении изменений в Инструкцию Банка России от 3 декабря 2012 года N 139-И "Об обязательных нормативах банков", зарегистрированное Министерством юстиции Российской Федерации 21 июля 2016 года N 42927;

Указание Банка России от 20 октября 2016 года N 4166-У "О внесении изменений в Инструкцию Банка России от 3 декабря 2012 года N 139-И "Об обязательных нормативах банков", зарегистрированное Министерством юстиции Российской Федерации 7 ноября 2016 года N 44256;

Указание Банка России от 15 ноября 2016 года N 4195-У "О внесении изменений в пункт 1 Указания Банка России от 16 декабря 2014 года N 3490-У "О внесении изменений в Инструкцию Банка России от 3 декабря 2012 года N 139-И "Об обязательных нормативах банков", зарегистрированное Министерством юстиции Российской Федерации 22 декабря 2016 года N 44885;

Указание Банка России от 13 февраля 2017 года N 4292-У "О внесении изменений в Инструкцию Банка России от 3 декабря 2012 года N 139-И "Об обязательных нормативах банков", зарегистрированное Министерством юстиции Российской Федерации 10 апреля 2017 года N 46321.

Председатель Центрального банка
Российской Федерации
Э.С. НАБИУЛЛИНА

Приложение 1
к Инструкции Банка России
от 28 июня 2017 года N 180-И
"Об обязательных нормативах банков"

ПЕРЕЧЕНЬ
КОДОВ, ИСПОЛЬЗУЕМЫХ ПРИ РАСЧЕТЕ ОБЯЗАТЕЛЬНЫХ НОРМАТИВОВ

(в ред. Указаний ЦБ РФ от 08.09.2017 N 4521-У, от 06.12.2017 N 4635-У, от 02.04.2018 N 4763-У, от 04.07.2018 N 4851-У, от 26.07.2018 N 4875-У)

Содержание кода Код Нормативы, при расчете которых используются коды
1 2 3
Сумма вложений банка в акции и долговые обязательства, оцениваемые как активы I - V групп, по которым рассчитывается рыночный риск (за исключением акций и долговых обязательств, переданных без прекращения признания по сделкам, совершаемым на возвратной основе) и которые исключаются из IV группы активов в соответствии с требованиями подпункта 2.3.21 пункта 2.3 настоящей Инструкции.
Код 8700 рассчитывается отдельно для каждого из нормативов достаточности капитала банка.
При расчете данных кодов в уменьшение суммы вложений в акции, по которым рассчитывается рыночный риск, принимается сумма превышения значения кода 8880 над суммой вложений в акции (доли), по которым рыночный риск не рассчитывается
8700.1, 8700.2, 8700.0 Н1.1 (А),
Н1.2 (А),
Н1.0 (А)
Вычитаемые из показателя Лам:
остатки по счетам (их части), приведенным в формуле расчета Лам, не удовлетворяющие требованиям пункта 4.4 настоящей Инструкции;
расчетные резервы на возможные потери по участвующим в расчете активам, оцениваемым на индивидуальной основе, и сформированные резервы на возможные потери по однородным требованиям, сгруппированным в портфель, в соответствии с Положением Банка России N 590-П и Положением Банка России N 283-П
8701 Н2 (Лам)
Вычитаемые из показателя Лат:
остатки по счетам (их части), приведенным в формуле расчета Лат, не удовлетворяющие требованиям пункта 4.4 настоящей Инструкции;
расчетные резервы на возможные потери по участвующим в расчете активам, оцениваемым на индивидуальной основе, в соответствии с Положением Банка России N 590-П и Положением Банка России N 283-П, и сформированные резервы на возможные потери по однородным требованиям, сгруппированным в портфель, в соответствии с Положением Банка России N 590-П
8702 Н3 (Лат)
Сформированные в соответствии с Положением Банка России N 590-П и Положением Банка России N 283-П резервы на возможные потери по активам, относящимся к IV группе, за исключением сформированных резервов на возможные потери, учтенных при расчете кода 8870.
Код 8703 рассчитывается отдельно для каждого из нормативов достаточности капитала банка
8703.1, 8703.2, 8703.0 Н1.1 (А),
Н1.2 (А),
Н1.0 (А)
В состав настоящих кодов включаются:
сумма сформированных в соответствии с Положением Банка России N 590-П и Положением Банка России N 283-П резервов на возможные потери, на которые уменьшены активы, участвующие в расчете кодов I - III и V групп активов;
величина отрицательной переоценки ценных бумаг, участвующих в расчете кодов I - V групп активов;
сумма остатков по счету N 47407, на которую уменьшаются остатки по счету N 47408 при расчете кодов I - V групп активов.
Код 8704 рассчитывается отдельно для каждого из нормативов достаточности капитала банка
8704.1, 8704.2, 8704.0 Н1.1 (А),
Н1.2 (А),
Н1.0 (А)
Коэффициент рублевого фондирования, рассчитанный в соответствии с подпунктом 2.3.8 пункта 2.3 настоящей Инструкции 8705 Н1.1 (Кф),
Н1.2 (Кф),
Н1.0 (Кф)
Сумма остатков по счетам (их частям):
N N 32003 и 32103 в части, вошедшей в расчет кода 8910;
N N 32203 и 32303 в части, вошедшей в расчет кода 8910 и кода 8989 в соответствии с абзацем двадцать вторым графы 1 строки кода 8989;
N 31903 в части, вошедшей в расчет кода 8921
8706 Н3 (Лат)
Код 8708 рассчитывается отдельно для каждого из нормативов достаточности капитала банка и используется для целей расчета совокупной суммы активов IV группы.
Независимо от применяемого в целях расчета норматива Н1 подхода, предусмотренного пунктом 2.3 либо пунктом 2.6 настоящей Инструкции, данные коды равны, соответственно, сумме требований, рассчитанных по кодам 8912.1, 8912.2 и 8912.0 в соответствии с пунктом 2.3 настоящей Инструкции
8708.1, 8708.2, 8708.0 Н1.1 (А),
Н1.2 (А),
Н1.0 (А)
Код 8709 рассчитывается отдельно для каждого из нормативов достаточности капитала банка и используется для целей расчета совокупной суммы активов IV группы.
Независимо от применяемого в целях расчета норматива Н1 подхода, предусмотренного пунктом 2.3 либо пунктом 2.6 настоящей Инструкции, данные коды равны, соответственно, сумме требований, рассчитанных по кодам 8941.1, 8941.2 и 8941.0 в соответствии с пунктом 2.3 настоящей Инструкции
8709.1, 8709.2, 8709.0 Н1.1 (А),
Н1.2 (А),
Н1.0 (А)
Код 8710 рассчитывается отдельно для каждого из нормативов достаточности капитала банка и используется для целей расчета совокупной суммы активов IV группы.
Независимо от применяемого в целях расчета норматива Н1 подхода, предусмотренного пунктом 2.3 либо пунктом 2.6 настоящей Инструкции, данные коды равны, соответственно, сумме требований, рассчитанных по кодам 8953.1, 8953.2 и 8953.0 в соответствии с пунктом 2.3 настоящей Инструкции
8710.1, 8710.2, 8710.0 Н1.1 (А),
Н1.2 (А),
Н1.0 (А)
Код 8711 рассчитывается отдельно для каждого из нормативов достаточности капитала банка и используется для целей расчета совокупной суммы активов IV группы.
Независимо от применяемого в целях расчета норматива Н1 подхода, предусмотренного пунктом 2.3 либо пунктом 2.6 настоящей Инструкции, данные коды равны, соответственно, сумме требований, рассчитанных по кодам 8954.1, 8954.2 и 8954.0 в соответствии с пунктом 2.3 настоящей Инструкции
8711.1, 8711.2, 8711.0 Н1.1 (А),
Н1.2 (А),
Н1.0 (А)
Код 8712 рассчитывается отдельно для каждого из нормативов достаточности капитала банка и используется для целей расчета совокупной суммы активов IV группы.
Независимо от применяемого в целях расчета норматива Н1 подхода, предусмотренного пунктом 2.3 либо пунктом 2.6 настоящей Инструкции, данные коды равны, соответственно, сумме требований, рассчитанных по кодам 8960.1, 8960.2 и 8960.0 в соответствии с пунктом 2.3 настоящей Инструкции
8712.1, 8712.2, 8712.0 Н1.1 (А),
Н1.2 (А),
Н1.0 (А)
Код 8713 рассчитывается отдельно для каждого из нормативов достаточности капитала банка и используется для целей расчета совокупной суммы активов IV группы.
Независимо от применяемого в целях расчета норматива Н1 подхода, предусмотренного пунктом 2.3 либо пунктом 2.6 настоящей Инструкции, данные коды равны, соответственно, сумме требований, рассчитанных по кодам 8964.1, 8964.2 и 8964.0 в соответствии с пунктом 2.3 настоящей Инструкции
8713.1, 8713.2, 8713.0 Н1.1 (А),
Н1.2 (А),
Н1.0 (А)
Код 8714 рассчитывается отдельно для каждого из нормативов достаточности капитала банка и используется для целей расчета совокупной суммы активов IV группы.
Независимо от применяемого в целях расчета норматива Н1 подхода, предусмотренного пунктом 2.3 либо пунктом 2.6 настоящей Инструкции, данные коды равны, соответственно, сумме требований, рассчитанных по кодам 8980.1, 8980.2 и 8980.0 в соответствии с пунктом 2.3 настоящей Инструкции
8714.1,
8714.2, 8714.0
Н1.1 (А),
Н1.2 (А),
Н1.0 (А)
Коды, рассчитываемые банками в соответствии с требованиями пункта 1.3 настоящей Инструкции и принимающие переменное значение (положительное или отрицательное):
если банк включает в расчет обязательного норматива остатки на балансовых счетах и (или) их части, не входящие в перечень балансовых счетов и (или) кодов, приведенных в настоящей Инструкции для расчета обязательных нормативов, то эти остатки включаются в переменную со знаком "+";
если банк исключает из расчета обязательных нормативов остатки на балансовых счетах и (или) их части, входящие в перечень балансовых счетов и (или) кодов, приведенных в настоящей Инструкции для расчета обязательных нормативов, то эти остатки включаются в переменную со знаком "-"
8715 Н1.1,
Н1.2,
Н1.0
(I группа)
8716 Н1.1,
Н1.2,
Н1.0
(II группа)
8717 Н1.1,
Н1.2,
Н1.0
(III группа)
8718 Н1.1,
Н1.2,
Н1.0
(IV группа)
8719 Н1.1,
Н1.2,
Н1.0
(V группа)
8720 Н2 (Лам)
8721 Н2 (Овм)
8722 Н3 (Лат)
8723 Н3 (Овт)
8724 Н4 (Крд)
8725 Н4 (ОД)
8726 Н7 ()
8727 Н9.1 ()
8728 Н10.1 ()
8729 Н12 ()
Корректирующая IV группу активов расчетная величина, позволяющая исключить из IV группы активов требования, не вошедшие в расчет кодов показателя ПК, но подпадающие под действие повышенных коэффициентов исходя из преобладания экономического содержания над формой и включаемые банком в расчет показателя ПК, в соответствии с пунктом 1.3 настоящей Инструкции, с повышенным коэффициентом 1,5 с использованием кода 8731 8730 Н1.1 (А),
Н1.2 (А),
Н1.0 (А)
Корректирующая расчет показателя ПК расчетная величина, позволяющая включить в него в соответствии с пунктом 1.3 настоящей Инструкции активы IV группы, подпадающие под действие повышенных коэффициентов исходя из преобладания экономического содержания над формой, но не вошедшие в расчет кодов показателя ПК 8731 Н1.1 (ПК),
Н1.2 (ПК),
Н1.0 (ПК)
Корректирующая IV группу активов расчетная величина, позволяющая исключить из IV группы активов остатки по балансовым счетам N 47410 "Требования по аккредитивам с нерезидентами" и N 47431 "Требования по аккредитивам" в части сумм, не относящихся к требованиям к плательщикам (гарантам) по исполненным аккредитивам 8732 Н1.1 (А),
Н1.2 (А),
Н1.0 (А)
Требования банка-заемщика по возврату ценных бумаг, переданных по сделкам, совершаемым на возвратной основе, с ценными бумагами, ранее полученными на возвратной основе без первоначального признания (счет (часть счета) N 91419).
В данные коды включается сумма обеспеченной и необеспеченной частей требования по возврату ценных бумаг с учетом положений подпункта 2.3.27 пункта 2.3 настоящей Инструкции.
В данные коды не включаются требования по возврату ценных бумаг, по которым кредитный риск рассчитывается на основе ПВР
8733.1, 8733.2, 8733.0 Н1.1,
Н1.2,
Н1.0
Кредитные требования и требования по получению начисленных (накопленных) процентов по ипотечным ссудам (за исключением учтенных по коду 8751), величина основного долга по которым не превышает 50 млн. рублей, предоставленным физическим лицам на приобретение жилого помещения, по которым исполнение обязательств заемщика обеспечено залогом жилого помещения (счета (их части) N N 455, 457, 458, 459, 47427, 47801), включаются в расчет настоящего кода при соблюдении одновременно следующих условий:
государственная регистрация договора ипотеки (ипотеки) жилого помещения в Едином государственном реестре недвижимости;
соотношение величины основного долга по ссуде к справедливой стоимости предмета залога на дату выдачи ссуды или на дату расчета обязательных нормативов составляет не более 50 процентов;
соотношение совокупного годового дохода заемщика (других членов его семьи) к совокупной годовой сумме платежей (основной долг и проценты) составляет на дату выдачи ссуды не менее 2,5;
заложенное имущество застраховано на величину не ниже суммы обеспеченного ипотекой обязательства в соответствии со статьей 31 Федерального закона "Об ипотеке (залоге недвижимости)". Расчет соотношения величины основного долга по ссуде к справедливой стоимости предмета залога осуществляется с учетом требований подпункта 2.3.23 пункта 2.3 настоящей Инструкции.
В данный код не включаются кредитные требования и требования по получению начисленных (накопленных) процентов по ипотечным ссудам, по которым кредитный риск рассчитывается на основе ПВР
8734 Н1.1 (А),
Н1.2 (А),
Н1.0 (А)
Сумма кредитных требований и требований по получению начисленных (накопленных) процентов по ссудам, предоставленным физическим лицам на приобретение жилого помещения, по которым исполнение обязательств заемщика обеспечено залогом жилого помещения, при соблюдении условий, указанных в строке кода 8734, умноженная на коэффициент 0,5 8735 Н1.1 (А),
Н1.2 (А),
Н1.0 (А)
Кредитные требования и требования по получению начисленных (накопленных) процентов по ипотечным ссудам, предоставленным физическим лицам на приобретение жилого помещения, по которым исполнение обязательств заемщика обеспечено залогом жилого помещения (счета (их части) N N 455, 457, 458, 459, 47427, 47801), включаются в расчет настоящего кода при условии, если соотношение величины основного долга по ссуде к справедливой стоимости предмета залога на дату выдачи ссуды составляет более 90 процентов. Расчет соотношения величины основного долга по ссуде к справедливой стоимости предмета залога осуществляется без учета требований подпункта 2.3.23 пункта 2.3 настоящей Инструкции.
В расчет настоящего кода не включаются кредитные требования и требования по получению начисленных (накопленных) процентов по ссудам, предоставленным физическим лицам на приобретение жилого помещения, удовлетворяющие требованиям кода 8783
8736 Н1.1 (А),
Н1.2 (А),
Н1.0 (А)
(в ред. Указания ЦБ РФ от 06.12.2017 N 4635-У)
Сумма кредитных требований и требований по получению начисленных (накопленных) процентов по ссудам, предоставленным физическим лицам на приобретение жилого помещения, по которым исполнение обязательств заемщика обеспечено залогом жилого помещения, при соблюдении условия, указанного в строке кода 8736, умноженная на коэффициент 1,5 8737 Н1.1 (ПК1),
Н1.2 (ПК2),
Н1.0 (ПК0)
Кредитные требования и требования по получению начисленных (накопленных) процентов по ипотечным ссудам, предоставленным физическим лицам в иностранной валюте после 1 апреля 2015 года на приобретение жилого помещения, по которым исполнение обязательств заемщика обеспечено залогом жилого помещения (счета (их части) N N 455, 457, 458, 459, 47427, 47801).
В данный код не включаются кредитные требования и требования по получению начисленных (накопленных) процентов по ипотечным ссудам, по которым кредитный риск рассчитывается на основе ПВР
8738 Н1.1 (А),
Н1.2 (А),
Н1.0 (А)
Сумма кредитных требований и требований по получению начисленных (накопленных) процентов по ссудам, предоставленным физическим лицам в иностранной валюте после 1 апреля 2015 года на приобретение жилого помещения, по которым исполнение обязательств заемщика обеспечено залогом жилого помещения, указанных в строке кода 8738, умноженная на коэффициент 3 8739 Н1.1 (А),
Н1.2 (А),
Н1.0 (А)
Кредитные требования и требования по получению начисленных (накопленных) процентов по ссудам, по ссудной и приравненной к ней задолженности, входящим в портфели однородных ссуд, предоставленных субъектам малого и среднего предпринимательства, определенным статьями 3, 4 и 4.1 Федерального закона от 24 июля 2007 года N 209-ФЗ "О развитии малого и среднего предпринимательства в Российской Федерации" (Собрание законодательства Российской Федерации, 2007, N 31, ст. 4006; N 43, ст. 5084; 2008, N 30, ст. 3615, ст. 3616; 2009, N 31, ст. 3923; N 52, ст. 6441; 2010, N 28, ст. 3553; 2011, N 27, ст. 3880; N 50, ст. 7343; 2013, N 27, ст. 3436, ст. 3477; N 30, ст. 4071; N 52, ст. 6961; 2015, N 27, ст. 3947; 2016, N 1, ст. 28; N 26, ст. 3891; N 27, ст. 4198) (счета (их части) N N 20311, 20317, 451А, 452А, 453А, 454А, 45811 - 45814, 45912, 45913, 45914, 470А, 471А, 472А, 47427, 478А), при соблюдении одновременно на дату расчета нормативов следующих условий:
кредитные требования отнесены к I - III категориям качества в соответствии с Положением Банка России N 590-П и Положением Банка России N 283-П;
отсутствуют просроченные платежи по основному долгу и процентам по кредитным требованиям сроком свыше 90 календарных дней;
сумма всех кредитных требований (без уменьшения на величину сформированных под них резервов на возможные потери) (включая внебалансовые обязательства, входящие в портфели однородных условных обязательств кредитного характера, в размере кредитного эквивалента, определяемого в соответствии с пунктом 2 приложения 2 к настоящей Инструкции) к одному заемщику (группе связанных заемщиков), удовлетворяющих требованиям настоящего кода, не превышает одновременно: 60 млн рублей и предельное максимально допустимое значение в процентах от величины собственных средств (капитала) кредитной организации, установленное главой 5 Положения Банка России N 590-П в целях формирования резерва по портфелю однородных ссуд;
количество отдельных заемщиков, кредитные требования и (или) условные обязательства кредитного характера которых удовлетворяют требованиям настоящего кода, составляет не менее 100.
Требования кода не распространяются:
на операции с ценными бумагами;
на ссуды, включаемые в расчет нормативов достаточности капитала банка с повышенными коэффициентами риска ( и );
на ссуды, предоставленные связанным с банком лицам.
В данный код не включаются кредитные требования и требования по получению начисленных (накопленных) процентов по ссудам, ссудной и приравненной к ней задолженности, предоставленным субъектам малого и среднего предпринимательства, по которым кредитный риск рассчитывается на основе ПВР
8740 Н1.1 (А),
Н1.2 (А),
Н1.0 (А)
(в ред. Указания ЦБ РФ от 06.12.2017 N 4635-У)
Сумма кредитных требований и требований по получению начисленных (накопленных) процентов по ссудам, указанным в строке кода 8740, умноженная на коэффициент 0,75 8741 Н1.1 (А),
Н1.2 (А),
Н1.0 (А)
Золото в пути (счет (часть счета) N 20305) 8742 Н1.1 (А),
Н1.2 (А),
Н1.0 (А),
Н2 (Лам),
Н3 (Лат)
Кредитные требования и требования по получению начисленных (накопленных) процентов по ссудам, предоставленным юридическим лицам в иностранной валюте после 1 мая 2016 года (счета (их части) N N 445А, 446А, 447А, 448А, 449А, 450А, 451А, 452А, 453А, 454А, 456А, 458А (кроме счетов N N 45801, 45802, 45803 и 45804), 459А (кроме счетов N N 45901, 45902, 45903 и 45904), 462А, 463А, 464А, 465А, 466А, 467А, 468А, 469А, 470А, 471А, 472А, 473А, 47427, 478А).
В расчет данного кода включаются активы IV группы.
Требования кода не распространяются на:
ссуды, удовлетворяющие требованиям кодов 8745.1, 8745.2, 8745.0, 8785.1, 8785.2, 8785.0, 8792.1, 8792.2, 8792.0, 8956.1, 8956.2, 8956.0;
требования, которые прямо либо через третье лицо (третьи лица) обеспечены гарантией Российской Федерации;
требования к юридическим лицам - резидентам Российской Федерации, выручка которых в иностранной валюте за последний завершенный финансовый год составляет одновременно:
не менее 60 процентов общей суммы выручки;
не менее 120 процентов от совокупной суммы платежей по ссудам за текущий календарный год (основного долга и процентов, как уже осуществленных с начала текущего года, так и ожидаемых к поступлению в соответствии с заключенными договорами по всем обязательствам заемщика перед всеми кредитными организациями) в той же иностранной валюте, что и выручка. Требование о совпадении валюты ссуды и валюты выручки не распространяется на международные резервные валюты, признаваемые таковыми Международным валютным фондом для оценки стоимости специальных прав заимствования. Информация о международных резервных валютах публикуется на сайте Международного валютного фонда в информационно-телекоммуникационной сети "Интернет".
Контроль за соответствием объема выручки заемщика сумме его платежей по кредиту осуществляется в порядке, установленном банком во внутренних документах
8743.1, 8743.2, 8743.0 Н1.1,
Н1.2,
Н1.0
(в ред. Указания ЦБ РФ от 04.07.2018 N 4851-У)
Сумма кредитных требований и требований по получению начисленных (накопленных) процентов по ссудам, предоставленным юридическим лицам в иностранной валюте, указанных в строке кодов 8743.1, 8743.2, 8743.0, умноженная на коэффициент 1,1 8744.1,
8744.2, 8744.0
Н1.1 (),
Н1.2 (),
Н1.0 ()
Кредитные требования и требования по получению начисленных (накопленных) процентов по ссудам, предоставленным юридическим лицам в иностранной валюте после 1 мая 2016 года на цели приобретения недвижимости (счета (их части) N N 445А, 446А, 447А, 448А, 449А, 450А, 451А, 452А, 453А, 454А, 456А, 458А (кроме счетов N N 45801, 45802, 45803 и 45804), 459А (кроме счетов N N 45901, 45902, 45903 и 45904), 462А, 463А, 464А, 465А, 466А, 467А, 468А, 469А, 470А, 471А, 472А, 473А, 47427, 478А).
В расчет данного кода включаются активы IV группы.
Требования кода не распространяются на:
ссуды, удовлетворяющие требованиям кодов 8785.1, 8785.2, 8785.0, 8792.1, 8792.2, 8792.0, 8956.1, 8956.2 и 8956.0;
требования, которые прямо либо через третье лицо (третьи лица) обеспечены гарантией Российской Федерации
8745.1,
8745.2, 8745.0
Н1.1,
Н1.2,
Н1.0
(в ред. Указания ЦБ РФ от 04.07.2018 N 4851-У)
Сумма кредитных требований и требований по получению начисленных (накопленных) процентов по ссудам, предоставленным юридическим лицам в иностранной валюте, указанных в строке кодов 8745.1, 8745.2 и 8745.0, умноженная на коэффициент 1,3 8746.1,
8746.2, 8746.0
Н1.1 (),
Н1.2 (),
Н1.0 ()
Вложения в долговые ценные бумаги, номинированные в иностранной валюте, по сделкам, заключенным после 1 мая 2016 года, в том числе:
учтенные векселя (счета (их части) N N 515А, 519А);
облигации (счета (их части) N N 50107, 50110, 50118, (50121 - 50120), 50208, 50211, 50218, (50221 - 50220), 50308, 50311, 50318);
иные долговые ценные бумаги, признаваемые таковыми по иностранному законодательству (счета (их части) N N 50110, 50118, (50121 - 50120), 50211, 50218, (50221 - 50220), 50311, 50318);
сделки по покупке (продаже) указанных долговых ценных бумаг с одновременным предоставлением контрагенту права отсрочки платежа (поставки ценных бумаг) с учетом особенностей расчета, установленных подпунктом 2.3.24 пункта 2.3 настоящей Инструкции в отношении сделок с облигациями, в части операций с участием кредитных организаций, осуществляющих функции центрального контрагента (счет (часть счета) N 47408);
требования по возврату долговых ценных бумаг, удовлетворяющих требованиям настоящего кода и переданных по договорам займа и сделкам, совершаемым на возвратной основе с ценными бумагами, переданными без прекращения признания (счета (часть счетов) N N 459А, 47427, 50118, (50121 - 50120), 50218, (50221 - 50220), 50318).
В расчет данного кода включаются активы IV группы.
Требования кода не распространяются на:
долговые ценные бумаги, учтенные по кодам 8815, 8753.1, 8753.2, 8753.0, 8785.1, 8785.2, 8785.0, 8792.1, 8792.2, 8792.0, 8956.1, 8956.2, 8956.0;
вложения в долговые ценные бумаги, которые прямо либо через третье лицо (третьи лица) обеспечены гарантией Российской Федерации;
вложения в долговые ценные бумаги юридических лиц - резидентов Российской Федерации, выручка которых в иностранной валюте за последний завершенный финансовый год составляет одновременно:
не менее 60 процентов общей суммы выручки;
не менее 120 процентов от совокупной суммы платежей по основному долгу и процентам по долговым ценным бумагам (включая купонные выплаты) за текущий календарный год (как уже осуществленных с начала текущего года, так и ожидаемых к поступлению в соответствии с заключенными договорами по всем обязательствам заемщика перед всеми кредитными организациями) в той же иностранной валюте, что и выручка. Требование о совпадении валюты выплат по ценной бумаге и валюты выручки не распространяется на международные резервные валюты, признаваемые таковыми Международным валютным фондом для оценки стоимости специальных прав заимствования.
Контроль за соответствием объема выручки заемщика сумме его платежей по кредиту осуществляется в порядке, установленном банком во внутренних документах
8747.1,
8747.2, 8747.0
Н1.1,
Н1.2,
Н1.0
(в ред. Указания ЦБ РФ от 04.07.2018 N 4851-У)
Сумма вложений в долговые ценные бумаги, а также требования по договорам займа ценных бумаг и по сделкам по покупке (продаже) данных ценных бумаг, указанные в строке кодов 8747.1, 8747.2 и 8747.0, умноженная на коэффициент 1,1 8748.1, 8748.2, 8748.0 Н1.1 (),
Н1.2 (),
Н1.0 ()
Строки кодов 8749 - 8750 - Утратили силу.
(в ред. Указания ЦБ РФ от 04.07.2018 N 4851-У)
Кредитные требования и требования по получению начисленных (накопленных) процентов по ипотечным ссудам, величина основного долга по которым не превышает 50 млн. рублей, предоставленным физическим лицам на приобретение жилого помещения, по которым исполнение обязательств заемщика обеспечено залогом жилого помещения (счета (их части) N N 455, 457, 458, 459, 47427, 47801), включаются в расчет настоящего кода при соблюдении одновременно следующих условий:
государственная регистрация договора ипотеки (ипотеки) жилого помещения в Едином государственном реестре недвижимости;
соотношение величины основного долга по ссуде к справедливой стоимости предмета залога на дату выдачи ссуды или дату расчета нормативов составляет не более 50 процентов;
соотношение совокупного годового дохода заемщика (других членов его семьи) к совокупной годовой сумме платежей (основной долг и проценты) составляет на дату выдачи ссуды не менее 3,0;
заложенное имущество застраховано на величину не ниже суммы обеспеченного ипотекой обязательства в соответствии со статьей 31 Федерального закона "Об ипотеке (залоге недвижимости)".
В данный код не включаются кредитные требования и требования по получению начисленных (накопленных) процентов по ипотечным ссудам, по которым кредитный риск рассчитывается на основе ПВР
8751 Н1.1 (А),
Н1.2 (А),
Н1.0 (А)
Сумма кредитных требований и требований по получению начисленных (накопленных) процентов по ссудам, предоставленным физическим лицам на приобретение жилого помещения, по которым исполнение обязательств заемщика обеспечено залогом жилого помещения, при соблюдении условий, указанных в строке кода 8751, умноженная на коэффициент 0,35 8752 Н1.1 (А),
Н1.2 (А),
Н1.0 (А)
Вложения в ценные бумаги нерезидентов по сделкам, заключенным после 1 мая 2016 года, права на которые удостоверяются депозитариями, не удовлетворяющими критериям, предусмотренным пунктом 1.2 Указания Банка России N 2732-У, в том числе:
вложения в акции (за исключением вложений в акции, которые уменьшают величину собственных средств (капитала) в соответствии с приложением к Положению N 395-П, а также уменьшают сумму источников базового капитала, добавочного капитала, дополнительного капитала и сумму основного и дополнительного капитала, определенных в соответствии с Положением Банка России N 395-П): счета (их части) N N 47408, 50607, 50608, 50618, (50621 - 50620), 50707, 50708, 50709, 50718, (50721 - 50720), 60103, 60104, 60203, 60204);
учтенные векселя (счета (их части) N N 516А, 517А, 518А, 519А);
облигации (счета (их части) N N 50108, 50109, 50110, 50118, (50121 - 50120), 50209, 50210, 50211, 50218, (50221 - 50220), 50309, 50310, 50311, 50318);
иные долговые ценные бумаги, признаваемые таковыми по иностранному законодательству (счета (их части) N N 50108, 50109, 50110, 50118, (50121 - 50120), 50209, 50210, 50211, 50218, (50221 - 50220), 50309, 50310, 50311, 50318).
В расчет данного кода включаются активы IV и V групп (коды 8755.1, 8755.2 и 8755.0)
8753.1, 8753.2, 8753.0 Н1.1,
Н1.2,
Н1.0
Сумма вложений в ценные бумаги нерезидентов, указанные в строке кодов 8753.1, 8753.2 и 8753.0, умноженная на коэффициент 1,5 8754.1,
8754.2,
8754.0
Н1.1 (),
Н1.2 (),
Н1.0 ()
Корректирующая V группу активов величина вложений в ценные бумаги нерезидентов по сделкам, заключенным после 1 мая 2016 года, указанным в строке кодов 8753.1, 8753.2 и 8753.0 8755.1,
8755.2,
8755.0
Н1.1,
Н1.2,
Н1.0
Сумма остатков по балансовым активам из состава показателя , по которым величина кредитного риска рассчитывается на основе ПВР 8756.1
8756.2
8756.0
Н1.1 (А),
Н1.2 (А),
Н1.0 (А)
Величина кредитного риска, рассчитанная на основе ПВР для целей включения в нормативы достаточности капитала вместо величины кредитного риска по балансовым активам, рассчитанной в соответствии с пунктами 2.1, 2.3 и 2.6 настоящей Инструкции, а также кодом 8733.i 8757.1
8757.2
8757.0
Н1.1 (),
Н1.2 (),
Н1.0 ()
Величина кредитного риска, рассчитанная на основе ПВР для целей включения в нормативы достаточности капитала вместо величины кредитного риска, рассчитанной в порядке, установленном приложением 2 к настоящей Инструкции 8758.1
8758.2
8758.0
Н1.1 (),
Н1.2 (),
Н1.0 ()
Величина кредитного риска, рассчитанная на основе ПВР для целей включения в нормативы достаточности капитала вместо величины кредитного риска, рассчитанной по методике, установленной приложением 3 к настоящей Инструкции 8759 Н1.1 (),
Н1.2 (),
Н1.0 ()
Вложения в фонды (за исключением вложений в фонды в части активов, перечисленных в пункте 3 приложения 9 к настоящей Инструкции) (счета (их части): N N 47901, 50606, 50608, 50618, (50621 - 50620), 50706, 50708, 50709, 50718, (50721 - 50720), 60102, 60104, 60106, 60118, 60204). 8760.1,
8760.2,
8760.0
Н1.1 (А),
Н1.2 (А),
Н1.0 (А)
(в ред. Указания ЦБ РФ от 08.09.2017 N 4521-У)
Величина кредитного риска по вложениям в фонды, рассчитанная в соответствии с приложением 9 к настоящей Инструкции. 8761.1,
8761.2,
8761.0
Н1.1 (),
Н1.2 (),
Н1.0 ()
(в ред. Указания ЦБ РФ от 08.09.2017 N 4521-У)
Кредитные требования и требования по получению начисленных (накопленных) процентов по кредитам на потребительские цели в рублях, предоставленным после 1 марта 2017 года заемщикам - физическим лицам, по которым ПСК на момент выдачи кредита составляет более 20 процентов годовых (счета (их части) N N 455А, 457А, 45815, 45817, 45915, 45917, 47427, 478А).
В расчет настоящего кода не включаются кредитные требования и требования по получению начисленных (накопленных) процентов по кредитам на потребительские цели в рублях, которые удовлетворяют требованиям:
кодов 8787, 8808.i, 8956.i и по которым ПСК не превышает 25 процентов годовых;
кодов 8795, 8813.i, 8821, 8833.i, 8879 и по которым ПСК не превышает 30 процентов годовых;
кода 8881
8762 Н1.1 (А),
Н1.2 (А),
Н1.0 (А)
(в ред. Указаний ЦБ РФ от 02.04.2018 N 4763-У, от 26.07.2018 N 4875-У)
Часть суммы требований по кредитам на потребительские цели, предоставленным после 1 марта 2017 года, указанной в строке кода 8762, умноженная на коэффициент 1,1 в части кредитов, по которым ПСК на момент выдачи кредита составляет более 20 процентов годовых и не превышает 25 процентов годовых 8763 Н1.1 (ПКр),
Н1.2 (ПКр),
Н1.0 (ПКр)
Часть суммы требований по кредитам на потребительские цели, предоставленным после 1 марта 2017 года, указанной в строке кода 8762, умноженная на коэффициент 1,4 в части кредитов, по которым ПСК на момент выдачи кредита составляет более 25 процентов годовых и не превышает 30 процентов годовых 8764 Н1.1 (ПКр),
Н1.2 (ПКр),
Н1.0 (ПКр)
Часть суммы требований по кредитам на потребительские цели, предоставленным после 1 марта 2017 года, указанной в строке кода 8762, умноженная на коэффициент 3,0 в части кредитов, по которым ПСК на момент выдачи кредита составляет более 30 процентов годовых и не превышает 35 процентов годовых 8765 Н1.1 (ПКр),
Н1.2 (ПКр),
Н1.0 (ПКр)
Часть суммы требований по кредитам на потребительские цели, предоставленным после 1 марта 2017 года, указанной в строке кода 8762, умноженная на коэффициент 6 в части кредитов, по которым ПСК на момент выдачи кредита составляет более 35 процентов годовых 8766 Н1.1 (ПКр),
Н1.2 (ПКр),
Н1.0 (ПКр)
Кредитные требования и требования по получению начисленных (накопленных) процентов по кредитам на потребительские цели в иностранной валюте, предоставленным после 1 марта 2017 года заемщикам - физическим лицам, по которым ПСК на момент выдачи кредита составляет более 20 процентов годовых и не превышает 25 процентов годовых (счета (их части) N N 455А, 457А, 45815, 45817, 45915, 45917, 47427, 478А).
В расчет данного кода не включаются кредитные требования и требования по получению начисленных (накопленных) процентов по кредитам на потребительские цели в иностранной валюте, которые удовлетворяют требованиям кода 8881
8767 Н1.1 (А),
Н1.2 (А),
Н1.0 (А)
Сумма требований к заемщикам - физическим лицам по кредитам на потребительские цели, предоставленным после 1 марта 2017 года, указанная в строке кода 8767, умноженная на коэффициент 6 8768 Н1.1 (ПКр),
Н1.2 (ПКр),
Н1.0 (ПКр)
Надбавки к величине кредитного риска, рассчитываемой на основе ПВР, для отдельных сегментов кредитных требований, устанавливаемые в индивидуальных условиях разрешения на применение ПВР в соответствии с абзацем пятым пункта 8.2 Указания Банка России от 6 августа 2015 года N 3752-У "О порядке получения разрешений на применение банковских методик управления кредитными рисками и моделей количественной оценки кредитных рисков в целях расчета нормативов достаточности капитала банка, а также порядке оценки их качества", зарегистрированного Министерством юстиции Российской Федерации 25 августа 2015 года N 38679 8770 Н1.1 (А),
Н1.2 (А),
Н1.0 (А)
Кредитные требования и требования по получению начисленных (накопленных) процентов к зарегистрированным на территории Республики Крым или на территории города федерального значения Севастополь корпоративным заемщикам, определенные в пункте 2.10 Положения Банка России N 483-П.
В расчет данного кода включаются кредитные требования и требования по получению начисленных (накопленных) процентов, которые относятся к IV группе активов.
Требования кода не распространяются на кредитные требования и требования по получению начисленных (накопленных) процентов, включаемые в расчет нормативов достаточности капитала банка с повышенными коэффициентами риска ( и ).
В данный код не включаются кредитные требования и требования по получению начисленных (накопленных) процентов, по которым кредитный риск рассчитывается на основе ПВР
8771 Н1.1 (А),
Н1.2 (А),
Н1.0 (А)
Сумма кредитных требований и требований по получению начисленных (накопленных) процентов к корпоративным заемщикам, указанным в строке кода 8771, умноженная на коэффициент 0,75 8772 Н1.1 (А),
Н1.2 (А),
Н1.0 (А)
Положения строк кодов 8771 и 8772 применяются по 31.12.2018 включительно (пункт 14.2).
Величина балансовых активов банка по данным строки "Итого по активу (баланс)" раздела А формы отчетности 0409101 "Оборотная ведомость по счетам бухгалтерского учета кредитной организации", установленной Указанием Банка России N 4212-У, за вычетом:
сформированных резервов на возможные потери и (или) резервов на возможные потери по ссудам, ссудной и приравненной к ней задолженности;
остатков (их частей) на балансовых счетах 10601, 10605, 10610, 10620, 10623, 10625, 10901, 11101, 30202, 30204, 30208, 30210, 30211, 30228, 30235, 30238, 30302, 30304, 30306, 40109, 40111, 50905, 52601, 60414, 60805, 61401, 61403, 61909, 61910, 70606 - 70611, 70614, 70616, 70706 - 70711, 70714, 70716, 70802;
суммы средств, рассчитанной по кодам 8732, 8893.2, 8936, 8947;
суммы требований, включенных в расчет кода 8777, по балансовой стоимости, без вычета сформированных резервов.
Ценные бумаги, по которым осуществляется переоценка в порядке, предусмотренном Положением Банка России N 579-П, включаются в расчет данного кода с учетом суммы отрицательной и положительной разниц по переоценке
8773 Н1.4 (АРфр)
(в ред. Указания ЦБ РФ от 06.12.2017 N 4635-У)    
Величина балансовых активов, полученных банком в целях передачи третьему лицу (третьим лицам) - конечному получателю (конечным получателям) и переданных данному третьему лицу (третьим лицам) по сделкам, указанным в подпункте 2.3.28 пункта 2.3 настоящей Инструкции, в случае если данные активы удовлетворяют критериям прекращения признания финансовых активов, установленным Международным стандартом финансовой отчетности (IAS) 39 "Финансовые инструменты: признание и оценка", введенным в действие на территории Российской Федерации приказом Министерства финансов Российской Федерации от 28 декабря 2015 года N 217н "О введении Международных стандартов финансовой отчетности и Разъяснений Международных стандартов финансовой отчетности в действие на территории Российской Федерации и о признании утратившими силу некоторых приказов (отдельных положений приказов) Министерства финансов Российской Федерации", зарегистрированным Министерством юстиции Российской Федерации 2 февраля 2016 года N 40940, 1 августа 2016 года N 43044, с поправками, введенными в действие на территории Российской Федерации приказом Министерства финансов Российской Федерации от 27 июня 2016 года N 98н "О введении документов Международных стандартов финансовой отчетности в действие на территории Российской Федерации и о признании утратившими силу некоторых приказов Министерства финансов Российской Федерации", зарегистрированным Министерством юстиции Российской Федерации 15 июля 2016 года N 42869, по балансовой стоимости (без вычета сформированных резервов) 8774 Н1.4 (АРфр)
(в ред. Указания ЦБ РФ от 06.12.2017 N 4635-У)    
Показатели, уменьшающие сумму источников основного капитала в части, соответствующей подпунктам 2.2.1 - 2.2.6, 2.2.9, 2.2.10, 2.4.1 - 2.4.5 пункта 2 Положения Банка России N 395-П, подпунктам 2.1 - 2.6 пункта 2 приложения к Положению Банка России N 395-П, а также резерв (резервы), фактически недосозданный (недосозданные) банком в величине, определенной в соответствии с подпунктом 2.1.7 пункта 2 Положения Банка России N 395-П 8775 Н1.4 (АРфр)
(в ред. Указания ЦБ РФ от 06.12.2017 N 4635-У)    
Величина кредитного риска по ПФИ в целях расчета норматива финансового рычага (Н1.4), рассчитанная в соответствии с приложением 10 к настоящей Инструкции 8776 КРСфр
(в ред. Указания ЦБ РФ от 06.12.2017 N 4635-У)    
Величина требований по сделкам кредитования ценными бумагами (за вычетом сформированных резервов на возможные потери или резервов на возможные потери по ссудам, ссудной и приравненной к ней задолженности), в том числе:
требований к контрагенту по возврату денежных средств (счета (их части) 322(А), 323(А), 324(А), 32902, 45410, 45510, 45709, 458(А), 460(А) - 473(А);
требования по возврату ценных бумаг (счета (их части) 322(А), 323(А), 324(А), 460(А) - 473(А), 458(А), 50118, (50121 - 50120), 50218, (50221 - 50220), 50318, 50618, (50621 - 50620), 50718, (50721 - 50720), 91419).
В данный код не включается стоимость полученных от контрагента ценных бумаг.
Сделки по гарантийным операциям кредитования ценными бумагами по договорам, заключенным в соответствии с правом иностранного государства, нормами международного договора или обычаями делового оборота, когда банк, не являясь стороной сделки, гарантирует одной из сторон сделки ее исполнение другой стороной только в части превышения обязательств второй стороны над требованиями первой стороны, включаются в данный код в соответствии с условиями кода 8779
8777 Н1.4 (РКЦБфр)
(в ред. Указания ЦБ РФ от 06.12.2017 N 4635-У)    
Сумма подлежащих неттингу величин, рассчитанных по каждому договору, включенному в соглашение о неттинге, удовлетворяющему требованиям подпункта 2.6.1 пункта 2.6 настоящей Инструкции.
Под подлежащей неттингу величиной при расчете данного кода понимается общая сумма обязательств по возврату денежных средств, на которую подлежит уменьшению общая сумма требований по возврату денежных средств к тому же контрагенту при осуществлении расчетов по сделкам кредитования ценными бумагами в рамках соглашения о неттинге по операциям кредитования ценными бумагами, без учета сформированных резервов и стоимости ценных бумаг, приобретаемых и (или) передаваемых по данным сделкам.
В случае если на отчетную дату по отдельному соглашению о неттинге по операциям кредитования ценными бумагами общая сумма обязательств по возврату денежных средств превышает общую сумму требований по возврату денежных средств, в расчет кода включается общая сумма требований
8778 Н1.4 (РКЦБфр)
(в ред. Указания ЦБ РФ от 06.12.2017 N 4635-У)    
Величина кредитного риска на контрагента по сделкам кредитования ценными бумагами (E* + Ei*), определенная без учета величины сформированных резервов в следующем порядке:
по сделкам, совершенным в рамках соглашения о неттинге по операциям кредитования ценными бумагами, - в разрезе каждого соглашения по формуле:

,

где:
- сумма требований к контрагенту по возврату денежных средств и стоимости переданных контрагенту ценных бумаг (требований по возврату ценных бумаг);
- сумма обязательств по возврату денежных средств контрагенту и стоимости полученных от контрагента ценных бумаг;
по сделкам, совершенным вне соглашения о неттинге по операциям кредитования ценными бумагами, - в разрезе каждой i-й сделки по формуле:

,

где:
Ei - требование к контрагенту по возврату денежных средств или стоимость переданных контрагенту ценных бумаг (требование по возврату ценных бумаг);
Ci - обязательство по возврату денежных средств контрагенту или стоимость полученных от контрагента ценных бумаг.
Кредитный риск на контрагента по сделкам кредитования ценными бумагами, по которым осуществляется переоценка в порядке, предусмотренном Положением Банка России N 579-П, определяется с учетом суммы отрицательной и положительной разниц по переоценке
8779 Н1.4 (РКЦБфр)
(в ред. Указания ЦБ РФ от 06.12.2017 N 4635-У)    
Величина кредитного риска по условным обязательствам кредитного характера в целях расчета норматива финансового рычага (Н1.4), рассчитанная в соответствии с пунктами 1 - 9 приложения 2 к настоящей Инструкции 8780 Н1.4 (КРВфр)
(в ред. Указания ЦБ РФ от 06.12.2017 N 4635-У)    
Активы, по которым величина кредитного риска рассчитывается в соответствии с подпунктом 2.3.34 пункта 2.3 настоящей Инструкции 8781 Н1.1 (А),
Н1.2 (А),
Н1.0 (А)
(в ред. Указания ЦБ РФ от 04.07.2018 N 4851-У)
Совокупная величина кредитного риска, рассчитанная в соответствии с нормативным актом Банка России о расчете кредитного риска по сделкам секьюритизации 8782 Н1.1 (А),
Н1.2 (А),
Н1.0 (А)"
(в ред. Указания ЦБ РФ от 04.07.2018 N 4851-У)
Кредитные требования и требования по получению начисленных (накопленных) процентов по ипотечным ссудам, предоставленным физическим лицам в рублях после 1 января 2018 года на приобретение жилого помещения, по которым исполнение обязательств заемщика обеспечено залогом жилого помещения (счета (их части) N N 455, 457, 458, 459, 47427, 47801), включаются в расчет настоящего кода при условии, если соотношение величины основного долга по ссуде к справедливой стоимости предмета залога на дату выдачи ссуды составляет более 90 процентов. Расчет соотношения величины основного долга по ссуде к справедливой стоимости предмета залога осуществляется без учета требований подпункта 2.3.23 пункта 2.3 настоящей Инструкции 8783 Н1.1 (А), Н1.2 (А), Н1.0 (А)
(в ред. Указания ЦБ РФ от 06.12.2017 N 4635-У)    
Сумма кредитных требований и требований по получению начисленных (накопленных) процентов по ссудам, предоставленным физическим лицам в рублях после 1 января 2018 года на приобретение жилого помещения, по которым исполнение обязательств заемщика обеспечено залогом жилого помещения, при соблюдении условия, указанного в строке кода 8783, умноженная на коэффициент 3 8784 Н1.1 (А), Н1.2 (А), Н1.0 (А)
(в ред. Указания ЦБ РФ от 06.12.2017 N 4635-У)    
Кредитные требования и требования по получению начисленных (накопленных) процентов в иностранной валюте к юридическим лицам:
а) по ссудам, предоставленным после 1 июля 2018 года (счета (их части) NN 445А, 446А, 447А, 448А, 449А, 450А, 451А, 452А, 453А, 454А, 456А, 458А (кроме счетов NN 45801, 45802, 45803, 45804, 45815 и 45817), 459А (кроме счетов NN 45901, 45902, 45903, 45904, 45915 и 45917), 462А, 463А, 464А, 465А, 466А, 467А, 468А, 469А, 470А, 471А, 472А, 473А, 47427, 478А);
б) по вложениям в долговые ценные бумаги, по сделкам, заключенным после 1 июля 2018 года, в том числе:
учтенные векселя (счета (их части) NN 515А, 519А);
облигации (счета (их части) NN 50107, 50110, 50118, (50121 - 50120), 50208, 50211, 50218, (50221 - 50220), 50308, 50311, 50318);
иные долговые ценные бумаги, признаваемые таковыми по иностранному законодательству (счета (их части) NN 50110, 50118, (50121 - 50120), 50211, 50218, (50221 - 50220), 50311, 50318);
сделки по покупке (продаже) указанных долговых ценных бумаг с одновременным предоставлением контрагенту права отсрочки платежа (поставки ценных бумаг) (счет (часть счета) N 47408);
требования по возврату долговых ценных бумаг, удовлетворяющих требованиям настоящего кода и переданных по договорам займа и сделкам, совершаемым на возвратной основе с ценными бумагами, переданными без прекращения признания (счета (часть счетов) NN 459А (кроме счетов NN 45901, 45902, 45903, 45904, 45915 и 45917), 47427, 50118, (50121 - 50120), 50218, (50221 - 50220), 50318).
В расчет данного кода включаются активы IV группы.
Требования кода не распространяются на:
ссуды, удовлетворяющие требованиям кодов 8753.1, 8753.2, 8753.0, 8792.1, 8792.2, 8792.0, 8815, 8956.1, 8956.2, 8956.0;
требования, которые прямо либо через третье лицо (третьи лица) обеспечены гарантией Российской Федерации;
требования к юридическим лицам - резидентам Российской Федерации, выручка которых в иностранной валюте за последний завершенный финансовый год составляет одновременно:
не менее 60 процентов общей суммы выручки;
не менее 120 процентов совокупной суммы платежей по ссудам за текущий календарный год (основного долга и процентов, как уже осуществленных с начала текущего года, так и ожидаемых к поступлению в соответствии с заключенными договорами по всем обязательствам заемщика перед всеми кредитными организациями) в той же иностранной валюте, что и выручка. Требование о совпадении валюты ссуды и валюты выручки не распространяется на международные резервные валюты, признаваемые таковыми Международным валютным фондом для оценки стоимости специальных прав заимствования. Информация о международных резервных валютах публикуется на сайте Международного валютного фонда в информационно-телекоммуникационной сети "Интернет".
Контроль за соответствием объема выручки заемщика сумме его платежей по кредиту осуществляется в порядке, установленном банком во внутренних документах
8785.1,
8785.2,
8785.0
Н1.1 (А),
Н1.2 (А),
Н1.0 (А)
(в ред. Указания ЦБ РФ от 04.07.2018 N 4851-У)
Сумма кредитных требований и требований по получению начисленных (накопленных) процентов к юридическим лицам в иностранной валюте, указанных в строке кодов 8785.1, 8785.2, 8785.0, умножается на коэффициент 1,3 8786.1,
8786.2,
8786.0
Н1.1 (),
Н1.2 (),
Н1.0 ()";
(в ред. Указания ЦБ РФ от 04.07.2018 N 4851-У)
Кредитные требования и требования по получению начисленных (накопленных) процентов по кредитам на потребительские цели в рублях, предоставленным после 1 мая 2018 года заемщикам - физическим лицам, по которым ПСК на момент выдачи кредита составляет более 15 процентов годовых и не превышает 25 процентов годовых (счета (их части) N N 455А, 457А, 45815, 45817, 45915, 45917, 47427, 478А).
В расчет настоящего кода не включаются кредитные требования и требования по получению начисленных (накопленных) процентов по кредитам на потребительские цели в рублях, которые удовлетворяют требованиям:
кодов 8808.i, 8956.i и по которым ПСК не превышает 20 процентов годовых;
кодов 8813.i, 8821, 8833.i, 8879 и по которым ПСК не превышает 25 процентов годовых;
кодов 8795, 8881
8787 Н1.1 (А), Н1.2 (А), Н1.0 (А)
(в ред. Указаний ЦБ РФ от 02.04.2018 N 4763-У, от 26.07.2018 N 4875-У)
Часть суммы требований по кредитам на потребительские цели, предоставленным после 1 мая 2018 года, указанной в строке кода 8787, умноженная на коэффициент 1,1 в части кредитов, по которым ПСК на момент выдачи кредита составляет более 15 процентов годовых и не превышает 20 процентов годовых 8788 Н1.1 (ПКр), Н1.2 (ПКр), Н1.0 (ПКр)
(в ред. Указания ЦБ РФ от 02.04.2018 N 4763-У)
Часть суммы требований по кредитам на потребительские цели, предоставленным после 1 мая 2018 года, указанной в строке кода 8787, умноженная на коэффициент 1,2 в части кредитов, по которым ПСК на момент выдачи кредита составляет более 20 процентов годовых и не превышает 25 процентов годовых 8789 Н1.1 (ПКр), Н1.2 (ПКр), Н1.0 (ПКр)
(в ред. Указания ЦБ РФ от 02.04.2018 N 4763-У)
Кредитные требования и требования по получению начисленных (накопленных) процентов в иностранной валюте к юридическим лицам - резидентам Российской Федерации, выручка которых в иностранной валюте за последний завершенный финансовый год удовлетворяет критериям, указанным в коде 8785.i:
а) по ссудам, предоставленным после 1 июля 2018 года (счета (их части) NN 445А, 446А, 447А, 448А, 449А, 450А, 451А, 452А, 453А, 454А, 456А, 458А (кроме счетов NN 45801, 45802, 45803, 45804, 45815 и 45817), 459А (кроме счетов NN 45901, 45902, 45903, 45904, 45915 и 45917), 462А, 463А, 464А, 465А, 466А, 467А, 468А, 469А, 470А, 471А, 472А, 473А, 47427, 478А);
б) по вложениям в долговые ценные бумаги, по сделкам, заключенным после 1 июля 2018 года, в том числе:
учтенные векселя (счета (их части) NN 515А, 519А);
облигации (счета (их части) NN 50107, 50110, 50118, (50121 - 50120), 50208, 50211, 50218, (50221 - 50220), 50308, 50311, 50318);
иные долговые ценные бумаги, признаваемые таковыми по иностранному законодательству (счета (их части) NN 50110, 50118, (50121 - 50120), 50211, 50218, (50221 - 50220), 50311, 50318);
сделки по покупке (продаже) указанных долговых ценных бумаг с одновременным предоставлением контрагенту права отсрочки платежа (поставки ценных бумаг) (счет (часть счета) N 47408);
требования по возврату долговых ценных бумаг, удовлетворяющих требованиям настоящего кода и переданных по договорам займа и сделкам, совершаемым на возвратной основе с ценными бумагами, переданными без прекращения признания (счета (часть счетов) NN 459А (кроме счетов NN 45901, 45902, 45903, 45904, 45915 и 45917), 47427, 50118, (50121 - 50120), 50218, (50221 - 50220), 50318).
В расчет данного кода включаются активы IV группы.
Требования кода не распространяются на кредитные требования, которые прямо либо через третье лицо (третьи лица) обеспечены гарантией Российской Федерации, а также удовлетворяющие кодам 8745.1, 8745.2, 8745.0, 8792.1, 8792.2, 8792.0, 8815, 8956.1, 8956.2, 8956.0
8790.1,
8790.2,
8790.0
Н1.1 (А),
Н1.2 (А),
Н1.0 (А)
(в ред. Указания ЦБ РФ от 04.07.2018 N 4851-У)
Сумма кредитных требований и требований по получению начисленных (накопленных) процентов к юридическим лицам в иностранной валюте, указанных в строке кодов 8790.1, 8790.2, 8790.0, умножается на коэффициент 1,1 8791.1,
8791.2,
8791.0
Н1.1 (),
Н1.2 (),
Н1.0 ()
(в ред. Указания ЦБ РФ от 04.07.2018 N 4851-У)
Кредитные требования и требования по получению начисленных (накопленных) процентов по ссудам, предоставленным юридическим лицам в иностранной валюте после 1 июля 2018 года на цели приобретения недвижимости (счета (их части) NN 445А, 446А, 447А, 448А, 449А, 450А, 451А, 452А, 453А, 454А, 456А, 458А (кроме счетов NN 45801, 45802, 45803, 45804, 45815 и 45817), 459А (кроме счетов NN 45901, 45902, 45903, 45904, 45915 и 45917), 462А, 463А, 464А, 465А, 466А, 467А, 468А, 469А, 470А, 471А, 472А, 473А, 47427, 478А).
В расчет данного кода включаются активы IV группы.
Положения кода не распространяются на требования, которые прямо либо через третье лицо (третьи лица) обеспечены гарантией Российской Федерации
8792.1, 8792.2, 8792.0 Н1.1 (А),
Н1.2 (А),
Н1.0 (А)
(в ред. Указания ЦБ РФ от 04.07.2018 N 4851-У)
Сумма кредитных требований и требований по получению начисленных (накопленных) процентов по ссудам, предоставленным юридическим лицам в иностранной валюте после 1 июля 2018 года, указанным в строке кодов 8792.1, 8792.2, 8792.0, умножается на коэффициент 1,5 8793.1, 8793.2, 8793.0 Н1.1 (),
Н1.2 (),
Н1.0 ()
(в ред. Указания ЦБ РФ от 04.07.2018 N 4851-У)
Кредитные требования и требования по получению начисленных (накопленных) процентов по кредитам на потребительские цели в рублях, предоставленным после 1 сентября 2018 года заемщикам - физическим лицам, по которым ПСК на момент выдачи кредита составляет более 10 процентов годовых и не превышает 30 процентов годовых (счета (их части) N N 455А, 457А, 45815, 45817, 45915, 45917, 47427, 478А).
В расчет настоящего кода не включаются кредитные требования и требования по получению начисленных (накопленных) процентов по кредитам на потребительские цели в рублях, которые удовлетворяют требованиям:
кодов 8956.i и по которым ПСК не превышает 15 процентов годовых;
кодов 8813.i, 8821, 8833.i, 8879 и по которым ПСК не превышает 20 процентов годовых;
кода 8881
8795 Н1.1 (А), Н1.2 (А), Н1.0 (А)
(в ред. Указания ЦБ РФ от 26.07.2018 N 4875-У)
Часть суммы требований по кредитам на потребительские цели, предоставленным после 1 сентября 2018 года, указанной в строке кода 8795, умноженная на коэффициент 1,2 в части кредитов, по которым ПСК на момент выдачи кредита составляет более 10 процентов годовых и не превышает 15 процентов годовых 8796 Н1.1 (ПКр), Н1.2 (ПКр), Н1.0 (ПКр)
(в ред. Указания ЦБ РФ от 26.07.2018 N 4875-У)
Часть суммы требований по кредитам на потребительские цели, предоставленным после 1 сентября 2018 года, указанной в строке кода 8795, умноженная на коэффициент 1,4 в части кредитов, по которым ПСК на момент выдачи кредита составляет более 15 процентов годовых и не превышает 20 процентов годовых 8797 Н1.1 (ПКр), Н1.2 (ПКр), Н1.0 (ПКр)
(в ред. Указания ЦБ РФ от 26.07.2018 N 4875-У)
Часть суммы требований по кредитам на потребительские цели, предоставленным после 1 сентября 2018 года, указанной в строке кода 8795, умноженная на коэффициент 1,7 в части кредитов, по которым ПСК на момент выдачи кредита составляет более 20 процентов годовых и не превышает 25 процентов годовых 8798 Н1.1 (ПКр), Н1.2 (ПКр), Н1.0 (ПКр)
(в ред. Указания ЦБ РФ от 26.07.2018 N 4875-У)
Часть суммы требований по кредитам на потребительские цели, предоставленным после 1 сентября 2018 года, указанной в строке кода 8795, умноженная на коэффициент 2,0 в части кредитов, по которым ПСК на момент выдачи кредита составляет более 25 процентов годовых и не превышает 30 процентов годовых 8799 Н1.1 (ПКр), Н1.2 (ПКр), Н1.0 (ПКр)
(в ред. Указания ЦБ РФ от 26.07.2018 N 4875-У)
Кредитные требования и требования по получению начисленных (накопленных) процентов по ипотечным ссудам (за исключением учтенных по кодам 8734, 8751), величина основного долга по которым не превышает 50 млн рублей, предоставленным физическим лицам на приобретение жилого помещения, по которым исполнение обязательств заемщика обеспечено залогом жилого помещения (счета (их части) N N 455, 457, 458, 459, 47427, 47801), включаются в расчет настоящего кода при соблюдении одновременно следующих условий:
государственная регистрация договора ипотеки (ипотеки) жилого помещения в Едином государственном реестре недвижимости;
соотношение величины основного долга по ссуде к справедливой стоимости предмета залога на дату выдачи ссуды или на дату расчета нормативов составляет не более 70 процентов;
соотношение совокупного годового дохода заемщика (других членов его семьи) к совокупной годовой сумме платежей (основной долг и проценты) составляет на дату выдачи ссуды не менее 2,0;
заложенное имущество застраховано на величину не ниже суммы обеспеченного ипотекой обязательства в соответствии со статьей 31 Федерального закона "Об ипотеке (залоге недвижимости)". Расчет соотношения величины основного долга по ссуде к справедливой стоимости предмета залога осуществляется с учетом требований подпункта 2.3.23 пункта 2.3 настоящей Инструкции.
В данный код не включаются кредитные требования и требования по получению начисленных (накопленных) процентов по ипотечным ссудам, по которым кредитный риск рассчитывается на основе ПВР
8806 Н1.1 (А),
Н1.2 (А),
Н1.0 (А)
Сумма кредитных требований и требований по получению начисленных (накопленных) процентов по ссудам, предоставленным физическим лицам на приобретение жилого помещения, по которым исполнение обязательств заемщика обеспечено залогом жилого помещения, при соблюдении условий, указанных в строке кода 8806, умноженная на коэффициент 0,7 8807 Н1.1 (А),
Н1.2 (А),
Н1.0 (А)
Кредитные требования и требования по получению начисленных (накопленных) процентов по ссудам, предоставленным заемщикам по договорам займа (кредита) после 31 декабря 2011 года (за исключением имевших на момент заключения договора займа (кредита) (его пролонгации) и (или) имеющих на момент расчета нормативов достаточности капитала рейтинг долгосрочной кредитоспособности по обязательствам в иностранной валюте или рублях, присвоенный как минимум одним из иностранных кредитных рейтинговых агентств на уровне не ниже "B" по международной рейтинговой шкале "Эс-энд-Пи Глобал Рейтингс" (S&P Global Ratings) или "Фитч Рейтингс" (Fitch Ratings) либо "B2" по международной рейтинговой шкале "Мудис Инвесторс Сервис" (Moody's Investors Service), а также кредитный рейтинг, присвоенный по национальной рейтинговой шкале для Российской Федерации российским кредитным рейтинговым агентством), не давшим согласие на раскрытие кредитной организации - кредитору основной части кредитной истории согласно статье 6 Федерального закона от 30 декабря 2004 года N 218-ФЗ "О кредитных историях" (Собрание законодательства Российской Федерации, 2005, N 1, ст. 44; N 30, ст. 3121; 2007, N 31, ст. 4011; 2011, N 15, ст. 2038; N 27, ст. 3880; N 29, ст. 4291; N 49, ст. 7067; 2013, N 30, ст. 4084; N 51, ст. 6683; 2014, N 26, ст. 3395; 2015, N 27, ст. 3945; 2016, N 1, ст. 47; N 26, ст. 3880; N 27, ст. 4164; 2017, N 1, ст. 9) (счета (их части) N N 443А, 444А, 445А, 446А, 447А, 448А, 449А, 450А, 451А, 452А, 453А, 454А, 455А, 456А, 457А, 458А (кроме счетов N N 45801 и 45802), 459А (кроме счетов N N 45901 и 45902), 462А, 463А, 464А, 465А, 466А, 467А, 468А, 469А, 470А, 471А, 472А, 473А, 47427, 478А (кроме счета N 47803).
Требования кода не распространяются:
на ссуды, предоставленные юридическому лицу, входящему в Перечень стратегических предприятий;
на ссуды, предоставленные юридическому лицу, входящему в Перечень стратегических организаций, а также федеральных органов исполнительной власти, обеспечивающих реализацию единой государственной политики в отраслях экономики, в которых осуществляют деятельность эти организации, утвержденный распоряжением Правительства Российской Федерации от 20 августа 2009 года N 1226-р (Собрание законодательства Российской Федерации, 2009, N 35, ст. 4288; N 45, ст. 5392; N 47, ст. 5682; N 52, ст. 6632; 2010, N 4, ст. 431; N 11, ст. 1232; N 12, ст. 1396; N 17, ст. 2128; N 18, ст. 2271; N 25, ст. 3201, ст. 3202, ст. 3203; N 30, ст. 4126; N 37, ст. 4675; N 42, ст. 5440, ст. 5441; N 49, ст. 6549; N 50, ст. 6765; 2011, N 14, ст. 1975, ст. 1976, ст. 1977; N 15, ст. 2167; N 28, ст. 4242; N 40, ст. 5580; N 41, ст. 5782; N 50, ст. 7414; 2012, N 1, ст. 225; N 4, ст. 509; N 6, ст. 754, ст. 776; N 11, ст. 1339; N 17, ст. 2107; N 19, ст. 2490; N 25, ст. 3426; N 30, ст. 4295; N 31, ст. 4410; N 38, ст. 5198; N 44, ст. 6069; N 51, ст. 7278; 2013, N 7, ст. 667; N 9, ст. 972, ст. 998; N 21, ст. 2684; N 27, ст. 3643; N 28, ст. 3877; N 36, ст. 4646; N 41, ст. 5217; N 43, ст. 5585; N 45, ст. 5886; N 50, ст. 6640; 2014, N 6, ст. 604; N 13, ст. 1501; N 28, ст. 4096; N 34, ст. 4729; N 42, ст. 5781; N 50, ст. 7181, ст. 7217; 2015, N 8, ст. 1177; N 9, ст. 1377; N 18, ст. 2755; N 19, ст. 2846; N 21, ст. 3139; N 26, ст. 3931; N 32, ст. 4799; N 36, ст. 5079; 2016, N 2, ст. 428; N 23, ст. 3393; N 29, ст. 4897; N 35, ст. 5344; N 44, ст. 6171; N 50, ст. 7102; 2017, N 15, ст. 2281; N 24, ст. 3562) (далее - Перечень стратегических организаций);
на ссуды, предоставленные организации оборонно-промышленного комплекса для целей выполнения (реализации) государственного оборонного заказа в соответствии с нормативными правовыми актами Правительства Российской Федерации;
на кредитные требования и требования по получению начисленных (накопленных) процентов, включенные в код 8860.
Требования кода не распространяются на вложения, удовлетворяющие требованиям кодов 8743.i, 8745.i, 8747.i, 8785.i, 8790.i, 8792.i
8808.1,
8808.2,
8808.0
Н1.1 (А),
Н1.2 (А),
Н1.0 (А)
(в ред. Указания ЦБ РФ от 04.07.2018 N 4851-У)
Сумма кредитных требований и требований по получению начисленных (накопленных) процентов по ссудам, предоставленным заемщикам, указанным в строке кодов 8808.1, 8808.2, 8808.0, умноженная на коэффициент 1,1 8809.1,
8809.2,
8809.0
Н1.1 (),
Н1.2 (),
Н1.0 ()
Величина кредитного риска по условным обязательствам кредитного характера, рассчитанная в порядке, установленном приложением 2 к настоящей Инструкции.
В данный код не включается величина кредитного риска по условным обязательствам кредитного характера, по которым кредитный риск рассчитывается на основе ПВР
8810.1,
8810.2,
8810.0
Н1.1 (),
Н1.2 (),
Н1.0 ()
Величина кредитного риска по ПФИ, рассчитанная в порядке, установленном приложением 3 к настоящей Инструкции.
В данный код не включается величина кредитного риска по ПФИ, по которым кредитный риск рассчитывается на основе ПВР
8811 Н1.1 (КРС),
Н1.2 (КРС),
Н1.0 (КРС)
Величина рыночного риска, рассчитанная в соответствии с Положением Банка России N 511-П 8812.1, 8812.2, 8812.0 Н1.1 (),
Н1.2 (),
Н1.0 ()
Кредитные требования и требования по получению начисленных (накопленных) процентов по ссудам, предоставленным заемщикам (за исключением тех, которые имели на момент выдачи (пролонгации) кредита и (или) имеют на момент расчета нормативов достаточности капитала рейтинг долгосрочной кредитоспособности по обязательствам в иностранной валюте или рублях, присвоенный как минимум одним из иностранных кредитных рейтинговых агентств на уровне не ниже "B" по международной рейтинговой шкале "Эс-энд-Пи Глобал Рейтингс" (S&P Global Ratings) или "Фитч Рейтингс" (Fitch Ratings) либо "B2" по международной рейтинговой шкале "Мудис Инвесторс Сервис" (Moody's Investors Service), а также кредитный рейтинг, присвоенный по национальной рейтинговой шкале для Российской Федерации российским кредитным рейтинговым агентством) и направленным указанными заемщиками:
на предоставление займов третьим лицам (за исключением случаев, когда в качестве заемщиков по первоначальным договорам выступают кредитные организации, а также микрофинансовые организации, потребительские кооперативы, фонды поддержки малого и среднего предпринимательства, признаваемые таковыми в соответствии с законодательством Российской Федерации);
на погашение обязательств по возврату денежных средств, привлеченных заемщиками от третьих лиц (за исключением случаев, когда по данным ссудам уполномоченным органом (органом управления) банка принято решение о классификации категории качества ссуды в соответствии с подпунктом 3.14.3 пункта 3.14 Положения Банка России N 590-П);
на приобретение долей, акций и иных ценных бумаг, в том числе векселей и паев паевых инвестиционных фондов;
на осуществление вложений в уставные капиталы других юридических лиц;
на расчетные (текущие) счета указанных заемщиков в других кредитных организациях (за исключением случаев, когда перечисленная на расчетный (текущий) счет в другой кредитной организации сумма, полученная по кредитному договору заемщиком - физическим лицом, не превышает 50 млн рублей, а также когда ссуда перечислена заемщиком на свой расчетный (текущий) счет в другой кредитной организации в связи с исполнением обязательств по возврату заемщиком денежных средств по ранее полученной от данной кредитной организации ссуде);
на финансирование юридического лица по договору долевого участия в строительстве, по предварительному договору купли-продажи недвижимого имущества, включая земельные участки, по договору паенакопления, а также на приобретение недвижимого имущества, включая земельные участки (за исключением случаев, когда кредит предоставляется:
в связи с осуществлением инвестиционной деятельности, осуществляемой в форме капитальных вложений в соответствии с Федеральным законом от 25 февраля 1999 года N 39-ФЗ "Об инвестиционной деятельности в Российской Федерации, осуществляемой в форме капитальных вложений" (Собрание законодательства Российской Федерации, 1999, N 9, ст. 1096; 2000, N 2, ст. 143; 2004, N 35, ст. 3607; 2006, N 6, ст. 636; N 52, ст. 5498; 2007, N 31, ст. 4012; 2010, N 25, ст. 3070; N 30, ст. 4015; 2011, N 30, ст. 4563, ст. 4596; N 50, ст. 7351; N 51, ст. 7448; 2013, N 52, ст. 6961; 2016, N 27, ст. 4302) (далее - Федеральный закон об инвестиционной деятельности), если данная цель кредита предусмотрена кредитным договором, или на приобретение подлежащих государственной регистрации воздушных и морских судов, судов внутреннего плавания, космических объектов,
либо концессионеру на финансирование деятельности в рамках концессионного соглашения, заключаемого в соответствии с Федеральным законом от 21 июля 2005 года N 115-ФЗ "О концессионных соглашениях" (Собрание законодательства Российской Федерации, 2005, N 30, ст. 3126; 2007, N 46, ст. 5557; N 50, ст. 6245; 2008, N 27, ст. 3126; 2009, N 29, ст. 3582, ст. 3601; 2010, N 27, ст. 3436; 2011, N 30, ст. 4594; N 49, ст. 7015; N 50, ст. 7359; 2012, N 18, ст. 2130; 2013, N 19, ст. 2330; N 52, ст. 7003; 2014, N 26, ст. 3386; N 30, ст. 4266; 2015, N 1, ст. 11; N 45, ст. 6208; N 48, ст. 6724; 2016, N 1, ст. 11, ст. 80; N 27, ст. 4208),
либо на покупку недвижимого имущества (включая земельные участки) в сумме, в совокупности не превышающей 100 млн рублей (счета (их части) N N 443А, 444А, 445А, 446А, 447А, 448А, 449А, 450А, 451А, 452А, 453А, 454А, 455А, 456А, 457А, 458А (кроме счетов N N 45801 и 45802), 459А (кроме счетов N N 45901 и 45902), 462А, 463А, 464А, 465А, 466А, 467А, 468А, 469А, 470А, 471А, 472А, 473А, 47427, 478А).
Требования кода не применяются в отношении кредитных требований и требований по получению начисленных (накопленных) процентов:
по ссудам, предоставленным юридическому лицу, входящему в Перечень стратегических предприятий;
по ссудам, предоставленным юридическому лицу, входящему в Перечень стратегических организаций;
по ссудам, предоставленным организации оборонно-промышленного комплекса для целей выполнения (реализации) государственного оборонного заказа в соответствии с нормативными правовыми актами Правительства Российской Федерации;
по ссудам, предоставленным юридическому лицу, в случаях, когда сумма уплаченных им в бюджетную систему Российской Федерации налогов, сборов и иных обязательных платежей, установленных законодательством Российской Федерации, за последние 12 календарных месяцев до даты предоставления кредита или до даты оценки кредитного риска по ссуде составляет не менее 10 процентов суммы совокупной ссудной задолженности заемщика перед банком, включая предоставляемую банком ссуду, или не менее 100 млн рублей, а также при условии подтверждения их уплаты копиями платежных поручений о перечислении с отметкой об исполнении и (или) предоставленными заемщиком налоговыми декларациями (бухгалтерской отчетностью), содержащими отметку налогового органа об их принятии (в том числе полученными в электронном виде). Налоговая декларация (бухгалтерская отчетность) может быть представлена без отметки налогового органа о ее принятии в случае представления в кредитную организацию: при направлении налоговой декларации (бухгалтерской отчетности) по почте - копии квитанции об отправке заказного письма с описью вложения; при передаче в электронном виде по телекоммуникационным каналам связи - копии квитанции о приеме налоговой декларации (бухгалтерской отчетности), копии протокола входного контроля налоговой декларации (бухгалтерской отчетности) и копии подтверждения отправки (подтверждение специализированного оператора связи) на бумажных носителях;
по ссудам, предоставленным заемщику (группе связанных заемщиков), в случаях, когда величина ссуды (совокупная величина ссуд) не превышает 0,1 процента величины собственных средств (капитала) банка, но не более 5 млн рублей;
по ссудам, обеспеченным поручительством (гарантией) юридических лиц, оформленным в том числе посредством аваля (вексельного поручительства), входящих в Перечень стратегических предприятий и (или) в Перечень стратегических организаций, организаций оборонно-промышленного комплекса для целей выполнения (реализации) государственного оборонного заказа в соответствии с нормативными правовыми актами Правительства Российской Федерации, а также организаций, имеющих рейтинг долгосрочной кредитоспособности, присвоенный как минимум одним из иностранных кредитных рейтинговых агентств на уровне не ниже уровня "B" по международной рейтинговой шкале "Эс-энд-Пи Глобал Рейтингс" (S&P Global Ratings) или "Фитч Рейтингс" (Fitch Ratings) либо "B2" по международной рейтинговой шкале "Мудис Инвесторс Сервис" (Moody's Investors Service), а также кредитный рейтинг, присвоенный по национальной рейтинговой шкале для Российской Федерации российским кредитным рейтинговым агентством;
по ссудам, предоставленным заемщикам на финансирование по договору долевого участия в строительстве, заключенному в соответствии с Федеральным законом от 30 декабря 2004 года N 214-ФЗ "Об участии в долевом строительстве многоквартирных домов и иных объектов недвижимости и о внесении изменений в некоторые законодательные акты Российской Федерации" (Собрание законодательства Российской Федерации, 2005, N 1, ст. 40; 2006, N 30, ст. 3287; N 43, ст. 4412; 2008, N 30, ст. 3616; 2009, N 29, ст. 3584; 2010, N 25, ст. 3070; 2011, N 49, ст. 7015, ст. 7040; 2012, N 29, ст. 3998; N 53, ст. 7619, ст. 7643; 2013, N 30, ст. 4074, ст. 4082; N 52, ст. 6979; 2014, N 26, ст. 3377; N 30, ст. 4225; 2015, N 29, ст. 4362; 2016, N 18, ст. 2515; N 27, ст. 4237, ст. 4294) (далее - Федеральный закон от 30 декабря 2004 года N 214-ФЗ), за исключением предоставленных физическим лицам ссуд величиной более 50 млн рублей, удовлетворяющих условиям кода 8833;
по кредитам и займам, предоставленным юридическим лицам в рамках реализации механизма проектного финансирования на базе Внешэкономбанка
8813.1, 8813.2, 8813.0 Н1.1 (А),
Н1.2 (А),
Н1.0 (А)
(в ред. Указания ЦБ РФ от 06.12.2017 N 4635-У)
Сумма кредитных требований и требований по получению начисленных (накопленных) процентов по ссудам, предоставленным заемщикам и использованным указанными заемщиками на цели, перечисленные в строке кодов 8813.1, 8813.2, 8813.0, умноженная на коэффициент 1,5 8814.1,
8814.2,
8814.0
Н1.1 (),
Н1.2 (),
Н1.0 ()
Вложения в долговые ценные бумаги:
учтенные векселя (за исключением векселей, приобретенных непосредственно у векселедателя, имевшего на момент приобретения векселей и (или) имеющего на дату расчета нормативов достаточности капитала банка рейтинг долгосрочной кредитоспособности по обязательствам в иностранной валюте или рублях, присвоенный как минимум одним из иностранных кредитных рейтинговых агентств на уровне не ниже уровня "B" по международной рейтинговой шкале "Эс-энд-Пи Глобал Рейтингс" (S&P Global Ratings) или "Фитч Рейтингс" (Fitch Ratings) либо "B2" по международной рейтинговой шкале "Мудис Инвесторс Сервис" (Moody's Investors Service), а также кредитный рейтинг, присвоенный по национальной рейтинговой шкале для Российской Федерации российским кредитным рейтинговым агентством (счета (их части) N N 514А, 515А, 516А, 517А, 518А, 519А);
облигации (за исключением облигаций с ипотечным покрытием, а также облигаций иностранных государств, имеющих страновую оценку "4", облигаций юридических лиц - эмитентов (выпусков облигаций), имевших на момент приобретения облигаций и (или) имеющим на дату расчета нормативов достаточности капитала банка рейтинг долгосрочной кредитоспособности по обязательствам в иностранной валюте или рублях, присвоенный как минимум одним из иностранных кредитных рейтинговых агентств на уровне не ниже "B" по международной рейтинговой шкале "Эс-энд-Пи Глобал Рейтингс" (S&P Global Ratings) или "Фитч Рейтингс" (Fitch Ratings) либо "B2" по международной рейтинговой шкале "Мудис Инвесторс Сервис" (Moody's Investors Service), а также кредитный рейтинг, присвоенный по национальной рейтинговой шкале для Российской Федерации российским кредитным рейтинговым агентством) (счета (их части) N N 50106, 50107, 50108, 50109, 50110, 50118, (50121 - 50120), 50207, 50208, 50209, 50210, 50211, 50218, (50221 - 50220), 50307, 50308, 50309, 50310, 50311, 50318);
иные долговые ценные бумаги, признаваемые таковыми по иностранному законодательству (за исключением долговых ценных бумаг с ипотечным покрытием, долговых ценных бумаг иностранных государств, имеющих страновую оценку "4", долговых ценных бумаг юридических лиц - нерезидентов - эмитентов (выпусков долговых ценных бумаг), имевших на момент приобретения ценных бумаг и (или) имеющим на дату расчета нормативов достаточности капитала банка рейтинг долгосрочной кредитоспособности по обязательствам в иностранной валюте, присвоенный как минимум одним из иностранных кредитных рейтинговых агентств на уровне не ниже "B" по международной рейтинговой шкале "Эс-энд-Пи Глобал Рейтингс" (S&P Global Ratings) или "Фитч Рейтингс" (Fitch Ratings) либо "B2" по международной рейтинговой шкале "Мудис Инвесторс Сервис" (Moody's Investors Service), (счета (их части) N N 50108, 50109, 50110, 50118, (50121 - 50120), 50209, 50210, 50211, 50218, (50221 - 50220), 50309, 50310, 50311, 50318);
сделки по покупке (продаже) указанных долговых ценных бумаг с одновременным предоставлением контрагенту права отсрочки платежа (поставки ценных бумаг) с учетом особенностей расчета, установленных подпунктом 2.3.24 пункта 2.3 настоящей Инструкции в отношении сделок с облигациями, в части операций с участием кредитных организаций, осуществляющих функции центрального контрагента (счет (часть счета) N 47408).
Требования по возврату долговых ценных бумаг, удовлетворяющих требованиям данного кода и переданных в рамках договоров займа и сделок, совершаемых на возвратной основе с ценными бумагами, переданными без прекращения признания (счета (часть счетов) N N 324А, 325А, 458А, 459А, 47427, 50118, (50121 - 50120), 50218, (50221 - 50220), 50318).
Требования кода не распространяются на вложения, удовлетворяющие требованиям кодов 8753.1, 8753.2 и 8753.0
8815 Н1.1 (А),
Н1.2 (А),
Н1.0 (А)
(в ред. Указания ЦБ РФ от 04.07.2018 N 4851-У)
Сумма вложений в долговые ценные бумаги, а также требования по договорам займа ценных бумаг и по сделкам по покупке (продаже) данных ценных бумаг, указанные в строке кода 8815, умноженная на коэффициент 1,5 8816 Н1.1 (),
Н1.2 (),
Н1.0 ()
Кредитные требования и требования по получению начисленных (накопленных) процентов по ссудам, предоставленным юридическим лицам - резидентам офшорных зон, перечень которых утвержден приказом Министерства финансов Российской Федерации от 13 ноября 2007 года N 108н "Об утверждении Перечня государств и территорий, предоставляющих льготный налоговый режим налогообложения и (или) не предусматривающих раскрытия и предоставления информации при проведении финансовых операций (офшорные зоны)", зарегистрированным Министерством юстиции Российской Федерации 3 декабря 2007 года N 10598, 25 февраля 2009 года N 13432, 25 октября 2012 года N 25728, 19 ноября 2014 года N 34776 (счета (их части) N N 456А, 45816, 45916, 473А, 47408, 47427, 478А, 50118, (50121 - 50120), 50218, (50221 - 50220), 50318, 50618, (50621 - 50620), 50718, (50721 - 50720).
Требования кода не применяются в отношении кредитных требований и требований по получению начисленных (накопленных) процентов по ссудам, выданным или обеспеченным поручительством (гарантией) организации, имеющей рейтинг долгосрочной кредитоспособности, присвоенный как минимум одним из иностранных кредитных рейтинговых агентств на уровне не ниже уровня "B" по международной рейтинговой шкале "Эс-энд-Пи Глобал Рейтингс" (S&P Global Ratings) или "Фитч Рейтингс" (Fitch Ratings) либо "B2" по международной рейтинговой шкале "Мудис Инвесторс Сервис" (Moody's Investors Service), а также кредитный рейтинг, присвоенный по национальной рейтинговой шкале для Российской Федерации российским кредитным рейтинговым агентством, в случае, если банк имеет документарно подтвержденную информацию о конечном (конечных) выгодоприобретателе (выгодоприобретателях) юридического лица резидента офшорной зоны.
Требования кодов не распространяются на вложения, удовлетворяющие требованиям кодов 8753.1, 8753.2 и 8753.0
8817.1, 8817.2, 8817.0 Н1.1 (А),
Н1.2 (А),
Н1.0 (А)
Сумма требований по кредитам и требований по получению начисленных (накопленных) процентов, указанных в строке кодов 8817.1, 8817.2, 8817.0, умноженная на коэффициент 1,5 8818.1,
8818.2,
8818.0
Н1.1 (),
Н1.2 (),
Н1.0 ()
Кредитные требования и требования по получению начисленных (накопленных) процентов по ссудам, предоставленным юридическим лицам, созданным в соответствии с законодательством Российской Федерации или законодательством других стран для осуществления страхования, перестрахования, взаимного страхования и получившим соответствующие лицензии в порядке, установленном законодательством Российской Федерации или законодательством соответствующей страны (далее - страховщики) (счета (их части) N N 451А, 456А, 45811, 45816, 45911, 45916, 470А, 473А, 47427, 478А, 50118, (50121 - 50120), 50218, (50221 - 50220), 50318, 50618, (50621 - 50620), 50718, (50721 - 50720) 8819 Н1.1 (А),
Н1.2 (А),
Н1.0 (А)
Сумма кредитных требований и требований по получению начисленных (накопленных) процентов по ссудам, предоставленным страховщикам, указанных в строке кода 8819, умноженная на коэффициент 1,5 8820 Н1.1 (),
Н1.2 (),
Н1.0 ()
Кредитные требования и требования по получению начисленных (накопленных) процентов по ссудам, предоставленным заемщикам - физическим лицам в рублях, величиной на дату выдачи и (или) дату расчета нормативов не более 50 млн рублей, если совокупная задолженность заемщика и (или) группы связанных заемщиков в рублях перед банком превышает 5 млн рублей, за исключением обеспеченных ссуд при наличии обеспечения, указанного в пунктах 6.2 и 6.3 Положения Банка России N 590-П, а также ссуд, предоставленных заемщикам на финансирование по договору долевого участия в строительстве, заключенному в соответствии с Федеральным законом от 30 декабря 2004 года N 214-ФЗ (счета (их части) N N 455А, 457А, 45815, 45817, 45915, 45917, 47427, 478А) 8821 Н1.1 (А),
Н1.2 (А),
Н1.0 (А)
Сумма требований к заемщикам - физическим лицам, указанных в строке кода 8821, умноженная на коэффициент 1,5 8822 Н1.1 (),
Н1.2 (),
Н1.0 ()
Вложения в активы IV группы, переданные в доверительное управление (за исключением учтенных по кодам 8749, 8760.i, 8878.А, 8880, а также уменьшающих величину собственных средств (капитала) в соответствии с приложением к Положению Банка России N 395-П и уменьшающих сумму источников базового капитала, добавочного капитала, дополнительного капитала и сумму основного и дополнительного капитала согласно Положению Банка России N 395-П) (счет (часть счета): N 47901) 8823.1,
8823.2,
8823.0
Н1.1 (А),
Н1.2 (А),
Н1.0 (А)
(в ред. Указания ЦБ РФ от 08.09.2017 N 4521-У)
В графе 1 цифры "8749," исключены с даты вступления в силу нормативного акта Банка России о расчете кредитного риска по сделкам секьюритизации (пункт 1.6 Указания ЦБ РФ от 04.07.2018 N 4851-У).
Сумма вложений в паи паевых инвестиционных фондов, а также активы, переданные в доверительное управление, указанные в строке кодов 8823.1, 8823.2, 8823.0, умноженная на коэффициент 1,5 8824.1,
8824.2,
8824.0
Н1.1 (),
Н1.2 (),
Н1.0 ()
Вложения в акции (доли) юридических лиц (за исключением вложений в акции (доли), которые уменьшают величину собственных средств (капитала) в соответствии с приложением к Положению N 395-П, а также уменьшают сумму источников базового капитала, добавочного капитала, дополнительного капитала и сумму основного и дополнительного капитала, определенных в соответствии с Положением Банка России N 395-П; вложения в акции (доли) бирж, организаций, определяющих правила платежных систем; вложения в акции (доли), учтенные по кодам 8823.i, 8880, 8878.A; вложений в акции (доли) финансовых организаций, являющихся частью мероприятий, проводимых в рамках реализации согласованного Банком России плана мер по финансовому оздоровлению кредитной организации в соответствии с Федеральным законом "О несостоятельности (банкротстве)" и (или) реализации согласованного Банком России плана участия Агентства по страхованию вкладов в осуществлении мер по предупреждению банкротства банков, предусматривающего оказание Агентством по страхованию вкладов финансовой помощи в соответствии с Федеральным законом "О несостоятельности (банкротстве)").
Требования по сделкам по покупке (продаже) указанных акций (долей) с одновременным предоставлением контрагенту права отсрочки платежа (поставки акций (долей).
Требования по возврату долевых ценных бумаг, удовлетворяющих требованиям данных кодов и переданных в рамках договоров займа и сделок, совершаемых на возвратной основе с ценными бумагами, переданными без прекращения признания.
В расчет настоящего кода включаются указанные вложения и требования в суммах, отраженных на счетах (их частях) N N 47408, 324А, 325А, 458А, 459А, 47427, 50605, 50606, 50607, 50608, 50618, (50621 - 50620), 50705, 50706, 50707, 50708, 50709, 50718, (50721 - 50720), 601А, 60201, 60202, 60203, 60204.
Требования кодов не распространяются на вложения, удовлетворяющие требованиям кодов 8753.1, 8753.2 и 8753.0
8825.1,
8825.2,
8825.0
Н1.1 (А),
Н1.2 (А),
Н1.0 (А)
Сумма вложений в акции (доли) юридических лиц и требований, указанных в строке кодов 8825.1, 8825.2, 8825.0, умноженная на коэффициент 1,5 8826.1,
8826.2,
8826.0
Н1.1 (),
Н1.2 (),
Н1.0 ()
Недвижимое имущество (включая земельные участки), временно неиспользуемое в основной деятельности (счета (их части) N N 61901 - 61908, 61911, 62001).
При расчете норматива Н1.0 в расчет данных кодов не включаются вложения банка в недвижимое имущество (включая земельные участки), временно неиспользуемое в основной деятельности, в части, учтенной по кодам 8971 и 8971.0, и уменьшающие основной и дополнительный капитал в соответствии с подпунктом 4.2.2 пункта 4 Положения Банка России N 395-П и подпунктом 5.2 пункта 5 приложения к Положению Банка России N 395-П
8827.1,
8827.2,
8827.0
Н1.1 (А),
Н1.2 (А),
Н1.0 (А)
Стоимость недвижимого имущества (включая земельные участки), указанного в строке кодов 8827.1, 8827.2, 8827.0 (по балансовой стоимости за вычетом амортизации и (или) по справедливой стоимости), умноженная на коэффициент 1,5 8828.1,
8828.2,
8828.0
Н1.1 (),
Н1.2 (),
Н1.0 ()
Активы, полученные банком по договорам об отступном или по договорам о залоге в результате реализации прав на обеспечение по предоставленным кредитной организацией ссудам, ссудной и приравненной к ней задолженности, определенной в соответствии с требованиями Положения Банка России N 590-П, а также в результате реструктуризации дебиторской задолженности (счета (их части) N N 62001, 62101, 62102).
При расчете норматива Н1.0 в расчет данных кодов не включаются активы, полученные банком по договорам об отступном или по договорам о залоге, в части, учтенной по кодам 8971 и 8971.0, и уменьшающие основной и дополнительный капитал в соответствии с подпунктом 4.2.2 пункта 4 Положения Банка России N 395-П и подпунктом 5.2 пункта 5 приложения к Положению Банка России N 395-П
8829.1,
8829.2,
8829.0
Н1.1 (А),
Н1.2 (А),
Н1.0 (А)
Балансовая стоимость активов, указанных в строке кодов 8829.1, 8829.2, 8829.0, умноженная на коэффициент 1,5 8830.1,
8830.2,
8830.0
Н1.1 (),
Н1.2 (),
Н1.0 ()
Кредитные требования и требования по получению начисленных (накопленных) процентов по ссудам, номинированным в иностранной валюте и предоставленным заемщикам - физическим лицам, за исключением ссуд, указанных в строке кодов 8863, 8863.x, 8863.2, 8839, 8738 (счета (их части) N N 455А, 457А, 45815, 45817, 45915, 45917, 47427, 478А) 8831 Н1.1 (А),
Н1.2 (А),
Н1.0 (А)
Сумма требований к заемщикам - физическим лицам, указанных в строке кода 8831, умноженная на коэффициент 1,5 8832 Н1.1 (),
Н1.2 (),
Н1.0 ()
Кредитные требования и требования по получению начисленных (накопленных) процентов к физическим лицам в рублях (счета (их части) N N 455А, 457А, 45815, 45817, 45915, 45917, 47427, 478А):
а) по ссудам величиной на дату выдачи и (или) дату расчета нормативов 50 млн рублей и более без обеспечения, указанного в пункте 6.2 Положения Банка России N 590-П;
б) по ипотечным ссудам величиной на дату выдачи и (или) дату расчета нормативов 50 млн рублей и более, выданным до 1 января 2018 года, и по ипотечным ссудам (вне зависимости от суммы), выданным после 1 января 2018 года, при одновременном соблюдении следующих условий:
первоначальный взнос заемщика за приобретаемое недвижимое имущество, выступающее в качестве залога по ссуде, осуществляется заемщиком за счет собственных средств и составляет менее 20 процентов от справедливой стоимости предмета залога;
соотношение величины основного долга по ссуде к справедливой стоимости предмета залога составляет на дату расчета нормативов более 80 процентов. Расчет соотношения величины основного долга по ссуде к справедливой стоимости предмета залога осуществляется без учета требований подпункта 2.3.23 пункта 2.3 настоящей Инструкции;
в) по ссудам, выданным после 1 января 2018 года, на финансирование по договору долевого участия в строительстве, по которому первоначальный взнос заемщика за счет собственных средств составляет менее 20 процентов.
В расчет настоящих кодов не включаются кредитные требования, которые удовлетворяют требованиям кодов 8736, 8783
8833.1,
8833.2,
8833.0
Н1.1 (А),
Н1.2 (А),
Н1.0 (А)
(в ред. Указания ЦБ РФ от 06.12.2017 N 4635-У)
Сумма требований к заемщикам по ссудам, указанных в строке кодов 8833.1, 8833.2, 8833.0, умноженная на коэффициент 1,5 8834.1,
8834.2,
8834.0
Н1.1 (),
Н1.2 (),
Н1.0 ()
Требования (дебиторская задолженность), возникшие (возникшая) в связи с инвестиционной деятельностью самого банка, осуществляемой в форме капитальных вложений в соответствии с Федеральным законом об инвестиционной деятельности и Федеральным законом от 30 декабря 2004 года N 214-ФЗ и связанной с приобретением банком недвижимого имущества, включая земельные участки, а также авансовые платежи (дебиторская задолженность) по сделкам приобретения недвижимого имущества, включая земельные участки, с отсрочкой поставки (счета (их части) N N 60312, 60415).
При расчете норматива Н1.0 в расчет данного кода не включаются требования (дебиторская задолженность), возникшие (возникшая) в связи с инвестиционной деятельностью самого банка в части, учтенной по кодам 8971 и 8971.0, и уменьшающие основной и дополнительный капитал в соответствии с подпунктом 4.2.2 пункта 4 Положения Банка России N 395-П и подпунктом 5.2 пункта 5 приложения к Положению Банка России N 395-П
8835.1,
8835.2
8835.0
Н1.1 (А),
Н1.2 (А),
Н1.0 (А)
Сумма требований, указанных в строке кодов 8835.1, 8835.2, 8835.0, умноженная на коэффициент 1,5 8836.1,
8836.2, 8836.0
Н1.1 (),
Н1.2 (),
Н1.0 ()
Вложения банков в доли в складочном капитале хозяйственных товариществ и во вклады в простые товарищества (счета (их части) N N 471А, 60202, 60204) 8837 Н1.1 (А),
Н1.2 (А),
Н1.0 (А)
Сумма требований, указанных в строке кода 8837, умноженная на коэффициент 1,5 8838 Н1.1 (),
Н1.2 (),
Н1.0 ()
Кредитные требования и требования по получению начисленных (накопленных) процентов по ссудам, предоставленным физическим лицам в иностранной валюте после 1 августа 2015 года (счета (их части) N N 455А, 457А, 45815, 45817, 45915, 45917, 47427, 478А).
В расчет настоящего кода не включаются кредитные требования и требования по получению начисленных (накопленных) процентов по кредитам, которые удовлетворяют требованиям кодов 8738, 8863.2, а также по которым кредитный риск рассчитывается на основе ПВР
8839 Н1.1 (А),
Н1.2 (А),
Н1.0 (А)
Сумма требований к заемщикам по ссудам, указанных в строке кода 8839, умноженная на коэффициент 3 8839.1 Н1.1 (А),
Н1.2 (А),
Н1.0 (А)
Кредитные требования участников клиринга к кредитным организациям, осуществляющим функции центрального контрагента, качество управления которых оценено Банком России как удовлетворительное в порядке, установленном Указанием Банка России от 3 декабря 2012 года N 2919-У "Об оценке качества управления кредитной организации, осуществляющей функции центрального контрагента", зарегистрированным Министерством юстиции Российской Федерации 21 декабря 2012 года N 26273, 18 сентября 2014 года N 34094, 10 декабря 2014 года N 35118, 30 апреля 2015 года N 37087, 5 октября 2015 года N 39153, 15 февраля 2016 года N 41093, уставом которой деятельность кредитной организации ограничивается осуществлением функций центрального контрагента и клиринговой деятельностью, информация о которых размещается на официальном сайте Банка России и опубликовывается в "Вестнике Банка России", а также требования кредитных организаций - доверителей (комитентов) по брокерским операциям с ценными бумагами и другими активами в части, размещенной брокером у данных центральных контрагентов.
В расчет данного кода включаются указанные кредитные требования, отраженные на балансовых счетах (их частях) N N 30424, 30425, 30602, 322А, 47404, 47408, 47427, 50104 - 50118, (50121 - 50120), 50205 - 50218, (50221 - 50220), 50305 - 50318, 50605 - 50618, (50621 - 50620), 50705 - 50718, (50721 - 50720).
В данный код не включаются кредитные требования к указанным контрагентам, по которым кредитный риск рассчитывается на основе ПВР
8846 Н1.1 (А),
Н1.2 (А),
Н1.0 (А)
Сумма кредитных требований, перечисленных в строке кода 8846, включается в расчет в размере наименьшей из величин:
20 процентов от суммы средств, перечисленных для исполнения и (или) обеспечения исполнения обязательств, допущенных к клирингу, в том числе в качестве индивидуального клирингового обеспечения, а также кредитных требований, возникших по результатам клиринга;
совокупности двух величин: 5 процентов от суммы средств, перечисленных для исполнения и (или) обеспечения исполнения обязательств, допущенных к клирингу, в том числе в качестве индивидуального клирингового обеспечения, а также кредитных требований, возникших по результатам клиринга, и 1250 процентов от суммы коллективного клирингового обеспечения
8847 Н1.1 (А),
Н1.2 (А),
Н1.0 (А)
Требования участников клиринга (в части активов, перечисленных для исполнения и (или) обеспечения исполнения обязательств, допущенных к клирингу, в том числе в качестве индивидуального клирингового обеспечения, ожидаемых к получению в форме, позволяющей отнести их к высоколиквидным и (или) ликвидным) к клиринговым кредитным организациям, кредитным организациям, осуществляющим функции центрального контрагента, расчетным кредитным организациям, к валютным и фондовым биржам (за исключением учтенных в уменьшение обязательств банка в рамках кода 8911, а также учтенных по кодам 8895 и 8972) (счета (их части) N N 30424, 47404).
В расчет кода включаются остатки по перечисленным счетам с учетом требований пункта 4.4 настоящей Инструкции
8848 Н3 (Лат)
(в ред. Указания ЦБ РФ от 06.12.2017 N 4635-У)
Требования по аккредитивам со сроком исполнения в течение ближайших 30 календарных дней:
банка-эмитента к плательщику по исполненным гарантированным аккредитивам;
исполняющего и (или) подтверждающего банка к банку-эмитенту (гаранту) по исполненным аккредитивам (счета (их части) N N 47410, 47431)
8849 Н3 (Лат)
Ипотечные ссуды (закладные) с оставшимся сроком погашения свыше 365 или 366 календарных дней, права требования по которым переуступаются специально созданным для этой цели организациям - операторам вторичного рынка ипотечных кредитов (агентствам по ипотечному жилищному кредитованию) (далее - Агентство). В расчет данного кода включаются ипотечные кредиты с учетом требований пункта 4.4 настоящей Инструкции, удовлетворяющие одновременно следующим условиям:
а) соответствуют стандартам по рефинансированию и сопровождению ипотечных кредитов (займов) Агентства, действующим на момент заключения договора купли-продажи закладных (с отсрочкой поставки);
б) неотъемлемой частью договора купли-продажи закладных (с отсрочкой поставки) является график сделок, устанавливающий сроки и согласованные объемы поставки закладных;
в) договор купли-продажи закладных (с отсрочкой поставки) заключен с Агентством, удовлетворяющим в совокупности следующим условиям:
наличие рейтинга долгосрочной кредитоспособности по обязательствам в иностранной валюте или рублях, присвоенного как минимум одним из иностранных кредитных рейтинговых агентств на уровне не ниже "B" по международной рейтинговой шкале "Эс-энд-Пи Глобал Рейтингс" (S&P Global Ratings) или "Фитч Рейтингс" (Fitch Ratings) либо "B2" по международной рейтинговой шкале "Мудис Инвесторс Сервис" (Moody's Investors Service), а также кредитный рейтинг, присвоенный по национальной рейтинговой шкале для Российской Федерации российским кредитным рейтинговым агентством;
ценные бумаги, эмитированные Агентством, включены в Ломбардный список Банка России и (или) гарантированы Российской Федерацией.
В расчет кода указанные активы включаются за вычетом сформированного резерва на возможные потери в соответствии с Положением Банка России N 590-П и Положением Банка России N 283-П
8850 Н4 (Крд)
Требования участников клиринга (в части средств коллективного клирингового обеспечения) к клиринговым организациям, к кредитным организациям, осуществляющим функции центрального контрагента, не указанным в строке кода 8846) (счет (его часть) N N 30425) 8851 Н1.1 (А),
Н1.2 (А),
Н1.0 (А)
Сумма кредитных требований, перечисленных в строке кода 8851, умноженная на 1250 процентов 8852 Н1.1 (А),
Н1.2 (А),
Н1.0 (А)
Прочие привлеченные средства в части обязательств банка перед контрагентом по сделкам со сроком исполнения до востребования и на следующий день, совершаемым на возвратной основе (за исключением сделок, совершаемых с ценными бумагами, ранее полученными без первоначального признания) с высоколиквидными ценными бумагами, переданными без прекращения признания, по возврату по второй части сделки денежных средств, учтенных прямым счетом в формуле расчета показателя Овм (счета (их части) N N 31501, 31502, 31601, 31602, 31702, 31703, 31704, 31802, 31803, 31804, 32901, 42309, 42609, 42701, 42801, 42901, 43001, 43101, 43201, 43301, 43401, 43501, 43601, 43701, 43801, 43901, 44001, 476П и (или) (счета (их части) N N 31503, 31603, 42310, 42610, 42702, 42802, 42902, 43002, 43102, 43202, 43302, 43402, 43502, 43602, 43702, 43802, 43902, 44002, если день совершения указанных операций предшествует выходным и праздничным дням).
Данный код используется для устранения двойного учета обязательств банка по сделкам со сроком исполнения до востребования и на следующий день, совершаемым на возвратной основе с высоколиквидными ценными бумагами, переданными без прекращения признания
8853 Н2 (Овм)
Прочие привлеченные средства в части обязательств банка перед контрагентом по сделкам со сроком исполнения в течение ближайших 30 календарных дней, совершаемым на возвратной основе (за исключением сделок, совершаемых с ценными бумагами, ранее полученными без первоначального признания) с высоколиквидными и ликвидными ценными бумагами, переданными без прекращения признания, по возврату по второй части сделки денежных средств, учтенных прямым счетом в формуле расчета показателя Овт (счета (их части) N N 31501, 31502, 31503, 31504, 31601, 31602, 31603, 31604, 31702, 31703, 31704, 31802, 31803, 31804, 32901, 42309, 42310, 42609, 42610, 42701, 42702, 42801, 42802, 42901, 42902, 43001, 43002, 43101, 43102, 43201, 43202, 43301, 43302, 43401, 43402, 43501, 43502, 43601, 43602, 43701, 43702, 43801, 43802, 43901, 43902, 44001, 44002, 476П).
Данный код используется для устранения двойного учета обязательств банка по сделкам со сроком исполнения в течение ближайших 30 календарных дней, совершаемым на возвратной основе с высоколиквидными и ликвидными ценными бумагами, переданными без прекращения признания
8854 Н3 (Овт)
Корректирующая знаменатели нормативов достаточности капитала банка расчетная величина кредитных требований, включенных в IV группу риска, к связанным с банком лицам, которые могут быть включены в два и более кодов с разным значением повышенных коэффициентов (для следующих вариантов совпадений требований по применению повышенных коэффициентов: 1,3 и 1,5 (в том числе многократно); 1,1, 1,3 и 1,5 (в том числе многократно), определяемая по формуле:

Здесь и далее в строках кодов 8856 и 8857 используются следующие условные обозначения:
- суммарная величина i-го актива, подпадающего под действие двух и более повышенных коэффициентов;
- величина сформированного резерва на возможные потери или резерва на возможные потери по ссудам, по ссудной и приравненной к ней задолженности i-го актива;
- величина требования по получению процентных доходов по i-му активу (кредитному требованию);
- величина сформированного резерва на возможные потери по требованию по получению процентных доходов по i-му активу (кредитному требованию);
n - количество активов, подпадающих под действие двух и более повышенных коэффициентов;
- количество повышенных коэффициентов (включая коэффициент 1,3 для связанных с банком лиц), под действие которых попадает i-й актив.
В случае если к требованию к связанному с банком лицу одновременно применяется только коэффициент 1,1, данные коды не рассчитываются
8855.1,
8855.2,
8855.0
Н1.1 (А),
Н1.2 (А),
Н1.0 (А)
Корректирующая расчет показателя ПК расчетная величина активов, которые могут быть включены в два и более кодов, определяемая по формулам для следующих вариантов совпадений требований по применению повышенных коэффициентов:
1,5 (многократно):

1,1 и 1,5 (в том числе многократно):

1,3 и 1,5 (в том числе многократно):

1,1, 1,3 и 1,5 (в том числе многократно):

1,1 и 1,3:
8856.1,
8856.2,
8856.0
Н1.1 (ПК1),
Н1.2 (ПК2),
Н1.0 (ПК0)
Корректирующая IV группу активов расчетная величина активов, которые могут быть включены в два и более кодов, определяемая по формулам для следующих вариантов совпадений требований по применению повышенных коэффициентов:
1,5 (многократно); 1,1 и 1,5:

1,3 и 1,5 (в том числе многократно); 1,1, 1,3 и 1,5 (в том числе многократно):

1,1 и 1,3:
8857.1,
8857.2,
8857.0
Н1.1 (А),
Н1.2 (А),
Н1.0 (А)
Кредитные требования и требования по получению начисленных (накопленных) процентов по кредитам на потребительские цели в рублях, предоставленным после 1 июля 2013 года заемщикам - физическим лицам, по которым ПСК на момент выдачи кредита составляет более 35 процентов годовых (счета (их части) N N 455А, 457А, 45815, 45817, 45915, 45917, 47427, 478А).
В расчет настоящего кода не включаются кредитные требования и требования по получению начисленных (накопленных) процентов по кредитам на потребительские цели в рублях, которые удовлетворяют требованиям:
кодов 8813, 8821, 8833 и по которым ПСК не превышает 45 процентов годовых;
кодов 8762, 8879, 8881
8858 Н1.1 (А),
Н1.2 (А),
Н1.0 (А),
(в ред. Указания ЦБ РФ от 06.12.2017 N 4635-У)
Кредитные требования и требования по получению начисленных (накопленных) процентов по кредитам на потребительские цели в рублях, предоставленным после 1 января 2014 года заемщикам - физическим лицам, по которым ПСК на момент выдачи кредита составляет более 35 процентов годовых (счета (их части) N N 455А, 457А, 45815, 45817, 45915, 45917, 47427, 478А).
В расчет настоящего кода не включаются кредитные требования и требования по получению начисленных (накопленных) процентов по кредитам на потребительские цели в рублях, которые удовлетворяют требованиям:
кодов 8813, 8821, 8833 и по которым ПСК не превышает 45 процентов годовых;
кодов 8762, 8879, 8881
8858.x Н1.1 (А),
Н1.2 (А),
Н1.0 (А)
(в ред. Указания ЦБ РФ от 06.12.2017 N 4635-У)
Кредитные требования и требования по получению начисленных (накопленных) процентов по кредитам на потребительские цели в рублях, предоставленным после 1 августа 2016 года заемщикам - физическим лицам, по которым ПСК на момент выдачи кредита составляет более 25 процентов годовых и не превышает 35 процентов годовых (счета (их части) N N 455А, 457А, 45815, 45817, 45915, 45917, 47427, 478А).
В расчет настоящего кода не включаются кредитные требования и требования по получению начисленных (накопленных) процентов по кредитам на потребительские цели в рублях, которые удовлетворяют требованиям кодов 8764, 8765, 8808.i, 8813.i, 8821, 8833.i, 8879, 8881 и 8956.i
8859 Н1.1 (А),
Н1.2 (А),
Н1.0 (А)
Сумма требований по кредитам на потребительские цели, предоставленным после 1 августа 2016 года, указанная в строке кода 8859, умноженная на коэффициент 1,1 8859.x Н1.1 (ПКр),
Н1.2 (ПКр),
Н1.0 (ПКр)
Часть суммы требований к заемщикам - физическим лицам, указанной в строке кода 8858, умноженная на коэффициент 1,4 в части кредитов, по которым ПСК на момент выдачи кредита составляет более 35 процентов годовых и не превышает 45 процентов годовых 8860 Н1.1 (ПКр),
Н1.2 (ПКр),
Н1.0 (ПКр)
Часть суммы требований к заемщикам - физическим лицам, указанной в строке кода 8858.x, умноженная на коэффициент 1,4 в части кредитов, по которым ПСК на момент выдачи кредита составляет более 35 процентов годовых и не превышает 45 процентов годовых 8860.x Н1.1 (ПКр),
Н1.2 (ПКр),
Н1.0 (ПКр)
Часть суммы требований к заемщикам - физическим лицам, указанной в строке кода 8858, умноженная на коэффициент 1,7 в части кредитов, по которым ПСК на момент выдачи кредита составляет более 45 процентов годовых и не превышает 60 процентов годовых 8861 Н1.1 (ПКр),
Н1.2 (ПКр),
Н1.0 (ПКр)
Часть суммы требований к заемщикам - физическим лицам, указанной в строке кода 8858.x, умноженная на коэффициент 3,0 в части кредитов, по которым ПСК на момент выдачи кредита составляет более 45 процентов годовых и не превышает 60 процентов годовых 8861.x Н1.1 (ПКр),
Н1.2 (ПКр),
Н1.0 (ПКр)
Часть суммы требований к заемщикам - физическим лицам, указанной в строке кода 8858, умноженная на коэффициент 2,0 в части кредитов, по которым ПСК на момент выдачи кредита составляет более 60 процентов годовых 8862 Н1.1 (ПКр),
Н1.2 (ПКр),
Н1.0 (ПКр)
Часть суммы требований к заемщикам - физическим лицам, указанной в строке кода 8858.x, умноженная на коэффициент 6,0 в части кредитов, по которым ПСК на момент выдачи кредита составляет более 60 процентов годовых 8862.x Н1.1 (ПКр),
Н1.2 (ПКр),
Н1.0 (ПКр)
Кредитные требования и требования по получению начисленных (накопленных) процентов по кредитам на потребительские цели в иностранной валюте, предоставленным после 1 июля 2013 года заемщикам - физическим лицам, по которым ПСК на момент выдачи кредита составляет более 20 процентов годовых (счета (их части) N N 455А, 457А, 45815, 45817, 45915, 45917, 47427, 478А).
В расчет настоящего кода не включаются кредитные требования и требования по получению начисленных (накопленных) процентов по кредитам на потребительские цели в иностранной валюте, которые удовлетворяют требованиям кодов 8879, 8881, а также кода 8767 и по которым ПСК составляет более 20 процентов годовых и не превышает 25 процентов годовых
8863 Н1.1 (А),
Н1.2 (А),
Н1.0 (А)
(в ред. Указания ЦБ РФ от 06.12.2017 N 4635-У)    
Кредитные требования и требования по получению начисленных (накопленных) процентов по кредитам на потребительские цели в иностранной валюте, предоставленным после 1 января 2014 года заемщикам - физическим лицам, по которым ПСК на момент выдачи кредита составляет более 20 процентов годовых (счета (их части) N N 455А, 457А, 45815, 45817, 45915, 45917, 47427, 478А).
В расчет настоящего кода не включаются кредитные требования и требования по получению начисленных (накопленных) процентов по кредитам на потребительские цели в иностранной валюте, которые удовлетворяют требованиям кодов 8863.2, 8879, 8881, а также кода 8767 и по которым ПСК составляет более 20 процентов годовых и не превышает 25 процентов годовых
8863.x Н1.1 (А),
Н1.2 (А),
Н1.0 (А)
(в ред. Указания ЦБ РФ от 06.12.2017 N 4635-У)    
Кредитные требования и требования по получению начисленных (накопленных) процентов по кредитам на потребительские цели в иностранной валюте, предоставленным после 1 августа 2015 года заемщикам - физическим лицам, по которым ПСК на момент выдачи кредита не превышает 20 процентов годовых (счета (их части) N N 455А, 457А, 45815, 45817, 45915, 45917, 47427, 478А).
В расчет настоящего кода не включаются кредитные требования и требования по получению начисленных (накопленных) процентов по кредитам на потребительские цели в иностранной валюте, которые удовлетворяют требованиям кодов 8879, 8881
8863.2 Н1.1 (А),
Н1.2 (А),
Н1.0 (А)
(в ред. Указания ЦБ РФ от 06.12.2017 N 4635-У)    
Сумма требований к заемщикам - физическим лицам, указанная в строке кода 8863.2, умноженная на коэффициент 3 8863.3 Н1.1 (ПКр),
Н1.2 (ПКр),
Н1.0 (ПКр)
Часть суммы требований к заемщикам - физическим лицам, указанной в строке кода 8863, умноженная на коэффициент 1,7 в части кредитов, по которым ПСК на момент выдачи кредита составляет более 20 процентов годовых и не превышает 25 процентов годовых 8864 Н1.1 (ПКр),
Н1.2 (ПКр),
Н1.0 (ПКр)
Часть суммы требований к заемщикам - физическим лицам, указанной в строке кода 8863.x, умноженная на коэффициент 3,0 в части кредитов, по которым ПСК на момент выдачи кредита составляет более 20 процентов годовых и не превышает 25 процентов годовых 8864.x Н1.1 (ПКр),
Н1.2 (ПКр),
Н1.0 (ПКр)
Часть суммы требований к заемщикам - физическим лицам, указанной в строке кода 8863, умноженная на коэффициент 2,0 в части кредитов, по которым ПСК на момент выдачи кредита составляет более 25 процентов годовых 8865 Н1.1 (ПКр),
Н1.2 (ПКр),
Н1.0 (ПКр)
Часть суммы требований к заемщикам - физическим лицам, указанной в строке кода 8863.x, умноженная на коэффициент 6,0 в части кредитов, по которым ПСК на момент выдачи кредита составляет более 25 процентов годовых 8865.x Н1.1 (ПКр),
Н1.2 (ПКр),
Н1.0 (ПКр)
Величина риска изменения стоимости кредитного требования в результате ухудшения кредитного качества контрагента, рассчитанная в порядке, установленном приложением 7 к настоящей Инструкции 8866 Н1.1 (РСК),
Н1.2 (РСК),
Н1.0 (РСК)
Учтенные в расчете показателя Овт депозиты, вклады и прочие привлеченные средства, определенные банком как срочные, в части, учтенной по коду 8933 (части счетов: N N 41002,41102, 41202, 41302, 41402, 41502, 41602, 41702, 41802, 41902, 42002, 42102, 42109, 42202, 42302, 42310, 42502, 42602, 42610, 42702, 42802, 42902, 43002, 43102, 43202, 43302, 43402, 43502, 43602, 43702, 43802, 43902, 44002) 8868 Н3 (Овт)
Кредитные требования и требования по получению начисленных (накопленных) процентов, в отношении которых величина кредитного риска определена в соответствии с пунктом 2.6 настоящей Инструкции и которые в зависимости от заемщика (контрагента) относятся к активам IV группы риска.
В данный код не включаются кредитные требования и требования по получению начисленных (накопленных) процентов, по которым кредитный риск рассчитывается на основе ПВР
8869 Н1.1 (А),
Н1.2 (А),
Н1.0 (А)
Величина кредитного риска по кредитным требованиям и требованиям по получению начисленных (накопленных) процентов, указанным в коде 8869, рассчитанная в соответствии с пунктом 2.6 настоящей Инструкции 8870 Н1.1 (А),
Н1.2 (А),
Н1.0 (А)
Кредитные требования и требования по получению начисленных (накопленных) процентов, номинированные и (или) фондированные в рублях, при наличии договора страхования экспортных кредитов и инвестиций, обеспеченного номинированными в рублях гарантиями Внешэкономбанка, выданными в соответствии с постановлением Правительства Российской Федерации N 964, исполнение обязательств по которым обеспечено номинированными в рублях государственными гарантиями, выданными в соответствии с бюджетным законодательством Российской Федерации, а также кредитные требования и требования по получению начисленных (накопленных) процентов банков-агентов к государственной корпорации "Агентство по страхованию вкладов" по возмещению денежных средств, выплаченных в соответствии с положениями Федерального закона о страховании вкладов вкладчикам банков - участников системы страхования вкладов, в отношении которых наступил страховой случай (счета (их части) N N 20311, 20312, 20315, 20316, 320А, 321А, 322А, 323А, 443А, 444А, 445А, 446А, 447А, 448А, 449А, 450А, 451А, 452А, 453А, 454А, 456А, 462А, 463А, 464А, 465А, 466А, 467А, 468А, 469А, 470А, 471А, 472А, 473А, 47423, 47427, 478А, 47901, 50106, 50107, 50118, (50121 - 50120), 50207, 50208, 50218, (50221 - 50220), 50307, 50308, 50318, 51401 - 51407, 51501 - 51507, 51601 - 51607, 51701 - 51707, 51801 - 51807, 51901 - 51907) 8871 Н1.1 (А),
Н1.2 (А),
Н1.0 (А)
Обязательства банка со сроком исполнения свыше 30 календарных дней по привлеченным денежным средствам, а также по размещенным собственным долговым ценным бумагам, если договором (условиями выпуска ценных бумаг) предусмотрено досрочное исполнение банком обязательств по возврату денежных средств (выкупу ценных бумаг) по обращению кредитора (инвестора) при наступлении условий, определенных в договоре (условиями выпуска ценных бумаг), следствием которых является признание заемщика или эмитента не соответствующим определенным ограничениям в области финансовых показателей (далее - отлагательные условия) (счета (их части) N N 20309, 20310, 20313, 20314, 31204 - 31207, 31217 - 31221, 31305 - 31309, 31405 - 31409, 31505 - 31509, 31605 - 31609, 41003 - 41007, 41103 - 41107, 41203 - 41207, 41303 - 41307, 41403 - 41407, 41503 - 41507, 41603 - 41607, 41703 - 41707, 41803 - 41807, 41903 - 41907, 42003 - 42007, 42103 - 42107, 42110 - 42114, 42203 - 42207, 42503 - 42507, 42703 - 42707, 42803 - 42807, 42903 - 42907, 43003 - 43007, 43103 - 43107, 43203 - 43207, 43303 - 43307, 43403 - 43407, 43503 - 43507, 43603 - 43607, 43703 - 43707, 43803 - 13807, 43903 - 43907, 44003 - 44007, 52002 - 52006, 52102 - 52106, 52202 - 52206, 52303 - 52307) 8872 Н2 (Овм),
Н3 (Овт)
Обязательства банка по привлеченным денежным средствам, а также по размещенным собственным долговым ценным бумагам, если договором (условиями выпуска ценных бумаг) предусмотрено досрочное исполнение банком обязательств по возврату денежных средств (выкупу ценных бумаг) по обращению кредитора (инвестора) при наступлении отлагательных условий (счета (их части) N N 20309, 20310, 20313, 20314, 31204 - 31207, 31217 - 31221, 31305 - 31309, 31405 - 31409, 31505 - 31509, 31605 - 31609, 41003 - 41007, 41103 - 41107, 41203 - 41207, 41303 - 41307, 41403 - 41407, 41503 - 41507, 41603 - 41607, 41703 - 41707, 41803 - 41807, 41903 - 41907, 42003 - 42007, 42103 - 42107, 42110 - 42114, 42203 - 42207, 42503 - 42507, 42703 - 42707, 42803 - 42807, 42903 - 42907, 43003 - 43007, 43103 - 43107, 43203 - 43207, 43303 - 43307, 43403 - 43407, 43503 - 43507, 43603 - 43607, 43703 - 43707, 43803 - 43807, 43903 - 43907, 44003 - 44007, 52002 - 52006, 52102 - 52106, 52202 - 52206, 52303 - 52307).
В данный код включаются обязательства по всем привлеченным денежным средствам, а также по размещенным собственным долговым ценным бумагам, содержащим отлагательные условия, вне зависимости от факта наступления отлагательных условий.
Данный код не используется при расчете нормативов
8872.1 -
Обязательства банка с оставшимся сроком исполнения свыше 365 или 366 календарных дней по привлеченным денежным средствам, а также по размещенным собственным долговым ценным бумагам, если договором (условиями выпуска ценных бумаг) предусмотрено досрочное исполнение банком обязательств по возврату денежных средств (выкупу ценных бумаг) при наступлении отлагательных условий (счета (их части)
N N 20309, 20310, 20313, 20314, 30219, 31207, 31220, 31221, 31222, 31308, 31309, 31408, 31409, 31508, 31509, 31608, 31609, 41006, 41007, 41106, 41107, 41206, 41207, 41306, 41307, 41406, 41407, 41506, 41507, 41606, 41607, 41706, 41707, 41806, 41807, 41906, 41907, 42006, 42007, 42106, 42107, 42113, 42114, 42206, 42207, 42506, 42507, 42706, 42707, 42806, 42807, 42906, 42907, 43006, 43007, 43106, 43107, 43206, 43207, 43306, 43307, 43406, 43407, 43506, 43507, 43606, 43607, 43706, 43707, 43806, 43807, 43906, 43907, 44006, 44007, 52005, 52006, 52105, 52106, 52205, 52206, 52306, 52307)
8873 Н4 (ОД)
Показатели, уменьшающие сумму источников базового капитала в соответствии с подпунктами 2.2.1 - 2.2.6, 2.2.9 и 2.2.10 пункта 2 Положения Банка России N 395-П и принимаемые в расчет в соответствии с порядком, предусмотренным подпунктом 8.1 пункта 8 Положения Банка России N 395-П.
Показатели, уменьшающие сумму источников базового капитала, не включаются в расчет I - III и V групп активов
8874 Н1.1 (А),
Н1.2 (А),
Н1.0 (А)
Показатели, уменьшающие сумму источников добавочного капитала в соответствии с подпунктами 2.4.1 - 2.4.5 пункта 2 Положения Банка России N 395-П (за исключением сумм, рассчитанных в соответствии с подпунктом 2.5 пункта 2 Положения Банка России N 395-П и учтенных по коду 8874 в уменьшение суммы источников базового капитала в соответствии с подпунктом 2.2.10 пункта 2 Положения Банка России N 395-П) и принимаемые в расчет в соответствии с порядком, предусмотренным подпунктом 8.1 пункта 8 Положения Банка России N 395-П.
Показатели, уменьшающие сумму источников добавочного капитала, не включаются в расчет I - III и V групп активов
8875 Н1.2 (А),
Н1.0 (А)
Величина остатков (части остатков), числящихся на балансовом счете N 52503 (начисленный дисконт, подлежащий списанию на расходы банка в отчетном периоде (месяце), при расчете на внутримесячные даты), а также сумма резерва (резервов), фактически недосозданного (недосозданных) кредитной организацией по сравнению с величиной, требуемой в соответствии с Положением Банка России N 590-П и Положением Банка России N 283-П, в части, учитываемой в соответствии с подпунктами 2.1.7, 2.1.8, 2.2.7 и 2.2.8 пункта 2 Положения Банка России N 395-П. 8876 Н1.1 (А),
Н1.2 (А),
Н1.0 (А)
Показатели, уменьшающие сумму источников основного капитала в соответствии с подпунктами 2.1 - 2.4 пункта 2 приложения к Положению N 395-П (за исключением сумм, рассчитанных в соответствии с подпунктом 2.5 пункта 2 Положения Банка России N 395-П и учтенных по коду 8874 в уменьшение суммы источников базового капитала в соответствии с подпунктом 2.2.10 пункта 2 Положения Банка России N 395-П) и принимаемые в расчет в соответствии с подпунктом 8.1.1 пункта 8 Положения Банка России N 395-П.
Показатели, уменьшающие сумму источников основного капитала, не включаются в расчет I - III и V групп активов
8877 Н1.2 (А),
Н1.0 (А)
Суммы существенных вложений в обыкновенные акции (доли) финансовой организации, не учтенные в уменьшение базового капитала в соответствии с подпунктами 2.2.9.2 и 2.2.9.3 пункта 2 Положения Банка России N 395-П.
Вложения, участвующие в расчете настоящего кода, не включаются в расчет I - III и V групп активов.
В расчет данного кода не включаются вложения в фонды, риск по которым оценивается в соответствии с подпунктом 4.3 пункта 4 приложения 9 к настоящей Инструкции
8878.А Н1.1 (А),
Н1.2 (А),
Н1.0 (А)
(в ред. Указания ЦБ РФ от 08.09.2017 N 4521-У)
Совокупная сумма отложенных налоговых активов, не зависящих от будущей прибыли кредитной организации, не учтенная в уменьшение источников базового капитала в соответствии с подпунктами 2.2.3 и 2.2.9.3 пункта 2 Положения Банка России N 395-П.
Активы, участвующие в расчете настоящего кода, не включаются в расчет I - III и V групп активов
8878.Н Н1.1 (А),
Н1.2 (А),
Н1.0 (А)
Сумма вложений банка, указанных в строке кодов 8878.А и 8878.Н, умноженная на 250 процентов, для целей расчета нормативов достаточности капитала банков 8879 Н1.1 (БК),
Н1.2 (БК),
Н1.0 (БК)
Сумма существенных вложений банка в обыкновенные акции (доли) юридических лиц, не являющихся финансовыми организациями, в одной из следующих частей:
в части отдельных вложений банка, превышающих лимит индивидуальных вложений без превышения лимита совокупных вложений;
в части совокупных вложений банка, превышающих лимит совокупных вложений без превышения лимита индивидуальных вложений;
в размере наибольшей из двух величин: величины превышения лимита индивидуальных вложений и величины превышения лимита совокупных вложений (в случае одновременного превышения обоих лимитов)
8880 Н1.1 (А),
Н1.2 (А),
Н1.0 (А)
Сумма существенных вложений банка, указанных в строке кода 8880, умноженная на 1250 процентов, для целей расчета нормативов достаточности капитала банков 8881 Н1.1 (БК),
Н1.2 (БК),
Н1.0 (БК)
Показатели, уменьшающие сумму источников дополнительного капитала в соответствии с подпунктами 3.2.1 - 3.2.4 пункта 3 Положения Банка России N 395-П (за исключением сумм, рассчитанных в соответствии с подпунктом 3.3 пункта 3 Положения Банка России N 395-П и учтенных по коду 8875 в уменьшение суммы источников добавочного капитала в соответствии с подпунктом 2.4.5 пункта 2 Положения Банка России N 395-П) и принимаемые в расчет в соответствии с подпунктом 8.1 пункта 8 Положения Банка России N 395-П.
Показатели, уменьшающие сумму источников дополнительного капитала, не включаются в расчет I - III и V групп активов
8882 Н1.0 (А)
Величина остатков (части остатков), числящихся на балансовом счете N 52503 (начисленный дисконт, подлежащий списанию на расходы банка в отчетном периоде (месяце), при расчете на внутримесячные даты), а также сумма резерва (резервов), фактически недосозданного (недосозданных) кредитной организацией по сравнению с величиной, требуемой в соответствии с Положением Банка России N 590-П и Положением Банка России N 283-П, в части, учитываемой при определении прибыли текущего года и предшествующих лет, не подтвержденной аудиторской организацией (индивидуальным аудитором) в соответствии с подпунктами 3.1.6 и 3.1.7 пункта 3 Положения Банка России N 395-П 8883 Н1.0 (А)
Прирост стоимости имущества кредитной организации за счет переоценки в части, не вошедшей в состав источников собственных средств, принимаемых в расчет дополнительного капитала банка в соответствии с подпунктом 3.1.9 пункта 3 Положения Банка России N 395-П (счет (часть счета) N 10601) 8884 Н1.0 (А)
Обязательства банка по кредитам, депозитам, вкладам и прочим привлеченным средствам со сроком исполнения в течение одного операционного дня (счета (их части) N N 41002, 41102, 41202, 41302, 41402, 41502, 41602, 41702, 41802, 41902, 42002, 42102, 42109, 42202, 42302, 42310, 42502, 42602, 42610, 42702, 42802, 42902, 43002, 43102, 43202, 43302, 43402, 43502, 43602, 43702, 43802, 43902, 44002 и (или) (счета (их части) N N 31202, 31215, 31303, 31403, 31503, 31603, если день совершения указанных операций предшествует выходным и праздничным дням) 8885 Н2 (Овм)
Сумма кредитных требований и требований по получению начисленных (накопленных) процентов (за минусом сформированных резервов на возможные потери или резервов на возможные потери по ссудам, по ссудной и приравненной к ней задолженности) к контрагенту по сделке (за исключением требований по синдицированным кредитам, аккредитивам, ипотечным ценным бумагам), по которой исполнение обязательств контрагента:
банка - резидента Российской Федерации (К = 1);
кредитной организации, имеющей рейтинги долгосрочной кредитоспособности, присвоенные иностранными кредитными рейтинговыми агентствами, и являющейся резидентом страны, имеющей страновые оценки "0", "1", или страны с высоким уровнем доходов, являющейся членом ОЭСР и (или) Еврозоны (К = 2);
зависит от исполнения обязательств третьим лицом (третьими лицами).
Данные коды используются для исключения указанных сделок из II группы активов
8886.К,
где К - код контрагента
Н1.1 (А),
Н1.2 (А),
Н1.0 (А)
Сумма кредитных требований и требований по получению начисленных (накопленных) процентов (за минусом сформированных резервов на возможные потери или резервов на возможные потери по ссудам, по ссудной и приравненной к ней задолженности) к контрагенту по сделке (за исключением требований по синдицированным кредитам, аккредитивам, ипотечным ценным бумагам), по которой исполнение обязательств контрагента:
кредитной организации - резидента страны, имеющей страновую оценку "2" (К = 1);
кредитной организации, не имеющей рейтинги долгосрочной кредитоспособности, присвоенные иностранными кредитными рейтинговыми агентствами, и являющейся резидентом страны, имеющей страновые оценки "0", "1", или страны с высоким уровнем доходов, являющейся членом ОЭСР и (или) Еврозоны (К = 2);
зависит от исполнения обязательств третьим лицом (третьими лицами).
Данные коды используются для исключения указанных сделок из III группы активов
8887.К,
где К - код контрагента
Н1.1 (А),
Н1.2 (А),
Н1.0 (А)
Сумма кредитных требований и требований по получению начисленных (накопленных) процентов (за минусом сформированных резервов на возможные потери или резервов на возможные потери по ссудам, по ссудной и приравненной к ней задолженности) к контрагенту по сделке (за исключением требований по синдицированным кредитам, аккредитивам, ипотечным ценным бумагам), по которой исполнение обязательств перед банком по данной сделке зависит от исполнения обязательств третьим лицом (третьими лицами):
кредитной организацией - резидентом страны, имеющей страновую оценку "2" (Т = 1);
кредитной организацией, не имеющей рейтинги долгосрочной кредитоспособности, присвоенные иностранными кредитными рейтинговыми агентствами, и являющейся резидентом страны, имеющей страновые оценки "0", "1", или страны с высоким уровнем доходов, являющейся членом ОЭСР и (или) Еврозоны (Т = 2).
В данные коды включаются активы, исключенные из II группы активов кодом (кодами) 8886. К (за исключением кредитных требований к третьим лицам, связанным с банком).
Данные коды используются для включения указанных сделок в III группу активов с коэффициентом 50 процентов
8888.Т,
где Т - код третьего лица
Н1.1 (А),
Н1.2 (А),
Н1.0 (А)
Балансовая сумма кредитных требований и требований по получению начисленных (накопленных) процентов банка к контрагенту по сделке (за исключением требований по синдицированным кредитам, аккредитивам, ипотечным ценным бумагам), по которой исполнение обязательств перед банком по данной сделке зависит от исполнения обязательств третьим лицом (третьими лицами) (включая связанных с банком лиц):
банком - резидентом Российской Федерации (Т = 1);
кредитной организацией - резидентом страны, имеющей страновую оценку "3", "4", "5" или "6" (Т = 2);
юридическим лицом (Т = 3);
физическим лицом (Т = 4).
В данные коды включаются активы, исключенные из II и III групп активов кодами 8886.К и 8887.К.
Данные коды используются для включения указанных сделок в IV группу активов (за исключением активов, удовлетворяющих требованиям кодов 8890 и 8888.Т)
8889.Т,
где Т - код третьего лица
Н1.1 (А),
Н1.2 (А),
Н1.0 (А)
Сумма кредитных требований и требований по получению начисленных (накопленных) процентов (за минусом сформированных резервов на возможные потери или резервов на возможные потери по ссудам, по ссудной и приравненной к ней задолженности) к контрагенту по сделке (за исключением требований по синдицированным кредитам, аккредитивам, ипотечным ценным бумагам), по которой исполнение обязательств зависит от исполнения обязательств третьим лицом (включая связанных с банком лиц) - кредитной организацией, являющейся резидентом страны, имеющей страновую оценку "7".
В данный код включаются активы, исключенные из II и III групп активов кодами 8886.К и 8887.К (за исключением учтенных по коду (кодам) 8888.Т).
Данный код используется для включения указанных сделок в V группу активов с коэффициентом 150 процентов
8890 Н1.1 (А),
Н1.2 (А),
Н1.0 (А)
Номинированные и фондированные в рублях кредитные требования, обеспеченные номинированными в рублях гарантиями (поручительствами) юридических лиц, в части, по которой исполнение обязательств обеспечено номинированными в рублях государственными гарантиями, выданными в соответствии с бюджетным законодательством Российской Федерации (счета (их части) N N 445А, 446А, 447А, 448А, 449А, 450А, 451А, 452А, 453А, 454А, 464А, 465А, 466А, 467А, 468А, 469А, 470А, 471А, 472А, 478А, 47901, 50107, 50110, (50121 - 50120), 50208, 50211, (50221 - 50220), 50308, 50311) 8891 Н1.1 (А),
Н1.2 (А),
Н1.0 (А)
Часть уставного капитала банка, сформированного за счет капитализации прироста стоимости имущества при переоценке до выбытия имущества, не вошедшая в состав источников базового капитала и (или) добавочного капитала в соответствии с подпунктом 2.1.1, и (или) подпунктом 2.1.2, и (или) подпунктом 2.3.1 пункта 2 Положения Банка России N 395-П (счет (часть счета) N 102) 8893.1, 8893.2 Н1.1 (А),
Н1.2 (А)
Вложения в не обремененные обязательствами клиринговые сертификаты участия (имущественный пул которых сформирован ценными бумагами, предусмотренными подпунктом 2.3.1 пункта 2.3 настоящей Инструкции, и денежными средствами в рублях), полученные:
при внесении активов в имущественный пул (счет (часть счета) N 90807 за минусом остатков по счету (части счета) N 91419);
по сделкам, совершаемым на возвратной основе, без первоначального признания (счет (часть счета) N 91314 за минусом остатков по счету (части счета) N 91419).
В расчет кода включаются остатки по перечисленным счетам с учетом требований пункта 4.4 настоящей Инструкции
8894 Н2 (Лам),
Н3 (Лат)
Требования участников клиринга (в части остатка не обремененных обязательствами денежных средств, сложившегося по итогам клиринга и завершения расчетов на конец операционного дня, предшествующего дате расчета) к центральным контрагентам, соответствующим условиям кода 8846 (счета (часть счетов) N N 30424, 47404).
В расчет кода включаются остатки по перечисленным счетам с учетом требований пункта 4.4 настоящей Инструкции и на основании информации, предоставляемой банкам - участникам клиринга центральным контрагентом в соответствии с правилами клиринга
8895 Н2 (Лам),
Н3 (Лат)
Вложения в облигации Банка России, номинированные и фондированные в рублях (счета (их части) N N 47901, 50116, 50118, (50121 - 50120), 50214, 50218, (50221 - 50220), 50313, 50318) 8900 Н1.1 (А),
Н1.2 (А),
Н1.0 (А)
Кредитные требования и требования по получению начисленных (накопленных) процентов к центральным банкам или правительствам стран, имеющих страновые оценки "0", "1", или стран с высоким уровнем доходов, являющихся членами ОЭСР и (или) Еврозоны, к организациям, которым в соответствии с законодательством соответствующих стран предоставлено право осуществлять заимствования от имени государства (счета (их части) N N 30211, 40308, 47427, 47901, 50108, 50109, 50110, 50118, (50121 - 50120), 50209, 50210, 50211, 50218, (50221 - 50220), 50309, 50310, 50311, 50318, 51601 - 51607, 51801 - 51807, 51901 - 51907) 8901 Н1.1 (А),
Н1.2 (А),
Н1.0 (А)
Номинированные и фондированные в рублях кредитные требования и требования по получению начисленных (накопленных) процентов к Российской Федерации, федеральным органам исполнительной власти, в том числе Министерству финансов Российской Федерации (счета (их части) N N 441А, 460А, 47427, 47431, 47802, 47803, 47901, 50104, 50118, (50121 - 50120), 50205, 50218, (50221 - 50220), 50305, 50318, 51201 - 51207) 8902 Н1.1 (А),
Н1.2 (А),
Н1.0 (А)
Кредитные требования и требования по получению начисленных (накопленных) процентов к центральным банкам или правительствам стран, имеющих страновую оценку "2", к организациям, которым в соответствии с законодательством соответствующих стран предоставлено право осуществлять заимствования от имени государства (счета (их части) N N 30211, 40308, 47427, 47901, 50108, 50109, 50110, 50118, (50121 - 50120), 50209, 50210, 50211, 50218, (50221 - 50220), 50309, 50310, 50311, 50318, 51601 - 51607, 51801 - 51807, 51901 - 51907) 8903 Н1.1 (А),
Н1.2 (А),
Н1.0 (А)
Номинированные и фондированные в рублях кредитные требования и требования по получению начисленных (накопленных) процентов к субъектам Российской Федерации, муниципальным образованиям Российской Федерации (счета (их части) N N 442A, 461A, 47427, 47431, 47802, 47803, 47901, 50105, 50118, (50121 - 50120), 50206, 50218, (50221 - 50220), 50306, 50318, 51301 - 51307) 8904 Н1.1 (А),
Н1.2 (А),
Н1.0 (А)
Пять процентов кредитов, депозитов и иных привлеченных средств сроком погашения в течение ближайших 30 календарных дней, привлеченных банком и обеспеченных предоставленным им залогом в виде ценных бумаг (за исключением ценных бумаг, эмитированных правительствами и резидентами стран, имеющих страновые оценки "0", "1", или стран с высоким уровнем доходов, являющихся членами ОЭСР и (или) Еврозоны), при условии, что договоры по данным кредитам, депозитам и иным привлеченным средствам предполагают довнесение банком кредитору обеспечения в размере снижения справедливой стоимости залога (счета (их части) N N 312, 313, 314, 31503 - 31509, 31603 - 31609, 32901, 41002 - 41007, 41102 - 11107, 41202 - 41207, 41302 - 41307, 41402 - 11407, 41502 - 1507, 41602 - 41607, 41702 - 41707, 41802 - 1807, 41902 - 41907, 42002 - 12007, 42102 - 42107, 42109 - 42114, 42202 - 12207, 42502 - 12507, 42702 - 42707, 42802 - 2807, 42902 - 12907, 43002 - 43007, 43102 - 13107, 43202 - 13207, 43302 - 13307, 43402 - 43407, 43502 - 43507, 43602 - 43607, 43702 - 43707, 43802 - 43807, 43902 - 43907, 44002 - 44007) 8905 Н2 (Овм),
Н3 (Овт)
Обязательства банка по кредитам до востребования и на один день, привлеченным от Банка России и (или) банков-контрагентов и обеспеченным предоставленным банком залогом в виде высоколиквидных ценных бумаг (счета (их части) N N 31201, 31210, 31213, 31214, 31301, 31302, 31310, 31401, 31402, 31410 и (или) счета (их части) N N 31202, 31215, 31303, 31403, если день совершения указанных операций предшествует выходным и праздничным дням) 8906 Н2 (Овм),
Н3 (Овт)
Пять процентов кредитов, депозитов и иных привлеченных средств сроком погашения свыше 30 календарных дней, привлеченных банком и обеспеченных предоставленным им залогом в виде ценных бумаг (за исключением ценных бумаг, эмитированных правительствами и резидентами стран, имеющих страновые оценки "0", "1", или стран с высоким уровнем доходов, являющихся членами ОЭСР и (или) Еврозоны), при условии, что договоры по данным кредитам, депозитам и иным привлеченным средствам предполагают довнесение банком кредитору обеспечения в размере снижения справедливой стоимости залога (счета (их части) N N 31204 - 31207, 31212, 31217 - 31221, 31305 - 31309, 31405 - 31409, 31505 - 31509, 31605 - 31609, 32901, 41003 - 41007, 41103 - 41107, 41203 - 41207, 41303 - 41307, 41403 - 41407, 41503 - 41507, 41603 - 41607, 41703 - 41707, 41803 - 41807, 41903 - 41907, 42003 - 42007, 42103 - 42107, 42110 - 42114, 42203 - 42207, 42503 - 42507, 42703 - 42707, 42803 - 42807, 42903 - 42907, 43003 - 43007, 43103 - 43107, 43203 - 43207, 43303 - 43307, 43403 - 43407, 43503 - 43507, 43603 - 43607, 43703 - 43707, 43803 - 43807, 43903 - 43907, 44003 - 44007) 8907 Н3 (Овт)
Кредиты "овердрафт", депозиты и прочие размещенные средства в кредитных организациях стран, имеющих страновую оценку "2" и выше, в том числе в кредитных организациях - резидентах, на срок до востребования со сроком нахождения на балансе до 10 календарных дней, в случае, если исполнение обязательств по ним в соответствии с договором предусмотрено не позднее дня, следующего за днем востребования (за исключением включенных в расчет кода 8910) (счета (их части) N N 30427, 32001, 32010, 32101, 32110, 32201, 32301).
Кредиты, предоставленные кредитным организациям стран, имеющих страновую оценку "2" и выше, в том числе кредитным организациям - резидентам, депозиты и прочие размещенные средства в указанных кредитных организациях на один день и "овернайт" (за исключением включенных в расчет кода 8910) (счета (их части) N N 30427, 32002, 32102, 32202, 32302).
В расчет кода включаются остатки по перечисленным счетам с учетом требований пункта 4.4 настоящей Инструкции
8908 Н3 (Лат)
Расчетная величина требований банка к заемщику, входящему более чем в одну группу связанных заемщиков, корректирующая совокупную величину крупных кредитных рисков и определяемая по следующей формуле:

где:
- суммарная величина требований к i-му заемщику, входящему более чем в одну группу связанных заемщиков, за вычетом суммарной величины сформированного под данные требования резерва на возможные потери и (или) резерва на возможные потери по ссудам, по ссудной и приравненной к ней задолженности;
- коэффициент риска, установленный в отношении i-го заемщика в соответствии с пунктом 2.3 настоящей Инструкции;
- количество групп связанных заемщиков, в которые входит i-й заемщик
8909 Н7 ()
Требования к кредитным организациям, являющимся резидентами стран, имеющих страновые оценки "0", "1", или стран с высоким уровнем доходов, являющихся членами ОЭСР и (или) Еврозоны, или стран БРИКС, имеющих страновую оценку "2", к Международному банку реконструкции и развития, Международной финансовой корпорации и Европейскому банку реконструкции и развития, а также к банкам-резидентам, Внешэкономбанку, а также к небанковским кредитным организациям - резидентам (в части, указанной в абзаце четвертом настоящей графы), которые в соответствии с Положением Банка России N 283-П, Положением Банка России N 590-П относятся к I категории качества:
а) средства, размещенные в однодневные кредиты, депозиты и прочие размещенные средства, кредиты и депозиты "овернайт", кредиты "овердрафт" до востребования, депозиты и прочие размещенные средства до востребования со сроком нахождения на балансе до 10 календарных дней, исполнение обязательств по которым в соответствии с договором предусмотрено не позднее чем на следующий день после дня востребования (счета (их части) N N 30427, 32001, 32002, 32010, 32101, 32102, 32110, 32201, 32202, 32301, 32302, 45601, 45607, 45608 и (или) счета (их части) N N 32003, 32103, 32203, 32303, если день размещения кредита, депозита или прочих средств предшествует выходным и праздничным дням);
б) требования до востребования (со сроком нахождения на балансе до 10 календарных дней), исполнение обязательств по которым в соответствии с договором предусмотрено не позднее чем на следующий день после дня востребования и на один день по возврату денежных средств по сделкам, совершаемым на возвратной основе с ценными бумагами, полученными без первоначального признания, за исключением требований, возникших в результате сделки по приобретению высоколиквидных финансовых активов, включаемых в состав показателя Лам (счета (их части) N N 32201, 32202, 32301, 32302, 47301, 47302 и (или) счета (их части) N N 32203, 32303, если день совершения указанных операций предшествует выходным и праздничным дням);
в) средства на корреспондентских счетах, стоимость драгоценных металлов, учет которых ведется на металлических счетах, а также незавершенные расчеты по корреспондентским счетам, открытым в указанных кредитных организациях и международных организациях (счета (их части) N N 30110, 30114, 30118, 30119, 30221).
В расчет кода включаются остатки по перечисленным счетам с учетом требований пункта 4.4 настоящей Инструкции
8910 Н2 (Лам),
Н3 (Лат)
Обязательства банка перед клиентами в пределах средств, перечисленных на биржу для покупки (продажи) по поручению клиентов:
иностранной валюты и отражаемых на счетах N N 47404 и 30424 (счет (часть счета) N 47405);
ценных бумаг и иных финансовых активов и отражаемых на счетах N N 30413, 30424 (счета (часть счетов) N N 30601 и 30606)
8911 Н2 (Овм),
Н3 (Овт)
Номинированные и фондированные в рублях средства на корреспондентском и депозитном счетах в Банке России, в том числе на корреспондентских счетах расчетных центров ОРЦБ в Банке России, а также средства, депонируемые уполномоченными банками в Банке России, прочие средства, размещенные в Банке России, в том числе на клиринговых банковских счетах, требования к Банку России по получению начисленных (накопленных) процентов (счета (их части) N N 30102, 30221, 30224, 319; 30104, 30106, 30125 (при расчете показателей небанковскими кредитными организациями, осуществляющими депозитные и кредитные операции), 30417, 30419, 32902, 47408, 47427, 50118, (50121 - 50120), 50218, (50221 - 50220), 50318, 50618, (50621 - 50620), 50718, (50721 - 50720) 8912.1, 8912.2, 8912.0 Н1.1 (А),
Н1.2 (А),
Н1.0 (А)
Номинированные и фондированные в рублях кредитные требования и требования по получению начисленных (накопленных) процентов в части, обеспеченной номинированными в рублях гарантиями субъектов Российской Федерации или муниципальных образований Российской Федерации, а также залогом номинированных в рублях долговых ценных бумаг субъектов Российской Федерации или муниципальных образований Российской Федерации в размере 80 процентов справедливой стоимости ценных бумаг (счета (их части) N N 320А, 321А, 322А, 323А, 443А, 444А, 445А, 446А, 447А, 448А, 449А, 450А, 451А, 452А, 453А, 454А, 456А, 462А, 463А, 464А, 465А, 466А, 467А, 468А, 469А, 470А, 471А, 472А, 473А, 47410, 47431, 47427, 478А, 47901, 50106, 50107, 50118, (50121 - 50120), 50207, 50208, 50218, (50221 - 50220), 50307, 50308, 50318, 51401 - 51407, 51501 - 51507, 51601 - 51607, 51701 - 51707, 51801 - 51807, 51901 - 51907) 8913.1,
8913.2, 8913.0
Н1.1 (А),
Н1.2 (А),
Н1.0 (А)
Обязательства банка, не удовлетворяющие критериям до востребования и на 1 день (за исключением отраженных по коду 8994) (счета (часть счетов) N N 30232, 30411, 30412, 30414, 30420, 30421, 32901, 47403, 47405, 47407, 47422, 60301, 60305, 60307, 60309, 60311, 60313, 60322, 60335, 61701) 8914 Н2 (Овм)
Дивиденды, подлежащие выплате акционерам (участникам), если решение о выплате дивидендов утверждено собранием акционеров (участников) или органом управления банка, уполномоченным учредительными документами банка (счет (часть счета) N 60320) 8916 Н2 (Овм),
Н3 (Овт)
Кредитные требования и требования по получению начисленных (накопленных) процентов в части, обеспеченной гарантиями (поручительствами, резервными аккредитивами) правительств или центральных банков стран, имеющих страновые оценки "0", "1", или стран с высоким уровнем доходов, являющихся членами ОЭСР и (или) Еврозоны, организаций, которые в соответствии с законодательством соответствующих стран приравнены к гарантиям (поручительствам, резервным аккредитивам) правительств или центральных банков указанных стран, а также кредитные требования и требования по получению начисленных (накопленных) процентов в части, обеспеченной залогом номинированных в той же валюте, что и требование долговых ценных бумаг центральных банков или государственных долговых ценных бумаг стран, имеющих страновые оценки "0", "1", или стран с высоким уровнем доходов, являющихся членами ОЭСР и (или) Еврозоны, в размере 80 процентов справедливой стоимости указанных ценных бумаг (счета (их части) N N 20311, 20312,20315, 20316, 320А, 321А, 322А, 323А, 442А, 443А, 444А, 445А, 446А, 447А, 448А, 449А, 450А, 451А, 452А, 453А, 454А, 456А, 462А, 463А, 464А, 465А, 466А, 467А, 468А, 469А, 470А, 471А, 472А, 473А, 47410, 47431, 47427, 478А, 47901, 50106, 50107, 50109, 50110, 50118, (50121 - 50120), 50207, 50208, 50210, 50211, 50218, (50221 - 50220), 50307, 50308, 50310, 50311, 50318, 51401 - 51407, 51501 - 51507, 51701 - 51707, 51801 - 51807, 51901 - 51907) 8917.1,
8917.2,
8917.0
Н1.1 (А),
Н1.2 (А),
Н1.0 (А)
Обязательства банка (за исключением включенных в расчет кода 8933) по кредитам, депозитам и прочим привлеченным средствам, за исключением суммы полученного банком субординированного кредита (займа, депозита, облигационного займа) в части остаточной стоимости, включенной в расчет собственных средств (капитала) банка, а также по выплате долгосрочных вознаграждений работникам и по долговым обязательствам банка с оставшимся сроком до даты погашения свыше года (счета (их части) N N 30219, 30415, 30422, 30423, 31207, 31220, 31221, 31222, 31308, 31309, 31408, 31409, 31508, 31509, 31608, 31609, 41006, 41007, 41106, 41107, 41206, 41207, 41306, 41307, 41406, 41407, 41506, 41507, 41606, 41607, 41706, 41707, 41806, 41807, 41906, 41907, 42006, 42007, 42106, 42107, 42113, 42114, 42206, 42207, 42306, 42307, 42314, 42315, 42506, 42507, 42606, 42607, 42614, 42615, 42706, 42707, 42806, 42807, 42906, 42907, 43006, 43007, 43106, 43107, 43206, 43207, 43306, 43307, 43406, 43407, 43506, 43507, 43606, 43607, 43706, 43707, 43806, 43807, 43906, 43907, 44006, 44007, 52005, 52006, 52105, 52106, 52205, 52206, 52306, 52307, 60349) 8918 Н4 (ОД)
Вложения, удовлетворяющие требованиям, установленным в пункте 10.2 настоящей Инструкции. Вложения в акции (доли) включаются в расчет данного кода с учетом суммы отрицательной и положительной разниц по переоценке указанных акций (долей) (счета (их части) N N 50605, 50607, 50608, 50618, (50621 - 50620), 50705, 50706, 50707, 50708, 50709, 50718, (50721 - 50720), 601А, 60201, 60202, 60203, 60204) 8919 Н12 ()
Справедливая стоимость акций, полученных от эмитента в связи с увеличением им уставного капитала, в случае если указанное увеличение производилось эмитентом за счет капитализации источников собственных средств в порядке, установленном законодательством Российской Федерации, при условии, что получение данных акций не сопровождалось дополнительными вложениями денежных средств либо иного имущества банка в акции (части счетов, которые входят в расчет норматива Н12) 8920 Н12 ()
Средства на корреспондентском счете в Банке России, депозиты и прочие размещенные средства в Банке России до востребования и на один день, средства на корреспондентских счетах расчетных центров ОРЦБ в Банке России, а также средства, депонируемые уполномоченными банками в Банке России (счета (их части) N N 30102, 30221, 30224, 31901, 31902, 31903 (если день размещения депозита и прочих средств предшествует выходным и праздничным дням), 32902, а также 30104, 30106, 30125).
В расчет кода включаются остатки по перечисленным счетам с учетом требований пункта 4.4 настоящей Инструкции
8921 Н2 (Лам),
Н3 (Лат)
Минимальный совокупный остаток средств по счетам физических и юридических лиц до востребования, определенный в порядке, установленном пунктом 4.6 настоящей Инструкции (счета (их части) N N 30109, 30111, 30116, 30117, 40101, 40105, 40106, 40116, 402, 40301, 40302, 404, 405, 406, 407, 408, 41001, 41101, 41201, 41301, 41401, 41501, 41601, 41701, 41801, 41901, 42001, 42101, 42108, 42201, 42301, 42309, 42501, 42601, 42609, 42701, 42801, 42901, 43001, 43101, 43201, 43301, 43401, 43501, 43601, 43701, 43801, 43901, 44001) 8922 Н2 (Овм <*>)
Номинированные в иностранной валюте кредитные требования и требования по получению начисленных (накопленных) процентов в части, обеспеченной залогом номинированных в той же валюте государственных долговых ценных бумаг Российской Федерации, субъектов Российской Федерации, муниципальных образований Российской Федерации в размере 80 процентов справедливой стоимости ценных бумаг (счета (их части) N N 20311, 20312, 20315, 20316, 320А, 321А, 322А, 323А, 443А, 444А, 445А, 446А, 447А, 448А, 449А, 450А, 451А, 452А, 453А, 454А, 456А, 462А, 463А, 464А, 465А, 466А, 467А, 468А, 469А, 470А, 471А, 472А, 473А, 47410, 47431, 47427, 478А, 47901, 51401 - 51407, 51501 - 51507, 51601 - 51607, 51701 - 51707, 51801 - 51807, 51901 - 51907) 8923.1,
8923.2,
8923.0
Н1.1 (А),
Н1.2 (А),
Н1.0 (А)
Корректирующая совокупную величину крупных кредитных рисков расчетная величина требований банка к заемщику, возникающих в рамках сделок продажи ценных бумаг, совершаемых на возвратной основе, без прекращения признания (требования к контрагенту по возврату ценных бумаг и требования к эмитенту ценных бумаг, переданных по сделке), определяемая как сумма наименьших из двух величин по каждой сделке - кредитного риска по контрагенту по сделке и кредитного риска по эмитенту передаваемых по сделке ценных бумаг, рассчитанных в соответствии с приложением 5 к настоящей Инструкции 8924 Н7 ()
Совокупная сумма кредитных требований ко всем инсайдерам банка, кредитного риска по условным обязательствам кредитного характера, ПФИ, заключенным с инсайдерами, за вычетом сформированного резерва на возможные потери по указанным кредитным требованиям в соответствии с Положением Банка России N 590-П и Положением Банка России N 283-П, рассчитанная в порядке, аналогичном установленному главой 5 настоящей Инструкции для показателя Крз 8925 Н10.1 ()
Совокупная сумма кредитных требований банка, а также кредитного риска по условным обязательствам кредитного характера, ПФИ в отношении участников (акционеров), которые имеют право распоряжаться пятью и более процентами голосующих акций (долей) банка, за вычетом сформированного резерва на возможные потери по указанным кредитным требованиям в соответствии с Положением Банка России N 283-П и Положением Банка России N 590-П, взвешенных с учетом коэффициентов риска, установленных в отношении соответствующих активов в пункте 2.3 настоящей Инструкции 8926 Н9.1 ()
Суммы покрытых отзывных аккредитивов, а также обязательства банка-эмитента по гарантированному аккредитиву перед исполняющим и (или) подтверждающим банком в сумме осуществленных им расчетов (счета (их части) N N 40901, 40902) 8927 Н2 (Овм),
Н3 (Овт)
Обязательства исполняющего банка по покрытым безотзывным аккредитивам со сроком закрытия в течение ближайших 30 календарных дней (счета (их части) N N 40901, 40902).
Обязательства банка-эмитента по покрытым безотзывным аккредитивам сроком закрытия в течение ближайших 30 календарных дней в части, превышающей сумму покрытия, перечисленного исполняющему банку и отраженного по счетам N N 47410, 47431 (счета (их части) N N 40901, 40902)
8928 Н3 (Овт)
Минимальный совокупный остаток средств по счетам физических и юридических лиц до востребования и сроком исполнения обязательств в ближайшие 30 календарных дней, определенный в порядке, установленном пунктом 4.6 настоящей Инструкции (счета (их части) N N 30109, 30111, 30116, 30117, 40101, 40105, 40106, 40116, 402, 40301, 40302, 404, 405, 406, 407, 408, 410, 411, 412, 413, 414, 415, 416, 417, 418, 419, 420, 421, 422, 423, 425, 426, 427, 428, 429, 430, 431, 432, 433, 434, 435, 436, 437, 438, 439, 440) 8930 Н3 (Овт <*>)
Вложения в не обремененные обязательствами клиринговые сертификаты участия (за исключением учтенных по коду 8894), полученные:
при внесении активов в имущественный пул (счет (часть счета) N 90807 за минусом остатков по счету (части счета) N 91419);
по сделкам, совершаемым на возвратной основе, без первоначального признания (счет (часть счета) N 91314 за минусом остатков по счету (части счета) N 91419).
В расчет кода включаются остатки по перечисленным счетам с учетом требований пункта 4.4 настоящей Инструкции
8931 Н3 (Лат)
Кредитные требования и требования по получению начисленных (накопленных) процентов к центральным банкам или правительствам стран, имеющих страновую оценку "3", к организациям, которым в соответствии с законодательством соответствующих стран предоставлено право осуществлять заимствования от имени государства (счета (их части) N N 30211, 40308, 47427, 47901, 50108, 50109, 50110, 50118, (50121 - 50120), 50209, 50210, 50211, 50218, (50221 - 50220), 50309, 50310, 50311, 50318, 51601 - 51607, 51801 - 51807, 51901 - 51907) 8932 Н1.1 (А),
Н1.2 (А),
Н1.0 (А)
20 процентов от суммы депозитов, вкладов и прочих привлеченных средств, определенные банком как срочные, в части, превышающей неснижаемый остаток, установленный в соответствующем договоре, заключенном между банком и клиентом (части счетов: N N 41002 - 41007, 41102 - 41107, 41202 - 41207, 41302 - 41307, 41402 - 41407, 41502 - 41507, 41602 - 41607, 41702 - 41707, 41802 - 41807, 41902 - 41907, 42002 - 42007, 42102 - 42107, 42109 - 42114, 42202 - 42207, 42302 - 42307, 42310 - 42315, 42502 - 42507, 42602 - 42607, 42610 - 42615, 42702 - 42707, 42802 - 42807, 42902 - 42907, 43002 - 43007, 43102 - 43107, 43202 - 43207, 43302 - 43307, 43402 - 43407, 43502 - 43507, 43602 - 43607, 43702 - 43707, 43802 - 43807, 43902 - 43907, 44002 - 44007) 8933 Н2 (Овм),
Н3 (Овт)
Вложения кредитной организации в субординированные кредиты (займы, депозиты, облигационные займы), предоставленные кредитным организациям - резидентам, в части, уменьшающей сумму источников основного и дополнительного капитала на основании подпункта 4.2 пункта 4 приложения к Положению Банка России N 395-П (за исключением сумм, рассчитанных в соответствии с подпунктом 3.3 пункта 3 Положения Банка России N 395-П и учтенных по коду 8875 в уменьшение суммы источников добавочного капитала в соответствии с подпунктом 2.4.5 пункта 2 Положения Банка России N 395-П) и принимаемые в расчет в соответствии с порядком, предусмотренным подпунктом 8.1.1 пункта 8 Положения Банка России N 395-П 8934 Н1.0 (А)
Неденежные активы (до регистрации отчета об итогах выпуска акций), внесенные в оплату эмитируемых акций (счета (их части) N N 604А, 619А) 8936 Н1.1 (А),
Н1.2 (А)
Н1.0 (А)
Обязательства со сроком исполнения до востребования и на следующий день по возврату денежных средств по сделкам, совершаемым на возвратной основе (за исключением сделок, совершаемых с ценными бумагами, ранее полученными без первоначального признания) с высоколиквидными ценными бумагами, переданными без прекращения признания, превышающие справедливую стоимость указанных активов (счета (их части) N N 31501, 31502, 31601, 31602, 317, 318, 32901, 42309, 42609, 42701, 42801, 42901, 43001, 43101, 43201, 43301, 43401, 43501, 43601, 43701, 43801, 43901, 44001 и (или) счета (их части) N N 31503, 31603, 42702, 42802, 42902, 43002, 43102, 43202, 43302, 43402, 43502, 43602, 43702, 43802, 43902, 44002, если день привлечения указанных средств предшествует выходным и праздничным дням) 8937 Н2 (Овм)
Одинаковые (сопоставимые) по размеру встречные требования банка к кредитным организациям - корреспондентам и кредитных организаций - корреспондентов к банку сроком исполнения в течение ближайших 30 дней по счетам НОСТРО и ЛОРО (в части, вошедшей в расчет кодов 8910 и 8950), межбанковским кредитам, депозитам, прочим привлеченным (размещенным) средствам (в части требований, одинаковых (сопоставимых) по размеру и сроку, оставшемуся до даты исполнения (счета (их части) N N 30110, 30114, 30118, 30119, 32001 - 32009, 32010, 32101 - 32109, 32110, 32201 - 32209, 32301 - 32309, в части, соответствующей остаткам на счетах (их частях): N N 30109, 30111, 30116, 30117, 31301 - 31310, 31401 - 31410, 31501 - 31509, 31601 - 31609).
Код рассчитывается в отношении всех сопоставимых по размеру и срокам встречных требований банка к банку-контрагенту, срок исполнения которых наступает в течение ближайших 30 календарных дней. Если суммы встречных сопоставимых по размеру требований разные, корректировка осуществляется на сумму минимального из сопоставимых требований вне зависимости от вида валюты в рублевом эквиваленте. В расчет принимается общая сумма требований (средства на корреспондентском счете НОСТРО, размещенные межбанковские кредиты и депозиты) и общая сумма обязательств (средства на корреспондентском счете ЛОРО, привлеченные межбанковские кредиты и депозиты) в отношении одного и того же банка-корреспондента.
Сопоставимость сумм и сроков встречных требований определяется на основании профессионального суждения.
В состав кода не включаются встречные требования по сделкам с сопоставимыми суммами и сроками, хеджирующим принимаемые кредитной организацией риски (в том числе процентные и валютные). Под сделками, хеджирующими принимаемые кредитной организацией риски, в целях настоящей Инструкции понимаются сделки валютного и процентного свопа, оформленные согласно внутренним документам кредитной организации как хеджирующие
8938 Н3 (Лат, Овт)
Обязательства со сроком исполнения в течение ближайших 30 календарных дней по возврату денежных средств по сделкам, совершаемым на возвратной основе (за исключением сделок, совершаемых с ценными бумагами, ранее полученными без первоначального признания) с высоколиквидными и ликвидными ценными бумагами, переданными без прекращения признания, превышающие справедливую стоимость указанных активов (счета (их части) N N 315, 316, 317, 318, 32901, 42309 - 42315, 42609 - 42615, 427, 428, 429, 430, 431, 432, 433, 434, 435, 436, 437, 438, 439, 440) 8939 Н3 (Овт)
Обязательства банка по уплате процентов со сроком исполнения до востребования (счета (их части) N N 47411 и 47426), по процентам и купонам по выпущенным ценным бумагам (счет (часть счета) N 52501), а также проценты, начисляемые программным способом ежедневно по каждому договору нарастающим итогом с даты последнего отражения в бухгалтерском учете банка суммы начисленных процентов 8940 Н2 (Овм),
Н3 (Овт)
Требования:
а) участников клиринга (в части средств, перечисленных для исполнения и (или) обеспечения исполнения обязательств, допущенных к клирингу, в том числе в качестве индивидуального клирингового обеспечения, а также кредитные требования, возникшие по результатам клиринга) к клиринговым кредитным организациям, кредитным организациям, осуществляющим функции центрального контрагента (за исключением требований к кредитным организациям, осуществляющим функции центрального контрагента, указанных по коду 8846) и расчетным кредитным организациям;
б) клиринговых кредитных организаций, кредитных организаций, осуществляющих функции центрального контрагента, к расчетным кредитным организациям в части средств, перечисленных для исполнения и (или) обеспечения исполнения обязательств, допущенных к клирингу, в качестве индивидуального и коллективного клирингового обеспечения;
в) участников расчетов к расчетным небанковским кредитным организациям, включая средства, перечисленные в фонд поддержания ликвидности, специально созданный участниками расчетов;
г) банков-доверителей (комитентов) по брокерским операциям с ценными бумагами и другими активами в части, размещенной брокером (за исключением случая, когда в качестве брокера выступает кредитная организация) в клиринговых кредитных организациях, в кредитных организациях, осуществляющих функции центрального контрагента (за исключением требований к кредитным организациям, осуществляющим функции центрального контрагента, указанным в коде 8846), расчетных кредитных организациях, расчетных небанковских кредитных организациях;
д) банков к валютным и фондовым биржам (счета (их части) N N 30110, 30215, 30233, 30413, 30416, 30418, 30424, 30602, 322А, 47404, 47408, 47427, 50118, (50121 - 50120), 50218, (50221 - 50220), 50318, 50618, (50621 - 50620), 50718, (50721 - 50720)
8941.1,
8941.2,
8941.0
Н1.1 (А),
Н1.2 (А),
Н1.0 (А)
Величина операционного риска, рассчитанная в соответствии с требованиями Положения Банка России N 346-П 8942 Н1.1 (ОР),
Н1.2 (ОР),
Н1.0 (ОР)
Вложения в облигации единого института развития, номинированные и фондированные в рублях, а также вложения в облигации с ипотечным покрытием, номинированные и фондированные в рублях, в части, обеспеченной номинированным в рублях поручительством единого института развития (счета (их части) N N 50106, 50107, 50118, (50121 - 50120), 50207, 50208, 50218, (50221 - 50220), 50307, 50308, 50318) 8943.1,
8943.2,
8943.0
Н1.1 (А),
Н1.2 (А),
Н1.0 (А)
Банковские гарантии и поручительства, выданные банком в пользу дочерней организации - эмитента еврооблигаций (счет (часть счета) N 91315), в размере, не превышающем совокупный объем привлеченных в результате эмиссии еврооблигаций от юридических лиц - нерезидентов средств, учитываемых на депозитных счетах компании-эмитента в банке-гаранте (счета (их части) N N 42502 - 42507) 8944 КРВ
Кредитные требования и требования по получению начисленных (накопленных) процентов в части, обеспеченной:
гарантийным депозитом (вкладом);
номинированными в той же валюте, что и требование собственными долговыми ценными бумагами банка-кредитора, находящимися в залоге (в виде заклада), в размере 80 процентов справедливой стоимости ценных бумаг, а также указанными ценными бумагами, учтенными на счетах депо в соответствии с Положением Банка России N 503-П, в отношении которых зафиксировано (зарегистрировано) право залога при наличии в депозитарном договоре условия о том, что в случае прекращения залога фиксация (регистрация) факта снятия ограничения операций с ценными бумаги осуществляется на основании соответствующего поручения, подписанного залогодержателем;
залогом золота в слитках в хранилищах банка;
а также требования по возврату ценных бумаг (в том числе клиринговых сертификатов участия), переданных без прекращения признания по сделкам, совершаемым на возвратной основе, обеспеченные денежными средствами в той же валюте, что и переданные ценные бумаги (в том числе клиринговые сертификаты участия), полученными в рамках договоров, удовлетворяющих требованиям подпункта 2.6.1 пункта 2.6 настоящей Инструкции (счета (их части) N N 20311, 20312, 20315, 20316, 320А, 321А, 322А, 323А, 32902, 442А, 443А, 444А, 445А, 446А, 447А, 448А, 449А, 450А, 451А, 452А, 453А, 454А, 455А, 456А, 457А, 461А, 462А, 463А, 464А, 465А, 466А, 467А, 468А, 469А, 470А, 471А, 472А, 473А, 47408, 47410, 47431, 47427, 478А, 47901, 50118, (50121 - 50120), 50218, (50221 - 50220), 50318, 50618, (50621 - 50620), 50718, (50721 - 50720), 51201 - 51207, 51301 - 51307, 5140 - 51407, 51501 - 51507, 51601 - 51607, 51701 - 51707, 51801 - 51807, 51901 - 51907)
8945.1,
8945.2,
8945.0
Н1.1 (А),
Н1.2 (А),
Н1.0 (А)
Кредитные требования и требования по получению начисленных (накопленных) процентов в части, обеспеченной гарантиями (поручительствами, резервными аккредитивами), полученными (выставленными) от кредитных организаций (кредитными организациями), не имеющих (не имеющими) рейтингов долгосрочной кредитоспособности, присвоенных иностранными кредитными рейтинговыми агентствами, и являющихся (являющимися) резидентами стран, имеющих страновую оценку "0", "1", или стран с высоким уровнем доходов, являющихся членами ОЭСР и (или) Еврозоны, а также от кредитных организаций - резидентов (кредитными организациями - резидентами) стран, имеющих страновую оценку "2" (счета (их части) N N 20311, 20312, 20315, 20316, 320А, 321А, 322А, 323А, 442А, 443А, 444А, 445А, 446А, 447А, 448А, 449А, 450А, 451А, 452А, 453А, 454А, 455А, 456А, 457А, 461А, 462А, 463А, 464А, 465А, 466А, 467А, 468А, 469А, 470А, 471А, 472А, 473А, 47410, 47431, 47427, 478А, 47901, 50106, 50107, 50109, 50110, 50118, (50121 - 50120), 50207, 50208, 50210, 50211, 50218, (50221 - 50220), 50307, 50308, 50310, 50311, 50318, 51401 - 51407, 51501-51507, 51701 - 51707, 51801 - 51807, 51901 - 51907) 8946.1,
8946.2,
8946.0
Н1.1 (А),
Н1.2 (А),
Н1.0 (А)
Остатки на отдельных лицевых счетах (части счетов) N N 30110 и 30114, открытых для целей оплаты акций банка в иностранной валюте при увеличении уставного капитала и действующих в режиме накопительных счетов кредитных организаций со специальным режимом при выпуске акций 8947 Н1.1 (А),
Н1.2 (А),
Н1.0 (А)
Совокупная сумма требований банка к своим акционерам (участникам) и инсайдерам, превышающая ограничения, установленные нормативами Н6, Н9.1 и Н10.1, за вычетом резерва, сформированного в соответствии с Положением Банка России N 590-П, Положением Банка России N 283-П, уменьшающая сумму основного и дополнительного капитала в соответствии с подпунктом 5.1 пункта 5 приложения к Положению Банка России N 395-П (за исключением сумм, рассчитанных в соответствии с подпунктом 3.3 пункта 3 Положения Банка России N 395-П и учтенных по коду 8875 в уменьшение суммы источников добавочного капитала в соответствии с подпунктом 2.4.5 пункта 2 Положения Банка России N 395-П) и принимаемая в расчет в соответствии с порядком, предусмотренным подпунктом 8.1.1 пункта 8 Положения Банка России N 395-П 8948 Н1.0 (А)
Совокупная сумма требований банка к своим акционерам (участникам) и инсайдерам, превышающая ограничения, установленные нормативами Н6, Н9.1 и Н10.1, за вычетом резерва, сформированного в соответствии с Положением Банка России N 590-П, Положением Банка России N 283-П, уменьшающая сумму основного и дополнительного капитала в соответствии с подпунктом 4.2.1 пункта 4 Положения Банка России N 395-П (за исключением сумм, рассчитанных в соответствии с подпунктом 3.3 пункта 3 Положения Банка России N 395-П и учтенных по коду 8875 в уменьшение суммы источников добавочного капитала в соответствии с подпунктом 2.4.5 пункта 2 Положения Банка России N 395-П) и принимаемая в расчет в соответствии с порядком, предусмотренным подпунктом 8.1 пункта 8 Положения Банка России N 395-П 8948.0 Н1.0 (А)
Суммы займов, полученных в качестве промежуточного финансирования в целях рефинансирования портфелей ипотечных кредитов от Агентства, удовлетворяющего требованиям абзаца четвертого графы 1 строки кода 8850, включаются в расчет настоящего кода независимо от срока их погашения при одновременном выполнении условий:
договор займа заключен с условием использования заемщиком полученных средств на определенные цели (для выдачи и (или) приобретения ипотечных кредитов, подлежащих рефинансированию) и предусмотрено ежемесячное подтверждение заемщиком Агентству целевого использования займа;
суммы займов не превышают определенный в договоре об организации выпуска облигаций с ипотечным покрытием объем обязательств Агентства по выкупу первого по очередности погашения выпуска облигаций с ипотечным покрытием;
Агентство ежеквартально в письменной форме подтверждает банку, получающему промежуточное финансирование в целях рефинансирования портфеля ипотечных кредитов, которые подлежат включению в состав ипотечного покрытия облигаций (далее - банк-оригинатор), отсутствие у Агентства оснований для одностороннего отказа от исполнения обязательства по выкупу первого по очередности погашения выпуска облигаций с ипотечным покрытием;
у банка-оригинатора отсутствуют обязательства, возникающие из любых сделок, по обратному выкупу у Агентства первого по очередности погашения выпуска облигаций с ипотечным покрытием;
срок обращения планируемых к выпуску облигаций с ипотечным покрытием превышает 1 год;
депозитарий, осуществляющий учет прав на имущество, которое будет составлять ипотечное покрытие, и (или) хранение документов, которыми подтверждены обеспеченные ипотекой требования и права на иное имущество банка-оригинатора, до их включения в ипотечное покрытие по облигациям, удовлетворяет одному из критериев, перечисленных в пункте 1.2 Указания Банка России N 2732-У.
В случае погашения займа, полученного от Агентства в рамках договора о предоставлении промежуточного финансирования, сумма займа включается банком-оригинатором в расчет данного кода до 30 календарных дней после погашения займа, но не позднее даты выпуска облигаций с ипотечным покрытием, при условии, что погашение займа осуществлено в срок, указанный первоначально в договоре о предоставлении промежуточного финансирования, либо более поздний срок
8949 Н4 (ОД)
Средства на корреспондентских счетах в кредитных организациях - резидентах, Внешэкономбанке и в банках-резидентах стран, имеющих страновую оценку "2" и выше, а также стоимость драгоценных металлов, учет которых ведется на металлических счетах в указанных банках, за исключением остатков на отдельных лицевых счетах, действующих в режиме накопительных для оплаты уставных капиталов кредитных организаций иностранной валютой, а также незавершенные расчеты по корреспондентским счетам, открытым в указанных банках (за исключением включенных в расчет кода 8910) (счета (их части) N N 30110, 30114, 30118, 30119, 30221).
В расчет кода включаются остатки по перечисленным счетам с учетом требований пункта 4.4 настоящей Инструкции
8950 Н3 (Лат)
Балансовая стоимость имущества, переданного в качестве обеспечения исполнения обязательств за третьих лиц.
Данные коды заполняются в том случае, если величина кредитного риска по имуществу, переданному в качестве обеспечения исполнения обязательств за третьих лиц, рассчитанная в соответствии с пунктом 2.3 настоящей Инструкции, меньше величины кредитного риска по условному обязательству кредитного характера, рассчитанной в соответствии с пунктом 9 приложения 2 к настоящей Инструкции.
Балансовая стоимость указанного имущества не включается в I - III группы активов
8952.1,
8952.2,
8952.0
Н1.1 (А),
Н1.2 (А),
Н1.0 (А)
Кредитные требования и требования по получению начисленных (накопленных) процентов к кредитным организациям, имеющим рейтинги долгосрочной кредитоспособности, присвоенные иностранными кредитными рейтинговыми агентствами, и являющимся резидентами стран, имеющих страновые оценки "0", "1", или стран с высоким уровнем доходов, являющихся членами ОЭСР и (или) Еврозоны (счета (их части) N N 20316, 30114, 30119, 30221, 30233, 30427, 30602, 321А, 323А, 456А, 473А, 47408, 47410, 47423, 47427, 478А, 47901, 50109, 50118, (50121 - 50120), 50210, 50218, (50221 - 50220), 50310, 50318, 50618, (50621 - 50620), 50718, (50721 - 50720), 51801 - 51807) 8953.1,
8953.2,
8953.0
Н1.1 (А),
Н1.2 (А),
Н1.0 (А)
Кредитные требования и требования по получению начисленных (накопленных) процентов к кредитным организациям, не имеющим рейтингов долгосрочной кредитоспособности, присвоенных иностранными кредитными рейтинговыми агентствами, и являющимся резидентами стран, имеющих страновую оценку "0", "1", или стран с высоким уровнем доходов, являющихся членами ОЭСР и (или) Еврозоны, а также к кредитным организациям - резидентам стран, имеющих страновую оценку "2" (счета (их части) N N 20316, 30114, 30119, 30221, 30233, 30427, 30602, 321А, 323А, 456А, 473А, 47408, 47410, 47423, 47427, 478А, 47901, 50109, 50118, (50121 - 50120), 50210, 50218, (50221 - 50220), 50310, 50318, 50618, (50621 - 50620), 50718, (50721 - 50720), 51801 - 51807) 8954.1,
8954.2,
8954.0
Н1.1 (А),
Н1.2 (А),
Н1.0 (А)
Собственные векселя банка-кредитора по предъявлении и к исполнению, находящиеся во владении залогодержателя - банка-кредитора (заклад) по кредиту (гарантии, поручительству), в обеспечение обязательств по которому приняты указанные векселя, в период с момента заклада указанных векселей по договору залога (после передачи предмета залога по акту приема-передачи) до момента обратной их передачи в связи с окончанием договора залога (счета (их части) N N 52301, 52406, 52501) 8955 Н2 (Овм)
Кредитные требования к связанным с банком лицам, за исключением требований к кредитным организациям - участникам банковской группы, в состав которой входит банк-кредитор, а также требований к связанным с банком лицам, являющимся лизинговыми и факторинговыми компаниями.
Отнесение физических и юридических лиц к связанным с банком лицам осуществляется на основании критериев, определенных абзацем третьим статьи 64 и статьей 64.1 Федерального закона "О Центральном банке Российской Федерации (Банке России)".
Кредитные требования к связанным с банком лицам не включаются в расчет I - III групп активов.
Кредитные требования к связанным с банком лицам, включенные в V группу активов и коды 8738, 8753.1, 8753.2, 8753.0, 8764, 8765, 8766, 8767, 8792.1, 8792.2, 8792.0, 8839, 8863.2, 8860, 8860.x, 8861, 8861.x, 8862, 8862.x, 8864, 8864.x, 8865, 8865.x, не включаются в расчет данного кода.
В расчет данных кодов не включаются требования по получению начисленных (накопленных) процентов по кредитным требованиям к связанным с банком лицам, а также кредитные требования, по которым кредитный риск рассчитывается на основе ПВР
8956.1,
8956.2,
8956.0
Н1.1 (А),
Н1.2 (А),
Н1.0 (А)
(в ред. Указаний ЦБ РФ от 06.12.2017 N 4635-У, от 04.07.2018 N 4851-У)
Сумма кредитных требований к связанным с банком лицам, указанным в строке кода 8956, взвешенных по уровню риска, умноженная на коэффициент 1,3 8957.1,
8957.2,
8957.0
Н1.1 (А),
Н1.2 (А),
Н1.0 (А)
Кредитные требования и требования по получению начисленных (накопленных) процентов в части, обеспеченной гарантиями (поручительствами, резервными аккредитивами), полученными (выставленными) от кредитных организаций (кредитными организациями), имеющих (имеющими) рейтинги долгосрочной кредитоспособности, присвоенные иностранными кредитными рейтинговыми агентствами, и являющихся (являющимися) резидентами стран, имеющих страновые оценки "0", "1", или стран с высоким уровнем доходов, являющихся членами ОЭСР и (или) Еврозоны (счета (их части) N N 20311, 20312, 20315, 20316, 320А, 321А, 322А, 323А, 442А, 443А, 444А, 445А, 446А, 447А, 448А, 449А, 450А, 451А, 452А, 453А, 454А, 455А, 456А, 457А, 461А, 462А, 463А, 464А, 465А, 466А, 467А, 468А, 469А, 470А, 471А, 472А, 473А, 47410, 47431, 47427, 478А, 47901, 50106, 50107, 50109, 50110, 50118, (50121 - 50120), 50207, 50208, 50210, 50211, 50218, (50221 - 50220), 50307, 50308, 50310, 50311, 50318, 51401 - 51407, 51501 - 51507, 51701 - 51707, 51801 - 51807, 51901 - 51907) 8959.1,
8959.2,
8959.0
Н1.1 (А),
Н1.2 (А),
Н1.0 (А)
Номинированные и (или) фондированные в иностранной валюте кредитные требования и требования по получению начисленных (накопленных) процентов к Российской Федерации, федеральным органам исполнительной власти, в том числе Министерству финансов Российской Федерации, субъектам Российской Федерации, муниципальным образованиям Российской Федерации, Банку России (счета (их части) N N 32902 (в части требований по возврату ценных бумаг, номинированных в иностранной валюте, переданных по сделкам на возвратной основе), 441А, 442А, 460А, 461А, 47431, 47427, 47802, 47803, 47901, 50104, 50105, 50116, 50118, (50121 - 50120), 50205, 50206, 50214, 50218, (50221 - 50220), 50305, 50306, 50313, 50318, 50618, (50621 - 50620), 50718, (50721 - 50720), 51201 - 51207, 51301 - 51307) 8960.1,
8960.2,
8960.0
Н1.1 (А),
Н1.2 (А),
Н1.0 (А)
Процентные доходы (включая просроченные) по ценным бумагам (в том числе векселям) (счета (их части) N N 50104 - 50118, 50205 - 50218, 50305 - 50318, 50505, 512А, 513А, 514А, 515А, 516А, 517А, 518А, 519А, 52503) 8961 Н1.1 (Кф),
Н1.2 (Кф),
Н1.0 (Кф)
Наличные денежные средства (в том числе в иностранной валюте), золото в хранилищах банка (счета (их части) N N 202, 20302) 8962 Н1.1 (А),
Н1.2 (А),
Н1.0 (А),
Н2 (Лам),
Н3 (Лат)
Справедливая стоимость акций (долей) юридических лиц, по которым рассчитывается норматив Н12, переданных в доверительное управление, а также размещенных банком с предоставлением контрагенту права отсрочки платежа по стоимости на дату размещения за вычетом поступивших на дату расчета от контрагента денежных средств и резерва на возможные потери, сформированного в соответствии с требованиями Положения Банка России N 590-П (счета (их части) N N 47408, 47901) 8963 Н12 ()
Номинированные и фондированные в рублях кредитные требования и требования по получению начисленных (накопленных) процентов к банкам-резидентам, к Внешэкономбанку сроком размещения до 90 календарных дней (счета (их части) N N 30110 (за исключением средств, отраженных по коду 8947), 30221, 30233, 30427, 30602, 32001 - 32005, 32010, 32201 - 32205, 47408, 47423, 47427, 47431, 478А, 47901, 50106, 50118, (50121 - 50120), 50207, 50218, (50221 - 50220), 50307, 50318, 50618, (50621 - 50620), 50718, (50721 - 50720), 51401 - 51403) 8964.1,
8964.2,
8964.0
Н1.1 (А),
Н1.2 (А),
Н1.0 (А)
Собственные векселя банка-кредитора по предъявлении и к исполнению, находящиеся во владении залогодержателя - банка-кредитора (заклад), при условии, что срок исполнения обязательств по кредиту (гарантии, поручительству), в обеспечение обязательств по которому приняты указанные векселя, превышает 30 календарных дней, в период с момента заклада указанных векселей по договору залога (после передачи предмета залога по акту приема-передачи) до даты, наступающей за 30 календарных дней до срока окончания договора залога (счет (часть счета) N N 52301, 52406, 52501) 8965 Н3 (Овт)
Кредитные требования и требования по получению начисленных (накопленных) процентов, номинированные и (или) фондированные в иностранной валюте, а также кредитные требования в виде предоставленных (размещенных) драгоценных металлов и требования по получению начисленных (накопленных) процентов в части, обеспеченной гарантиями Российской Федерации, федеральных органов исполнительной власти, в том числе Министерства финансов Российской Федерации, субъектов Российской Федерации, муниципальных образований Российской Федерации, банковскими гарантиями Банка России, а также кредитные требования и требования по получению начисленных (накопленных) процентов при наличии договора страхования экспортных кредитов и инвестиций, обеспеченного номинированными в иностранной валюте гарантиями Внешэкономбанка, выданными в соответствии с постановлением Правительства Российской Федерации N 964, исполнение обязательств по которым обеспечено государственными гарантиями, выданными в соответствии с бюджетным законодательством Российской Федерации (счета (их части) N N 20311, 20312, 20315, 20316, 320А, 321А, 322А, 323А, 443А, 444А, 445А, 446А, 447А, 448А, 449А, 450А, 451А, 452А, 453А, 454А, 456А, 462А, 463А, 464А, 465А, 466А, 467А, 468А, 469А, 470А, 471А, 472А, 473А, 47410, 47431, 47427, 478А, 47901, 50106, 50107, 50118, (50121 - 50120), 50207, 50208, 50218, (50221 - 50220), 50307, 50308, 50318, 51401 - 51407, 51501 - 51507, 51601 - 51607, 51701 - 51707, 51801 - 51807, 51901 - 51907) 8966 Н1.1 (А),
Н1.2 (А),
Н1.0 (А)
Требования банка со сроком исполнения не позднее чем на следующий операционный день по получению начисленных (накопленных) процентов по активам, в отношении которых не предъявляются требования по определению расчетных резервов и формированию резервов на возможные потери в соответствии с Положением Банка России N 590-П и Положением Банка России N 283-П, по активам I и II категории качества в соответствии с Положением Банка России N 590-П и Положением Банка России N 283-П, участвующим в расчете высоколиквидных активов (счет N 47427), а также проценты по указанным активам, начисляемые программным способом ежедневно по каждому договору нарастающим итогом с даты последнего отражения в бухгалтерском учете банка суммы начисленных процентов и не отраженные на балансе (при расчете на внутримесячные даты) 8967 Н2 (Лам),
Н3 (Лат)
Суммы, депонированные в учреждениях Банка России для получения следующим днем наличных денежных средств и золота (счет (часть счета) N 47423) 8969 Н1.1 (А),
Н1.2 (А),
Н1.0 (А),
Н2 (Лам),
Н3 (Лат)
Просроченная свыше 30 календарных дней дебиторская задолженность, учитываемая на счетах N N 474А (кроме счетов N N 47402, 47408, 47423, 47427), 603А (кроме счетов N N 60312, 60314, 60315, 60323, 60337, 60339, 60341, 60343, 60347), за вычетом сформированного в соответствии с внутренними документами банка резерва на возможные потери в части, уменьшающей сумму источников основного и дополнительного капитала на основании подпункта 4.1 пункта 4 приложения к Положению Банка России N 395-П (за исключением сумм, рассчитанных в соответствии с подпунктом 3.3 пункта 3 Положения Банка России N 395-П и учтенных по коду 8875 в уменьшение суммы источников добавочного капитала в соответствии с подпунктом 2.4.5 пункта 2 Положения Банка России N 395-П) и принимаемой в расчет в соответствии с порядком, предусмотренным подпунктом 8.1.1 пункта 8 Положения Банка России N 395-П 8970 Н1.0 (А)
Просроченная свыше 30 календарных дней дебиторская задолженность, учитываемая на счетах N N 474А (кроме счетов N N 47402, 47408, 47423, 47427), 603А (кроме счетов N N 60312, 60314, 60315, 60323, 60337, 60339, 60341, 60343, 60347), за минусом резерва на возможные потери, сформированного в соответствии с требованиями Положения Банка России N 283-П, в части, уменьшающей сумму источников основного и дополнительного капитала на основании подпункта 4.1 пункта 4 Положения Банка России N 395-П (за исключением сумм, рассчитанных в соответствии с подпунктом 3.3 пункта 3 Положения Банка России N 395-П и учтенных по коду 8875 в уменьшение суммы источников добавочного капитала в соответствии с подпунктом 2.4.5 пункта 2 Положения Банка России N 395-П), и принимаемая в расчет в соответствии с порядком, предусмотренным подпунктом 8.1 пункта 8 Положения Банка России N 395-П 8970.0 Н1.0 (А)
Показатель, уменьшающий сумму основного и дополнительного капитала в соответствии с подпунктом 5.2 пункта 5 приложения к Положению Банка России N 395-П.
Код 8971 заполняется с учетом порядка, предусмотренного подпунктом 8.1.1 пункта 8 Положения Банка России N 395-П
8971 Н1.0 (А)
Показатель, уменьшающий сумму основного и дополнительного капитала в соответствии с подпунктом 4.2.2 пункта 4 Положения Банка России N 395-П.
Код 8971.0 заполняется с учетом порядка, предусмотренного подпунктом 8.1 пункта 8 Положения Банка России N 395-П
8971.0 Н1.0 (А)
Вложения в не обремененные обязательствами долговые обязательства Российской Федерации, Европейского банка реконструкции и развития и иностранных государств, имеющих страновые оценки "0", "1", или стран с высоким уровнем доходов, являющихся членами ОЭСР и (или) Еврозоны, и облигации Банка России (включая находящиеся в разделе "Блокировано Банком России"), долговые обязательства Международного банка реконструкции и развития, Международной финансовой корпорации, оцениваемые по справедливой стоимости через прибыль или убыток и (или) имеющиеся в наличии для продажи, по которым может быть определена справедливая стоимость или формируются резервы на возможные потери в соответствии с Положением Банка России N 283-П (счета (их части) N N 50104, 50108, 50109, 50110, 50116, (50121 - 50120), 50205, 50209, 50210, 50211, 50214, (50221 - 50220).
В расчет кода включаются остатки по перечисленным счетам с учетом требований пункта 4.4 настоящей Инструкции.
Стоимость указанных в настоящем коде ценных бумаг, предоставленных банком в залог по кредитам до востребования и на один день, привлеченным от Банка России и (или) банков-контрагентов, превышающая сумму обязательств банка по указанным кредитам.
Ценные бумаги, полученные по сделкам, совершаемым на возвратной основе, без первоначального признания, а также облигации федерального займа, полученные в соответствии с Федеральным законом от 29 декабря 2014 года N 451-ФЗ "О внесении изменений в статью 11 Федерального закона "О страховании вкладов физических лиц в банках Российской Федерации" и статью 46 Федерального закона "О Центральном банке Российской Федерации (Банке России)" (Собрание законодательства Российской Федерации, 2015, N 1, ст. 4; N 17, ст. 2473; 2016, N 27, ст. 4273), включаются в расчет данного кода при наличии в условиях договоров по указанным сделкам и (или) правилах организованных торгов возможности их реализации (передачи без прекращения признания по сделкам, совершаемым на возвратной основе) до наступления срока исполнения обязательств по их обратной продаже (счет (часть счета) N 91314 за минусом остатков по счету (части счета) N 91419).
Стоимость указанных в данном коде ценных бумаг, переданных без прекращения признания, по сделкам, совершаемым на возвратной основе, превышающая сумму обязательств по возврату денежных средств по указанным операциям со сроком исполнения до востребования и (или) на следующий день (счета (их части) N N 50118, (50121 - 50120), 50218, (50221 - 50220).
В данный код не включаются указанные в нем ценные бумаги, переданные в имущественный пул
8972 Н2 (Лам),
Н3 (Лат)
Номинированные и фондированные в рублях кредитные требования и требования по получению начисленных (накопленных) процентов в части, обеспеченной номинированными в рублях гарантиями Российской Федерации, Министерства финансов Российской Федерации, банковскими гарантиями Банка России (счета (их части) N N 320А, 321А, 322А, 323А, 442А, 443А, 444А, 445А, 446А, 447А, 448А, 449А, 450А, 451А, 452А, 453А, 454А, 455А, 456А, 462А, 463А, 464А, 465А, 466А, 467А, 468А, 469А, 470А, 471А, 472А, 473А, 47410, 47431, 47427, 478А, 47901, 50105, 50106, 50107, 50118, (50121 - 50120), 50206, 50207, 50208, 50218, (50221 - 50220), 50306, 50307, 50308, 50318, 51201 - 51207, 51301 - 51307, 51401 - 51407, 51501 - 51507, 51601 - 51607, 51701 - 51707, 51801 - 51807, 51901 - 51907).
В расчет данного кода не включаются кредитные требования, которые удовлетворяют требованиям кода 8891
8973 Н1.1 (А),
Н1.2 (А),
Н1.0 (А)
Номинированные и фондированные в рублях кредитные требования и требования по получению начисленных (накопленных) процентов в части, обеспеченной залогом номинированных в рублях государственных долговых ценных бумаг Российской Федерации, долговых ценных бумаг Министерства финансов Российской Федерации, Банка России, в размере 80 процентов справедливой стоимости указанных ценных бумаг (счета (их части) N N 320А, 321А, 322А, 323А, 442А, 443А, 444А, 445А, 446А, 447А, 448А, 449А, 450А, 451А, 452А, 453А, 454А, 455А, 456А, 457А, 461А, 462А, 463А, 464А, 465А, 466А, 467А, 468А, 469А, 470А, 471А, 472А, 473А, 47410, 47431, 47427, 478А, 47901, 51201 - 51207, 51301 - 51307, 51401 - 51407, 51501 - 51507, 51601 - 51607, 51701 - 51707, 51801 - 51807, 51901 - 51907) 8974.1,
8974.2,
8974.0
Н1.1 (А),
Н1.2 (А),
Н1.0 (А)
Кредитные требования и требования по получению начисленных (накопленных) процентов в части, обеспеченной гарантиями (поручительствами, резервными аккредитивами) правительств или центральных банков стран, имеющих страновую оценку "2", в размере 80 процентов справедливой стоимости ценных бумаг, организаций, которые в соответствии с законодательством соответствующих стран приравнены к гарантиям (поручительствам, резервным аккредитивам) правительств или центральных банков указанных стран, а также кредитные требования и требования по получению начисленных (накопленных) процентов в части, обеспеченной залогом номинированных в той же валюте, что и требование долговых ценных бумаг центральных банков или государственных долговых ценных бумаг стран, имеющих страновую оценку "2", в размере 80 процентов справедливой стоимости ценных бумаг (счета (их части) N N 20311, 20312, 20315, 20316, 320А, 321А, 322А, 323А, 442А, 443А, 444А, 445А, 446А, 447А, 448А, 449А, 450А, 451А, 452А, 453А, 454А, 462А, 463А, 464А, 465А, 466А, 467А, 468А, 469А, 470А, 471А, 472А, 473А, 47410, 47431, 47427, 478А, 47901, 50106, 50107, 50109, 50110, 50118, (50121 - 50120), 50207, 50208, 50210, 50211, 50218, (50221 - 50220), 50307, 50308, 50310, 50311, 50318, 51401 - 51407, 51501 - 51507, 51701 - 51707, 51801 - 51807, 51901 - 51907) 8975.1,
8975.2,
8975.0
Н1.1 (А),
Н1.2 (А),
Н1.0 (А)
Кредитные требования и требования по получению начисленных (накопленных) процентов к международным финансовым организациям (Банк международных расчетов, Международный валютный фонд, Европейский центральный банк) и международным банкам развития (Всемирный банк (Международный банк реконструкции и развития, Международная финансовая корпорация, Многостороннее агентство по гарантированию инвестиций), Азиатский банк развития, Африканский банк развития, Европейский банк реконструкции и развития, Межамериканский банк развития, Европейский инвестиционный банк, Северный инвестиционный банк, Карибский банк развития, Исламский банк развития, Банк развития при Совете Европы, Европейский инвестиционный фонд), кредитные требования и требования по получению начисленных (накопленных) процентов в части, обеспеченной гарантиями (поручительствами, резервными аккредитивами) указанных международных финансовых организаций, гарантиями (банковскими гарантиями) указанных международных банков развития, а также залогом долговых ценных бумаг указанных международных финансовых организаций и международных банков развития в размере 80 процентов справедливой стоимости ценных бумаг (счета (их части) N N 20311, 20312, 20315, 20316, 30114, 30119, 30427, 320А, 321А, 322А, 323А, 441А, 442А, 443А, 444А, 445А, 446А, 447А, 448А, 449А, 450А, 451А, 452А, 453А, 454А, 456А, 462А, 463А, 464А, 465А, 466А, 467А, 468А, 469А, 470А, 471А, 472А, 473А, 47410, 47431, 47427, 478А, 47901, 50106, 50107, 50109, 50110, 50118, (50121 - 50120), 50207, 50208, 50210, 50211, 50218, (50221 - 50220), 50307, 50308, 50310, 50311, 50318, 51401 - 51407, 51501 - 51507, 51701 - 51707, 51801 - 51807, 51901 - 51907) 8976 Н1.1 (А),
Н1.2 (А),
Н1.0 (А)
Минимальный совокупный остаток средств по счетам со сроком исполнения обязательств до 365 календарных дней и счетам до востребования физических и юридических лиц, определенный в порядке, установленном пунктом 4.6 настоящей Инструкции (счета (их частей) N N 30109, 30111, 30116, 30117, 40101, 40105, 40106, 40116, 402, 40301, 40302, 404, 405, 406, 407, 408, 410, 411, 412, 413, 414, 415, 416, 417, 418, 419, 420, 421, 422, 423, 425, 426, 427, 428, 429, 430, 431, 432, 433, 434, 435, 436, 437, 438, 439, 440 в части счетов (их частей), не вошедших в расчет показателя ОД) 8978 Н4 (О <*>)
Кредитные требования и требования по получению начисленных (накопленных) процентов (в том числе просроченные) к центральным банкам или правительствам стран, имеющих страновую оценку "7", к организациям, которым в соответствии с законодательством соответствующих стран предоставлено право осуществлять заимствования от имени государства, к кредитным организациям - резидентам указанных стран (счета (их части) N N 20316, 20318, 20320, 30114, 30119, 30211, 30221, 30233, 30602, 321А, 323А, 32402, 32502, 40308, 456А, 45816, 45916, 473А, 47408, 47410, 47423, 47427, 478А, 47901, 50108, 50109, 50110, 50118, (50121 - 50120), 50209, 50210, 50211, 50218, (50221 - 50220), 50309, 50310, 50311, 50318, 50607, 50618, (50621 - 50620), 50707, 50709, 50718, (50721 - 50720), 51601 - 51609, 51701 - 51709, 51801 - 51809, 51901 - 51909) 8980.1,
8980.2,
8980.0
Н1.1 (А),
Н1.2 (А),
Н1.0 (А)
Вычитаемые из IV группы активов ценные бумаги, полученные по сделкам, совершаемым на возвратной основе, реализованные и приобретенные до наступления даты расчетов по обратной части операции (счета (их части) N N 50104 - 50116, (50121 - 50120), 50205 - 50214, (50221 - 50220), 50305 - 50313, 50605 - 50608, (50621 - 50620), 50705 - 50709, (50721 - 50720).
Требования, указанные в данном коде, не включаются в расчет I - III и V групп активов
8981 Н1.1 (А),
Н1.2 (А),
Н1.0 (А)
Сформированный резерв по инвестициям, удовлетворяющим требованиям, установленным в пункте 10.2 настоящей Инструкции, в том числе счета (их части) N N 50719, 60105, 60206 8982 Н12 ()
Требования банка сроком исполнения в течение ближайших 30 календарных дней по вложениям в не обремененные обязательствами ценные бумаги эмитентов, указанных в абзацах восьмом - двадцать первом графы 1 строки кода 8989 и в строке кода 8995, находящиеся в залоге у банка-кредитора или у Банка России в период отсутствия у банка-заемщика задолженности по предоставленному кредиту и при наличии в договоре залога условия, предусматривающего возможность возврата банком-кредитором или Банком России ценных бумаг в течение двух операционных дней с момента их востребования (при условии, что финансовое положение банка-кредитора, которому указанные ценные бумаги предоставлены в залог, оценивается как хорошее в соответствии с Положением Банка России N 590-П) (счета (их части) N N 50104 - 50110, 50116, (50121 - 50120), 50205 - 50211, 50214, (50221 - 50220), 50605, 50606, (50621 - 50620), 50705, 50706, 50709, (50721 - 50720).
Долговые обязательства, входящие в Ломбардный список Банка России, стран, имеющих страновые оценки "0", "1", или стран с высоким уровнем доходов, являющихся членами ОЭСР и (или) Еврозоны, Международного банка реконструкции и развития, Международной финансовой корпорации и Европейского банка реконструкции и развития включаются в расчет данного кода независимо от срока, оставшегося до их погашения.
Ценные бумаги, полученные по сделкам, совершаемым на возвратной основе, без первоначального признания, включаются в расчет данного кода при наличии в договоре условия о возможности их реализации до наступления срока исполнения обязательств по их обратной продаже (счет (часть счета) N 91314)
8984 Н3 (Лат)
Кредитные требования и требования по получению начисленных (накопленных) процентов в части, обеспеченной гарантиями (поручительствами, резервными аккредитивами) правительств или центральных банков стран, имеющих страновую оценку "3", в размере 80 процентов справедливой стоимости ценных бумаг, организаций, которые в соответствии с законодательством соответствующих стран приравнены к гарантиям (поручительствам, резервным аккредитивам) правительств или центральных банков указанных стран, а также кредитные требования и требования по получению начисленных (накопленных) процентов в части, обеспеченной залогом номинированных в той же валюте, что и требование долговых ценных бумаг центральных банков или государственных долговых ценных бумаг стран, имеющих страновую оценку "3", в размере 80 процентов справедливой стоимости ценных бумаг (счета (их части) N N 20311, 20312, 20315, 20316, 320А, 321А, 322А, 323А, 442А, 443А, 444А, 445А, 446А, 447А, 448А, 449А, 450А, 451А, 452А, 453А, 454А, 456А, 462А, 463А, 464А, 465А, 466А, 467А, 468А, 469А, 470А, 471А, 472А, 473А, 47410, 47431, 47427, 478А, 47901, 50106, 50107, 50109, 50110, 50118, (50121 - 50120), 50207, 50208, 50210, 50211, 50218, (50221 - 50220), 50307, 50308, 50310, 50311, 50318, 51401 - 51407, 51501 - 51507, 51701 - 51707, 51801 - 51807, 51901 - 51907) 8985.1,
8985.2,
985.0
Н1.1 (А),
Н1.2 (А),
Н1.0 (А)
Прочие размещенные средства в части требований банка к контрагенту по сделкам, совершаемым на возвратной основе с ценными бумагами, полученными без первоначального признания, по возврату денежных средств по второй части сделки (счета (их части) N N 322А, 323А, 32902, 460А - 473А).
Данный код используется для устранения двойного учета операций, совершаемых на возвратной основе с ценными бумагами, полученными без первоначального признания
8987 Н3 (Лат)
Требования банка сроком исполнения в течение ближайших 30 календарных дней.
В расчет кода включаются остатки по нижеперечисленным счетам с учетом требований пункта 4.4 настоящей Инструкции в части, в которой они планируются банком к получению в соответствии с договором в форме, позволяющей отнести их к ликвидным активам:
а) кредиты, депозиты и депозитные счета в драгоценных металлах (счета (их части) N N 20311, 20312, 20315, 20316);
б) требования к Банку России, а также к банкам (за исключением включенных в расчет кода 8921) (счета (их части) N N 31905 - 31909, 32005 - 32009, 32105 - 32109, 32205 - 32209, 32305 - 32309, 32902);
в) суммы переплаты, подлежащие возврату банку на данную отчетную дату из фонда обязательных резервов (счета (их части) N N 30202, 30204, 30211, 30238);
г) кредиты, депозиты и прочие размещенные средства (счета (их части) N N 30427, 40308, 44104 - 44108, 44205 - 44209, 44305 - 44309, 44405 - 44409, 44504 - 44508, 44604 - 44608, 44704 - 44708, 44804 - 44808, 44904 - 44908, 45004 - 45008, 45104 - 45108, 45204 - 45208, 45304 - 45308, 45404 - 45408, 45410, 45503 - 45507, 45510, 45602 - 45606, 45702 - 45706, 45709, 46003 - 46007, 46103 - 46107, 46203 - 46207, 46303 - 46307, 46403 - 46407, 46503 - 46507, 46603 - 46607, 46703 - 46707, 46803 - 46807, 46903 - 46907, 47003 - 47007, 47103 - 47107, 47203 - 47207, 47303 - 47307, 47701, 47801, 47802, 47803, включая ипотечные ссуды, поименованные в коде 8850). Пролонгированные кредиты и депозиты, заключенные на срок до 30 календарных дней, условия договора которых предусматривают возможность автоматической пролонгации кредита (депозита), в случае, если он не востребован банком-кредитором, не включаются в расчет кода 8989;
д) срочная дебиторская задолженность (счета (их части) N N 30602, 474А (кроме счета 47404 (в части, включенной в расчет кодов 8848, 8911), 47423 (в части, включенной в расчет кода 8969), 47427), 603А (кроме счета 60315);
8989 Н3 (Лат)
е) вложения в не обремененные обязательствами:
долговые обязательства, входящие в Ломбардный список Банка России (включая находящиеся в разделе "Блокировано Банком России") (за исключением включенных в расчет кода 8972) (счета (их части) N N 50105 - 50110, 50206 - 50211, 50305 - 50313. Ценные бумаги, оцениваемые по справедливой стоимости через прибыль или убыток, а также имеющиеся в наличии для продажи, по которым может быть определена справедливая стоимость или формируются резервы на возможные потери в соответствии с Положением Банка России N 283-П, включаются в расчет данного кода независимо от срока, оставшегося до их погашения;
долговые обязательства стран, имеющих страновые оценки "0", "1", или стран с высоким уровнем доходов, являющихся членами ОЭСР и (или) Еврозоны (счет (часть счета) N 50309);
долговые обязательства банков-резидентов стран, имеющих страновые оценки "0", "1", или стран с высоким уровнем доходов, являющихся членами ОЭСР и (или) Еврозоны, международных банков развития, указанных в строке кода 8976 (счет (часть счета) N 50310);
долговые обязательства юридических лиц - резидентов стран, имеющих страновые оценки "0", "1", или стран с высоким уровнем доходов, являющихся членами ОЭСР и (или) Еврозоны (счет (часть счета) N 50311);
долговые обязательства субъектов Российской Федерации и органов местного самоуправления (счета (их части) N N 50105, 50206, 50306);
суммы отрицательной и положительной разниц по переоценке указанных ценных бумаг (счета (их части) N N (50121 - 50120), (50221 - 50220);
учтенные векселя, выданные, и (или) акцептованные, и (или) авалированные:
органами государственной власти и органами местного самоуправления Российской Федерации;
органами государственной власти и органами местного самоуправления стран, имеющих страновые оценки "0", "1", или стран с высоким уровнем доходов, являющихся членами ОЭСР и (или) Еврозоны;
банками-резидентами стран, имеющих страновые оценки "0", "1", или стран с высоким уровнем доходов, являющихся членами ОЭСР и (или) Еврозоны;
эмитентами ценных бумаг, входящих в Ломбардный список Банка России, а также эмитентами долевых ценных бумаг, удовлетворяющих требованиям настоящего кода (счета (их части) N N 51203 - 51207, 51303 - 51307, 51401 - 51407, 51501 - 51507, 51603 - 51607, 51703 - 51707, 51803 - 51807, 51901 - 51907);
долевые ценные бумаги резидентов (счета (их части) N N 50605, 50606, (50621 - 50620), 50705, 50706, 50709, (50721 - 50720) (за исключением голосующих акций, вложения в которые на дату расчета норматива текущей ликвидности банка превышают 5 процентов уставного капитала, определенного зарегистрированным в установленном порядке уставом акционерного общества, акционером которого является банк), удовлетворяющие следующему требованию:
ценные бумаги эмитента, допущенные публичным акционерным обществом "Московская Биржа ММВБ-РТС" к торгам, включены в список для расчета Индекса ММВБ и (или) Индекса РТС, и величина (вес) влияния указанных ценных бумаг на данные индексы составляет 1 процент и более;
ж) требования банка к контрагенту по возврату денежных средств по сделкам, совершаемым на возвратной основе с ценными бумагами, полученными без первоначального признания, за исключением требований, возникших в результате сделки по приобретению высоколиквидных и ликвидных финансовых активов (включаемых в состав показателя Лат через код 8972 и в соответствии с абзацем двадцать пятым настоящей графы) (счета (их части) N N 322А, 323А (за исключением включенных в расчет кода 8910), 45410, 45510, 45709, 460А - 473А);
з) предоставленные кредиты "овердрафт" при отсутствии в договоре указания на конкретный срок возврата со сроком нахождения на балансе до 10 календарных дней, а также срочные кредиты "овердрафт" сроком погашения в ближайшие 30 календарных дней (счета (их части) N N 32001 (за исключением включенных в расчет кодов 8908 и 8910), 32101 (за исключением включенных в расчет кодов 8908 и 8910), 44201, 44301, 44401, 44501, 44601, 44701, 44801, 44901, 45001, 45101, 45201, 45301, 45401, 45509, 45608, 45708, 47001, 47101, 47201, 47301);
и) прочие размещенные средства до востребования (со сроком нахождения на балансе до 10 календарных дней), исполнение обязательств по которым в соответствии с договором предусмотрено не позднее чем на следующий день после дня востребования (счета (их части) N N 46001, 46101, 46201, 46301, 46401, 46501, 46601, 46701, 46801, 46901);
к) ценные бумаги, входящие в Ломбардный список Банка России, полученные по сделкам, совершаемым на возвратной основе, без первоначального признания, независимо от срока исполнения обязательств банка по указанным операциям (за исключением включенных в код 8972), а также ценные бумаги прочих эмитентов, перечисленных в абзацах восьмом - двадцать первом настоящей графы и в коде 8995, полученные по сделкам, совершаемым на возвратной основе, без первоначального признания (за исключением требований, возникших в результате сделки по приобретению ликвидных финансовых активов, включаемых в состав показателя Лат в соответствии с абзацем третьим графы 1 строки кода 8910), при наличии у банка намерения их продать в течение ближайших 30 календарных дней и права в соответствии с условиями указанных договоров и (или) правилами организованных торгов их реализации до наступления срока исполнения обязательств по их обратной продаже (счет (часть счета) N 91314 за минусом остатков по счету (части счета) N 91419);
л) требования банка по получению начисленных (накопленных) процентов по активам, в отношении которых не предъявляются требования по определению расчетных резервов и формированию резервов на возможные потери в соответствии с Положением Банка России N 590-П и Положением Банка России N 283-П, по активам I и II категории качества в соответствии с Положением Банка России N 590-П и Положением Банка России N 283-П, участвующим в расчете высоколиквидных и ликвидных активов (счет N 47427), а также проценты по размещенным денежным средствам, начисляемые программным способом ежедневно по каждому договору нарастающим итогом с даты последнего отражения в бухгалтерском учете банка суммы начисленных процентов и не отраженные на балансе (при расчете на внутримесячные даты) (за исключением включенных в код 8967);
м) активы, перечисленные в настоящем коде и находящиеся в доверительном управлении, включаются в состав ликвидных активов либо за 30 календарных дней до прекращения договора (если срок уведомления превышает 30 дней), либо с момента направления уведомления (если срок уведомления меньше или равен 30 календарным дням), либо за 30 календарных дней до окончания срока договора (при отсутствии уведомления), в случае, если к моменту окончания договора доверительного управления указанные активы ожидаются к получению в форме, позволяющей отнести их к высоколиквидным и (или) ликвидным активам (счет (его часть) N 47901);
н) стоимость ценных бумаг эмитентов, указанных в абзацах восьмом - двадцать первом настоящей графы и в коде 8995, переданных без прекращения признания, по сделкам, совершаемым на возвратной основе, превышающая сумму обязательств по возврату денежных средств по указанным операциям (за исключением включенных в расчет кода 8972) (счета (их части) N N 50118, (50121 - 50120), 50218, (50221 - 50220), 50318, 50618, 50718, (50621 - 50620), (50721 - 50720);
о) стоимость ценных бумаг эмитентов, указанных в абзацах восьмом - двадцать первом настоящей графы и в коде 8995, предоставленных банком в залог по кредитам сроком исполнения в течение ближайших 30 календарных дней, привлеченным от Банка России и (или) банков-контрагентов, превышающая сумму обязательств банка по указанным кредитам (за исключением включенных в расчет кода 8972).
В данный код не включаются указанные в нем ценные бумаги, переданные в имущественный пул.
Обязательства банка до востребования, учитываемые на депозитных счетах и счетах клиентов в драгоценных металлах (счета (их части) N N 20309, 20310, 20313, 20314) 8990 Н2 (Овм),
Н3 (Овт)
Обязательства банка со сроком исполнения в течение ближайших 30 календарных дней:
а) депозиты и счета клиентов в драгоценных металлах (счета (их части) N N 20309, 20310, 20313, 20314);
б) кредиты, депозиты и прочие привлеченные средства банков сроком погашения в течение ближайших 30 календарных дней (счета (их части) N N 31204 - 31207, 31217 - 31222, 31301, 31305 - 31309, 31401, 31405 - 31409, 31505 - 31509, 31605 - 31609);
в) выпущенные банками собственные векселя, облигации, депозитные и сберегательные сертификаты (счета (их части) N N 52002 - 52006, 52102 - 52106, 52202 - 52206, 52303 - 52307), а также обязательства банка по процентам и купонам по выпущенным ценным бумагам (счет (часть счета) N 52501 (за исключением остатков, вошедших в расчет кода 8940);
г) обязательства банка по уплате процентов (за исключением остатков, вошедших в расчет кода 8940), (счета (их части) N N 47411, 47426), а также проценты, начисляемые программным способом ежедневно по каждому договору нарастающим итогом с даты последнего отражения в бухгалтерском учете банка суммы начисленных процентов;
д) арендные обязательства (счет (часть счета) N 60806);
е) депозиты, вклады и прочие привлеченные средства (в части, не вошедшей в расчет кода 8933) (счета (их части) N N 41003 - 41007, 41103 - 41107, 41203 - 41207, 41303 - 41307, 41403 - 41407, 41503 - 41507, 41603 - 41607, 41703 - 41707, 41803 - 41807, 41903 - 41907, 42003 - 4007, 42103 - 42107, 42110 - 42114, 42203 - 42207, 42303 - 42307, 42311 - 42315, 42503 - 42507, 42603 - 42607, 42611 - 42615, 42703 - 42707, 42803 - 42807, 42903 - 42907, 43003 - 43007, 43103 - 43107, 43203 - 43207, 43303 - 43307, 43403 - 43407, 43503 - 43507, 43603 - 43607, 43703 - 43707, 43803 - 43807, 43903 - 43907, 44003 - 44007)
8991 Н3 (Овт)
Банковские гарантии и (или) поручительства, выданные банком (счет (часть счета) 91315).
В расчет показателя Овт выданные банком банковские гарантии и (или) поручительства включаются за 30 календарных дней до наступления срока платежа по банковской гарантии и (или) поручительству (срока исполнения обязательств по гарантируемой сделке) в сумме, предусмотренной договором банковской гарантии и (или) поручительства, прямо пропорционально величине кредитного риска по банковской гарантии и (или) поручительству (удельному весу резерва на возможные потери в сумме банковской гарантии и (или) поручительства)
8993 Н3 (Овт)
Суммы, подлежащие оплате более чем через 30 календарных дней (счета (их части) N N 30411, 30412, 30414, 30420, 30421, 32901, 47403, 47405, 47407, 47422, 60301, 60305, 60307, 60309, 60311, 60313, 60322, 60335, 61701 (в том числе средства, перечисленные в оплату уставного капитала, независимо от срока нахождения на счете N 60322). 8994 Н2 (Овм),
Н3 (Овт)
Долговые обязательства международных банков развития, указанных в строке кода 8976, банков-резидентов стран, имеющих страновые оценки "0", "1", оцениваемые по справедливой стоимости через прибыль или убыток, а также имеющиеся в наличии для продажи, по которым может быть определена справедливая стоимость или формируются резервы на возможные потери в соответствии с Положением Банка России N 283-П, (включая выданные и (или) авалированные ими векселя), долговые обязательства юридических лиц - резидентов стран, имеющих страновые оценки "0", "1", а также векселя, выданные, и (или) авалированные, и (или) акцептованные органами государственной власти или органами местного самоуправления стран, имеющих страновые оценки "0", "1", за исключением включенных в расчет кодов 8972 и 8989 (счета (их части) N N 50109, 50110, (50121 - 50120), 50210, 50211, (50221 - 50220), 51601, 51602, 51701, 51702, 51801, 51802).
В данный код не включаются указанные в нем ценные бумаги, переданные в имущественный пул
8995 Н3 (Лат)
Кредиты, депозиты и прочие размещенные средства с оставшимся сроком до даты погашения свыше 365 или 366 календарных дней, включая просроченные, а также пролонгированные, если с учетом вновь установленных сроков возврата размещенных средств сроки, оставшиеся до их погашения, превышают 365 или 366 календарных дней (счета (их части) N N 30427, 31908, 31909, 32008, 32009, 32108, 32109, 32208, 32209, 32308, 32309, 32401, 32402, 44107, 44108, 44208, 44209, 44308, 44309, 44408, 44409, 44507, 44508, 44607, 44608, 44707, 44708, 44807, 44808, 44907, 44908, 45007, 45008, 45107, 45108, 45207, 45208, 45307, 45308, 45407, 45408, 45410, 45506, 45507, 45510, 45605, 45606, 45705, 45706, 45709, 458А (в части просроченных кредитных требований, предоставленных на срок свыше 365 или 366 календарных дней), 46006, 46007, 46106, 46107, 46206, 46207, 46306, 46307, 46406, 46407, 46506, 46507, 46606, 46607, 46706, 46707, 46806, 46807, 46906, 46907, 47006, 47007, 47106, 47107, 47206, 47207, 47306, 47307, 47402, 47701, 47801, 47802, 47803) (за исключением долгосрочных кредитов, обеспеченных гарантиями и (или) ценными бумагами Российской Федерации или Министерства финансов Российской Федерации, а также залогом золота в слитках в хранилищах банка), а также взносы в гарантийный фонд платежной системы (счет (часть счета) N 30215), средства для коллективного клирингового обеспечения (гарантийный фонд) (счета (их части) N N 30418, 30419, 30425).
В расчет кода включаются также:
учтенные векселя (счета (их части) N N 51206 - 51209, 51306 - 51309, 51406 - 51409, 51506 - 51509, 51606 - 51609, 51706 - 51709, 51806 - 51809, 51906 - 51909);
требования к контрагенту, возникшие в результате привлечения (размещения) финансовых активов с одновременным предоставлением контрагенту права отсрочки платежа (поставки финансовых активов), сроком погашения свыше 365 или 366 календарных дней (счета (их части) N N 47408, 47423);
8996 Н4 (Крд)
требования к контрагенту по возврату денежных средств по сделкам, совершаемым на возвратной основе с ценными бумагами, переданными без прекращения признания, сроком исполнения свыше 365 или 366 календарных дней (счета (их части) N N 32208, 32209, 32308, 32309, 46006, 46007, 46106, 46107, 46206, 46207, 46306, 46307, 46406, 46407, 46506, 46507, 46606, 46607, 46706, 46707, 46806, 46807, 46906, 46907, 47006, 47007, 47106, 47107, 47206, 47207, 47306, 47307);
кредитные требования в драгоценных металлах сроком погашения свыше 365 или 366 календарных дней (счета (их части) N N 20311, 20312, 20315, 20316, 20317, 20318);
перечисленные в данном коде активы, находящиеся в доверительном управлении (счет (часть счета) N 47901).
В расчет кода указанные активы включаются за вычетом сформированного резерва на возможные потери в соответствии с Положением Банка России N 590-П и Положением Банка России N 283-П
Обязательства банка с оставшимся сроком до даты погашения свыше 365 или 366 календарных дней:
а) обязательства банка в драгоценных металлах (счета (их части) N N 20309, 20310, 20313, 20314);
б) обязательства по возврату денежных средств по сделкам, совершаемым на возвратной основе с ценными бумагами, переданными без прекращения признания;
в) обязательства по средствам, выделенным в соответствии с решением Правительства Российской Федерации на инвестиционные нужды
8997 Н4 (ОД)
Совокупная величина крупных кредитных рисков (за вычетом сформированного резерва), взвешенных с учетом коэффициентов риска, установленных в отношении соответствующих активов согласно пункту 2.3 настоящей Инструкции 8998 H7 ()
Обязательства банка по кредитам сроком исполнения в течение ближайших 30 календарных дней, привлеченным от Банка России и (или) банков-контрагентов и обеспеченным предоставленным банком залогом в виде высоколиквидных и ликвидных ценных бумаг (за исключением отраженных по коду 8906) (счета (их части) N N 312, 313, 314) 8999 Н3 (Овт)

Пример расчета совокупной суммы требований банка к своим акционерам (участникам) и инсайдерам, превышающей ограничения, установленные нормативами Н6, Н9.1 и Н10.1

1. Допустим, банк имеет требования к трем своим акционерам (участникам) и четырем инсайдерам:

а1, а2, а3 - совокупная сумма требований банка (включая показатели КРВ и КРС) в рублях и в иностранной валюте в отношении соответственно первого, второго и третьего акционеров (участников);

в1, в2, в3, в4 - совокупная сумма требований банка (включая показатели КРВ и КРС) в рублях и в иностранной валюте в отношении соответственно первого, второго, третьего и четвертого инсайдеров.

2. Определение совокупной суммы требований банка к своим акционерам (участникам), превышающей ограничения, установленные нормативом Н6, осуществляются следующим образом.

2.1. Определение совокупной суммы требований банка, превышающей ограничения, установленные нормативом Н6, по первому акционеру (участнику) (показатель А1) осуществляется по формуле:

(при условии, что ,

где:

0,25 - установленное значение норматива Н6 - 25 процентов собственных средств (капитала) банка;

- собственные средства (капитал) банка на отчетную дату, величина которых рассчитывается в соответствии с Положением Банка России N 395-П без уменьшения на величину превышения совокупной суммы кредитов, банковских гарантий и поручительств, предоставленных банком своим участникам (акционерам) и инсайдерам, над ее максимальным размером, предусмотренным законодательством Российской Федерации и настоящей Инструкцией, за вычетом сформированного резерва под соответствующую часть ссуд, а также сформированного резерва под соответствующую часть внебалансовых обязательств, определяемых в соответствии с Положением Банка России N 590-П и Положением Банка России N 283-П.

В случае если , значение показателя А1 принимается равным нулю.

Аналогично определяется совокупная сумма требований банка, превышающая ограничения, установленные нормативом Н6, по второму и третьему акционерам (участникам) (величины А2 и А3).

2.2. Определение суммарной величины совокупных сумм требований банка к своим акционерам (участникам), превышающей ограничения, установленные нормативом Н6, по всем акционерам (участникам) (показатель А) осуществляется по формуле:

.

3. Определение совокупной суммы требований банка ко всем акционерам (участникам), превышающей ограничения, установленные нормативом Н9.1 (показатель Б), осуществляется по формуле:

,

где:

0,5 - установленное значение норматива Н9.1 - 50 процентов собственных средств (капитала) банка.

В случае если , значение показателя Б принимается равным нулю.

4. Определение совокупной суммы требований банка к своим акционерам (участникам), превышающей ограничения, установленные нормативами Н6 и Н9.1 (показатель А*), осуществляется по формуле:

.

5. Определение совокупной суммы требований банка к своим инсайдерам, превышающей ограничения, установленные нормативом Н6, осуществляется следующим образом.

5.1. Определение совокупной суммы требований банка к каждому инсайдеру, превышающей ограничения, установленные нормативом Н6 (величины В1, В2, В3, В4), осуществляется в порядке, аналогичном приведенному в подпункте 2.1 пункта 2 настоящего примера для каждого акционера (участника).

5.2. Определение суммарной величины совокупных сумм требований банка к своим инсайдерам, превышающих ограничения, установленные нормативом Н6, по всем инсайдерам (показатель В) осуществляется по формуле:

.

6. Определение совокупной суммы требований банка ко всем инсайдерам, превышающей ограничения, установленные нормативом Н10.1 (показатель Г), осуществляется по формуле:

(при условии, что ),

где:

0,03 - установленное значение норматива Н10.1 - 3 процента собственных средств (капитала) банка.

В случае если , значение показателя Г принимается равным нулю.

7. Определение совокупной суммы требований банка к своим инсайдерам, превышающей ограничения, установленные нормативами Н6 и Н10.1 (показатель В*), осуществляется по формуле:

.

8. Определение совокупной суммы требований банка к своим акционерам (участникам) и инсайдерам, превышающей ограничения, установленные нормативами Н6, Н9.1 и Н10.1 (показатель Д (код 8948), осуществляется по формуле:

.

Приложение 2
к Инструкции Банка России
от 28 июня 2017 года N 180-И
"Об обязательных нормативах банков"

МЕТОДИКА
РАСЧЕТА КРЕДИТНОГО РИСКА ПО УСЛОВНЫМ ОБЯЗАТЕЛЬСТВАМ КРЕДИТНОГО ХАРАКТЕРА

(в ред. Указаний ЦБ РФ от 06.12.2017 N 4635-У, от 04.07.2018 N 4851-У)

1. В целях расчета кредитного риска по условным обязательствам кредитного характера в условные обязательства кредитного характера включаются обязательства (за исключением обязательств, принимаемых в уменьшение источников базового, добавочного и дополнительного капитала банка в соответствии с подпунктами 2.2.11, 2.4.6 пункта 2 и подпункта 3.2.6 пункта 3 Положения Банка России N 395-П, обязательств, величина кредитного риска по которым рассчитывается в соответствии с нормативным актом Банка России о расчете кредитного риска по сделкам секьюритизации, а также в целях расчета нормативов Н1.1, Н1.2 и Н1.0 - обязательств, по которым кредитный риск рассчитывается на основе ПВР), в состав которых входят: (в ред. Указаний ЦБ РФ от 06.12.2017 N 4635-У, от 04.07.2018 N 4851-У)

обязательства произвести выплаты в случае невыполнения контрагентами своих обязательств перед другими кредиторами;

обязательства банка предоставить средства на возвратной основе.

В соответствии с настоящей методикой производится расчет величины принятого на себя банком кредитного риска в отношении условных обязательств кредитного характера.

При этом указанный расчет осуществляется путем определения в соответствии с пунктом 2 настоящего приложения кредитного эквивалента (далее - величина кредитного риска) по разнице между суммой условного обязательства кредитного характера и величиной резерва на возможные потери, создаваемого в соответствии с главой 3 Положения Банка России N 283-П, в зависимости от вероятности исполнения банком этого обязательства, и в целях расчета нормативов Н1.1, Н1.2 и Н1.0 - взвешивания в соответствии с пунктом 10 настоящего приложения полученной величины кредитного риска на коэффициент риска, установленный в отношении соответствующего контрагента. (в ред. Указания ЦБ РФ от 06.12.2017 N 4635-У)

2. В целях настоящей методики для определения величины кредитного риска номинальная величина обязательств по каждому условному обязательству кредитного характера приводится к кредитному эквиваленту путем умножения на следующие коэффициенты:

по условным обязательствам кредитного характера с высоким риском - 1,0;

по условным обязательствам кредитного характера со средним риском - 0,5;

по условным обязательствам кредитного характера с низким риском - 0,2;

по условным обязательствам кредитного характера без риска - 0, в целях расчета норматива финансового рычага (Н1.4) - 0,1. (в ред. Указания ЦБ РФ от 06.12.2017 N 4635-У)

3. Условные обязательства кредитного характера, имеющие договорные условия, отличные от перечисленных в пунктах 4 - 7 настоящего приложения, а также не упомянутые в пунктах 4 - 7 настоящего приложения, самостоятельно включаются банками в группу условных обязательств кредитного характера с соответствующим уровнем риска (абзац девятый пункта 4, абзац восьмой пункта 5, абзац седьмой пункта 6, абзац четвертый пункта 7 настоящего приложения) в зависимости от вероятности исполнения обязательств по ним и срока действия.

4. Условные обязательства кредитного характера с высоким риском:

банковские гарантии и поручительства, выданные (предоставленные) банком в обеспечение исполнения принципалом обязательства перед бенефициаром, с момента выдачи (предоставления) банковской гарантии (поручительства) в случае, когда обязательство принципала перед бенефициаром существует на момент выдачи (предоставления) банковской гарантии (поручительства), или с момента возникновения обязательства принципала перед бенефициаром в случае, когда обязательство принципала перед бенефициаром возникнет в будущем после выдачи (предоставления) банковской гарантии (поручительства) или сделка между принципалом и бенефициаром совершена с отлагательным условием;

гарантии платежа по чекам (аваль) в случае отсутствия депонированных средств на счете чекодателя;

вексельные поручительства (аваль). В расчет принимается вексельная сумма (часть вексельной суммы), авалированная банком;

выставленные или подтвержденные банком непокрытые и покрытые за счет выданной в пользу клиента кредитной линии безотзывные аккредитивы;

индоссамент векселей;

акцепты расчетных документов клиента, если договор между плательщиком и обслуживающим его банком предусматривает возможность овердрафта по счету плательщика;

обязательства банка в случае неисполнения (ненадлежащего исполнения) должником требования, ранее уступленного банком финансовому агенту (новому кредитору);

другие условные обязательства кредитного характера с высоким риском.

5. Условные обязательства кредитного характера со средним риском:

выставленные или подтвержденные банком отзывные непокрытые аккредитивы;

выставленные банком отзывные и безотзывные покрытые за счет средств клиента аккредитивы в случае, если сумма средств плательщика, депонированная на отдельном счете, меньше суммы аккредитива;

выставленные банком отзывные и безотзывные покрытые за счет средств клиента аккредитивы в части суммы аккредитива, не покрытой клиентом или банком-эмитентом;

обязательство осуществить иные, не подлежащие отмене операции, которые ведут к возникновению кредитного риска, со сроком действия более 365 или 366 календарных дней;

обязательства выкупить ценные бумаги эмитента, вытекающие из выполнения банком функции андеррайтера в отношении корпоративных ценных бумаг. В расчет величины кредитного риска включается общая стоимость неразмещенных ценных бумаг, определенная как произведение количества неразмещенных ценных бумаг на цену выкупа, установленную в договоре;

неиспользованные кредитные линии по предоставлению кредитов, а также неиспользованные лимиты по предоставлению средств в виде "овердрафт" и "под лимит задолженности", договор об открытии (предоставлении) которых не предусматривает право банка-кредитора на их закрытие при наличии обстоятельств, очевидно свидетельствующих о том, что предоставленная заемщику сумма не будет возвращена в срок, со сроком действия более 365 или 366 календарных дней;

другие условные обязательства кредитного характера со средним риском.

6. Условные обязательства кредитного характера с низким риском:

выставленные или подтвержденные документарные (товарные) аккредитивы с передачей на каждой стадии платежной операции товарных документов, служащих залогом;

выставленные банком отзывные покрытые за счет средств клиента аккредитивы в случае, если сумма средств плательщика, депонированная на отдельном счете, равна сумме аккредитива;

выставленные банком безотзывные покрытые в полной сумме за счет средств клиента и не перечисленные в исполняющий банк аккредитивы (в том числе в случае совмещения функций банка-эмитента с функциями исполняющего банка);

выставленные банком отзывные и безотзывные покрытые в полной сумме за счет средств клиента и перечисленные в исполняющий банк аккредитивы;

неиспользованные кредитные линии по предоставлению кредитов, а также неиспользованные лимиты по предоставлению средств в виде "овердрафт" и "под лимит задолженности", договор об открытии (предоставлении) которых не предусматривает право банка-кредитора на их закрытие при наличии обстоятельств, очевидно свидетельствующих о том, что предоставленная заемщику сумма не будет возвращена в срок, со сроком действия менее 365 или 366 календарных дней;

обязательство осуществить иные, не подлежащие отмене операции, которые ведут к возникновению кредитного риска, со сроком действия менее 365 или 366 календарных дней, а также другие условные обязательства кредитного характера с низким риском.

7. Условные обязательства кредитного характера без риска:

обязательства осуществить намеченные подтвержденные операции (сделки), которые могут быть безусловно аннулированы в любой момент времени без предварительного уведомления;

безоборотные и препоручительные индоссаменты векселей;

неиспользованные кредитные линии по предоставлению кредитов, а также неиспользованные лимиты по предоставлению средств в виде "овердрафт" и "под лимит задолженности", договор об открытии (предоставлении) которых предусматривает право банка-кредитора на их закрытие при наличии обстоятельств, очевидно свидетельствующих о том, что предоставленная заемщику сумма не будет возвращена в срок, а также другие условные обязательства кредитного характера без риска.

8. При наличии у банка двух связанных между собой внебалансовых обязательств (исполнение одного обусловлено исполнением другого) величина кредитного риска рассчитывается только в отношении основного обязательства, исполнение которого влечет за собой возникновение другого обязательства. Обязательство, связанное с основным обязательством, включается в состав условных обязательств кредитного характера без риска.

9. Кредитный риск по условным обязательствам кредитного характера, возникающим у банка при передаче имущества в качестве обеспечения исполнения обязательств за третьих лиц, оценивается аналогично кредитному риску по выданным банковским гарантиям и поручительствам.

Полученная величина включается в расчет кредитного риска по условным обязательствам кредитного характера (при расчете нормативов достаточности капитала банка, за исключением расчета норматива финансового рычага (Н1.4)) в случае ее превышения над величиной кредитного риска по имуществу, рассчитанной в соответствии с пунктом 2.3 настоящей Инструкции. (в ред. Указания ЦБ РФ от 06.12.2017 N 4635-У)

10. Полученная по каждому условному обязательству кредитного характера величина кредитного риска взвешивается в зависимости от контрагента в соответствии с пунктом 2.3 настоящей Инструкции и кодом 8772. При этом применяются коэффициенты взвешивания, установленные в отношении балансовых активов, размещенных у соответствующего контрагента. Условные обязательства кредитного характера, оцениваемые на портфельной основе в соответствии с Положением Банка России N 283-П и удовлетворяющие требованиям кода 8740 настоящей Инструкции, взвешиваются с коэффициентом 0,75.

Положение абзаца первого в части кода 8772 применяется по 31.12.2018 включительно (пункт 14.2).

При наличии обеспечения (из числа перечисленного в пункте 2.3 настоящей Инструкции) по условному обязательству кредитного характера величина кредитного риска взвешивается на коэффициент, применяемый для взвешивания балансового актива, исполнение обязательств по которому обеспечено соответствующим залогом, банковской гарантией (гарантией), резервным аккредитивом соответствующего гаранта (поручителя), эмитента.

В случае если по условному обязательству кредитного характера предусмотрена солидарная обязанность, применяется наименьший из предусмотренных к применению в соответствии с пунктом 2.3 настоящей Инструкции коэффициент взвешивания балансовых активов солидарно обязанных лиц.

В целях расчета нормативов достаточности капитала банка величина кредитного риска по условным обязательствам кредитного характера в отношении связанных с банком лиц (за исключением кредитных организаций - участников банковской группы, в состав которой входит банк-кредитор), взвешенная в соответствии с подпунктами 2.3.1 - 2.3.4 пункта 2.3 настоящей Инструкции, умножается на коэффициент 1,3.

11. Суммарная величина риска по всем условным обязательствам кредитного характера (КРВi) включается в знаменатели формул расчета нормативов достаточности капитала банка (пункт 2.1 настоящей Инструкции).

12. Банковские гарантии и поручительства, выданные в пользу дочерней организации - эмитента еврооблигаций (код 8944), банки вправе не включать в расчет показателя КРВi при обязательном соблюдении следующих требований:

дочерняя организация - эмитент не ведет иной хозяйственной деятельности (помимо эмиссионной), кроме размещения еврооблигаций;

средства, привлеченные в результате деятельности дочерней организации - эмитента, отражаются на депозитных счетах банка-гаранта на сроки, в суммах и на условиях, которые соответствуют срокам, суммам и условиям погашения еврооблигаций.

В случае если банк намерен не включать в расчет показателя КРВi банковские гарантии и поручительства, выданные в пользу дочерней организации - эмитента еврооблигаций, в подтверждение этого банк представляет (в сроки, установленные для представления формы отчетности 0409135 "Информация об обязательных нормативах и о других показателях деятельности кредитной организации") в Банк России (территориальное учреждение Банка России, уполномоченное структурное подразделение центрального аппарата Банка России) по месту нахождения головного офиса банка следующую информацию:

заверенную банком копию устава дочерней организации - эмитента, осуществляющей по поручению банка эмиссию ценных бумаг (с заверенным банком переводом на русский язык);

полное название и адрес надзорного органа, осуществляющего контроль за деятельностью дочерней организации - эмитента по месту ее регистрации;

заверенную банком копию договора о выданной банком банковской гарантии или поручительства;

заверенную банком копию депозитного или иного аналогичного договора банка с дочерней организацией - эмитентом о перечислении средств от реализации еврооблигаций (с заверенным банком переводом на русский язык);

данные об обращающихся еврооблигациях (с указанием сроков, сумм и дат погашения) и расшифровку балансового счета (счетов), на котором (которых) учитываются привлеченные средства с указанием сроков и сумм одновременно с формой отчетности 0409135 "Информация об обязательных нормативах и о других показателях деятельности кредитной организации".

13. Величина кредитного риска по условным обязательствам кредитного характера отражается банками в следующей таблице.

Величина кредитного риска по условным обязательствам кредитного характера по состоянию на _____ года

N п/п Характер риска Вид условного обязательства кредитного характера Контрактная стоимость обязательства Резерв на возможные потери Взвешенный кредитный эквивалент Величина кредитного риска, взвешенная с учетом коэффициентов, установленных в пункте 2.3 настоящей Инструкции
1 2 3 4 5 6 7
1 Высокий риск 1. Банковские гарантии и поручительства
2. Гарантии платежа по чекам (аваль) в случае отсутствия депонированных средств на счете чекодателя
3. Вексельные поручительства (аваль)
4. Аккредитивы
5. Индоссаменты
6. Акцепты
7. Уступка прав требования
8. Другие
2 Средний риск 1. Аккредитивы
2. Долгосрочные обязательства по осуществлению операций
3. Андеррайтинговые обязательства
4. Неиспользованные кредитные линии, неиспользованные лимиты по предоставлению средств в виде "овердрафт" и "под лимит задолженности" (долгосрочные)
5. Другие
3 Низкий риск 1. Аккредитивы
2. Неиспользованные кредитные линии, неиспользованные лимиты по предоставлению средств в виде "овердрафт" и "под лимит задолженности" (краткосрочные)
3. Краткосрочные обязательства по осуществлению операций
4. Другие
4 Риск отсутствует 1. Обязательства по намеченным операциям
2. Индоссаменты
3. Неиспользованные кредитные линии, неиспользованные лимиты по предоставлению средств в виде "овердрафт" и "под лимит задолженности" (с правом досрочного закрытия)
4. Другие
5 Итого величина кредитного риска (КРВi) X X X

Приложение 3
к Инструкции Банка России
от 28 июня 2017 года N 180-И
"Об обязательных нормативах банков"

МЕТОДИКА РАСЧЕТА КРЕДИТНОГО РИСКА ПО ПФИ

1. В соответствии с настоящим приложением оценка кредитного риска осуществляется в отношении заключенных на внебиржевом рынке договоров, являющихся ПФИ (за исключением ПФИ, по которым кредитный риск рассчитывается на основе ПВР).

2. Для расчета кредитного риска по ПФИ определяются следующие составляющие:

текущий кредитный риск (стоимость замещения финансового инструмента), отражающий на отчетную дату величину потерь в случае неисполнения контрагентом своих обязательств;

потенциальный кредитный риск (риск неисполнения контрагентом своих обязательств в течение срока от отчетной даты до даты валютирования в связи с неблагоприятным изменением стоимости базисного (базового) актива).

3. Текущий кредитный риск по ПФИ, которые удовлетворяют требованиям пунктов 1 и 3 статьи 4.1 Федерального закона "О несостоятельности (банкротстве)" (далее - соглашение о неттинге по ПФИ), равен превышению суммы справедливых стоимостей всех ПФИ, представляющих собой актив, над суммой справедливых стоимостей всех ПФИ, представляющих собой обязательство, с учетом перечисленных возвратных первоначальных и (или) периодических платежей (разница между остатками на балансовых счетах N 52601 и N 52602).

Текущий кредитный риск по ПФИ, не включенным в соглашение о неттинге по ПФИ, равен величине справедливой стоимости ПФИ, представляющего собой актив (балансовый счет N 52601). По проданным опционам, не включенным в соглашение о неттинге по ПФИ, текущий кредитный риск (стоимость замещения) не рассчитывается.

4. Для целей настоящей методики под номинальной контрактной стоимостью понимается стоимость ПФИ, по которой он отражен на дату заключения договора, являющегося ПФИ, на соответствующих внебалансовых счетах. При этом за номинальную контрактную стоимость бивалютных сделок принимается та валюта, по которой у банка формируются требования.

Номинальная контрактная стоимость ПФИ по договору, не предусматривающему поставку базисного (базового) актива, определяется по аналогии с договором (сделкой), предусматривающим (предусматривающей) поставку базисного (базового) актива.

5. Потенциальный риск по ПФИ, не включенным в соглашение о неттинге по ПФИ, рассчитывается путем умножения номинальной контрактной стоимости на коэффициенты в зависимости от срока, оставшегося от отчетной даты до даты валютирования, в соответствии со следующей таблицей:

N п/п Срок до даты валютирования Валютные сделки Процентные сделки Сделки с ценными бумагами Сделки с драгоценными металлами Прочие сделки
1 2 3 4 5 6 7
1 Менее 1 года 0,01 0,005 0,06 0,07 0,1
2 От 1 до 5 лет 0,05 0,005 0,08 0,07 0,12
3 Свыше 5 лет 0,075 0,015 0,1 0,08 0,15

Для сделок с несколькими обменами базисными (базовыми) активами объем потенциальных потерь увеличивается кратно количеству предусмотренных обменов базисными (базовыми) активами.

Величина потенциального риска не рассчитывается для проданных опционов.

По сделкам, условия которых пересматриваются на заранее определенные даты, за срок до даты валютирования принимается период, оставшийся до следующей даты пересмотра.

Величина потенциального риска по ПФИ, включенным в соглашение о неттинге по ПФИ, рассчитывается по формуле:

,

где:

ВПРк - величина потенциального риска по ПФИ, включенным в соглашение о неттинге по ПФИ;

ВПРв - величина потенциального риска по тем же самым инструментам, рассчитанная без учета соглашения о неттинге по ПФИ (в соответствии с требованиями настоящего пункта);

к - коэффициент, определяемый как отношение стоимости замещения по ПФИ, включенным в соглашение о неттинге по ПФИ (ЦЗв), и стоимости замещения по ПФИ, включенным в соглашение о неттинге по ПФИ, рассчитанной без учета этого соглашения (ЦЗ), по формуле:

.

В случае если величина ЦЗв меньше нуля, коэффициент "к" признается равным нулю.

6. Величина, подверженная риску, определяется как сумма величин текущего и потенциального рисков (пункты 3 и 5 настоящего приложения).

Величина, подверженная риску по ПФИ, включенным в соглашение о неттинге по ПФИ, определяется по формуле:

,

где:

С - справедливая стоимость полученного обеспечения из числа указанного в подпункте 2.6.2 пункта 2.6 настоящей Инструкции и удовлетворяющего требованиям подпункта 2.6.5 пункта 2.6 настоящей Инструкции;

Hc - дисконт, применяемый к обеспечению и определяемый в соответствии с порядком, предусмотренным подпунктом 2.6.1 пункта 2.6 настоящей Инструкции;

Hfx - дисконт в размере 8 процентов, применяемый при несовпадении валюты расчетов и валюты обеспечения.

7. Полученная величина, подверженная риску, взвешивается на коэффициент риска в зависимости от контрагента в соответствии с пунктом 2.3 настоящей Инструкции. При этом применяются коэффициенты взвешивания, установленные в отношении балансовых активов, размещенных у соответствующего контрагента.

При наличии обеспечения (из числа перечисленного в пункте 2.3 настоящей Инструкции) по ПФИ, не включенным в соглашение о неттинге по ПФИ, полученная величина, подверженная риску, взвешивается на коэффициент, применяемый для взвешивания балансового актива, исполнение обязательств по которому обеспечено соответствующим залогом, банковской гарантией (гарантией), резервным аккредитивом соответствующего гаранта (поручителя), эмитента.

В целях расчета нормативов достаточности капитала банка полученная величина кредитного риска в отношении связанных с банком лиц (за исключением кредитных организаций - участников банковской группы, в состав которой входит банк-кредитор), взвешенная в соответствии с подпунктами 2.3.1 - 2.3.4 пункта 2.3 настоящей Инструкции, умножается на коэффициент 1,3. При этом в отношении требований к связанным с банком лицам, относящимся к IV группе активов в соответствии с подпунктом 2.3.4 пункта 2.3 настоящей Инструкции и подпадающим под действие повышенного коэффициента 1,5, коэффициент 1,3 не применяется.

Полученная величина кредитного риска по договорам, являющимся ПФИ, заключенными с контрагентами, не поименованными в подпунктах 2.3.1 - 2.3.3 пункта 2.3 настоящей Инструкции и имевшими на момент заключения договора и (или) имеющими на момент расчета нормативов достаточности капитала банка рейтинг долгосрочной кредитоспособности по обязательствам в иностранной валюте или рублях, присвоенный как минимум одним из иностранных кредитных рейтинговых агентств на уровне ниже "B" по международной рейтинговой шкале "Эс-энд-Пи Глобал Рейтинге" (S&P Global Ratings) или "Фитч Рейтингс" (Fitch Ratings) либо "B2" по международной рейтинговой шкале "Мудис Инвесторс Сервис" (Moody's Investors Service), а также кредитный рейтинг, присвоенный по национальной рейтинговой шкале для Российской Федерации российским кредитным рейтинговым агентством, умножается на коэффициент 1,5.

Полученная величина, подверженная риску, по договорам, являющимся ПФИ, стороной по которым является кредитная организация, осуществляющая функции центрального контрагента и соответствующая условиям кода 8846, взвешивается на коэффициент 0,05.

8. В случае применения подхода, предусмотренного пунктом 6 настоящего приложения, по ПФИ, включенным в соглашение о неттинге по ПФИ, по которым предоставлено обеспечение, из числа указанного в подпункте 2.6.2 пункта 2.6 настоящей Инструкции, повышенный коэффициент 1,5 не применяется.

При этом полученная величина, подверженная риску, по договорам, являющимся ПФИ, стороной по которым является связанное с банком лицо (за исключением кредитных организаций - участников банковской группы, в состав которой входит банк-кредитор), умножается на коэффициент 1,3 для целей расчета нормативов достаточности капитала банка.

9. Итоговая величина кредитного риска по ПФИ (КРС) включается в знаменатель нормативов достаточности капитала банка (пункт 2.1 настоящей Инструкции).

10. Величина кредитного риска по ПФИ отражается банками в следующей таблице.

Величина кредитного риска по ПФИ по состоянию на _____ года

N п/п Вид сделки Номинальная стоимость Стоимость замещения сделки (текущий кредитный риск) Величина потенциального кредитного риска Итоговая величина кредитного риска Величина кредитного риска, взвешенная с учетом коэффициентов, установленных пунктом 2.3 настоящей Инструкции
1 2 3 4 5 6 76
В электронном документе нумерация граф таблиц соответствует официальному источнику.
1 ПФИ, включенные в соглашение о неттинге по ПФИ
2 ПФИ, не включенные в соглашение о неттинге по ПФИ
3 Итого величина кредитного риска по ПФИ (КРС) X X X

Приложение 4
к Инструкции Банка России
от 28 июня 2017 года N 180-И
"Об обязательных нормативах банков"

МЕТОДИКА ОПРЕДЕЛЕНИЯ УРОВНЯ РИСКА ПО СИНДИЦИРОВАННЫМ ССУДАМ

1. В целях настоящей методики под синдицированной ссудой понимается соглашение (договор) о предоставлении ссуды заемщику одним или несколькими лицами (участниками синдиката), в связи с предоставлением которой риск неисполнения либо ненадлежащего исполнения заемщиком обязательств по ссуде в предусмотренный соглашением (договором) срок (далее - кредитный риск) принят одновременно двумя и более участниками соглашения (договора).

2. Участниками синдиката являются:

первоначальный кредитор (кредиторы) по соглашению (договору) о предоставлении синдицированной ссуды, а также новые кредиторы;

третье лицо, несущее кредитный риск на основании юридически обязывающего соглашения (договора) с первоначальным или новым кредитором (кредиторами).

Банк считается участником синдиката с момента принятия кредитного риска по синдицированной ссуде на основании юридически обязывающего соглашения (договора) и до момента прекращения кредитного риска банка по такой ссуде в результате наступления одного из следующих событий:

исполнения обязательств заемщика;

уступки (передачи) соответствующих требований по ссуде банком иному лицу;

поступления денежных средств от третьего лица - участника синдиката в целях покрытия кредитного риска банка.

3. Передача риска неисполнения либо ненадлежащего исполнения заемщиком обязательств по синдицированной ссуде (кредитного риска) может осуществляться:

путем заключения соглашения, согласно которому новый кредитор (кредиторы) приобретает (приобретают) права требования по синдицированной ссуде (части ссуды), а также начисленным, но не выплаченным заемщиком процентам, неустойкам и иным платежам, и (или) обязанности по предоставлению заемщику кредита;

путем заключения соглашения (договора кредита, займа, депозита или иного юридически обязывающего соглашения) между кредитором (первоначальным кредитором, новым кредитором) заемщика по соответствующему соглашению (договору) о предоставлении ссуды и третьим лицом (третьими лицами), в котором определено, что указанное третье лицо (указанные третьи лица) обязуется (обязуются) предоставить кредитору денежные средства в сумме, равной или меньшей суммы, подлежащей предоставлению или предоставленной кредитором заемщику в соответствии с условиями соответствующего соглашения (договора) о предоставлении ссуды, и вправе требовать платежи по основному долгу, процентам, неустойкам и иным платежам в размере, в котором заемщик исполняет обязательства перед кредитором по погашению основного долга, процентов и иных платежей в соответствии с соглашением (договором) о предоставлении ссуды, не ранее момента фактического осуществления соответствующих платежей заемщиком.

4. Кредитный (платежный) агент - лицо, которое на основании заключенного соглашения (договора) осуществляет платежи по синдицированной ссуде между заемщиком и участниками синдиката. Функции кредитного (платежного) агента может исполнять в том числе и любой из участников синдиката.

5. Каждый из участников синдиката несет кредитный риск по синдицированной ссуде в части своей совокупной доли участия в синдицированной ссуде.

Совокупная доля участия в синдицированной ссуде рассчитывается каждым банком, являющимся участником синдиката, следующим образом:

для банка, являющегося первоначальным кредитором заемщика, - в размере требований банка к заемщику, уменьшенных на основании юридически обязывающего соглашения (договора) на сумму денежных средств, полученную от третьего лица (третьих лиц) для покрытия кредитного риска банка по синдицированной ссуде, и (или) на сумму уступленных новым кредиторам требований по уплате основного долга и начисленных, но невыплаченных процентов и иных платежей по синдицированной ссуде;

для банка, являющегося новым кредитором, - в размере требований к заемщику по уплате основного долга и начисленных, но не выплаченных процентов и иных платежей по синдицированной ссуде, приобретенных банком на основании юридически обязывающего соглашения (договора) с первоначальным кредитором;

для банка, предоставившего на основании юридически обязывающего соглашения (договора) первоначальному кредитору или новому кредитору денежные средства для покрытия кредитного риска банка по синдицированной ссуде, - в сумме предоставленных денежных средств.

6. При определении уровня кредитного риска по синдицированной ссуде участниками синдиката применяются следующие коэффициенты риска:

участником синдиката, являющимся кредитором (первоначальным кредитором, новым кредитором) заемщика и выполняющим функции кредитного (платежного) агента по синдицированной ссуде, - коэффициент риска в отношении заемщика, предусмотренный настоящей Инструкцией;

участником синдиката, являющимся кредитором (первоначальным кредитором, новым кредитором) заемщика и не выполняющим функции кредитного (платежного) агента по синдицированной ссуде, - больший из коэффициентов риска, предусмотренных настоящей Инструкцией в отношении заемщика и кредитного (платежного) агента;

участником синдиката, предоставившим кредитору (первоначальному кредитору, новому кредитору) денежные средства для покрытия его кредитного риска по синдицированной ссуде и выполняющим функции кредитного (платежного) агента по синдицированной ссуде, - больший из коэффициентов риска, предусмотренных настоящей Инструкцией в отношении заемщика и кредитора;

участником синдиката, предоставившим кредитору (первоначальному кредитору, новому кредитору) денежные средства для покрытия его кредитного риска по синдицированной ссуде и не выполняющим функции кредитного (платежного) агента по синдицированной ссуде, - больший из коэффициентов риска, предусмотренных настоящей Инструкцией в отношении заемщика, кредитора и кредитного (платежного) агента.

Если по синдицированной ссуде на основании юридически обязывающего договора (договоров) предусмотрено обеспечение по обязательству (обязательствам) заемщика (должника), принимаемое одним из кредиторов или уполномоченным третьим лицом в интересах всех участников синдиката (далее - обеспечение), то каждый из участников синдиката, чьи права в случае неисполнения или ненадлежащего исполнения заемщиком (должником) по обеспеченному (обеспеченным) обязательству (обязательствам) должны быть удовлетворены из стоимости обеспечения, учитывает данное обеспечение в целях расчета обязательных нормативов при оценке риска в отношении заемщика (должника) в части, указанной в договоре (договорах).

Приложение 5
к Инструкции Банка России
от 28 июня 2017 года N 180-И
"Об обязательных нормативах банков"

ПОРЯДОК
РАСЧЕТА НОРМАТИВА МАКСИМАЛЬНОГО РАЗМЕРА РИСКА НА ОДНОГО ЗАЕМЩИКА ИЛИ ГРУППУ СВЯЗАННЫХ ЗАЕМЩИКОВ (Н6) ПО СДЕЛКАМ, СОВЕРШАЕМЫМ НА ВОЗВРАТНОЙ ОСНОВЕ

1. В зависимости от применяемого в целях расчета нормативов достаточности капитала банка подхода, предусмотренного пунктом 2.3 либо пунктом 2.6 настоящей Инструкции, норматив Н6 рассчитывается банком-заемщиком и банком-кредитором с учетом следующего.

2. Банк-заемщик по сделке с ценными бумагами (в том числе с клиринговыми сертификатами участия), совершаемой на возвратной основе, расчет норматива Н6 осуществляет:

в случае расчета нормативов достаточности капитала банка с учетом положений пункта 2.3 настоящей Инструкции:

в отношении контрагента по сделке, совершаемой на возвратной основе с ценными бумагами, в том числе по которым рассчитывается рыночный риск, а также которые ранее были получены без первоначального признания по сделкам, совершаемым на возвратной основе (за исключением сделок с клиринговыми сертификатами участия), переданными без прекращения признания, с включением в расчет норматива Н6 требования по возврату ценных бумаг, стоимость которых отражается на балансовых и внебалансовых счетах, в сумме обеспеченной части требования по возврату ценных бумаг, взвешенной на коэффициент риска по соответствующему обеспечению, и необеспеченной части требования по возврату ценных бумаг, взвешенной на коэффициент риска из установленных пунктом 2.3 настоящей Инструкции в отношении контрагента;

в отношении контрагента по сделке, совершаемой на возвратной основе с клиринговыми сертификатами участия (за исключением сделок с клиринговыми сертификатами участия, ранее полученными без первоначального признания по сделкам, совершаемым на возвратной основе), переданными без прекращения признания, с включением в расчет норматива Н6 требования, равного балансовой стоимости активов, составляющих имущественный пул клиринговых сертификатов участия, в сумме обеспеченной части требования, взвешенной на коэффициент риска по соответствующему обеспечению, и необеспеченной части требования, взвешенной на коэффициент риска из установленных пунктом 2.3 настоящей Инструкции в отношении контрагента. Обеспеченная и необеспеченная части требования определяются в соответствии с абзацем четвертым подпункта 2.3.33 пункта 2.3 настоящей Инструкции;

в отношении контрагента по сделке, совершаемой на возвратной основе с клиринговыми сертификатами участия, ранее полученными без первоначального признания, с включением в расчет норматива Н6 требования по возврату клиринговых сертификатов участия, отражаемого на внебалансовых счетах, в сумме обеспеченной части требования, взвешенной на коэффициент риска 0;

в отношении эмитента, ценные бумаги которого переданы в обеспечение по сделке, совершаемой на возвратной основе (за исключением ценных бумаг, ранее полученных без первоначального признания по сделкам, совершаемым на возвратной основе), с включением в расчет норматива Н6 стоимости указанных ценных бумаг, отражаемых на балансовых счетах. При этом в отношении эмитента, ценные бумаги которого были получены без первоначального признания и в последующем переданы в обеспечение по сделке, совершаемой на возвратной основе, расчет норматива Н6 осуществляется в соответствии с порядком, предусмотренным пунктом 5.4 настоящей Инструкции для ценных бумаг, предоставленных в качестве обеспечения по первоначальной сделке;

в отношении эмитента ценных бумаг, составляющих имущественные пулы клиринговых сертификатов участия (за исключением ценных бумаг, составляющих имущественный пул клиринговых сертификатов участия, ранее полученных без первоначального признания по сделкам, совершаемым на возвратной основе), которые переданы в обеспечение по сделке, совершаемой на возвратной основе, с включением в расчет норматива Н6 стоимости указанных ценных бумаг, отражаемой на балансовых счетах;

в случае расчета нормативов достаточности капитала банка с учетом положений пункта 2.6 настоящей Инструкции:

в отношении контрагента по сделке, совершаемой на возвратной основе с ценными бумагами (в том числе клиринговыми сертификатами участия), переданными без прекращения признания, или с ценными бумагами (в том числе с клиринговыми сертификатами участия), полученными без первоначального признания, с включением в расчет норматива Н6 результата расчета стоимости актива, определяемой в соответствии с подпунктом 2.6.1 пункта 2.6 настоящей Инструкции.

3. Банк-кредитор по сделке с ценными бумагами (в том числе с клиринговыми сертификатами участия), совершаемой на возвратной основе, расчет норматива Н6 осуществляет:

в случае расчета нормативов достаточности капитала банка с учетом требований пункта 2.3 настоящей Инструкции:

в отношении контрагента по сделке, совершаемой на возвратной основе, с ценными бумагами (за исключением клиринговых сертификатов участия), полученными без первоначального признания, с включением в расчет норматива Н6 требования по возврату денежных средств по указанной операции в сумме обеспеченной части требования, взвешенной на коэффициент риска по соответствующему обеспечению, и необеспеченной части требования, взвешенной на коэффициент риска из установленных пунктом 2.3 настоящей Инструкции в отношении контрагента. По сделке, совершаемой на возвратной основе с клиринговыми сертификатами участия, полученными без первоначального признания, требование по возврату денежных средств включается в расчет норматива Н6 с коэффициентом риска из установленных пунктом 2.3 настоящей Инструкции в отношении контрагента в соответствии с абзацем шестым подпункта 2.3.33 пункта 2.3 настоящей Инструкции;

в отношении эмитента, ценные бумаги которого получены в обеспечение, с включением в расчет норматива Н6 стоимости указанных бумаг, в пределах суммы требования по возврату денежных средств и пропорционально величине риска невозврата денежных средств контрагентом, то есть с учетом величины расчетного резерва на возможные потери по требованию по возврату денежных средств контрагентом, определяемой в соответствии с Положением Банка России N 590-П;

в случае расчета нормативов достаточности капитала банка с учетом пункта 2.6 настоящей Инструкции:

в отношении контрагента по сделке, совершаемой на возвратной основе, с ценными бумагами (в том числе с клиринговыми сертификатами участия), полученными без первоначального признания, или с ценными бумагами, переданными без прекращения признания, с включением в расчет норматива Н6 результата расчета стоимости актива, определяемой в соответствии с подпунктом 2.6.1 пункта 2.6 настоящей Инструкции.

Приложение 6
к Инструкции Банка России
от 28 июня 2017 года N 180-И
"Об обязательных нормативах банков"

ПЕРЕЧЕНЬ ФОНДОВЫХ ИНДЕКСОВ АКЦИЙ

1. ASX 100 (Австралия)

2. S&P/Toronto Stock Exchange 60 Index (Канада)

3. Shenzhen Stock Exchange Component Stock Index (Китай)

4. CAC 40 (Франция)

5. DAX 30 (Германия)

6. NIKKEI 225 (Япония)

7. KOSPI 100 (Южная Корея)

8. FTSE 100 (Великобритания)

9. Dow Jones Industrial Average (США)

Приложение 7
к Инструкции Банка России
от 28 июня 2017 года N 180-И
"Об обязательных нормативах банков"

МЕТОДИКА
РАСЧЕТА РИСКА ИЗМЕНЕНИЯ СТОИМОСТИ КРЕДИТНОГО ТРЕБОВАНИЯ В РЕЗУЛЬТАТЕ УХУДШЕНИЯ КРЕДИТНОГО КАЧЕСТВА КОНТРАГЕНТА

1. В соответствии с настоящей методикой оценка риска изменения стоимости кредитного требования в результате ухудшения кредитного качества контрагента производится в отношении заключенных на внебиржевом рынке ПФИ.

2. Настоящая методика не распространяется на сделки, проводимые с участием организаций, осуществляющих функции центрального контрагента, указанного в коде 8846.

3. При расчете РСК банк может учитывать ПФИ, приобретенные с целью уменьшения РСК, базисным (базовым) активом которых является сообщение об обстоятельствах, свидетельствующих о неисполнении или ненадлежащем исполнении одним или несколькими государствами, муниципальными образованиями или юридическими лицами (далее - контрольное лицо) своих платежных обязанностей или об ухудшении их платежеспособности (далее - кредитное событие) (далее - кредитные свопы). Для целей расчета РСК принимаются следующие кредитные свопы:

кредитный своп на единичное контрольное лицо (включая условный кредитный своп, выплаты по которому могут предполагать выполнение дополнительного условия, оговоренного в договоре);

кредитный своп на индекс (широкий круг контрольных лиц).

Для целей расчета РСК не могут учитываться:

кредитный своп на индекс, по которому выплаты осуществляются при наступлении кредитного события только у одного из контрольных лиц или после наступления кредитного события у определенного количества контрольных лиц, оговоренного условиями кредитного свопа;

кредитный своп, согласно условиям которого устанавливаются ограничения (минимальный (максимальный) размер компенсируемых убытков) на размер выплат при наступлении кредитного события.

4. Показатель РСК рассчитывается по формуле:

,

где:

показатель Ai рассчитывается по формуле:

,

где:

- коэффициент риска, определяемый исходя из рейтинга долгосрочной кредитоспособности по обязательствам в иностранной или национальной валюте по международной рейтинговой шкале, присвоенного i-му контрагенту как минимум одним из иностранных кредитных рейтинговых агентств ("Эс-энд-Пи Глобал Рейтингс" (S&P Global Ratings), "Фитч Рейтингс" (Fitch Ratings) и "Мудис Инвесторс Сервис" (Moody's Investors Service), в соответствии со значениями, приведенными в таблице:

N п/п Рейтинг долгосрочной кредитоспособности Коэффициент риска wi, в процентах
("Эс-энд-Пи Глобал Рейтингс" (S&P Global Ratings)/"Фитч Рейтингс" (Fitch Ratings) "Мудис Инвесторс Сервис" (Moody's Investors Service)
1 2 3 4
1 AAA Aaa 0,7
2 AA Aa 0,7
3 A A 0,8
4 BBB Baa 1,0
5 BB Ba 2,0
6 B B 3,0
7 CCC Caa 10,0
8 Кредитный рейтинг отсутствует Кредитный рейтинг отсутствует 4,0

- оставшийся срок до истечения j-го ПФИ (j-го соглашения о неттинге по ПФИ), заключенного с i-м контрагентом (количество лет с округлением до двух знаков после запятой, но не менее 1 года). Для ПФИ, включенных в соглашение о неттинге по ПФИ, определяется в рамках каждого соглашения о неттинге по ПФИ как большее из двух значений - один год или средневзвешенный по номинальной контрактной стоимости фактический срок до истечения j-го ПФИ (j-го соглашения о неттинге по ПФИ) - по формуле:

,

где:

- оставшийся срок до истечения ПФИ, включенного в j-e соглашение о неттинге по ПФИ;

- номинальная контрактная стоимость ПФИ, включенного в j-e соглашение о неттинге по ПФИ;

- сумма номинальных контрактных стоимостей всех ПФИ, включенных в j-e соглашение о неттинге по ПФИ;

- величина, подверженная риску, рассчитанная в соответствии с приложением 3 к настоящей Инструкции для j-го ПФИ (для ПФИ, включенных в j-e соглашение о неттинге по ПФИ). В рамках данного расчета требования пункта 7 приложения 3 к настоящей Инструкции не применяются. Формула, указанная в подпункте 6.1 пункта 6 приложения 3 к настоящей Инструкции, для целей расчета РСК может быть использована для ПФИ, не включенных в соглашение о неттинге по ПФИ, кроме случаев, когда обеспечение не может учитываться в соответствии с пунктом 6.5 Положения Банка России N 590-П. В случае использования указанной формулы для ПФИ, не включенных в соглашение о неттинге по ПФИ, вместо показателя ВПРк используется показатель ВПРв;

- дисконт, рассчитываемый по формуле:

,

где:

exp (x) - экспоненциальная функция;

- оставшийся срок до истечения k-го кредитного свопа на единичный базовый актив, имеющего номинальную контрактную стоимость ;

- номинальная контрактная стоимость k-го кредитного свопа на единичный базовый актив, приобретенного с целью уменьшения РСК i-го контрагента и соответствующего требованиям пункта 3 настоящего приложения;

- дисконт, рассчитываемый по формуле:

,

Показатель рассчитывается по формуле:

,

где:

- коэффициент риска для кредитного свопа на индекс с порядковым номером "ind", который приобретен с целью уменьшения РСК и соответствует требованиям пункта 3 настоящего приложения. Банк рассчитывает среднее значение исходя из коэффициентов риска , приведенных в таблице абзаца седьмого настоящего пункта, соответствующих рейтингу долгосрочной кредитоспособности эмитентов кредитных обязательств, включенных в индекс;

- оставшийся срок до истечения кредитного свопа на индекс, имеющего номинальную контрактную стоимость ;

- номинальная контрактная стоимость кредитного свопа на индекс с порядковым номером "ind", который приобретен с целью уменьшения РСК и соответствует требованиям пункта 3 настоящего приложения;

- дисконт, рассчитываемый по формуле:

5. Итоговая величина риска изменения стоимости кредитного требования в результате ухудшения кредитного качества контрагента включается в знаменатели нормативов достаточности капитала банка (пункт 2.1 настоящей Инструкции).

6. Пример расчета РСК без учета кредитных свопов.

Банк заключает внебиржевые сделки с ПФИ с двумя контрагентами. Рейтинг долгосрочной кредитоспособности первого контрагента по международной рейтинговой шкале, присвоенный иностранным кредитным рейтинговым агентством "Фитч Рейтингс" (Fitch Ratings), - BBB. У второго контрагента кредитный рейтинг отсутствует.

С первым контрагентом банк заключил две сделки, со вторым - три. Для каждого контрагента рассчитывается значение показателя , которое представляет собой сумму произведений дисконта () на срок до истечения ПФИ () и на величину, подверженную риску (), по всем ПФИ с i-ым контрагентом, умноженную на весовой коэффициент риска контрагента из таблицы абзаца седьмого пункта 4 настоящего приложения.

По контрагенту 1 (w = 1%):

N п/п Сделки с контрагентом 1 EA M D M x EA x D
1 2 3 4 5 6
1 1 30 5 0,885 132,72
2 2 10 1 0,975 9,75
.

По контрагенту 2 (w = 4%):

N п/п Сделки с контрагентом 2 EA M D M x EA x D
1 2 3 4 5 6
1 1 15 1 0,975 14,63
2 2 10 5 0,885 44,24
3 3 20 2 0,952 38,07
.

Поскольку банк не использует кредитные свопы, РСК рассчитывается по формуле:

.
N п/п Контрагент
1 2 3 4 5
1 1 1,42 7,03 17,06
2 2 3,88

.

7. Пример расчета РСК с учетом кредитных свопов.

Данный пример является продолжением примера пункта 6 настоящего приложения. В целях уменьшения РСК банк приобрел два кредитных свопа на второго контрагента и кредитный своп на индекс. Значение показателя рассчитывается с учетом приобретенных кредитных свопов на второго контрагента:

N п/п Кредитный своп на второго контрагента
1 2 3 4 5 6
1 1 20 2 0,952 38,07
2 2 10 1 0,975 9,75

.

Для учета приобретенного кредитного свопа на индекс рассчитывается показатель ():

Кредитный своп на индекс
1 1% 10 2 0,952 19,03 0,19

С учетом приобретенных кредитных свопов на индекс значение показателя РСК рассчитывается по формуле:

,
N п/п Контрагент
1 2 3 4 5
1 1 1,42 2,26 5,89
2 2 1,96

.

8. Риск изменения стоимости кредитного требования в результате ухудшения кредитного качества контрагента отражается банками в следующей таблице.

Риск изменения стоимости кредитного требования в результате ухудшения кредитного качества контрагента по состоянию на _____ года

Перечень контрагентов РСК
i Кредитный рейтинг контрагента
1 ПФИ (соглашение о неттинге по ПФИ)
j
2 ПФИ (соглашение о неттинге по ПФИ)
j
Приобретенные кредитные свопы
k
Перечень кредитных свопов на индекс
ind

Приложение 8
к Инструкции Банка России
от 28 июня 2017 года N 180-И
"Об обязательных нормативах банков"

ПОРЯДОК РАСПРЕДЕЛЕНИЯ ПРИБЫЛИ (ЧАСТИ ПРИБЫЛИ)

Банк может распределять прибыль (часть прибыли), направлять ее на цели, предусмотренные статьей 24 Федерального закона "О банках и банковской деятельности", в размере, установленном в соответствии со следующей таблицей.

Период Квартиль Совокупная величина надбавки поддержания достаточности капитала и антициклической надбавки, рассчитанной в соответствии с главой 3 настоящей Инструкции, для банков, не относящихся к системно значимым кредитным организациям, в процентах Совокупная величина надбавки поддержания достаточности капитала, антициклической надбавки, рассчитанной в соответствии с главой 3 настоящей Инструкции, и надбавки за системную значимость для банков, относящихся к системно значимым кредитным организациям, в процентах Доля прибыли, подлежащей распределению, в процентах
01.01.2017 - 31.12.2017 Первый Менее или равно (0,313 + 12,5% антициклической надбавки) Менее или равно (0,4 + 12,5% антициклической надбавки) 0
Второй Менее или равно (0,625 + 25% антициклической надбавки) и более (0,313 + 12,5% антициклической надбавки) Менее или равно (0,8 + 25% антициклической надбавки) и более (0,4 + 12,5% антициклической надбавки) 20
Третий Менее или равно (0,938 + 37,5% антициклической надбавки) и более (0,625 + 25% антициклической надбавки) Менее или равно (1,2 + 37,5% антициклической надбавки) и более (0,8 + 25% антициклической надбавки) 40
Четвертый Менее или равно (1,25 + 50% антициклической надбавки) и более (0,938 + 37,5% антициклической надбавки) Менее или равно (1,6 + 50% антициклической надбавки) и более (1,2 + 37,5% антициклической надбавки) 60
Превышает сумму минимально допустимых значений надбавок Более (1,25 + 50% антициклической надбавки) Более (1,6 + 50% антициклической надбавки) 100
01.01.2018 - 31.12.2018 Первый Менее или равно (0,469+ 18,75% антициклической надбавки) Менее или равно (0,631 + 18,75% антициклической надбавки) 0
Второй Менее или равно (0,938 + 37,5% антициклической надбавки) и более (0,469+ 18,75% антициклической надбавки) Менее или равно (1,2625 + 37,5% антициклической надбавки) и более (0,631 + 18,75% антициклической надбавки) 20
Третий Менее или равно (1,406 + 56,25% антициклической надбавки) и более (0,938 + 37,5% антициклической надбавки) Менее или равно (1,894 + 56,25% антициклической надбавки) и более (1,2625 + 37,5% антициклической надбавки) 40
Четвертый Менее или равно (1,875 + 75% антициклической надбавки) и более (1,406 + 56,25% антициклической надбавки) Менее или равно (2,525 + 75% антициклической надбавки) и более (1,894 + 56,25% антициклической надбавки) 60
Превышает сумму минимально допустимых значений надбавок Более (1,875 + 75% антициклической надбавки) Более (2,525 + 75% антициклической надбавки) 100
с 01.01.2019 Первый Менее или равно (0,625 + 25% антициклической надбавки) Менее или равно (0,875 + 25% антициклической надбавки) 0
Второй Менее или равно (1,25 + 50% антициклической надбавки) и более (0,625 + 25% антициклической надбавки) Менее или равно (1,75 + 50%) антициклической надбавки) и более (0,875 + 25% антициклической надбавки) 20
Третий Менее или равно (1,875 + 75% антициклической надбавки) и более (1,25 + 50% антициклической надбавки) Менее или равно (2,625 + 75%) антициклической надбавки) и более (1,75 + 50% антициклической надбавки) 40
Четвертый Менее или равно (2,5 + 100% антициклической надбавки) и более (1,875 + 75% антициклической надбавки) Менее или равно (3,5 + 100% антициклической надбавки) и более (2,625 + 75%) антициклической надбавки) 60
Превышает сумму минимально допустимых значений надбавок Более (2,5 + 100% антициклической надбавки) Более (3,5 + 100% антициклической надбавки) 100

Приложение 9
к Инструкции Банка России
от 28 июня 2017 года N 180-И
"Об обязательных нормативах банков"

МЕТОДИКА РАСЧЕТА КРЕДИТНОГО РИСКА ПО ВЛОЖЕНИЯМ БАНКА В ФОНДЫ

(в ред. Указаний ЦБ РФ от 08.09.2017 N 4521-У, от 04.07.2018 N 4851-У)

1. В соответствии с настоящим приложением оценка кредитного риска осуществляется в отношении вложений в фонды, в том числе переданные в доверительное управление, в целях расчета нормативов достаточности капитала банка.

2. В целях расчета кредитного риска по вложениям в фонды применяются три подхода к оценке риска: сквозной подход, мандатный подход и резервный подход.

Риск по вложениям в фонды оценивается пропорционально осуществленным банком инвестициям исходя из оценки активов фонда.

3. Настоящее приложение не распространяется на следующие активы фонда:

активы, принимаемые в расчет показателей, уменьшающих сумму источников базового капитала, и (или) добавочного капитала, и (или) дополнительного капитала и (или) сумму основного и дополнительного капитала в соответствии с требованиями подпунктов 2.2.1, 2.2.4, 2.2.6, 2.2.9, 2.4.1, 2.4.3 и 2.4.4 пункта 2, подпунктов 3.2.1, 3.2.3 и 3.2.4 пункта 3 Положения Банка России N 395-П;

активы, удовлетворяющие требованиям кодов 8749, 8878.А, 8880 приложения 1 к настоящей Инструкции.

В абзаце третьем цифры "8749," исключены с даты вступления в силу нормативного акта Банка России о расчете кредитного риска по сделкам секьюритизации (пункт 1.8 Указания ЦБ РФ от 04.07.2018 N 4851-У).

В рамках подходов, указанных в пункте 2 настоящего приложения, с нулевым коэффициентом риска оцениваются следующие активы фонда:

остатки денежных средств в рублях на расчетных (текущих) счетах, депозитах, вкладах, размещенные в самом банке;

долговые ценные бумаги самого банка.

4. Величина кредитного риска по вложениям в фонды рассчитывается по формуле:

, где:

- величина, полученная в результате применения сквозного подхода;

- величина, полученная в результате применения мандатного подхода;

- величина, полученная в результате применения резервного подхода.

4.1. При оценке риска по вложениям в фонды по сквозному подходу каждый актив фонда взвешивается на коэффициент риска согласно подпункту 2.1.1 пункта 2.1 и пункту 2.3 настоящей Инструкции и приложениям 1 и 3 к настоящей Инструкции.

4.1.1. Сквозной подход применяется к вложениям в фонды (за исключением негосударственных пенсионных фондов (далее - НПФ) в случае, если справка о стоимости чистых активов, в том числе стоимости активов (имущества), акционерного инвестиционного фонда (паевого инвестиционного фонда) и приложения к ней, составленные в соответствии с Указанием Банка России от 24 марта 2017 года N 4323-У "О формах, порядке и сроках составления и представления в Банк России отчетов акционерными инвестиционными фондами, управляющими компаниями инвестиционных фондов, паевых инвестиционных фондов и негосударственных пенсионных фондов", зарегистрированным Министерством юстиции Российской Федерации 6 июля 2017 года N 47322 (далее - Указание Банка N 4323-У), предоставляются фондом (управляющей компанией) банку или раскрываются неограниченному кругу лиц не реже чем на ежемесячной основе, а фондом, расположенным за пределами территории Российской Федерации, в соответствии с требованиями надзорного органа страны места нахождения (регистрации), но не реже, чем установлено для кредитных организаций данной страны.

В связи с утратой силы Указания Банка России от 24.03.2017 N 4323-У, следует руководствоваться принятым взамен Указанием ЦБ РФ от 08.02.2018 N 4715-У.

Сквозной подход применяется к вложениям в НПФ в случае, если отчетность по форме 0420256 "Отчет о составе портфеля собственных средств (имущества, предназначенного для осуществления уставной деятельности)", составленная в соответствии с Указанием Банка России от 7 февраля 2017 года N 4282-У "О формах, сроках и порядке составления и представления в Банк России отчетности о деятельности, в том числе требованиях к отчетности по обязательному пенсионному страхованию, негосударственных пенсионных фондов, порядке и сроках раскрытия бухгалтерской (финансовой) отчетности, аудиторского и актуарного заключений негосударственными пенсионными фондами", зарегистрированным Министерством юстиции Российской Федерации 10 апреля 2017 года N 46320, предоставляется НПФ банку не реже чем на ежемесячной основе, а НПФ, расположенным за пределами территории Российской Федерации, в соответствии с требованиями надзорного органа страны места нахождения (регистрации), но не реже, чем установлено для кредитных организаций данной страны.

В связи с утратой силы Указания Банка России от 07.02.2017 N 4282-У, следует руководствоваться принятым взамен Указанием ЦБ РФ от 27.11.2017 N 4623-У.

4.1.2. Величина кредитного риска по вложениям в фонд при применении сквозного подхода рассчитывается по формуле:

, где:

- коэффициент риска i-го актива, определяемый в соответствии с подпунктом 4.1 настоящего пункта;

- i-й актив фонда по данным отчетности, предоставляемой фондом (управляющей компанией) в соответствии с подпунктом 4.1.1 настоящего пункта;

- величина резервов на возможные потери, сформированных в соответствии с подпунктами 2.6 и 2.7 пункта 2 Положения Банка России N 283-П, в отношении i-го актива фонда;

- величина кредитного риска по операциям фонда с ПФИ, рассчитанная по методике, установленной в приложении 3 к настоящей Инструкции. В целях определения по сделкам с ПФИ величина, подверженная риску, умножается на коэффициент 1,5 и взвешивается на коэффициент риска в зависимости от контрагента в соответствии с пунктом 2.3 настоящей Инструкции. При этом применяются коэффициенты риска, установленные в отношении балансовых активов, размещенных у соответствующего контрагента. Коэффициент 1,5 не применяется, если сделка заключена с кредитной организацией, осуществляющей функции центрального контрагента и соответствующей условиям кода 8846 приложения 1 к настоящей Инструкции;

ФР - финансовый рычаг, рассчитываемый:

для фондов (за исключением НПФ) - как отношение общей стоимости активов фонда к стоимости чистых активов фонда, определенных в соответствии с Указанием Банка России N 4323-У;

для НПФ - как отношение стоимости активов и собственных средств, рассчитанных в соответствии с Указанием Банка России от 30 мая 2016 года N 4028-У "О порядке расчета собственных средств негосударственных пенсионных фондов", зарегистрированным Министерством юстиции Российской Федерации 24 июня 2016 года N 42635;

- совокупные активы фонда по данным отчетов в соответствии с подпунктом 4.1.1 настоящего пункта, включая операции с ПФИ;

- сумма вложений в фонд, включая переданные в доверительное управление, по балансовой стоимости.

Если значение показателя составит величину, превышающую 1250 процентов, при расчете величины риска вложений в данный фонд применяется максимальное значение коэффициента риска в размере 1250 процентов.

4.2. В случаях, когда не выполняются условия, приведенные в подпункте 4.1.1 настоящего пункта, применяется мандатный подход.

4.2.1. В соответствии с мандатным подходом банк рассчитывает кредитный риск по вложениям в фонды, которые составляют инвестиционную декларацию фонда:

инвестиционные фонды - в соответствии с требованиями статьи 35 Федерального закона от 29 ноября 2001 года N 156-ФЗ "Об инвестиционных фондах" (Собрание законодательства Российской Федерации, 2001, N 49, ст. 4562; 2004, N 27, ст. 2711; 2006, N 17, ст. 1780; 2007, N 50, ст. 6247; 2008, N 30, ст. 3616; 2009, N 48, ст. 5731; 2010, N 17, ст. 1988; N 31, ст. 4193; 2011, N 48, ст. 6728; N 49, ст. 7040, ст. 7061; 2012, N 31, ст. 4334; 2013, N 26, ст. 3207; N 27, ст. 3477; N 30, ст. 4084; N 51, ст. 6695, ст. 6699; 2014, N 11, ст. 1098; 2015, N 27, ст. 4001; N 29, ст. 4357; 2016, N 1, ст. 47; N 23, ст. 3301; N 27, ст. 4225, ст. 4294; 2017, N 18, ст. 2661);

фонды, расположенные за пределами территории Российской Федерации, - в соответствии с законодательством, регулирующим деятельность данных фондов.

Риск по вложениям в фонды в соответствии с мандатным подходом рассчитывается как сумма следующих двух показателей:

1) стоимости активов фонда, взвешенных по уровню риска, который определяется исходя из максимально возможной величины инвестиций, допустимой инвестиционной декларацией фонда, в активы с наибольшим коэффициентом риска. В случае если к активу может быть применен более чем один коэффициент риска, используется максимальный коэффициент, предусмотренный подпунктом 2.1.1 пункта 2.1 и пунктом 2.3 настоящей Инструкции и приложениями 1 и 3 к настоящей Инструкции;

2) стоимости договоров, являющихся ПФИ, риск по которым рассчитывается согласно приложению 3 к настоящей Инструкции с соблюдением следующих условий:

если базисный актив неизвестен, для расчета используется номинальная стоимость ПФИ;

если номинальная стоимость ПФИ неизвестна, она оценивается с использованием максимальной номинальной стоимости ПФИ, допустимой в соответствии с инвестиционной декларацией;

в случаях, когда стоимость замещения неизвестна, используется номинальная стоимость ПФИ;

в случаях, когда в целях расчета потенциального риска отсутствует возможность определения коэффициента по таблице, приведенной в пункте 5 приложения 3 к настоящей Инструкции, применяется коэффициент 15 процентов.

4.2.2. Величина кредитного риска по вложениям в фонд при применении мандатного подхода рассчитывается по формуле:

, где:

- коэффициент риска i-го актива, определяемый в соответствии с подпунктом 4.2 настоящего пункта;

- i-й актив фонда, определенный в соответствии с подпунктом 4.2 настоящего пункта, с учетом требований к структуре активов фонда, исходя из максимально возможной величины инвестиций, установленных инвестиционной декларацией в соответствии с Указанием Банка России от 5 сентября 2016 года N 4129-У "О составе и структуре активов акционерных инвестиционных фондов и активов паевых инвестиционных фондов", зарегистрированным Министерством юстиции Российской Федерации 15 ноября 2016 года N 44339, 11 мая 2017 года N 46679, для фонда, расположенного за пределами территории Российской Федерации, - в соответствии с законодательством, регулирующим деятельность данных фондов;

Р - величина резервов на возможные потери, сформированных в соответствии с подпунктами 2.6 и 2.7 пункта 2 Положения Банка России N 283-П, в отношении вложений в фонд. Банк вправе принять (пересматривать не чаще чем один раз в год) решение об использовании при расчете риска по вложениям в фонды по мандатному подходу величины риска либо за минусом общей суммы сформированного резерва на возможные потери в отношении вложений в фонд (по приведенной в настоящем подпункте формуле), либо производить расчет по формуле, приведенной в подпункте 4.1.2 настоящего пункта, за минусом сформированного резерва пропорционально каждому активу фонда с использованием значений показателей и , определенных в настоящем подпункте;

- величина кредитного риска по сделкам фонда с ПФИ, рассчитанная по методике, установленной в приложении 3 к настоящей Инструкции. В целях определения по сделкам с ПФИ величина, подверженная риску, умножается на коэффициент 1,5 и взвешивается на коэффициент риска в зависимости от контрагента в соответствии с пунктом 2.3 настоящей Инструкции. При этом применяются коэффициенты риска, установленные в отношении балансовых активов, размещенных у соответствующего контрагента. Коэффициент 1,5 не применяется, если сделка заключена с кредитной организацией, осуществляющей функции центрального контрагента и соответствующей условиям кода 8846 приложения 1 к настоящей Инструкции;

ФР - финансовый рычаг, рассчитываемый в соответствии с подпунктом 4.1.2 настоящего пункта;

- совокупная величина активов фонда, включая операции с ПФИ, по данным отчетов, указанных в абзаце пятом настоящего подпункта.

Если значение показателя после умножения на ФР составит величину, превышающую 1250 процентов, при расчете величины риска вложений в данный фонд применяется максимальное значение коэффициента риска в размере 1250 процентов.

4.3. Резервный подход применяется в случаях, когда не выполняются условия, приведенные в подпунктах 4.1.1 и 4.2.1 настоящего пункта.

Вложения в фонды, при оценке риска которых применяется резервный подход, взвешиваются на коэффициент риска 1250 процентов.

В расчет величины кредитного риска включаются вложения в фонды за минусом резерва на возможные потери, сформированного в соответствии с подпунктом 2.6 пункта 2 Положения Банка России N 283-П.

4.4. При оценке риска вложений в один фонд банк может использовать сочетание трех подходов в части вложений, в отношении которых выполняются условия, приведенные в подпунктах 4.1.1, 4.2.1 и 4.3 настоящего пункта.

5. В случае если банком осуществлены вложения в фонд (далее - фонд 1), который инвестировал средства в другой фонд, к оценке риска вложений в фонд 1 может быть применен один из трех подходов, приведенных в подпунктах 4.1, 4.2 и 4.3 пункта 4 настоящего приложения. Для оценки кредитного риска по вложениям, произведенным фондом 1 в иные фонды, необходимо применять резервный подход.

Приложение 10
к Инструкции Банка России
от 28 июня 2017 года N 180-И
"Об обязательных нормативах банков"

МЕТОДИКА РАСЧЕТА КРЕДИТНОГО РИСКА ПО ПФИ В ЦЕЛЯХ РАСЧЕТА НОРМАТИВА ФИНАНСОВОГО РЫЧАГА

(в ред. Указания ЦБ РФ от 06.12.2017 N 4635-У)

1. В соответствии с настоящим приложением оценка кредитного риска осуществляется в целях расчета норматива финансового рычага Н1.4 по заключенным на биржевом и внебиржевом рынках договорам, являющимся ПФИ в соответствии с подпунктом 2.1.1 пункта 2.1 настоящей Инструкции, включая договоры, заключенные на срок до трех рабочих дней, и договоры, условия которых не предусматривают поставку базисного актива.

В величину кредитного риска по ПФИ не включается сумма расчетов банка - участника клиринга с центральным контрагентом, соответствующим условиям кода 8846, в части исполнения сделок клиентов, а именно сумма требований банка к центральному контрагенту, возникших в рамках осуществления брокерской деятельности по заключению договоров, являющихся ПФИ в соответствии с Федеральным законом "О рынке ценных бумаг", если в соответствии с заключенными договорами с клиентами банк не имеет перед ними обязательств по возмещению ущерба в случае банкротства такого центрального контрагента.

2. Кредитный риск по ПФИ (показатель КРСфр) рассчитывается по формуле:

,

где:

ВТКР - текущий кредитный риск (стоимость замещения финансового инструмента), отражающий на отчетную дату величину потерь в случае неисполнения контрагентом своих обязательств;

ВПКР - потенциальный кредитный риск (риск неисполнения контрагентом своих обязательств в течение срока от отчетной даты до даты валютирования в связи с неблагоприятным изменением стоимости базисного актива);

ВКРб - кредитный риск в отношении базисного актива по выпущенным кредитным ПФИ.

3. Величина текущего кредитного риска по ПФИ (показатель ВТКР) определяется с учетом следующего.

Текущий кредитный риск по ПФИ, которые удовлетворяют требованиям пунктов 1 и 3 статьи 4.1 Федерального закона "О несостоятельности (банкротстве)" (соглашение о неттинге по ПФИ), равен превышению суммы справедливых стоимостей всех ПФИ, представляющих собой актив, над суммой справедливых стоимостей всех ПФИ, представляющих собой обязательство (разница между остатками на балансовых счетах N 52601 и N 52602).

Текущий кредитный риск по ПФИ, не включенным в соглашение о неттинге по ПФИ, равен величине справедливой стоимости ПФИ, представляющих собой актив (балансовый счет N 52601). По проданным опционам, не включенным в соглашение о неттинге, текущий кредитный риск не рассчитывается.

При расчете текущего кредитного риска по ПФИ не учитываются суммы обеспечения по ПФИ, указанного в пункте 6.1 Положения Банка России N 372-П, а также суммы прочих безвозвратных платежей и уплаченной вариационной маржи.

Полученная вариационная маржа принимается в уменьшение текущего кредитного риска по ПФИ, включенным в соглашение о неттинге по ПФИ, если одновременно выполняются следующие условия:

отсутствуют ограничения на использование полученной вариационной маржи по сделкам, не подлежащим клирингу лицом, осуществляющим функции центрального контрагента, соответствующим условиям кода 8846, а также лицом, признанным квалифицированным центральным контрагентом в соответствии с правилами, установленными в иностранной юрисдикции;

в соответствии с соглашением (договором) между сторонами вариационная маржа рассчитывается и уплачивается ежедневно в полном объеме;

вариационная маржа уплачивается в одной из валют, установленных в соглашении (договоре) между сторонами в качестве валют расчетов.

4. Величина потенциального кредитного риска по ПФИ (показатель ВПКР) определяется с учетом следующего.

Потенциальный кредитный риск по ПФИ, не включенным в соглашение о неттинге по ПФИ, рассчитывается путем умножения номинальной контрактной стоимости ПФИ на коэффициенты, дифференцированные в зависимости от вида базисного актива и срока, оставшегося от отчетной даты до даты валютирования.

Коэффициенты определяются в соответствии со следующей таблицей.

Номер п/п Срок до даты валютирования Процентные сделки Золотовалютные сделки Сделки с долевыми ценными бумагами Сделки с драгоценными металлами (кроме золота) Прочие товарные сделки
1 2 3 4 5 6 7
1 Менее 1 года 0,0% 1,0% 6,0% 7,0% 10,0%
2 От 1 года до 5 лет 0,5% 5,0% 8,0% 7,0% 12,0%
3 Свыше 5 лет 1,5% 7,5% 10,0% 8,0% 15,0%

К валютно-процентным свопам применяются коэффициенты для золотовалютных сделок.

Для сделок, предусматривающих несколько обменов базисными активами, объем потенциальных потерь увеличивается кратно количеству оставшихся обменов базисными активами.

Величина потенциального риска не рассчитывается для проданных опционов, а также процентных свопов (за исключением валютно-процентных свопов), предусматривающих обязанность каждой из сторон выплачивать другой стороне суммы денежных средств в единой валюте, рассчитанные исходя из двух различных плавающих процентных ставок, начисляемых на сумму базисного актива.

По сделкам, условия которых пересматриваются на заранее определенные даты, за срок до даты валютирования принимается период, оставшийся до следующей даты пересмотра.

К кредитным ПФИ, под которыми понимаются ПФИ в соответствии с Федеральным законом "О рынке ценных бумаг" или ПФИ, признаваемые таковыми в соответствии с правом иностранного государства, нормами международного договора или обычаями делового оборота, предусматривающие обязанность сторон или стороны договора периодически или единовременно уплачивать денежные суммы в зависимости от наступления обстоятельства, свидетельствующего о неисполнении или ненадлежащем исполнении одним или несколькими юридическими лицами, государствами или муниципальными образованиями своих обязанностей (за исключением договора поручительства и договора страхования), применяется коэффициент 5 процентов, если базисный актив удовлетворяет одному из следующих критериев (далее - квалификационные критерии):

является долговой ценной бумагой, выпущенной международным банком развития или органом исполнительной власти любого уровня;

является долговой ценной бумагой, имеющей один из следующих рейтингов:

текущие рейтинги долгосрочной кредитоспособности по обязательствам в иностранной валюте или рублях, присвоенные как минимум двумя из иностранных кредитных рейтинговых агентств на уровне не ниже "BBB" по международной рейтинговой шкале "Эс-энд-Пи Глобал Рейтингс" (S&P Global Ratings) или "Фитч Рейтингс" (Fitch Ratings) либо "Baa" по международной рейтинговой шкале "Мудис Инвесторс Сервис" (Moody's Investors Service);

текущий рейтинг долгосрочной кредитоспособности, присвоенный одним иностранным кредитным рейтинговым агентством на уровне, установленном настоящим пунктом, и рейтинг соответствующего уровня, присвоенный российским кредитным рейтинговым агентством.

К кредитным ПФИ, базисный актив которых не удовлетворяет квалификационным критериям, применяется коэффициент 10 процентов.

К кредитным ПФИ с несколькими базисными активами применяется коэффициент 5 процентов только в случае, когда все базисные активы удовлетворяют квалификационным критериям. В ином случае применяется коэффициент 10 процентов.

К сделкам с базисными активами, не указанными выше, применяются коэффициенты для прочих товарных сделок.

Под номинальной контрактной стоимостью ПФИ понимается стоимость ПФИ, по которой они отражены на соответствующих внебалансовых счетах на дату расчета норматива. При этом за номинальную контрактную стоимость бивалютных сделок принимается та валюта, по которой у банка формируются требования.

Под номинальной контрактной стоимостью расчетных валютных форвардов и расчетных ПФИ, в которых суммы требований и обязательств сторон сделки эквивалентны сумме денежных потоков, понимается нетто-величина денежных потоков в каждой валюте, подлежащая получению в каждую дату валютирования.

Номинальная контрактная стоимость прочих расчетных ПФИ определяется по аналогии с договором (сделкой), предусматривающим (предусматривающей) поставку базисного актива.

Величина потенциального риска по ПФИ, включенным в соглашение о неттинге по ПФИ (показатель ВПРк), определяется по формуле:

где:

ВПРв - величина потенциального риска по тем же самым инструментам, рассчитанная без учета соглашения о неттинге по ПФИ;

k - коэффициент, определяемый как отношение стоимости замещения по ПФИ, включенным в соглашение о неттинге по ПФИ (ЦЗв), к стоимости замещения по ПФИ, включенным в соглашение о неттинге по ПФИ без учета этого соглашения (ЦЗ):

Полученная вариационная маржа не принимается в уменьшение потенциального риска и не включается в расчет величин ЦЗв и ЦЗ.

В случае если величина ЦЗв меньше нуля, коэффициент "k" признается равным нулю.

5. Кредитный риск в отношении базисного актива по выпущенным кредитным ПФИ (показатель ВКРб) рассчитывается как совокупная сумма денежных обязательств банка, выпустившего кредитные ПФИ, в отношении базисных активов данных кредитных ПФИ (далее - проданная кредитная защита), за вычетом отрицательной справедливой стоимости данных кредитных ПФИ, которая принимается в расчет основного капитала в соответствии с подпунктами 2.1.7, 2.1.8, 2.2.7, 2.2.8 пункта 2 Положения Банка России N 395-П (на основании остатков по данным кредитным ПФИ на балансовом счете N 52602 по состоянию на отчетную дату, если убыток текущего года, рассчитанный в соответствии с подпунктом 2.2.8 пункта 2.2 Положения Банка России N 395-П, больше нуля по состоянию на отчетную дату, либо по состоянию на дату предыдущего аудита, если убыток текущего года по состоянию на отчетную дату равен нулю).

По кредитным ПФИ, для которых сумма величины, определенной в соответствии с абзацами третьим - пятым настоящего пункта, и величины вычета, определенного в абзаце первом настоящего пункта, меньше величины потенциального кредитного риска по данным кредитным ПФИ, сумма проданной кредитной защиты может быть дополнительно уменьшена на разницу данных величин.

Сумма проданной кредитной защиты уменьшается на сумму купленной банком кредитной защиты в отношении долговых обязательств того же лица, что и базисные активы выпущенных кредитных ПФИ, при одновременном выполнении следующих условий:

очередность исполнения обязательства, являющегося базисным активом купленного банком кредитного ПФИ, ниже или равна очередности исполнения обязательства, являющегося базисным активом проданного банком кредитного ПФИ;

оставшийся срок до погашения купленной кредитной защиты равен оставшемуся сроку до погашения проданной кредитной защиты или больше него.