Указание ЦБ РФ от 18.04.2014 N 3234-У

"О единых требованиях к правилам осуществления брокерской деятельности при совершении отдельных сделок за счет клиентов"
Редакция от 01.06.2018 — Документ утратил силу, см. «Указание ЦБ РФ от 08.10.2018 N 4928-У»
Показать изменения

Зарегистрировано в Минюсте России 18 июня 2014 г. N 32792


ЦЕНТРАЛЬНЫЙ БАНК РОССИЙСКОЙ ФЕДЕРАЦИИ

УКАЗАНИЕ
от 18 апреля 2014 г. N 3234-У

О ЕДИНЫХ ТРЕБОВАНИЯХ К ПРАВИЛАМ ОСУЩЕСТВЛЕНИЯ БРОКЕРСКОЙ ДЕЯТЕЛЬНОСТИ ПРИ СОВЕРШЕНИИ ОТДЕЛЬНЫХ СДЕЛОК ЗА СЧЕТ КЛИЕНТОВ

(в ред. Указаний ЦБ РФ от 18.01.2016 N 3937-У, от 01.06.2018 N 4805-У)

Настоящее Указание в соответствии с пунктом 4.1 статьи 3, пунктом 3 статьи 42 Федерального закона от 22 апреля 1996 года N 39-ФЗ "О рынке ценных бумаг" (Собрание законодательства Российской Федерации, 1996, N 17, ст. 1918; 2001, N 33, ст. 3424; 2002, N 52, ст. 5141; 2004, N 27, ст. 2711; N 31, ст. 3225; 2005, N 11, ст. 900; N 25, ст. 2426; 2006, N 1, ст. 5; N 2, ст. 172; N 17, ст. 1780; N 31, ст. 3437; N 43, ст. 4412; 2007, N 1, ст. 45; N 18, ст. 2117; N 22, ст. 2563; N 41, ст. 4845; N 50, ст. 6247; 2008, N 52, ст. 6221; 2009, N 1, ст. 28; N 18, ст. 2154; N 23, ст. 2770; N 29, ст. 3642; N 48, ст. 5731; N 52, ст. 6428; 2010, N 17, ст. 1988; N 31, ст. 4193; N 41, ст. 5193; 2011, N 7, ст. 905; N 23, ст. 3262; N 27, ст. 3880; N 29, ст. 4291; N 48, ст. 6728; N 49, ст. 7040; N 50, ст. 7357; 2012, N 25, ст. 3269; N 31, ст. 4334; N 53, ст. 7607; 2013, N 26, ст. 3207; N 30, ст. 4043, ст. 4082, ст. 4084; N 51, ст. 6699; N 52, ст. 6985; 2014, N 30, ст. 4219; 2015, N 1, ст. 13; N 14, ст. 2022; N 27, ст. 4001; N 29, ст. 4348, ст. 4349; "Официальный интернет-портал правовой информации" (www.pravo.gov.ru), 30 декабря 2015 года) и Федеральным законом от 10 июля 2002 года N 86-ФЗ "О Центральном банке Российской Федерации (Банке России)" (Собрание законодательства Российской Федерации, 2002, N 28, ст. 2790; 2003, N 2, ст. 157; N 52, ст. 5032; 2004, N 27, ст. 2711; N 31, ст. 3233; 2005, N 25, ст. 2426; N 30, ст. 3101; 2006, N 19, ст. 2061; N 25, ст. 2648; 2007, N 1, ст. 9, ст. 10; N 10, ст. 1151; N 18, ст. 2117; 2008, N 42, ст. 4696, ст. 4699; N 44, ст. 4982; N 52, ст. 6229, ст. 6231; 2009, N 1, ст. 25; N 29, ст. 3629; N 48, ст. 5731; 2010, N 45, ст. 5756; 2011, N 7, ст. 907; N 27, ст. 3873; N 43, ст. 5973; N 48, ст. 6728; 2012, N 50, ст. 6954; N 53, ст. 7591, ст. 7607; 2013, N 11, ст. 1076; N 14, ст. 1649; N 19, ст. 2329; N 27, ст. 3438, ст. 3476, ст. 3477; N 30, ст. 4084; N 49, ст. 6336; N 51, ст. 6695, ст. 6699; N 52, ст. 6975; 2014, N 19, ст. 2311, ст. 2317; N 27, ст. 3634; N 30, ст. 4219; N 40, ст. 5318; N 45, ст. 6154; N 52, ст. 7543; 2015, N 1, ст. 4, ст. 37; N 27, ст. 3958, ст. 4001; N 29, ст. 4348; N 41, ст. 5639; N 48, ст. 6699; "Официальный интернет-портал правовой информации" (www.pravo.gov.ru), 29 декабря 2015 года, 30 декабря 2015 года) устанавливает единые требования к правилам осуществления брокерской деятельности при совершении отдельных сделок за счет клиентов, регулирующие брокерскую деятельность в части совершения сделок с денежными средствами и (или) ценными бумагами, которые находятся в распоряжении брокера или должны поступить в его распоряжение, и предназначены для совершения указанных сделок в соответствии с договором о брокерском обслуживании (далее - денежные средства (ценные бумаги) клиента) и устанавливает критерии ликвидности ценных бумаг, которые являются обеспечением исполнения обязательств клиента перед брокером. (в ред. Указания ЦБ РФ от 18.01.2016 N 3937-У)

1. Настоящее Указание не распространяется на деятельность брокера по заключению договоров, являющихся производными финансовыми инструментами, за исключением своп-договоров, указанных в абзаце третьем пункта 5 Указания Банка России от 16 февраля 2015 года N 3565-У "О видах производных финансовых инструментов", зарегистрированного Министерством юстиции Российской Федерации 27 марта 2015 года N 36575, базисным активом которых является иностранная валюта. (в ред. Указания ЦБ РФ от 01.06.2018 N 4805-У)

2. В целях настоящего Указания денежные средства клиента и ценные бумаги клиента, обязательства из сделок с ценными бумагами и денежными средствами (в том числе с иностранной валютой), совершенных в соответствии с заключенным с этим клиентом договором о брокерском обслуживании (далее - сделки за счет клиентов), и задолженность этого клиента перед брокером считаются входящими в состав портфеля клиента. При этом, если это предусмотрено договором (договорами) о брокерском обслуживании, у клиента может быть несколько портфелей, сгруппированных по месту совершения сделок, и (или) месту расчетов, и (или) по иным признакам. В этом случае денежные средства, ценные бумаги и обязательства, входящие в состав одного портфеля клиента, не могут одновременно входить в состав другого портфеля клиента. (в ред. Указания ЦБ РФ от 01.06.2018 N 4805-У)

Настоящее Указание не распространяется на портфели клиентов, в состав которых не входят и не могут входить ценные бумаги клиента, обязательства из сделок с ценными бумагами, совершенных в соответствии с заключенным с этим клиентом договором о брокерском обслуживании, и задолженность клиента перед брокером по предоставленным займам. Настоящее Указание также не распространяется на портфели клиентов, в состав которых входят ценные бумаги и денежные средства, предназначенные только для исполнения обязательств из договоров, являющихся производными финансовыми инструментами, и (или) ценные бумаги и денежные средства, полученные по таким договорам.

Брокер осуществляет учет денежных средств, ценных бумаг, обязательств и задолженности, которые входят в состав портфеля клиента.

3. Стоимость портфеля клиента признается равной сумме значений плановых позиций, рассчитанных в соответствии с пунктом 2 приложения 1 к настоящему Указанию (далее - плановая позиция) по ценным бумагам каждого эмитента, предоставляющим их владельцу одинаковый объем прав, и по денежным средствам. (в ред. Указания ЦБ РФ от 01.06.2018 N 4805-У)

4. Возникновение или увеличение в абсолютном выражении отрицательного значения плановой позиции (далее - непокрытая позиция) по ценной бумаге (в том числе по иностранному финансовому инструменту, квалифицированному в качестве ценных бумаг) допускается, если ценная бумага допущена к организованным торгам (в том числе на иностранных биржах) и соответствует одному из следующих критериев: (в ред. Указания ЦБ РФ от 18.01.2016 N 3937-У)

указанная ценная бумага является предметом обязательств, допускаемых к клирингу с участием центрального контрагента, и размер обеспечения исполнения обязательств из сделки с этой ценной бумагой (за исключением коллективного клирингового обеспечения), требуемого от участника клиринга в отсутствие у него иных обязательств, допущенных к клирингу, рассчитывается клиринговой организацией исходя из ставок, соответствующих требованиям пункта 16 приложения 1 к настоящему Указанию; или

указанная ценная бумага не является предметом обязательств, допускаемых к клирингу с участием центрального контрагента, но клиринговая организация раскрывает на своем официальном сайте в информационно-телекоммуникационной сети "Интернет" ставку риска по этой ценной бумаге, определенную в порядке, в котором определены ставки, предусмотренные в абзаце втором настоящего пункта.

5. Брокер определяет перечень ценных бумаг, соответствующих требованиям пункта 4 настоящего Указания, по которым может возникать непокрытая позиция (далее - перечень ликвидных ценных бумаг), и предоставляет его (доступ к нему) своим клиентам в порядке, предусмотренном договором о брокерском обслуживании. Указанный перечень может включать в себя ценные бумаги, соответствующие требованиям пункта 4 настоящего Указания, по которым брокер не допускает возникновение непокрытых позиций, но по которым положительное значение плановой позиции не принимается равным нулю, как это предусмотрено в пункте 3 приложения 1 к настоящему Указанию. Перечень ликвидных ценных бумаг может определяться для каждого клиента или группы клиентов в отдельности.

6. Если ценная бумага перестала соответствовать требованиям пункта 4 настоящего Указания, брокер исключает указанную ценную бумагу из перечня ликвидных ценных бумаг в срок, не превышающий 30 дней со дня, в который он узнал или должен был узнать об указанном несоответствии.

7. При совершении за счет клиента сделки или операции с ценной бумагой, которая не соответствует требованиям пункта 4 настоящего Указания (далее - неликвидная ценная бумага), не допускается возникновение непокрытой позиции по этой ценной бумаге, определяемой по обязательствам, подлежащим исполнению до какого-либо срока (далее - временно непокрытая позиция).

Требования настоящего пункта и требования пункта 4 настоящего Указания не применяются в отношении клиента брокера, отнесенного в соответствии с пунктами 28 - 30 настоящего Указания к категории клиентов с особым уровнем риска.

8. При совершении сделки за счет клиента на организованных торгах на основе заявок на покупку и заявок на продажу ценных бумаг по наилучшим из указанных в них ценам при том, что заявки адресованы всем участникам торгов и информация, позволяющая идентифицировать подавших заявки участников торгов, не раскрывается в ходе торгов другим участникам (далее - анонимные торги), не допускается возникновение или увеличение непокрытой позиции, возникновение или увеличение временно непокрытой позиции по ценной бумаге, если цена этой сделки:

на пять или более процентов ниже цены закрытия соответствующих ценных бумаг, определенной организатором торговли за предыдущий торговый день, или цены последней сделки, заключенной в течение основной торговой сессии предыдущего торгового дня, если организатор торговли не определяет цену закрытия соответствующих ценных бумаг; и

ниже последней текущей цены, рассчитанной организатором торговли, о которой брокер знал или должен был знать в момент подачи заявки (поручения) на ее совершение; и

ниже цены последней сделки, вошедшей в расчет указанной текущей цены.

9. Требования пункта 8 настоящего Указания не распространяются на сделки, которые заключаются в рамках выполнения брокером обязательств маркет-мейкера и на сделки, обязательства из которых допущены к клирингу с участием центрального контрагента, в отношении которого Банком России принято решение о признании качества управления центральным контрагентом удовлетворительным.

10. Брокер не совершает в отношении портфеля клиента действий, в результате которых стоимость указанного портфеля станет меньше соответствующего ему размера начальной маржи, рассчитанного по формулам, предусмотренным пунктом 14 приложения 1 к настоящему Указанию (далее - размер начальной маржи), или в результате которых положительная разница между размером начальной маржи и стоимостью портфеля клиента увеличится.

11. Требование пункта 10 настоящего Указания не применяется в следующих случаях:

в случае если соответствующие действия брокера (в том числе подача заявок на организованных торгах) приходились на момент времени, в который стоимость портфеля клиента была больше или равна размеру начальной маржи, скорректированному с учетом положений приложения 2 к настоящему Указанию;

в случае начисления и (или) уплаты за счет клиента брокеру и (или) третьим лицам в связи со сделками, заключенными брокером за счет клиента, сумм штрафов, пеней, процентов, неустоек, убытков, расходов и вознаграждений, в том числе по договору брокера с клиентом, предметом которого не является оказание брокерских услуг;

в случае если за счет средств клиента исполняются обязанности по уплате обязательных платежей, в том числе в связи с исполнением брокером обязанностей налогового агента, решения органов государственной власти;

в случае совершения действий в отношении портфеля клиента брокера, отнесенного в соответствии с пунктами 28 - 30 настоящего Указания к категории клиентов с особым уровнем риска;

в случае заключения за счет клиента договоров репо;

в случае удовлетворения клиринговой организацией требований, обеспеченных индивидуальным клиринговым обеспечением, в результате неисполнения или ненадлежащего исполнения брокером обязательств из сделок, совершенных за счет клиента;

в случае исполнения обязательств из договоров, являющихся производными финансовыми инструментами;

в случае исключения ценной бумаги из перечня ликвидных ценных бумаг;

в случае проведения брокером операции за счет клиентов, связанных с отчуждением (приобретением) иностранной валюты и ее обратным приобретением (отчуждением) брокером; (в ред. Указания ЦБ РФ от 01.06.2018 N 4805-У)

в случае изменения брокером начальной ставки риска, предусмотренной пунктом 14 приложения 1 к настоящему Указанию. (в ред. Указания ЦБ РФ от 01.06.2018 N 4805-У)

12. Если стоимость портфеля клиента стала меньше соответствующего ему размера минимальной маржи, рассчитанного в соответствии с пунктом 14 приложения 1 к настоящему Указанию (далее - размер минимальной маржи), брокер до окончания основной торговой сессии проведения организованных торгов ценными бумагами в день, в который наступило указанное обстоятельство, совершает действия по снижению указанного размера минимальной маржи и (или) увеличению стоимости портфеля клиента (далее - закрытие позиций).

Требования настоящего пункта не применяются, если до закрытия позиций клиента стоимость портфеля этого клиента превысила размер минимальной маржи, или если размер минимальной маржи равен нулю при отрицательной стоимости портфеля клиента.

Требования настоящего пункта также не применяются в отношении клиента брокера, отнесенного в соответствии с пунктами 28 - 30 настоящего Указания к категории клиентов с особым уровнем риска.

13. В целях настоящего Указания к действиям по закрытию позиций клиента не относятся действия брокера, совершенные на основании поручения (требования) клиента, направленного (переданного) брокеру для совершения сделки, в котором явно указаны ценные бумаги (иностранная валюта) и их количество.

14. Если обстоятельство, предусмотренное пунктом 12 настоящего Указания, наступило не ранее чем за три часа до окончания основной торговой сессии проведения организованных торгов ценными бумагами, брокер осуществляет закрытие позиций не позднее окончания следующей основной торговой сессии проведения организованных торгов ценными бумагами.

15. В случае если до закрытия позиций клиента организованные торги ценными бумагами были приостановлены и их возобновление произошло не ранее чем за три часа до окончания основной торговой сессии проведения указанных торгов, брокер осуществляет закрытие позиций не позднее окончания следующей основной торговой сессии проведения организованных торгов ценными бумагами.

16. В результате закрытия позиций клиента стоимость его портфеля должна превышать размер начальной маржи на величину, порядок определения которой должен быть согласован брокером с клиентом.

17. Если иное не предусмотрено настоящим Указанием, действия, связанные с закрытием позиций, совершаются на анонимных торгах.

18. Закрытие позиций по решению брокера осуществляется без соблюдения требований пункта 17 настоящего Указания в случаях, если: (в ред. Указания ЦБ РФ от 01.06.2018 N 4805-У)

покупка ценных бумаг, связанная с закрытием позиций, осуществляется по цене, не превышающей максимальную цену сделки с такими ценными бумагами, совершенной на анонимных торгах в течение последних 15 минут, или если эти торги приостановлены, - в течение последних 15 минут до их приостановления; (в ред. Указания ЦБ РФ от 01.06.2018 N 4805-У)

продажа ценных бумаг, связанная с закрытием позиций, осуществляется по цене не ниже минимальной цены сделки с такими ценными бумагами, совершенной на анонимных торгах в течение последних 15 минут, или если эти торги приостановлены, - в течение последних 15 минут до их приостановления; (в ред. Указания ЦБ РФ от 01.06.2018 N 4805-У)

покупка или продажа ценных бумаг, связанная с закрытием позиций, осуществляется в отношении ценных бумаг, не допущенных к анонимным торгам организатора торговли; (в ред. Указания ЦБ РФ от 01.06.2018 N 4805-У)

покупка облигаций, связанная с закрытием позиций, осуществляется по цене не выше лучшей котировки на продажу таких ценных бумаг, опубликованной в информационной системе Блумберг (Bloomberg) или в информационной системе Томсон Рейтерс (Thomson Reuters), более чем на величину произведения указанной котировки и одной четвертой начальной ставки риска по этой облигации, рассчитанной в соответствии с пунктом 17 приложения 1 к настоящему Указанию; (в ред. Указания ЦБ РФ от 01.06.2018 N 4805-У)

продажа облигаций, связанная с закрытием позиций, осуществляется по цене не ниже лучшей котировки на покупку таких ценных бумаг, опубликованной в информационной системе Блумберг (Bloomberg) или в информационной системе Томсон Рейтерс (Thomson Reuters), более чем на величину произведения указанной котировки и одной четвертой начальной ставки риска по этой облигации, рассчитанной в соответствии с пунктом 17 приложения 1 к настоящему Указанию. (в ред. Указания ЦБ РФ от 01.06.2018 N 4805-У)

18.1. Закрытие позиций клиента в соответствии с абзацами пятым и шестым пункта 18 настоящего Указания осуществляется в случае, если договором о брокерском обслуживании для облигаций определен источник информации о ценах или котировках, в соответствии с которыми будет осуществляться закрытие позиций клиента, а в случае, если таким источником является информационная система Блумберг (Bloomberg) или информационная система Томсон Рейтерс (Thomson Reuters), - также указано условное обозначение (указаны условные обозначения) котировок, применяемое (применяемые) для их идентификации в такой информационной системе. (в ред. Указания ЦБ РФ от 01.06.2018 N 4805-У)

19. Брокер не осуществляет закрытие непокрытых позиций клиента, если стоимость портфеля последнего превышает размер минимальной маржи, за исключением случаев, которые предусмотрены договором о брокерском обслуживании.

20. В случае если стоимость портфеля клиента стала меньше размера начальной маржи, брокер в порядке и сроки, предусмотренные договором о брокерском обслуживании, направляет указанному клиенту уведомление об этом (далее - уведомление), если иное не предусмотрено настоящим Указанием.

21. Уведомление должно содержать информацию о стоимости портфеля клиента, о размере начальной маржи и о размере минимальной маржи на момент возникновения основания для направления уведомления, а также информацию о возможных последствиях, которые могут наступить в случае, если стоимость портфеля клиента станет меньше размера минимальной маржи.

22. Брокер может не направлять клиенту уведомление, если он в соответствии с договором о брокерском обслуживании каждый час времени проведения организованных торгов не менее одного раза информирует клиента либо предоставляет ему доступ к информации о стоимости портфеля, размере начальной и размере минимальной маржи.

23. Брокер хранит копии направленных уведомлений не менее пяти лет со дня их направления.

24. Брокер ведет журнал направленных уведомлений и вносит в него записи о направленных уведомлениях не позднее рабочего дня, следующего за днем их направления.

Журнал направленных уведомлений ведется на бумажных и (или) электронных (магнитных, оптических или иных) носителях.

Программно-технические средства, при помощи которых ведется журнал направленных уведомлений, должны обеспечивать возможность его представления в виде файла с расширением ".xls" или ".xlsx".

Записи журнала направленных уведомлений подлежат хранению не менее пяти лет со дня их внесения.

25. Журнал направленных уведомлений должен содержать следующую информацию:

порядковый номер уведомления;

индивидуальный идентификационный код портфеля клиента, присвоенный брокером;

стоимость портфеля клиента, размер начальной маржи и размер минимальной маржи, которые были указаны в уведомлении;

дату и время направления уведомления.

26. Брокер может совершать действия, приводящие к возникновению непокрытой позиции, при соблюдении ограничений, предусмотренных настоящим Указанием, а также при соблюдении следующих условий:

информация о рисках клиентов, которые связаны с возникновением непокрытых позиций, размещена на официальном сайте брокера в информационно-телекоммуникационной сети "Интернет";

брокер использует программно-технические средства для осуществления расчетов значений плановой позиции, стоимости портфеля клиента, размера начальной маржи и размера минимальной маржи;

у брокера назначено должностное лицо (лица), ответственное (ответственные) за контроль над рисками, возникающими в связи с наличием непокрытой позиции, за направление клиентам уведомлений и за совершение действий по закрытию непокрытых позиций клиентов.

27. Требования абзаца третьего пункта 26 настоящего Указания не распространяются на брокера, оказывающего услуги исключительно клиентам, отнесенным к категории клиентов с особым уровнем риска.

28. Требования к расчету стоимости портфеля клиента, размера начальной маржи и размера минимальной маржи могут различаться в зависимости от категории, к которой относится этот клиент в соответствии с настоящим Указанием.

29. В соответствии с договором о брокерском обслуживании клиент брокера может быть отнесен к следующим категориям клиентов:

клиент со стандартным уровнем риска;

клиент с повышенным уровнем риска;

клиент с особым уровнем риска.

30. Если в соответствии с договором о брокерском обслуживании клиент брокера не отнесен к категории клиентов с повышенным уровнем риска или к категории клиентов с особым уровнем риска, этот клиент считается отнесенным к категории клиентов со стандартным уровнем риска.

31. Физические лица могут быть отнесены только к категории клиентов со стандартным уровнем риска или к категории клиентов с повышенным уровнем риска. При этом к категории клиентов с повышенным уровнем риска могут быть отнесены физические лица при соблюдении одного из следующих условий:

сумма денежных средств физического лица (в том числе иностранной валюты), учитываемая по счету внутреннего учета расчетов с клиентом по денежным средствам, и стоимость ценных бумаг клиента, учитываемых по счету внутреннего учета расчетов с клиентом по ценным бумагам, фьючерсным контрактам и опционам, составляет не менее трех миллионов рублей по состоянию на день, предшествующий дню, с которого это лицо считается отнесенным к категории клиентов с повышенным уровнем риска;

сумма денежных средств (в том числе иностранной валюты) физического лица, учитываемая по счету внутреннего учета расчетов с клиентом по денежным средствам, и стоимость ценных бумаг клиента, учитываемая по счету внутреннего учета расчетов с клиентом по ценным бумагам, фьючерсным контрактам и опционам, составляет не менее 600 000 рублей по состоянию на день, предшествующий дню, с которого это лицо считается отнесенным к категории клиентов с повышенным уровнем риска. При этом физическое лицо является клиентом брокера (брокеров) в течение последних 180 дней, предшествующих дню принятия указанного решения, из которых не менее пяти дней за счет этого лица брокером (брокерами) заключались договоры с ценными бумагами или договоры, являющиеся производными финансовыми инструментами.

32. Стоимость ценных бумаг, предусмотренная пунктом 31 настоящего Указания, определяется только в отношении ценных бумаг, которые допущены к организованным торгам организатором торговли либо прошли процедуру листинга на иностранной бирже, входящей в перечень, предусмотренный пунктом 4 статьи 51.1 Федерального закона от 22 апреля 1996 года N 39-ФЗ "О рынке ценных бумаг" (далее - Перечень иностранных бирж).

Стоимость ценных бумаг клиента брокера, допущенных к организованным торгам организатором торговли, определяется исходя из цены закрытия этих ценных бумаг, определенной организатором торговли в последний торговый день, предшествующий дню, с которого этот клиент считается отнесенным к категории клиентов с повышенным уровнем риска.

Если цена закрытия ценных бумаг клиента брокера не определяется организатором торговли, их стоимость определяется исходя из цены последней сделки, совершенной с этими ценными бумагами в основную торговую сессию проведения организованных торгов ценными бумагами в последний торговый день, предшествующий дню, с которого этот клиент считается отнесенным к категории клиентов с повышенным уровнем риска.

Если в последний торговый день, предшествующий дню, с которого клиент брокера считается отнесенным к категории клиентов с повышенным уровнем риска, предусмотренные настоящим пунктом цена закрытия ценных бумаг или цена последней сделки отсутствуют (не определены), стоимость ценных бумаг клиента определяется исходя из последней определенной за 30 последних дней цены закрытия ценных бумаг или цены последней сделки.

Стоимость ценных бумаг, прошедших процедуру листинга на иностранной бирже, входящей в Перечень иностранных бирж, определяется исходя из последней раскрытой соответствующей иностранной биржей информации о цене закрытия рынка по указанным ценным бумагам, если со дня такого раскрытия прошло менее 30 дней.

Стоимость ценных бумаг, которая не может быть определена в соответствии с настоящим пунктом, принимается равной нулю.

Денежные средства в иностранной валюте пересчитываются по курсу иностранной валюты по отношению к рублю в порядке, предусмотренном в пункте 13 приложения 1 к настоящему Указанию.

33. Для подтверждения соответствия клиента требованиям, предъявляемым к клиентам с повышенным уровнем риска, брокер использует информацию из документов, подтверждающих такое соответствие, в том числе полученных от третьих лиц.

34. Настоящее Указание вступает в силу по истечении 10 дней после дня его официального опубликования в "Вестнике Банка России".

35. Со дня вступления в силу настоящего Указания не применять приказ ФСФР России от 8 августа 2013 года N 13-71/пз-н "О Единых требованиях к правилам осуществления брокерской деятельности при совершении отдельных сделок за счет клиентов, а также признании утратившими силу отдельных нормативных правовых актов Федеральной службы по финансовым рынкам", зарегистрированный Министерством юстиции Российской Федерации от 30 августа 2013 года N 29798 (Бюллетень нормативных актов федеральных органов исполнительной власти от 16 сентября 2013 года).

Председатель Центрального банка
Российской Федерации
Э.С.НАБИУЛЛИНА

Приложение 1
к Указанию Банка России
от 18.04.2014 N 3234-У
"О единых требованиях
к правилам осуществления
брокерской деятельности
при совершении отдельных
сделок за счет клиентов"

ПОРЯДОК РАСЧЕТА ПОКАЗАТЕЛЕЙ

(в ред. Указания ЦБ РФ от 01.06.2018 N 4805-У)

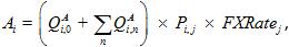
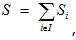
1. Стоимость портфеля клиента определяется формулой:

где:

- значение плановой позиции по i-му имуществу, определенное формулой, предусмотренной в пункте 2 настоящего приложения;

I - количество значений плановых позиций в расчете стоимости указанного портфеля клиента.

2. Значение плановой позиции по i-му имуществу определяется по формуле:

где:

- значение показателя, определенного в соответствии с пунктами 4 и 5 настоящего приложения;

- значение показателя, определенного в соответствии с пунктами 6 и 7 настоящего приложения.

3. Если i-ое имущество является неликвидной ценной бумагой или не входит в соответствующий перечень ликвидных ценных бумаг, значение плановой позиции по ней принимается равным нулю при положительной разнице между значением показателя и значением показателя , определенными по этой ценной бумаге в соответствии с пунктами 5 и 7 настоящего приложения. Значение плановой позиции по i-ой ценной бумаге также принимается равным нулю при положительной разнице между значением показателя и значением показателя , если ценная бумага не включена в перечень ликвидных ценных бумаг брокера.

4. Если i-ое имущество является денежными средствами в единицах i-ой валюты, то значение показателя , предусмотренного пунктом 2 настоящего приложения, определяется по формуле:

где:

- остаток денежных средств в единицах i-ой валюты в составе портфеля клиента;

- сумма денежных средств в единицах i-ой валюты, которая должна поступить в состав портфеля клиента в результате исполнения n-го обязательства;

- курс i-ой иностранной валюты по отношению к рублю, определенный в соответствии с пунктом 13 настоящего приложения. Если i-ой валютой является рубль, значение показателя принимается равным 1.

5. Если i-ое имущество является i-ой ценной бумагой, то значение показателя , предусмотренного пунктом 2 настоящего приложения, определяется по формуле:

где:

- остаток i-ых ценных бумаг в составе портфеля клиента;

- количество i-ых ценных бумаг, которые должны поступить в состав портфеля клиента в результате исполнения n-го обязательства;

- цена одной i-ой ценной бумаги, выраженная в единицах j-ой валюты, определенная в соответствии с пунктом 12 настоящего приложения;

- определенный в соответствии с пунктом 13 настоящего приложения курс j-ой валюты, в которой выражена цена i-ой ценной бумаги, к рублю. Если j-ой валютой является рубль, значение показателя принимается равным 1.

6. Если i-ое имущество является денежными средствами в единицах i-ой валюты, то значение показателя , предусмотренного пунктом 2 настоящего приложения, определяется по формуле:

где:

- сумма денежных обязательств в единицах i-ой валюты, которые должны быть исполнены из портфеля клиента;

- значение, определяемое брокером в соответствии с пунктом 8 настоящего приложения, если это предусмотрено договором о брокерском обслуживании;

- значение, определяемое в порядке, предусмотренном в пунктах 9 и 11 настоящего приложения;

- курс i-ой иностранной валюты по отношению к рублю, определенный в соответствии с пунктом 13 настоящего приложения. Если i-ой валютой является рубль, значение показателя принимается равным 1.

7. Если i-ое имущество является i-ой ценной бумагой, то значение показателя , предусмотренного пунктом 2 настоящего приложения, определяется по формуле:

где:

- количество i-ых ценных бумаг (в штуках), являющихся предметом обязательств, которые должны быть исполнены из портфеля клиента;

- значение, определяемое в порядке, предусмотренном в пунктах 10 и 11 настоящего приложения;

- цена одной i-ой ценной бумаги, выраженная в единицах j-ой валюты, определенная в соответствии с пунктом 12 настоящего приложения;

- определенный в соответствии с пунктом 13 настоящего приложения курс j-ой валюты, в которой выражена цена i-ой ценной бумаги, к рублю. Если j-ой валютой является рубль, значение показателя принимается равным 1.

8. Показатель , предусмотренный пунктом 6 настоящего приложения, может включать суммы вознаграждений и (или) возмещения (оплаты) расходов в единицах i-ой валюты, на которые брокер вправе рассчитывать по договору о брокерском обслуживании.

9. Если i-ое имущество является денежными средствами в единицах i-ой валюты, то значение показателя , предусмотренное пунктом 6 настоящего приложения, определяется как сумма денежных средств, выраженных в единицах i-ой валюты, поступивших в состав портфеля клиента от третьего лица, за исключением следующих лиц:

профессионального участника рынка ценных бумаг;

клиринговой организации;

управляющей компании инвестиционных фондов, паевых инвестиционных фондов и негосударственных пенсионных фондов;

акционерного инвестиционного фонда;

иностранного юридического лица, осуществляющего в соответствии с его личным законом деятельность, аналогичную деятельности, осуществляемой лицами, предусмотренными абзацами вторым - пятым настоящего пункта, предоставившего письменное заверение о том, что в соответствии с его личным законом оно имеет право на осуществление соответствующего вида деятельности, подписанное уполномоченным лицом этого юридического лица;

эмитента ценных бумаг при выплате дохода по ценным бумагам;

физического лица;

юридического лица, не предусмотренного абзацами вторым - седьмым настоящего пункта, если сумма денежных средств поступила от него по договору, не являющемуся договором займа или кредитным договором, по которому указанное юридическое лицо является кредитором, либо договором, сторонами которого являются брокер, его клиент и указанное юридическое лицо, которое предоставляет клиенту денежные средства на возвратной основе, в соответствии с которым брокер передает этому лицу информацию о находящихся у него в распоряжении денежных средствах клиента и (или) ценных бумагах клиента, необходимую и достаточную в полном объеме для расчета всех показателей, предусмотренных настоящим приложением. Поступление денежных средств по договору подтверждается указанием на договор в платежном документе.

10. Если i-ое имущество является i-ой ценной бумагой, то значение показателя , предусмотренное пунктом 7 настоящего приложения, определяется как количество i-ых ценных бумаг, поступивших клиенту в качестве займа по договору займа от третьего лица, стороной которого не является брокер, либо по договору, сторонами которого являются брокер, его клиент и указанное лицо, в соответствии с которым брокер передает этому лицу информацию о находящихся в распоряжении брокера денежных средствах и (или) ценных бумагах клиента, необходимую и достаточную в полном объеме для расчета всех показателей, предусмотренных настоящим приложением. Ценные бумаги, предусмотренные настоящим пунктом, не принимаются в расчет показателя , если они учтены в показателе .

11. Значения показателей, определяемые в пунктах 9 и 10 настоящего приложения, уменьшаются соответственно на сумму денежных средств или количество ценных бумаг, возвращенных третьему лицу, от которого клиенту поступили указанные денежные средства или ценные бумаги, при условии наличия у брокера документов, подтверждающих их возврат.

12. Цена одной i-й ценной бумаги определяется исходя из информации о цене последней сделки с i-й ценной бумагой, совершенной на анонимных торгах, предоставляемой организатором торговли участникам торгов. (в ред. Указания ЦБ РФ от 01.06.2018 N 4805-У)

Цена одной i-й ценной бумаги иностранного эмитента по решению брокера определяется исходя из информации о цене последней сделки с i-й ценной бумагой, совершенной на торгах иностранного организатора торговли (иностранной биржи), предоставляемой иностранным организатором торговли (иностранной биржей) участникам торгов, если объем торгов i-й ценной бумагой на этом иностранном организаторе торговли (иностранной бирже) за последний календарный месяц, предшествующий дню определения цены , превышает объем торгов за тот же период у каждого российского организатора торговли. (в ред. Указания ЦБ РФ от 01.06.2018 N 4805-У)

Порядок выбора российского организатора торговли или иностранного организатора торговли (иностранной биржи), информация которого используется для определения цены i-й ценной бумаги, определяется брокером по соглашению с клиентом. (в ред. Указания ЦБ РФ от 01.06.2018 N 4805-У)

Цена по облигации определяется с учетом накопленного процентного (купонного) дохода. (в ред. Указания ЦБ РФ от 01.06.2018 N 4805-У)

Цена одной i-ой облигации по решению брокера определяется по средней цене такой облигации на основе цены лучшей котировки на покупку и цены лучшей котировки на продажу таких облигаций, опубликованных в информационной системе Блумберг (Bloomberg) или в информационной системе Томсон Рейтерс (Thomson Reuters) на момент определения . (в ред. Указания ЦБ РФ от 01.06.2018 N 4805-У)

В случае если для определения цены i-ой ценной бумаги используется информация, публикуемая в информационной системе Блумберг (Bloomberg) или в информационной системе Томсон Рейтерс (Thomson Reuters), брокер по соглашению с клиентом определяет информационную систему, информация из которой используется для определения цены i-й ценной бумаги, а также условное обозначение (условные обозначения) котировок, применяемое (применяемые) для их идентификации в такой информационной системе. (в ред. Указания ЦБ РФ от 01.06.2018 N 4805-У)

13. Значения показателя () определяются исходя из:

курса i-ой (j-ой) иностранной валюты, установленного Центральным банком Российской Федерации на момент расчета соответствующего показателя, а в случае отсутствия такого курса - кросс-курса i-ой (j-ой) иностранной валюты, рассчитанного исходя из курсов иностранных валют, установленных Центральным банком Российской Федерации, или

информации о последнем курсе i-ой (j-ой) иностранной валюты, сложившемся в ходе организованных торгов иностранной валютой, предоставляемой организатором торговли участникам торгов.

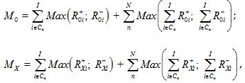
14. Размер начальной маржи и размер минимальной маржи определяются в отношении каждого портфеля клиента по следующим формулам:

где:

и I - показатели, предусмотренные в пункте 1 настоящего приложения;

- n-ое множество ценных бумаг, определенное в соответствии с пунктом 15 настоящего приложения;

N - количество различных множеств ценных бумаг, определенных в соответствии с пунктом 15 настоящего приложения;

- значение начальной ставки риска уменьшения стоимости i-го имущества (в долях единицы), определенное в соответствии с пунктами 16 - 21 настоящего приложения;

- значение начальной ставки риска увеличения стоимости i-го имущества (в долях единицы), определенное в соответствии с пунктами 16 - 21 настоящего приложения;

- значение минимальной ставки риска уменьшения стоимости i-го имущества (в долях единицы), определенное в соответствии с пунктами 16 - 21 настоящего приложения;

- значение минимальной ставки риска увеличения стоимости i-го имущества (в долях единицы), определенное в соответствии с пунктами 16 - 21 настоящего приложения.

15. Ценная бумага, в отношении которой рассчитывается значение плановой позиции, может быть включена в множество , если раскрываемый биржей коэффициент корреляции между изменениями цены такой ценной бумаги и изменениями значения соответствующего индекса, определенный по состоянию на каждый из последних 30 торговых дней, предшествующих дате расчета значений плановых позиций, превышал 0,5 (или 50 процентов, если корреляция выражена в процентах) и хотя бы на один из указанных дней превышал 0,7 (или 70 процентов, если корреляция выражена в процентах).

Каждая ценная бумага может быть включена только в одно множество .

По соглашению с клиентом брокер может не включать в множество ценную бумагу (ценные бумаги), соответствующую (соответствующие) условиям, указанным в настоящем пункте.

16. Если i-ое имущество является i-ой ценной бумагой клиента, отнесенного к категории клиентов с повышенным уровнем риска, значения начальных ставок риска и , предусмотренные пунктом 14 настоящего приложения, определяются как соответственно ставки , исходя из:

ставок и корректирующих указанные ставки коэффициентов, применяемых клиринговой организацией при осуществлении клиринга с участием центрального контрагента для определения размера обеспечения исполнения обязательств из сделки с i-ой ценной бумагой (за исключением коллективного клирингового обеспечения), требуемого от участника клиринга в отсутствие у него иных обязательств, допущенных к клирингу;

ставок и корректирующих указанные ставки коэффициентов, рассчитанных клиринговой организацией в соответствии с требованиями абзаца второго пункта 17 настоящего приложения, но не применяемых клиринговой организацией при осуществлении клиринга с участием центрального контрагента, если клиринговая организация рассчитывает такие ставки и корректирующие коэффициенты.

17. Ставки, предусмотренные абзацами вторым и третьим пункта 16 настоящего приложения (далее - ставки клиринговой организации), могут быть использованы для определения размера начальной маржи для клиентов, отнесенных к категории клиентов с повышенным уровнем риска, при условии, что они раскрыты на официальном сайте клиринговой организации в информационно-телекоммуникационной сети "Интернет".

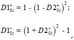
Ставки клиринговой организации могут быть использованы для определения размера начальной маржи для клиентов, отнесенных к категории клиентов с повышенным уровнем риска, если указанная ставка клиринговой организации превышает изменения цены i-ой ценной бумаги (по модулю) за установленный клиринговой организацией период в течение одного года с уровнем надежности не менее 99 процентов. При этом если указанный период, установленный клиринговой организацией, не равен двум торговым дням, значения начальных ставок риска определяются брокером как:

где:

- ставки клиринговой организации, применяемые клиринговой организацией соответственно для случая уменьшения стоимости i-го имущества (в долях единицы) и для случая увеличения стоимости i-го имущества (в долях единицы);

T - период, установленный для определения ставки клиринговой организации, исчисляемый в количестве торговых дней.

Если в отношении i-ой ценной бумаги применяется или рассчитана более чем одна ставка клиринговой организации, в том числе в связи с тем, что такие ставки применяются или рассчитаны несколькими клиринговыми организациями, брокер использует большую из указанных ставок, если иное не предусмотрено договором о брокерском обслуживании. При изменении значения ставки клиринговой организации, которую использовал брокер для определения размера начальной маржи, новое значение указанной ставки должно быть использовано брокером не позднее одного часа с момента ее раскрытия на официальном сайте клиринговой организации в информационно-телекоммуникационной сети "Интернет" или с момента предоставления брокеру клиринговой организацией сведений об указанной ставке.

18. Если i-ое имущество является i-ой ценной бумагой клиента, отнесенного к категории клиентов со стандартным уровнем риска, значения начальных ставок риска и , предусмотренные пунктом 14 настоящего приложения, определяются как ставки соответственно по формулам:

где:

- значения ставок риска, предусмотренные в пункте 16 настоящего приложения.

19. Если i-ое имущество является i-ой ценной бумагой, значения минимальных ставок риска , применяемые для определения размера минимальной маржи для клиентов, отнесенных к категории с повышенным уровнем риска, и клиентов, отнесенных к категории со стандартным уровнем риска, рассчитываются исходя из ставок риска и , определенных для соответствующей категории клиентов по формулам:

20. Если i-ое имущество является i-ой иностранной валютой, значения начальных и минимальных ставок риска в отношении i-ой иностранной валюты определяются брокером в порядке, согласованном с клиентом. Если i-ой валютой является рубль, значения начальных и минимальных ставок риска принимаются равными нулю.

21. Брокер вправе использовать для каждого отдельного портфеля клиента более высокие значения начальных и минимальных ставок риска по сравнению с определяемыми в соответствии с пунктами 16 - 19 настоящего приложения.

Приложение 2
к Указанию Банка России
от 18.04.2014 N 3234-У
"О единых требованиях
к правилам осуществления
брокерской деятельности
при совершении отдельных
сделок за счет клиентов"

ПОРЯДОК РАСЧЕТА РАЗМЕРА НАЧАЛЬНОЙ МАРЖИ, СКОРРЕКТИРОВАННОГО С УЧЕТОМ ПОРУЧЕНИЙ КЛИЕНТА

(в ред. Указания ЦБ РФ от 18.01.2016 N 3937-У)

1. Требования пункта 10 настоящего Указания не применяются, если в результате осуществления брокером действий, связанных с исполнением вновь поданного клиентом поручения (далее - новое поручение), стоимость портфеля клиента, определенная в соответствии с приложением 1 к настоящему Указанию, не станет меньше скорректированного размера начальной маржи, определенного в соответствии с пунктом 2 настоящего приложения.

При расчете скорректированного размера начальной маржи учитываются новое поручение клиента, а также его поручения, которые были приняты брокером к исполнению ранее, но в момент расчета скорректированного размера начальной маржи не отменены и не исполнены, или не отменены и исполнены не полностью. При этом в расчете скорректированного размера начальной маржи учитываются только поручения клиента, которые не предусматривают отлагательных условий для их исполнения, а также поручения клиента, которые предусматривают отлагательные условия, и на момент расчета скорректированного размера начальной маржи наступили обстоятельства, от которых в соответствии с указанными условиями поставлено в зависимость исполнение этих поручений.

При расчете скорректированного размера начальной маржи не учитываются поручения на заключение договоров репо.

2. Скорректированный размер начальной маржи определяется по правилам, предусмотренным в пункте 14 приложения 1 к настоящему Указанию. При этом для целей определения величины определяются по формулам:

где:

- показатель, определяемый по формуле, предусмотренной в пункте 2 приложения 1 к настоящему Указанию;

- показатели, определяемые по формулам, предусмотренным в пункте 3 настоящего приложения;

- множество учитываемых поручений клиента, соответствующих условиям, предусмотренным в пункте 5 настоящего приложения, в результате исполнения которых i-ое имущество должно поступить в состав портфеля клиента;

- множество учитываемых поручений клиента, соответствующих условиям, предусмотренным в пункте 5 настоящего приложения, в результате исполнения которых i-ое имущество должно быть передано из состава портфеля клиента;

- количество i-ых ценных бумаг (i-ой иностранной валюты), которые соответственно должны поступить в состав портфеля клиента и должны быть переданы из состава портфеля клиента в результате исполнения k-го учитываемого поручения клиента;

- выраженная в рублях цена i-ой ценной бумаги (курс i-ой иностранной валюты), определяемая в порядке, предусмотренном в пункте 6 настоящего приложения;

- показатели риска, определенные по формулам, предусмотренным в пункте 7 настоящего приложения;

- показатели дополнительного риска, определенные по формулам, предусмотренным в пункте 8 настоящего приложения.

3. Показатели определяются по следующим формулам:

- величины, определяемые в порядке, предусмотренном в приложении 1 к настоящему Указанию. Если i-ым имуществом является рубль, значение показателя принимается равным 1;

- величины, определяемые в порядке, предусмотренном в пункте 2 настоящего приложения;

- соответственно наименьшая цена и наибольшая цена i-го имущества, определяемые по формулам, предусмотренным в пункте 4 настоящего приложения;

- сумма платежей в i-ой валюте из состава портфеля клиента, которые должны быть произведены в результате исполнения всех учитываемых поручений клиента на совершение сделок по приобретению в состав портфеля клиента ценных бумаг, не включенных брокером в перечень ликвидных ценных бумаг для указанного клиента.

4. Наименьшая цена (курс) и наибольшая цена (курс) i-го имущества определяются по формулам:

где:

определяются в порядке, предусмотренном в приложении 1 к настоящему Указанию. Если j-ой валютой является рубль, значение показателя принимается равным 1;

определяется в порядке, предусмотренном в пункте 6 настоящего приложения;

- множества учитываемых поручений на покупку и учитываемых поручений на продажу i-го имущества соответственно, при условии, что указанные поручения исполняются на анонимных торгах и (или) на организованных торгах, предусматривающих совершение сделок только по наилучшим ценам (далее - конкурентные поручения).

5. При определении , используемого для определения величин в отношении i-го имущества, из учитываемых поручений клиента выбираются все следующие поручения:

поручения на покупку i-го имущества, для которых значение , определенное в порядке, предусмотренном в пункте 6 настоящего приложения, не ниже наименьшей цены i-го имущества, уменьшенной на величину ставки риска , определенной в соответствии с пунктами 16 - 21 приложения 1 к настоящему Указанию;

поручения на продажу иного имущества, входящие в множество поручений в отношении указанного имущества, если i-ое имущество должно поступить в состав портфеля клиента в результате исполнения указанных поручений.

При определении , используемого для определения величин , в отношении i-го имущества, из учитываемых поручений клиента выбираются все следующие поручения:

поручения на продажу i-го имущества, для которых значение , определенное в порядке, предусмотренном в пункте 6 настоящего приложения, не выше наибольшей цены i-го имущества, увеличенной на величину ставки риска , определенной в соответствии с пунктами 16 - 21 приложения 1 к настоящему Указанию;

поручения на покупку иного имущества, входящие в множество поручений в отношении указанного имущества, если i-ое имущество должно быть передано из состава портфеля клиента в результате исполнения указанных поручений.

6. Для каждого k-го поручения величина определяется в следующем порядке:

если в поручении, в котором указано i-ое имущество, не указана цена (курс), либо данное поручение является конкурентным поручением на покупку i-го имущества, и при этом указанная (указанный) в нем цена (курс) больше, чем цена (курс), определенная (определенный) в порядке, предусмотренном в пункте 12 (в абзаце третьем пункта 13) приложения 1 к настоящему Указанию (далее - рыночная цена (курс), либо данное поручение является конкурентным поручением на продажу i-го имущества, и при этом указанная (указанный) в нем цена (курс) на продажу меньше, чем рыночная цена (курс), то определяется по формуле:

где:

определяются в порядке, предусмотренном в пунктах 12 и 13 приложения 1 к настоящему Указанию. Если j-ой валютой является рубль, значение показателя принимается равным 1;

если для поручения, в котором указано i-ое имущество, не выполняется ни одно из условий, предусмотренных в абзаце втором настоящего пункта, то величина определяется по формуле:

где:

- цена i-го имущества в единицах j-ой валюты, указанная в k-том поручении, а определяется в порядке, предусмотренном в пункте 13 приложения 1 к настоящему Указанию. Если j-ой валютой является рубль, значение показателя принимается равным 1;

если i-ое имущество является i-ой валютой, в которой будут произведены расчеты по сделке с иным имуществом, заключенной на основании поручения на покупку или продажу этого иного имущества, то величина определяется по формуле:

где:

определяется в порядке, предусмотренном в пункте 13 приложения 1 к настоящему Указанию. Если i-ой валютой является рубль, значение показателя принимается равным 1.

7. Показатели риска определяются по формулам:

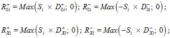
; (в ред. Указания ЦБ РФ от 18.01.2016 N 3937-У)

, (в ред. Указания ЦБ РФ от 18.01.2016 N 3937-У)

где:

- показатели, определяемые по формулам, предусмотренным в пункте 3 настоящего приложения;

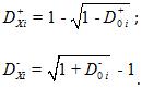
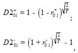
- показатели, определяемые в порядке, предусмотренном в пунктах 16 - 21 приложения 1 к настоящему Указанию.

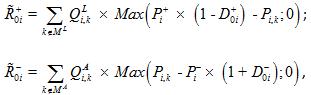
8. Показатели дополнительного риска определяются по формулам:

где:

- величины, определяемые по формулам, предусмотренным в пункте 2 настоящего приложения;

- величина, определяемая в порядке, предусмотренном в пункте 6 настоящего приложения;

- показатели, определяемые в порядке, предусмотренном в пунктах 16 - 21 приложения 1 к настоящему Указанию.

- множества поручений, определяемые по формулам, предусмотренным в пункте 4 настоящего приложения.