Приказ ФАС РФ от 21.11.2016 N 1638/16

"Об утверждении методических указаний по расчету регулируемых тарифов в области обращения с твердыми коммунальными отходами"
Редакция от 01.11.2018 — Не действует Перейти в действующую
Показать изменения

Зарегистрировано в Минюсте России 2 декабря 2016 г. N 44544


ФЕДЕРАЛЬНАЯ АНТИМОНОПОЛЬНАЯ СЛУЖБА

ПРИКАЗ
от 21 ноября 2016 г. N 1638/16

ОБ УТВЕРЖДЕНИИ МЕТОДИЧЕСКИХ УКАЗАНИЙ ПО РАСЧЕТУ РЕГУЛИРУЕМЫХ ТАРИФОВ В ОБЛАСТИ ОБРАЩЕНИЯ С ТВЕРДЫМИ КОММУНАЛЬНЫМИ ОТХОДАМИ

(в ред. Приказа ФАС РФ от 01.11.2018 N 1488/18)

В соответствии со статьей 5 Федерального закона от 24 июня 1998 г. N 89-ФЗ "Об отходах производства и потребления" (Собрание законодательства Российской Федерации, 1998, N 26, ст. 3009; 2001, N 1 (ч. 2), ст. 21; 2003, N 2, ст. 167; 2004, N 35, ст. 3607; 2005, N 19, ст. 1752; 2006, N 1, ст. 10; N 52 (ч. 1), ст. 5498; 2007, N 46, ст. 5554; 2008, N 30 (ч. 2), ст. 3616; N 45, ст. 5142; 2009, N 1, ст. 17; 2001, N 30 (ч. 1), ст. 4590; ст. 4596; N 45, ст. 6333; N 48, ст. 6732; 2012, N 26, ст. 3446; N 27, ст. 3587; N 31, ст. 4317; 2013, N 30 (ч. 1), ст. 4059; N 43, ст. 5448; N 48, ст. 6165; 2014, N 30 (ч. 1), ст. 4220; ст. 4262; 2015, N 1 (ч. 1), ст. 11; ст. 38; N 27, ст. 3994; N 29 (ч. 1), ст. 4350; 2016, N 1 (ч. 1), ст. 12; ст. 24; N 15, ст. 2066; N 27 (ч. 1), ст. 4187), пунктом 2 постановления Правительства Российской Федерации от 30 мая 2016 г. N 484 "О ценообразовании в области обращения с твердыми коммунальными отходами" (Собрание законодательства Российской Федерации, 2016, N 23, ст. 3331) приказываю:

1. Утвердить Методические указания по расчету регулируемых тарифов в области обращения с твердыми коммунальными отходами согласно приложению к настоящему приказу.

2. Настоящий приказ вступает в силу в установленном порядке.

3. Контроль за исполнением настоящего приказа оставляю за собой.

Руководитель
И.Ю. АРТЕМЬЕВ

Приложение
к приказу ФАС России
от 21.11.2016 N 1638/16

МЕТОДИЧЕСКИЕ УКАЗАНИЯ ПО РАСЧЕТУ РЕГУЛИРУЕМЫХ ТАРИФОВ В ОБЛАСТИ ОБРАЩЕНИЯ С ТВЕРДЫМИ КОММУНАЛЬНЫМИ ОТХОДАМИ

(в ред. Приказа ФАС РФ от 01.11.2018 N 1488/18)

I. Общие положения

1. Настоящие Методические указания по расчету регулируемых тарифов в области обращения с твердыми коммунальными отходами (далее - Методические указания) разработаны в соответствии с Федеральным законом от 24 июня 1998 г. N 89-ФЗ "Об отходах производства и потребления" (Собрание законодательства Российской Федерации, 1998, N 26, ст. 3009; 2001, N 1 (ч. 2), ст. 21; 2003, N 2, ст. 167; 2004, N 35, ст. 3607; 2005, N 19, ст. 1752; 2006, N 1, ст. 10; N 52 (ч. 1), ст. 5498; 2007, N 46, ст. 5554; 2008, N 30 (ч. 2), ст. 3616; N 45, ст. 5142; 2009, N 1, ст. 17; 2001, N 30 (ч. 1), ст. 4590; ст. 4596; N 45, ст. 6333; N 48, ст. 6732; 2012, N 26, ст. 3446; N 27, ст. 3587; N 31, ст. 4317; 2013, N 30 (ч. 1), ст. 4059; N 43, ст. 5448; N 48, ст. 6165; 2014, N 30 (ч. 1), ст. 4220; ст. 4262; 2015, N 1 (ч. 1), ст. 11; ст. 38; N 27, ст. 3994; N 29 (ч. 1), ст. 4350; 2016, N 1 (ч. 1), ст. 12; ст. 24; N 15, ст. 2066; N 27 (ч. 1), ст. 4187) (далее - Федеральный закон "Об отходах производства и потребления"), Основами ценообразования в области обращения с твердыми коммунальными отходами (далее - Основы ценообразования) и Правилами регулирования тарифов в сфере обращения с твердыми коммунальными отходами (далее - Правила регулирования), утвержденными постановлением Правительства Российской Федерации от 30 мая 2016 г. N 484 "О ценообразовании в области обращения с твердыми коммунальными отходами" (Собрание законодательства Российской Федерации, 2016, N 23, ст. 3331).

2. Методические указания предназначены для использования органами исполнительной власти субъекта Российской Федерации, осуществляющими государственное регулирование тарифов, и органами местного самоуправления, в случае наделения их соответствующими полномочиями, организациями, осуществляющими регулируемые виды деятельности в области обращения с твердыми коммунальными отходами (далее соответственно - органы регулирования тарифов, регулируемые организации), для расчета предельных тарифов в области обращения с твердыми коммунальными отходами.

3. Понятия, используемые в настоящих Методических указаниях, соответствуют определениям, данным в Федеральном законе "Об отходах производства и потребления", Основах ценообразования, а также иных нормативных правовых актах Российской Федерации в области обращения с твердыми коммунальными отходами.

4. Регулируемые виды деятельности в области обращения с твердыми коммунальными отходами осуществляются по ценам, определенным по соглашению сторон, но не превышающим утвержденных предельных тарифов на осуществление регулируемых видов деятельности в области обращения с твердыми коммунальными отходами, установленных органами регулирования тарифов.

5. В соответствии с настоящими Методическими указаниями рассчитываются следующие виды предельных тарифов (далее - тарифы):

а) единый тариф на услугу регионального оператора по обращению с твердыми коммунальными отходами;

б) тариф на обработку твердых коммунальных отходов;

в) тариф на обезвреживание твердых коммунальных отходов;

г) тариф на захоронение твердых коммунальных отходов.

5(1). В случае, если регулируемая организация, осуществляющая захоронение твердых коммунальных отходов, осуществляет их обработку с использованием объектов обработки твердых коммунальных отходов, принадлежащих ей на праве собственности или на ином законном основании, тариф на обработку твердых коммунальных отходов для такой регулируемой организации не устанавливается. При этом расходы на обработку твердых коммунальных отходов учитываются при установлении тарифа на захоронение твердых коммунальных отходов. (в ред. Приказа ФАС РФ от 01.11.2018 N 1488/18)

II. Общие принципы формирования тарифов

6. При установлении тарифов на обработку, обезвреживание и захоронение твердых коммунальных отходов используются следующие методы:

а) метод экономически обоснованных расходов (затрат);

б) метод индексации;

в) метод доходности инвестированного капитала.

Метод экономически обоснованных расходов (затрат) может применяться в случае, если в отношении регулируемой организации (в отношении отдельных регулируемых видов деятельности) в течение предыдущего года не осуществлялось государственное регулирование тарифов.

Метод доходности инвестированного капитала применяется в отношении объектов по обращению с отходами, созданных не ранее 1 января 2015 г.

Срок действия тарифов, установленных методом экономически обоснованных расходов (затрат), составляет не более 1 финансового года.

Долгосрочные тарифы рассчитываются с применением метода индексации или метода доходности инвестированного капитала на период длительностью не менее 5 годовых периодов регулирования (не менее 3 годовых периодов регулирования при первом применении долгосрочных тарифов).

7. Тарифы рассчитываются на основании необходимой валовой выручки, определенной для соответствующего регулируемого вида деятельности, и расчетного объема и (или) массы твердых коммунальных отходов.

8. Тарифы устанавливаются с календарной разбивкой по полугодиям исходя из непревышения величины указанных тарифов в первом полугодии очередного годового периода регулирования над величиной соответствующих тарифов во втором полугодии предшествующего годового периода регулирования по состоянию на 31 декабря.

9. Необходимая валовая выручка определяется исходя из экономически обоснованных расходов регулируемых организаций, необходимых ей для осуществления регулируемого вида деятельности в течение периода регулирования и обеспечения достижения показателей эффективности с учетом положений пункта 10 настоящих Методических указаний.

10. При определении необходимой валовой выручки учитываются расходы регулируемых организаций на реализацию предусмотренных инвестиционными и производственными программами регулируемых организаций мероприятий в экономически обоснованных размерах, обеспечивающих достижение плановых значений показателей эффективности, а также мероприятий, предусмотренных концессионными соглашениями, соглашениями о государственно-частном партнерстве, муниципально-частном партнерстве, договорами аренды.

11. В случае если регулируемая организация кроме регулируемых видов деятельности в области обращения с твердыми коммунальными отходами осуществляет нерегулируемые виды деятельности, расходы на осуществление нерегулируемых видов деятельности и полученная в ходе их осуществления прибыль (убытки) не учитываются при установлении тарифов, за исключением расходов на осуществление нерегулируемых видов деятельности, которые учитываются в составе единого тарифа на услугу регионального оператора по обращению с твердыми коммунальными отходами.

Из необходимой валовой выручки регулируемой организации исключаются доходы, полученные от продажи вторичных материальных ресурсов, электроэнергии, тепловой энергии, газа и других ресурсов, полученных из отходов, при этом стоимость таких ресурсов определяется органом регулирования на основе данных, предоставляемых регулируемой организацией и может устанавливаться на долгосрочный период регулирования.

При установлении тарифов не учитываются недополученные доходы, возникшие в связи с применением цен, определенных соглашением сторон и отличных от установленных тарифов.

Повторный учет одних и тех же расходов, относимых на разные регулируемые виды деятельности в области обращения с твердыми коммунальными отходами, при установлении тарифов не допускается.

12. В случае если регулируемая организация в течение истекшего периода регулирования понесла экономически обоснованные расходы, не учтенные органом регулирования тарифов при установлении тарифов, или имеет недополученные доходы прошлых периодов регулирования, такие расходы (недополученные доходы), а также расходы, связанные с привлечением и обслуживанием заемных средств и собственных средств, направляемых на покрытие недостатка средств, учитываются органом регулирования тарифов при установлении тарифов для такой регулируемой организации в полном объеме не позднее чем на третий годовой период регулирования, следующий за периодом регулирования, в котором указанные расходы (недополученные доходы) были подтверждены бухгалтерской и статистической отчетностью.

При установлении в соответствии с настоящим пунктом тарифов для регулируемой организации, созданной в результате реорганизации юридических лиц в форме слияния, преобразования или присоединения, учитываются экономически обоснованные расходы, не учтенные органом регулирования тарифов при установлении тарифов для реорганизованного юридического лица (юридических лиц), а также расходы, связанные с обслуживанием заемных средств и собственных средств, направляемых на покрытие недостатка средств.

Расходы, связанные с обслуживанием заемных средств, учитываются в размере, рассчитанном исходя из ставки процента, равной ключевой ставке Центрального банка Российской Федерации, действующей на дату привлечения таких средств (заключения договора займа, кредитного договора), увеличенной на 4 процентных пункта.

По решению органа регулирования тарифов для регулируемых организаций, осуществляющих деятельность в населенных пунктах с численностью населения менее 100 тыс. человек, указанная ставка процента может быть определена с учетом региональных особенностей в размере ключевой ставки Центрального банка Российской Федерации, действующей на дату привлечения заемных средств, увеличенной более чем в 1,5 раза, но в размере не менее 4 процентных пунктов.

13. Тарифы регулируемых организаций могут дифференцироваться по муниципальным образованиям, видам твердых коммунальных отходов, а также технологическим особенностям в соответствии с территориальной схемой обращения с отходами, в том числе твердыми коммунальными отходами (далее - территориальная схема).

Дифференциация тарифов осуществляется в соответствии с главой VII настоящих Методических указаний.

14. Расчетный объем и (или) масса твердых коммунальных отходов на очередной период регулирования (каждый год в течение долгосрочного периода регулирования) определяется в соответствии с Приложениями 2, 3 к настоящим Методическим указаниям на основании данных о фактическом объеме и (или) массе твердых коммунальных отходов за последний отчетный год и данных о динамике образования твердых коммунальных отходов за последние 3 года при наличии соответствующих подтверждающих документов, а в случае отсутствия подтверждающих документов - исходя из данных территориальной схемы или, при ее отсутствии, исходя из нормативов накопления твердых коммунальных отходов и заключенных регулируемой организацией договоров на оказание услуг.

В случае, если в соответствии с территориальной схемой происходит изменение зоны (территории), с которой твердые коммунальные отходы поступают на объект по обращению с отходами, либо происходит изменение количества и состава твердых коммунальных отходов, поступающих на объект, в том числе в связи с осуществлением обработки и обезвреживания отходов на иных объектах, такие изменения учитываются при определении объема и (или) массы твердых коммунальных отходов в соответствии с данными, представленными в территориальной схеме, и (или) расчетом регулируемой организации.

III. Основные методологические положения по формированию необходимой валовой выручки для расчета тарифов методом экономически обоснованных расходов (затрат)

15. При применении метода экономически обоснованных расходов (затрат) необходимая валовая выручка регулируемой организации определяется как сумма планируемых на очередной период регулирования:

1) производственных расходов;

2) ремонтных расходов;

3) административных расходов;

4) сбытовых расходов;

5) расходов на амортизацию основных средств и нематериальных активов;

6) расходов на арендную плату, лизинговые платежи, концессионную плату;

7) расходов, связанных с оплатой налогов, сборов и других обязательных платежей;

8) расходов на оплату товаров, работ и услуг других операторов по обращению с твердыми коммунальными отходами, определяемых исходя из тарифов, установленных на товары (работы, услуги) таких операторов органами регулирования тарифов, или цен, определенных по соглашению с такими операторами, но не превышающих предельных тарифов, установленных таким операторам органом регулирования тарифов;

9) расходов на плату за негативное воздействие на окружающую среду при размещении твердых коммунальных отходов, размер которой определяется в соответствии с пунктом 43(1) Основ ценообразования; (в ред. Приказа ФАС РФ от 01.11.2018 N 1488/18)

10) нормативной прибыли;

11) расчетной предпринимательской прибыли регулируемой организации.

16. При определении расчетных значений расходов, учитываемых при установлении тарифов, орган регулирования тарифов использует экономически (технологически, технически) обоснованные объемы потребления сырья, материалов, выполненных работ (услуг) и цены (тарифы) на них, с учетом особенностей, предусмотренных пунктом 14 Основ ценообразования.

17. В составе производственных расходов учитываются:

1) расходы на приобретение сырья и материалов, используемых для производственных нужд, и их хранение, определяемые как сумма расходов по каждому виду сырья и материалов, рассчитанных как произведение плановых (расчетных) цен на сырье и материалы и экономически (технологически, технически) обоснованных объемов потребления сырья и материалов;

2) расходы на приобретаемые топливо, электрическую энергию (мощность), тепловую энергию (мощность), другие виды энергетических ресурсов, определяемые как сумма произведений расчетных экономически (технологически, технически) обоснованных объемов приобретаемых электрической энергии (мощности), тепловой энергии (мощности), других видов энергетических ресурсов на соответственно плановые (расчетные) цены (тарифы) на электрическую энергию (мощность), тепловую энергию (мощность), другие виды энергетических ресурсов;

3) расходы на оплату выполняемых сторонними организациями или индивидуальными предпринимателями работ и (или) услуг, связанных с эксплуатацией объектов, используемых для обработки, обезвреживания, захоронения твердых коммунальных отходов;

4) расходы на оплату труда и отчисления на социальные нужды основного производственного персонала;

5) расходы на уплату процентов по займам и кредитам, не учитываемые при определении налогооблагаемой базы по налогу на прибыль, в состав которых включаются расходы по кредитам на покрытие кассовых разрывов, целевым кредитам на производственные нужды, за исключением иных видов кредитов, а также расходы на организацию и привлечение финансирования;

6) общехозяйственные расходы;

7) прочие производственные расходы, непосредственно связанные с эксплуатацией объектов, используемых для обработки, обезвреживания, захоронения твердых коммунальных отходов, не учитываемые в составе ремонтных расходов, включая расходы на амортизацию автотранспорта, используемого регулируемой организацией для осуществления регулируемой деятельности.

18. В составе ремонтных расходов учитываются:

1) расходы на текущий ремонт объектов, используемых для обработки, обезвреживания, захоронения твердых коммунальных отходов;

2) расходы на капитальный ремонт объектов, используемых для обработки, обезвреживания, захоронения твердых коммунальных отходов;

3) расходы на оплату труда и отчисления на социальные нужды ремонтного персонала.

При определении расходов регулируемой организации на текущий и капитальный ремонт используются расчетные цены и экономически (технически, технологически) обоснованный объем ремонтных работ, предусмотренный производственной программой регулируемой организации.

19. К административным расходам относятся:

1) расходы на оплату товаров, работ и (или) услуг, поставляемых и (или) выполняемых по договорам сторонними организациями или индивидуальными предпринимателями, включая расходы на оплату услуг связи и интернета, вневедомственной охраны, юридических, информационных, аудиторских, консультационных услуг в экономически обоснованном размере, определяемом в соответствии с подпунктами "б" - "д" пункта 14 Основ ценообразования, за исключением расходов, отнесенных к производственным расходам;

2) расходы на оплату труда и отчисления на социальные нужды административно-управленческого персонала;

3) арендная плата, лизинговые платежи, не связанные с арендой (лизингом) объектов, используемых для обработки, обезвреживания, захоронения твердых коммунальных отходов;

4) расходы на служебные командировки;

5) расходы на обучение персонала;

6) расходы на обязательное страхование производственных объектов в случаях предусмотренных законодательством Российской Федерации;

7) прочие административные расходы:

- расходы на амортизацию непроизводственных активов;

- расходы на оплату услуг сторонних организаций по обеспечению безопасности функционирования используемых для обработки, обезвреживания, захоронения твердых коммунальных отходов, в том числе расходы на защиту от террористических угроз.

При осуществлении организацией иных регулируемых и нерегулируемых видов деятельности (за исключением регулируемых видов деятельности в рамках Федерального закона "Об отходах производства и потребления") административные расходы распределяются согласно учетной политике организации.

20. При установлении тарифов для регулируемых организаций, не имеющих статуса регионального оператора, при определении сбытовых расходов в необходимой валовой выручке таких организаций учитывается вся сумма фактически списанной безнадежной дебиторской задолженности при условии ее документального подтверждения, а также величина экономически обоснованных расходов на создание регулируемой организацией в соответствии с положениями бухгалтерского и налогового учета резерва по сомнительным долгам при условии его документального подтверждения, обоснования невозможности взыскания и надлежащей претензионной работы регулируемой организации.

В случае признания по решению суда регионального оператора несостоятельным (банкротом) вся сумма фактически списанной безнадежной дебиторской задолженности регулируемых организаций, не имеющих статуса регионального оператора, при условии ее документального подтверждения, учитывается в необходимой валовой выручке при установлении тарифов таким организациям в течение пяти лет, а также учитывается величина экономически обоснованных расходов на создание регулируемой организацией в соответствии с положениями бухгалтерского и налогового учета резерва по сомнительным долгам при условии его документального подтверждения.

21. Расходы на амортизацию основных средств и нематериальных активов, относимых к объектам, используемым для обработки, обезвреживания, захоронения твердых коммунальных отходов, учитываются при установлении тарифов на очередной период регулирования в размере, определенном в соответствии с законодательством Российской Федерации о бухгалтерском учете. Результаты переоценки основных средств и нематериальных активов, осуществляемой в соответствии с законодательством Российской Федерации о бухгалтерском учете, учитываются только в той части, в какой соответствующие амортизационные отчисления являются источником финансирования капитальных вложений в соответствии с инвестиционной программой регулируемой организации. В случае, если по итогам исполнения инвестиционной программы указанные расходы не были осуществлены, они исключаются из расчета тарифов в очередном периоде регулирования.

22. Расходы на арендную плату и лизинговые платежи в отношении объектов, используемых для обработки, обезвреживания, захоронения твердых коммунальных отходов, определяются органом регулирования тарифов в размере, не превышающем экономически обоснованный размер такой платы, с учетом особенностей, предусмотренных пунктом 35 Основ ценообразования.

23. При определении размера расходов, связанных с уплатой налогов и сборов учитываются:

налог на прибыль;

налог на имущество организаций;

земельный налог;

транспортный налог;

прочие налоги и сборы, за исключением обязательных платежей с фонда оплаты труда, учитываемых в составе производственных, ремонтных и административных расходов;

При расчете налога на прибыль регулируемой организации сумма амортизации основных средств и нематериальных активов определяется в соответствии с Налоговым кодексом Российской Федерации.

24. Учитываемая при определении необходимой валовой выручки нормативная прибыль включает в себя:

1) расходы на капитальные вложения (инвестиции), определяемые в соответствии с утвержденными инвестиционными программами регулируемых организаций, за исключением средств, учтенных в соответствии с подпунктом 2 настоящего пункта;

2) средства на возврат займов и кредитов, привлекаемых на реализацию мероприятий инвестиционной программы регулируемой организации, в размере, определяемом исходя из срока их возврата, предусмотренного договорами займа и кредитными договорами, в том числе расходы на привлечение и погашение таких займов и кредитов, а также проценты по таким займам и кредитам, размер которых определяется с учетом положений пункта 12 настоящих Методических указаний;

3) экономически обоснованные расходы на выплаты, предусмотренные коллективными договорами, не учитываемые при определении налоговой базы налога на прибыль (расходов, относимых на прибыль после налогообложения), в соответствии с Налоговым кодексом Российской Федерации.

24(1). Для юридического лица или индивидуального предпринимателя, впервые представивших предложение об установлении тарифов, в случае, если такими юридическим лицом или индивидуальным предпринимателем реализованы мероприятия утвержденной инвестиционной программы в части соответствующего регулируемого вида деятельности в области обращения с твердыми коммунальными отходами, расчет нормативной прибыли осуществляется исходя из необходимости компенсации расходов на капитальные вложения (инвестиции), определенных в соответствии с такой инвестиционной программой, и расходов на возврат займов и кредитов, привлеченных на реализацию мероприятий инвестиционной программы, а также процентов по таким займам и кредитам, размер которых определен с учетом положений, предусмотренных пунктом 12 настоящих Методических указаний. (в ред. Приказа ФАС РФ от 01.11.2018 N 1488/18)

При этом расходы на капитальные вложения (инвестиции) учитываются в размере фактически произведенных расходов на реализацию мероприятий инвестиционной программы. В случае превышения размера фактически произведенных расходов на реализацию мероприятий инвестиционной программы над размером плановых расходов, расходы на капитальные вложения (инвестиции) учитываются в размере плановых расходов, определенных в утвержденной инвестиционной программе. (в ред. Приказа ФАС РФ от 01.11.2018 N 1488/18)

25. Расчетная предпринимательская прибыль регулируемой организации определяется в размере 5 процентов от включаемых в необходимую валовую выручку на очередной период регулирования расходов, указанных в подпунктах 1 - 9 пункта 15 настоящих Методических указаний.

Расчетная предпринимательская прибыль регулируемой организации не устанавливается для регулируемой организации:

являющейся государственным или муниципальным унитарным предприятием;

владеющей объектом (объектами) в области обращения с твердыми коммунальными отходами исключительно на основании договора (договоров) аренды, заключенного на срок менее 3 лет. (в ред. Приказа ФАС РФ от 01.11.2018 N 1488/18)

26. При определении расходов на оплату труда, включаемых в необходимую валовую выручку, размер фонда оплаты труда определяется в соответствии с Приложением 5 к настоящим Методическим указаниям.

При определении расходов на оплату труда учитываются параметры отраслевого тарифного соглашения (при его наличии), параметры трехстороннего соглашения, заключенного представителями работников, работодателей и органов исполнительной власти субъектов Российской Федерации или местного самоуправления (региональное отраслевое соглашение) (при его наличии), условия коллективного договора, размер фонда оплаты труда в последнем расчетном периоде регулирования и планового и (или) фактического уровня фонда оплаты труда, сложившегося за последний период регулирования в регулируемой организации и других регулируемых организациях, осуществляющих аналогичные виды регулируемой деятельности в сопоставимых условиях, прогнозный индекс потребительских цен.

27. При установлении тарифов регулируемых организаций не допускается учет расходов регулируемой организации на истребование задолженности по оплате жилых помещений и коммунальных услуг, содержание информационных систем, обеспечивающих сбор, обработку и хранение данных о платежах за жилые помещения и коммунальные услуги, выставление платежных документов на оплату жилых помещений и коммунальных услуг, если такие расходы были учтены в составе расходов за содержание и ремонт жилого помещения в соответствии с Правилами содержания общего имущества в многоквартирном доме, утвержденными постановлением Правительства Российской Федерации от 13 августа 2006 г. N 491 (Собрание законодательства Российской Федерации, 2006, N 34, ст. 3680; 2011, N 22, ст. 3168; 2013, N 21, ст. 2648; 2014, N 14, ст. 1627; 2016, N 1 (ч. 2), ст. 244; N 23, ст. 3327; N 30, ст. 4914).

IV. Основные методологические положения по формированию необходимой валовой выручки для расчета тарифов методом индексации установленных тарифов

28. При расчете долгосрочных тарифов методом индексации установленных тарифов необходимая валовая выручка определяется на основе следующих долгосрочных параметров регулирования, которые определяются на каждый год долгосрочного периода регулирования перед его началом и в течение которого не пересматриваются, за исключением случаев, предусмотренных пунктом 21 Основ ценообразования:

1) базовый уровень операционных расходов, устанавливаемый органом регулирования в соответствии с пунктом 31 настоящих Методических указаний;

2) индекс эффективности операционных расходов, характеризующий минимально допустимый темп повышения эффективности операционных расходов и устанавливаемый в размере 1 процента (если иное не было предусмотрено конкурсной документацией при проведении конкурса на заключение концессионного соглашения, соглашением о государственно-частном партнерстве, договором аренды, договором лизинга, конкурсной документацией на получение статуса регионального оператора). При этом на первый долгосрочный период регулирования индекс эффективности операционных расходов определяется в размере от 1 до 3 процентов в год по решению органа регулирования тарифов, утвержденного до проведения конкурса, указанного в настоящем пункте;

3) показатели энергосбережения и энергетической эффективности (удельный расход энергетических ресурсов).

Для регулируемых организаций, владеющих объектами по обращению с твердыми коммунальными отходами, находящимися в государственной или муниципальной собственности, на основании концессионного соглашения, соглашения о государственно-частном партнерстве, муниципально-частном партнерстве или договора аренды, долгосрочные тарифы устанавливаются на основе значений долгосрочных параметров регулирования деятельности концессионера или арендатора, указанных в таком соглашении или договоре.

29. На каждый год долгосрочного периода регулирования определяются прогнозные параметры регулирования (далее также - прогнозные параметры регулирования):

1) индекс потребительских цен (в среднем за год к предыдущему году), темпы роста цен на электрическую энергию, природный газ и другие виды топлива, темпы роста цен на капитальное строительство, темпы роста заработной платы, определяемые на основании информации базового варианта одобренных Правительством Российской Федерации сценарных условий функционирования экономики Российской Федерации и основных параметров, определенных в базовом варианте уточненного прогноза социально-экономического развития Российской Федерации на очередной финансовый год и плановый период.

В отсутствие одобренного прогноза социально-экономического развития Российской Федерации на соответствующий год долгосрочного периода регулирования в целях определения операционных (подконтрольных) расходов применяются значения параметров прогноза социально-экономического развития Российской Федерации, соответствующие последнему году периода, на который был одобрен указанный прогноз;

2) неподконтрольные расходы;

3) стоимость приобретения единицы энергетических ресурсов;

4) стоимость и сроки начала строительства (реконструкции) и ввода в эксплуатацию объектов, используемых для обращения с твердыми коммунальными отходами, предусмотренных утвержденной инвестиционной программой регулируемой организации, источники финансирования утвержденной инвестиционной программы;

5) расчетный объем и (или) масса твердых коммунальных отходов, определяемые в соответствии с пунктом 14 настоящих Методических указаний.

При установлении тарифов с применением метода индексации необходимая валовая выручка регулируемой организации включает в себя текущие расходы, расходы на амортизацию основных средств и нематериальных активов, нормативную прибыль, а также расчетную предпринимательскую прибыль регулируемой организации. До начала долгосрочного периода регулирования на основе долгосрочных параметров регулирования и иных прогнозных параметров регулирования орган регулирования рассчитывает необходимую валовую выручку регулируемой организации отдельно на каждый i-й год долгосрочного периода регулирования (далее в настоящей главе - i-й год), , по формуле:

(тыс. руб.), (1)

где:

- текущие расходы, определяемые в соответствии с формулой 2 настоящих Методических указаний, тыс. руб.;

- расходы на амортизацию основных средств и нематериальных активов в году i, определяемые в соответствии с пунктом 34 настоящих Методических указаний, тыс. руб.;

- нормативная прибыль, устанавливаемая органом регулирования на i-й год в соответствии с пунктом 35 настоящих Методических указаний, тыс. руб.;

- расчетная предпринимательская прибыль, устанавливаемая органом регулирования на i-й год в соответствии с пунктом 36 настоящих Методических указаний, тыс. руб.;

- величина изменения необходимой валовой выручки в году i, проводимого в целях сглаживания, рассчитанная в соответствии с пунктом 37 настоящих Методических указаний, тыс. руб.;

- величина, определяемая на i-й год первого долгосрочного периода регулирования в соответствии с пунктом 38 настоящих Методических указаний и учитывающая результаты деятельности регулируемой организации до перехода к регулированию цен (тарифов) на основе долгосрочных параметров регулирования, тыс. руб.

Текущие расходы, , рассчитываются по следующей формуле:

(тыс. руб.), (2)

где:

- операционные (подконтрольные) расходы в i-м году, определяемые в соответствии с пунктами 30, 31 настоящих Методических указаний, тыс. руб.;

- неподконтрольные расходы в i-м году, определяемые в соответствии с пунктом 32 настоящих Методических указаний, тыс. руб.;

- расходы на приобретение энергетических ресурсов в i-м году, определяемые в соответствии с пунктом 33 настоящих Методических указаний, тыс. руб.

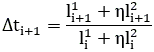
30. Операционные (подконтрольные) расходы рассчитываются по формуле:

, (тыс. руб.) (3)

где:

- операционные (подконтрольные) расходы в i-м году. Для первого года долгосрочного периода регулирования уровень операционных расходов (базовый уровень операционных расходов) определяется в соответствии с пунктом 31 настоящих Методических указаний, тыс. руб.;

- индекс эффективности операционных расходов на год i, выраженный в процентах и определяемый в соответствии с пунктом 28 настоящих Методических указаний;

- индекс потребительских цен, определенный на основании параметров прогноза социально-экономического развития Российской Федерации на i-й год;

, - количество твердых коммунальных отходов, поступающих на объект в году i, (i-1), тонн.

31. При расчете базового уровня операционных расходов учитываются следующие расходы:

1) расходы на приобретение сырья и материалов и их хранение;

2) расходы на оплату выполняемых сторонними организациями или индивидуальными предпринимателями работ и (или) услуг, связанных с эксплуатацией объектов, используемых для обработки, обезвреживания, захоронения твердых коммунальных отходов;

3) расходы на оплату товаров, работ и (или) услуг, поставляемых и (или) выполняемых по договорам сторонними организациями или индивидуальными предпринимателями, включая расходы на оплату услуг связи и интернета, вневедомственной охраны, юридических, информационных, аудиторских, консультационных услуг и другие расходы в экономически обоснованном размере, за исключением расходов, отнесенных к расходам на оплату товаров (услуг, работ), приобретаемых у других организаций, осуществляющих регулируемые виды деятельности, и расходам на приобретение энергетических ресурсов, холодной воды и теплоносителя и рассчитываемые согласно пунктам 14 - 15 Основ ценообразования;

4) расходы на оплату труда и отчисления на социальные нужды;

5) расходы на служебные командировки, расходы на обучение персонала;

6) общехозяйственные расходы;

7) расходы на текущий и капитальный ремонт объектов, используемых для обработки, обезвреживания, захоронения твердых коммунальных отходов;

8) арендная плата, лизинговые платежи, не связанные с арендой (лизингом) объектов, используемых для обработки, обезвреживания, захоронения твердых коммунальных отходов;

9) расходы на обязательное страхование производственных объектов в случаях, предусмотренных законодательством Российской Федерации, страхование ответственности концессионера, частного партнера, в случаях, предусмотренных соответствующими соглашениями, а также расходов на страхование рисков гибели объектов, создаваемых по таким соглашениям;

10) прочие расходы, не относящиеся к неподконтрольным расходам, в том числе расходы по охране труда и технике безопасности, расходы на канцелярские товары.

Указанные выше расходы определяются методом экономически обоснованных расходов (затрат) в соответствии с главой III настоящих Методических указаний.

При установлении базового уровня операционных расходов учитываются результаты анализа обоснованности расходов регулируемой организации, понесенных в последнем году предыдущего долгосрочного периода регулирования за который имеются фактические данные, и результаты проведения контрольных мероприятий.

32. Неподконтрольные расходы включают в себя:

1) расходы на оплату товаров (услуг, работ), приобретаемых у других организаций, осуществляющих регулируемые виды деятельности, не включающие расходы на приобретение энергетических ресурсов, холодной воды и теплоносителя и рассчитываемые согласно пунктам 14 - 15 Основ ценообразования;

2) расходы на уплату налогов, сборов и других обязательных платежей, в том числе расходы на обязательное страхование, предусмотренные законодательными актами Российской Федерации;

3) расходы на арендную плату, концессионную плату и лизинговые платежи, размер которых определяется с учетом требований, предусмотренных пунктом 35 Основ ценообразования, а также с учетом особенностей пункта 51 Основ ценообразования;

4) сбытовые расходы, определяемые в соответствии с пунктом 20 настоящих Методических указаний.

5) суммарная экономия от снижения операционных расходов и от снижения потребления энергетических ресурсов, учитываемая в составе неподконтрольных расходов в соответствии с пунктом 60 Основ ценообразования.

6) расходы на компенсацию в соответствии с пунктом 11 Основ ценообразования экономически обоснованных расходов, не учтенных органом регулирования тарифов при установлении тарифов в прошлые долгосрочные периоды регулирования, и (или) недополученных доходов;

7) расходы на выплаты по договорам займа и кредитным договорам, включая возврат сумм основного долга и процентов по ним, а также затраты на их привлечение и погашение, за исключением средств на возврат займов и кредитов, процентов по ним, предусмотренных подпунктом "б" пункта 38 Основ ценообразования, с учетом положений, предусмотренных пунктом 12 Основ ценообразования;

8) расходы на плату за негативное воздействие на окружающую среду при размещении твердых коммунальных отходов, размер которой определяется в соответствии с пунктом 55(1) Основ ценообразования. (в ред. Приказа ФАС РФ от 01.11.2018 N 1488/18)

Указанные расходы определяются методом экономически обоснованных расходов (затрат) в соответствии с главой III настоящих Методических указаний.

33. Расходы на приобретение энергетических ресурсов включаются в необходимую валовую выручку в объеме, определенном исходя из объема потребления соответствующего энергетического ресурса, а также исходя из плановых (расчетных) цен (тарифов) на энергетические ресурсы, и рассчитываются по формуле:

, (тыс. руб.) (4)

где:

- объем потребления z-го энергетического ресурса в i-м расчетном периоде регулирования, определяемый с учетом технических характеристик фактически действующего энергопотребляющего оборудования, нормативного времени его работы, а также фактических значений объема потребления такого энергетического ресурса в предыдущие расчетные периоды регулирования;

- плановая (расчетная) стоимость покупки единицы z-го энергетического ресурса в i-м расчетном периоде регулирования.

В расходы на приобретение энергетических ресурсов включаются расходы:

на электроэнергию (мощность);

на тепловую энергию и теплоноситель;

на горячее и холодное водоснабжение и водоотведение;

на природный газ;

на иные виды топлива.

При снижении удельного расхода на энергетические ресурсы средства, полученные в результате уменьшения указанных расходов при условии выполнения производственной программы в полном объеме, не исключаются при расчете тарифов регулируемой организации в течение 5 лет, начиная с года, следующего за годом, в течение которого была получена экономия указанных средств.

Плановые (расчетные) цены на энергетические ресурсы определяются на основе данных, предусмотренных пунктом 14 Основ ценообразования.

34. Расходы на амортизацию основных средств и нематериальных активов определяются в соответствии с нормативными правовыми актами Российской Федерации, регулирующими отношения в сфере бухгалтерского учета. При этом результаты переоценки основных средств и нематериальных активов учитываются органом регулирования тарифов только в той части, в какой соответствующие амортизационные отчисления являются источником финансирования капитальных вложений в соответствии с инвестиционной программой регулируемой организации.

35. Нормативная прибыль на i-й год определяется в соответствии с пунктами 24 и 24(1) настоящих Методических указаний с учетом особенностей, предусмотренных пунктом 54 Основ ценообразования. (в ред. Приказа ФАС РФ от 01.11.2018 N 1488/18)

Нормативная прибыль рассчитывается по формуле:

(тыс. руб.), (5)

(в ред. Приказа ФАС РФ от 01.11.2018 N 1488/18)

где:

- расходы на капитальные вложения (инвестиции), рассчитываемые с учетом расходов на реализацию мероприятий инвестиционной программы в размере, предусмотренном утвержденной в установленном порядке инвестиционной программой такой организации на соответствующий год ее действия с учетом источников финансирования, определенных инвестиционной программой, тыс. руб.

- расходы на капитальные вложения (инвестиции), компенсация которых осуществляется с учетом требований пункта 24(1) настоящих Методических указаний в году i, тыс. руб.; (в ред. Приказа ФАС РФ от 01.11.2018 N 1488/18)

- расходы на возврат займов и кредитов, компенсация которых осуществляется с учетом требований пунктов 12 и 24(1) настоящих Методических указаний в году i, тыс. руб. (в ред. Приказа ФАС РФ от 01.11.2018 N 1488/18)

При определении величины расходов на капитальные вложения (инвестиции) в составе нормативной прибыли регулируемой организации не учитываются расходы, финансируемые за счет надбавок к ценам (тарифам) для потребителей услуг организаций коммунального комплекса, установленных в соответствии с Федеральным законом от 30 декабря 2004 г. N 210-ФЗ "Об основах регулирования тарифов организаций коммунального комплекса" (Собрание законодательства Российской Федерации, 2005, N 1 (ч. 1), ст. 36; N 52 (ч. 1), ст. 5597; 2007, N 1 (ч. 1), ст. 21; N 43, ст. 5084; 2008, N 30 (ч. 2), ст. 3616; N 52 (ч. 1), ст. 6236; 2009, N 48, ст. 5711; N 52 (ч. 1), ст. 6450; 2010, N 30 (ч. 1), ст. 4590; ст. 4596; N 50, ст. 7359; 2012, N 26, ст. 3437; ст. 3446; N 53 (ч. 1), ст. 7614; ст. 7616; ст. 7643; 2014, N 23, ст. 2928; N 40 (ч. 2), ст. 5322; 2015, N 1 (ч. 1), ст. 38) (далее - Федеральный закон от 30 декабря 2004 г. N 210-ФЗ "Об основах регулирования тарифов организаций коммунального комплекса"), амортизации, заемных средств, средств бюджетов бюджетной системы Российской Федерации.

В случае если при установлении долгосрочных тарифов продолжительность первого долгосрочного периода регулирования превышает оставшийся срок действия утвержденной в установленном порядке инвестиционной программы, величина расходов на капитальные вложения (инвестиции) на годы, следующие за годом окончания срока действия инвестиционной программы, определяется на уровне расходов регулируемой организации на капитальные вложения (инвестиции) в последний год действия инвестиционной программы;

- средства на возврат займов и кредитов, привлекаемых на реализацию мероприятий инвестиционной программы, в размере, определяемом исходя из срока их возврата, предусмотренного договорами займа и кредитными договорами, а также проценты по таким займам и кредитам, размер которых определен с учетом положений, предусмотренных пунктом 12 настоящих Методических указаний, тыс. руб.

При определении расходов на возврат займов и кредитов, привлекаемых на реализацию мероприятий инвестиционной программы, не учитываются расходы на возврат займов и кредитов на реализацию мероприятий инвестиционной программы, финансируемые за счет амортизации;

- величина экономически обоснованных расходов на выплаты, предусмотренные коллективными договорами, не учитываемых при определении налоговой базы налога на прибыль (расходов, относимых на прибыль после налогообложения), в соответствии с Налоговым кодексом Российской Федерации.

36. Расчетная предпринимательская прибыль регулируемой организации определяется в размере 5 процентов текущих расходов на каждый год долгосрочного периода регулирования, определенных в соответствии с пунктом 46 Основ ценообразования (за исключением расходов на выплаты по договорам займа и кредитным договорам, включая возврат сумм основного долга и процентов по ним), и расходов на амортизацию основных средств и нематериальных активов.

Расчетная предпринимательская прибыль регулируемой организации не устанавливается для регулируемой организации: (в ред. Приказа ФАС РФ от 01.11.2018 N 1488/18)

являющейся государственным или муниципальным унитарным предприятием; (в ред. Приказа ФАС РФ от 01.11.2018 N 1488/18)

владеющей объектом (объектами) в области обращения с твердыми коммунальными отходами исключительно на основании договора (договоров) аренды, заключенного на срок менее 3 лет. (в ред. Приказа ФАС РФ от 01.11.2018 N 1488/18)

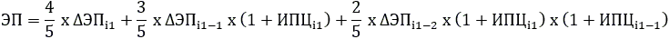
37. Величина изменения необходимой валовой выручки в году i, проводимого в целях сглаживания, рассчитывается в размере не более 12% необходимой валовой выручки, рассчитанной без учета сглаживания, по формулам:

, (тыс. руб.) (7)

, (тыс. руб.) (8)

где:

- величина изменения необходимой валовой выручки на год i, производимого в целях сглаживания тарифов;

- величина изменения необходимой валовой выручки в году i, проводимого в целях сглаживания, где i1 - последний год долгосрочного периода регулирования, i0 - первый год долгосрочного периода регулирования;

НД - норма доходности на капитал, инвестированный после начала долгосрочного периода регулирования;

- величина сглаживания необходимой валовой выручки, определенная органом регулирования;

- необходимая валовая выручка, устанавливаемая на год i долгосрочного периода регулирования без учета сглаживания, тыс. руб.

38. Величина, учитывающая результаты деятельности регулируемой организации до перехода к регулированию цен (тарифов) на основе долгосрочных параметров регулирования (), рассчитывается по формуле (9) и может принимать как положительные, так и отрицательные значения.

, (тыс. руб.) (9)

где:

- экономически обоснованные расходы регулируемой организации, не учтенные при установлении регулируемых тарифов периоды регулирования, предшествовавшие переходу к регулированию цен (тарифов) на основе долгосрочных параметров регулирования и не возмещенные регулируемой организации и недополученные доходы, определяемые при i = 1, 2 (за исключением расходов, связанных с реализацией утвержденных инвестиционных программ).

Понятия "экономически обоснованные расходы, не учтенные при установлении регулируемых тарифов в предыдущие периоды регулирования" и "недополученные доходы" применяются в значениях, предусмотренных пунктом 2 Основ ценообразования;

- доходы регулируемой организации, необоснованно полученные в периоды регулирования, предшествовавшие переходу к регулированию цен (тарифов) на основе долгосрочных параметров регулирования и подлежащие исключению из НВВ, определяемые при i = 1, 2 (за исключением доходов, связанных с реализацией утвержденных инвестиционных программ, и прибыли, полученной в результате возникновения операционных расходов).

Экономия операционных расходов и экономия от снижения потребления энергетических ресурсов

39. Экономия средств, достигнутая регулируемой организацией в результате снижения расходов в предыдущий долгосрочный период регулирования, имеет место, если фактический объем операционных расходов и (или) расходов на приобретение энергетических ресурсов регулируемой организации меньше величины таких расходов, установленных на долгосрочный период регулирования, и регулируемая организация исполняет обязательства, предусмотренные производственной программой, в полном объеме.

Экономия средств, достигнутая регулируемой организацией в результате снижения расходов в каждом году долгосрочного периода регулирования, а также экономия энергетических ресурсов учитываются в составе необходимой валовой выручки в течение последующих 5 лет.

В случае если часть из этих 5 лет приходится на следующий долгосрочный период регулирования, экономия средств учитывается в необходимой валовой выручке регулируемой организации, устанавливаемой на следующий долгосрочный период регулирования, в составе неподконтрольных расходов.

Орган регулирования рассчитывает экономию операционных расходов и экономию от снижения потребления энергетических ресурсов в соответствии с Приложениями 18, 19 к настоящим Методическим указаниям ежегодно до установления тарифов на очередной период регулирования.

40. Суммарная экономия операционных расходов и расходов от снижения потребления энергетических ресурсов, включаемая в необходимую валовую выручку в каждом году i следующего долгосрочного периода регулирования в течение 5 лет, , определяется по формуле:

(тыс. руб.), (10)

где:

i0 - первый год текущего долгосрочного периода регулирования;

ЭОР и ЭП - соответственно величина экономии операционных расходов и величина экономии от снижения потребления энергетических ресурсов, достигнутые регулируемой организацией в предыдущем долгосрочном периоде и определенные в соответствии с пунктами 41 - 42 настоящих Методических указаний, тыс. руб.;

- прогнозное значение индекса потребительских цен в j-м году.

41. Экономия операционных расходов, учитываемая в очередном долгосрочном периоде регулирования, ЭОР, рассчитывается:

если предшествующий долгосрочный период регулирования составляет 3 года, по формуле (11);

если предшествующий долгосрочный период регулирования составляет более 3 лет, по формуле (11.1).

(тыс. руб.), (11)

(тыс. руб.), (11.1)

где:

i1 - последний год текущего долгосрочного периода регулирования;

ЭОР - экономия операционных расходов, учитываемая в очередном долгосрочном периоде регулирования, рассчитываемая в ценах года i1. Величина экономии принимается равной нулю, если расчет дает отрицательное значение;

- прирост экономии операционных расходов в i-м году по сравнению с (i-1)-м годом;

- прогнозное значение индекса потребительских цен (в среднем за год к предыдущему году) на i1-й год, определенное на основании параметров прогноза социально-экономического развития Российской Федерации;

, - фактические значения индекса потребительских цен (в среднем за год к предыдущему году) в годах i1-1, i1-2 соответственно.

Прирост экономии операционных расходов в последний год долгосрочного периода регулирования учитывается в объеме, прогнозируемом органом регулирования с учетом данных, предоставленных регулируемой организацией.

42. Экономия от снижения потребления энергетических ресурсов, учитываемая в очередном долгосрочном периоде регулирования, рассчитывается:

если предшествующий долгосрочный период регулирования составляет 3 года, по формуле (12);

если предшествующий долгосрочный период регулирования составляет более 3 лет, по формуле (12.1).

(тыс. руб.), (12)

(тыс. руб.), (12.1)

где:

i1 - последний год текущего долгосрочного периода регулирования;

ЭП - экономия расходов от снижения потребления энергетических ресурсов, учитываемая в очередном долгосрочном периоде регулирования, рассчитанная в ценах года i1, тыс. руб. Величина экономии принимается равной нулю, если расчет дает отрицательное значение;

- прирост экономии от снижения потребления энергетических ресурсов в i-м году по сравнению с (i-1)-м годом, определяемый в соответствии с пунктом 44 настоящих Методических указаний, тыс. руб.;

- прогнозное значение индекса потребительских цен (в среднем за год к предыдущему году) на i1-й год, определенное на основании параметров прогноза социально-экономического развития Российской Федерации;

, - фактические значения индекса потребительских цен (в среднем за год к предыдущему году) в (i1-1)-м, (i1-2)-м годах соответственно.

Прирост экономии от снижения потребления энергетических ресурсов, холодной воды и теплоносителя в последний год долгосрочного периода регулирования учитывается в объеме, прогнозируемом органом регулирования с учетом данных, предоставленных регулируемой организацией.

43. Прирост экономии операционных расходов за прошедший год рассчитывается по формулам:

, (тыс. руб.), (13)

, (тыс. руб.), (13.1)

где:

i0 - первый год текущего долгосрочного периода регулирования;

- прирост экономии операционных расходов в i-м году, тыс. руб. Прирост экономии операционных расходов отдельного года может принимать как положительные, так и отрицательные значения;

- скорректированные операционные (подконтрольные) расходы в i-м году, определяемые в соответствии с формулой (3) с применением уточненных значений индекса потребительских цен в соответствии с прогнозом социально-экономического развития Российской Федерации, тыс. руб.; (в ред. Приказа ФАС РФ от 01.11.2018 N 1488/18)

- фактические операционные расходы в i-м году, тыс. руб. Фактические операционные расходы, учитываемые при расчете экономии операционных расходов, не могут превышать уровня, установленного на данный год органами регулирования;

- базовый уровень операционных расходов, установленный на долгосрочный период регулирования, тыс. руб.;

,..., - фактическое значение индекса потребительских цен (в среднем за год к предыдущему году) в (i0+1)-м,..., i-м годах соответственно.

44. Прирост экономии от снижения потребления энергетических ресурсов, за прошедший год рассчитывается по формуле:

(тыс. руб.), при i = 2, 3,... (14)

где:

i0 - первый год текущего долгосрочного периода регулирования;

- прирост экономии от снижения потребления z-го энергетического ресурса в i-м году, тыс. руб. Прирост экономии отдельного года может принимать как положительные, так и отрицательные значения;

- фактический объем полезного отпуска соответствующего вида продукции (услуг) в i-м году, тыс. тонн;

- объем полезного отпуска соответствующего вида продукции (услуг), учтенный при установлении тарифов на i-й год, тыс. тонн;

- объем потребления z-го энергетического ресурса, учтенный при установлении тарифов на i-й год;

- фактический объем потребления z-го энергетического ресурса, в i-м году;

- фактическая стоимость покупки единицы z-го энергетического ресурса, холодной воды, теплоносителя в i-м году.

Корректировка необходимой валовой выручки

45. В целях корректировки долгосрочного тарифа в соответствии с пунктом 58 Основ ценообразования орган регулирования ежегодно уточняет плановую необходимую валовую выручку на очередной i-й год с использованием уточненных значений прогнозных параметров регулирования, , по формуле:

, (тыс. руб.) (15)

где:

- скорректированные операционные (подконтрольные) расходы в i-м году, определяемые в целях корректировки долгосрочного тарифа по формуле (3) настоящих Методических указаний с применением уточненных значений индекса потребительских цен в соответствии с прогнозом социально-экономического развития Российской Федерации, тыс. руб.;

- скорректированные неподконтрольные расходы в i-м году, определяемые в соответствии с пунктом 32 настоящих Методических указаний в целях корректировки долгосрочного тарифа в соответствии с пунктом 58 Основ ценообразования, тыс. руб.;

- скорректированные расходы на приобретение энергетических ресурсов в i-м году, определяемые в соответствии с пунктом 33 настоящих Методических указаний в целях корректировки долгосрочного тарифа в соответствии с пунктом 58 Основ ценообразования, тыс. руб.;

- скорректированные в целях корректировки долгосрочного тарифа в соответствии с пунктом 58 Основ ценообразования расходы на амортизацию основных средств и нематериальных активов в году i, определяемые в соответствии с пунктом 34 настоящих Методических указаний, тыс. руб.;

- скорректированная нормативная прибыль, определяемая в целях корректировки долгосрочного тарифа в соответствии с 35 настоящих Методических указаний на i-й год, тыс. руб.

В случае если при установлении тарифов на первый долгосрочный период регулирования величина нормативной прибыли была определена с учетом положений абзаца шестого пункта 54 Основ ценообразования и инвестиционная программа регулируемой организации на соответствующий год долгосрочного периода регулирования не утверждена в установленном порядке, такая величина подлежит уменьшению на величину расходов на капитальные вложения (инвестиции) ();

- расчетная предпринимательская прибыль, определенная в соответствии с пунктом 36 настоящих Методических указаний, тыс. руб.;

- величина изменения необходимой валовой выручки в году i, проводимого в целях сглаживания, рассчитанная в соответствии с пунктом 37 настоящих Методических указаний, тыс. руб.

- величина, определяемая на i-й год первого долгосрочного периода регулирования в соответствии с пунктом 38 настоящих Методических указаний и учитывающая результаты деятельности регулируемой организации до перехода к регулированию цен (тарифов) на основе долгосрочных параметров регулирования, тыс. руб.

46. При корректировке плановых значений расходов на приобретение энергетических ресурсов стоимость покупки единицы энергетических ресурсов корректируется с учетом уточнения значений, установленных на очередной расчетный период регулирования цен (тарифов) и индексов изменения цен, определенных в прогнозе социально-экономического развития.

47. Необходимая валовая выручка, принимаемая к расчету при установлении тарифов на очередной i-й год долгосрочного периода регулирования, , определяется с учетом отклонения фактических значений параметров расчета тарифов от значений, учтенных при установлении тарифов по формуле:

(тыс. руб.), (16)

где:

- плановая необходимая валовая выручка на i-й год, скорректированная в соответствии с пунктом 45 настоящих Методических указаний, тыс. руб.;

- размер корректировки необходимой валовой выручки в (i-2)-м году, рассчитываемый в соответствии с пунктом 48 настоящих Методических указаний, тыс. руб.;

, - индексы потребительских цен, определенные на основании параметров прогноза социально-экономического развития Российской Федерации соответственно на (i-1)-й и i-й годы при расчете долгосрочных тарифов;

- величина отклонения показателя ввода и вывода объектов, используемых для обработки, обезвреживания, захоронения твердых коммунальных отходов, и изменения утвержденной в установленном порядке инвестиционной программы регулируемой организации, определяемая в соответствии с пунктом 49 настоящих Методических указаний, тыс. руб.;

- степень исполнения регулируемой организацией обязательств по созданию и (или) реконструкции объектов концессионного соглашения по эксплуатации объектов в области обращения с твердыми коммунальными отходами, соглашения о государственно-частном партнерстве, муниципально-частном партнерстве, по договору аренды соответствующих объектов, находящихся в государственной или муниципальной собственности, по реализации инвестиционной программы, производственной программы регулируемой организации при недостижении регулируемой организацией показателей эффективности, определяемая в соответствии с пунктом 50 настоящих Методических указаний, тыс. руб.

В целях установления НВВ на 1-й и 2-й год долгосрочного периода регулирования при расчете показателя учитываются результаты деятельности регулируемой организации соответственно в предпоследнем и последнем годах предшествующего долгосрочного периода регулирования в соответствии с настоящим пунктом.

При корректировке долгосрочных тарифов в первый долгосрочный период регулирования рассчитанный в соответствии с положениями настоящих Методических указаний показатель учитывается при установлении НВВ начиная с 3-го года первого долгосрочного периода регулирования.

48. Размер отклонения значений, учтенных при установлении тарифов, от фактических значений параметров расчета тарифов рассчитывается по формуле:

(тыс. руб.), (17)

где:

- величина необходимой валовой выручки в (i-2)-м году, определяемая на основе фактических значений параметров расчета тарифов взамен прогнозных в соответствии с пунктом 51 настоящих Методических указаний;

- выручка от реализации товаров (услуг) по регулируемому виду деятельности в (i-2)-м году, определяемая исходя из фактического объема услуг в (i-2)-м году и тарифов, установленных на (i-2)-й год в соответствии с настоящими Методическими указаниями, без учета уровня собираемости платежей.

49. Величина отклонения показателя ввода и вывода объектов, используемых для обработки, обезвреживания, захоронения твердых коммунальных отходов, и изменения утвержденной в установленном порядке инвестиционной программы рассчитывается по формуле:

, (тыс. руб.) (18)

где:

- объем собственных средств на реализацию инвестиционной программы, учтенный при установлении тарифов на (i-2)-й год и включающий амортизацию основных средств и нематериальных активов, расходы из прибыли и иные собственные средства, определенные инвестиционной программой, тыс. руб.;

- объем фактического исполнения инвестиционной программы по объектам, используемым для обработки, обезвреживания, захоронения твердых коммунальных отходов в (i-2)-м году по стоимости, определенной в инвестиционной программе соответствующего периода, тыс. руб.;

- плановый размер финансирования инвестиционной программы, утвержденной в установленном порядке на (i-2)-й год, тыс. руб.

При расчете показателей , , не учитываются объекты, финансирование которых в соответствии с утвержденными в установленном порядке инвестиционными программами предусмотрено за счет бюджетной системы бюджетов Российской Федерации.

50. Корректировка необходимой валовой выручки с учетом степени исполнения регулируемой организацией обязательств по созданию и (или) реконструкции объектов концессионного соглашения по эксплуатации объектов в области обращения с твердыми коммунальными отходами, соглашения о государственно-частном партнерстве, муниципально-частном партнерстве, по договору аренды соответствующих объектов, находящихся в государственной или муниципальной собственности, по реализации инвестиционной программы, производственной программы регулируемой организации при недостижении регулируемой организацией показателей эффективности.

, (тыс. руб.), (19)

где:

1. - обобщенный показатель эффективности объектов, используемых в области обращения с твердыми коммунальными отходами, рассчитанный в соответствии с формулой:

, (20)

где:

- фактическое значение j-го показателя эффективности объектов, используемых для обработки, обезвреживания и захоронения твердых коммунальных отходов в (i-2)-м периоде регулирования, рассчитанное в соответствии с Правилами определения плановых и фактических значений показателей эффективности объектов, используемых для обработки, обезвреживания и захоронения твердых коммунальных отходов, утвержденными постановлением Правительства Российской Федерации от 16 мая 2016 г. N 424 (Собрание законодательства Российской Федерации, 2016, N 21, ст. 3020) (далее - Правила определения показателей эффективности);

- плановое значение j-го показателя эффективности объектов, используемых для обработки, обезвреживания и захоронения твердых коммунальных отходов в (i-2)-м периоде регулирования, рассчитанное в соответствии с Правилами определения показателей эффективности;

- весовой коэффициент, определяемый с учетом следующего:

2. - максимальная корректировка i-го года, определяемая следующим образом:

для 2017 года: = 1;

для 2018 года: = 1;

для 2019 года: = 2;

начиная с 2020 года: = 3.

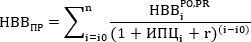
51. Необходимая валовая выручка, определяемая на (i-2)-й год на основе фактических значений параметров расчета тарифов взамен прогнозных, , рассчитывается по формуле:

, (тыс. руб.) (21)

где:

- операционные расходы, определенные на (i-2)-й год исходя из фактических значений параметров расчета тарифов в соответствии с формулой 22 пункта 52 настоящих Методических указаний, тыс. руб.;

- фактические неподконтрольные расходы в (i-2)-ом году, которые определены на основании документально подтвержденных имевших место неподконтрольных расходов, тыс. руб.;

- расходы на приобретение энергетических ресурсов в (i-2)-м году, определенные в соответствии с формулой 23 пункта 52 настоящих Методических указаний, тыс. руб.;

- фактические расходы на амортизацию основных средств и нематериальных активов, определенные по итогам (i-2)-го года по данным бухгалтерского учета, тыс. руб.;

- фактическая нормативная прибыль на (i-2)-й год, тыс. руб.;

- расчетная предпринимательская прибыль, учтенная при установлении тарифов на (i-2)-й год, тыс. руб.;

- величина изменения необходимой валовой выручки, проводимого в целях сглаживания, учтенная при установлении тарифов на (i-2)-й год, тыс. руб.;

- величина, учитывающая результаты деятельности регулируемой организации до перехода к регулированию цен (тарифов) на основе долгосрочных параметров регулирования, учтенная при установлении тарифов на (i-2)-й год, тыс. руб.;

- величина отклонения показателя ввода и вывода объектов, используемых для обработки, обезвреживания, захоронения твердых коммунальных отходов, и изменения утвержденной в установленном порядке инвестиционной программы регулируемой организации, учтенная при установлении тарифов на (i-2)-й год, тыс. руб.;

- степень исполнения регулируемой организацией обязательств по созданию и (или) реконструкции объектов концессионного соглашения по эксплуатации объектов в области обращения с твердыми коммунальными отходами, соглашения о государственно-частном партнерстве, муниципально-частном партнерстве, по договору аренды соответствующих объектов, находящихся в государственной или муниципальной собственности, по реализации инвестиционной программы, производственной программы регулируемой организации при недостижении регулируемой организацией показателей эффективности, учтенная при установлении тарифов на (i-2)-й год, тыс. руб.

При определении фактических значений расходов, учитываемых при установлении тарифов, орган регулирования тарифов использует данные бухгалтерской и статистической отчетности регулируемой организации за соответствующий период.

52. Операционные расходы и расходы на приобретение энергетических ресурсов, определяемые на основе фактических значений параметров расчета тарифов взамен прогнозных, определяются по формулам:

, (22)
, (23)

где:

i0 - первый год текущего долгосрочного периода регулирования;

- операционные расходы, определенные на (i-2)-й год исходя из фактических значений параметров расчета тарифов, тыс. руб.;

- базовый уровень операционных расходов, установленный на долгосрочный период регулирования в соответствии с пунктом 31 настоящих Методических указаний, тыс. руб.;

ИЭР - индекс эффективности операционных расходов, выраженный в процентах;

, - соответственно фактический и прогнозный индексы изменения потребительских цен в j-м году;

, - количество твердых коммунальных отходов, поступающих на объект в году i, (i-1), тонн;

- расходы на приобретение энергетических ресурсов в году (i-2), тыс. руб.;

- объем потребления z-го энергетического ресурса, учтенный при установлении тарифов в (i-2)-м году.

В случае, если удельный расход энергетического ресурса установлен в соответствии с пунктом 56 Основ ценообразования в качестве долгосрочного параметра регулирования при определении показателя используется значение долгосрочного параметра регулирования;

- фактический объем и (или) масса твердых коммунальных отходов в (i-2)-м году, тыс. тонн (тыс. куб. м);

- объем и (или) масса твердых коммунальных отходов, учтенный при установлении тарифов на (i-2)-й год, тыс. тонн (тыс. куб. м);

- фактическая стоимость покупки единицы z-го энергетического ресурса в i-м году.

V. Основные методологические положения по формированию необходимой валовой выручки для расчета тарифов с применением метода доходности инвестированного капитала

53. При расчете тарифов методом обеспечения доходности инвестированного капитала необходимая валовая выручка определяется на основе следующих долгосрочных параметров регулирования, которые определяются перед началом долгосрочного периода регулирования и в течение него не меняются:

а) базовый уровень операционных расходов;

б) индекс эффективности операционных расходов;

в) норматив чистого оборотного капитала;

г) норма доходности инвестированного капитала;

д) срок возврата инвестированного капитала;

е) первоначальный размер инвестированного капитала;

ж) показатели энергосбережения и энергетической эффективности (удельный расход энергетических ресурсов).

54. Для регулируемых организаций, владеющих объектами по обращению с твердыми коммунальными отходами, находящимися в государственной или муниципальной собственности, на основании концессионного соглашения или договора аренды, долгосрочные тарифы устанавливаются на основе значений долгосрочных параметров регулирования деятельности концессионера или арендатора, указанных в конкурсном предложении концессионера (арендатора) на право заключения концессионного соглашения или договора аренды. На каждый год долгосрочного периода регулирования определяются планируемые значения параметров расчета тарифов в соответствии с пунктом 29 настоящих Методических указаний.

55. При установлении тарифов с применением метода доходности инвестированного капитала необходимая валовая выручка регулируемой организации включает в себя текущие расходы, средства, обеспечивающие возврат инвестированного капитала, и средства, обеспечивающие получение дохода на инвестированный капитал.

До начала долгосрочного периода регулирования на основе долгосрочных параметров регулирования и иных прогнозных параметров регулирования орган регулирования рассчитывает необходимую валовую выручку регулируемой организации отдельно на каждый i-й год, , по формуле:

(тыс. руб.), (24)

где:

- операционные (подконтрольные) расходы в i-м году, определяемые в соответствии с пунктами 30, 31 настоящих Методических указаний, тыс. руб.;

- неподконтрольные расходы в i-м году, определяемые в соответствии с пунктом 56 настоящих Методических указаний, тыс. руб.;

- расходы на приобретение энергетических ресурсов в i-м году, определяемые в соответствии с пунктом 33 настоящих Методических указаний, тыс. руб.;

- возврат инвестированного капитала, определяемый на i-й год в соответствии с пунктом 57 настоящих Методических указаний, тыс. руб.;

- доход на инвестированный капитал, определяемый на i-й год в соответствии с пунктом 58 настоящих Методических указаний, тыс. руб.;

- величина изменения необходимой валовой выручки в году i, проводимого в целях сглаживания, рассчитанная в соответствии с пунктом 37 настоящих Методических указаний, тыс. руб.;

- величина, определяемая на i-й год первого долгосрочного периода регулирования в соответствии с пунктом 38 настоящих Методических указаний и учитывающая результаты деятельности регулируемой организации до перехода к регулированию цен (тарифов) на основе долгосрочных параметров регулирования, тыс. руб.

56. Неподконтрольные расходы определяются органом регулирования в соответствии с пунктом 32 настоящих Методических указаний, за исключением расходов на выплаты по договорам займа и кредитным договорам, которые не учитываются в необходимой валовой выручке регулируемой организации, устанавливаемой методом обеспечения доходности инвестированного капитала.

Расчет возврата инвестированного капитала

57. Возврат инвестированного капитала осуществляется равными долями каждый год в течение срока возврата инвестированного капитала, начиная с года, следующего за годом, в котором (в соответствии с утвержденной инвестиционной программой) построенный, реконструированный и (или) модернизированный объект, используемый для обращения с твердыми коммунальными отходами, в установленном порядке введен в эксплуатацию или иной даты, определяемой концессионным соглашением. Размер средств, обеспечивающих возврат инвестированного капитала, который подлежит учету при установлении тарифов на очередной год долгосрочного периода регулирования, рассчитывается по формуле:

(тыс. руб.) (25)

где:

- возврат инвестированного капитала в году i, тыс. руб.;

- полный размер инвестированного капитала, определенный на начало года i (конец года i-1), тыс. руб.;

СВК - срок возврата инвестированного капитала, устанавливаемый по решению органа регулирования тарифов:

а) в отношении регулируемых организаций, осуществляющих деятельность на основании концессионного соглашения, соглашения о государственно-частном партнерстве, муниципально-частном партнерстве или договора аренды, - от 10 до 30 лет;

б) в отношении иных регулируемых организаций - от 20 до 30 лет.

Срок возврата инвестированного капитала устанавливается органом регулирования с учетом срока окупаемости инвестиций и условий их возврата, определенных концессионным соглашением или соглашением о государственно-частном партнерстве, муниципально-частном партнерстве или договора аренды.

Расчет дохода на инвестированный капитал

58. В необходимую валовую выручку регулируемой организации на i-й год включается доход на инвестированный капитал, рассчитанный по формуле:

, (26)
, (26.1)

где:

- доход на инвестированный капитал в году i, тыс. руб.;

- доход на инвестированный капитал арендатора (концессионера) в году i, тыс. руб.;

- база инвестированного капитала, определенная на начало года i, тыс. руб.;

- база инвестированного капитала арендатора (концессионера), определенная на начало года i, тыс. руб.;

- чистый оборотный капитал, определенный на начало года i, тыс. руб.;

- норма доходности на инвестированный капитал в году i, процентов.

Доход на инвестированный капитал в течение первых двух лет после перехода к регулированию тарифов методом обеспечения доходности инвестированного капитала рассчитывается по формулам (в случае принятия решения об установлении различной нормы доходности на инвестированный капитал, созданный до и после перехода к установлению тарифов с использованием метода обеспечения доходности инвестированного капитала):

, (27)
, (тыс. руб.) (27.1)

где:

- норма доходности на инвестированный капитал, созданный до перехода к установлению тарифов с использованием метода обеспечения доходности инвестированного капитала, процентов;

- норма доходности на инвестированный капитал, созданный после перехода к установлению тарифов с использованием метода обеспечения доходности инвестированного капитала, процентов.

59. Нормативная величина чистого оборотного капитала рассчитывается по формуле:

, (тыс. руб.) (28)

где:

- нормативная величина чистого оборотного капитала, определенная на начало года i, тыс. руб.;

- необходимая валовая выручка, установленная на год i-1, тыс. руб.

Определение размера инвестированного капитала

60. База инвестированного капитала и полная величина инвестированного капитала определяются органом регулирования тарифов на 1 января каждого года долгосрочного периода регулирования с учетом особенностей, предусмотренных пунктами 74, 76 Основ ценообразования соответственно.

61. В случае если регулируемая организация эксплуатирует объекты, используемые для обращения с твердыми коммунальными отходами, в соответствии с договором аренды или концессионным соглашением, учет первоначального размера инвестированного капитала, базы инвестированного капитала и полного размера инвестированного капитала ведется отдельно для капитала, инвестированного регулируемой организацией (в том числе в части отделимых и неотделимых улучшений имущества, предоставленного арендодателем, концедентом), и объектов, переданных арендатору (концеденту) по договору аренды или концессионному соглашению.

62. При переходе к установлению регулируемых тарифов регулируемой организации с применением метода доходности инвестированного капитала первоначальный размер инвестированного капитала определяется в соответствии с пунктом 71 Основ ценообразования по формулам:

(тыс. руб.), (29)
(тыс. руб.), (29.1)
(тыс. руб.), (29.2)

где:

РИК - первоначальный размер инвестированного капитала при переходе к регулированию тарифов методом доходности инвестированного капитала, тыс. руб.;

- стоимость объектов, используемых для обращения с твердыми коммунальными отходами, учитываемая при определении размера инвестированного капитала регулируемой организации, тыс. руб.;

- объем денежных средств на финансирование создания объектов, используемых для обращения с твердыми коммунальными отходами, включающий величину выручки, полученной регулируемой организацией от применения надбавок к тарифам, величину средств, полученных безвозмездно из бюджетов бюджетной системы Российской Федерации и государственных корпораций на финансирование строительства, реконструкции и модернизации введенных в эксплуатацию объектов, используемых для обращения с твердыми коммунальными отходами за период с 31 декабря 2015 г. до 31 декабря (включительно) года, предшествующего началу первого долгосрочного периода регулирования, тыс. руб.;

- остаточная стоимость объектов, используемых для обращения с твердыми коммунальными отходами, принадлежащих регулируемой организации на праве собственности или на основании концессионного соглашения, определенная по данным бухгалтерского учета по состоянию на 31 декабря 2015 г., тыс. руб.;

- стоимость построенных, реконструируемых, модернизируемых и введенных в эксплуатацию объектов, используемых для обращения с твердыми коммунальными отходами, либо приобретенных объектов с 31 декабря 2015 г. до 31 декабря (включительно) года, предшествующего началу первого долгосрочного периода регулирования (по данным бухгалтерского учета, на дату введения указанных объектов в эксплуатацию, но не выше стоимости строительства объектов, рассчитанной в соответствии с укрупненными нормативами цены создания различных видов объектов капитального строительства непроизводственного назначения, утвержденными федеральным органом исполнительной власти, осуществляющим функции по выработке государственной политики и нормативно-правовому регулированию в сфере строительства) за вычетом учтенных при установлении тарифов процентов по займам и кредитам, полученным регулируемой организацией для финансирования строительства (реконструкции, модернизации) таких объектов, используемых для обращения с твердыми коммунальными отходами, до их ввода в эксплуатацию), тыс. руб.

В отношении регулируемой организации-арендатора - стоимость построенных, реконструируемых, модернизируемых и введенных в эксплуатацию объектов, используемых для обращения с твердыми коммунальными отходами, за счет собственных средств с начала действия договоров аренды до 31 декабря (включительно) года, предшествующего началу первого долгосрочного периода регулирования (по данным бухгалтерского учета, на дату введения указанных объектов в эксплуатацию, но не выше стоимости строительства объектов, рассчитанной в соответствии с укрупненными нормативами цены создания различных видов объектов капитального строительства непроизводственного назначения, утвержденными федеральным органом исполнительной власти, осуществляющим функции по выработке государственной политики и нормативно-правовому регулированию в сфере строительства) за вычетом учтенных при установлении тарифов процентов по займам и кредитам, полученным регулируемой организацией для финансирования строительства (реконструкции, модернизации) таких объектов до их ввода в эксплуатацию), тыс. руб.

- амортизация, начисленная с 31 декабря 2015 г. до 31 декабря (включительно) года, предшествующего началу первого долгосрочного периода регулирования (по данным бухгалтерского учета), тыс. руб.;

- стоимость объектов, используемых для обращения с твердыми коммунальными отходами, выбывших из эксплуатации и (или) проданных либо отчужденных иным образом регулируемой организацией с 31 декабря 2015 г. до 31 декабря (включительно) года, предшествующего началу первого долгосрочного периода регулирования (по данным бухгалтерского учета на дату выбытия (отчуждения), тыс. руб.;

- величина выручки, полученной регулируемой организацией от применения надбавок к тарифам, установленных в соответствии с Федеральным законом от 30 декабря 2004 г. N 210-ФЗ "Об основах регулирования тарифов организаций коммунального комплекса" в течение срока их действия, тыс. руб.;

- величина средств, полученных безвозмездно из бюджетов бюджетной системы Российской Федерации и государственных корпораций на финансирование строительства, реконструкции и модернизации введенных в эксплуатацию объектов, используемых для обращения с твердыми коммунальными отходами, с 31 декабря 2015 г. до 31 декабря (включительно) года, предшествующего началу первого долгосрочного периода регулирования (по данным бухгалтерского учета), а также бюджетные средства, направленные на строительство, приобретение объектов, влекущих за собой возникновение права государственной или муниципальной собственности на эквивалентную часть уставных (складочных) капиталов регулируемых организаций, тыс. руб.

63. При переходе к установлению тарифов с применением метода доходности инвестированного капитала регулируемой организации, эксплуатирующей объекты, используемые для обращения с твердыми коммунальными отходами, в соответствии с договором аренды муниципального или государственного имущества, первоначальный размер инвестированного капитала регулируемой организации определяется отдельно от первоначального размера инвестированного капитала регулируемой организации в отношении объектов, используемых для обращения с твердыми коммунальными отходами и эксплуатируемых на иных законных основаниях.

Первоначальный размер инвестированного капитала арендатора определяется равным объему капитальных вложений, направленных на модернизацию и реконструкцию объектов, используемых для обращения с твердыми коммунальными отходами, осуществленных арендатором за период действия договора аренды до перехода к применению метода доходности инвестированного капитала за счет собственных и заемных средств, за вычетом доходов, обеспечивших финансирование указанных мероприятий за счет надбавок к тарифам, установленных в соответствии с Федеральным законом от 30 декабря 2004 г. N 210-ФЗ "Об основах регулирования тарифов организаций коммунального комплекса", средств бюджетов бюджетной системы Российской Федерации и средств государственных корпораций, а также за счет амортизации, начисленной на основные средства и учтенной при установлении тарифов.

Размер инвестированного капитала арендодателя определяется как разность размера инвестированного капитала, определенного в соответствии с пунктом 62 настоящих Методических указаний, и размера инвестированного капитала арендатора.

64. Первоначальный размер инвестированного капитала на очередной долгосрочный период регулирования определяется в размере, равном базе инвестированного капитала на последний год предшествующего долгосрочного периода регулирования, с учетом изменений за последний период регулирования, рассчитанных в соответствии с формулами (29) и (29.1) пункта 62 настоящих Методических указаний.

В случае, если в году, предшествующем первому году долгосрочного периода регулирования, произошли изменения размера инвестированного капитала, которые не были учтены при установлении первоначального размера инвестированного капитала на первый долгосрочный период регулирования, то эти изменения учитываются при корректировке базы инвестированного капитала на второй год долгосрочного периода регулирования.

65. В первоначальный размер инвестированного капитала, полный размер инвестированного капитала и базу инвестированного капитала не включается стоимость объектов незавершенного строительства, стоимость объектов культурно-бытового назначения, легковых автомобилей, а также зданий, сооружений и иных объектов движимого и недвижимого имущества, не предназначенных непосредственно для осуществления регулируемых видов деятельности в области обращения с твердыми коммунальными отходами.

66. Стоимость объектов, используемых для обращения с твердыми коммунальными отходами, эксплуатируемых регулируемой организацией на основании договоров лизинга с условием перехода права собственности на предмет лизинга к лизингополучателю, включается в полный размер инвестированного капитала и базу инвестированного капитала в размере выкупной цены, установленной в договоре лизинга, но не выше стоимости таких объектов, рассчитанной в соответствии с укрупненными сметными нормативами для объектов непроизводственного назначения и инженерной инфраструктуры, утвержденными федеральным органом исполнительной власти, осуществляющим функции по выработке государственной политики и нормативно-правовому регулированию в сфере строительства.

67. При первом применении метода доходности инвестированного капитала база инвестированного капитала на 1 января 1-го года долгосрочного периода регулирования определяется равной первоначальному размеру инвестированного капитала. В дальнейшем база инвестированного капитала на 1 января каждого года долгосрочного периода регулирования рассчитывается по формулам:

, (тыс. руб.), (30)
, (тыс. руб.), (30.1)

где:

- база инвестированного капитала на начало года i - первого года первого долгосрочного периода регулирования, тыс. руб.;

- база инвестированного капитала арендатора (концессионера) на начало года i - первого года первого долгосрочного периода регулирования, тыс. руб.;

- капитал, инвестированный в году i-1, тыс. руб.;

- стоимость объектов, используемых для обращения с твердыми коммунальными отходами, выбывших из эксплуатации и (или) проданных либо отчужденных иным образом регулируемой организацией в году i-1, тыс. руб.;

- возврат капитала в году i-1, тыс. руб.;

- корректировка, связанная с изменением доходности долгосрочных государственных обязательств по сравнению с уровнем, учтенным при установлении регулируемых тарифов в году i-1, тыс. руб.;

- величина средств, полученных безвозмездно из бюджетов бюджетной системы Российской Федерации и государственных корпораций на финансирование строительства, реконструкции и модернизации объектов, используемых для обращения с твердыми коммунальными отходами, в году i-1, тыс. руб.

68. Корректировка, связанная с изменением доходности долгосрочных государственных обязательств по сравнению с уровнем, учтенным при установлении регулируемых тарифов в году i-1, рассчитывается по следующей формуле:

, (31)

где:

- доход на инвестированный капитал в году i-1, тыс. руб.;

- норма доходности, рассчитанная в соответствии с пунктами 72 - 78 настоящих Методических указаний с учетом фактически сложившегося уровня доходности долгосрочных государственных обязательств в году i-1.

69. Стоимость построенных, реконструированных, модернизированных объектов, используемых для обращения с твердыми коммунальными отходами, включается в базу инвестированного капитала с даты ввода соответствующих объектов в эксплуатацию в объеме, предусмотренном инвестиционной программой регулируемой организации.

Расходы, осуществленные регулируемой организацией на строительство, реконструкцию, модернизацию объектов, используемых для обращения с твердыми коммунальными отходами, и направленные на ликвидацию последствий аварий, чрезвычайных ситуаций и стихийных бедствий, учитываются органом регулирования при определении базы инвестированного капитала (по данным бухгалтерского учета) в объеме, определенном органом регулирования тарифов, но не выше объема, рассчитанного в соответствии с укрупненными сметными нормативами для объектов непроизводственного назначения и инженерной инфраструктуры, утвержденными федеральным органом исполнительной власти, осуществляющим функции по выработке государственной политики и нормативно-правовому регулированию в сфере строительства.

70. При первом применении метода доходности инвестированного капитала полная величина инвестированного капитала устанавливается в соответствии с пунктами 62 - 63 настоящих Методических указаний.

При первом применении метода доходности инвестированного капитала полная величина инвестированного капитала регулируемой организации - арендатора (концессионера) определяется равной первоначальной стоимости инвестированного капитала.

В дальнейшем полная величина инвестированного капитала рассчитывается по формулам:

, (тыс. руб.) (32)
, (тыс. руб.) (32.1)
, (тыс. руб.) (32.2)

где:

- полная величина инвестированного капитала на начало года i, тыс. руб.;

- полная величина инвестированного капитала арендатора (концессионера) на начало года i, тыс. руб.;

- стоимость строительства (реконструкции, модернизации) объектов, используемых для обращения с твердыми коммунальными отходами, введенных в эксплуатацию в течение предыдущего периода регулирования, но не выше стоимости строительства объектов, рассчитанной в соответствии с укрупненными нормативами цены создания различных видов объектов капитального строительства непроизводственного назначения, утвержденными федеральным органом исполнительной власти, осуществляющим функции по выработке государственной политики и нормативно-правовому регулированию в сфере строительства, тыс. руб.;

- полная стоимость объектов, используемых для обращения с твердыми коммунальными отходами, выбывших из эксплуатации и (или) отчужденных иным образом регулируемой организацией в году i-1, тыс. руб.;

- величина инвестированного капитала, возвращенного в полном объеме (величина инвестированного капитала, для которого истек срок возврата инвестированного капитала), тыс. руб.;

- капитальные вложения в году i, определяемые как стоимость объектов, используемых для обращения с твердыми коммунальными отходами, введенных в эксплуатацию, но не выше стоимости строительства объектов, рассчитанной в соответствии с укрупненными нормативами цены создания различных видов объектов капитального строительства непроизводственного назначения, утвержденными федеральным органом исполнительной власти, осуществляющим функции по выработке государственной политики и нормативно-правовому регулированию в сфере строительства, тыс. руб.;

- изменение количества активов в году i, связанное с приобретением или отчуждением объектов, используемых для обращения с твердыми коммунальными отходами, в пользу третьих лиц, определяемое с использованием полной стоимости таких объектов по данным бухгалтерского учета (но не выше укрупненных сметных нормативов для строительства таких объектов), тыс. руб.

- величина средств, полученных безвозмездно из бюджетов бюджетной системы Российской Федерации и государственных корпораций на финансирование строительства, реконструкции и модернизации объектов, используемых для обращения с твердыми коммунальными отходами, в году i, тыс. руб.

Расчет нормы доходности инвестированного капитала

71. Норма доходности инвестированного капитала (далее - норма доходности) определяется органом регулирования тарифов на долгосрочный период регулирования (и в течение этого периода не пересматривается) на уровне не ниже минимальной нормы доходности, установленной федеральным органом регулирования тарифов, в соответствии со следующей формулой:

, (33)

где:

- минимальная норма доходности;

ДГО - предложенное Министерством экономического развития Российской Федерации значение безрисковой ставки, равной средней доходности долгосрочных государственных обязательств, выраженных в рублях, со сроком до погашения не менее восьми лет и не более десяти лет, определяемой за год, предшествующий году принятия решения об установлении тарифов, рассчитываемой в соответствии с Методикой определения величины средней доходности долгосрочных государственных обязательств, используемой при расчете цены на мощность для поставщиков мощности, утвержденной приказом Минэкономразвития России от 26.07.2010 N 329 <1> (зарегистрирован Минюстом России 16 августа 2010 г., регистрационный N 18169).

<1> С изменениями, внесенными приказами Минэкономразвития России от 21.02.2011 N 55 (зарегистрирован Минюстом России 10.03.2011, регистрационный N 20032) и от 18.12.2015 N 952 (зарегистрирован Минюстом России 23.12.2015, регистрационный N 40209).

72. Норма доходности инвестированного капитала рассчитывается по формуле:

, (34)

где:

НД - норма доходности инвестированного капитала, процентов;

СЗК - стоимость заемного капитала, процентов;

ССК - стоимость собственного капитала, процентов.

73. Стоимость заемного капитала, применяемая для целей расчета нормы доходности инвестированного капитала, созданного после перехода к регулированию тарифов с применением метода обеспечения доходности инвестированного капитала, определяется по формуле:

, (35)

где:

- премия за риск инвестирования в долговые обязательства регулируемых организаций. В первом долгосрочном периоде регулирования значение премии за кредитный риск не может быть ниже 3 процентов.

74. Норма доходности инвестированного капитала, применяемая для целей расчета нормы доходности инвестированного капитала, созданного до перехода к регулированию тарифов с применением метода обеспечения доходности инвестированного капитала, на первые два года долгосрочного периода регулирования определяется по формулам:

, (36)
. (36.1)

75. Стоимость собственного капитала, применяемая для целей расчета нормы доходности инвестированного капитала, созданного после перехода к регулированию тарифов с применением метода обеспечения доходности инвестированного капитала, определяется по формуле:

, (37)

где:

- премия за риск инвестирования в собственный капитал регулируемых организаций. Величина премии за риск инвестирования определяется органами регулирования и не может быть ниже 6% в первый долгосрочный период регулирования.

76. Норма доходности инвестированного капитала, применяемая в отношении регулируемой организации, может быть установлена концессионным соглашением.

77. Начиная с 3-го года 1-го долгосрочного периода регулирования норма доходности инвестированного капитала, созданного до перехода и после перехода к регулированию тарифов с применением метода доходности инвестированного капитала, устанавливается в виде одной ставки.

Корректировка необходимой валовой выручки

78. В целях корректировки долгосрочного тарифа в соответствии с пунктом 70 Основ ценообразования орган регулирования ежегодно уточняет плановую необходимую валовую выручку на очередной i-й год долгосрочного периода регулирования с использованием уточненных значений прогнозных параметров регулирования, , по формуле:

, (тыс. руб.) (38)

где:

- скорректированные операционные (подконтрольные) расходы в i-м году, определяемые в целях корректировки долгосрочного тарифа в соответствии с пунктом 70 Основ ценообразования по формуле (3) с применением уточненных значений индекса потребительских цен в соответствии с прогнозом социально-экономического развития Российской Федерации, тыс. руб.;

- скорректированные неподконтрольные расходы в i-м году, определяемые в соответствии с пунктом 32 настоящих Методических указаний в целях корректировки долгосрочного тарифа в соответствии с пунктом 70 Основ ценообразования, тыс. руб.;

- скорректированные расходы на приобретение энергетических ресурсов в i-м году, определяемые в соответствии с пунктом 33 настоящих Методических указаний в целях корректировки долгосрочного тарифа в соответствии с пунктом 70 Основ ценообразования, тыс. руб.;

- скорректированный в соответствии с пунктом 70 Основ ценообразования возврат инвестированного капитала на год i, тыс. руб.;

- скорректированный в соответствии с пунктом 70 Основ ценообразования доход на инвестированный капитал на год i, тыс. руб.;

- величина изменения необходимой валовой выручки в году i, проводимого в целях сглаживания, рассчитанная в соответствии с пунктом 37 настоящих Методических указаний, тыс. руб.

- величина, определяемая на i-й год первого долгосрочного периода регулирования в соответствии с пунктом 38 настоящих Методических указаний и учитывающая результаты деятельности регулируемой организации до перехода к регулированию цен (тарифов) на основе долгосрочных параметров регулирования, тыс. руб.

79. При корректировке плановых значений расходов на приобретение энергетических ресурсов стоимость покупки единицы энергетических ресурсов корректируется с учетом уточнения значений, установленных на очередной расчетный период регулирования цен (тарифов) и индексов изменения цен, определенных в прогнозе социально-экономического развития.

80. Необходимая валовая выручка, принимаемая к расчету при установлении тарифов на очередной i-й год долгосрочного периода регулирования, , определяется учетом отклонения фактических значений параметров расчета тарифов от значений, учтенных при установлении тарифов по формуле:

(тыс. руб.), (39)

где:

- размер корректировки необходимой валовой выручки в (i-2)-м году, рассчитываемый в соответствии с пунктом 81 настоящих Методических указаний, тыс. руб.;

, - индексы потребительских цен, определенные на основании параметров прогноза социально-экономического развития Российской Федерации соответственно на (i-1)-й и i-й годы при расчете долгосрочных тарифов;

- величина отклонения показателя ввода и вывода объектов, используемых для обработки, обезвреживания, захоронения твердых коммунальных отходов, и изменения утвержденной в установленном порядке инвестиционной программы регулируемой организации, определяемая в соответствии с пунктом 49 настоящих Методических указаний, тыс. руб.;

- степень исполнения регулируемой организацией обязательств по созданию и (или) реконструкции объектов концессионного соглашения по эксплуатации объектов в области обращения с твердыми коммунальными отходами, соглашения о государственно-частном партнерстве, муниципально-частном партнерстве, по договору аренды соответствующих объектов, находящихся в государственной или муниципальной собственности, по реализации инвестиционной программы, производственной программы регулируемой организации при недостижении регулируемой организацией показателей эффективности, определяемая в соответствии с пунктом 50 настоящих Методических указаний, тыс. руб.

В целях установления НВВ на 1-й и 2-й год долгосрочного периода регулирования при расчете показателя учитываются результаты деятельности регулируемой организации соответственно в предпоследнем и последнем годах предшествующего долгосрочного периода регулирования в соответствии с настоящим пунктом.

При корректировке долгосрочных тарифов в первый долгосрочный период регулирования рассчитанные в соответствии с положениями настоящих Методических указаний показатель учитывается при установлении НВВ начиная с 3-го года первого долгосрочного периода регулирования.

81. Размер отклонения значений, учтенных при установлении тарифов, от фактических значений параметров расчета тарифов рассчитывается по формуле:

(тыс. руб.), (40)

где:

- величина необходимой валовой выручки в (i-2)-м году, определяемая на основе фактических значений параметров расчета тарифов взамен прогнозных в соответствии с пунктом 82 настоящих Методических указаний;

- выручка от реализации товаров (услуг) по регулируемому виду деятельности в (i-2)-м году, определяемая исходя из фактического объема услуг в (i-2)-м году и тарифов, установленных на (i-2)-й год в соответствии с настоящими Методическими указаниями, без учета уровня собираемости платежей.

82. Необходимая валовая выручка, определяемая на (i-2)-й год на основе фактических значений параметров расчета тарифов взамен прогнозных, , рассчитывается по формуле:

, (тыс. руб.) (41)

где:

- операционные расходы, определенные на (i-2)-й год исходя из фактических значений параметров расчета тарифов в соответствии с формулой 22 пункта 52 настоящих Методических указаний, тыс. руб.;

- фактические неподконтрольные расходы в (i-2)-ом году, которые определены на основании документально подтвержденных имевших место неподконтрольных расходов, тыс. руб.;

- расходы на приобретение энергетических ресурсов в (i-2)-м году, определенные в соответствии с формулой 23 пункта 52 настоящих Методических указаний, тыс. руб.;

- фактический возврат инвестированного капитала в (i-2)-м году, определенный с использованием значения полной величины инвестированного капитала, рассчитанной с учетом фактических значений доходности долгосрочных государственных обязательств, тыс. руб.;

- фактический доход на инвестированный капитал в (i-2)-м году, определенный с использованием значений базы инвестированного капитала, рассчитанной с учетом фактических значений доходности долгосрочных государственных обязательств, и нормативной величины чистого оборотного капитала, тыс. руб.;

- величина изменения необходимой валовой выручки, проводимого в целях сглаживания, учтенная при установлении тарифов на (i-2)-й год, тыс. руб.;

- величина, учитывающая результаты деятельности регулируемой организации до перехода к регулированию цен (тарифов) на основе долгосрочных параметров регулирования, учтенная при установлении тарифов на (1-2)-й год, тыс. руб.;

- величина отклонения показателя ввода и вывода объектов, используемых для обработки, обезвреживания, захоронения твердых коммунальных отходов, и изменения утвержденной в установленном порядке инвестиционной программы регулируемой организации, учтенная при установлении тарифов на (i-2)-й год, тыс. руб.;

- степень исполнения регулируемой организацией обязательств по созданию и (или) реконструкции объектов концессионного соглашения по эксплуатации объектов в области обращения с твердыми коммунальными отходами, соглашения о государственно-частном партнерстве, муниципально-частном партнерстве, по договору аренды соответствующих объектов, находящихся в государственной или муниципальной собственности, по реализации инвестиционной программы, производственной программы регулируемой организации при недостижении регулируемой организацией показателей эффективности, учтенная при установлении тарифов на (i-2)-й год, тыс. руб.

При определении фактических значений расходов, учитываемых при установлении тарифов, орган регулирования тарифов использует данные бухгалтерской и статистической отчетности регулируемой организации за соответствующий период.

VI. Особенности формирования единого тарифа на услугу регионального оператора по обращению с твердыми коммунальными отходами

83. Единый тариф на услуги регионального оператора по обращению с твердыми коммунальными отходами устанавливается в соответствии с условиями соглашения об организации деятельности по обращению с твердыми коммунальными отходами, заключаемого между региональным оператором и уполномоченным органом исполнительной власти субъекта Российской Федерации по результатам конкурса на выбор регионального оператора.

84. Необходимая валовая выручка регионального оператора на год i не может превышать прогнозную необходимую валовую выручку регионального оператора по организации деятельности по обращению с твердыми коммунальными отходами, содержащуюся в заявке на участие в конкурсном отборе региональных операторов победителя такого конкурсного отбора на соответствующий год, за исключением следующих случаев: (в ред. Приказа ФАС РФ от 01.11.2018 N 1488/18)

а) изменение законодательства Российской Федерации, существенно влияющее на расходы, учитываемые при установлении тарифов (более 10 процентов); (в ред. Приказа ФАС РФ от 01.11.2018 N 1488/18)

б) корректировка территориальной схемы, влияющая на расходы, учитываемые при установлении тарифов, в связи с изменением схемы потоков твердых коммунальных отходов и объема (массы) твердых коммунальных отходов, а также в связи со строительством и (или) реконструкцией объектов, используемых для обращения с твердыми коммунальными отходами. (в ред. Приказа ФАС РФ от 01.11.2018 N 1488/18)

85. Расчет единого тарифа регионального оператора по обращению с твердыми коммунальными отходами, , осуществляется по следующим формулам:

, (руб/м3 (руб./тонна)) (42)
, (руб.) (43)
, (руб.) (44)

(в ред. Приказа ФАС РФ от 01.11.2018 N 1488/18)

где:

- необходимая валовая выручка регионального оператора в году i, руб.;

- объем (масса) отходов, транспортирование которых будет осуществлять региональный оператор в году i, м3 (тонн). В эту величину не включается объем (масса) отходов, поступающих от других региональных операторов в рамках заключаемых с ними договоров (соглашений), но включаются объемы отходов, передаваемые другим региональным операторам в соответствии с территориальной схемой и соглашением между региональными операторами; (в ред. Приказа ФАС РФ от 01.11.2018 N 1488/18)

- расходы регионального оператора по обработке, обезвреживанию, захоронению твердых коммунальных отходов на объектах, используемых для обращения с твердыми коммунальными отходами, руб.; (в ред. Приказа ФАС РФ от 01.11.2018 N 1488/18)

- собственные расходы регионального оператора, определяемые в соответствии с пунктом 87 настоящих Методических указаний, руб.;

- корректировка необходимой валовой выручки регионального оператора в году i, осуществляемая в соответствии с пунктом 92 настоящих Методических указаний, руб.;

- тариф оператора по обращению с твердыми коммунальными отходами, Оj, установленный органом регулирования тарифов на год i, руб/м3 (руб./тонна).

В составе тарифов операторов по обращению с твердыми коммунальными отходами учитываются также тарифы организаций коммунального комплекса, установленные в соответствии с Федеральным законом от 30 декабря 2004 г. N 210-ФЗ "Об основах регулирования тарифов организаций коммунального комплекса";

- надбавки к тарифам, установленные в соответствии с Федеральным законом от 30 декабря 2004 г. N 210-ФЗ "Об основах регулирования тарифов организаций коммунального комплекса", руб./м3;

- объем (масса) отходов, направляемая (планируемая к направлению) региональным оператором на объект оператора по обращению с твердыми коммунальными отходами, Оj в году i, м3 (тонн). В составе таких объектов учитываются также объекты, расположенные в зоне деятельности других региональных операторов, с которыми у регионального оператора заключен договор (соглашение), и доставка отходов на которые предусмотрена территориальной схемой;

- коэффициент перевода, определяемый в соответствии с Правилами коммерческого учета объема и (или) массы твердых коммунальных отходов, утвержденными постановлением Правительства Российской Федерации от 3 июня 2016 г. N 505 (Собрание законодательства Российской Федерации, 2016, N 24, ст. 3543) (далее - Правила коммерческого учета), в целях сопоставления объема и массы твердых коммунальных отходов (средняя плотность твердых коммунальных отходов).

В случае, если региональный оператор в соответствии с территориальной схемой самостоятельно осуществляет обработку, обезвреживание и (или) захоронение твердых коммунальных отходов, то расходы на оказание соответствующих услуг, а также объем таких услуг учитываются при расчете единого тарифа регионального оператора по обращению с твердыми коммунальными отходами в соответствии с главами I - V настоящих Методических указаний в составе показателя . (в ред. Приказа ФАС РФ от 01.11.2018 N 1488/18)

86. При расчете единого тарифа регионального оператора по обращению с твердыми коммунальными отходами орган регулирования тарифов учитывает количество отходов и , определяемые на уровне соответствующих фактических объемов и масс за последний отчетный год с учетом динамики изменения количества отходов за последние три года, при условии, что направления транспортирования отходов соответствуют территориальной схеме и не содержат изменений за последние три года. Значения этих параметров подлежат корректировке в случае, если территориальная схема предусматривает изменения баланса образования и обращения с твердыми коммунальными отходами в зоне деятельности регионального оператора, либо такие изменения предусмотрены соглашением об организации деятельности по обращению с твердыми коммунальными отходами.

В случае, если территориальная схема не предусматривает изменений, количество отходов на очередной год рассчитывается по формулам:

, (м3 (тонн)) (45)
, (м3 (тонн)) (46)
(47)

где:

- объем (масса) отходов, транспортирование которых будет осуществлять региональный оператор в году i, м3 (тонн). В эту величину не включается объем (масса) отходов, поступающих от других региональных операторов в рамках заключаемых с ними договоров (соглашений); (в ред. Приказа ФАС РФ от 01.11.2018 N 1488/18)

- объем (масса) отходов, направляемая региональным оператором на объект Оj в году i, м3 (тонн). В составе таких объектов учитываются также объекты, расположенные в зоне деятельности других региональных операторов, с которыми у регионального оператора заключен договор (соглашение), и доставка отходов на которые предусмотрена территориальной схемой;

- среднее изменение количества отходов за 3 года, процентов. В случае отсутствия наблюдений за соответствующие годы, отношение соответствующих объемов отходов определяется равным 1;

, - фактический объем (масса) отходов, транспортирование которых осуществлял региональный оператор в годах (i-k), (i-k-1), м3 (тонн). (в ред. Приказа ФАС РФ от 01.11.2018 N 1488/18)

В случае, если имеет место изменение потоков отходов, предусмотренное территориальной схемой, величины и определяются с учетом такого перераспределения потоков отходов.

87. Собственные расходы регионального оператора, , включают в себя:

- расходы на транспортирование твердых коммунальных отходов; (в ред. Приказа ФАС РФ от 01.11.2018 N 1488/18)

- сбытовые расходы регионального оператора, определяемые в соответствии с пунктом 89 настоящих Методических указаний;

- расходы на оказание комплексной услуги по обращению с твердыми отходами в случаях, предусмотренных постановлением Правительства Российской Федерации от 5 сентября 2016 г. N 881 "О проведении уполномоченными органами исполнительной власти субъектов Российской Федерации конкурсного отбора региональных операторов по обращению с твердыми коммунальными отходами" (Собрание законодательства Российской Федерации; 2016, N 37, ст. 5501) для субъектов Российской Федерации - городов федерального значения;

- расходы на заключение и обслуживание договоров с собственниками твердых коммунальных отходов и операторами по обращению с твердыми коммунальными отходами.

88. Расходы на транспортирование твердых коммунальных отходов формируются исходя из расходов на оплату выполняемых сторонними организациями или индивидуальными предпринимателями работ и (или) услуг, связанных с осуществлением деятельности по транспортированию твердых коммунальных отходов в соответствии с договорами, заключаемыми региональным оператором с операторами, осуществляющими транспортирование твердых коммунальных отходов, и (или) собственных расходов регионального оператора на транспортирование твердых коммунальных отходов, осуществляемых региональным оператором, с учетом положений пунктов 12, 14 Основ ценообразования; (в ред. Приказа ФАС РФ от 01.11.2018 N 1488/18)

89. К сбытовым расходам регионального оператора относятся расходы по сомнительным долгам в размере фактической дебиторской задолженности, но не более 2 процентов необходимой валовой выручки, установленной для регионального оператора на предыдущий период регулирования, за который имеются подтвержденные бухгалтерской и статистической отчетностью данные.

90. В случае, если региональный оператор осуществляет транспортирование отходов в зоны деятельности других региональных операторов, в том числе на территорию иных субъектов Российской Федерации, если иное не установлено соглашением об организации деятельности по обращению с твердыми коммунальными отходами, при установлении единого тарифа регионального оператора на обращение учитываются:

расходы на обработку, обезвреживание и захоронение отходов, осуществляемые в зоне деятельности другого регионального оператора (на территории другого субъекта Российской Федерации) в соответствии с тарифами, установленными для объектов, на которых осуществляется обработка, обезвреживание и захоронение отходов; (в ред. Приказа ФАС РФ от 01.11.2018 N 1488/18)

расходы на транспортирование отходов в составе собственных расходов регионального оператора в соответствии с договором (соглашением) между региональными операторами. (в ред. Приказа ФАС РФ от 01.11.2018 N 1488/18)

При учете расходов регионального оператора на обращение с отходами в зоне деятельности другого регионального оператора орган регулирования тарифов во избежание двойного учета соответствующих расходов обеспечивает исключение таких расходов из тарифов регионального оператора, в зоне деятельности которого осуществляются соответствующие расходы.

90(1). Расчетная предпринимательская прибыль регионального оператора определяется в размере 5 % от расходов на транспортирование твердых коммунальных отходов, выполняемых региональным оператором самостоятельно (за исключением расходов на оплату выполняемых сторонними организациями или индивидуальными предпринимателями работ и (или) услуг, связанных с осуществлением деятельности по транспортированию твердых коммунальных отходов), и расходов на заключение и обслуживание договоров с собственниками твердых коммунальных отходов и операторами по обращению с твердыми коммунальными отходами. (в ред. Приказа ФАС РФ от 01.11.2018 N 1488/18)

В случае если региональный оператор в соответствии с территориальной схемой самостоятельно осуществляет обезвреживание, обработку и (или) захоронение твердых коммунальных отходов, то орган регулирования учитывает расчетную предпринимательскую прибыль такого регионального оператора в составе необходимой валовой выручки, относимой на деятельность по обезвреживанию, обработке, захоронению твердых коммунальных отходов. (в ред. Приказа ФАС РФ от 01.11.2018 N 1488/18)

91. Если иное не предусмотрено соглашением об организации деятельности по обращению с твердыми коммунальными отходами, индексация собственных расходов регионального оператора производится по следующим формулам:

, (руб.) (48) (в ред. Приказа ФАС РФ от 01.11.2018 N 1488/18)

, (руб.) (49)
, (50)
, (руб.) (51)

где:

- собственные расходы регионального оператора в году (i + 1), руб.;

, - расходы регионального оператора на транспортирование твердых коммунальных отходов соответственно в годах (i + 1), i, руб.; (в ред. Приказа ФАС РФ от 01.11.2018 N 1488/18)

- прочие расходы регионального оператора, предусмотренные пунктом 87 настоящих Методических указаний (за исключением расходов на транспортирование, сбытовых расходов регионального оператора), соответственно в годах (i + 1), i, руб.; (в ред. Приказа ФАС РФ от 01.11.2018 N 1488/18)

- сбытовые расходы регионального оператора, определяемые в соответствии с пунктом 89 настоящих Методических указаний, руб.; (в ред. Приказа ФАС РФ от 01.11.2018 N 1488/18)

- индекс потребительских цен, установленный в прогнозе социально-экономического развития на год (i+1);

- корректировка расходов на транспортирование отходов в году (i + 1);

, - среднее расстояние транспортирования отходов первого плеча (от источника образования или накопления отходов до объекта по обращению с отходами без осуществления сортировки или перегрузки) соответственно в годах (i+1), i, км;

, - среднее расстояние транспортирования отходов второго плеча (от перегрузки или сортировки до объекта, на котором осуществляется обезвреживание или захоронение отходов) соответственно в годах (i+1), i, км;

- коэффициент снижения расходов на транспортирование отходов после сортировки или перегрузки. В случае, если такой коэффициент не определен в соглашении об организации деятельности по обращению с твердыми коммунальными отходами или в территориальной схеме, его значение принимается равным 0,4.

Средние расстояния транспортирования отходов, учитываемые при расчете тарифов в соответствии с формулой (50) пункта 91 настоящих Методических указаний определяются в соответствии с территориальной схемой. Корректировка расходов на транспортирование не рассчитывается в случае, если территориальной схемой не предусмотрено изменений схемы потоков транспортирования отходов на соответствующий год.

92. Корректировка необходимой валовой выручки регионального оператора по обращению с твердыми коммунальными отходами на очередной период регулирования рассчитывается по формуле: (в ред. Приказа ФАС РФ от 01.11.2018 N 1488/18)

, руб. (52) (в ред. Приказа ФАС РФ от 01.11.2018 N 1488/18)

где:

- корректировка необходимой валовой выручки регионального оператора в году i, руб.; (в ред. Приказа ФАС РФ от 01.11.2018 N 1488/18)

- фактическая величина необходимой валовой выручки регионального оператора в (i-2)-м году, определяемая в соответствии с формулой (43) пункта 85 настоящих Методических указаний с применением фактических значений параметров расчета взамен прогнозных, в том числе с учетом изменений территориальной схемы, руб.; (в ред. Приказа ФАС РФ от 01.11.2018 N 1488/18)

- выручка от реализации товаров (услуг) по регулируемому виду деятельности в (i-2)-м году, определяемая исходя из фактического объема (массы) твердых коммунальных отходов в (i-2)-м году и тарифов, установленных в соответствии с главой VI настоящих Методических указаний на год, руб.; (в ред. Приказа ФАС РФ от 01.11.2018 N 1488/18)

- корректировка необходимой валовой выручки регионального оператора в связи с изменением законодательства, не учтенным при установлении тарифов, руб.; (в ред. Приказа ФАС РФ от 01.11.2018 N 1488/18)

- корректировка необходимой валовой выручки регионального оператора в связи с возмещением расходов и недополученных доходов, предусмотренных пунктом 12 настоящих Методических указаний, а также в связи с исключением необоснованно полученных доходов регионального оператора, предусмотренных пунктом 12 Основ ценообразования. (в ред. Приказа ФАС РФ от 01.11.2018 N 1488/18)

93. Экономия собственных расходов, достигнутая региональным оператором, в том числе в результате строительства и эксплуатации сортировочных и перегрузочных станций, сохраняется в распоряжении регионального оператора на срок действия соглашения об организации деятельности по обращению с твердыми коммунальными отходами, при наличии подтверждающих документов и материалов.

94. Пункт утратил силу. (в ред. Приказа ФАС РФ от 01.11.2018 N 1488/18)

95. На второй и последующие годы действия соглашения об организации деятельности по обращению с отходами единый тариф регионального оператора по обращению с отходами рассчитывается в соответствии с пунктом 85 настоящих Методических указаний с учетом следующих особенностей: (в ред. Приказа ФАС РФ от 01.11.2018 N 1488/18)

величины (), () определяются в соответствии с пунктом 86 настоящих Методических указаний; (в ред. Приказа ФАС РФ от 01.11.2018 N 1488/18)

величина индексируется в соответствии с пунктом 91 настоящих Методических указаний; (в ред. Приказа ФАС РФ от 01.11.2018 N 1488/18)

величина рассчитывается в соответствии с пунктом 92 настоящих Методических указаний. (в ред. Приказа ФАС РФ от 01.11.2018 N 1488/18)

VI.I Расчет приведенной стоимости услуг регионального оператора

96. Максимальное значение приведенной стоимости услуги регионального оператора рассчитывается как сумма прогнозной необходимой валовой выручки регионального оператора за весь срок, на который присваивается такой статус, приведенной к сопоставимым ценам с использованием прогнозируемого значения индекса потребительских цен, указанного в документации об отборе регионального оператора по обращению с твердыми коммунальными отходами (далее - конкурсная документация), и с применением ставки дисконтирования, равной норме доходности инвестированного капитала в реальном выражении (за вычетом индекса потребительских цен) по следующим формулам: (в ред. Приказа ФАС РФ от 01.11.2018 N 1488/18)

(55) (в ред. Приказа ФАС РФ от 01.11.2018 N 1488/18)

(56) (в ред. Приказа ФАС РФ от 01.11.2018 N 1488/18)

(57) (в ред. Приказа ФАС РФ от 01.11.2018 N 1488/18)

где:

- приведенная стоимость услуг регионального оператора начиная с первого года действия соглашения об организации деятельности по обращению с твердыми коммунальными отходами i0 до последнего года действия такого соглашения n, тыс. руб.;

- прогнозная необходимая валовая выручка регионального оператора в году i, руб.; (в ред. Приказа ФАС РФ от 01.11.2018 N 1488/18)

- индекс роста потребительских цен в году i в соответствии с прогнозом социально-экономического развития Российской Федерации. В случае, если такой индекс не определен на отдельные годы действия соглашения об организации деятельности по обращению с твердыми коммунальными отходами, значение индекса принимается равным такому значению на последний год, для которого оно определено в прогнозе социально-экономического развития Российской Федерации;

r - ставка дисконтирования, установленная в конкурсной документации;

- тариф оператора по обращению с твердыми коммунальными отходами, Oj, на год i, в том числе прогнозируемые значения тарифа (в случае, если территориальной схемой в течение срока действия соглашения об организации деятельности по обращению с твердыми коммунальными отходами предусмотрено строительство и ввод в эксплуатацию новых объектов, используемых для обращения с твердыми коммунальными отходами), руб/м3 (руб./тонна); (в ред. Приказа ФАС РФ от 01.11.2018 N 1488/18)

- прогнозные собственные расходы регионального оператора, руб. (в ред. Приказа ФАС РФ от 01.11.2018 N 1488/18)

В составе тарифов операторов по обращению с твердыми коммунальными отходами учитываются также тарифы организаций коммунального комплекса, установленные в соответствии с Федеральным законом от 30 декабря 2004 г. N 210-ФЗ "Об основах регулирования тарифов организаций коммунального комплекса";

- надбавки к тарифам, установленные в соответствии с Федеральным законом от 30 декабря 2004 г. N 210-ФЗ "Об основах регулирования тарифов организаций коммунального комплекса", руб./м3;

м () - объем (масса) отходов, направляемая региональным оператором на объект оператора по обращению с твердыми коммунальными отходами Оj в году i, м3 (тонн). В составе таких объектов учитываются также объекты, расположенные в зоне деятельности других региональных операторов, с которыми у регионального оператора заключен договор (соглашение), и доставка отходов на которые предусмотрена территориальной схемой, (в ред. Приказа ФАС РФ от 01.11.2018 N 1488/18)

- коэффициент перевода, определяемый в целях сопоставления объема и массы твердых коммунальных отходов (средняя плотность твердых коммунальных отходов) в соответствии с Правилами коммерческого учета.

В случае, если региональный оператор в соответствии с территориальной схемой самостоятельно осуществляет обработку, обезвреживание и (или) захоронение твердых коммунальных отходов, то расходы на оказание соответствующих услуг, а также объем таких услуг учитываются при расчете приведенной стоимости услуги регионального оператора в соответствии с главами I - V настоящих Методических указаний в составе показателей , , (). (в ред. Приказа ФАС РФ от 01.11.2018 N 1488/18)

97. Норма доходности инвестированного капитала в реальном выражении определяется как минимальная норма доходности, установленная федеральным органом регулирования тарифов в соответствии с пунктом 72 настоящих Методических указаний, за вычетом индекса потребительских цен, установленного на этот год в прогнозе социально-экономического развития Российской Федерации.

VII. Дифференциация тарифов

98. Единый тариф регионального оператора по обращению с твердыми коммунальными отходами по решению органа регулирования тарифов или в соответствии с соглашением об организации деятельности по обращению с твердыми коммунальными отходами может дифференцироваться:

по видам твердых коммунальных отходов (сортированные, несортированные, крупногабаритные, другие виды отходов, определенные органом исполнительной власти субъекта Российской Федерации) и классам опасности отходов;

по муниципальным образованиям;

по технологическим особенностям в соответствии с территориальной схемой.

99. Тарифы операторов по обращению с отходами, эксплуатирующих объекты по обращению с твердыми коммунальными отходами, могут дифференцироваться по видам твердых коммунальных отходов, характеризующих их состав, в частности по сортированным и неотсортированным отходам, крупногабаритным отходам, по классам опасности отходов и другим видам отходов, определенным органом исполнительной власти субъекта Российской Федерации.

100. В случае принятия решения о дифференциации тарифов по муниципальным образованиям орган регулирования тарифов принимает решение об установлении тарифов отдельно по каждому муниципальному образованию, на территории которого осуществляет деятельность регулируемая организация, исходя из расходов на осуществление регулируемого вида деятельности в каждом муниципальном образовании.

Приложение 1
к Методическим указаниям по расчету
регулируемых тарифов в области обращения
с твердыми коммунальными отходами,
утвержденным приказом ФАС России
от 21.11.2016 N 1638/16

ПЕРЕЧЕНЬ МАТЕРИАЛОВ, ВКЛЮЧАЕМЫХ В ПРЕДЛОЖЕНИЕ ПО УСТАНОВЛЕНИЮ ТАРИФОВ В СФЕРЕ ОБРАЩЕНИЯ С ТВЕРДЫМИ КОММУНАЛЬНЫМИ ОТХОДАМИ (ДАЛЕЕ - ПЕРЕЧЕНЬ МАТЕРИАЛОВ)

1. Материалы по формированию тарифа методом экономически обоснованных расходов:

а) расчет объема твердых коммунальных отходов (приложение 2 к Методическим указаниям);

б) расчет массы твердых коммунальных отходов (приложение 3 к Методическим указаниям);

в) расчет тарифа методом экономически обоснованных расходов (приложение 4 к Методическим указаниям);

г) расчет расходов на оплату труда (приложение 5 к Методическим указаниям);

д) расчет амортизационных отчислений на восстановление основных производственных фондов (приложение 6 к Методическим указаниям);

е) расчет источников финансирования капитальных вложений (приложение 7 к Методическим указаниям);

ж) информация об объектах капитальных вложений (приложение 8 к Методическим указаниям).

2. Материалы по формированию тарифа методом индексации:

а) приложения 2 - 3, 8;

б) определение операционных (подконтрольных) расходов на первый год долгосрочного периода регулирования (базовый уровень операционных расходов) (приложение 9 к Методическим указаниям);

в) расчет операционных (подконтрольных) расходов на каждый год долгосрочного периода регулирования (приложение 10 к Методическим указаниям);

г) расчет экономии операционных расходов (приложение 11 к Методическим указаниям);

д) расчет экономии от снижения потребления энергетических ресурсов (приложение 12 к Методическим указаниям);

е) расчет тарифа методом индексации (приложение 13 к Методическим указаниям).

3. Материалы по формированию тарифа методом доходности инвестированного капитала:

а) расчет тарифа методом доходности инвестированного капитала (приложение 14 к Методическим указаниям);

б) расчет базового уровня операционных расходов (приложение 15 к Методическим указаниям);

в) расчет расходов на энергетические ресурсы (приложение 16 к Методическим указаниям);

г) расчет неподконтрольных расходов (приложение 17 к Методическим указаниям);

д) расчет экономии операционных расходов (приложение 18 к Методическим указаниям);

е) расчет экономии от снижения потребления энергетических ресурсов (приложение 19 к Методическим указаниям);

ж) расчет первоначальной базы инвестированного капитала (приложение 20 к Методическим указаниям);

з) расчет базы инвестированного капитала (приложение 21 к Методическим указаниям);

и) расчет полной базы инвестированного капитала (приложение 22 к Методическим указаниям).

Примечания:

1. При заполнении приложений, включенных в настоящий перечень материалов, в столбце "базовый период" указываются показатели последнего отчетного периода регулирования (года), в столбце "период регулирования" указываются плановые показатели на очередной период регулирования (год).

Приложение 2
к Методическим указаниям по расчету
регулируемых тарифов в области обращения
с твердыми коммунальными отходами,
утвержденным приказом ФАС России
от 21.11.2016 N 1638/16

РАСЧЕТ ОБЪЕМА ТВЕРДЫХ КОММУНАЛЬНЫХ ОТХОДОВ

N п/п Наименование Единица измерения Истекший год (i-4) Истекший год (i-3) Истекший год (i-2) Текущий год (i-1) Очередной год (i)
план факт план факт план факт план ожид
1 2 3 4 5 6 7 8 9 10 11 12
1 Объем твердых коммунальных отходов тыс. куб. м
1.1 в пределах норматива по накоплению тыс. куб. м
1.2 Сверх норматива по накоплению тыс. куб. м
2 По видам твердых коммунальных отходов тыс. куб. м
2.1 сортированные тыс. куб. м
2.2 несортированные тыс. куб. м
2.3 крупногабаритные отходы тыс. куб. м
3 Темп изменения образования твердых коммунальных отходов %

Приложение 3
к Методическим указаниям по расчету
регулируемых тарифов в области обращения
с твердыми коммунальными отходами,
утвержденным приказом ФАС России
от 21.11.2016 N 1638/16

РАСЧЕТ МАССЫ ТВЕРДЫХ КОММУНАЛЬНЫХ ОТХОДОВ

N п/п Наименование Единица измерения Истекший год (i-4) Истекший год (i-3) Истекший год (i-2) Текущий год (i-1) Очередной год (i)
план факт план факт план факт план ожид
1 2 3 4 5 6 7 8 9 10 11 12
1 Масса твердых коммунальных отходов тонн
1.1 в пределах норматива по накоплению тонн
1.2 Сверх норматива по накоплению тонн
2 По видам твердых коммунальных отходов тонн
2.1 сортированные тонн
2.2 несортированные тонн
2.3 крупногабаритные отходы тонн
3 Темп изменения образования твердых коммунальных отходов %

Приложение 4
к Методическим указаниям по расчету
регулируемых тарифов в области обращения
с твердыми коммунальными отходами,
утвержденным приказом ФАС России
от 21.11.2016 N 1638/16

РАСЧЕТ ТАРИФА МЕТОДОМ ЭКОНОМИЧЕСКИ ОБОСНОВАННЫХ РАСХОДОВ,
тыс. руб.

N п/п Статьи затрат Единица измерения Базовый период Период регулирования
1 2 3 4 5
1. Производственные расходы, всего тыс. руб.
1.1 расходы на сырье и материалы тыс. руб.
1.2 расходы на приобретаемые энергетические ресурсы тыс. руб.
1.3 расходы на работы и (или) услуги по эксплуатации объектов, используемых для обработки, обезвреживания, захоронения твердых коммунальных отходов тыс. руб.
1.4 расходы на покрытие кассовых разрывов, целевых кредитов на производственные нужды и процентов по ним тыс. руб.
1.5 общехозяйственные расходы тыс. руб.
1.6 расходы на оплату труда и отчисления на социальные нужды основного производственного персонала тыс. руб.
1.7 прочие производственные расходы тыс. руб.
2. Ремонтные расходы, всего тыс. руб.
2.1 расходы на текущий ремонт тыс. руб.
2.2 расходы на капитальный ремонт тыс. руб.
2.3 расходы на оплату труда и отчисления на социальные нужды ремонтного персонала тыс. руб.
3. Административные расходы, всего тыс. руб.
3.1 - расходы на оплату услуг связи, вневедомственной охраны, юридических, информационных, аудиторских, консультационных услуг тыс. руб.
3.2 - арендная плата, лизинговые платежи, не связанные с арендой (лизингом) объектов, используемых для обработки, обезвреживания, захоронения твердых коммунальных отходов тыс. руб.
3.3 - расходы на служебные командировки тыс. руб.
3.4 - расходы на обучение персонала тыс. руб.
3.5 - расходы на страхование производственных объектов, учитываемые при определении базы по налогу на прибыль тыс. руб.
3.6 - расходы на амортизацию непроизводственных активов тыс. руб.
3.7 - расходы на обеспечение безопасности функционирования используемых для обработки, обезвреживания, захоронения твердых коммунальных отходов, в том числе расходы на защиту от террористических угроз тыс. руб.
3.8 - расходы на оплату труда и отчисления на социальные нужды административно-управленческого персонала тыс. руб.
4. Сбытовые расходы (расходы по сомнительным долгам) тыс. руб.
5. Расходы на амортизацию основных средств и нематериальных активов, относимые к объектам, используемым для обработки, обезвреживания, захоронения твердых коммунальных отходов тыс. руб.
6. Расходы на арендную плату и лизинговые платежи в отношении объектов, используемых для обработки, обезвреживания, захоронения твердых коммунальных отходов, тыс. руб.
7. Расходы по уплате налогов и сборов, всего тыс. руб.
7.1 налог на прибыль тыс. руб.
7.2 налог на имущество организаций тыс. руб.
7.3 земельный налог тыс. руб.
7.4 транспортный налог тыс. руб.
7.5 прочие налоги и сборы, за исключением налогов и сборов с фонда оплаты труда, учитываемых в составе производственных, ремонтных и административных расходов тыс. руб.
8. Расходы на оплату товаров, работ и услуг других операторов по обращению с твердыми коммунальными отходами тыс. руб.
9. Расходы на плату за негативное воздействие на окружающую среду тыс. руб.
10. Нормативная прибыль тыс. руб.
11. Расчетная предпринимательская прибыль тыс. руб.
12. Выпадающие доходы/экономия средств тыс. руб.
13. Необходимая валовая выручка, всего тыс. руб.
14. Объем (масса) твердых коммунальных отходов тыс. куб. м (тыс. тонн)
15. Тариф на услуги по обращению с твердыми коммунальными отходами руб./куб. м (руб./тонна)
16. Темп роста тарифа %

Приложение 5
к Методическим указаниям по расчету
регулируемых тарифов в области обращения
с твердыми коммунальными отходами,
утвержденным приказом ФАС России
от 21.11.2016 N 1638/16

РАСЧЕТ РАСХОДОВ НА ОПЛАТУ ТРУДА

N п/п Наименование Единица измерения Истекший год (i-2) Текущий год (i-1) Очередной год (i)
план факт план ожид
1 2 3 4 5 6 7 8
Производственный персонал
1 Численность (среднесписочная), принятая для расчета чел.
2 Средняя оплата труда
2.1 Тарифная ставка рабочего 1 разряда руб.
2.2 Индекс роста номинальной заработной платы
2.3 Тарифная ставка рабочего 1 разряда с учетом дефлятора руб.
2.4 Средний тарифный коэффициент
2.5 Среднемесячная тарифная ставка руб.
2.6 Минимальный размер оплаты труда по отраслевому тарифному соглашению руб.
2.7 Выплаты, связанные с режимом работы и условиями труда на 1 работника в месяц руб.
2.7.1 Процент %
2.7.2 Сумма выплат руб.
2.8 Текущее премирование
2.8.1 процент %
2.8.2 сумма выплат руб.
2.9 Доп. премирование, включая вознаграждение за выслугу лет
2.9.1 процент %
2.9.2 сумма выплат руб.
2.9.3 прочее руб.
2.9.4 северные надбавки руб.
2.10 ИТОГО среднемесячная оплата труда на 1 работника руб.
2.11 Фонд оплаты труда тыс. руб.
3. Расчет средств на оплату труда (прибыль) тыс. руб.
3.1 Льготный проезд к месту отдыха тыс. руб.
3.2 По постановлению Правительства Российской Федерации от 03.11.1994 N 1206 <*> тыс. руб.
3.3 Компенсационные и социальные выплаты тыс. руб.
3.5 ИТОГО средств на оплату труда тыс. руб.
3.6 Страховые взносы тыс. руб.
Ремонтный персонал
1 Численность (среднесписочная), принятая для расчета чел.
2 Средняя оплата труда
2.1 Тарифная ставка рабочего 1 разряда руб.
2.2 Индекс роста номинальной заработной платы
2.3 Тарифная ставка рабочего 1 разряда с учетом дефлятора руб.
2.4 Средний тарифный коэффициент
2.5 Среднемесячная тарифная ставка руб.
2.6 Минимальный размер оплаты труда по отраслевому тарифному соглашению руб.
2.7 Выплаты, связанные с режимом работы и условиями труда на 1 работника в месяц руб.
2.7.1 процент %
2.7.2 сумма выплат руб.
2.8 Текущее премирование
2.8.1 процент %
2.8.2 сумма выплат руб.
2.9 Доп. премирование, включая вознаграждение за выслугу лет
2.9.1 процент %
2.9.2 сумма выплат руб.
2.9.3 прочее руб.
2.9.4 северные надбавки руб.
2.10 ИТОГО среднемесячная оплата труда на 1 работника ремонтного персонала руб.
2.11 Фонд оплаты труда тыс. руб.
3 Расчет средств на оплату труда (прибыль) тыс. руб.
3.1 Льготный проезд к месту отдыха тыс. руб.
3.2 По постановлению Правительства Российской Федерации от 03.11.1994 N 1206 <*> тыс. руб.
3.3 Компенсационные и социальные выплаты тыс. руб.
3.5 ИТОГО средств на оплату труда ремонтного персонала тыс. руб.
3.6 Страховые взносы тыс. руб.
1 Численность (среднесписочная), принятая для расчета чел.
2 Средняя оплата труда
2.1 Тарифная ставка рабочего 1 разряда руб.
2.2 Индекс роста номинальной заработной платы
2.3 Тарифная ставка рабочего 1 разряда с учетом дефлятора руб.
2.4 Средний тарифный коэффициент
2.5 Среднемесячная тарифная ставка руб.
2.6 Минимальный размер оплаты труда по ОТС руб.
2.7 Выплаты, связанные с режимом работы и условиями труда на 1 работника в месяц руб.
2.7.1 процент %
2.7.2 сумма выплат руб.
2.8 Текущее премирование
2.8.1 процент %
2.8.2 Сумма выплат руб.
2.9 Доп. премирование, включая вознаграждение за выслугу лет
2.9.1 процент %
2.9.2 сумма выплат руб.
2.9.3 прочее руб.
2.9.4 северные надбавки руб.
2.10 ИТОГО среднемесячная оплата труда на 1 работника административного персонала руб.
2.11 Фонд оплаты труда тыс. руб.
3 Расчет средств на оплату труда (прибыль) тыс. руб.
3.1 Льготный проезд к месту отдыха тыс. руб.
3.2 По постановлению Правительства Российской Федерации от 03.11.1994 N 1206 <*> тыс. руб.
3.3 Компенсационные и социальные выплаты тыс. руб.
3.5 ИТОГО средств на оплату труда административного персонала тыс. руб.
3.6 Страховые взносы тыс. руб.

<*> Постановление Правительства Российской Федерации от 3 ноября 1994 г. N 1206 "Об утверждении порядка назначения и выплаты ежемесячных компенсационных выплат отдельным категориям граждан" (Собрание законодательства Российской Федерации, 1994, N 29, ст. 3035; 2003, N 33, ст. 3269; 2006, N 33, ст. 3633; 2012, N 22, ст. 2867; 2013, N 13, ст. 1559; N 22, ст. 2809; 2015, N 1, ст. 262).

Приложение 6
к Методическим указаниям по расчету
регулируемых тарифов в области обращения
с твердыми коммунальными отходами,
утвержденным приказом ФАС России
от 21.11.2016 N 1638/16

РАСЧЕТ АМОРТИЗАЦИОННЫХ ОТЧИСЛЕНИЙ НА ВОССТАНОВЛЕНИЕ ОСНОВНЫХ ПРОИЗВОДСТВЕННЫХ ФОНДОВ,
тыс. руб.

N п.п. Показатели Единица измерения Базовый период Период регулирования
1 2 3 4 5
1. Первоначальная стоимость осн. фондов на начало периода тыс. руб.
Здания тыс. руб.
Сооружения тыс. руб.
Передаточные устройства тыс. руб.
Машины и оборудование тыс. руб.
в том числе - силовые машины тыс. руб.
- рабочие машины тыс. руб.
- приборы и лаборат. оборудование тыс. руб.
- вычислительная техника тыс. руб.
- прочие машины тыс. руб.
Транспортные средства тыс. руб.
Инструмент тыс. руб.
Производственный инвентарь тыс. руб.
Прочие основные производственные фонды тыс. руб.
2. Переоценка стоимости осн. фондов (только положительная или отрицательная разница относительно первоначальной стоимости осн. фондов) тыс. руб.
Здания тыс. руб.
Сооружения тыс. руб.
Передаточные устройства тыс. руб.
Машины и оборудование тыс. руб.
в том числе - силовые машины тыс. руб.
- рабочие машины тыс. руб.
- приборы и лаборат. оборудование тыс. руб.
- вычислительная техника тыс. руб.
- прочие машины тыс. руб.
Транспортные средства тыс. руб.
Инструмент тыс. руб.
Производственный инвентарь тыс. руб.
Прочие основные производственные фонды тыс. руб.
3. Ввод основных производственных фондов тыс. руб.
Здания тыс. руб.
Сооружения тыс. руб.
Передаточные устройства тыс. руб.
Машины и оборудование тыс. руб.
в том числе - силовые машины тыс. руб.
- рабочие машины тыс. руб.
- приборы и лаборат. оборудование тыс. руб.
- вычислительная техника тыс. руб.
- прочие машины тыс. руб.
Транспортные средства тыс. руб.
Инструмент тыс. руб.
Производственный инвентарь тыс. руб.
Прочие основные производственные фонды тыс. руб.
4. Выбытие основных производственных фондов тыс. руб.
Здания тыс. руб.
Сооружения тыс. руб.
Передаточные устройства тыс. руб.
Машины и оборудование тыс. руб.
в том числе - силовые машины тыс. руб.
- рабочие машины тыс. руб.
- приборы и лаборат. оборудование тыс. руб.
- вычислительная техника тыс. руб.
- прочие машины тыс. руб.
Транспортные средства тыс. руб.
Инструмент тыс. руб.
Производственный инвентарь тыс. руб.
Прочие основные производственные фонды тыс. руб.
5. Первоначальная стоимость основных фондов на конец периода тыс. руб.
Здания тыс. руб.
Сооружения тыс. руб.
Передаточные устройства тыс. руб.
Машины и оборудование тыс. руб.
в том числе - силовые машины тыс. руб.
- рабочие машины тыс. руб.
- приборы и лаборат. оборудование тыс. руб.
- вычислительная техника тыс. руб.
- прочие машины тыс. руб.
Транспортные средства тыс. руб.
Инструмент тыс. руб.
Производственный инвентарь тыс. руб.
Прочие основные производственные фонды тыс. руб.
5. Среднегодовая стоимость основных производственных фондов тыс. руб.
В электронном документе нумерация пунктов соответствует официальному источнику.
Здания тыс. руб.
Сооружения тыс. руб.
Передаточные устройства тыс. руб.
Машины и оборудование тыс. руб.
в том числе - силовые машины тыс. руб.
- рабочие машины тыс. руб.
- приборы и лаборат. оборудование тыс. руб.
- вычислительная техника тыс. руб.
- прочие машины тыс. руб.
Транспортные средства тыс. руб.
Инструмент тыс. руб.
Производственный инвентарь тыс. руб.
Прочие основные производственные фонды тыс. руб.
6. Норма амортизационных отчислений
Здания %
Сооружения %
Передаточные устройства %
Машины и оборудование %
в том числе - силовые машины %
- рабочие машины %
- приборы и лаборат. оборудование %
- вычислительная техника %
- прочие машины %
Транспортные средства %
Инструмент %
Производственный инвентарь %
Прочие основные производственные фонды %
7. Сумма амортизационных отчислений тыс. руб.
Здания тыс. руб.
Сооружения тыс. руб.
Передаточные устройства тыс. руб.
Машины и оборудование тыс. руб.
в том числе - силовые машины тыс. руб.
- рабочие машины тыс. руб.
- приборы и лаборат. оборудование тыс. руб.
- вычислительная техника тыс. руб.
- прочие машины тыс. руб.
Транспортные средства тыс. руб.
Инструмент тыс. руб.
Производственный инвентарь тыс. руб.
Прочие основные производственные фонды тыс. руб.

Приложение 7
к Методическим указаниям по расчету
регулируемых тарифов в области обращения
с твердыми коммунальными отходами,
утвержденным приказом ФАС России
от 21.11.2016 N 1638/16

РАСЧЕТ ИСТОЧНИКОВ ФИНАНСИРОВАНИЯ КАПИТАЛЬНЫХ ВЛОЖЕНИЙ,
тыс. руб.

N п/п Наименование Базовый период Период регулирования
1 2 3 4
1 Объем капитальных вложений - всего
в том числе:
1.1 - на производственное и научно-техническое развитие
1.2 - на непроизводственное развитие
2 Финансирование капитальных вложений
из средств - всего
2.1 Амортизационных отчислений на полное восстановление основных фондов (100%)
2.1.1 в том числе за счет переоценки основных средств и нематериальных активов
2.2 Неиспользованных средств на начало года
2.3 Федерального бюджета
2.4 Местного бюджета
2.5 Регионального (республиканского, краевого, областного) бюджета
2.6 Прочих
2.7 Средства, полученные от реализации ценных бумаг
2.8 Кредитные средства
2.9 Итого по пп. 2.1 - 2.8
2.10 Прибыль (п. 1 - п. 2.9):

Примечания:

1. Представляется одновременно с копией утвержденной в установленном порядке инвестиционной программы (или проектом инвестиционной программы).

Приложение 8
к Методическим указаниям по расчету
регулируемых тарифов в области обращения
с твердыми коммунальными отходами,
утвержденным приказом ФАС России
от 21.11.2016 N 1638/16

ИНФОРМАЦИЯ ОБ ОБЪЕКТАХ КАПИТАЛЬНЫХ ВЛОЖЕНИЙ

Наименование объекта капитальных вложений Утверждено на базовый период Выполнено в течение базового периода Источник финансирования на базовый период План на период регулирования Источник финансирования на период регулирования
1 2 3 4 5 6
Всего
в том числе

Примечания:

1. Заполняется по каждому виду регулируемой деятельности, по каждой регулируемой организации.

2. Представляется одновременно с копией утвержденной в установленном порядке инвестиционной программы (или проектом инвестиционной программы).

Приложение 9
к Методическим указаниям по расчету
регулируемых тарифов в области обращения
с твердыми коммунальными отходами,
утвержденным приказом ФАС России
от 21.11.2016 N 1638/16

ОПРЕДЕЛЕНИЕ ОПЕРАЦИОННЫХ (ПОДКОНТРОЛЬНЫХ) РАСХОДОВ НА ПЕРВЫЙ ГОД ДОЛГОСРОЧНОГО ПЕРИОДА РЕГУЛИРОВАНИЯ (БАЗОВЫЙ УРОВЕНЬ ОПЕРАЦИОННЫХ РАСХОДОВ),
тыс. руб.

N п.п. Наименование расхода Год, предшествующий очередному долгосрочному периоду регулирования Первый год очередного долгосрочного периода регулирования
1 2 3 4
1. Расходы на приобретение сырья и материалов и их хранение
2. Расходы на текущий и капитальный ремонт основных средств объектов, используемых для обработки, обезвреживания, захоронения твердых коммунальных отходов
3. Расходы на оплату труда и отчисления на социальные нужды
4. Расходы на эксплуатацию объектов, используемых для обработки, обезвреживания, захоронения твердых коммунальных отходов
5. Расходы на оплату иных работ и услуг, выполняемых по договорам с организациями, включая:
5.1. Расходы на оплату услуг связи
5.2. Расходы на оплату вневедомственной охраны
5.3. Расходы на оплату юридических, информационных, аудиторских и консультационных услуг
5.4. Расходы на оплату других работ и услуг, не относящихся к расходам на оплату товаров (работ, услуг), приобретаемых у других организаций, осуществляющих регулируемые виды деятельности
6. Расходы на служебные командировки
7. Расходы на обучение персонала
8. Лизинговый платеж
9. Арендная плата
10. Расходы на уплату процентов и займов по кредитам, не учитываемые при определении налоговой базы по налогу на прибыль
11. Расходы на обязательное страхование производственных объектов
12. Общехозяйственные расходы
13. Другие расходы, в том числе:
13.1. расходы по охране труда и технике безопасности
13.2. расходы на канцелярские товары
...
ИТОГО базовый уровень операционных расходов

Примечания:

1. В гр. 3 отражаются расходы, учтенные в тарифах регулируемой организации в предшествующем расчетном периоде регулирования.

Приложение 10
к Методическим указаниям по расчету
регулируемых тарифов в области обращения
с твердыми коммунальными отходами,
утвержденным приказом ФАС России
от 21.11.2016 N 1638/16

РАСЧЕТ ОПЕРАЦИОННЫХ (ПОДКОНТРОЛЬНЫХ) РАСХОДОВ НА КАЖДЫЙ ГОД ДОЛГОСРОЧНОГО ПЕРИОДА РЕГУЛИРОВАНИЯ,
тыс. руб.

N п.п. Параметры расчета расходов Единица измерения Долгосрочный период регулирования
год i0 год i0 + 1 ... год i1
1 2 3 4 5 ... n
1. Индекс потребительских цен на расчетный период регулирования (ИПЦ)
2. Индекс эффективности операционных расходов (ИР) %
3. Операционные (подконтрольные) расходы тыс. руб.

Примечания:

1. Год i0 - первый год долгосрочного периода регулирования, год i1 - последний год долгосрочного периода регулирования.

Приложение 11
к Методическим указаниям по расчету
регулируемых тарифов в области обращения
с твердыми коммунальными отходами,
утвержденным приказом ФАС России
от 21.11.2016 N 1638/16

РАСЧЕТ ЭКОНОМИИ ОПЕРАЦИОННЫХ РАСХОДОВ,
тыс. руб.

N п.п. Показатели Единица измерения Год i1 - 4 Год i1 - 3 Год i1 - 2 Год i1 -1 Год i1
1 2 3 4 5 6 7 8
1 Скорректированные операционные расходы тыс. руб.
2 Фактические операционные расходы тыс. руб.
3 Экономия операционных расходов тыс. руб.
4 Прирост экономии операционных расходов тыс. руб.
5 Индекс потребительских цен
6 Кумулятивное значение индекса потребительских цен - -
7 Прирост экономии операционных расходов в ценах года i1 -
8 Экономия операционных расходов, учитываемая в очередном долгосрочном периоде регулирования тыс. руб. - - - -

Примечания:

1. Приложение заполняется за предшествующий долгосрочный период регулирования.

2. i1 - последний год текущего долгосрочного периода регулирования;

3. Стр. 3 = стр. 1 - стр. 2.

4. В строке 4: гр. 3 = гр. 3 стр. 3;

гр. 4 = гр. 4 стр. 3 - гр. 3 стр. 3 * (1 + гр. 4 стр. 5)

гр. 5 = гр. 5 стр. 3 - гр. 4 стр. 3 * (1 + гр. 5 стр. 5)

гр. 6 = гр. 6 стр. 3 - гр. 5 стр. 3 * (1 + гр. 6 стр. 5)

гр. 7 = гр. 7 стр. 3 - гр. 6 стр. 3 * (1 + гр. 7 стр. 5).

5. В строке 6: гр. 4 = (1 + гр. 5 стр. 5) * (1 + гр. 6 стр. 5) * (1 + гр. 7 стр. 5)

гр. 5 = (1 + гр. 6 стр. 5) * (1 + гр. 7 стр. 5)

гр. 6 = (1 + гр. 7 стр. 5).

6. В строке 7: гр. стр. 7 = гр. стр. 4 * гр. стр. 6, кроме гр. 7

гр. 7 стр. 7 = гр. стр. 4.

7. Строка 8 заполняется только в графе 8.

Если предшествующий долгосрочный период регулирования составляет 3 года:

гр. 8 = (4/5 * гр. 7 + 3/5 * гр. 6 + 2/5 * гр. 5)|стр. 7

Если предшествующий долгосрочный период регулирования составляет более 3 лет:

гр. 8 = (4/5 * гр. 7 + 3/5 * гр. 6 + 2/5 * гр. 5 + 1/5 * гр. 4)|стр. 7

Приложение 12
к Методическим указаниям по расчету
регулируемых тарифов в области обращения
с твердыми коммунальными отходами,
утвержденным приказом ФАС России
от 21.11.2016 N 1638/16

Расчет экономии от снижения потребления энергетических ресурсов

N п.п. Показатели Единица измерения Базовый период регулирования, i-4 Базовый период регулирования, i-3 Базовый период регулирования, i-2 Базовый период регулирования, i-1
1 2 3 4 5 6 7
1 Фактический объем (масса) твердых коммунальных отходов
2 Объем (масса) твердых коммунальных отходов, учтенный при расчете цен (тарифов) в году
3 Объем потребления энергетического ресурса, учтенный при установлении цен (тарифов)
4 Фактический объем потребления энергетического ресурса
5 Фактическая стоимость приобретения (производства) единицы энергетического ресурса
6 Экономия от снижения потребления энергетического ресурса

Примечания:

1. Приложение заполняется для каждого вида энергетических ресурсов.

2. Приложение заполняется, начиная со второго расчетного периода регулирования (i = 2), тарифы на который рассчитываются с применением настоящих Методических указаний. В первый расчетный период регулирования экономия от снижения потребления топлива равна нулю.

3. Для второго расчетного периода регулирования, тарифы на который рассчитываются с применением настоящих Методических указаний, заполняется столбец 7; для третьего расчетного периода регулирования заполняются столбцы 6 - 7; для четвертого расчетного периода регулирования заполняются столбцы 5 - 7; начиная с пятого расчетного периода регулирования заполняются все столбцы.

4. Графы строки 6 заполняются расчетным способом: гр. стр. 6 = гр. стр. 1 / гр. стр. 2 * гр. стр. 3 - гр. стр. 4.

5. Необходимо согласовать единицы измерения всех показателей для того, чтобы выразить прирост экономии от снижения потребления энергетического ресурса в тыс. руб.

Расчет экономии от снижения потребления энергоресурсов, учитываемой при формировании необходимой валовой выручки методом экономически обоснованных расходов

N п.п. Показатели Единица измерения Базовый период регулирования, i-4 Базовый период регулирования, i-3 Базовый период регулирования, i-2 Базовый период регулирования, i-1 Период регулирования, i
1 2 3 4 5 6 7 8
1 Экономия от снижения потребления энергетических ресурсов тыс. руб. -
2 Значение индекса потребительских цен
3 Кумулятивное значение индекса потребительских цен -
4 Экономия от снижения потребления энергетических ресурсов в ценах i-ого периода регулирования тыс. руб. -
5 Итого тыс. руб. - - - -

Примечания:

1. Приложение заполняется начиная со второго расчетного периода регулирования (i = 2), тарифы на который рассчитываются с применением настоящих Методических указаний. В первый расчетный период регулирования экономия от снижения потребления энергоресурсов равна нулю.

2. Для второго расчетного периода регулирования, тарифы на который рассчитываются с применением настоящих Методических указаний, заполняются столбцы 7 - 8; для третьего расчетного периода регулирования заполняются столбцы 6 - 8; для четвертого расчетного периода регулирования заполняются столбцы 5 - 8; начиная с пятого расчетного периода регулирования заполняются все столбцы.

3. В строке 1 указывается Экономия, рассчитанная в соответствии с приложением 12 к настоящим Методическим указаниям.

4. В строке 3: гр. 4 = (1 + гр. 5) * (1 + гр. 6) * (1 + гр. 7) * (1 + гр. 8) строки 2;

гр. 5 = (1 + гр. 6) * (1 + гр. 7) * (1 + гр. 8) строки 2;

гр. 6 = (1 + гр. 7) * (1 + гр. 8) строки 2;

гр. 7 = (1 + гр. 8) строки 2.

5. Гр. стр. 4 = гр. стр. 1 * гр. стр. 3.

6. Итого заполняется в гр. 5 как сумма граф 4 - 7 строки 4.

Приложение 13
к Методическим указаниям по расчету
регулируемых тарифов в области обращения
с твердыми коммунальными отходами,
утвержденным приказом ФАС России
от 21.11.2016 N 1638/16

РАСЧЕТ ТАРИФА МЕТОДОМ ИНДЕКСАЦИИ

N п.п. Наименование расхода Единица измерения Истекший год (i-2) Текущий год (i-1) 1-й год 2-й год 3-й год 4-й год 5-й год
план факт план ожид
1 2 3 4 5 6 7 8 9 10 11 12
1. Операционные (подконтрольные) расходы тыс. руб.
2. Неподконтрольные расходы тыс. руб.
3. Расходы на приобретение (производство) энергетических ресурсов тыс. руб.
4. Расходы на амортизацию основных средств и нематериальных активов тыс. руб.
5. Нормативная прибыль тыс. руб.
6. Расчетная предпринимательская прибыль тыс. руб.
7. Результаты деятельности до перехода к регулированию цен (тарифов) на основе долгосрочных параметров регулирования тыс. руб.
8. Величина изменения НВВ, проводимого в целях сглаживания тыс. руб.
9. Корректировка с целью учета отклонения фактических значений параметров расчета тарифов от значений, учтенных при установлении тарифов тыс. руб.
10. Корректировка НВВ с учетом отклонения показателя ввода и вывода объектов, используемых для обработки, обезвреживания, захоронения твердых коммунальных отходов, и изменения утвержденной в установленном порядке инвестиционной программы тыс. руб.
11. Корректировка НВВ с учетом степени исполнения регулируемой организацией обязательств по созданию и (или) реконструкции объектов концессионного соглашения по эксплуатации объектов в области обращения с твердыми коммунальными отходами, соглашения о государственно-частном партнерстве, муниципально-частном партнерстве, по договору аренды соответствующих объектов, находящихся в государственной или муниципальной собственности, по реализации инвестиционной программы, производственной программы регулируемой организации при недостижении регулируемой организацией показателей эффективности тыс. руб.
12. ИТОГО необходимая валовая выручка тыс. руб.
13. Объем (масса) твердых коммунальных отходов тыс. куб. м (тыс. тонн)
14. Тариф на услуги по обращению с твердыми коммунальными отходами руб./ куб. м (руб./ т)
15. Темп роста тарифа %

Приложение 14
к Методическим указаниям по расчету
регулируемых тарифов в области обращения
с твердыми коммунальными отходами,
утвержденным приказом ФАС России
от 21.11.2016 N 1638/16

РАСЧЕТ ТАРИФА МЕТОДОМ ДОХОДНОСТИ ИНВЕСТИРОВАННОГО КАПИТАЛА

N п/п Наименование Единица измерений Истекший год (i-2) Текущий год (i-1) 1-й год 2-й год 3-й год 4-й год 5-й год
план факт план ожид
1 2 3 4 5 6 7 8 9 10 11 12
1 Необходимая валовая выручка тыс. руб.
1.1 Текущие расходы тыс. руб.
1.1.1 Операционные расходы тыс. руб.
1.1.1.1 индекс эффективности расходов %
1.1.1.2 индекс потребительских цен
1.1.2 Расходы на энергетические ресурсы тыс. руб.
1.1.3 Неподконтрольные расходы тыс. руб.
1.2 Возврат капитала тыс. руб.
1.2.1 Полная величина инвестированного капитала тыс. руб.
1.2.2 Срок возврата инвестированного капитала лет
1.3 Доход на инвестированный капитал тыс. руб.
1.3.1 Первоначальный размер инвестированного капитала тыс. руб.
1.3.2 Доходность первоначального размера инвестированного капитала %
1.3.3 База инвестированного капитала тыс. руб.
1.3.4 Чистый оборотный капитал тыс. руб.
1.3.4.1 Норматив чистого оборотного капитала %
1.3.5 Норма доходности %
1.3.5.1 Норма доходности нового капитала %
1.3.5.2 Норма доходности старого капитала %
1.4 Результаты деятельности до перехода к регулированию цен (тарифов) на основе долгосрочных параметров регулирования тыс. руб.
1.5 Величина изменения НВВ, проводимого в целях сглаживания тыс. руб.
2. Корректировка НВВ с учетом отклонения фактических значений параметров расчета тарифов от значений, учтенных при установлении тарифов тыс. руб.
3. Корректировка НВВ с учетом отклонения показателя ввода и вывода объектов, используемых для обработки, обезвреживания, захоронения твердых коммунальных отходов, и изменения инвестиционной программы тыс. руб.
4. Корректировка НВВ с учетом степени исполнения регулируемой организацией обязательств по созданию и (или) реконструкции объектов концессионного соглашения по эксплуатации объектов в области обращения с твердыми коммунальными отходами, соглашения о государственно-частном партнерстве, муниципально-частном партнерстве, по договору аренды соответствующих объектов, находящихся в государственной или муниципальной собственности, по реализации инвестиционной программы, производственной программы регулируемой организации при недостижении регулируемой организацией показателей эффективности тыс. руб.
5. Итого НВВ для расчета тарифа тыс. руб.
6. Объем (масса) твердых коммунальных отходов тыс. куб. м (тыс. тонн)
7. Тариф на услуги по обращению с твердыми коммунальными отходами руб./куб. м (руб./тонна)
8. Темп роста тарифа %

Приложение 15
к Методическим указаниям по расчету
регулируемых тарифов в области обращения
с твердыми коммунальными отходами,
утвержденным приказом ФАС России
от 21.11.2016 N 1638/16

РАСЧЕТ БАЗОВОГО УРОВНЯ ОПЕРАЦИОННЫХ РАСХОДОВ

N п/п Наименование Единица измерений Истекший год (i-2) Текущий год (i-1) Очередной год (i)
план факт план ожид
1 2 3 4 5 6 7 8
1 Операционные расходы
1.1 Производственные расходы: тыс. руб.
1.1.1 расходы на приобретение сырья и материалов и их хранение тыс. руб.
1.1.2 расходы на оплату регулируемыми организациями выполняемых сторонними организациями работ и (или) услуг тыс. руб.
1.1.3 расходы на оплату труда и отчисления на социальные нужды производственного персонала, в том числе: тыс. руб.
1.1.3.1 обязательные платежи с фонда оплаты труда тыс. руб.
1.1.4 расходы на уплату процентов по займам и кредитам тыс. руб.
1.1.5 общехозяйственные расходы тыс. руб.
1.1.6 прочие производственные расходы тыс. руб.
1.2 Ремонтные расходы тыс. руб.
1.3 Административные расходы тыс. руб.

Приложение 16
к Методическим указаниям по расчету
регулируемых тарифов в области обращения
с твердыми коммунальными отходами,
утвержденным приказом ФАС России
от 21.11.2016 N 1638/16

РАСЧЕТ РАСХОДОВ НА ЭНЕРГЕТИЧЕСКИЕ РЕСУРСЫ

N п/п Наименование Единица измерений Истекший год (i-2) Текущий год (i-1) 1-й год 2-й год 3-й год 4-й год 5-й год
план факт план ожид
1 2 3 4 5 6 7 8 9 10 11 12
1 Расходы на электроэнергию тыс. руб.
2 Расходы на тепловую энергию тыс. руб.
3 Расходы на водоснабжение и водоотведение тыс. руб.
4 Расходы на природный газ тыс. руб.
5 Расходы на иные виды топлива и энергетические ресурсы тыс. руб.
ИТОГО тыс. руб.

Приложение 17
к Методическим указаниям по расчету
регулируемых тарифов в области обращения
с твердыми коммунальными отходами,
утвержденным приказом ФАС России
от 21.11.2016 N 1638/16

РАСЧЕТ НЕПОДКОНТРОЛЬНЫХ РАСХОДОВ

N п/п Наименование Единица измерений Истекший год (i-2) Текущий год (i-1) 1-й год 2-й год 3-й год 4-й год 5-й год
план факт план ожид
1 2 3 4 5 6 7 8 9 10 11 12
1 Неподконтрольные расходы тыс. руб.
2 Расходы на оплату товаров (услуг, работ), приобретаемых у других регулируемых организаций тыс. руб.
3 Налоги, сборы и другие обязательные платежи тыс. руб.
3.1 Налог на прибыль тыс. руб.
3.2 Налог на имущество организаций тыс. руб.
3.3 Земельный налог и арендная плата за землю тыс. руб.
3.4 Транспортный налог тыс. руб.
3.5 Прочие налоги и сборы тыс. руб.
4 Арендная и концессионная плата, лизинговые платежи тыс. руб.
5 Сбытовые расходы тыс. руб.
6 Экономия расходов тыс. руб.
7 Расходы на компенсацию экономически обоснованных расходов и недополученных доходов тыс. руб.
9 Займы и кредиты тыс. руб.
9.1 Возврат сумм основного долга тыс. руб.
9.2 Проценты по займам и кредитам тыс. руб.
10. Плата за негативное воздействие на окружающую среду при размещении твердых коммунальных отходов тыс. руб.

Приложение 18
к Методическим указаниям по расчету
регулируемых тарифов в области обращения
с твердыми коммунальными отходами,
утвержденным приказом ФАС России
от 21.11.2016 N 1638/16

РАСЧЕТ ЭКОНОМИИ ОПЕРАЦИОННЫХ РАСХОДОВ

N п.п. Показатели Единица измерения Год i1-4 Год i1-3 Год i1-2 Год i1-1 Год i1
1 2 3 4 5 6 7 8
1 Скорректированные операционные расходы тыс. руб.
2 Фактические операционные расходы тыс. руб.
3 Экономия операционных расходов тыс. руб.
4 Прирост экономии операционных расходов тыс. руб.
5 Индекс потребительских цен
6 Кумулятивное значение индекса потребительских цен - -
7 Прирост экономии операционных расходов в ценах года i1 -
8 Экономия операционных расходов, учитываемая в очередном долгосрочном периоде регулирования тыс. руб. - - - -

Примечания:

1. Приложение заполняется за предшествующий долгосрочный период регулирования.

2. i1 - последний год текущего долгосрочного периода регулирования;

3. Стр. 3 = стр. 1 - стр. 2.

4. В строке 4: гр. 3 = гр. 3 стр. 3;

гр. 4 = гр. 4 стр. 3 - гр. 3 стр. 3 * (1 + гр. 4 стр. 5)

гр. 5 = гр. 5 стр. 3 - гр. 4 стр. 3 * (1 + гр. 5 стр. 5)

гр. 6 = гр. 6 стр. 3 - гр. 5 стр. 3 * (1 + гр. 6 стр. 5)

гр. 7 = гр. 7 стр. 3 - гр. 6 стр. 3 * (1 + гр. 7 стр. 5).

5. В строке 6: гр. 4 = (1 + гр. 5 стр. 5) * (1 + гр. 6 стр. 5) * (1 + гр. 7 стр. 5)

гр. 5 = (1 + гр. 6 стр. 5) * (1 + гр. 7 стр. 5)

гр. 6 = (1 + гр. 7 стр. 5).

6. В строке 7: гр. стр. 7 = гр. стр. 4 * гр. стр. 6, кроме гр. 7

гр. 7 стр. 7 = гр. стр. 4.

7. Строка 8 заполняется только в графе 8.

Если предшествующий долгосрочный период регулирования составляет 3 года:

гр. 8 = (4/5 * гр. 7 + 3/5 * гр. 6 + 2/5 * гр. 5)|стр. 7

Если предшествующий долгосрочный период регулирования составляет более 3 лет: гр. 8 = (4/5 * гр. 7 + 3/5 * гр. 6 + 2/5 * гр. 5 + 1/5 * гр. 4)|стр. 7

Приложение 19
к Методическим указаниям по расчету
регулируемых тарифов в области обращения
с твердыми коммунальными отходами,
утвержденным приказом ФАС России
от 21.11.2016 N 1638/16

РАСЧЕТ ЭКОНОМИИ ОТ СНИЖЕНИЯ ПОТРЕБЛЕНИЯ ЭНЕРГЕТИЧЕСКИХ РЕСУРСОВ

N п.п. Показатели Единица измерения Год i1-4 Год i1-3 Год i1-2 Год i1-1 Год i1
1 2 3 4 5 6 7 8
1 Фактический объем отпуска соответствующего вида услуг
2 Объем отпуска соответствующего вида услуг, учтенный при установлении тарифов
3 Объем потребления ресурса, учтенный при установлении тарифов
4 Фактический объем потребления ресурса
5 Фактическая стоимость приобретения (производства) единицы ресурса
6 Экономия от снижения потребления ресурсов тыс. руб.
7 Прирост экономии от снижения потребления ресурсов тыс. руб.
8 Значение индекса потребительских цен
9 Кумулятивное значение индекса потребительских цен
10 Прирост экономии от снижения потребления ресурсов в ценах года i1 тыс. руб.
11 Экономия от снижения потребления ресурсов, учитываемая в очередном долгосрочном периоде регулирования тыс. руб.

Примечания:

1. Приложение заполняется за предшествующий долгосрочный период регулирования.

2. Приложение заполняется для каждого вида ресурсов.

3. Графы строки 6 заполняются расчетным способом: гр. стр. 6 = гр. стр. 1 / гр. стр. 2 * гр. стр. 3 - гр. стр. 4.

4. Графы строки 7 заполняются расчетным способом: гр. стр. 7 = (гр. стр. 6 - гр. стр. 6|предыдущий год) * гр. стр. 5. Для первого года регулирования: стр. 7 = гр. стр. 6 * гр. стр. 5. Необходимо согласовать единицы измерения всех показателей для того, чтобы выразить прирост экономии от снижения потребления ресурсов в тыс. руб.

5. В строке 9: гр. 5 = (1 + гр. 6) * (1 + гр. 7) * (1 + гр. 8) строки 8;

гр. 6 = (1 + гр. 7) * (1 + гр. 8) строки 8;

гр. 7 = (1 + гр. 8) строки 8.

6. Гр. стр. 10 = гр. стр. 7 * гр. стр. 9, кроме гр. 8

гр. 8 стр. 10 = гр. стр. 7.

7. Строка 11 заполняется только в графе 8.

Если предшествующий долгосрочный период регулирования составляет 3 года:

гр. 8 = (4/5 * гр. 8 + 3/5 * гр. 7 + 2/5 * гр. 6)|стр. 10

Если предшествующий долгосрочный период регулирования составляет более 3 лет:

гр. 8 = (4/5 * гр. 8 + 3/5 * гр. 7 + 2/5 * гр. 6 + 1/5 * гр. 5)|стр. 10

Приложение 20
к Методическим указаниям по расчету
регулируемых тарифов в области обращения
с твердыми коммунальными отходами,
утвержденным приказом ФАС России
от 21.11.2016 N 1638/16

РАСЧЕТ ПЕРВОНАЧАЛЬНОЙ БАЗЫ ИНВЕСТИРОВАННОГО КАПИТАЛА

N п/п Наименование Единица измерений Истекший год (i1-4) Истекший год (i-3) Истекший год (i-2) Текущий год (i-1) 1-й год
1 2 3 4 5 6 9 10
В электронном документе нумерация граф таблицы соответствует официальному источнику.
1 База инвестированного капитала тыс. руб.
2 Индекс потребительских цен тыс. руб.
3 Остаточная стоимость основных средств тыс. руб.
4 Инвестированный капитал тыс. руб.
4.1 Капитальные вложения тыс. руб.
4.2 Изменение количества активов тыс. руб.
4.3 Надбавки к тарифам тыс. руб.
4.4 Средства бюджетов и госкорпораций тыс. руб.
5 Стоимость объектов, выведенных из эксплуатации тыс. руб.
6 Амортизация тыс. руб.
7 Возврат кредитов тыс. руб.

Приложение 21
к Методическим указаниям по расчету
регулируемых тарифов в области обращения
с твердыми коммунальными отходами,
утвержденным приказом ФАС России
от 21.11.2016 N 1638/16

РАСЧЕТ БАЗЫ ИНВЕСТИРОВАННОГО КАПИТАЛА

N п/п Наименование Единица измерений Истекший год (i-2) Текущий год (i-1) 1-й год 2-й год 3-й год 4-й год 5-й год
1 2 3 4 5 6 7 8 9 10
1 База инвестированного капитала тыс. руб.
2 Инвестированный капитал тыс. руб.
2.1 Капитальные вложения тыс. руб.
2.2 Изменение количества активов тыс. руб.
2.3 Средства бюджетов и госкорпораций тыс. руб.
3 Стоимость объектов, выведенных из эксплуатации тыс. руб.
4 Корректировка на изменение доходности государственных обязательств тыс. руб.
4.1 Доходность, учтенная при установлении тарифов %
4.2 Фактическая доходность %

Приложение 22
к Методическим указаниям по расчету
регулируемых тарифов в области обращения
с твердыми коммунальными отходами,
утвержденным приказом ФАС России
от 21.11.2016 N 1638/16

РАСЧЕТ ПОЛНОЙ БАЗЫ ИНВЕСТИРОВАННОГО КАПИТАЛА

N п/п Наименование Единица измерений Истекший год (i-2) Текущий год (i-1) 1-й год 2-й год 3-й год 4-й год 5-й год
1 2 3 4 5 6 7 8 9 10
1 Полная величина инвестированного капитала тыс. руб.
2 Инвестированный капитал тыс. руб.
2.1 Капитальные вложения тыс. руб.
2.2 Изменение количества активов (полной стоимости) тыс. руб.
2.3 Средства бюджетов и госкорпораций тыс. руб.
3 Полная стоимость объектов, выведенных из эксплуатации тыс. руб.
4 Корректировка на изменение доходности государственных обязательств тыс. руб.
4.1 Доходность, учтенная при установлении тарифов %
4.2 Фактическая доходность %