Приказ Минтруда РФ от 31.05.2018 N 344Н

"Об утверждении единого порядка расчета показателей, характеризующих общие критерии оценки качества условий оказания услуг организациями в сфере культуры, охраны здоровья, образования, социального обслуживания и федеральными учреждениями медико-социальной экспертизы"
Редакция от 31.05.2018 — Не действует Перейти в действующую
Показать изменения

Зарегистрировано в Минюсте России 11 октября 2018 г. N 52409


МИНИСТЕРСТВО ТРУДА И СОЦИАЛЬНОЙ ЗАЩИТЫ РОССИЙСКОЙ ФЕДЕРАЦИИ

ПРИКАЗ
от 31 мая 2018 г. N 344н

ОБ УТВЕРЖДЕНИИ ЕДИНОГО ПОРЯДКА РАСЧЕТА ПОКАЗАТЕЛЕЙ, ХАРАКТЕРИЗУЮЩИХ ОБЩИЕ КРИТЕРИИ ОЦЕНКИ КАЧЕСТВА УСЛОВИЙ ОКАЗАНИЯ УСЛУГ ОРГАНИЗАЦИЯМИ В СФЕРЕ КУЛЬТУРЫ, ОХРАНЫ ЗДОРОВЬЯ, ОБРАЗОВАНИЯ, СОЦИАЛЬНОГО ОБСЛУЖИВАНИЯ И ФЕДЕРАЛЬНЫМИ УЧРЕЖДЕНИЯМИ МЕДИКО-СОЦИАЛЬНОЙ ЭКСПЕРТИЗЫ

В целях методического обеспечения проведения независимой оценки качества условий оказания услуг организациями социальной сферы и в соответствии с частью 2 статьи 12 Федерального закона от 5 декабря 2017 г. N 392-ФЗ "О внесении изменений в отдельные законодательные акты Российской Федерации по вопросам совершенствования проведения независимой оценки качества условий оказания услуг организациями в сфере культуры, охраны здоровья, образования, социального обслуживания и федеральными учреждениями медико-социальной экспертизы" (Собрание законодательства Российской Федерации, 2017, N 50, ст. 7563) приказываю:

Утвердить прилагаемый Единый порядок расчета показателей, характеризующих общие критерии оценки качества условий оказания услуг организациями в сфере культуры, охраны здоровья, образования, социального обслуживания и федеральными учреждениями медикосоциальной экспертизы.

Министр
М.А. ТОПИЛИН

Приложение
к приказу
Минтруда России
от 31 мая 2018 г. N 344н

ЕДИНЫЙ ПОРЯДОК РАСЧЕТА ПОКАЗАТЕЛЕЙ, ХАРАКТЕРИЗУЮЩИХ ОБЩИЕ КРИТЕРИИ ОЦЕНКИ КАЧЕСТВА УСЛОВИЙ ОКАЗАНИЯ УСЛУГ ОРГАНИЗАЦИЯМИ В СФЕРЕ КУЛЬТУРЫ, ОХРАНЫ ЗДОРОВЬЯ, ОБРАЗОВАНИЯ, СОЦИАЛЬНОГО ОБСЛУЖИВАНИЯ И ФЕДЕРАЛЬНЫМИ УЧРЕЖДЕНИЯМИ МЕДИКО-СОЦИАЛЬНОЙ ЭКСПЕРТИЗЫ

1. Единый порядок расчета показателей, характеризующих общие критерии оценки качества условий оказания услуг организациями в сфере культуры, охраны здоровья, образования, социального обслуживания и федеральными учреждениями медико-социальной экспертизы (далее соответственно - организации социальной сферы, Единый порядок), разработан в целях методического обеспечения проведения независимой оценки качества условий оказания услуг организациями социальной сферы (далее - независимая оценка качества) в соответствии с частью 2 статьи 12 Федерального закона от 5 декабря 2017 г. N 392-ФЗ "О внесении изменений в отдельные законодательные акты Российской Федерации по вопросам совершенствования проведения независимой оценки качества условий оказания услуг организациями в сфере культуры, охраны здоровья, образования, социального обслуживания и федеральными учреждениями медико-социальной экспертизы".

2. Показатели, характеризующие общие критерии оценки качества условий оказания услуг организациями социальной сферы (далее соответственно - показатели оценки качества, критерии оценки качества), установлены:

в сфере культуры - приказом Министерства культуры Российской Федерации от 27 апреля 2018 г. N 599 "Об утверждении показателей, характеризующих общие критерии оценки качества условий оказания услуг организациями культуры" (зарегистрирован Министерством юстиции Российской Федерации 18 мая 2018 г., регистрационный N 51132);

в сфере охраны здоровья - приказом Министерства здравоохранения Российской Федерации от 4 мая 2018 г. N 201н "Об утверждении показателей, характеризующих общие критерии оценки качества условий оказания услуг медицинскими организациями, в отношении которых проводится независимая оценка" (зарегистрирован Министерством юстиции Российской Федерации 23 мая 2018 г., регистрационный N 51156);

в сфере образования - приказом Министерства образования и науки Российской Федерации от 5 декабря 2014 г. N 1547 "Об утверждении показателей, характеризующих общие критерии оценки качества образовательной деятельности организаций, осуществляющих образовательную деятельность" (зарегистрирован Министерством юстиции Российской Федерации 2 февраля 2015 г., регистрационный N 35837);

в сфере социального обслуживания - приказом Министерства труда и социальной защиты Российской Федерации от 23 мая 2018 г. N 317н "Об утверждении показателей, характеризующих общие критерии оценки качества условий оказания услуг организациями социального обслуживания и федеральными учреждениями медико-социальной экспертизы" (зарегистрирован Министерством юстиции Российской Федерации 14 июня 2018 г., регистрационный N 51346).

3. Значения показателей оценки качества рассчитываются в баллах и их максимально возможное значение составляет 100 баллов:

а) для каждого показателя оценки качества;

б) по организации;

в) в целом по отрасли, муниципальному образованию, субъекту Российской Федерации, Российской Федерации.

4. Расчет показателей, характеризующих критерий оценки качества "Открытость и доступность информации об организации социальной сферы":

а) значение показателя оценки качества "Соответствие информации о деятельности организации социальной сферы, размещенной на общедоступных информационных ресурсах, ее содержанию и порядку (форме), установленным законодательными и иными нормативными правовыми актами Российской Федерации" () определяется по формуле:

, (1.1)

где

- объем информации, размещенной на информационных стендах в помещении организации;

- объем информации, размещенной на официальном сайте организации социальной сферы в информационно-телекоммуникационной сети "Интернет" (далее - официальный сайт организации);

- объем информации, размещение которой на общедоступных информационных ресурсах установлено законодательными и иными нормативными правовыми актами Российской Федерации;

б) значение показателя оценки качества "Наличие на официальном сайте организации социальной сферы информации о дистанционных способах обратной связи и взаимодействия с получателями услуг и их функционирование" () определяется по формуле:

(1.2)

где:

- количество баллов за наличие на официальном сайте организации информации о дистанционных способах взаимодействия с получателями услуг (по 30 баллов за каждый дистанционный способ);

- количество функционирующих дистанционных способов взаимодействия с получателями услуг, информация о которых размещена на официальном сайте организации социальной сферы.

в) значение показателя оценки качества "Доля получателей услуг, удовлетворенных открытостью, полнотой и доступностью информации о деятельности организации социальной сферы" (), определяется по формуле:

, (1.3)

где

- число получателей услуг, удовлетворенных открытостью, полнотой и доступностью информации, размещенной на информационных стендах в помещении организации социальной сферы;

- число получателей услуг, удовлетворенных открытостью, полнотой и доступностью информации, размещенной на официальном сайте организации;

- общее число опрошенных получателей услуг.

5. Расчет показателей, характеризующих критерий оценки качества "Комфортность условий предоставления услуг, в том числе время ожидания предоставления услуг":

а) значение показателя оценки качества "Обеспечение в организации социальной сферы комфортных условий предоставления услуг" () определяется по формуле:

, (2.1)

где:

- количество баллов за наличие в организации комфортных условий предоставления услуг (по 20 баллов за каждое комфортное условие);

- количество комфортных условий предоставления услуг.

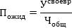
б) значение показателя оценки качества "Время ожидания предоставления услуги <1> (среднее время ожидания и своевременность предоставления услуги" () определяется:

<1> Показатель применяется для оценки организаций в сфере охраны здоровья, социального обслуживания и федеральных учреждений медико-социальной экспертизы - статья 79.1 Федерального закона от 21 ноября 2011 г. N 323-ФЗ "Об основах охраны здоровья граждан в Российской Федерации" (Собрание законодательства Российской Федерации, 2011, N 48, ст. 6724; 2014, N 30, ст. 4257; 2017, N 50, ст. 7563), статья 23.1 Федерального закона от 28 декабря 2013 г. N 442-ФЗ "Об основах социального обслуживания граждан в Российской Федерации" (Собрание законодательства Российской Федерации, 2013, N 52, ст.7007; 2014, N 30, ст. 4257; 2017, N 50, ст. 7563), статья 8.1 Федерального закона от 24 ноября 1995 г. N 181-ФЗ "О социальной защите инвалидов в Российской Федерации" (Собрание законодательства Российской Федерации, 1995, N 48, ст. 4563; 2017, N 50, ст. 7563).

в случае применения двух условий оценки качества (среднее время ожидания предоставления услуги и доля получателей услуг, которым услуга предоставлена своевременно) рассчитывается по формуле:

, (2.2)

где

- среднее время ожидания предоставления услуги, выраженное в баллах: превышает установленный срок ожидания <2>, - 0 баллов; равен установленному сроку ожидания - 10 баллов; меньше установленного срока ожидания на 1 день (на 1 час) - 20 баллов; меньше на 2 дня (на 2 часа) - 40 баллов; меньше на 3 дня (на 3 часа) - 60 баллов; меньше установленного срока ожидания не менее, чем на срока - 100 баллов);

<2> В сфере охраны здоровья срок ожидания установлен в разделе VIII Программы государственных гарантий бесплатного оказания гражданам медицинской помощи на 2018 год и на плановый период 2019-2020 годов, утвержденной постановлением Правительства Российской Федерации от 8 декабря 2017 г. N 1492 (Собрание законодательства Российской Федерации, 2017, N 51, ст. 7806; 2018, N 18, ст. 2639).

- число получателей услуг, которым услуга предоставлена своевременно;

- общее число опрошенных получателей услуг; в случае применения только одного условия оценки качества, в расчете учитывается один из них:

или

в) значение показателя оценки качества "Доля получателей услуг удовлетворенных комфортностью предоставления услуг организацией социальной сферы" () определяется по формуле:

, (2.3)

где

- число получателей услуг, удовлетворенных комфортностью предоставления услуг организацией социальной сферы;

- общее число опрошенных получателей услуг.

6. Расчет показателей, характеризующих критерий оценки качества "Доступность услуг для инвалидов":

а) значение показателя оценки качества "Оборудование помещений организации социальной сферы и прилегающей к ней территории с учетом доступности для инвалидов" () определяется по формуле:

, (3.1)

где:

- количество баллов за обеспечение условий доступности организации для инвалидов (по 20 баллов за каждое условие доступности);

- количество условий доступности организации для инвалидов.

б) значение показателя оценки качества "Обеспечение в организации социальной сферы условий доступности, позволяющих инвалидам получать услуги наравне с другими" () определяется по формуле:

, (3.2)

где:

- количество баллов за обеспечение условий доступности, позволяющих инвалидам получать услуги наравне с другими (по 20 баллов за каждое условие доступности);

- количество условий доступности, позволяющих инвалидам получать услуги наравне с другими.

в) значение показателя оценки качества "Доля получателей услуг, удовлетворенных доступностью услуг для инвалидов" (Пдостуд) определяется по формуле:

, (3.3)

где

- число получателей услуг-инвалидов, удовлетворенных доступностью услуг для-инвалидов;

- число опрошенных получателей услуг-инвалидов.

7. Расчет показателей, характеризующих критерий оценки качества "Доброжелательность, вежливость работников организации социальной сферы":

а) значение показателя оценки качества "Доля получателей услуг, удовлетворенных доброжелательностью, вежливостью работников организации социальной сферы, обеспечивающих первичный контакт и информирование получателя услуги при непосредственном обращении в организацию социальной сферы" () определяется по формуле:

, (4.1)

где

- число получателей услуг, удовлетворенных доброжелательностью, вежливостью работников организации, обеспечивающих первичный контакт и информирование получателя услуги;

- общее число опрошенных получателей услуг;

б) значение показателя оценки качества "Доля получателей услуг, удовлетворенных доброжелательностью, вежливостью работников организации социальной сферы, обеспечивающих непосредственное оказание услуги при обращении в организацию социальной сферы" () определяется по формуле:

, (4.2)

где

- число получателей услуг, удовлетворенных доброжелательностью, вежливостью работников организации, обеспечивающих непосредственное оказание услуги;

- общее число опрошенных получателей услуг;

в) значение показателя оценки качества "Доля получателей услуг, удовлетворенных доброжелательностью, вежливостью работников организации социальной сферы при использовании дистанционных форм взаимодействия" () определяется по формуле:

, (4.3)

где

- число получателей услуг, удовлетворенных доброжелательностью, вежливостью работников организации при использовании дистанционных форм взаимодействия;

- общее число опрошенных получателей услуг.

8. Расчет показателей, характеризующих критерий оценки качества "Удовлетворенность условиями оказания услуг":

а) значение показателя оценки качества "Доля получателей услуг, которые готовы рекомендовать организацию социальной сферы родственникам и знакомым (могли бы ее рекомендовать, если бы была возможность выбора организации социальной сферы)" () определяется по формуле:

, (5.1)

где

- число получателей услуг, которые готовы рекомендовать организацию родственникам и знакомым (могли бы ее рекомендовать, если бы была возможность выбора организации);

- общее число опрошенных получателей услуг;

б) значение показателя оценки качества "Доля получателей услуг, удовлетворенных организационными условиями предоставления услуг" () определяется по формуле:

, (5.2)

где

- число получателей услуг, удовлетворенных организационными условиями предоставления услуг;

- общее число опрошенных получателей услуг;

в) значение показателя оценки качества "Доля получателей услуг, удовлетворенных в целом условиями оказания услуг в организации социальной сферы" () определяется по формуле:

, (5.3)

где

- число получателей услуг, удовлетворенных в целом условиями оказания услуг в организации социальной сферы;

- общее число опрошенных получателей услуг.

9. Показатели оценки качества условий оказания услуг организациями социальной сферы, рассчитываются:

по организации социальной сферы, в отношении которой проведена независимая оценка качества;

по муниципальному образованию в целом, а также по отраслям социальной сферы - по совокупности муниципальных организаций в сферах культуры, охраны здоровья, образования и социального обслуживания и иных организаций, расположенных на территориях соответствующих муниципальных образований и оказывающих услуги в указанных сферах за счет бюджетных ассигнований бюджетов муниципальных образований <3>, в отношении которых проведена независимая оценка качества;

по субъекту Российской Федерации в целом, а также по отраслям социальной сферы - по совокупности организаций в сферах культуры, охраны здоровья, образования и социального обслуживания, расположенных на территории субъекта Российской Федерации, учредителями которых являются субъект Российской Федерации и муниципальные образования субъекта Российской Федерации, и иных организаций, оказывающих услуги в указанных сферах за счет соответствующих бюджетов бюджетной системы Российской Федерации <3>, в отношении которых проведена независимая оценка качества;

<3> В соответствии со статьей 36.1 Закона Российской Федерации от 9 октября 1992 г. N 3612-1 "Основы законодательства Российской Федерации о культуре" (Ведомости Съезда народных депутатов Российской Федерации и Верховного Совета Российской Федерации, 1992, N 46, ст. 2615; Собрание законодательства Российской Федерации, 2014, N 30, ст. 4257; 2017, N 50, ст. 7563), статьей 79.1 Федерального закона от 21 ноября 2011 г. N 323-ФЗ "Об основах охраны здоровья граждан в Российской Федерации" (Собрание законодательства Российской Федерации, 2011, N 48, ст. 6724; 2014, N 30, ст. 4257; 2017, N 50, ст. 7563), статьей 95.2 Федерального закона от 29 декабря 2012 г. N 273-ФЗ "Об образовании в Российской Федерации" (Собрание законодательства Российской Федерации, 2012, N 53, ст. 7598; 2014, N 30, ст. 4257; 2017, N 50, ст. 7563), статьей 23.1 Федерального закона от 28 декабря 2013 г. N 442-ФЗ "Об основах социального обслуживания граждан в Российской Федерации" (Собрание законодательства Российской Федерации, 2013, N 52, ст. 7007; 2014, N 30, ст. 4257; 2017, N 50, ст. 7563).

по Российской Федерации в целом, по отраслям социальной сферы - по совокупности организаций в сферах культуры, охраны здоровья, образования, социального обслуживания, учредителями которых являются Российская Федерация, субъекты Российской Федерации и муниципальные образования субъектов Российской Федерации, а также федеральных учреждений медико-социальной экспертизы и иных организаций, оказывающих услуги в указанных сферах за счет соответствующих бюджетов бюджетной системы Российской Федерации, в отношении которых проведена независимая оценка качества:

а) показатель оценки качества по организации социальной сферы, в отношении которой проведена независимая оценка качества рассчитывается по формуле:

, (6)

где:

- показатель оценки качества n-ой организации;

- средневзвешенная сумма показателей, характеризующих m-ый критерий оценки качества в n-ой организации <4>, рассчитываемая по формулам:

<4> Для организаций культуры, осуществляющих создание, исполнение, показ и интерпретацию произведений литературы и искусства, значение критериев, по которым оценка не производится, рассчитывается по n-ой организации на основе измеряемых критериев по формуле: .

... - показатели оценки качества, характеризующие общие критерии оценки качества в n-ой организации, рассчитанные по формулам, приведенным в пунктах 4 - 8 Единого порядка.

б) показатель оценки качества по отрасли социальной сферы в субъекте Российской Федерации рассчитывается по формуле:

, (7)

где:

- показатель оценки качества по о-й отрасли социальной сферы в u-м субъекте Российской Федерации;

- показатель оценки качества по n-ой организации о-й отрасли социальной сферы в u-м субъекте Российской Федерации;

- количество организаций, в отношении которых проводилась независимая оценка качества в о-й отрасли социальной сферы в u-м субъекте Российской Федерации.

в) показатель оценки качества по отрасли социальной сферы по Российской Федерации рассчитывается по формуле:

, (8)

где

- показатель оценки качества для о-й отрасли в целом по Российской Федерации;

V - количество субъектов Российской Федерации, в которых проводилась независимая оценка качества в о-й отрасли.

г) показатель оценки качества по субъекту Российской Федерации в целом (показатель для оценки эффективности деятельности органов исполнительной власти субъектов Российской Федерации - "результаты независимой оценки качества оказания услуг организациями социальной сферы" <5>) рассчитывается по формуле:

<5> Пункт 24 Перечня показателей для оценки эффективности деятельности органов исполнительной власти субъектов Российской Федерации, утвержденного Указом Президента Российской Федерации от 14 ноября 2017 г. N 548 "Об оценке эффективности деятельности органов исполнительной власти субъектов Российской Федерации" (Собрание законодательства Российской Федерации, 2018, N 20, ст. 2821).

(9)

где:

- показатель оценки качества в u-ом субъекте Российской Федерации;

- показатель оценки качества по о-й отрасли социальной сферы в u-м субъекте Российской Федерации;

- количество отраслей социальной сферы, в которых в u-ом субъекте Российской Федерации проводилась независимая оценка качества.

д) показатель оценки качества в целом по Российской Федерации рассчитывается по формуле:

, (10)

где

- показатель оценки качества в целом по Российской Федерации;

R - количество субъектов Российской Федерации,

е) показатель оценки качества по муниципальному образованию (городскому округу и муниципальному району - в целом по муниципальному образованию, а также по отраслям социальной сферы) (показатель для оценки эффективности деятельности органов местного самоуправления - "результаты независимой оценки качества муниципальных организаций в сферах культуры, охраны здоровья, образования и социального обслуживания и иных организаций, расположенных на территориях соответствующих муниципальных образований и оказывающих услуги указанных сферах за счет бюджетных ассигнований бюджетов муниципальных образований" <6>) рассчитывается аналогично порядку, предусмотренному для расчета показателя оценки качества по субъекту Российской Федерации (в целом по субъекту Российской Федерации, а также по отраслям социальной сферы в субъекте Российской Федерации) в подпунктах "б" и "г" настоящего пункта Единого порядка.

<6> Указ Президента Российской Федерации от 28 апреля 2008 г. N 607 "Об оценке эффективности деятельности органов местного самоуправления городских округов и муниципальных районов" (с учетом изменения, внесенного Указом Президента Российской Федерации от 9 мая 2018 г. N 212, вступающим в силу с 1 января 2019 г.) (Собрание законодательства Российской Федерации, 2008, N 18, ст. 2003; 2010, N 20, ст. 2432; 2012, N 43, ст. 5815; 2016, N 45, ст. 6240; 2018, N 20, ст. 2821).