Постановление Госкомстата РФ от 17.07.2000 N 67

"Об утверждении статистического инструментария для организации статистического наблюдения за деятельностью предприятий на 2001 год"
Редакция от 12.12.2017 — Действует с 01.01.2019
Показать изменения

ГОСУДАРСТВЕННЫЙ КОМИТЕТ РОССИЙСКОЙ ФЕДЕРАЦИИ ПО СТАТИСТИКЕ

ПОСТАНОВЛЕНИЕ
от 17 июля 2000 г. N 67

ОБ УТВЕРЖДЕНИИ СТАТИСТИЧЕСКОГО ИНСТРУМЕНТАРИЯ ДЛЯ ОРГАНИЗАЦИИ СТАТИСТИЧЕСКОГО НАБЛЮДЕНИЯ ЗА ДЕЯТЕЛЬНОСТЬЮ ПРЕДПРИЯТИЙ НА 2001 ГОД

(в ред. Постановления Госкомстата РФ от 26.12.2000 N 129, от 27.07.2001 N 54, от 16.10.2001 N 74, от 23.05.2002 N 124, от 01.08.2002 N 161, от 03.09.2002 N 172, от 16.09.2002 N 178, Постановления Росстата от 14.09.2004 N 41, Приказа Росстата от 12.12.2017 N 818)

Государственный комитет Российской Федерации по статистике постановляет:

1. Утвердить прилагаемые формы федерального государственного статистического наблюдения и Инструкции по их заполнению и ввести их в действие:

годовые с отчета за 2000 год:

N 6-пп "Сведения о работе подсобных промышленных предприятий (производств), состоящих на балансе рыболовецких артелей (колхозов)";

N 29-АПК "Сведения о работе подсобного промышленного производства в сельском хозяйстве";

N 10-АПК (спирт) "Сведения об использовании пищевого сырья и выходе этилового спирта";

Инструкцию по заполнению формы федерального государственного статистического наблюдения N 10-АПК (спирт) "Сведения об использовании пищевого сырья и выходе этилового спирта";

N 9-АПК (мясо) "Сведения о переработке скота и птицы и выходе мясопродуктов";

Инструкцию по заполнению формы федерального государственного статистического наблюдения N 9-АПК (мясо) "Сведения о переработке скота и птицы и выходе мясопродуктов";

N 6-тп "Сведения о работе тепловой электростанции"*;

N 11-тэр "Сведения об использовании топлива, теплоэнергии и электроэнергии";

N 1-КВП "Сведения о ходе конверсии военного производства";

N 5-з "Сведения о затратах на производство и реализацию продукции (работ, услуг)";

N 1-предприятие "Основные сведения о деятельности предприятия";

декадную с отчета за I декаду января 2001 года:

N 1-алкоголь (срочная) "Сведения о производстве и отгрузке спирта этилового и алкогольной продукции";

месячные с отчета за январь 2001 года:

N П-1 "Сведения о производстве и отгрузке товаров и услуг";

N 1-рыба (ресурсы) срочная "Сведения о поступлении, расходе и остатках рыботоваров";

полугодовую с отчета за I полугодие 2001 года*:

N 1-МОН "Сведения о производстве продукции хозяйствующими субъектами, имеющими на рынке определенного товара долю более 35 процентов".

2. Установить представление государственной статистической отчетности по указанным в п.1 настоящего постановления формам федерального государственного статистического наблюдения в адреса и сроки, установленные в формах:

N 6-пп - юридическими лицами - рыболовецкими артелями (колхозами);

N 29-АПК - юридическими лицами - сельскохозяйственными предприятиями, осуществляющими промышленную деятельность;

N 10-АПК (спирт) - юридическими лицами, их обособленными подразделениями, осуществляющими деятельность в спиртовой промышленности (по перечню, установленному органами государственной статистики);

N 9-АПК (мясо) - юридическими лицами, их обособленными подразделениями, осуществляющими деятельность в пищевой промышленности, а также птицеобъединениями мясного производства (птицефабриками) (по перечню, установленному органами государственной статистики);

N 6-тп - электростанциями и районными котельными РАО "ЕЭС России" и АО энерго, независимо от мощности; акционерными обществами энергетики и электрификации ЕЭС России и филиалами РАО "ЕЭС России", другими электростанциями мощностью 500 кВт и выше;

N 11-тэр - юридическими лицами, их обособленными подразделениями, являющимися потребителями топлива и энергии, вторичных энергетических ресурсов;

N 1-КВП - юридическими лица, их обособленными подразделениями оборонного комплекса, осуществляющими конверсию военного производства;

N 5-з - юридическими лицами (кроме субъектов малого предпринимательства, бюджетных организаций, банков, страховых организаций);

N 1-предприятие - юридическими лицами (по перечню, установленному органами государственной статистики);

N 1-алкоголь (срочная) - юридическими лицами, которым выданы лицензии на осуществление деятельности в сфере производства спирта этилового, алкогольной продукции, спиртосодержащих растворов и розлива алкогольной продукции;

N П-1 - юридическими лицами (кроме субъектов малого предпринимательства), средняя численность работников которых превышает 15 человек, включая работающих по совместительству и договорам гражданско-правового характера, их обособленными подразделениями; юридическими лицами (кроме субъектов малого предпринимательства), средняя численность работников которых не превышает 15 человек, включая работающих по совместительству и договорам гражданско-правового характера (по перечню, установленному органами государственной статистики);

N 1-рыба (ресурсы) срочная - юридическими лицами, их обособленными подразделениями, а также индивидуальными предпринимателями, имеющими лицензию на промышленное рыболовство в части добычи рыбы и других водных животных и растений, или лицензию на промышленное рыбоводство в части воспроизводства в естественных водоемах и водохранилищах водных биоресурсов;

N 1-МОН - юридическими лицами, включенными в Реестр хозяйствующих субъектов, имеющими на рынке определенного товара долю более 35 процентов в географических границах Российской Федерации; юридическими лицами, включенными в Реестр хозяйствующих субъектов, имеющими на рынке определенного товара долю более 35 процентов в географических границах региона.

3. С введением указанных в п.1 настоящего постановления форм отменить ранее действовавшие формы федерального государственного статистического наблюдения и Инструкции по их заполнению, утвержденные постановлениями Госкомстата России:

с отчета за 2000 год: N 6-тп, N 11-тэр, N 1-КВП - от 21.07.98 N 71; N 1-предприятие - от 11.09.98 N 95; N 6-пп, N 29-АПК, N 9-АПК (мясо) - от 16.08.99 N 71; N 10-АПК (спирт) - от 22.10.99 N 93; Инструкцию по составлению государственной статистической отчетности о переработке скота и птицы и выходе мясопродуктов (форма N 9-АПК (мясо)) - от 13.12.94 N 264;

с отчета за I квартал 2000 года: N 5-з - от 10.11.98 N 110;

с отчета за I декаду 2001 года: N 1-алкоголь (срочная) - от 14.01.99 N 2;

с отчета за январь 2001 года: N П-1 - от 24.12.98 N 131, с изменениями от 24.11.99 N 103; N 1 - рыба (ресурсы) срочная - от 25.10.99 N 94;

с отчета за I полугодие 2001 года: N 1-МОН - от 21.07.98 N 71, с изменениями - от 18.08.99 N 77.

4. Отменить формы федерального государственного статистического наблюдения, утвержденные постановлениями Госкомстата России:

с отчета за 2000 год Приложение к форме N 1-ТЭК (бур) - от 10.06.93 N 88;

с отчета за I квартал 2001 года Приложение к форме N 1-ТЭК (нефть) - от 26.06.94 N 86.

5. Сохранить в 2001 году без изменения действующие формы федерального государственного статистического наблюдения, централизованных в органах государственной статистики, утвержденные постановлениями Госкомстата России: N БМ, N ПЭ, N 24-энергетика, N 23-н, N 6-тп (гидро), N 6-тп (КЭС), N 1-ТЭК (бур), N 2-ТЭК (газ), N 4-АПК (растительное масло), N 6-АПК (сахар), N 1-ХО, Приложение к форме N 11-тэр, N 4-топливо, N 1-ДАП, N 6-АПК - сахар (срочная) - от 21.07.98 N 71; N 1-прод (пром) срочная - от 10.09.98 N 93; Приложение к форме N П-1 - от 10.11.98 N 110; N 1-лек (пром) срочная - от 10.11.98 N 122; N 1-ВЭС - от 28.12.98 N 133; N ДАП-ПМ - от 18.01.99 N 3; N 6-нефть - от 16.07.99 N 59; N 1-автобензин - от 06.08.99 N 64; N 3-п, N ПМ - от 16.08.99 N 71; N 1-ТЭК (нефть) - от 24.11.99 N 103; N 1-ФПГ - от 26.11.99 N 104.

Председатель Госкомстата России
В.Л.СОКОЛИН

Форма N 6-пп - Утратила силу. (в ред. Постановления Госкомстата РФ от 16.09.2002 N 178)

Форма N 29-АПК - Утратила силу. (в ред. Постановления Госкомстата РФ от 27.07.2001 N 54)

Форма N 10-АПК - Утратила силу. (в ред. Постановления Госкомстата от 01.08.2002 N 161)

УТВЕРЖДЕН
Постановлением Госкомстата РФ
по согласованию с Минсельхозом РФ
от 17.07.2000 N 67

ИНСТРУКЦИЯ ПО ЗАПОЛНЕНИЮ ФОРМЫ ФЕДЕРАЛЬНОГО ГОСУДАРСТВЕННОГО СТАТИСТИЧЕСКОГО НАБЛЮДЕНИЯ N 10-АПК (СПИРТ) "СВЕДЕНИЯ ОБ ИСПОЛЬЗОВАНИИ ПИЩЕВОГО СЫРЬЯ И ВЫХОДЕ ЭТИЛОВОГО СПИРТА"

I. Общие положения

1. Отчетность об использовании пищевого сырья и выходе этилового спирта по годовой форме N 10-АПК (спирт) представляют юридические лица, их обособленные подразделения, осуществляющие деятельность в спиртовой промышленности (по перечню, установленному органами государственной статистики), по выпуску спирта из пищевого сырья (из зерновых культур, картофеля, мелассы и др.).

Данные направляются в сроки и адреса, указанные на бланке формы.

В адресной части формы указывается полное наименование отчитывающейся организации в соответствии с учредительными документами, зарегистрированными в установленном порядке, а затем в скобках - краткое наименование.

По строке "Почтовый адрес" указывается наименование территории, юридический адрес с почтовым индексом.

Кодовая часть заполняется отчитывающейся организацией в соответствии с общероссийскими классификаторами на основании информационного письма органов государственной статистики о включении предприятия (организации) в Единый государственный регистр предприятий и организаций всех форм собственности и хозяйствования.

Данные приводятся в тех единицах измерения, которые указаны в форме.

При заполнении формы используются данные производственного отчета о выработке спирта-сырца (формы N 7-ПР и N 8-ПР), составляемого ежемесячно спиртовыми заводами на основании данных бухгалтерского учета и анализов, производимых заводской лабораторией. Показатели формы, характеризующие выработку этилового спирта, приводятся в пересчете на безводный (100%-ный) спирт.

2. Форма отчетности включает в себя показатели, характеризующие виды и качество перерабатываемого сырья, его расход, нормативы выхода этилового спирта из тонны условного крахмала, количество выработанного спирта и выход спирта из тонны сырья.

Действие данной Инструкции вводится с отчета за 2000 год.

II. Заполнение показателей формы N 10-АПК (спирт)

3. В графе "А" по строкам 1 - 8, 18 - 22 указан ассортимент сырья, переработанного на спирт за отчетный год; строкам 10 - 12 - зерно, используемое для выработки осахаривающих материалов при осахаривании солодом; строкам 15 - 17 - наименование ферментных препаратов при гидролизе крахмалосодержащего сырья культурами микроорганизмов. В понятие "Прочее зерно" (строка 8) и "Прочее сырье" (строка 22) входят не традиционные для спиртовой промышленности виды зерна и сырья, например: тритикале, рис, гречиха, вика, зерносмесь, мука (пшеничная, ржаная и др.), зерновые отходы (ячменные, просяные и др.), отруби, различные сахаросодержащие материалы и т.д.

Ополоски при зачистке мелассохранилища следует относить к мелассе.

4. В графе "Качество переработанного сырья" приводятся качественные показатели сырья: в графе 1 - "условная крахмалистость" (сбраживаемые углеводы), в графе 2 - "сорность". В графе 1 не заполняются строки 9, 13, 14, 23, а также 16, 17 - для ферментных препаратов; графа 2 заполняется только по зерну, идущему на варку (строки 1 - 8), сырью для приготовления осахаривающих материалов (строки 10 - 12), а также прочему сырью (строка 22); в строках 18 - "Картофель" и 19 - "Сахарная свекла" в этой графе проставляется загрязненность.

4.1. В графе 1 "Условная крахмалистость" по строкам 1 - 8, 10 - 12 и 18 указывается средневзвешенная величина (сбраживаемых углеводов) условной крахмалистости, полученная за год на основании ежедневных анализов химической лаборатории, отдельно по каждому виду сырья, используемого на варку и на приготовление солода.

4.2. Условная крахмалистость видов зерна, пошедших на приготовление солода (строки 10 - 12 графы 1), определяется за минусом 16% потерь углеводов при солодоращении.

Пример: Условная крахмалистость ячменя составляет 52%; с учетом потерь на солодоращение она будет равна

.

4.3. В графе 1 по строкам 19 - 21 "Сахарная свекла", "Патока (меласса)" и "Сахар" приводится показатель сбраживаемых углеводов, определяемый путем умножения средневзвешенных величин (в %) сахаристости сахарной свеклы, суммы сбраживаемых углеводов в мелассе и сахарозы в сахаре, определенных так же, как и при анализе зерна, на основании ежедневных анализов химической лаборатории, на коэффициент 0,95 - показатель соотношения молекулярных масс сахарозы и крахмала.

4.4. Показатель средневзвешенной величины сбраживаемых углеводов определяется путем умножения массы ежемесячно поступающего в переработку сырья на содержание в нем сбраживаемых углеводов, суммированием этих произведений и делением полученной суммы на массу поступившего в переработку каждого вида сырья за год.

Пример: На заводе в течение года перерабатывали рожь. Зерно поступало - A1 - в январе, A2 - в феврале...A10 - в октябре...A12 - в декабре. Условная крахмалистость в ежемесячных пробах составила C1, C2...C10...C12.

Средневзвешенная величина условной крахмалистости сбраживаемых углеводов (C_с.в.) за год составит:

, %.

4.5. В графе 2 по строкам 1 - 8, 10 - 12, 18 и 19 отражается средневзвешенная величина сорности (загрязненности для картофеля и сахарной свеклы), полученная за год (или отчетный период) на основании ежедневных анализов химической лаборатории, отдельно по каждому виду сырья, пошедшего на варку или приготовление осахаривающих материалов (солода).

Показатель средневзвешенной величины сорности определяется способом, приведенным в пункте 4.4, аналогично определению показателя средневзвешенной величины условной крахмалистости (сбраживаемых углеводов).

5. В графе 3 "Расход сырья, всего" по строкам 1 - 8, 10 - 12 и 18 - 22 приводятся данные о количестве сырья в тоннах, фактически израсходованного за год на варку и приготовление осахаривающих материалов (солода).

Фактический расход сырья определяется исходя из его поступления в производство согласно "Требованиям на отпуск сырья в производство" по форме N С-12 и "Инвентаризационной описи остатков сырья и незавершенного производства" по форме N 13-ПР, утвержденным Министерством сельского хозяйства и продовольствия Российской Федерации соответственно 25.12.95 и 21.12.92.

В этой графе по строкам 9 и 13 "Итого" проставляется количество переработанного сырья в тоннах отдельно на варку и отдельно на приготовление осахаривающих материалов. В строке 14 "Всего зерна" данной графы подсчитывается общее количество зерна, пошедшего на варку и приготовление осахаривающих материалов (солода).

5.1. Данные графы 4 "Расход сырья в переводе на условный крахмал" по строкам 1 - 8, 10 - 12 и 18 определяются путем умножения массы израсходованного зерна в тоннах (графа 3) на показатель условной крахмалистости (сбраживаемых углеводов) (графа 1) и деления полученного произведения на 100%.

В строках 9 и 13 "Итого" проставляется количество переработанного сырья в переводе на условный крахмал по зерну на варку и отдельно по осахаривающим материалам (солоду), а также по всему сырью в целом (строка 14 = строка 9 + строка 13).

5.2. Расход ферментных препаратов (графа 3) по строкам 15 - 17 приводится в м3.

5.3. Пересчет количества израсходованных ферментных препаратов в условный крахмал производится только при использовании глюкаваморина Гх; в этом случае заполняется строка 15 в графах 1 и 4.

Пример: Для осахаривания крахмалосодержащего сырья использовался ферментный препарат глюкаваморин Гх. Израсходовано за год - 155 м7.

В одном м3 глюкаваморина Гх содержится 0,04 т условного крахмала. Следовательно, в 155 м3 будет содержаться 0,04 x 155 = 6,2 т условного крахмала. Эти данные заносят в строку 15 графы 4.

6. В графе 5 "Выход спирта из тонны условного крахмала по норме" по строкам 1 - 8, 10 - 12, 15 и 18 - 22 указывается установленный нормативный выход спирта в декалитрах безводного спирта из тонны условного крахмала по каждому виду сырья.

Пример: Завод работает по непрерывной схеме производства с частичной заменой солода глубинной культурой микроорганизмов. За отчетный период перерабатывались рожь и пшеница.

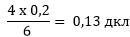
Заводом получено разрешение отдела развития спиртовой и ликеро-водочной промышленности Департамента пищевой и перерабатывающей промышленности Минсельхозпрода России на работу с сокращенным сроком брожения (68 часов). Процесс брожения периодический. Так как нормативы выхода этилового спирта (для ржи - 64,8 дкл/т, пшеницы - 65,7 дкл/т) даны с надбавками на удлиненный срок брожения, надбавка на (72 - 68) 4 часа брожения, равная

,

в данном случае вычитается из норматива выхода спирта. Но применяется надбавка на частичную замену солода глубинной культурой микроорганизмов, равная 0,35 дкл/т.

Норматив выхода спирта для этого предприятия будет следующий, дкл/т:

- для ржи - 64,8 + 0,35 - 0,13 = 65,02;

- для пшеницы - 65,7 + 0,35 - 0,13 = 65,92.

6.1. Показатели фактического выхода спирта из тонны условного крахмала в графе 6 по строкам 1 - 8, 10 - 12, 15 и 18 - 22 вносятся после того, как будет учтено общее количество фактически выработанного спирта (графа 8, строка 23).

7. В графе 7 "Произведено спирта по норме" приводятся расчетные данные о количестве безводного спирта в дкл, которое должно быть выработано исходя из установленных нормативов выхода этилового спирта для каждого вида перерабатываемого сырья в производстве. Этот показатель определяется путем умножения количества фактически израсходованного сырья в переводе на условный крахмал (графа 4) на норматив выхода спирта из тонны условного крахмала (графа 5).

Пример: На заводе переработано 500 т ржаного крахмала и 1000 кг пшеничного.

Норматив выхода спирта из 1 тонны условного крахмала этих культур (см. пример п. 6) составляет соответственно 65,02 дкл и 65,92 дкл. Тогда количество спирта, которое должны получить на заводе по норме, будет составлять:

при переработке ржи - 500 x 65,02 = 32510 дкл;

при переработке пшеницы - 1000 x 65,92 = 65920 дкл.

Эти данные приводятся в строках 1 и 2 графы 7.

В строках "Итого" графы 7 приводятся итоговые данные количества безводного спирта в дкл - по зерну на варку (строка 9), отдельно по осахаривающим материалам (солода)-строка 13 и в целом по всему сырью - строка 23 (строка 23 = строка 9 + строка 13 + строка 18 + строка 19 + строка 20 + строка 21 + строка 22).

8. В графе 5 "Выход спирта из тонны условного крахмала по норме" по строке 23 "Итого по всему сырью" проставляется средневзвешенная величина выхода спирта в декалитрах из одной тонны условного крахмала, рассчитанная путем деления итогового количества безводного спирта по установленным нормативам (графа 7, строка 23) на итоговое количество израсходованного сырья в тоннах в переводе на условный крахмал (графа 4, строка 23).

Пример: Должно быть получено 56000 дкл спирта (строка 23, графа 7) и переработано 845,28 т условного крахмала (строка 23, графа 4).

Средневзвешенная величина нормативного выхода спирта из тонны условного крахмала будет:

.

9. В графе 8 "Произведено спирта фактически" по строке 23 "Итого по всему сырью" приводится фактически выработанное количество безводного спирта в переводе на условный спирт-сырец в дкл. Этот показатель определяют путем умножения количества фактически израсходованного сырья в переводе на условный крахмал (графа 4) на фактический выход спирта из тонны условного крахмала (графа 6).

Под условным спиртом-сырцом понимается сумма всех получаемых на аппарате спиртопродуктов, выраженная в дкл безводного спирта: спирта этилового, фракции головной этилового спирта, сивушного масла и нормативных потерь спирта при ректификации.

В общее количество учитываемого спирта не включается спирт, выработанный из ликеро-водочных отгонов, из фракции головной этилового спирта, из отходов и отгонов виноделия, из брака спирта и брака продукции ликеро-водочного производства, из отходов и брака плодово-ягодного и консервного производства и т.д.

10. В графе 6 по строке 23 "Выход спирта из тонны условного крахмала фактически" проставляется выход спирта из тонны условного крахмала всего переработанного сырья, рассчитанный путем деления выработанного за отчетный год безводного спирта (графа 8, строка 23) на итоговое количество израсходованного сырья в переводе на условный крахмал (графа 4, строка 23).

Пример: На заводе выработано 56080 дкл безводного спирта. Израсходовано сырья в переводе на условный крахмал - 845,28 т. Тогда фактическая величина выхода спирта из тонны всего переработанного крахмала составит:

.

11. Показатели графы 6 "Выход спирта из тонны условного крахмала фактически" для каждого вида сырья рассчитываются путем умножения нормативного выхода спирта из одной тонны условного крахмала (графа 5) на фактический выход спирта из одной тонны условного крахмала всего переработанного сырья (графа 6, строка 23) и деления на нормативный выход спирта из тонны условного крахмала всего переработанного сырья (графа 5, строка 23).

Пример: Нормативный выход спирта из тонны условного крахмала для предприятия из пшеницы установлен в размере 65,92 дкл (см. пример пункта 6). Фактический выход спирта из тонны переработанного условного крахмала составил 66,34 дкл (пункт 10).

Тогда фактический выход спирта из тонны условного крахмала пшеницы составит:

,

где 66,25 - нормативный выход спирта из тонны условного крахмала всего переработанного сырья (пункт 8).

12. В графе 8 по строкам 1 - 8, 10 - 12, 15 и 18 - 22 приводится фактически выработанное количество безводного спирта в дкл для каждого вида сырья. Эти показатели по каждому виду сырья рассчитываются путем умножения количества израсходованного сырья в переводе на условный крахмал (графа 4) на фактический выход спирта из тонны условного крахмала этого вида сырья (графа 6).

В итоговых строках 9 и 13 проставляется итоговое количество фактически выработанного безводного спирта отдельно для зерна, пошедшего на варку, и отдельно для сырья, пошедшего для выработки осахаривающих материалов (солода).

13. В графе 9 "Выход спирта из 1 тонны сырья" по строкам 1 - 8, 10 - 12, 18 - 22 проставляется фактический выход безводного спирта из тонны каждого вида перерабатываемого сырья. Эти показатели рассчитываются путем деления фактически произведенного безводного спирта из каждого вида сырья (графа 8) на количество израсходованного этого вида сырья (графа 3).

Пример: Получено при переработке 3440 т пшеницы 126000 дкл безводного спирта. Выход спирта из одной тонны пшеницы будет равен:

.

14. Свободные строки формы (16 и 17) графы 3 заполняются при использовании в производстве других видов ферментных препаратов.

15. В конце формы N 10-АПК (спирт) указывается расход осахаривающих материалов - зерна на солод и ферментных препаратов. Расход приводится по норме и фактический.

16. Нормативы выхода этилового спирта из тонны условного крахмала перерабатываемого сырья в производстве и нормы расхода осахаривающих материалов в производстве спирта приведены в "Сборнике нормативов для спиртовых и ликеро-водочных заводов (СН 10-12446-99)", утвержденном Минсельхозпродом России 24 ноября 1999 г.

Форма N 9-АПК (мясо) - Утратила силу. (в ред. Постановления Госкомстата от 01.08.2002 N 161)

УТВЕРЖДЕН
Постановлением Госкомстата РФ
по согласованию с Минсельхозом РФ
от 17.07.2000 N 67

ИНСТРУКЦИЯ ПО ЗАПОЛНЕНИЮ ФОРМЫ ФЕДЕРАЛЬНОГО ГОСУДАРСТВЕННОГО СТАТИСТИЧЕСКОГО НАБЛЮДЕНИЯ N 9-АПК (МЯСО) - Утратила силу. (в ред. Приказа Росстата от 12.12.2017 N 818)

Форма N 6-тп - Утратила силу. (в ред. Постановления Госкомстата РФ от 27.07.2001 N 54)

Форма N 11-тэр - Утратила силу. (в ред. Постановления Госкомстата от 01.08.2002 N 161)

Форма N 1-КВП - Утратила силу. (в ред. Постановления Госкомстата РФ от 27.07.2001 N 54)

ФОРМА N 5-з - Утратила силу. (в ред. Постановления Госкомстата РФ от 26.12.2000 N 129)

Форма N 1-предприятие - Утратила силу. (в ред. Постановления Госкомстата РФ от 27.07.2001 N 54)

Форма N 1-алкоголь (срочная) - Утратила силу. (в ред. Постановления Госкомстата РФ от 16.10.2001 N 74)

Формы N П-1, N 1-рыба (ресурсы) срочная - Утратили силу. (в ред. Постановления Госкомстата РФ от 27.07.2001 N 54)

Форма N 1-МОН - Утратила силу. (в ред. Постановления Росстата от 14.09.2004 N 41)