Указание ЦБ РФ от 08.10.2018 N 4928-У

"О требованиях к осуществлению брокерской деятельности при совершении брокером отдельных сделок с ценными бумагами и заключении договоров, являющихся производными финансовыми инструментами, критериях ликвидности ценных бумаг, предоставляемых в качестве обеспечения обязательств клиента перед брокером, при совершении брокером таких сделок и заключении таких договоров, а также об обязательных нормативах брокера, совершающего такие сделки и заключающего такие договоры"
Редакция от 08.10.2018 — Документ утратил силу, см. «Указание ЦБ РФ от 26.11.2020 N 5636-У»

Зарегистрировано в Минюсте России 4 марта 2019 г. N 53942


ЦЕНТРАЛЬНЫЙ БАНК РОССИЙСКОЙ ФЕДЕРАЦИИ

УКАЗАНИЕ
от 8 октября 2018 г. N 4928-У

О ТРЕБОВАНИЯХ К ОСУЩЕСТВЛЕНИЮ БРОКЕРСКОЙ ДЕЯТЕЛЬНОСТИ ПРИ СОВЕРШЕНИИ БРОКЕРОМ ОТДЕЛЬНЫХ СДЕЛОК С ЦЕННЫМИ БУМАГАМИ И ЗАКЛЮЧЕНИИ ДОГОВОРОВ, ЯВЛЯЮЩИХСЯ ПРОИЗВОДНЫМИ ФИНАНСОВЫМИ ИНСТРУМЕНТАМИ, КРИТЕРИЯХ ЛИКВИДНОСТИ ЦЕННЫХ БУМАГ, ПРЕДОСТАВЛЯЕМЫХ В КАЧЕСТВЕ ОБЕСПЕЧЕНИЯ ОБЯЗАТЕЛЬСТВ КЛИЕНТА ПЕРЕД БРОКЕРОМ, ПРИ СОВЕРШЕНИИ БРОКЕРОМ ТАКИХ СДЕЛОК И ЗАКЛЮЧЕНИИ ТАКИХ ДОГОВОРОВ, А ТАКЖЕ ОБ ОБЯЗАТЕЛЬНЫХ НОРМАТИВАХ БРОКЕРА, СОВЕРШАЮЩЕГО ТАКИЕ СДЕЛКИ И ЗАКЛЮЧАЮЩЕГО ТАКИЕ ДОГОВОРЫ

В соответствии с пунктом 4.1 статьи 3, пунктом 3 статьи 42 Федерального закона от 22 апреля 1996 года N 39-ФЗ "О рынке ценных бумаг" (Собрание законодательства Российской Федерации, 1996, N 17, ст. 1918; 2001, N 33, ст. 3424; 2002, N 52, ст. 5141; 2004, N 27, ст. 2711; N 31, ст. 3225; 2005, N 11, ст. 900; N 25, ст. 2426; 2006, N 1, ст. 5; N 2, ст. 172; N 17, ст. 1780; N 31, ст. 3437; N 43, ст. 4412; 2007, N 1, ст. 45; N 18, ст. 2117; N 22, ст. 2563; N 41, ст. 4845; N 50, ст. 6247; 2008, N 52, ст. 6221; 2009, N 1, ст. 28; N 18, ст. 2154; N 23, ст. 2770; N 29, ст. 3642; N 48, ст. 5731; N 52, ст. 6428; 2010, N 17, ст. 1988; N 31, ст. 4193; N 41, ст. 5193; 2011, N 7, ст. 905; N 23, ст. 3262; N 29, ст. 4291; N 48, ст. 6728; N 49, ст. 7040; N 50, ст. 7357; 2012, N 25, ст. 3269; N 31, ст. 4334; N 53, ст. 7607; 2013, N 26, ст. 3207; N 30, ст. 4043, ст. 4082, ст. 4084; N 51, ст. 6699; N 52, ст. 6985; 2014, N 30, ст. 4219; 2015, N 1, ст. 13; N 14, ст. 2022; N 27, ст. 4001; N 29, ст. 4348, ст. 4357; 2016, N 1, ст. 50, ст. 81; N 27, ст. 4225; 2017, N 25, ст. 3592; N 27, ст. 3925; N 30, ст. 4444; N 48, ст. 7052; N 52, ст. 7920; 2018, N 1, ст. 65, ст. 70; N 17, ст. 2424; N 18, ст. 2560; N 32, ст. 5088), статьей 76.4 Федерального закона от 10 июля 2002 года N 86-ФЗ "О Центральном банке Российской Федерации (Банке России)" (Собрание законодательства Российской Федерации, 2002, N 28, ст. 2790; 2003, N 2, ст. 157; N 52, ст. 5032; 2004, N 27, ст. 2711; N 31, ст. 3233; 2005, N 25, ст. 2426; N 30, ст. 3101; 2006, N 19, ст. 2061; N 25, ст. 2648; 2007, N 1, ст. 9, ст. 10; N 10, ст. 1151; N 18, ст. 2117; 2008, N 42, ст. 4696, ст. 4699; N 44, ст. 4982; N 52, ст. 6229, ст. 6231; 2009, N 1, ст. 25; N 29, ст. 3629; N 48, ст. 5731; 2010, N 45, ст. 5756; 2011, N 7, ст. 907; N 27, ст. 3873; N 43, ст. 5973; N 48, ст. 6728; 2012, N 50, ст. 6954; N 53, ст. 7591, ст. 7607; 2013, N 11, ст. 1076; N 14, ст. 1649; N 19, ст. 2329; N 27, ст. 3438, ст. 3476, ст. 3477; N 30, ст. 4084; N 49, ст. 6336; N 51, ст. 6695, ст. 6699; N 52, ст. 6975; 2014, N 19, ст. 2311, ст. 2317; N 27, ст. 3634; N 30, ст. 4219; N 40, ст. 5318; N 45, ст. 6154; N 52, ст. 7543; 2015, N 1, ст. 4, ст. 37; N 27, ст. 3958, ст. 4001; N 29, ст. 4348, ст. 4357; N 41, ст. 5639; N 48, ст. 6699; 2016, N 1, ст. 23, ст. 46, ст. 50; N 26, ст. 3891; N 27, ст. 4225, ст. 4273, ст. 4295; 2017, N 1, ст. 46; N 14, ст. 1997; N 18, ст. 2661, ст. 2669; N 27, ст. 3950; N 30, ст. 4456; N 31, ст. 4830; N 50, ст. 7562; 2018, N 1, ст. 66; N 9, ст. 1286; N 11, ст. 1584, ст. 1588; N 18, ст. 2557; N 24, ст. 3400; N 27, ст. 3950; N 31, ст. 4852; N 32, ст. 5115) и в соответствии с решением Совета директоров Банка России (протокол заседания Совета директоров Банка России от 1 октября 2018 года N 31) настоящее Указание устанавливает требования к осуществлению брокерской деятельности при совершении брокером отдельных сделок с ценными бумагами и заключении договоров, являющихся производными финансовыми инструментами, критерии ликвидности ценных бумаг, предоставляемых в качестве обеспечения обязательств клиента перед брокером, при совершении брокером таких сделок и заключении таких договоров, а также обязательные нормативы брокера, совершающего такие сделки и заключающего такие договоры.

1. Настоящее Указание распространяется на деятельность брокера по:

совершению сделок с ценными бумагами за счет денежных средств (в том числе в иностранной валюте) и (или) ценных бумаг клиента, которые в соответствии с договором (договорами) о брокерском обслуживании находятся в распоряжении брокера или должны поступить в его распоряжение (далее - денежные средства и (или) ценные бумаги клиента), в случае недостаточности денежных средств и (или) ценных бумаг клиента для исполнения обязательств из таких сделок;

заключению фьючерсных договоров, а также своп-договоров, указанных в абзаце третьем пункта 5 Указания Банка России от 16 февраля 2015 года N 3565-У "О видах производных финансовых инструментов", зарегистрированного Министерством юстиции Российской Федерации 27 марта 2015 года N 36575, базисным активом которых является иностранная валюта.

2. Денежные средства и (или) ценные бумаги клиента, обязательства из сделок с ценными бумагами и денежными средствами, совершенных в соответствии с заключенным с этим клиентом договором о брокерском обслуживании (далее - сделки за счет клиентов), задолженность такого клиента перед брокером по предоставленным брокером займам для совершения маржинальных сделок, а также задолженность клиента перед брокером по договорам, являющимся производными финансовыми инструментами, считаются входящими в состав портфеля клиента.

В случае если договором (договорами) о брокерском обслуживании предусмотрено наличие у клиента нескольких портфелей, в том числе сгруппированных по месту совершения сделок и (или) месту расчетов, брокер не должен допускать включение одних и тех же денежных средств, ценных бумаг и (или) обязательств в состав нескольких портфелей клиента.

3. Брокер, совершающий указанные в пункте 1 настоящего Указания сделки, должен определять состав портфеля клиента как совокупность плановых позиций, значения которых он должен рассчитывать в соответствии с пунктом 3 приложения к настоящему Указанию, по ценным бумагам каждого эмитента (лица, обязанного по ценной бумаге), предоставляющим их владельцам одинаковый объем прав, и по денежным средствам по каждому виду валют (рубли, доллары США, иные валюты) (далее - плановая позиция).

4. Брокер не должен совершать действий, приводящих к возникновению или увеличению в абсолютном выражении отрицательного значения плановой позиции (далее - непокрытая позиция) по ценной бумаге, не соответствующей установленным пунктом 5 настоящего Указания критериям ликвидности ценных бумаг, предоставляемых в качестве обеспечения обязательств клиента перед брокером.

Требования абзаца первого настоящего пункта не применяются, если клиент брокера в соответствии с пунктом 30 настоящего Указания отнесен брокером к категории клиентов с особым уровнем риска.

5. В качестве обеспечения обязательств клиента перед брокером, в том числе по предоставленным брокером займам, брокер должен допускать только ценные бумаги, одновременно соответствующие следующим критериям ликвидности:

ценные бумаги допущены к организованным торгам (в том числе на иностранных биржах);

значения ставок риска, указанные в абзацах втором и третьем пункта 17 приложения к настоящему Указанию, по таким ценным бумагам размещены хотя бы одной клиринговой организацией в свободном доступе на своем официальном сайте в информационно-телекоммуникационной сети "Интернет" (далее - сеть "Интернет").

6. Брокер не должен совершать действий, приводящих к возникновению или увеличению в абсолютном выражении непокрытой позиции по иностранной валюте, если значения ставок риска по такой иностранной валюте, указанные в абзаце втором и третьем пункта 17 приложения к настоящему Указанию, не размещены в свободном доступе ни на одном официальном сайте в сети "Интернет" (далее - неликвидная иностранная валюта).

Требования абзаца первого настоящего пункта не применяются, если клиент брокера в соответствии с пунктом 30 настоящего Указания отнесен брокером к категории клиентов с особым уровнем риска.

7. Брокер, совершающий действия, приводящие к возникновению непокрытых позиций по ценным бумагам и (или) денежным средствам клиента, отнесенного брокером в соответствии с пунктом 30 настоящего Указания к категории клиентов со стандартным или повышенным уровнем риска, должен определять перечень ценных бумаг и иностранных валют, по которым в соответствии с договором о брокерском обслуживании допускается возникновение непокрытых позиций, и (или) по которым положительное значение плановой позиции не принимается равным 0 (далее - перечень ликвидных ценных бумаг и иностранных валют).

В перечне ликвидных ценных бумаг и иностранных валют по решению брокера предусматривается кратность количества ценных бумаг и (или) иностранных валют минимальному объему ценных бумаг и (или) иностранных валют, в пределах которого положительное значение плановой позиции не принимается равным 0.

Брокер должен определить перечень ликвидных ценных бумаг и иностранных валют, единый для всех клиентов, отнесенных брокером в соответствии с пунктом 30 настоящего Указания к категории клиентов со стандартным или повышенным уровнем риска, с которыми договором о брокерском обслуживании не предусмотрено определение отдельного перечня ликвидных ценных бумаг и иностранных валют.

Доступ к перечню ликвидных ценных бумаг и иностранных валют должен предоставляться брокером своим клиентам, отнесенным брокером в соответствии с пунктом 30 настоящего Указания к категории клиентов со стандартным или повышенным уровнем риска, в порядке, предусмотренном договором о брокерском обслуживании.

8. В случае если ценная бумага перестала соответствовать критериям ликвидности, установленным пунктом 5 настоящего Указания, брокер должен исключить указанную ценную бумагу из перечня ликвидных ценных бумаг и иностранных валют в срок, не превышающий 30 дней со дня, когда ценная бумага перестала соответствовать указанным критериям ликвидности.

В случае если в отношении иностранной валюты клиринговыми организациями прекращено размещение в свободном доступе на своих официальных сайтах в сети "Интернет" ставок риска, указанных в абзаце втором и третьем пункта 17 приложения к настоящему Указанию, брокер должен исключить указанную иностранную валюту из перечня ликвидных ценных бумаг и иностранных валют в срок, не превышающий 30 дней со дня, когда клиринговые организации прекратили размещение указанных ставок риска по такой иностранной валюте на своих официальных сайтах в сети "Интернет".

9. Брокер не должен совершать действий, приводящих к возникновению непокрытой позиции по ценной бумаге, не соответствующей критериям ликвидности, установленным пунктом 5 настоящего Указания (далее - неликвидная ценная бумага), или неликвидной иностранной валюте, определяемой брокером до истечения срока исполнения любого обязательства, предметом которого является такая ценная бумага или иностранная валюта, при положительном значении плановой позиции по такой ценной бумаге или иностранной валюте (далее - временно непокрытая позиция), за исключением случая, указанного в абзаце втором настоящего пункта.

Требование абзаца первого настоящего пункта не применяется, если клиент брокера в соответствии с пунктом 30 настоящего Указания отнесен брокером к категории клиентов с особым уровнем риска.

10. В случае совершения брокером сделки за счет клиента на организованных торгах на основе заявок на покупку и заявок на продажу ценных бумаг по наилучшим из указанных в них ценам, при том что заявки адресованы всем участникам торгов и информация, позволяющая идентифицировать подавших заявки участников торгов, не раскрывается в ходе торгов другим участникам (далее - анонимные торги), брокер не должен допускать возникновения или увеличения в абсолютном выражении непокрытой позиции, возникновения или увеличения в абсолютном выражении временно непокрытой позиции по ценной бумаге (за исключением случая, указанного в пункте 11 настоящего Указания) при одновременном наличии следующих обстоятельств:

цена такой сделки на 5 или более процентов ниже цены закрытия ценных бумаг, с которыми совершена указанная сделка, определенной организатором торговли за предыдущий торговый день в соответствии с подпунктом 4.2 пункта 4 приложения 2 к Положению Банка России от 17 октября 2014 года N 437-П "О деятельности по проведению организованных торгов", зарегистрированному Министерством юстиции Российской Федерации 30 декабря 2014 года N 35494, 16 февраля 2018 года N 50066 (далее - Положение Банка России от 17 октября 2014 года N 437-П);

цена такой сделки ниже последней текущей цены ценных бумаг, с которыми совершена указанная сделка, рассчитанной организатором торговли в соответствии с подпунктом 4.1 пункта 4 приложения 2 к Положению Банка России от 17 октября 2014 года N 437-П, о которой брокер знал на момент подачи им организатору торговли заявки на ее совершение;

цена такой сделки ниже цены последней сделки, вошедшей в расчет текущей цены ценных бумаг, указанной в абзаце третьем настоящего пункта.

11. Требования пункта 10 настоящего Указания не распространяются на заключаемые брокером сделки, обязательства из которых допущены к клирингу с участием центрального контрагента, в отношении которого Банком России принято решение о признании качества управления центральным контрагентом удовлетворительным в порядке, установленном Указанием Банка России от 3 декабря 2012 года N 2919-У "Об оценке качества управления кредитной организации, осуществляющей функции центрального контрагента", зарегистрированным Министерством юстиции Российской Федерации 21 декабря 2012 года N 26273, 18 сентября 2014 года N 34094, 10 декабря 2014 года N 35118, 30 апреля 2015 года N 37087, 5 октября 2015 года N 39153, 15 февраля 2016 года N 41093, 23 июня 2017 года N 47131.

12. Для брокера, совершающего действия, приводящие к возникновению непокрытых позиций по ценным бумагам и денежным средствам клиента, отнесенного брокером в соответствии с пунктом 30 настоящего Указания к категории клиентов со стандартным или повышенным уровнем риска, устанавливаются следующие обязательные нормативы:

норматив покрытия риска при исполнении поручений клиента, отнесенного брокером в соответствии с пунктом 30 настоящего Указания к категории клиентов со стандартным или повышенным уровнем риска (далее - НПР1);

норматив покрытия риска при изменении стоимости портфеля клиента, отнесенного брокером в соответствии с пунктом 30 настоящего Указания к категории клиентов со стандартным или повышенным уровнем риска (далее - НПР2).

Расчет НПР1 и НПР2 брокер должен осуществлять согласно приложению к настоящему Указанию.

13. Минимально допустимое числовое значение НПР1 устанавливается в размере 0, за исключением случаев, установленных пунктом 14 настоящего Указания.

14. Брокер не должен допускать возникновения отрицательного значения НПР1 или его снижения относительно своего предыдущего отрицательного значения, за исключением следующих случаев:

если отрицательное значение НПР1 или его снижение относительно своего предыдущего отрицательного значения произошло не в результате совершения брокером действий в отношении портфеля клиента;

в случае, предусмотренном пунктом 21 настоящего Указания;

в случае положительного значения НПР1, определенного брокером в соответствии с пунктом 15 настоящего Указания на момент принятия поручения клиента, исполнение которого привело к отрицательному значению НПР1, или, если исполнение этого поручения поставлено в зависимость от наступления предусмотренных в нем обстоятельств, - на момент наступления таких обстоятельств, исходя из плановых позиций в портфеле клиента, скорректированных брокером с учетом принятых, но не исполненных к указанному моменту поручений этого клиента;

в случае начисления брокером и (или) уплаты за счет клиента брокеру и (или) третьим лицам в связи со сделками, заключенными брокером за счет клиента, сумм штрафов, пеней, процентов, неустоек, убытков, расходов и вознаграждений, в том числе по договору брокера с клиентом, предметом которого не является оказание брокерских услуг;

в случае если за счет средств клиента исполняются обязанности клиента по уплате обязательных платежей, в том числе в связи с исполнением брокером обязанностей налогового агента, или в связи с исполнением решения органов государственной власти;

в случае заключения брокером за счет клиента договоров репо;

в случае проведения брокером операции за счет клиента, связанных с отчуждением (приобретением) иностранной валюты и ее обратным приобретением (отчуждением) брокером;

в случае удовлетворения клиринговой организацией требований, обеспеченных индивидуальным клиринговым обеспечением, в результате неисполнения или ненадлежащего исполнения брокером обязательств из сделок, совершенных за счет клиентов;

в случае исключения брокером ценной бумаги и (или) иностранной валюты из перечня ликвидных ценных бумаг и иностранных валют;

в случае изменения брокером значений начальной ставки риска и (или) относительной ставки риска изменения цен, предусмотренных пунктами 15 и 16 приложения к настоящему Указанию;

в случае принятия брокером поручения клиента одновременно на совершение двух или более сделок, подлежащих исполнению в один и тот же день, при том что:

в соответствии с таким поручением клиента его частичное исполнение не допускается;

заключение любой из этих сделок приведет к увеличению размера начальной маржи относительно стоимости портфеля клиента;

заключение всех сделок, указанных в поручении, приведет к снижению размера начальной маржи относительно ее первоначального размера.

15. В случае, указанном в абзаце четвертом пункта 14 настоящего Указания, при расчете брокером НПР1 брокер должен корректировать плановые позиции по такому сценарию исполнения поручений клиента, по которому НПР1 принимает минимальное значение при ценах договоров, которые будут заключены брокером во исполнение поручений клиента (далее - цены исполнения поручений клиента), определенных брокером с соблюдением следующих требований.

15.1. Цену исполнения поручения клиента брокер должен определять исходя из цены ценных бумаг (курса иностранных валют) в соответствии с пунктами 13 и 14 приложения к настоящему Указанию, за исключением случаев, указанных в подпунктах 15.2 и 15.3 настоящего пункта.

15.2. В случае исполнения поручения клиента на покупку ценных бумаг не на анонимных торгах по цене выше цен, определенных брокером в соответствии с пунктами 13 и 14 приложения к настоящему Указанию, брокер должен определить цену исполнения поручений клиента как цену, указанную в таком поручении.

15.3. В случае исполнения поручений клиента на продажу ценных бумаг не на анонимных торгах по цене ниже цен, определенных брокером в соответствии с пунктами 13 и 14 приложения к настоящему Указанию, брокер должен определить цену исполнения поручений клиента как цену, указанную в таком поручении.

16. Минимально допустимое числовое значение НПР2 устанавливается в размере 0.

В случае если НПР2 принимает значение меньше 0, брокер в сроки, предусмотренные пунктом 19 настоящего Указания, должен предпринять меры по снижению размера минимальной маржи, рассчитанного в соответствии с пунктом 15 приложения к настоящему Указанию (далее - размер минимальной маржи), и (или) увеличению стоимости портфеля клиента (далее - закрытие позиций), за исключением случаев, указанных в абзацах третьем и четвертом настоящего пункта.

Требования абзаца второго настоящего пункта не применяются, если значение размера минимальной маржи равно 0.

Не допускаются действия брокера по закрытию позиций клиента, если до их совершения НПР2 принял положительное значение, за исключением случаев, когда иное предусмотрено договором о брокерском обслуживании.

17. К закрытию позиций клиента не относятся действия брокера, совершенные на основании поручения клиента, направленного (переданного) брокеру для совершения сделки (заключения договора) за счет клиента, в котором указаны конкретные ценные бумаги и (или) иностранная валюта и их количество или фьючерсный договор, его базисный актив и срок исполнения такого договора.

18. Брокер, совершающий действия, приводящие к возникновению непокрытых позиций по ценным бумагам и (или) денежным средствам клиента, отнесенного брокером в соответствии с пунктом 30 настоящего Указания к категории клиентов со стандартным или повышенным уровнем риска, должен утвердить внутренний документ, определяющий порядок закрытия позиций таких клиентов (далее - внутренний документ, определяющий порядок закрытия позиций клиентов), с указанием времени (часы, минуты, секунды) каждого торгового дня, до которого снижение значения НПР2 ниже 0 влечет закрытие позиций клиента в течение этого торгового дня (далее - ограничительное время закрытия позиций).

19. Брокер должен осуществлять закрытие позиций клиента при снижении НПР2 ниже 0 в следующие сроки.

19.1. В случае если НПР2 принимает значение ниже 0 в течение торгового дня до ограничительного времени закрытия позиций, брокер должен осуществить закрытие позиций клиента в течение этого торгового дня.

19.2. В случае если НПР2 принимает значение ниже 0 в течение торгового дня после ограничительного времени закрытия позиций, брокер должен осуществить закрытие позиций клиента не позднее ограничительного времени закрытия позиций клиента ближайшего торгового дня, следующего за торговым днем, в котором наступило это обстоятельство.

19.3. В случае если до закрытия позиций клиента организованные торги ценными бумагами (иностранной валютой) были приостановлены и их возобновление произошло после ограничительного времени закрытия позиций, брокер должен осуществить закрытие позиций клиента не позднее ограничительного времени закрытия позиций ближайшего торгового дня, следующего за торговым днем, в котором НПР2 принял значение ниже 0.

20. Брокер должен осуществить закрытие позиций клиента при снижении НПР2 ниже 0 с соблюдением следующих требований.

20.1. В отношении клиентов, отнесенных брокером в соответствии с пунктом 30 настоящего Указания к категории клиентов со стандартным уровнем риска, брокер должен осуществить закрытие позиций до достижения НПР1 нулевого значения (при положительном значении размера начальной маржи), если достижение большего значения НПР1 не предусмотрено договором о брокерском обслуживании.

20.2. В отношении клиентов, отнесенных брокером в соответствии с пунктом 30 настоящего Указания к категории клиентов с повышенным уровнем риска, брокер должен осуществить закрытие позиций таких клиентов до достижения НПР2 нулевого значения (при положительном значении размера минимальной маржи), если достижение большего значения НПР2 не предусмотрено договором о брокерском обслуживании.

21. При осуществлении брокером закрытия позиции клиента до приведения НПР1 или НПР2 в соответствие с подпунктами 20.1 и 20.2 пункта 20 настоящего Указания допускается снижение значения НПР1 относительно своего предыдущего отрицательного значения.

22. Закрытие позиций клиента при снижении НПР2 ниже 0 брокер должен совершать на анонимных торгах, за исключением случая, предусмотренного пунктом 23 настоящего Указания.

23. Закрытие позиций клиента не на анонимных торгах допускается только в случае соблюдения брокером следующих требований.

23.1. Покупку ценных бумаг (за исключением облигаций) брокер должен осуществлять по цене, не превышающей максимальной цены сделки с такими ценными бумагами, совершенной на анонимных торгах в течение последних 15 минут, предшествующих принятию брокером поручения клиента на совершение сделки, или, если эти торги приостановлены, - в течение последних 15 минут до их приостановления.

23.2. Покупку облигаций и (или) иностранной валюты брокер должен осуществлять при соблюдении одного из следующих условий:

покупка осуществляется по цене, не превышающей максимальную цену сделки с такими облигациями (с такой иностранной валютой), совершенной на анонимных торгах в течение последних 15 минут, предшествующих принятию брокером поручения клиента на совершение сделки, или, если эти торги приостановлены, - в течение последних 15 минут до их приостановления;

покупка осуществляется по цене не выше лучшей котировки на продажу таких облигаций и (или) иностранной валюты, опубликованной в информационной системе Блумберг (Bloomberg) или в информационной системе Томсон Рейтерс (Thomson Reuters), более чем на величину произведения указанной котировки и одной четвертой начальной ставки риска по этой облигации (иностранной валюте), предусмотренной пунктом 18 приложения к настоящему Указанию.

23.3. Покупку иностранной валюты в соответствии с абзацами вторым и третьим подпункта 23.2 настоящего пункта брокер должен осуществлять в отсутствие проведения анонимных торгов этой иностранной валютой либо в объеме меньшем, чем минимальный размер биржевого лота, предусмотренный правилами организованных торгов этой иностранной валютой.

23.4. Продажу ценных бумаг (за исключением облигаций) брокер должен осуществлять по цене не ниже минимальной цены сделки с такими ценными бумагами, совершенной на анонимных торгах в течение последних 15 минут, предшествующих принятию брокером поручения клиента на совершение сделки, или, если эти торги приостановлены, - в течение последних 15 минут до их приостановления.

23.5. Продажу облигаций и (или) иностранной валюты брокер должен осуществлять при соблюдении одного из следующих условий:

продажа осуществляется по цене не ниже минимальной цены сделки с такими облигациями (с такой иностранной валютой), совершенной на анонимных торгах в течение последних 15 минут, предшествующих принятию брокером поручения клиента на совершение сделки, или, если эти торги приостановлены, - в течение последних 15 минут до их приостановления;

продажа осуществляется по цене не ниже лучшей котировки на покупку таких облигаций и (или) иностранной валюты, опубликованной в информационной системе Блумберг (Bloomberg) или в информационной системе Томсон Рейтерс (Thomson Reuters), более чем на величину произведения указанной котировки и одной четвертой начальной ставки риска по этой облигации (иностранной валюте), предусмотренной пунктом 18 приложения к настоящему Указанию.

23.6. Продажу иностранной валюты в соответствии с абзацами вторым и третьим подпункта 23.5 настоящего пункта брокер должен осуществлять в отсутствие проведения анонимных торгов этой иностранной валютой либо в объеме меньшем, чем минимальный размер биржевого лота, предусмотренный правилами организованных торгов этой иностранной валютой.

23.7. Закрытие позиций клиента в соответствии с подпунктами 23.1 - 23.6 настоящего пункта брокер должен осуществлять, если договором о брокерском обслуживании для ценных бумаг и (или) иностранных валют определен источник информации о ценах или котировках, в соответствии с которыми брокером будет осуществляться закрытие позиций клиента, и, если таким источником является информационная система Блумберг (Bloomberg) или информационная система Томсон Рейтерс (Thomson Reuters), в договоре о брокерском обслуживании также указано условное обозначение (условные обозначения) котировок, применяемое (применяемые) для их идентификации в этой информационной системе.

24. В случае если НПР1 принял значение ниже 0, брокер в порядке и сроки, предусмотренные договором о брокерском обслуживании, должен направить клиенту уведомление о снижении значения НПР1 ниже 0 (далее - уведомление), за исключением случая, предусмотренного абзацем третьим настоящего пункта.

Уведомление должно содержать информацию о стоимости портфеля клиента, о размере начальной маржи и о размере минимальной маржи на момент возникновения основания для направления уведомления, а также информацию о действиях брокера, если значение НПР2 будет ниже 0.

Требование абзаца первого настоящего пункта не применяется, если брокер в соответствии с договором о брокерском обслуживании каждый час времени проведения организованных торгов не менее 1 раза информирует клиента о текущих стоимости портфеля такого клиента и размере начальной и минимальной маржи либо предоставляет ему защищенный доступ к такой информации.

25. Брокер должен хранить копии направленных уведомлений не менее 5 лет со дня их направления.

26. В случае направления уведомления брокер должен вести журнал направленных уведомлений и вносить в него записи о направленных уведомлениях не позднее рабочего дня, следующего за днем их направления.

Брокер должен вести журнал направленных уведомлений с использованием программно-технических средств, позволяющих предоставлять такой журнал в виде файла с расширением ".xls" или ".xlsx".

Брокер должен хранить записи журнала направленных уведомлений не менее 5 лет со дня их внесения.

27. В журнале направленных уведомлений брокер должен отражать следующую информацию:

порядковый номер уведомления;

индивидуальный идентификационный код портфеля клиента, присвоенный брокером (при наличии);

стоимость портфеля клиента, размер начальной маржи и размер минимальной маржи, которые были указаны в уведомлении;

дату и время направления уведомления.

28. Брокер в отношении каждого портфеля клиента, отнесенного им в соответствии с пунктом 30 настоящего Указания к категориям клиентов со стандартным или повышенным уровнем риска, должен вести записи об отрицательных значениях НПР2 по состоянию на ограничительное время закрытия позиций и на конец торгового дня (далее - контрольное время), а в случае, указанном в абзаце третьем настоящего пункта, - также записи о положительных значениях НПР2.

В записях об отрицательных значениях НПР2 на контрольное время брокер должен отражать информацию о значении минимальной маржи и стоимости портфеля клиента по состоянию на контрольное время.

В случае если НПР2 хотя бы 1 раз принимал положительное значение, в период между контрольным временем и ближайшим к нему контрольным временем, по состоянию на которые НПР2 принимал отрицательные значения, брокер должен фиксировать данное обстоятельство записью о положительном значении НПР2.

В записи о положительном значении НПР2 брокер должен отражать информацию о значении минимальной маржи и стоимости портфеля клиента на момент времени, в который НПР2 принимал положительное значение, а также время, на которое такое значение было зафиксировано.

29. Брокер, совершающий действия, приводящие к возникновению непокрытых позиций по ценным бумагам и денежным средствам клиентов, отнесенных им в соответствии с пунктом 30 настоящего Указания к категориям клиентов со стандартным или повышенным уровнем риска, и (или) заключающий фьючерсные договоры за счет таких клиентов, должен осуществлять следующие действия.

29.1. Размещать на своем официальном сайте в сети "Интернет" информацию о рисках клиентов, которые связаны с возникновением непокрытых позиций и заключением фьючерсных договоров, внутренний документ, определяющий порядок закрытия позиций клиентов.

29.2. Использовать программно-технические средства для осуществления расчета стоимости портфеля клиента, размера начальной маржи и размера минимальной маржи, а также значений НПР1 и НПР2.

29.3. Назначить должностное лицо (лиц), ответственное (ответственных) за совершение действий по закрытию позиций клиента.

30. Брокер, совершающий действия, приводящие к возникновению непокрытых позиций по ценным бумагам и денежным средствам клиента, должен относить клиента к категории клиентов со стандартным уровнем риска, за исключением случаев, когда договором о брокерском обслуживании такой клиент отнесен к одной из следующих категорий:

клиент с повышенным уровнем риска;

клиент с особым уровнем риска.

Физических лиц брокер должен относить только к одной из следующих категорий:

клиент со стандартным уровнем риска;

клиент с повышенным уровнем риска.

31. Отнесение физических лиц к категории клиентов с повышенным уровнем риска брокер должен осуществлять только при соблюдении одного из следующих условий:

сумма денежных средств и стоимость ценных бумаг физического лица (в том числе иностранной валюты), учитываемая на счетах внутреннего учета, открытых брокером такому физическому лицу, составляет не менее 3 миллионов рублей по состоянию на день, предшествующий дню, с которого это физическое лицо в соответствии с договором о брокерском обслуживании считается отнесенным к категории клиентов с повышенным уровнем риска;

сумма денежных средств (в том числе иностранной валюты) и стоимость ценных бумаг физического лица, учитываемая на счетах внутреннего учета, открытых брокером такому физическому лицу, составляет не менее 600 000 рублей по состоянию на день, предшествующий дню, с которого это физическое лицо в соответствии с договором о брокерском обслуживании считается отнесенным к категории клиентов с повышенным уровнем риска, при условии, что такое физическое лицо является клиентом брокера (брокеров) в течение последних 180 дней, предшествующих указанному дню, из которых не менее 5 дней за счет этого лица брокером (брокерами) заключались договоры с ценными бумагами или договоры, являющиеся производными финансовыми инструментами.

32. Стоимость ценных бумаг физического лица, допущенных к организованным торгам организатором торговли, брокер должен определять исходя из цены закрытия этих ценных бумаг, определенной организатором торговли в соответствии с пунктом 4.2 приложения 2 к Положению Банка России от 17 октября 2014 года N 437-П по состоянию на торговый день, предшествующий дню, с которого это физическое лицо в соответствии с договором о брокерском обслуживании считается отнесенным к категории клиентов с повышенным уровнем риска.

Стоимость ценных бумаг клиента брокера, прошедших процедуру листинга на иностранной бирже, входящей в перечень иностранных бирж, утвержденный Указанием Банка России от 28 января 2016 года N 3949-У "Об утверждении перечня иностранных бирж, прохождение процедуры листинга на которых является обязательным условием для принятия российской биржей решения о допуске ценных бумаг иностранных эмитентов к организованным торгам, а также условием для непроведения организациями, осуществляющими операции с денежными средствами или иным имуществом, идентификации бенефициарных владельцев иностранных организаций, чьи ценные бумаги прошли процедуру листинга на таких биржах", зарегистрированным Министерством юстиции Российской Федерации 9 марта 2016 года N 41340 (далее - перечень иностранных бирж), брокер должен определять по цене закрытия по ценной бумаге, рассчитываемой такой иностранной биржей по состоянию на день, предшествующий дню, с которого это физическое лицо в соответствии с договором о брокерском обслуживании считается отнесенным к категории клиентов с повышенным уровнем риска.

Стоимость ценных бумаг, которая не может быть определена в соответствии с абзацами первым и вторым настоящего пункта, брокер должен принимать равной 0.

Денежные средства физического лица в иностранной валюте должны пересчитываться брокером по курсу иностранной валюты по отношению к рублю, в соответствии с требованиями к определению курса иностранной валюты по отношению к рублю, предусмотренными пунктом 14 приложения к настоящему Указанию.

33. Для установления соответствия физического лица условиям, указанным в абзацах втором и третьем пункта 31 настоящего Указания, брокер должен использовать информацию, подтверждающую такое соответствие, в том числе полученную от третьих лиц.

34. Настоящее Указание не распространяется на портфели клиентов, в состав которых в соответствии с договором о брокерском обслуживании не входят и не могут входить обязательства из сделок с ценными бумагами и задолженность клиента перед брокером по предоставленным брокером займам для совершения маржинальных сделок.

35. Настоящее Указание вступает в силу с 1 июля 2019 года.

36. Со дня вступления в силу настоящего Указания признать утратившими силу:

Указание Банка России от 18 апреля 2014 года N 3234-У "О единых требованиях к правилам осуществления брокерской деятельности при совершении отдельных сделок за счет клиентов", зарегистрированное Министерством юстиции Российской Федерации 18 июня 2014 года N 32792;

Указание Банка России от 18 января 2016 года N 3937-У "О внесении изменений в Указание Банка России от 18 апреля 2014 года N 3234-У "О единых требованиях к правилам осуществления брокерской деятельности при совершении отдельных сделок за счет клиентов", зарегистрированное Министерством юстиции Российской Федерации 24 февраля 2016 года N 41207;

Указание Банка России от 1 июня 2018 года N 4805-У "О внесении изменений в Указание Банка России от 18 апреля 2014 года N 3234-У "О единых требованиях к правилам осуществления брокерской деятельности при совершении отдельных сделок за счет клиентов", зарегистрированное Министерством юстиции Российской Федерации 13 августа 2018 года N 51865.

Председатель Центрального банка
Российской Федерации
Э.С. НАБИУЛЛИНА

Приложение
к Указанию Банка России
от 8 октября 2018 года N 4928-У
"О требованиях к осуществлению
брокерской деятельности
при совершении брокером отдельных
сделок с ценными бумагами
и заключении договоров, являющихся
производными финансовыми
инструментами, критериях
ликвидности ценных бумаг,
предоставляемых в качестве
обеспечения обязательств клиента
перед брокером, при совершении
брокером таких сделок и заключении
таких договоров, а также
об обязательных нормативах брокера,
совершающего такие сделки
и заключающего такие договоров"

РАСЧЕТ НОРМАТИВА ПОКРЫТИЯ РИСКА ПРИ ИСПОЛНЕНИИ ПОРУЧЕНИЙ КЛИЕНТА, ОТНЕСЕННОГО БРОКЕРОМ В СООТВЕТСТВИИ С ПУНКТОМ 30 НАСТОЯЩЕГО УКАЗАНИЯ К КАТЕГОРИЯМ КЛИЕНТОВ СО СТАНДАРТНЫМ ИЛИ ПОВЫШЕННЫМ УРОВНЕМ РИСКА (НПР1), И НОРМАТИВА ПОКРЫТИЯ РИСКА ПРИ ИЗМЕНЕНИИ СТОИМОСТИ ПОРТФЕЛЯ КЛИЕНТА, ОТНЕСЕННОГО БРОКЕРОМ В СООТВЕТСТВИИ С ПУНКТОМ 30 НАСТОЯЩЕГО УКАЗАНИЯ К КАТЕГОРИЯМ КЛИЕНТОВ СО СТАНДАРТНЫМ ИЛИ ПОВЫШЕННЫМ УРОВНЕМ РИСКА (НПР2)

1. Норматив покрытия риска при исполнении поручений клиента, отнесенного брокером в соответствии с пунктом 30 настоящего Указания к категориям клиентов со стандартным или повышенным уровнем риска (НПР1), рассчитывается по формуле:

,

где:

S - стоимость портфеля клиента, рассчитываемая в соответствии с пунктом 2 настоящего приложения;

- размер начальной маржи, рассчитываемый в соответствии с пунктами 15 и 16 настоящего приложения.

Норматив покрытия риска при изменении стоимости портфеля клиента, отнесенного брокером в соответствии с пунктом 30 настоящего Указания к категориям клиентов со стандартным или повышенным уровнем риска (НПР2), рассчитывается по формуле:

,

где:

S - стоимость портфеля клиента, рассчитываемая в соответствии с пунктом 2 настоящего приложения;

- размер минимальной маржи, рассчитываемый в соответствии с пунктом 15 настоящего приложения.

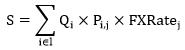
2. Стоимость портфеля клиента рассчитывается по формуле:

,

где:

- значение плановой позиции по i-й ценной бумаге или i-й валюте (далее - i-е имущество), рассчитываемое по формуле, предусмотренной в пункте 3 настоящего приложения;

I - количество значений плановых позиций в расчете стоимости указанного портфеля клиента.

- цена i-ой ценной бумаги, выраженная в j-ой валюте или курс i-ой валюты по отношению к j-ой валюте, определяемые в соответствии с пунктом 13 настоящего приложения;

- курс j-ой иностранной валюты по отношению к рублю, определяемый в соответствии с пунктом 14 настоящего приложения. В случае если j-й валютой является рубль, значение показателя принимается равным 1.

3. Значение плановой позиции по i-му имуществу рассчитывается по формуле:

,

где:

- значение показателя, рассчитываемое в соответствии с пунктами 5 и 6 настоящего приложения;

- значение показателя, рассчитываемое в соответствии с пунктами 7 и 8 настоящего приложения.

4. В случае если i-е имущество не входит в перечень ликвидных ценных бумаг и иностранных валют, значение плановой позиции по нему принимается равным 0 при положительной разнице между значением показателя и значением показателя , рассчитываемых по этому имуществу в соответствии с пунктами 5 - 8 настоящего приложения.

В случае если в перечне ликвидных ценных бумаг и иностранных валют предусмотрена кратность количества ценных бумаг и (или) иностранных валют, в пределах которого положительное значение плановой позиции не принимается равным 0, положительное значение плановой позиции по таким ценным бумагам и иностранной валюте принимается равным их количеству, кратному указанному минимальному объему ценных бумаг и (или) иностранных валют.

5. В случае если i-е имущество является денежными средствами в единицах i-й валюты, значение показателя , предусмотренного пунктом 3 настоящего приложения, рассчитывается по формуле:

,

где:

- сумма денежных средств в единицах i-й валюты в составе портфеля клиента;

- сумма денежных средств в единицах i-й валюты, являющихся предметом n-го обязательства, исполнение которого принимается брокером в состав портфеля клиента;

- положительная величина денежной переоценки i-го фьючерсного договора (одного лота m-го фьючерсного договора), выраженная в i-й валюте, рассчитываемая в порядке определения вариационной маржи, предусмотренном в спецификации этого фьючерсного договора и (или) в правилах клиринга, исходя из информации о текущей расчетной цене такого фьючерсного договора, заключенного на организованных торгах. В случае если величина переоценки m-го фьючерсного договора выражает сумму вариационной маржи, условно подлежащую уплате из денежных средств, входящих в состав портфеля клиента, такая величина принимается равной 0.

6. В случае если i-е имущество является i-й ценной бумагой, значение показателя , предусмотренного пунктом 3 настоящего приложения, рассчитывается по формуле:

,

где:

- остаток i-х ценных бумаг в составе портфеля клиента;

- количество i-х ценных бумаг, являющихся предметом n-го обязательства, исполнение которого принимается брокером в состав портфеля клиента.

7. В случае если i-е имущество является денежными средствами в единицах i-й валюты, значение показателя , предусмотренного пунктом 3 настоящего приложения, рассчитывается по формуле:

,

где:

- сумма денежных средств в единицах i-й валюты, являющихся предметом k-го обязательства, исполнение которого должно осуществляться за счет имущества, входящего в состав портфеля клиента;

- значение, рассчитываемое в соответствии с пунктом 9 настоящего приложения, если использование данного показателя предусмотрено договором о брокерском обслуживании;

- значение, рассчитываемое в порядке, предусмотренном в пунктах 10 и 12 настоящего приложения;

- положительная величина денежной переоценки m-го фьючерсного договора (одного лота m-го фьючерсного договора), выраженная в i-й валюте, рассчитываемая в порядке расчета вариационной маржи, предусмотренном в спецификации этого фьючерсного договора и (или) в правилах клиринга, исходя из информации о текущей расчетной цене такого фьючерсного договора, заключенного на организованных торгах. В случае если величина переоценки m-го фьючерсного договора выражает сумму вариационной маржи, условно подлежащую уплате в состав портфеля клиента, такая величина принимается равной 0.

8. В случае если i-e имущество является i-й ценной бумагой, значение показателя , предусмотренного пунктом 3 настоящего приложения, рассчитывается по формуле:

,

где:

- количество i-х ценных бумаг, являющихся предметом k-го обязательства, исполнение которого должно осуществляться за счет имущества, входящего в состав портфеля клиента;

- значение, рассчитываемое в порядке, предусмотренном в пунктах 11 и 12 настоящего приложения.

9. Показатель , предусмотренный пунктом 7 настоящего приложения, включает суммы вознаграждений и (или) возмещения (оплаты) расходов в единицах i-й валюты, на которые брокер вправе рассчитывать по договору о брокерском обслуживании.

10. В случае если i-е имущество является денежными средствами в единицах i-й валюты, значение показателя , предусмотренное пунктом 7 настоящего приложения, рассчитывается как сумма денежных средств, выраженных в единицах i-й валюты, поступивших в состав портфеля клиента от третьего лица, за исключением следующих лиц:

профессионального участника рынка ценных бумаг;

клиринговой организации;

управляющей компании инвестиционных фондов, паевых инвестиционных фондов и негосударственных пенсионных фондов;

акционерного инвестиционного фонда;

иностранного юридического лица, осуществляющего в соответствии с его личным законом деятельность, аналогичную деятельности, осуществляемой лицами, предусмотренными абзацами вторым - пятым настоящего пункта, предоставившего письменное заверение о том, что в соответствии с его личным законом оно имеет право на осуществление соответствующего вида деятельности, подписанное уполномоченным лицом этого юридического лица;

эмитента ценных бумаг при выплате дохода по ценным бумагам;

физического лица;

юридического лица, не указанного в абзацах втором - седьмом настоящего пункта, если сумма денежных средств поступила от него по договору, не являющемуся договором займа или кредитным договором, по которому указанное юридическое лицо является кредитором, либо договором, сторонами которого являются брокер, его клиент и указанное юридическое лицо, которое предоставляет клиенту денежные средства на возвратной основе, в соответствии с которым брокер передает этому лицу информацию о находящихся у него в распоряжении денежных средствах клиента и (или) ценных бумагах клиента в полном объеме для расчета всех показателей, предусмотренных настоящим приложением.

11. В случае если i-е имущество является i-й ценной бумагой, значение показателя , предусмотренное пунктом 7 настоящего приложения, рассчитывается как количество i-х ценных бумаг, поступивших клиенту в качестве займа по договору займа от третьего лица, стороной которого не является брокер, либо по договору, сторонами которого являются брокер, его клиент и указанное лицо, в соответствии с которым брокер передает этому лицу информацию о находящихся в распоряжении брокера денежных средствах и (или) ценных бумагах клиента, необходимую для расчета всех показателей, предусмотренных настоящим приложением. Ценные бумаги, предусмотренные настоящим пунктом, не принимаются в расчет показателя , если они учтены в показателе .

12. Значения показателей, рассчитываемых в пунктах 10 и 11 настоящего приложения, уменьшаются соответственно на сумму денежных средств либо на количество ценных бумаг, возвращенных третьему лицу, от которого клиенту поступили указанные денежные средства или ценные бумаги, при условии наличия у брокера документов, подтверждающих их возврат.

13. Цена одной i-й ценной бумаги определяется исходя из информации о цене торгуемой i-й ценной бумаги по последнему заключенному договору (далее - цена последней сделки), предоставляемой предусмотренным договором о брокерском обслуживании организатором торговли участникам торгов в соответствии с подпунктом 1.3 пункта 1 приложения 4 к Положению Банка России от 17 октября 2014 года N 437-П, за исключением случаев, указанных в абзацах втором - третьем настоящего пункта.

В случае если цена одной i-й ценной бумаги иностранного эмитента не может быть определена в соответствии с абзацем первым настоящего пункта, цена одной i-й ценной бумаги иностранного эмитента определяется исходя из информации о цене последней сделки с i-й ценной бумагой, совершенной на торгах предусмотренного договором о брокерском обслуживании иностранного организатора торговли (иностранной биржи), предоставляемой иностранной биржей участникам торгов, если объем торгов i-й ценной бумагой на этом иностранном организаторе торговли (иностранной бирже) за последний календарный месяц, предшествующий дню определения цены , превышает объем торгов за тот же период у каждого российского организатора торговли.

В случае если это предусмотрено договором о брокерском обслуживании, цена одной i-ой облигации определяется по средней цене на основе цены лучшей котировки на покупку и цены лучшей котировки на продажу таких облигаций, опубликованных в информационной системе Блумберг (Bloomberg) или в информационной системе Томсон Рейтерс (Thomson Reuters) на момент определения , при условии, что договором о брокерском обслуживании определено (определены) условное обозначение (условные обозначения) котировок, применяемое (применяемые) для их идентификации в соответствующей информационной системе.

Цена по облигации определяется в соответствии с абзацами первым и третьим настоящего пункта с учетом накопленного процентного (купонного) дохода.

Курс i-ой валюты по отношению к j-ой валюте определяется по правилам определения курса i-ой валюты к рублю, предусмотренным в пункте 14 настоящего приложения.

14. Значения показателя определяются исходя из информации о последнем курсе j-й иностранной валюты к рублю, сложившемся в ходе организованных торгов иностранной валютой за исключением случаев, предусмотренных абзацами вторым и третьим настоящего пункта.

В случае если в соответствии с условиями договора, заключенного за счет имущества, входящего в состав портфеля клиента, денежные обязательства, выраженные в j-ой валюте, исполняются в рублях по фиксированному курсу, известному сторонам договора, показатель принимает значение такого фиксированного курса с момента, в который он был опубликован либо стал известен брокеру в соответствии с условиями договора.

В случае если j-ая иностранная валюта не допущена к торгам организатора торговли, значения показателя определяются исходя из курса j-й иностранной валюты к рублю или иной валюте, допущенной к торгам организатора торговли, опубликованного в информационной системе Блумберг (Bloomberg) или в информационной системе Томсон Рейтерс (Thomson Reuters). В случае если курс j-ой валюты выражен в иной иностранной валюте (далее - кросс-курс), значение показателя определяется в отношении последней в соответствии с абзацем первым настоящего пункта.

В случае отсутствия курса (кросс-курса) j-й иностранной валюты к иной иностранной валюте значение показателя определяется исходя из официального курса иностранной валюты по отношению к рублю, установленного Центральным банком Российской Федерации на момент расчета стоимости портфеля клиента и размера начальной или минимальной маржи.

15. В случае если иное не предусмотрено пунктом 16 настоящего приложения, размер начальной маржи M0 и размер минимальной маржи Mx рассчитываются в отношении каждого портфеля клиента по формулам:

,

,

где:

;

- показатель, предусмотренный в пункте 2 настоящего приложения;

- показатель, предусмотренный в пункте 16 настоящего приложения;

- значение начальной ставки риска уменьшения цены (курса) i-го имущества или цены фьючерсного договора i-го вида (в долях единицы), которое рассчитывается исходя из изменений указанных цен в j-ой валюте в соответствии с пунктами 17 - 20 настоящего приложения;

- значение начальной ставки риска увеличения цены (курса) i-го имущества или цены фьючерсного договора (в долях единицы), которое рассчитывается исходя из изменений указанных цен в j-ой валюте в соответствии с пунктами 17 - 20 настоящего приложения.

16. В случае если это предусмотрено договором о брокерском обслуживании, брокер рассчитывает уменьшенный размер начальной маржи исходя из наличия зависимости между изменениями цен ценных бумаг, курсов иностранных валют, цен фьючерсных договоров и изменениями определенных в соответствии с пунктом 23 настоящего приложения цены (курса, пунктов) имущества, фьючерсного договора или индекса (далее - базовый индикатор).

В этом случае брокер определяет набор множеств видов имущества или фьючерсных договоров (далее - множества с зависимыми ценами), а также соответствующие этим множествам базовые индикаторы, по отношению к которым в соответствии с пунктами 21 - 24 настоящего приложения определены относительные ставки риска.

В одно множество с зависимыми ценами по решению брокера включаются только ценные бумаги, иностранные валюты и (или) фьючерсные договоры, цены или курсы которых выражены в одной и той же валюте.

В случае если размер начальной маржи в отношении портфеля клиента рассчитывается брокером на основе множеств с зависимыми ценами, величина рассчитывается по формуле:

,

где:

- рассчитывается брокером в порядке расчета , предусмотренном в пункте 15 настоящего приложения;

;

;

;

;

- для , являющегося значением плановой позиции по i-ой иностранной валюте, выраженной в j-ой иностранной валюте, или плановой позицией по i-ой ценной бумаге, выраженной в j-ой валюте;

- для , являющегося количеством фьючерсных договоров i-го вида. При этом рассчитывается как разница между количеством фьючерсных договоров i-го вида, предусматривающих уплату вариационной маржи в состав портфеля клиента при увеличении цены фьючерсного договора, и количеством фьючерсных договоров i-го вида, предусматривающих уплату вариационной маржи в состав портфеля клиента при уменьшении цены фьючерсного договора.

- для , являющегося количеством i-ой иностранной валюты, выраженной в рублях.

и - показатели, предусмотренные в пункте 2 настоящего приложения.

Для фьючерсных договоров i-го вида, заключенных на условиях одной и той же спецификации, базисные активы и сроки исполнения которых совпадают, цена определяется как расчетная цена фьючерсного договора i-го вида, сложившаяся на торгах организатора торговли. При этом цена i-го имущества или фьючерсного договора i-го вида принимается к расчету начальной маржи в той валюте, в которой рассчитаны соответственно показатели , в отношении указанного имущества или фьючерсного договора;

D - параметр, принимающий значения , , , , ;

VM(; D) - значение, которое принимает функция выплаты вариационной маржи по фьючерсному договору i-го вида при изменении текущей расчетной цены такого фьючерсного договора на величину произведения этой цены и значения D. Функция выплаты вариационной маржи рассчитывается исходя из спецификации фьючерсного договора i-го вида;

- количество i-ой иностранной валюты, являющейся источником валютного риска вследствие того, что в единицах i-ой иностранной валюты выражена цена g-ых ценных бумаг, курс g-ых иностранных валют;

- n-е множество с зависимыми ценами;

N - количество множеств с зависимыми ценами;

- значение начальной ставки риска уменьшения значения базового индикатора n-го множества с зависимыми ценами (в долях единицы), рассчитываемое исходя из изменений указанных значений, выраженных в j-ой валюте, в соответствии с пунктами 17 - 20 настоящего приложения;

- значение начальной ставки риска увеличения значения базового индикатора n-го множества с зависимыми ценами (в долях единицы), рассчитываемое исходя из изменений указанных значений, выраженных в j-ой валюте, в соответствии с пунктами 17 - 20 настоящего приложения;

- показатель, характеризующий зависимость между изменениями цен i-го имущества или фьючерсного договора i-го вида и значений базового индикатора n-го множества с зависимыми ценами , выраженными в единицах j-ой валюты, и принимающий следующие значения:

1 - при прямой зависимости между указанными изменениями цен (значений);

-1 - при обратной зависимости между указанными изменениями цен (значений);

- значение относительной ставки риска изменения относительно значений базового индикатора цен i-го имущества или фьючерсного договора i-го вида из n-го множества с зависимыми ценами , рассчитываемое в соответствии с пунктами 21 - 24 настоящего приложения;

- доля i-го имущества или объема фьючерсных договоров i-го вида, в которой они включены брокером в n-ое множество с зависимыми ценами. При этом доля i-го имущества и объема фьючерсных договоров i-го вида, не включенная брокером ни в одно из множеств с зависимыми ценами, рассчитывается по формуле:

.

17. В случае если размер начальной маржи рассчитывается в отношении портфеля клиента, отнесенного в соответствии с пунктом 30 настоящего Указания к категории клиентов с повышенным уровнем риска, значения начальных ставок риска и , предусмотренные пунктом 15 настоящего приложения, и значения начальных ставок риска и , предусмотренные пунктом 16 настоящего приложения, рассчитываются соответственно как ставки и , исходя из:

ставок и корректирующих указанные ставки коэффициентов, применяемых клиринговой организацией при осуществлении клиринга с участием центрального контрагента для определения размера обеспечения исполнения обязательств соответственно из сделки с i-ым имуществом или фьючерсным договором i-го вида (за исключением коллективного клирингового обеспечения), требуемого в соответствии с правилами клиринга или соглашением об обеспечении от участника клиринга в отсутствие у него иных обязательств, допущенных к клирингу, если такие ставки и корректирующие коэффициенты применяются клиринговой организацией;

ставок и корректирующих указанные ставки коэффициентов, рассчитанных клиринговой организацией в соответствии с требованиями абзаца второго пункта 18 настоящего приложения, но не применяемых клиринговой организацией при осуществлении клиринга с участием центрального контрагента, если клиринговая организация рассчитывает такие ставки и корректирующие коэффициенты.

18. Ставки, предусмотренные абзацами вторым и третьим пункта 17 настоящего приложения (далее - ставки клиринговой организации), используются для определения размера начальной маржи для клиентов, отнесенных брокером в соответствии с пунктом 30 настоящего Указания к категории клиентов с повышенным уровнем риска, если ставки риска клиринговой организации раскрываются на официальном сайте клиринговой организации в сети "Интернет".

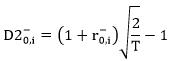
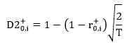
Ставка клиринговой организации используется для расчета размера начальной маржи для клиентов, отнесенных брокером в соответствии с пунктом 30 настоящего Указания к категории клиентов с повышенным уровнем риска, если такая ставка превышает соответственно изменения цены i-го имущества или изменения цены фьючерсного договора i-го вида (по модулю) за определенный период времени в течение 1 года с доверительным интервалом не менее 99 процентов. В случае если в расчете ставки клиринговой организации указанный период времени не равен двум торговым дням, значения начальных ставок риска и рассчитываются по формулам:

,
,

где:

и - ставки клиринговой организации для случая уменьшения стоимости i-го имущества (в долях единицы) и для случая увеличения стоимости i-го имущества (в долях единицы);

T - период времени, определенный в расчете ставки клиринговой организации, исчисляемый в количестве торговых дней.

19. Для клиентов, отнесенных брокером в соответствии с пунктом 30 настоящего Указания к категории клиентов со стандартным уровнем риска, значения начальных ставок риска и , предусмотренные пунктом 15 настоящего приложения, и значения начальных ставок риска и , предусмотренные пунктом 16 настоящего приложения, рассчитываются как ставки и по формулам:

,

,

где:

и - значения ставок риска, предусмотренные в пункте 17 настоящего приложения.

20. В случае если i-й валютой является рубль, значение начальной ставки риска принимается равным 0.

21. Значение показателя , предусмотренного пунктом 16 настоящего приложения, рассчитывается для клиентов, отнесенных брокером в соответствии с пунктом 30 настоящего Указания к категории клиентов с повышенным уровнем риска, как относительная ставка риска изменения цен, при условии, что она рассчитана клиринговой организацией за установленный этой организацией период времени в течение 1 года с доверительным интервалом не менее 99 процентов для величин , где:

- относительное изменение выраженного в j-той валюте значения базового индикатора n-го множества с зависимыми ценами , рассчитанное за период времени, указанный в абзаце первом настоящего пункта;

- относительное изменение выраженной в j-ой валюте цены i-го имущества или цены фьючерсного договора i-го вида, рассчитанное за тот же период времени, за который рассчитан показатель ;

- показатель, характеризующий зависимость в соответствии с пунктом 16 настоящего приложения.

22. В случае если период, указанный в абзаце первом пункта 21 настоящего приложения, не равен 2 торговым дням, значения относительных ставок риска изменения цен рассчитываются по формуле:

,

где:

- относительная ставка риска изменения цен (в долях единицы), рассчитанная для периода T;

T - период времени, за который рассчитываются величины и , исчисляемый в количестве торговых дней.

23. Относительная ставка риска изменения цен в отношении i-го имущества или фьючерсного договора i-го вида, предусмотренная пунктом 16 настоящего приложения, используется для определения размера начальной маржи, если на официальном сайте клиринговой организации в сети "Интернет" раскрыта следующая информация:

сведения об имуществе, фьючерсном договоре или индексе, принятых клиринговой организацией в качестве базового индикатора, по отношению к которому определяются изменения цен i-го имущества или цен фьючерсных договоров i-го вида;

сведения о валюте, в которой выражен базовый индикатор (далее - валюта базового индикатора);

ставка клиринговой организации, рассчитанная в отношении базового индикатора в валюте базового индикатора;

относительная ставка риска изменения цен в отношении i-го имущества или фьючерсного договора i-го вида в валюте базового индикатора и показатель направления зависимости между изменениями цен i-го имущества или фьючерсного договора i-го вида и значений базового индикатора.

24. Для клиентов, отнесенных брокером в соответствии с пунктом 30 настоящего Указания к категории клиентов со стандартным уровнем риска, значения относительных ставок риска изменения цен рассчитываются как ставки по формуле:

,

где:

- значение относительной ставки риска изменения цен, рассчитываемое в соответствии с требованиями пунктов 21 и 22 настоящего приложения.

25. В случае если в отношении i-го имущества или фьючерсного договора i-го вида применяется или рассчитана более чем 1 ставка клиринговой организации или если в отношении n-го базового индикатора и i-го имущества или фьючерсного договора i-го вида применяется или рассчитана более чем 1 относительная ставка риска изменения цен, в том числе в связи с тем, что такие ставки применяются или рассчитаны несколькими клиринговыми организациями, брокер использует большую из указанных ставок, если иное не предусмотрено договором (договорами) о брокерском обслуживании. При изменении значения ставки риска или относительной ставки риска изменения цен, которую брокер использовал для расчета размера начальной маржи, новое значение указанной ставки должно быть использовано брокером не позднее 1 часа с момента ее раскрытия на официальном сайте клиринговой организации в сети "Интернет" или с момента предоставления брокеру клиринговой организацией сведений об указанной ставке.

26. По решению брокера для каждого отдельного портфеля клиента используются более высокие значения начальных ставок риска и относительных ставок риска изменения цен по сравнению с рассчитываемыми в соответствии с пунктами 17 - 19 и пунктами 21, 22 и 24 настоящего приложения.