Постановление Правительства РФ от 30.12.2018 N 1764

"Об утверждении Правил предоставления субсидий из федерального бюджета российским кредитным организациям на возмещение недополученных ими доходов по кредитам, выданным в 2019 - 2024 годах субъектам малого и среднего предпринимательства по льготной ставке"
Редакция от 30.12.2018 — Не действует Перейти в действующую
Показать изменения

ПРАВИТЕЛЬСТВО РОССИЙСКОЙ ФЕДЕРАЦИИ

ПОСТАНОВЛЕНИЕ
от 30 декабря 2018 г. N 1764

ОБ УТВЕРЖДЕНИИ ПРАВИЛ ПРЕДОСТАВЛЕНИЯ СУБСИДИЙ ИЗ ФЕДЕРАЛЬНОГО БЮДЖЕТА РОССИЙСКИМ КРЕДИТНЫМ ОРГАНИЗАЦИЯМ НА ВОЗМЕЩЕНИЕ НЕДОПОЛУЧЕННЫХ ИМИ ДОХОДОВ ПО КРЕДИТАМ, ВЫДАННЫМ В 2019 - 2024 ГОДАХ СУБЪЕКТАМ МАЛОГО И СРЕДНЕГО ПРЕДПРИНИМАТЕЛЬСТВА ПО ЛЬГОТНОЙ СТАВКЕ

Правительство Российской Федерации постановляет:

1. Утвердить прилагаемые Правила предоставления субсидий из федерального бюджета российским кредитным организациям на возмещение недополученных ими доходов по кредитам, выданным в 2019 - 2024 годах субъектам малого и среднего предпринимательства по льготной ставке.

2. Настоящее постановление вступает в силу с 1 января 2019 г.

Председатель Правительства
Российской Федерации
Д. МЕДВЕДЕВ

УТВЕРЖДЕНЫ
постановлением Правительства
Российской Федерации
от 30 декабря 2018 г. N 1764

ПРАВИЛА ПРЕДОСТАВЛЕНИЯ СУБСИДИЙ ИЗ ФЕДЕРАЛЬНОГО БЮДЖЕТА РОССИЙСКИМ КРЕДИТНЫМ ОРГАНИЗАЦИЯМ НА ВОЗМЕЩЕНИЕ НЕДОПОЛУЧЕННЫХ ИМИ ДОХОДОВ ПО КРЕДИТАМ, ВЫДАННЫМ В 2019 - 2024 ГОДАХ СУБЪЕКТАМ МАЛОГО И СРЕДНЕГО ПРЕДПРИНИМАТЕЛЬСТВА ПО ЛЬГОТНОЙ СТАВКЕ

1. Настоящие Правила устанавливают цели, условия и порядок предоставления субсидий из федерального бюджета российским кредитным организациям на возмещение недополученных ими доходов по кредитам, выданным в 2019 - 2024 годах субъектам малого и среднего предпринимательства по льготной ставке (далее соответственно - субсидии, кредиты, заемщики).

2. Субсидии предоставляются российским кредитным организациям, отобранным в соответствии с настоящими Правилами (далее - уполномоченные банки), за исключением случая, предусмотренного абзацем четвертым пункта 44 настоящих Правил, по кредитам, выданным по кредитным договорам (соглашениям), процентная ставка по которым на период предоставления уполномоченному банку субсидии по кредитному договору (соглашению) в соответствии с настоящими Правилами устанавливается в размере ключевой ставки Центрального банка Российской Федерации, действующей на дату заключения кредитного договора (соглашения), увеличенной не более чем на 2 процента годовых, но не более 8,5 процента годовых (далее - программа субсидирования).

3. Субсидии предоставляются ежемесячно Министерством экономического развития Российской Федерации в пределах бюджетных ассигнований, предусмотренных в федеральном законе о федеральном бюджете на соответствующий финансовый год и плановый период, и лимитов бюджетных обязательств, доведенных в установленном порядке до Министерства экономического развития Российской Федерации как получателя средств федерального бюджета в очередном финансовом году на цели, предусмотренные пунктом 1 настоящих Правил (далее - лимит бюджетных обязательств).

4. Понятия, используемые в настоящих Правилах, означают следующее:

"кредитный договор (соглашение)" - кредитный договор (соглашение) на инвестиционные цели или кредитный договор (соглашение) на пополнение оборотных средств;

"кредитный договор (соглашение) на инвестиционные цели" - кредитный договор, по которому уполномоченный банк предоставляет заемщику, осуществляющему деятельность в одной или нескольких приоритетных отраслях (видах деятельности), предусмотренных приложением N 1, кредит на приобретение и (или) создание (сооружение, изготовление, достройку, дооборудование, реконструкцию, модернизацию и техническое перевооружение) основных средств (включая строительство, реконструкцию, модернизацию объектов капитального строительства, в том числе выполнение инженерных изысканий, подготовку проектной документации для их строительства, реконструкции, модернизации) в размере от 3 млн. рублей до 1 млрд. рублей на срок до 10 лет;

"кредитный договор (соглашение) на пополнение оборотных средств" - кредитный договор, по которому уполномоченный банк предоставляет заемщику, осуществляющему деятельность в одной или нескольких приоритетных отраслях (видах деятельности), предусмотренных приложением N 1 к настоящим Правилам, кредит на пополнение оборотных средств в размере от 3 млн. рублей до 100 млн. рублей на срок до 3 лет;

"реестр заемщиков" - сформированный уполномоченным банком по форме согласно приложению N 2 реестр заемщиков, заключивших кредитные договоры (соглашения) в очередном финансовом году.

5. В целях предоставления субсидий Министерство экономического развития Российской Федерации образует комиссию по вопросам предоставления субсидий (далее - комиссия) и утверждает ее состав.

В состав комиссии включаются представители Министерства экономического развития Российской Федерации, иных федеральных органов исполнительной власти, акционерного общества "Федеральная корпорация по развитию малого и среднего предпринимательства" (далее - корпорация), а также могут включаться представители общероссийских общественных объединений, выражающих интересы субъектов малого и среднего предпринимательства. При этом представители корпорации должны составлять не менее трети состава комиссии.

Комиссию возглавляет председатель, являющийся представителем Министерства экономического развития Российской Федерации. Заместителем председателя комиссии является представитель корпорации.

6. Комиссия выполняет следующие функции:

а) рассматривает заявки российских кредитных организаций на участие в отборе в целях участия в программе субсидирования (далее - заявка на отбор) и прилагаемые к ним документы, представленные в соответствии с пунктом 24 настоящих Правил, и заключения корпорации о проверке соответствия указанных российских кредитных организаций критериям, установленным пунктами 14 и 15 настоящих Правил;

б) утверждает перечень уполномоченных банков и принимает решение об установлении лимита субсидии для уполномоченных банков либо об отказе в установлении лимита субсидии с указанием причин отказа, а также согласовывает планы-графики ежемесячной выдачи уполномоченными банками кредитов заемщикам;

в) рассматривает заявления на получение субсидии и прилагаемые к ним документы, представленные в соответствии с пунктом 3 8 настоящих Правил, заключения корпорации о проверке соответствия указанных документов требованиям, предусмотренным пунктами 17 и 19 настоящих Правил, и принимает решение о предоставлении уполномоченному банку субсидии либо об отказе в ее предоставлении с указанием причин отказа;

г) осуществляет иные функции и принимает иные решения, предусмотренные настоящими Правилами.

7. Порядок взаимодействия Министерства экономического развития Российской Федерации и корпорации, а также подготовки корпорацией заключений, указанных в подпунктах "а" и "в" пункта 6 настоящих Правил, утверждается комиссией.

8. Заседания комиссии проводятся по мере необходимости председателем комиссии, а в его отсутствие - заместителем председателя комиссии (далее - председательствующий на заседании). Заседания комиссии считаются правомочными, если на них присутствуют более половины ее членов. Заседания комиссии могут быть организованы в заочной форме. При этом голосование по доверенности не допускается.

9. Решения комиссии принимаются открытым голосованием не менее чем двумя третями голосов присутствующих на заседании членов комиссии. При голосовании каждый член комиссии обладает одним голосом. При равенстве голосов принятым считается решение, за которое проголосовал председательствующий на заседании. В случае несогласия с принятым решением член комиссии вправе в письменной форме изложить свое мнение.

10. По результатам рассмотрения вопросов на заседаниях комиссии принимаются решения, которые оформляются протоколами. Протоколы заседаний подписываются председательствующим на заседании и секретарем комиссии. Изложенные в письменной форме мнения членов комиссии (при их наличии) подлежат обязательному приобщению к протоколу заседания комиссии.

11. Секретарь комиссии не позднее чем за 3 рабочих дня до дня заседания комиссии уведомляет членов комиссии о проведении заседания, осуществляет подготовку материалов к заседаниям комиссии, ведет протоколы заседаний комиссии, доводит решения комиссии до сведения заинтересованных лиц и контролирует выполнение решений комиссии, а также подписывает выписки из протоколов заседаний комиссии.

12. Информационное и организационно-техническое обеспечение деятельности комиссии осуществляет Министерство экономического развития Российской Федерации с участием корпорации.

13. Отбор российских кредитных организаций в качестве уполномоченных банков осуществляется комиссией по общим и специальным критериям.

14. Общими критериями отбора российской кредитной организации в качестве уполномоченного банка являются:

а) соблюдение российской кредитной организацией (за исключением кредитных организаций, имеющих место нахождения на территории Республики Крым и (или) в г. Севастополе) на 1-е число месяца, предшествующего месяцу, в котором подана заявка на отбор, установленных Центральным банком Российской Федерации обязательных нормативов;

б) соответствие следующим условиям:

российская кредитная организация по состоянию на любую дату после 1-го числа месяца, предшествующего месяцу, в котором подана заявка на отбор, не имеет неисполненной обязанности по уплате налогов, сборов, страховых взносов, пеней, штрафов и процентов, подлежащих уплате в соответствии с законодательством Российской Федерации о налогах и сборах;

российская кредитная организация по состоянию на любую дату после 1-го числа месяца, предшествующего месяцу, в котором подана заявка на отбор, не имеет просроченной задолженности по возврату в федеральный бюджет субсидий, бюджетных инвестиций, предоставленных из федерального бюджета в том числе в соответствии с иными правовыми актами Российской Федерации, и иной просроченной задолженности перед федеральным бюджетом;

российская кредитная организация на дату подачи заявки на отбор не находится в процессе реорганизации, ликвидации и банкротства;

российская кредитная организация на дату подачи заявки на отбор не является иностранным юридическим лицом, а также российским юридическим лицом, в уставном (складочном) капитале которого доля участия иностранных юридических лиц, местом регистрации которых является государство или территория, включенные в утверждаемый Министерством финансов Российской Федерации перечень государств и территорий, предоставляющих льготный налоговый режим налогообложения и (или) не предусматривающих раскрытия и предоставления информации при проведении финансовых операций (офшорные зоны), в совокупности превышает 50 процентов;

российская кредитная организация на дату подачи заявки на отбор не получает средства из федерального бюджета на основании иных нормативных правовых актов на цели, предусмотренные пунктом 1 настоящих Правил.

15. Специальными критериями отбора российской кредитной организации в качестве уполномоченного банка являются:

а) для кредитных организаций, у которых на 1-е число месяца, предшествующего месяцу, в котором подана заявка на отбор, размер собственных средств (капитала), рассчитываемый в соответствии с требованиями, установленными Центральным банком Российской Федерации, превышает 100 млрд. рублей, либо имеющих территориальное подразделение в Республике Крым и (или) в г. Севастополе и предоставляющих кредиты субъектам малого и среднего предпринимательства, зарегистрированным в Республике Крым и (или) в г. Севастополе в соответствии с законодательством Российской Федерации, либо являющихся дочерними обществами корпорации, либо имеющих статус банка с базовой лицензией:

наличие опыта кредитования субъектов малого и среднего предпринимательства в течение 24 месяцев по состоянию на 1-е число месяца, предшествующего месяцу, в котором подана заявка на отбор;

наличие на 1-е число месяца, предшествующего месяцу, в котором подана заявка на отбор, структурного подразделения, осуществляющего кредитование субъектов малого и среднего предпринимательства и мониторинг выданных кредитов, включая мониторинг целевого использования кредитных средств;

б) для кредитных организаций, у которых на 1-е число месяца, предшествующего месяцу, в котором подана заявка на отбор, размер собственных средств (капитала), рассчитываемый в соответствии с требованиями, установленными Центральным банком Российской Федерации, составляет от 50 млрд. до 100 млрд. рублей включительно, дополнительно к требованиям, предусмотренным подпунктом "а" настоящего пункта:

доля кредитов субъектов малого и среднего предпринимательства и банковских гарантий, выданных по обязательствам субъектов малого и среднего предпринимательства, в совокупном объеме кредитов нефинансовым организациям и индивидуальным предпринимателям и банковских гарантий, выданных по обязательствам указанных лиц, без учета кредитов, предоставленных субъектам Российской Федерации и муниципальным образованиям, и банковских гарантий, выданных по обязательствам субъектов Российской Федерации и муниципальных образований (далее - корпоративный кредитный портфель) на 1-е число месяца, предшествующего месяцу, в котором подана заявка на отбор, составляет не менее 15 процентов либо прирост суммы кредитов, предоставленных субъектам малого и среднего предпринимательства, и банковских гарантий, выданных по обязательствам субъектов малого и среднего предпринимательства, за предшествующий календарный год равен или превышает прирост суммы кредитов и банковских гарантий корпоративного кредитного портфеля за аналогичный отчетный период;

в) для кредитных организаций, у которых на 1-е число месяца, предшествующего месяцу, в котором подана заявка на отбор, размер собственных средств (капитала), рассчитываемых в соответствии с требованиями, установленными Центральным банком Российской Федерации, составляет менее 50 млрд. рублей, дополнительно к требованиям, предусмотренным абзацами вторым и третьим подпункта "а" и абзацем вторым подпункта "б" настоящего пункта, - соответствие кредитной организации одному из следующих критериев:

доля кредитов субъектов малого и среднего предпринимательства и банковских гарантий, выданных по обязательствам субъектов малого и среднего предпринимательства, в корпоративном кредитном портфеле составляет на 1-е число месяца, предшествующего месяцу, в котором подана заявка на отбор, не менее 50 процентов;

объем кредитов субъектов малого и среднего предпринимательства и банковских гарантий, выданных по обязательствам субъектов малого и среднего предпринимательства, в корпоративном кредитном портфеле на 1-е число месяца, предшествующего месяцу, в котором подана заявка на отбор, составляет не менее 10 млрд. рублей.

16. Решение о дате отбора российских кредитных организаций в целях участия в программе субсидирования принимается комиссией. Извещение о приеме заявок на отбор и прилагаемых к ним документов от российских кредитных организаций размещается на официальном сайте Министерства экономического развития Российской Федерации в информационно-телекоммуникационной сети "Интернет" и должно содержать следующие сведения:

а) адрес Министерства экономического развития Российской Федерации;

б) адрес, по которому осуществляется прием заявок на отбор и документов от российских кредитных организаций, дата, время начала и окончания приема таких заявок и документов;

в) контактная информация Министерства экономического развития Российской Федерации (телефоны, адреса электронной почты);

г) суммарный объем кредитов, планируемый к предоставлению до конца очередного финансового года субъектам малого и среднего предпринимательства в рамках программы субсидирования, определяемый комиссией (далее - плановый суммарный объем кредитов). При принятии комиссией решения о дополнительном отборе российских кредитных организаций в случае, указанном в абзаце четырнадцатом пункта 28 настоящих Правил, плановый суммарный объем кредитов определяется в размере, рассчитанном как разница между первоначально определенным суммарным объемом кредитов, планируемым к предоставлению до конца очередного финансового года субъектам малого и среднего предпринимательства в рамках программы субсидирования, и предложенным уполномоченными банками совокупным объемом выдачи кредитов в рамках программы субсидирования по ставке максимально возможного размера.

17. Субсидии предоставляются уполномоченным банкам при соответствии кредитных договоров (соглашений) следующим условиям:

а) уполномоченным банком в 2019 - 2024 годах с заемщиком заключен кредитный договор (соглашение), предусматривающий обязательства уполномоченного банка предоставить заемщику кредит на условиях, предусмотренных настоящими Правилами;

б) кредит предоставлен заемщику по кредитному договору (соглашению) на инвестиционные цели или по кредитному договору (соглашению) на пополнение оборотных средств;

в) процентная ставка по кредиту для заемщика должна быть установлена в размере ключевой ставки Центрального банка Российской Федерации, действующей на дату заключения кредитного договора (соглашения), увеличенной не более чем на 2 процента годовых, но не более 8,5 процента годовых на период предоставления уполномоченному банку субсидии по кредитному договору (соглашению) в соответствии с настоящими Правилами;

г) на период предоставления уполномоченному банку субсидии кредитный договор (соглашение) не предусматривает взимания с заемщика комиссий и сборов, иных платежей, за исключением платы за пользование лимитом кредитной линии (за резервирование кредитной линии), взимаемой за не использованный заемщиком остаток лимита кредитной линии, платы за досрочное погашение кредита, а также штрафных санкций в случае неисполнения заемщиком условий кредитного договора (соглашения);

д) совокупный объем кредитов, которые могут быть выданы одному заемщику по кредитным договорам (соглашениям), предусматривающим предоставление заемщику единовременного кредита или невозобновляемой кредитной линии (кредитной линии с лимитом выдачи) в течение 1 финансового года, не может превышать 1 млрд. рублей на инвестиционные цели и 100 млн. рублей на пополнение оборотных средств;

е) кредитный договор (соглашение) предусматривает получение заемщиком кредита в рублях.

18. Субсидии в очередном финансовом году на возмещение недополученных доходов уполномоченных банков по кредитам, включая кредитные транши, которые выданы после 30 ноября очередного финансового года, не предоставляются.

19. Предоставление субсидии уполномоченным банкам не допускается:

а) по кредитным договорам (соглашениям), которые были рефинансированы в рамках программы стимулирования кредитования субъектов малого и среднего предпринимательства, предусматривающей предоставление уполномоченным банкам кредитов Центрального банка Российской Федерации, обеспеченных поручительствами корпорации;

б) в случае, если совокупный объем кредитов, которые на последний день отчетного месяца выданы уполномоченным банком одному заемщику в течение финансового года по кредитным договорам (соглашениям), предусматривающим предоставление заемщику единовременного кредита или невозобновляемой кредитной линии (кредитной линии с лимитом выдачи), и суммарный среднедневной остаток ссудной задолженности указанного заемщика перед уполномоченным банком за отчетный месяц по кредитным договорам (соглашениям), предусматривающим предоставление заемщику возобновляемой кредитной линии (кредитной линии с лимитом задолженности), рассчитанный по формуле, указанной в пункте 42 настоящих Правил, превысил 1 млрд. рублей по инвестиционным кредитам или 100 млн. рублей по кредитам на пополнение оборотных средств.

20. Заемщик на день заключения кредитного договора (соглашения) должен соответствовать следующим требованиям:

а) заемщик является субъектом малого или среднего предпринимательства и не относится к субъектам малого и среднего предпринимательства, указанным в частях 3 и 4 статьи 14 Федерального закона "О развитии малого и среднего предпринимательства в Российской Федерации";

б) заемщик осуществляет деятельность в одной или нескольких отраслях или видах деятельности по перечню согласно приложению N 1 к настоящим Правилам;

в) заемщик обладает статусом налогового резидента Российской Федерации;

г) в отношении заемщика не возбуждено производство по делу о несостоятельности (банкротстве) в соответствии с законодательством Российской Федерации о несостоятельности (банкротстве);

д) заемщик не имеет по состоянию на любую дату в течение периода, равного 30 календарным дням, предшествующего дате заключения кредитного договора (соглашения), просроченной задолженности по налогам, сборам и иным обязательным платежам в бюджеты бюджетной системы Российской Федерации;

е) заемщик не имеет задолженности перед работниками (персоналом) по заработной плате;

ж) заемщик не имеет в течение периода, равного 180 календарным дням, предшествующего не более чем на 3 месяца дате принятия уполномоченным банком решения о предоставлении заемщику кредита, просроченных на срок свыше 30 календарных дней платежей, направленных на исполнение обязательств заемщика по кредитным договорам (договорам займа), договорам поручительства, а также требований по возмещению заемщиком гаранту выплаченных в соответствии с условиями банковской гарантии денежных сумм (положительная кредитная история).

21. Заемщик самостоятельно выбирает уполномоченный банк для получения кредита. Уполномоченный банк рассматривает возможность предоставления кредита в соответствии с правилами и процедурами, принятыми в уполномоченном банке.

22. Заемщик, претендующий на получение кредита, представляет в уполномоченный банк документы в соответствии с требованиями настоящих Правил и уполномоченного банка.

Ответственность за несоответствие заемщиков требованиям, указанным в пункте 20 настоящих Правил, а также за нецелевое использование кредита несет уполномоченный банк.

23. Предоставленные уполномоченным банком заемщику кредитные средства в соответствии с кредитным договором (соглашением) не могут быть размещены на депозитах, а также в иных финансовых инструментах.

24. Российские кредитные организации в течение 10 рабочих дней со дня размещения извещения, указанного в пункте 16 настоящих Правил, представляют в Министерство экономического развития Российской Федерации заявку на отбор по форме согласно приложению N 3, к которой прилагаются следующие документы:

а) предварительный план-график ежемесячной выдачи кредитов заемщикам в очередном финансовом году, сформированный с учетом требований пункта 30 настоящих Правил, применительно к каждому варианту в рамках предложения по объемам предоставления кредитов и по ставке субсидирования в рамках программы субсидирования, предусмотренного подпунктом "м" настоящего пункта;

б) сведения о государственной регистрации российской кредитной организации в качестве юридического лица и копия лицензии на осуществление банковских операций, выданной Центральным банком Российской Федерации;

в) заверенные кредитной организацией или нотариально удостоверенные копии учредительных документов российской кредитной организации;

г) справка, подписанная руководителем и главным бухгалтером или уполномоченными лицами кредитной организации, действующими на основании доверенности (далее - уполномоченные лица российской кредитной организации), скрепленная печатью (при наличии) российской кредитной организации, с указанием банковских реквизитов и счетов, на которые следует перечислять субсидию;

д) отчетность, подготовленная по форме, утвержденной Центральным банком Российской Федерации, содержащая информацию об обязательных нормативах и о других показателях деятельности кредитной организации, по состоянию на 1-е число месяца, предшествующего месяцу, в котором подана заявка на отбор;

е) справка, подписанная руководителем и главным бухгалтером или уполномоченными лицами российской кредитной организации, скрепленная печатью (при наличии) российской кредитной организации, подтверждающая, что на дату подачи заявки на отбор российская кредитная организация соответствует критериям, предусмотренным абзацами четвертым и шестым подпункта "б" пункта 14 настоящих Правил;

ж) справка налогового органа, полученная на любую дату после 1-го числа месяца, предшествующего месяцу, в котором подана заявка на отбор, подтверждающая отсутствие у российской кредитной организации неисполненной обязанности по уплате налогов, сборов, страховых взносов, пеней, штрафов, процентов, подлежащих уплате в соответствии с законодательством Российской Федерации о налогах и сборах (в случае непредставления такого документа Министерство экономического развития Российской Федерации запрашивает его самостоятельно);

з) отчетность кредитной организации, подготовленная по форме для расчета собственных средств (капитала), утвержденной Центральным банком Российской Федерации, по состоянию на 1-е число месяца, предшествующего месяцу, в котором подана заявка на отбор;

и) справка, составленная по состоянию на любую дату после 1-го числа месяца, предшествующего месяцу, в котором подана заявка на отбор, подписанная руководителем и главным бухгалтером или уполномоченными лицами российской кредитной организации, скрепленная печатью (при наличии) российской кредитной организации, с информацией об опыте кредитования субъектов малого и среднего предпринимательства в течение предшествовавших 24 месяцев, содержащая сведения об объеме корпоративного кредитного портфеля российской кредитной организации на начало и конец каждого 12-месячного периода с указанием объема и доли кредитов, предоставленных субъектам малого и среднего предпринимательства, и банковских гарантий, выданных по обязательствам субъектов малого и среднего предпринимательства, в корпоративном кредитном портфеле;

к) заверенная кредитной организацией копия положения о структурном подразделении российской кредитной организации, осуществляющем кредитование субъектов малого и среднего предпринимательства, в том числе контроль за целевым расходованием заемщиком кредитных средств;

л) доверенность уполномоченного лица российской кредитной организации, удостоверяющая право такого лица на подписание заявки на отбор и (или) иных документов для участия российской кредитной организации в отборе (в случае, если указанные заявка и (или) документы подписаны уполномоченным лицом российской кредитной организации);

м) предложение российской кредитной организации по форме согласно приложению N 4.

25. Министерство экономического развития Российской Федерации:

а) регистрирует в порядке очередности заявки на отбор и прилагаемые к ним документы, указанные в пункте 24 настоящих Правил, в течение 5 рабочих дней со дня их поступления проверяет их комплектность и соответствие их оформления требованиям, предусмотренным пунктом 24 настоящих Правил, и направляет в корпорацию копии таких заявок и документов для подготовки заключения, предусмотренного подпунктом "а" пункта 6 настоящих Правил, в порядке, утвержденном в соответствии с пунктом 7 настоящих Правил. Указанный срок может быть продлен Министерством экономического развития Российской Федерации не более чем на 10 рабочих дней в целях получения от российской кредитной организации непредставленных документов из числа указанных в пункте 24 настоящих Правил и (или) документов, оформленных в соответствии с требованиями, предусмотренными пунктом 24 настоящих Правил;

б) в течение 5 рабочих дней со дня поступления заключения корпорации, предусмотренного подпунктом "а" пункта 6 настоящих Правил, направляет его, а также заявку на отбор и документы, указанные в пункте 24 настоящих Правил, на рассмотрение комиссии;

в) в течение 3 рабочих дней со дня принятия комиссией решения о включении российских кредитных организаций в перечень уполномоченных банков, предусмотренный подпунктом "б" пункта 6 настоящих Правил, об установлении лимитов субсидий для уполномоченных банков, а также об установлении планового объема выдачи кредитов для уполномоченных банков и ставки субсидирования в рамках программы субсидирования направляет таким кредитным организациям уведомления по форме согласно приложению N 5 с приложением согласованных комиссией планов-графиков ежемесячной выдачи кредитов заемщикам, а в случае принятия комиссией решения о невключении российских кредитных организаций в указанный перечень - уведомления об отказе во включении с указанием причин отказа в течение 3 рабочих дней со дня принятия такого решения;

г) в течение 3 рабочих дней со дня принятия комиссией решения об установлении планового суммарного объема кредитов на очередной финансовый год направляет в адрес уполномоченных банков, в том числе банков, которым по состоянию на дату принятия комиссией указанного решения уменьшен плановый объем выдачи кредитов в рамках программы субсидирования в соответствии с пунктом 31 настоящих Правил, а также банков, которым в соответствии с пунктом 28 настоящих Правил плановый объем выдачи кредитов в рамках программы субсидирования установлен не был, уведомление с указанием на необходимость представления в Министерство экономического развития Российской Федерации в срок не позднее 3 рабочих дней со дня получения указанного уведомления предложения уполномоченного банка по форме согласно приложению N 4 к настоящим Правилам с приложением предварительного плана-графика ежемесячной выдачи кредитов заемщикам в очередном финансовом году;

д) в течение 3 рабочих дней со дня принятия комиссией решения об увеличении общего лимита субсидий, предоставляемых уполномоченным банкам в очередном финансовом году в связи с соответствующим изменением размера лимита бюджетных обязательств, доведенных до Министерства экономического развития Российской Федерации как получателя средств федерального бюджета на эти цели, либо о перераспределении общего лимита субсидий между уполномоченными банками в соответствии с пунктом 32 настоящих Правил направляет в адрес уполномоченных банков, в том числе банков, которым по состоянию на дату принятия комиссией указанного решения уменьшен плановый объем выдачи кредитов в рамках программы субсидирования в соответствии с пунктом 31 настоящих Правил, а также банков, которым в соответствии с пунктом 28 настоящих Правил плановый объем выдачи кредитов в рамках программы субсидирования установлен не был, уведомление с указанием на необходимость представления в Министерство экономического развития Российской Федерации в срок не позднее 3 рабочих дней со дня получения указанного уведомления предложения по объемам (дополнительным объемам) предоставления в текущем финансовом году кредитов в рамках программы субсидирования по ставке субсидирования, установленной в текущем финансовом году в соответствии с пунктом 28 настоящих Правил, с приложением предварительного плана-графика ежемесячной выдачи кредитов заемщикам или заявления об отказе от установления (увеличения) лимита субсидии для уполномоченного банка;

е) в течение 3 рабочих дней со дня поступления предложения уполномоченного банка, указанного в подпункте "г" настоящего пункта, с приложением предварительного плана-графика ежемесячной выдачи кредитов заемщикам в очередном финансовом году либо указанных в подпункте "д" настоящего пункта предложения уполномоченного банка с приложением предварительного плана-графика ежемесячной выдачи кредитов заемщикам или заявления об отказе от установления (увеличения) лимита субсидии для уполномоченного банка направляет их на рассмотрение комиссии;

ж) в течение 3 рабочих дней со дня принятия комиссией решения об установлении лимита субсидии для уполномоченного банка, а также об установлении планового объема выдачи кредитов и ставки субсидирования в рамках программы субсидирования на очередной финансовый год на основании предложения уполномоченного банка, представленного в соответствии с подпунктом "г" настоящего пункта, или решения об установлении (увеличении) лимита субсидии для уполномоченного банка, а также об установлении объема (дополнительного объема) выдачи кредитов в рамках программы субсидирования по ставке субсидирования, установленной в очередном финансовом году в соответствии с пунктом 28 настоящих Правил, на основании предложения уполномоченного банка, представленного в соответствии с подпунктом "д" настоящего пункта, направляет в адрес уполномоченного банка уведомление по форме согласно приложению N 5 к настоящим Правилам с приложением согласованного комиссией плана-графика ежемесячной выдачи кредитов заемщикам.

26. Корпорация в течение 10 рабочих дней со дня поступления копий заявок на отбор и документов, указанных в пункте 24 настоящих Правил, осуществляет подготовку заключения, предусмотренного подпунктом "а" пункта 6 настоящих Правил, в порядке, утвержденном в соответствии с пунктом 7 настоящих Правил, а также предварительного расчета лимитов субсидий, предоставляемых уполномоченным банкам, и направление их в Министерство экономического развития Российской Федерации. Указанный срок может быть продлен корпорацией не более чем на 10 рабочих дней в целях получения от Министерства экономического развития Российской Федерации непредставленных документов из числа указанных в пункте 24 настоящих Правил и (или) документов, оформленных в соответствии с требованиями, предусмотренными пунктом 24 настоящих Правил.

В заключении, предусмотренном подпунктом "а" пункта 6 настоящих Правил, указываются результаты проверки корпорацией соответствия российских кредитных организаций критериям, установленным пунктами 14 и 15 настоящих Правил.

В случае если в заключении, предусмотренном подпунктом "а" пункта 6 настоящих Правил, содержатся выводы о несоответствии российской кредитной организации критериям, установленным пунктами 14 и 15 настоящих Правил, предварительный расчет лимитов субсидий, предоставляемых уполномоченным банкам, корпорацией не производится.

27. Общий лимит субсидий, предоставляемых уполномоченным банкам в очередном финансовом году, определяется комиссией в размере, не превышающем общий объем лимита бюджетных обязательств, доведенных до Министерства экономического развития Российской Федерации как получателя средств федерального бюджета на эти цели.

28. Ставка субсидирования на очередной финансовый год в рамках программы субсидирования определяется на основании:

предложений российских кредитных организаций, предоставленных в соответствии с подпунктом "м" пункта 24 настоящих Правил;

предложений уполномоченных банков, представленных в соответствии с подпунктом "д" пункта 25 настоящих Правил.

Ставка субсидирования на очередной финансовый год устанавливается в размере минимальной ставки, при которой предложенный уполномоченными банками совокупный объем выдачи кредитов в рамках программы субсидирования является максимальным.

Комиссия устанавливает ставку субсидирования в пределах значений, предусмотренных приложением N 4 к настоящим Правилам, для уполномоченных банков, включенных в перечень системно значимых кредитных организаций в соответствии с требованиями, установленными Центральным банком Российской Федерации (далее - системно значимые кредитные организации), и для иных уполномоченных банков.

Плановый объем выдачи кредитов в рамках программы субсидирования для каждого уполномоченного банка определяется как объем предоставления кредитов в рамках программы субсидирования, предложенный уполномоченным банком по ставке субсидирования, определенной в соответствии с абзацем четвертым настоящего пункта.

В случае если ставка субсидирования установлена в размере минимальной ставки, при которой предложенный уполномоченными банками совокупный объем выдачи кредитов в рамках программы субсидирования превысил установленный плановый суммарный объем кредитов, плановый объем выдачи кредитов в рамках программы субсидирования для каждого уполномоченного банка () определяется по формуле:

,

где:

- объем предоставления кредитов в рамках программы субсидирования, предложенный уполномоченным банком по ставке субсидирования, определенной в соответствии с абзацем четвертым настоящего пункта;

3 - плановый суммарный объем кредитов, определенный комиссией;

П - совокупный объем предоставления кредитов в рамках программы субсидирования, предложенный всеми уполномоченными банками по ставке субсидирования, определенной в соответствии с абзацем четвертым настоящего пункта.

При этом предусмотренный предварительным планом-графиком ежемесячной выдачи кредитов заемщикам объем выдачи кредитов в каждом месяце соответствующего финансового года, предложенный уполномоченным банком по ставке субсидирования, которая определена в соответствии с абзацем четвертым настоящего пункта, подлежит корректировке путем умножения на величину, рассчитываемую как отношение планового суммарного объема кредитов, определенного комиссией, к совокупному объему предоставления кредитов в рамках программы субсидирования, предложенному всеми уполномоченными банками по ставке субсидирования, определенной в соответствии с абзацем четвертым настоящего пункта.

В случае если при установлении максимально возможного размера ставки субсидирования предложенный уполномоченными банками совокупный объем выдачи кредитов в рамках программы субсидирования по такой ставке менее установленного планового суммарного объема кредитов, комиссия принимает решение об установлении максимально возможного размера ставки субсидирования, а также о дополнительном отборе российских кредитных организаций в целях участия в программе субсидирования.

В случае если по ставке субсидирования, определенной в соответствии с абзацем четвертым настоящего пункта, уполномоченным банком не предложен объем предоставления кредитов в рамках программы субсидирования, комиссия принимает решение об отказе в установлении планового объема выдачи кредитов и лимита субсидии в рамках программы субсидирования для такого уполномоченного банка.

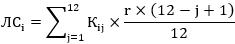
29. Лимит субсидии для каждого уполномоченного банка на соответствующий финансовый год () определяется по следующей формуле:

,

где:

j - номер месяца (для января j=1, для февраля j=2 и т.д.);

- объем кредитов i-го уполномоченного банка, планируемый к предоставлению субъектам малого и среднего предпринимательства в j-м месяце соответствующего финансового года (в соответствии с планами-графиками ежемесячной выдачи кредитов. При этом , где ; - плановый объем выдачи кредитов в рамках программы субсидирования для каждого уполномоченного банка, определенный в соответствии с пунктом 28 настоящих Правил);

г - ставка субсидирования кредитов, определенная для кредитов, предоставляемых в очередном финансовом году в соответствии с пунктом 28 настоящих Правил.

30. Уполномоченные банки, которым установлены лимит субсидии и плановый объем выдачи кредитов в рамках программы субсидирования, ежемесячно заключают кредитные договоры (соглашения) и выдают заемщикам кредиты в соответствии с согласованными комиссией планами-графиками ежемесячной выдачи кредитов заемщикам с учетом следующих требований:

на 1 апреля очередного финансового года объем выданных кредитов составляет не менее 10 процентов планового объема выдачи кредитов в рамках программы субсидирования, определенного в соответствии с пунктом 28 настоящих Правил;

на 1 июля очередного финансового года общий объем кредитов, предусмотренных заключенными уполномоченным банком кредитными договорами (соглашениями), составляет не менее 50 процентов, а объем выданных кредитов - не менее 30 процентов планового объема выдачи кредитов в рамках программы субсидирования, определенного в соответствии с пунктом 28 настоящих Правил;

на 1 октября очередного финансового года общий объем кредитов, предусмотренных заключенными уполномоченным банком кредитными договорами (соглашениями), составляет не менее 80 процентов, а объем выданных кредитов - не менее 60 процентов планового объема выдачи кредитов в рамках программы субсидирования, определенного в соответствии с пунктом 28 настоящих Правил;

на 1 января года, следующего за очередным финансовым годом, объем выданных кредитов составляет не менее 100 процентов планового объема выдачи кредитов в очередном финансовом году в рамках программы субсидирования, определенного в соответствии с пунктом 28 настоящих Правил;

для уполномоченных банков, являющихся системно значимыми кредитными организациями, на последний день каждого календарного месяца общая сумма кредитов, предусмотренных заключенными уполномоченным банком кредитными договорами (соглашениями) на инвестиционные цели, должна составлять не менее 50 процентов общей суммы кредитов, предусмотренных всеми заключенными уполномоченным банком на указанный день кредитными договорами (соглашениями) в рамках программы субсидирования;

на последний день каждого календарного месяца общая сумма кредитов, предусмотренных заключенными уполномоченным банком кредитными договорами (соглашениями) с заемщиками, которые в соответствии со статьей 4 Федерального закона "О развитии малого и среднего предпринимательства в Российской Федерации" относятся к категории микропредприятий, должна составлять не менее 10 процентов общей суммы кредитов, предусмотренных всеми заключенными уполномоченным банком на указанный день кредитными договорами (соглашениями) в рамках программы субсидирования;

на даты, предусмотренные абзацами вторым - пятым настоящего пункта, общая сумма кредитов, предусмотренных заключенными уполномоченным банком, являющимся системно значимой кредитной организацией, кредитными договорами (соглашениями) с заемщиками в 2 федеральных округах Российской Федерации, должна составлять не более 50 процентов общей суммы кредитов, предусмотренных всеми заключенными уполномоченным банком на указанные даты кредитными договорами (соглашениями) в рамках программы субсидирования.

31. В случае если по состоянию на любую из предусмотренных абзацами вторым - пятым пункта 30 настоящих Правил дат объем выданных уполномоченным банком кредитов в рамках программы субсидирования составляет менее размера, предусмотренного указанными абзацами, для такого уполномоченного банка лимит субсидии в рамках программы субсидирования со дня, следующего за соответствующей датой, устанавливается в размере, который рассчитывается как произведение лимита субсидии для уполномоченного банка, определенного в соответствии с пунктом 29 настоящих Правил, и отношения фактического объема выданных уполномоченным банком на соответствующую дату кредитов к требуемому объему выдачи кредитов, предусмотренному соответственно абзацем вторым, третьим, четвертым или пятым пункта 30 настоящих Правил.

В случае если на последний день календарного месяца общая сумма кредитных договоров (соглашений) на инвестиционные цели, заключенных уполномоченным банком, являющимся системно значимой кредитной организацией, составила менее 50 процентов общей суммы всех заключенных уполномоченным банком на указанный день кредитных договоров (соглашений) в рамках программы субсидирования, и до последнего дня месяца, следующего за месяцем, в котором допущено это нарушение, уполномоченный банк не достигает указанного значения общей суммы кредитных договоров (соглашений) на инвестиционные цели, предоставление субсидий в соответствии с настоящими Правилами такому уполномоченному банку приостанавливается. Такое ограничение действует до последнего дня месяца, в котором уполномоченный банк достигает указанного значения общей суммы кредитных договоров (соглашений) на инвестиционные цели.

32. Комиссия пропорционально перераспределяет часть лимита субсидии и планового объема выдачи кредитов уполномоченного банка в рамках программы субсидирования, оставшиеся после уменьшения лимита субсидии для уполномоченного банка в соответствии с абзацем первым пункта 31 настоящих Правил (далее - высвободившиеся лимит субсидии и плановый объем выдачи кредитов), между уполномоченными банками, которым в соответствии с пунктом 28 настоящих Правил плановый объем выдачи кредитов в рамках программы субсидирования установлен не был, при наличии предложений от указанных уполномоченных банков по объемам предоставления в очередном финансовом году кредитов в рамках программы субсидирования. При этом учитывается размер субсидии, необходимый для компенсации процентной ставки по ранее заключенным уполномоченным банком кредитным договорам (соглашениям) в рамках программы субсидирования.

Если в случаях и в порядке, которые предусмотрены абзацем первым настоящего пункта, высвободившиеся лимит субсидии и плановый объем выдачи кредитов не были перераспределены полностью или частично между уполномоченными банками, которым в соответствии с пунктом 28 настоящих Правил плановый объем выдачи кредитов в рамках программы субсидирования установлен не был, комиссия пропорционально перераспределяет их между уполномоченными банками, которым ранее были определены лимит субсидии и плановый объем выдачи кредитов в рамках программы субсидирования и которые выполнили условие, предусмотренное абзацем седьмым пункта 30 настоящих Правил, при наличии предложений от указанных уполномоченных банков по дополнительным объемам предоставления в очередном финансовом году кредитов в рамках программы субсидирования.

Комиссия перераспределяет высвободившийся плановый объем выдачи кредитов в рамках программы субсидирования исходя из ставки субсидирования, установленной в соответствии с пунктом 28 настоящих Правил.

33. Субсидия предоставляется уполномоченному банку на основании соглашения о предоставлении субсидии, заключенного между Министерством экономического развития Российской Федерации и уполномоченным банком (далее - соглашение о предоставлении субсидии) по типовой форме, установленной Министерством финансов Российской Федерации.

В случае принятия комиссией решения о перераспределении лимита субсидии для уполномоченного банка между другими уполномоченными банками, которым ранее был определен лимит субсидии, комиссия рекомендует Министерству экономического развития Российской Федерации заключить с уполномоченными банками дополнительные соглашения к соглашениям о предоставлении субсидий об изменении лимита субсидии и планового объема выдачи кредитов в рамках программы субсидирования.

Требования, предусмотренные пунктом 30 настоящих Правил, выполняются уполномоченными банками применительно к дополнительным объемам кредитов, предусмотренным заключенными уполномоченным банком дополнительными соглашениями к соглашениям о предоставлении субсидий, начиная со дня заключения таких дополнительных соглашений.

34. Для получения субсидии уполномоченный банк в течение 10 календарных дней со дня получения от Министерства экономического развития Российской Федерации уведомления об установлении лимита субсидии представляет в Министерство экономического развития Российской Федерации заявление о заключении соглашения о предоставлении субсидии (в произвольной форме), подписанное руководителем уполномоченного банка или уполномоченным им лицом (с представлением документов, подтверждающих полномочия этого лица).

35. В соглашении о предоставлении субсидии предусматриваются:

а) сроки, цели, условия и порядок предоставления субсидии;

б) согласие уполномоченного банка на осуществление Министерством экономического развития Российской Федерации и уполномоченным органом государственного финансового контроля проверок соблюдения уполномоченным банком целей, условий и порядка предоставления субсидий в соответствии с настоящими Правилами и соглашением о предоставлении субсидии;

в) значение показателя результативности предоставления субсидии, предусмотренного пунктом 49 настоящих Правил;

г) ответственность уполномоченного банка за нарушение условий предоставления субсидии;

д) порядок и сроки возврата в доход федерального бюджета уполномоченным банком предоставленной субсидии в случае установления по итогам проверок, проведенных Министерством экономического развития Российской Федерации и (или) уполномоченным органом государственного финансового контроля, факта нарушения целей, условий и порядка предоставления субсидии;

е) основания и порядок расторжения соглашения о предоставлении субсидии;

ж) перечень документов, представляемых уполномоченным банком для получения субсидии, и порядок их представления;

з) размер субсидии, рассчитанный в соответствии с пунктом 29 настоящих Правил, и плановый объем выдачи кредитов в рамках программы субсидирования, установленный в соответствии с пунктом 28 настоящих Правил;

и) реквизиты счета, на который перечисляются денежные средства в случае принятия положительного решения о предоставлении субсидии;

к) порядок и сроки возврата уполномоченным банком соответствующих средств в федеральный бюджет в случае недостижения показателя результативности предоставления субсидии, предусмотренного пунктом 49 настоящих Правил;

л) порядок, формы и сроки представления отчетности о достижении показателя результативности предоставления субсидии, предусмотренного пунктом 49 настоящих Правил, определяемые Министерством экономического развития Российской Федерации.

36. Соглашение о предоставлении субсидии заключается не позднее 20 рабочих дней со дня представления уполномоченным банком в Министерство экономического развития Российской Федерации заявления, указанного в пункте 34 настоящих Правил, но не ранее даты доведения до Министерства экономического развития Российской Федерации как получателя средств федерального бюджета лимитов бюджетных обязательств на цели, указанные в пункте 1 настоящих Правил, и действует до полного исполнения обязательств, предусмотренных соглашением о предоставлении субсидии.

37. Право на получение субсидии возникает у уполномоченного банка со дня заключения соглашения о предоставлении субсидии.

Субсидии в очередном финансовом году предоставляются уполномоченному банку на основании соглашения о предоставлении субсидии в сроки, предусмотренные настоящими Правилами, после доведения лимитов бюджетных обязательств до Министерства экономического развития Российской Федерации как получателя средств федерального бюджета.

Субсидии за последний отчетный месяц предшествующего финансового года предоставляются в очередном финансовом году в пределах бюджетных ассигнований, предусмотренных федеральным законом о федеральном бюджете на соответствующий финансовый год и плановый период, и лимитов бюджетных обязательств, доведенных в установленном порядке до Министерства экономического развития Российской Федерации как получателя средств федерального бюджета.

38. Уполномоченный банк для получения субсидии представляет в Министерство экономического развития Российской Федерации не позднее 7-го рабочего дня каждого месяца следующие документы (по состоянию на конец последнего дня отчетного месяца):

заявление на получение субсидии по форме согласно приложению N 6 (далее - заявление), подписанное руководителем уполномоченного банка или уполномоченным им лицом (с представлением документов, подтверждающих полномочия этого лица);

реестр заемщиков, подписанный руководителем уполномоченного банка или уполномоченным им лицом (с представлением документов, подтверждающих полномочия этого лица);

кредитные договоры (соглашения), заключенные заемщиками, включенные в реестр заемщиков в отчетном месяце, а также дополнительные соглашения по включенным в реестр заемщиков кредитным договорам (соглашениям), заключенные в отчетном месяце и (или) в месяцах, предшествующих отчетному месяцу, в случае, если они не представлялись ранее в Министерство экономического развития Российской Федерации;

выписки по ссудному счету, подтверждающие выдачу кредита в отчетном месяце и (или) в месяцах, предшествующих отчетному месяцу, в случае, если они не представлялись ранее в Министерство экономического развития Российской Федерации;

расчет размера субсидии в соответствии с пунктом 42 настоящих Правил.

Дополнительно к документам, предусмотренным абзацами вторым - шестым настоящего пункта, уполномоченный банк представляет в Министерство экономического развития Российской Федерации уточненный план-график ежемесячной выдачи кредитов заемщикам при установлении или изменении лимита субсидии в случаях, указанных в пункте 32 настоящих Правил, а также в случае увеличения лимита субсидии для уполномоченного банка в связи с увеличением общего лимита субсидий, предоставляемых уполномоченным банкам, связанного с соответствующим изменением размера лимита бюджетных обязательств, доведенных до Министерства экономического развития Российской Федерации как получателя средств федерального бюджета на эти цели, после принятия комиссией соответствующего решения об установлении и (или) перераспределении лимита субсидии.

Документы, предусмотренные абзацами вторым, третьим и шестым настоящего пункта, могут, а документы, предусмотренные абзацами четвертым и пятым настоящего пункта, представляются в Министерство экономического развития Российской Федерации в форме электронных документов, подписанных усиленной квалифицированной электронной подписью руководителя уполномоченного банка или уполномоченного им лица. Порядок представления уполномоченным банком указанных документов в форме электронных документов утверждается комиссией.

39. Уполномоченный банк несет ответственность за некомплектность и недостоверность представленных в соответствии с пунктом 38 настоящих Правил документов.

40. Министерство экономического развития Российской Федерации:

а) регистрирует в порядке очередности заявления и прилагаемые к ним документы, указанные в пункте 38 настоящих Правил, и в течение 7 рабочих дней со дня их поступления проверяет их комплектность и соответствие их оформления требованиям, предусмотренным пунктом 38 настоящих Правил, и направляет копии таких заявлений и документов в корпорацию для подготовки заключения, предусмотренного подпунктом "в" пункта 6 настоящих Правил, в порядке, утвержденном в соответствии с пунктом 7 настоящих Правил. Указанный срок может быть продлен Министерством экономического развития Российской Федерации не более чем на 5 рабочих дней в целях получения от уполномоченного банка непредставленных документов из числа указанных в пункте 38 настоящих Правил и (или) документов, оформленных в соответствии с требованиями, предусмотренными пунктом 38 настоящих Правил;

б) в течение 5 рабочих дней со дня поступления заключения корпорации, предусмотренного подпунктом "в" пункта 6 настоящих Правил, направляет его, а также заявление и документы, указанные в пункте 38 настоящих Правил, на рассмотрение комиссии;

в) обеспечивает в установленном порядке перечисление субсидии на корреспондентский счет уполномоченного банка, открытый в учреждении Центрального банка Российской Федерации, в размере, рассчитанном в соответствии с пунктом 42 настоящих Правил, в течение 10 рабочих дней со дня принятия решения о предоставлении субсидии.

41. Корпорация в течение 10 рабочих дней со дня поступления копий заявлений и прилагаемых к ним документов, указанных в пункте 38 настоящих Правил, осуществляет подготовку заключения, предусмотренного подпунктом "в" пункта 6 настоящих Правил, в порядке, утвержденном в соответствии с пунктом 7 настоящих Правил, и направление его в Министерство экономического развития Российской Федерации. Указанный срок может быть продлен корпорацией не более чем на 5 рабочих дней в целях получения от Министерства экономического развития Российской Федерации непредставленных документов из числа указанных в пункте 38 настоящих Правил и (или) документов, оформленных в соответствии с требованиями, предусмотренными пунктом 38 настоящих Правил.

В заключении, предусмотренном подпунктом "в" пункта 6 настоящих Правил, должны быть указаны результаты проверки корпорацией документов, представленных уполномоченным банком вместе с заявлением, соответствия содержащихся в них данных, в том числе о предмете и сроке кредитных договоров (соглашений), ставке кредита, требованиям, предусмотренным пунктами 17 и 19 настоящих Правил.

42. Ежемесячное перечисление субсидии осуществляется в размере, рассчитанном как произведение суммы среднедневного остатка ссудной задолженности заемщиков по кредитным договорам (соглашениям) по ставке, установленной в размере ключевой ставки Центрального банка Российской Федерации, действующей на дату заключения кредитного договора (соглашения), увеличенной не более чем на 2 процента годовых, но не более 8,5 процента годовых, заключенным с уполномоченным банком в соответствии с требованиями настоящих Правил за отчетный месяц, и ставки субсидирования, определенной в соответствии с пунктом 28 настоящих Правил, по каждому кредитному договору (соглашению), деленное на количество дней в очередном году и умноженное на количество дней в отчетном месяце.

Среднедневной остаток ссудной задолженности заемщика по кредитному договору (соглашению) за отчетный месяц (СДО) определяется по следующей формуле:

,

где:

- остаток ссудной задолженности заемщика по кредитному договору (соглашению) на конец i-ro дня в отчетном месяце;

n - количество дней в отчетном месяце.

Ответственность за недостоверность используемых для расчета размера субсидии данных и соответствие расчета размера субсидии порядку расчета, предусмотренному настоящим пунктом, несет уполномоченный банк.

43. В случае принятия комиссией решения об отказе в предоставлении субсидии, основанием для которого является несоответствие представленных уполномоченным банком документов требованиям, предусмотренным пунктами 17 и 38 настоящих Правил, или непредставление (представление не в полном объеме) указанных документов, или недостоверность представленной уполномоченным банком информации, Министерство экономического развития Российской Федерации в течение 10 рабочих дней со дня принятия указанного решения направляет уполномоченному банку уведомление об отказе в предоставлении субсидии с указанием причин принятия такого решения.

44. В случае перехода прав и обязанностей уполномоченного банка к другой российской кредитной организации в порядке универсального правопреемства в соответствии с гражданским законодательством лимит субсидии для такой кредитной организации определяется:

в размере, необходимом для компенсации процентной ставки по кредитным договорам (соглашениям), заключенным уполномоченным банком в рамках программы субсидирования до дня прекращения его деятельности в качестве юридического лица, в случае, если российская кредитная организация не включена в перечень уполномоченных банков в соответствии с настоящими Правилами;

как совокупный лимит субсидии, определенный в соответствии с настоящими Правилами для уполномоченного банка и российской кредитной организации, в случае, если такая российская кредитная организация включена в перечень уполномоченных банков в соответствии с настоящими Правилами.

Субсидия на компенсацию процентной ставки по кредитным договорам (соглашениям), заключенным уполномоченным банком в рамках программы субсидирования, предоставляется российской кредитной организации, указанной в абзаце втором настоящего пункта, при условии, что такая кредитная организация в соответствии с заключением корпорации, подготовленным в порядке, установленном настоящими Правилами, удовлетворяет критериям, предусмотренным пунктом 14 настоящих Правил.

Комиссия на основании заявки российской кредитной организации, указанной в абзаце втором настоящего пункта, принимает решение о включении ее в перечень уполномоченных банков при условии, что такая кредитная организация в соответствии с заключением корпорации, подготовленным в порядке, установленном настоящими Правилами, удовлетворяет критериям, предусмотренным пунктами 14 и 15 настоящих Правил.

Лимит субсидии для уполномоченного банка, не перешедший к российской кредитной организации, являющейся правопреемником такого банка, перераспределяется между другими уполномоченными банками в соответствии с пунктом 32 настоящих Правил.

45. Последнее в финансовом году перечисление субсидии, а также окончательная сверка расчетов субсидии осуществляются не позднее 31 декабря очередного финансового года.

46. Уполномоченный банк ежегодно формирует реестр заемщиков.

47. В целях осуществления контроля за целевым использованием кредитов уполномоченный банк:

а) направляет ежемесячно, не позднее 10 рабочих дней со дня окончания отчетного месяца, в Министерство экономического развития Российской Федерации отчет о целевом использовании кредитов, полученных заемщиками, и акт сверки расчетов между Министерством экономического развития Российской Федерации и уполномоченным банком, подписанный руководителем уполномоченного банка или уполномоченным им лицом (с представлением документов, подтверждающих полномочия этого лица);

б) ведет реестр кредитных договоров (соглашений), по которым заемщиком были нарушены условия в части возврата заемных средств (при наличии).

48. Уполномоченный банк по запросу Министерства экономического развития Российской Федерации представляет документы, подтверждающие соответствие кредитного договора (соглашения) и целевого расходования кредита условиям, установленным настоящими Правилами, а также иную информацию о кредите в течение 5 рабочих дней со дня поступления соответствующего запроса.

49. Показатель результативности предоставления субсидии рассчитывается как плановый объем выдачи кредитов в рамках программы субсидирования, определяемый в соответствии с пунктом 28 настоящих Правил. Степень достижения указанного показателя ежегодно оценивается Министерством экономического развития Российской Федерации.

50. В случае выявления уполномоченным банком нецелевого использования заемщиком кредита, а также несоблюдения заемщиком требований пункта 20 настоящих Правил уполномоченный банк в течение 3 рабочих дней информирует Министерство экономического развития Российской Федерации о факте нарушения.

51. Министерство экономического развития Российской Федерации и уполномоченный орган государственного финансового контроля осуществляют проверку соблюдения целей, условий и порядка предоставления субсидии, установленных настоящими Правилами.

52. В случае установления факта нарушения уполномоченным банком целей, условий и (или) порядка предоставления субсидии соответствующие средства подлежат возврату в доход федерального бюджета в порядке, установленном бюджетным законодательством Российской Федерации. При этом уполномоченный банк обязан уплатить за каждый день использования средств субсидии с нарушением целей, условий и (или) порядка предоставления субсидии пеню, размер которой составляет одну трехсотую ключевой ставки Центрального банка Российской Федерации от суммы субсидии, использованной с нарушением, которая действует по состоянию на 1-й день использования средств субсидии с нарушением целей, условий и (или) порядка предоставления субсидии.

53. Контроль за соблюдением целей, условий и порядка предоставления субсидий осуществляется Министерством экономического развития Российской Федерации и федеральным органом исполнительной власти, осуществляющим функции по контролю и надзору в финансово-бюджетной сфере.

Приложение N 1
к Правилам предоставления
субсидий из федерального бюджета
российским кредитным организациям
на возмещение недополученных
ими доходов по кредитам, выданным
в 2019 - 2024 годах субъектам малого
и среднего предпринимательства
по льготной ставке

ПЕРЕЧЕНЬ ПРИОРИТЕТНЫХ ОТРАСЛЕЙ (ВИДОВ ДЕЯТЕЛЬНОСТИ)

1. Сельское хозяйство, включая производство сельскохозяйственной продукции, а также предоставление услуг в сельском хозяйстве, в том числе в целях обеспечения импортозамещения и развития несырьевого экспорта.

2. Обрабатывающее производство, в том числе производство пищевых продуктов, первичная и последующая (промышленная) переработка сельскохозяйственной продукции, в том числе в целях обеспечения импортозамещения и развития несырьевого экспорта.

3. Производство и распределение электроэнергии, газа и воды.

4. Строительство.

5. Туристская деятельность и деятельность в области туристской индустрии в целях развития внутреннего и въездного туризма.

6. Деятельность в области информации и связи.

7. Транспортировка и хранение.

8. Деятельность в области здравоохранения.

9. Деятельность в области образования.

10. Водоснабжение, водоотведение, организация сбора, обработки и утилизации отходов, в том числе отсортированных материалов, а также переработка металлических и неметаллических отходов, мусора и прочих предметов во вторичное сырье, деятельность по ликвидации загрязнений.

11. Деятельность гостиниц и предприятий общественного питания (за исключением ресторанов).

12. Деятельность в области культуры, спорта.

13. Деятельность профессиональная, научная и техническая.

14. Деятельность в сфере бытовых услуг.

15. Деятельность в сфере розничной торговли при условии, что субъект малого или среднего предпринимательства зарегистрирован и (или) осуществляет такую деятельность (в том числе через свои филиалы и иные обособленные подразделения, за исключением представительств) на территории монопрофильного муниципального образования, включенного в перечень монопрофильных муниципальных образований Российской Федерации (моногородов), утвержденный распоряжением Правительства Российской Федерации от 29 июля 2014 г. N 1398-р, и доля доходов от ее осуществления по итогам предыдущего календарного года составляет не менее 70 процентов в общей сумме доходов субъекта малого или среднего предпринимательства.

16. Деятельность в сфере розничной и (или) оптовой торговли при условии, что с субъектом малого или среднего предпринимательства заключается кредитный договор (соглашение) на инвестиционные цели.

17. Деятельность в сфере розничной и (или) оптовой торговли при условии, что субъект малого или среднего предпринимательства зарегистрирован и (или) осуществляет такую деятельность (в том числе через свои филиалы и иные обособленные подразделения, за исключением представительств) на территориях субъектов Российской Федерации, входящих в состав Дальневосточного федерального округа, Северо- Кавказского федерального округа, Республики Крым или г. Севастополя, и доля доходов от ее осуществления по итогам предыдущего календарного года составляет не менее 70 процентов в общей сумме доходов субъекта малого или среднего предпринимательства.

Приложение N 2
к Правилам предоставления
субсидий из федерального бюджета
российским кредитным организациям
на возмещение недополученных
ими доходов по кредитам, выданным
в 2019 - 2024 годах субъектам малого
и среднего предпринимательства
по льготной ставке

(форма)

В Министерство
  экономического развития
  Российской Федерации

РЕЕСТР ЗАЕМЩИКОВ, ЗАКЛЮЧИВШИХ КРЕДИТНЫЕ ДОГОВОРЫ (СОГЛАШЕНИЯ) С УПОЛНОМОЧЕННЫМ БАНКОМ, ПО СОСТОЯНИЮ НА " ___ " ____________ 20 ___ Г.

Наименование уполномоченного банка  
БИК уполномоченного банка  
ИНН уполномоченного банка  

N п/п Сведения о заемщике Сведения о кредитном договоре (соглашении) Размер субсидии за отчетный период, рублей Размер планируемых к предоставлению субсидий в текущем финансовом году, за исключением субсидии за отчетный период, рублей Размер планируемых к предоставлению субсидий в очередном финансовом году, рублей Размер планируемых к предоставлению субсидий в последующих финансовых годах до срока окончания кредитного договора (соглашения), рублей
полное наименование заемщика ИНН заемщика ОГРН заемщика отрасль экономики в соответствии с перечнем отраслей экономики (приложение N 1) категория субъекта малого и среднего предпринимательства (микро, малое или среднее предприятие) место нахождения (место жительства) заемщика (субъект Российской Федерации, муниципальное образование) Номер кредитного договора (соглашения) Дата кредитного договора (соглашения) дата предоставления кредита заемщику (первой части кредита) срок кредита по кредитному договору (соглашению), месяцев размер кредита по кредитному договору (соглашению) рублей вид кредита (возобновляемая/ невозобновляемая кредитная линия, одноразовый кредит) цель кредитования общая сумма кредита, выданная по кредитному договору, рублей сумма среднедневного остатка ссудной задолженности заемщика по кредитному договору (соглашению) за отчетный месяц, рублей сумма задолженности по кредитному договору (соглашению), рублей действующая ставка по кредитному договору (соглашению), процентов
1 2 3 4 5 6 7 8 9 10 11 12 13 14 15 16 17 18 19 20 21 21
В электронном документе нумерация граф таблиц соответствует официальному источнику.
1                                          
2                                          
Итого                                          
Руководитель уполномоченного банка (уполномоченное лицо)   /   /
      (фамилия, имя, отчество (при наличии)  
Исполнитель   /   /
      (фамилия, имя, отчество (при наличии)  

М.П. (при наличии)

" ___ " ____________ 20 ___ г.

Приложение N 3
к Правилам предоставления
субсидий из федерального бюджета
российским кредитным организациям
на возмещение недополученных
ими доходов по кредитам, выданным
в 2019 - 2024 годах субъектам малого
и среднего предпринимательства
по льготной ставке

(форма)

В Министерство
  экономического развития
  Российской Федерации

ЗАЯВКА

,
(наименование организации)  

НА УЧАСТИЕ В ОТБОРЕ В ЦЕЛЯХ РАСЧЕТА ЛИМИТА СРЕДСТВ СУБСИДИИ ИЗ ФЕДЕРАЛЬНОГО БЮДЖЕТА НА ВОЗМЕЩЕНИЕ НЕДОПОЛУЧЕННЫХ ДОХОДОВ ПО КРЕДИТАМ, ВЫДАННЫМ В 2019 - 2024 ГОДАХ СУБЪЕКТАМ МАЛОГО И СРЕДНЕГО ПРЕДПРИНИМАТЕЛЬСТВА ПО ЛЬГОТНОЙ СТАВКЕ

В соответствии с Правилами предоставления субсидий из федерального бюджета российским кредитным организациям на возмещение недополученных ими доходов по кредитам, выданным в 2019 - 2024 годах субъектам малого и среднего предпринимательства по льготной ставке, утвержденными постановлением Правительства Российской Федерации от 30 декабря 2018 г. N 1764 "Об утверждении Правил предоставления субсидий из федерального бюджета российским кредитным организациям на возмещение недополученных ими доходов по кредитам, выданным в 2019 - 2024 годах субъектам малого и среднего предпринимательства по льготной ставке" (далее - Правила),

(далее - организация) заявляет о своем намерении предоставить кредиты субъектам малого и среднего предпринимательства в
(наименование организации)  

период с 1 января по 31 декабря текущего финансового года в соответствии с требованиями и условиями Правил в размере   (   ) млн. рублей.
      (прописью)    

Настоящим организация выражает согласие:

на заключение с Министерством экономического развития Российской Федерации соглашения о предоставлении субсидии по типовой форме соглашения (договора) о предоставлении из федерального бюджета субсидии юридическому лицу (за исключением государственного учреждения), индивидуальному предпринимателю, физическому лицу - производителю товаров, работ, услуг на финансовое обеспечение затрат в связи с производством (реализацией) товаров (за исключением подакцизных товаров, кроме автомобилей легковых и мотоциклов, винодельческих продуктов, произведенных из выращенного на территории Российской Федерации винограда), выполнением работ, оказанием услуг, утвержденной приказом Министерства финансов Российской Федерации от 31 октября 2016 г. N 199н;

на использование субсидии в целях, на условиях и в порядке, которые предусмотрены Правилами, а также на осуществление контроля за соблюдением целей, условий и порядка предоставления субсидии Министерством экономического развития Российской Федерации и уполномоченным органом государственного финансового контроля.

Организация обязуется:

осуществлять ежемесячную выдачу кредитов по льготной ставке в соответствии с требованиями, предусмотренными Правилами, в размере не менее размера, определенного в плане-графике ежемесячной выдачи организацией кредитов заемщикам;

в течение 10 рабочих дней после получения уведомления Министерства экономического развития Российской Федерации и (или) уполномоченного органа государственного финансового контроля об установлении факта нарушения целей, условий и (или) порядка предоставления субсидии возвратить сумму субсидии, использованную с нарушением целей, условий и (или) порядка ее предоставления;

в срок не позднее 10 рабочих дней после получения указанного уведомления уплатить за каждый день использования средств субсидии с нарушением целей, условий и (или) порядка предоставления субсидии пеню, размер которой составляет одну трехсотую ключевой ставки Центрального банка Российской Федерации от суммы субсидии, использованной с нарушением, которая действует по состоянию на первый день использования средств субсидии с нарушением целей, условий и (или) порядка предоставления субсидии.

       
(должность)   (подпись)   (фамилия, имя, отчество (при наличии)

Приложение N 4
к Правилам предоставления
субсидий из федерального бюджета
российским кредитным организациям
на возмещение недополученных
ими доходов по кредитам, выданным
в 2019 - 2024 годах субъектам малого
и среднего предпринимательства
по льготной ставке

(форма)

ПРЕДЛОЖЕНИЕ

,
(наименование российской кредитной организации)  

ПО ОБЪЕМАМ ВЫДАЧИ КРЕДИТОВ, А ТАКЖЕ ПО СТАВКЕ СУБСИДИРОВАНИЯ В РАМКАХ ПРОГРАММЫ СУБСИДИРОВАНИЯ В СООТВЕТСТВИИ С ПРАВИЛАМИ ПРЕДОСТАВЛЕНИЯ СУБСИДИЙ ИЗ ФЕДЕРАЛЬНОГО БЮДЖЕТА РОССИЙСКИМ КРЕДИТНЫМ ОРГАНИЗАЦИЯМ НА ВОЗМЕЩЕНИЕ НЕДОПОЛУЧЕННЫХ ИМИ ДОХОДОВ ПО КРЕДИТАМ, ВЫДАННЫМ В 2019 - 2024 ГОДАХ СУБЪЕКТАМ МАЛОГО И СРЕДНЕГО ПРЕДПРИНИМАТЕЛЬСТВА ПО ЛЬГОТНОЙ СТАВКЕ <*>

Ставка субсидирования, процент Объем предоставления кредитов в рамках программы субсидирования, тыс. рублей
1,75  
2  
2,25  
2,5  
2,75  
(заполняется только кредитными организациями, не включенными в перечень системно значимых кредитных организаций)
Ставка субсидирования, процент Объем предоставления кредитов в рамках программы субсидирования, тыс. рублей
1,5  
1,75  
2  
2,25  
2,5  
(заполняется только кредитными организациями, включенными в перечень системно значимых кредитных организаций)

       
(должность)   (подпись)   (фамилия, имя, отчество (при наличии)

<*> Заполнению подлежат все графы в соответствующей таблице. В случае отсутствия предложения по объему предоставления кредитов по отдельной ставке субсидирования указывается значение "0". Не допускается совпадений отличных от значения "0" значений предложений по объему предоставления кредитов применительно к различным значениям ставок субсидирования.

Приложение N 5
к Правилам предоставления
субсидий из федерального бюджета
российским кредитным организациям
на возмещение недополученных
ими доходов по кредитам, выданным
в 2019 - 2024 годах субъектам малого
и среднего предпринимательства
по льготной ставке

(форма)

В  
  (наименование организации)

УВЕДОМЛЕНИЕ

Министерство экономического развития Российской Федерации информирует о принятии решения по заявке (предложению) _________________________ (наименование организации) и устанавливает указанной организации <1>:

лимит субсидии на выдачу кредитов на условиях, предусмотренных Правилами предоставления субсидий из федерального бюджета российским кредитным организациям на возмещение недополученных ими доходов по кредитам, выданным в 2019 - 2024 годах субъектам малого и среднего предпринимательства по льготной ставке, утвержденными постановлением Правительства Российской Федерации от 30 декабря 2018 г. N 1764 "Об утверждении Правил предоставления субсидий из федерального бюджета российским кредитным организациям на возмещение недополученных ими доходов по кредитам, выданным в 2019 - 2024 годах субъектам малого и среднего предпринимательства по льготной ставке" (далее - Правила), в размере ______ млн. рублей;

плановый объем выдачи кредитов в рамках программы субсидирования, предусмотренной Правилами, в размере ______ млн. рублей;

ставку субсидирования на финансовый ______ год в рамках программы субсидирования, предусмотренной Правилами, в размере ______ процентов годовых.

Руководитель уполномоченного структурного подразделения Министерства экономического развития Российской Федерации

       
(должность)   (подпись)   (фамилия, имя, отчество (при наличии)
       
(реквизиты Министерства экономического развития Российской Федерации)

<1> Отмечается и заполняется один или несколько пунктов в зависимости от принятого решения. В случае принятия решения о включении российской кредитной организации в перечень уполномоченных банков без установления лимита субсидии и планового объема выдачи кредитов в соответствующих пунктах ставится значение "0".

Приложение N 6
к Правилам предоставления
субсидий из федерального бюджета
российским кредитным организациям
на возмещение недополученных
ими доходов по кредитам, выданным
в 2019 - 2024 годах субъектам малого
и среднего предпринимательства
по льготной ставке

(форма)

В Министерство
  экономического развития
  Российской Федерации

ЗАЯВЛЕНИЕ НА ПОЛУЧЕНИЕ СУБСИДИИ ИЗ ФЕДЕРАЛЬНОГО БЮДЖЕТА НА ВОЗМЕЩЕНИЕ НЕДОПОЛУЧЕННЫХ ДОХОДОВ ПО КРЕДИТАМ, ВЫДАННЫМ В 2019 - 2024 ГОДАХ СУБЪЕКТАМ МАЛОГО И СРЕДНЕГО ПРЕДПРИНИМАТЕЛЬСТВА ПО ЛЬГОТНОЙ СТАВКЕ, ПО СОСТОЯНИЮ НА " ___ " ____________ 20 ___ Г.

На конец отчетного периода портфель кредитов, предоставленных

(наименование организации)

субъектам малого и среднего предпринимательства и подлежащих субсидированию в соответствии с ________________________(соглашением о предоставлении субсидии, дополнительным соглашением к соглашению о предоставлении субсидии) от " ___ " _________ 20 ___ г. N ____ , заключенным с Министерством экономического развития Российской Федерации,

в соответствии с реестром заемщиков составляет   единиц.
  (количество кредитов)  

Общая сумма задолженности субъектов малого и среднего предпринимательства по кредитным договорам (соглашениям) на конец отчетного периода составляет ______________ рублей.

Общий размер субсидии к выплате за отчетный период составляет   рублей.
  (прописью)  

Руководитель (уполномоченное лицо)   /   /   /
  (наименование уполномоченного банка)       (расшифровка подписи)  

Исполнитель   /   /
      (расшифровка подписи)  

М.П. (при наличии)

" ___ " ____________ 20 ___ г.