Постановление Правительства РФ от 21.03.2019 N 301

"Об утверждении Правил предоставления из федерального бюджета субсидий российским организациям на финансовое обеспечение части затрат на проведение научно-исследовательских, опытно-конструкторских и технологических работ в рамках создания производства газовых турбин большой мощности"
Редакция от 21.03.2019 — Не действует Перейти в действующую
Показать изменения

ПРАВИТЕЛЬСТВО РОССИЙСКОЙ ФЕДЕРАЦИИ

ПОСТАНОВЛЕНИЕ
от 21 марта 2019 г. N 301

ОБ УТВЕРЖДЕНИИ ПРАВИЛ ПРЕДОСТАВЛЕНИЯ ИЗ ФЕДЕРАЛЬНОГО БЮДЖЕТА СУБСИДИЙ РОССИЙСКИМ ОРГАНИЗАЦИЯМ НА ФИНАНСОВОЕ ОБЕСПЕЧЕНИЕ ЧАСТИ ЗАТРАТ НА ПРОВЕДЕНИЕ НАУЧНО-ИССЛЕДОВАТЕЛЬСКИХ, ОПЫТНО-КОНСТРУКТОРСКИХ И ТЕХНОЛОГИЧЕСКИХ РАБОТ В РАМКАХ СОЗДАНИЯ ПРОИЗВОДСТВА ГАЗОВЫХ ТУРБИН БОЛЬШОЙ МОЩНОСТИ

Правительство Российской Федерации постановляет:

Утвердить прилагаемые Правила предоставления из федерального бюджета субсидий российским организациям на финансовое обеспечение части затрат на проведение научно-исследовательских, опытно-конструкторских и технологических работ в рамках создания производства газовых турбин большой мощности.

Председатель Правительства
Российской Федерации
Д. МЕДВЕДЕВ

УТВЕРЖДЕНЫ
постановлением Правительства
Российской Федерации
от 21 марта 2019 г. N 301

ПРАВИЛА ПРЕДОСТАВЛЕНИЯ ИЗ ФЕДЕРАЛЬНОГО БЮДЖЕТА СУБСИДИЙ РОССИЙСКИМ ОРГАНИЗАЦИЯМ НА ФИНАНСОВОЕ ОБЕСПЕЧЕНИЕ ЧАСТИ ЗАТРАТ НА ПРОВЕДЕНИЕ НАУЧНО-ИССЛЕДОВАТЕЛЬСКИХ, ОПЫТНО-КОНСТРУКТОРСКИХ И ТЕХНОЛОГИЧЕСКИХ РАБОТ В РАМКАХ СОЗДАНИЯ ПРОИЗВОДСТВА ГАЗОВЫХ ТУРБИН БОЛЬШОЙ МОЩНОСТИ

1. Настоящие Правила устанавливают цель, порядок и условия предоставления из федерального бюджета субсидий российским организациям (далее - организация) на финансовое обеспечение части затрат на проведение научно-исследовательских, опытно-конструкторских и технологических работ в рамках создания производства газовых турбин большой мощности (далее соответственно - создание производства газовых турбин большой мощности, субсидия).

Целью предоставления субсидии является стимулирование создания производства газовых турбин большой мощности на территории Российской Федерации.

2. Понятия, используемые в настоящих Правилах, означают следующее:

"газовые турбины большой мощности" - газотурбинные двигатели для производства электрической энергии, находящиеся в диапазоне 60 - 80 МВт и 150 - 180 МВт с коэффициентом полезного действия не менее 35 процентов в простом цикле;

"комплексный проект" - комплекс взаимосвязанных мероприятий и процессов по созданию производства газовых турбин большой мощности, ограниченный по времени и ресурсам, включающий в себя:

выполнение научно-исследовательских, опытно-конструкторских и технологических работ;

организацию серийного выпуска продукции, в том числе создание инфраструктуры;

последующую коммерциализацию произведенной продукции.

3. Субсидия предоставляется организации, прошедшей конкурсный отбор на право получения субсидии (далее - конкурс), и признанной победителем конкурса. При этом максимальный размер субсидии, предоставляемой организации, составляет не более 50 процентов стоимости комплексного проекта.

4. Право на получение субсидии имеет организация, соответствующая по состоянию на дату не ранее чем 15-е число месяца, предшествующего месяцу, в котором планируется заключение договора о предоставлении субсидии, следующим требованиям:

а) организация реализует комплексный проект по созданию производства газовых турбин большой мощности, стоимость которого составляет не менее 6 млрд рублей;

б) организацией получен кредит (открыта кредитная линия) после 1 января 2018 г. в кредитных организациях на реализацию комплексного проекта (далее - кредит) или предоставлены (утвержден бюджет финансирования) собственные и (или) заемные средства на реализацию комплексного проекта в размере, достаточном для обеспечения реализации проекта, но не менее 50 процентов суммы комплексного проекта;

в) у организации отсутствует неисполненная обязанность по налогам, сборам, страховым взносам, пеням, штрафам, процентам, подлежащим уплате в соответствии с законодательством Российской Федерации о налогах и сборах;

г) у организации отсутствуют просроченная задолженность по возврату в федеральный бюджет субсидий, бюджетных инвестиций, предоставленных в том числе в соответствии с иными правовыми актами, и иная просроченная задолженность перед федеральным бюджетом;

д) организация не находится в процессе реорганизации, ликвидации и банкротства;

е) организация не является иностранным юридическим лицом, российским юридическим лицом, в уставном (складочном) капитале которой доля участия иностранных юридических лиц, местом регистрации которых являются государство или территория, включенные в утвержденный Министерством финансов Российской Федерации перечень государств и территорий, предоставляющих льготный налоговый режим налогообложения и (или) не предусматривающих раскрытия и предоставления информации при проведении финансовых операций (офшорные зоны) в отношении таких юридических лиц, в совокупности превышает 50 процентов;

ж) организация не получает из федерального бюджета средства на основании иных нормативных правовых актов на цель, указанную в пункте 1 настоящих Правил.

5. Субсидируемые затраты организации на проведение научно-исследовательских, опытно-конструкторских и технологических работ в рамках создания производства газовых турбин большой мощности включают в себя непосредственно связанные с реализацией комплексного проекта следующие расходы:

а) расходы на оплату труда работников, занятых выполнением научно-исследовательских, опытно-конструкторских и технологических работ, за период выполнения ими работ в рамках комплексного проекта (в размере, не превышающем уровня средней заработной платы в регионе, в котором реализуется комплексный проект), а также расходы на обязательное пенсионное страхование, обязательное социальное страхование на случай временной нетрудоспособности и в связи с материнством, обязательное медицинское страхование, обязательное социальное страхование от несчастных случаев на производстве и профессиональных заболеваний, начисленные на указанные суммы расходов на оплату труда указанных работников;

б) накладные расходы в размере не более 300 процентов суммы расходов на оплату труда работников, занятых реализацией комплексного проекта, включающие:

расходы на оплату труда работников, входящих в состав административно-управленческого персонала организации (в размере, не превышающем уровня средней заработной платы в регионе, в котором реализуется комплексный проект), а также расходы на обязательное пенсионное страхование, обязательное социальное страхование на случай временной нетрудоспособности и в связи с материнством, обязательное медицинское страхование, обязательное социальное страхование от несчастных случаев на производстве и профессиональных заболеваний, начисленные на указанные суммы расходов на оплату труда указанных работников;

расходы на аренду зданий, строений и сооружений, которые организация использует для реализации комплексного проекта в части проведения научно-исследовательских, опытно-конструкторских и технологических работ в рамках создания производства газовых турбин большой мощности;

расходы на оплату коммунальных услуг, обслуживание и ремонт зданий, строений и сооружений и оборудования, которые организация использует для реализации комплексного проекта в части затрат на проведение научно-исследовательских, опытно-конструкторских и технологических работ в рамках создания производства газовых турбин большой мощности;

расходы на оснащение и обслуживание вновь создаваемых и модернизируемых в рамках реализации комплексного проекта высокопроизводительных рабочих мест в части затрат на проведение научно-исследовательских, опытно-конструкторских и технологических работ в рамках создания производства газовых турбин большой мощности;

расходы на оплату транспортировки грузов, связанных непосредственно с реализацией комплексного проекта в части затрат на проведение научно-исследовательских, опытно-конструкторских и технологических работ в рамках создания производства газовых турбин большой мощности;

расходы на оплату информационных и консультационных услуг, связанных непосредственно с реализацией комплексного проекта в части затрат на проведение научно-исследовательских, опытно-конструкторских и технологических работ в рамках создания производства газовых турбин большой мощности;

в) расходы по договорам на выполнение научно-исследовательских, опытно-конструкторских и технологических работ в целях стимулирования создания производства газовых турбин большой мощности, оформление правовой охраны технических решений и технической экспертизы;

г) расходы на приобретение у российских и иностранных организаций лицензий на результаты интеллектуальной деятельности, а также программного обеспечения, программно-аппаратных высокотехнологичных вычислительных комплексов, аппаратно-программных комплексов, аппаратных или программных комплексов, необходимых для реализации комплексного проекта;

д) расходы на изготовление (модернизацию) 2 головных образцов газовых турбин в диапазонах мощности 60 - 80 МВт и 150 - 180 МВт, макетов и стендов, в том числе на приобретение материалов и покупных комплектующих изделий;

е) расходы на производство до 4 опытных образцов (2 типов газовых турбин в диапазоне 60 - 80 МВт с коэффициентом полезного действия не менее 35 процентов в простом цикле и 2 типов газовых турбин в диапазоне 150 - 180 МВт с коэффициентом полезного действия не менее 35 процентов в простом цикле), включая их тестирование, сертификацию и (или) регистрацию, а также проведение испытаний;

ж) расходы на аренду (лизинг) технологического оборудования и технологической оснастки, необходимых для создания производства газовых турбин большой мощности.

6. Субсидия предоставляется организации в соответствии с периодами реализации комплексного проекта, равными полугодиям календарного года (далее - период), на финансовое обеспечение части затрат на проведение научно-исследовательских, опытно-конструкторских и технологических работ в рамках создания производства газовых турбин большой мощности, возникших не ранее 1 января 2018 г., в том числе до заключения договора о предоставлении субсидии, на цель, указанную в пункте 1 настоящих Правил, в пределах объемов затрат, предусмотренных утвержденным бизнес-планом комплексного проекта, указанным в подпункте "и" пункта 9 настоящих Правил, в соответствии с перечнем субсидируемых затрат, указанных в пункте 5 настоящих Правил.

7. Конкурс проводится конкурсной комиссией по конкурсному отбору организаций на право получения субсидии из федерального бюджета на финансовое обеспечение части затрат на проведение научно-исследовательских, опытно-конструкторских и технологических работ в рамках создания производства газовых турбин большой мощности (далее - конкурсная комиссия), образуемой Министерством промышленности и торговли Российской Федерации, в целях определения организации-победителя конкурса.

Конкурс проводится Министерством промышленности и торговли Российской Федерации в 2019 году.

8. В целях проведения конкурса Министерство промышленности и торговли Российской Федерации:

а) разрабатывает конкурсную документацию, включающую в себя требования к заявке на участие в конкурсе (далее - заявка), содержанию и оформлению бизнес-плана комплексного проекта, к прилагаемым в соответствии с пунктом 9 настоящих Правил документам (далее - требования конкурсной документации), а также определяет сроки и порядок рассмотрения документов, представленных организациями-участниками конкурса;

б) принимает решение о проведении конкурса и размещает на официальном сайте Министерства промышленности и торговли Российской Федерации в информационно-телекоммуникационной сети "Интернет" (далее - сеть "Интернет") извещение о проведении конкурса с указанием сроков его проведения, а также конкурсную документацию;

в) образует конкурсную комиссию и утверждает положение о ней;

г) образует экспертный совет по проведению научно-технической экспертизы комплексных проектов (далее - экспертный совет) и утверждает положение об экспертном совете, определяющем структуру, цели, задачи, функции экспертного совета, а также полномочия членов экспертного совета, порядок отбора кандидатов в члены экспертного совета;

д) разрабатывает и утверждает методику проведения научно-технической экспертизы комплексных проектов.

9. Для участия в конкурсе организация представляет в Министерство промышленности и торговли Российской Федерации в сроки, указанные в извещении о проведении конкурса, оформленные в соответствии с требованиями конкурсной документации, прошитые, постранично пронумерованные и запечатанные в конверт следующие документы:

а) заявка;

б) сведения о среднесписочной численности работников за год, предшествующий календарному году подачи заявки, по форме, утвержденной Федеральной налоговой службой, а также справка о наличии в штате организации персонала численностью не менее 250 человек, подписанная руководителем организации;

в) составленная в произвольной форме справка об обеспеченности организации технологическим и испытательным оборудованием для реализации комплексного проекта, принадлежащим на праве собственности или на ином законном основании организации, или ее дочерним обществам, или организациям, по отношению к которым организация является дочерней и которые находятся на территории Российской Федерации, подписанная руководителем организации, с приложением копий подтверждающих документов;

г) копии документов, подтверждающих наличие у организации необходимых для реализации комплексного проекта и принадлежащих ей на праве собственности или на ином законном основании зданий, строений и сооружений, права на которые не зарегистрированы в Едином государственном реестре недвижимости, и сделки с ними;

д) составленная в произвольной форме справка о наличии у организации успешного опыта реализации комплексных проектов в энергетическом машиностроении, в том числе по их выводу на плановую окупаемость и обеспечению достижения запланированных показателей экономической эффективности, подписанная руководителем организации;

е) подписанная руководителем организации справка о наименовании и технических характеристиках продукции, которая будет создана в ходе реализации комплексного проекта;

ж) подписанная руководителем организации справка об осуществлении организацией на момент подачи заявки работ по реализации комплексного проекта за счет собственных и (или) заемных средств с указанием объема фактически осуществленных затрат и выполненных работ;

з) подписанная руководителем и главным бухгалтером (при наличии) организации справка (по состоянию на дату не ранее чем 15-е число месяца, предшествующего месяцу, в котором планируется представление заявки), подтверждающая, что организация не получает из федерального бюджета средства на цель, указанную в пункте 1 настоящих Правил, на основании иных нормативных правовых актов;

и) утвержденный руководителем организации бизнес-план комплексного проекта, включающий в себя:

краткое описание комплексного проекта с указанием наименования всех единиц создаваемой в рамках комплексного проекта продукции и соответствующих кодов Общероссийского классификатора продукции по видам экономической деятельности, а также с указанием наименования соисполнителей, привлекаемых к реализации комплексного проекта;

срок реализации комплексного проекта;

технологический анализ комплексного проекта с описанием ключевых технических характеристик разрабатываемых базовых технологий и создаваемой продукции;

патентный анализ в части разрабатываемых базовых технологий и создаваемой продукции, а также сведения о наличии и количестве патентов, которые предполагается получить в рамках реализации комплексного проекта;

сведения о наличии у организации научно-технического, технологического и производственного задела, необходимого для реализации комплексного проекта;

анализ зависимости комплексного проекта от импортных технологий и комплектующих;

маркетинговый анализ комплексного проекта, содержащий анализ российского и мирового рынков продукции, создаваемой в рамках реализации комплексного проекта, а также анализ конкурентной среды в части сравнения продукции, создаваемой в рамках комплексного проекта, с российскими и иностранными аналогами;

план-график реализации комплексного проекта, определяющий сроки достижения ключевых событий и плановых значений целевых показателей (индикаторов) эффективности реализации комплексного проекта в рамках каждого периода и на конец реализации комплексного проекта (далее - план-график реализации комплексного проекта), включающий в себя:

объем производства и реализации продукции, создаваемой в рамках комплексного проекта (в натуральном и денежном выражении);

количество вновь создаваемых и модернизируемых в рамках реализации комплексного проекта высокопроизводительных рабочих мест;

количество предполагаемых к получению патентов и (или) секретов производства (ноу-хау);

размер субсидии, запрашиваемой в рамках реализации комплексного проекта;

объем внебюджетных средств, привлекаемых организацией на проведение научно-исследовательских, опытно-конструкторских и технологических работ в рамках создания производства газовых турбин большой мощности (в диапазоне 60 - 80 МВт и 150 - 180 МВт с коэффициентом полезного действия не менее 35 процентов в простом цикле);

объем экспорта продукции, созданной в рамках комплексного проекта;

план-график финансового обеспечения реализации комплексного проекта за счет средств субсидии, а также за счет собственных и заемных средств (далее - план-график финансового обеспечения реализации комплексного проекта);

оценку возможности внедрения и коммерческого использования результатов реализации комплексного проекта, достижения ключевых событий и плановых значений показателей (индикаторов) эффективности реализации комплексного проекта;

к) гарантийные письма инвесторов (соинвесторов) и (или) кредитных организаций либо государственной корпорации "Банк развития и внешнеэкономической деятельности (Внешэкономбанк)" о готовности предоставить финансовое обеспечение расходов, связанных с реализацией комплексного проекта, в случае необходимости привлечения кредитных средств для целей реализации комплексного проекта (указанные письма должны содержать сведения об эффективности планируемых инвестиций в комплексный проект, подготовленные на основе результатов анализа бизнес-плана комплексного проекта).

10. Объем внебюджетных средств, привлекаемых организацией и (или) соисполнителями по комплексному проекту, не может быть меньше размера субсидии по комплексному проекту.

Указанные внебюджетные средства организация привлекает в каждом периоде в размере не менее 10 процентов суммы предоставляемой субсидии для финансирования затрат, предусмотренных пунктом 5 настоящих Правил. Оставшийся объем указанных внебюджетных средств организация может привлекать для создания, расширения, модернизации комплекса объектов недвижимого имущества, приобретения и модернизации оборудования в целях организации конструкторской, производственной и испытательной базы, серийного выпуска продукции, приобретения у российских и (или) иностранных организаций исключительных прав на результаты интеллектуальной деятельности, необходимых для реализации комплексного проекта.

11. Министерство промышленности и торговли Российской Федерации:

а) регистрирует в порядке поступления документы, указанные в пункте 9 настоящих Правил, в специальном журнале N 1, который должен быть прошнурован, постранично пронумерован и скреплен печатью Министерства промышленности и торговли Российской Федерации;

б) направляет представленные организацией в соответствии с пунктом 9 настоящих Правил документы в конкурсную комиссию в сроки, указанные в конкурсной документации.

12. Конкурсная комиссия в порядке и сроки, которые установлены конкурсной документацией:

а) вскрывает конверты с документами, представленными организациями-участниками конкурса, проверяет наличие документов, предусмотренных пунктом 9 настоящих Правил, а также осуществляет оценку бизнес-планов комплексных проектов на их соответствие требованиям подпункта "и" пункта 9 настоящих Правил и по итогам рассмотрения указанных документов оформляет протокол вскрытия конвертов, который содержит перечень организаций, допущенных к участию в конкурсе. Протокол вскрытия конвертов подписывается всеми присутствующими членами конкурсной комиссии и размещается на официальном сайте Министерства промышленности и торговли Российской Федерации в сети "Интернет" в течение 7 рабочих дней после вскрытия указанных конвертов;

б) передает экспертному совету документы, представленные организациями-участниками конкурса, в течение 3 рабочих дней со дня подписания протокола вскрытия конвертов. Экспертный совет в течение 15 рабочих дней после получения указанных документов проводит в соответствии с методикой, указанной в подпункте "д" пункта 8 настоящих Правил, научно-техническую экспертизу комплексных проектов (по итогам научно-технической экспертизы комплексного проекта оформляется заключение и протокол научно-технической экспертизы комплексного проекта, который подписывается всеми членами экспертного совета и передается в конкурсную комиссию) по следующим критериям:

соответствие мировому уровню технических характеристик, создаваемых газовых турбин большой мощности, разработка которых предусмотрена комплексным проектом, а также продукции, создание которой планируется на основе данных технологий в рамках комплексного проекта;

потребность в газовых турбинах большой мощности, создаваемых в рамках комплексного проекта;

наличие у организации научно-технического, опытно-конструкторского и технологического задела и его значимость для реализации комплексного проекта;

наличие производственных активов на территории Российской Федерации для внедрения результатов научно-исследовательских, опытно-конструкторских и технологических работ по комплексному проекту или наличие соответствующих мероприятий по их созданию в бизнес-плане комплексного проекта;

соответствие характеристик планируемой к созданию в рамках комплексного проекта инфраструктуры требованиям планируемой к созданию и производству в рамках комплексного проекта продукции;

отсутствие критической зависимости комплексного проекта от импорта сырья и комплектующих, а также от технологий, принадлежащих иностранным лицензиарам;

доступность и возможность использования сырья, оборудования и материалов, необходимых для разработки и выпуска продукции в рамках комплексного проекта;

направления внедрения и коммерческого использования результатов комплексного проекта;

в) проверяет в течение 10 рабочих дней со дня подписания протокола научно-технической экспертизы комплексного проекта соответствие документов, представленных организацией-участником конкурса, прошедшей научно-техническую экспертизу, требованиям, установленным конкурсной документацией, и определяет рейтинг заявок в соответствии с методикой определения рейтинга заявок, представленных российскими организациями на конкурс на право получения из федерального бюджета субсидии на финансовое обеспечение части затрат на проведение научно-исследовательских, опытно-конструкторских и технологических работ в рамках создания производства газовых турбин большой мощности, а также организации-победителя конкурса согласно приложению N 1 по следующим критериям:

объем производства и реализации газовых турбин большой мощности, которые будут созданы в ходе реализации комплексного проекта;

количество вновь создаваемых и модернизируемых высокопроизводительных рабочих мест в рамках реализации комплексного проекта;

соотношение размера субсидии, запрашиваемой на создание производства газовых турбин большой мощности в рамках комплексного проекта, и размера заемных и (или) собственных средств, планируемых к привлечению для реализации комплексного проекта;

срок реализации комплексного проекта (срок, в который предполагается обеспечить достижение всех заявленных показателей (индикаторов) эффективности реализации комплексного проекта);

объем экспорта продукции, созданной в рамках комплексного проекта;

г) по итогам научно-технической экспертизы комплексного проекта, определения рейтинга заявок и организации-победителя конкурса в течение 3 рабочих дней оформляет протокол победителя конкурса.

13. Министерство промышленности и торговли Российской Федерации в течение 5 рабочих дней со дня подписания конкурсной комиссией протокола победителя конкурса размещает протокол победителя конкурса на официальном сайте Министерства промышленности и торговли Российской Федерации в сети "Интернет".

14. В течение 30 рабочих дней со дня подписания протокола победителя конкурса Министерство промышленности и торговли Российской Федерации заключает договор о предоставлении субсидии в соответствии с типовой формой, утвержденной Министерством финансов Российской Федерации, с организацией-победителем конкурса о предоставлении субсидии на срок реализации комплексного проекта в соответствии с бизнес-планом комплексного проекта победителя конкурса.

Для заключения договора о предоставлении субсидии организация-победитель конкурса представляет в Министерство промышленности и торговли Российской Федерации составленное в произвольной форме заявление с приложением к нему следующих документов:

а) справка налогового органа (по состоянию на дату не ранее чем 15-е число месяца, предшествующего месяцу, в котором планируется заключение договора о предоставлении субсидии), подтверждающая, что у организации отсутствует неисполненная обязанность по уплате налогов, сборов, страховых взносов, пеней, штрафов, процентов, подлежащих уплате в соответствии с законодательством Российской Федерации о налогах и сборах (в случае непредставления организацией такого документа Министерство промышленности и торговли Российской Федерации запрашивает его самостоятельно);

б) справка о соответствии организации требованиям, указанным в подпунктах "б" - "ж" пункта 4 настоящих Правил, подписанная руководителем и главным бухгалтером (при наличии) организации.

15. Министерство промышленности и торговли Российской Федерации не заключает с организацией-победителем конкурса договор о предоставлении субсидии в случае отказа организации-победителя конкурса заключить договор о предоставлении субсидии или в случае несоответствия организации-победителя конкурса требованиям, установленным пунктом 4 настоящих Правил.

16. Договор о предоставлении субсидии предусматривает в том числе следующие положения:

а) общая стоимость комплексного проекта и максимальный размер субсидии на срок реализации комплексного проекта в соответствии с бизнес-планом комплексного проекта (при этом срок предоставления субсидии не превышает срока, на который до Министерства промышленности и торговли Российской Федерации доведены лимиты бюджетных обязательств);

б) целевые показатели (индикаторы) эффективности реализации комплексного проекта, предусмотренные бизнес-планом комплексного проекта по годам его реализации, а также обязательства организации-получателя субсидии по обеспечению их достижения в установленный срок;

в) показатель результативности использования субсидии, установленный пунктом 22 настоящих Правил, и обязательства организации-получателя субсидии по его достижению;

г) план-график реализации комплексного проекта;

д) согласие организации-получателя субсидии на проведение проверок Министерством промышленности и торговли Российской Федерации и (или) органом государственного финансового контроля соблюдения организацией цели, порядка и условий предоставления субсидии, которые установлены договором о предоставлении субсидии и настоящими Правилами, а также право Министерства промышленности и торговли Российской Федерации проводить указанные проверки, в том числе на территории организации-получателя субсидии;

е) обязательство организации-получателя субсидии по включению в договоры, заключаемые в целях исполнения обязательств по договору о предоставлении субсидии, согласия организаций-соисполнителей на проведение Министерством промышленности и торговли Российской Федерации и (или) органами государственного финансового контроля проверок соблюдения цели, порядка и условий предоставления субсидий, установленных договором о предоставлении субсидии и настоящими Правилами;

ж) условия расторжения договора о предоставлении субсидии, в том числе одностороннего расторжения договора о предоставлении субсидии Министерством промышленности и торговли Российской Федерации, а также обязательство организации-получателя субсидии по возврату в доход федерального бюджета в порядке, установленном бюджетным законодательством Российской Федерации, полученной по договору о предоставлении субсидии средств субсидии (в полном объеме) в случае одностороннего расторжения договора о предоставлении субсидии по инициативе Министерства промышленности и торговли Российской Федерации при возникновении следующих ситуаций:

фактическое недостижение значений хотя бы одного из показателей эффективности реализации комплексного проекта, предусмотренных договором о предоставлении субсидии, более чем на 50 процентов плановых значений показателей в течение 3 периодов (нарастающим итогом), показателя результативности использования субсидии, указанного в пункте 22 настоящих Правил;

непредставление отчета об осуществлении расходов, источником финансового обеспечения которых является субсидия, и(или) отчета о затратах на проведение научно-исследовательских, опытно-конструкторских и технологических работ в рамках создания производства газовых турбин большой мощности либо отказ от получения субсидии в соответствии с планом-графиком финансового обеспечения реализации комплексного проекта в течение 2 периодов подряд;

з) основания для отказа в предоставлении субсидии, порядок применения и размер штрафных санкций при недостижении организацией значений целевых показателей (индикаторов) эффективности реализации комплексного проекта, установленных договором о предоставлении субсидии и относящихся к существенным условиям его выполнения;

и) требование к ведению организации-получателя субсидии раздельного учета затрат при реализации комплексного проекта;

к) формы и сроки представления:

отчета об осуществлении расходов, источником финансового обеспечения которых является субсидия;

справки о достижении контрольных событий и целевых показателей (индикаторов) эффективности реализации комплексного проекта;

отчета о затратах на проведение научно-исследовательских, опытно-конструкторских и технологических работ в рамках создания производства газовых турбин большой мощности;

отчета по итогам реализации проекта и достижения показателя результативности использования субсидии, установленного в соответствии с пунктом 22 настоящих Правил;

л) ответственность организации-получателя субсидии за несоблюдение порядка представления документов и форм, указанных в подпункте "к" настоящего пункта, в сроки, предусмотренные договором о предоставлении субсидии;

м) запрет на размещение полученных из федерального бюджета средств на депозитных счетах в кредитных организациях или государственной корпорации "Банк развития и внешнеэкономической деятельности (Внешэкономбанк)";

н) перечень затрат, на финансовое обеспечение которых предоставляется субсидия, указанных в пункте 5 настоящих Правил;

о) план-график финансового обеспечения реализации комплексного проекта.

17. В целях подтверждения затрат на проведение научно-исследовательских, опытно-конструкторских и технологических работ в рамках создания производства газовых турбин большой мощности организация-получатель субсидии представляет в Министерство промышленности и торговли Российской Федерации не позднее 15 февраля и 15 августа (составленные ежегодно) до окончания реализации комплексного проекта следующие документы:

а) отчет об осуществлении расходов, источником финансового обеспечения которых является субсидия, составленный по форме, установленной договором о предоставлении субсидии, и подписанный руководителем и главным бухгалтером (при наличии) организации, с приложением к отчету подтверждающих документов, в том числе выписки со счетов бухгалтерского учета, на которых организация ведет раздельный учет затрат на проведение научно-исследовательских, опытно-конструкторских и технологических работ в рамках создания производства газовых турбин большой мощности в рамках комплексного проекта в соответствии с подпунктом "и" пункта 16 настоящих Правил;

б) справка о достижении контрольных событий и целевых показателей (индикаторов) эффективности реализации комплексного проекта за отчетный и ему предшествующий периоды, подписанная руководителем организации, с приложением к справке подтверждающих документов;

в) отчет о затратах на проведение научно-исследовательских, опытно-конструкторских и технологических работ в рамках создания производства газовых турбин большой мощности, подписанный руководителем и главным бухгалтером (при наличии) организации, с приложением к отчету подтверждающих документов.

18. Министерство промышленности и торговли Российской Федерации проверяет полноту и достоверность сведений, содержащихся в документах, представленных организацией-получателем субсидии в соответствии с пунктом 17 настоящих Правил.

19. Предоставление субсидии осуществляется в пределах бюджетных ассигнований, предусмотренных федеральным законом о федеральном бюджете на соответствующий финансовый год и плановый период, и лимитов бюджетных обязательств, доведенных в установленном порядке до Министерства промышленности и торговли Российской Федерации как получателя средств федерального бюджета, на цель, указанную в пункте 1 настоящих Правил.

20. Основаниями для отказа в предоставлении субсидии являются:

а) несоответствие представленных документов требованиям к документам, установленным пунктом 17 настоящих Правил, а также условиям договора о предоставлении субсидии или непредставление (представление не в полном объеме) указанных документов;

б) наличие в документах неполных и (или) недостоверных сведений;

в) отклонение в течение 3 периодов подряд фактических значений показателей (индикаторов) эффективности реализации комплексного проекта, предусмотренных договором о предоставлении субсидии и бизнес-планом комплексного проекта, более чем на 50 процентов плановых значений таких показателей (нарастающим итогом);

г) наличие у организации-победителя конкурса просроченной задолженности по денежным обязательствам перед Российской Федерацией, указанным в статье 93.4 Бюджетного кодекса Российской Федерации.

21. Перечисление субсидии осуществляется в установленном порядке на счет, открытый территориальному органу Федерального казначейства в учреждении Центрального банка Российской Федерации для учета операций со средствами юридических лиц (их обособленных подразделений), не являющихся участниками бюджетного процесса, не позднее второго рабочего дня после представления в территориальный орган Федерального казначейства организации-получателя субсидии платежных документов для оплаты денежного обязательства.

22. Показателем результативности использования субсидии является подтверждение ввода продукции в серийную эксплуатацию (получение литеры ) - в срок, который определяется бизнес-планом комплексного проекта, но не позднее 14 лет с даты заключения договора о предоставлении субсидии, а также предоставления копий контрактов на поставку серийных образцов, количество которых определяется бизнес- планом комплексного проекта, но не менее 5 газовых турбин в диапазоне мощности 60 - 80 МВт и 5 газовых турбин в диапазоне мощности 150 - 180 МВт при предоставлении из федерального бюджета субсидии в размере до 3 млрд рублей, или не менее 6 газовых турбин в диапазоне мощности 60 - 80 МВт и 10 газовых турбин в диапазоне мощности 150 - 180 МВт при предоставлении из федерального бюджета субсидии в размере до 4,5 млрд рублей, или не менее 8 газовых турбин в диапазоне мощности 60 - 80 МВт и 14 газовых турбин в диапазоне мощности 150 - 180 МВт при предоставлении из федерального бюджета субсидии в размере до 7 млрд рублей.

Опытные образцы, созданные в результате реализации комплексного проекта, не могут быть отнесены к продукции, участвующей при оценке достижения показателя результативности использования субсидии.

23. Контроль за соблюдением организацией-получателем субсидии цели, порядка и условий предоставления субсидии, включая проведение обязательных проверок, осуществляют Министерство промышленности и торговли Российской Федерации и (или) орган государственного финансового контроля.

24. В случае установления Министерством промышленности и торговли Российской Федерации и (или) органом государственного финансового контроля в ходе обязательной проверки фактов нарушения цели, порядка и условий предоставления субсидии, а также расторжения договора о предоставлении субсидии, в том числе одностороннего расторжения договора о предоставлении субсидии Министерством промышленности и торговли Российской Федерации в соответствии с подпунктом "ж" пункта 16 настоящих Правил, соответствующие средства подлежат возврату организацией-получателем субсидии в доход федерального бюджета в порядке, установленном бюджетным законодательством Российской Федерации:

в течение 10 рабочих дней со дня получения соответствующего требования Министерства промышленности и торговли Российской Федерации организацией-получателем субсидии;

на основании представления и (или) предписания органа государственного финансового контроля.

К организации-получателю субсидии применяются штрафные санкции:

если по итогам реализации комплексного проекта хотя бы один из целевых показателей (индикаторов) эффективности реализации комплексного проекта, указанных в договоре о предоставлении субсидии, составляет менее 70 процентов значения, заявленного в комплексном проекте и определенного таким договором;

если по итогам реализации комплексного проекта не достигнут показатель результативности, установленный договором о предоставлении субсидии в соответствии с пунктом 22 настоящих Правил.

Расчет размера штрафных санкций, применяемых к организациям-получателям субсидии, производится согласно приложению N 2.

25. Организация-получатель субсидии не более одного раза в календарный год вправе обратиться в Министерство промышленности и торговли Российской Федерации с мотивированным заявлением о внесении изменений в значения целевых показателей (индикаторов) эффективности реализации комплексного проекта и в план-график реализации комплексного проекта (далее - заявление о внесении изменений) в следующих случаях:

а) введение торговых и экономических санкций в отношении российских юридических и (или) физических лиц, оказывающих влияние на реализацию комплексного проекта;

б) изменение валютных курсов более чем на 30 процентов с фиксацией измененного курса в течение не менее чем 6 месяцев, предшествующих дате подачи заявления о внесении изменений;

в) изменение стоимости высокотехнологичного импортного оборудования, технологической оснастки, результатов интеллектуальной деятельности, сырья, комплектующих изделий и услуг, необходимых для реализации комплексного проекта, на мировых рынках (в рублевом эквиваленте) более чем на 15 процентов с фиксацией измененной стоимости в течение не менее 6 месяцев, предшествующих дате подачи заявления о внесении изменений;

г) применение Правительством Российской Федерации мер, ограничивающих закупку высокотехнологичного импортного оборудования, технологической оснастки, результатов интеллектуальной деятельности, сырья, комплектующих изделий и услуг, указанных в бизнес-плане комплексного проекта и оказывающих влияние на срок реализации мероприятий плана-графика реализации комплексного проекта и достижение целевых показателей (индикаторов) эффективности реализации комплексного проекта;

д) установление в ходе проведения научно-исследовательских, опытно-конструкторских и технологических работ в рамках создания производства газовых турбин большой мощности факторов технологического характера, оказывающих влияние на срок реализации мероприятий плана-графика реализации комплексного проекта и достижение целевых показателей (индикаторов) эффективности реализации комплексного проекта;

е) установление в ходе проведения научно-исследовательских, опытно-конструкторских и технологических работ в рамках создания производства газовых турбин большой мощности факторов, оказывающих влияние на срок реализации мероприятий плана-графика реализации комплексного проекта и достижение целевых показателей (индикаторов) эффективности реализации комплексного проекта, возникших как следствие уже введенных торговых и экономических санкций в отношении российских юридических и (или) физических лиц, оказывающих влияние на реализацию комплексного проекта.

26. В случае наступления одного или нескольких событий, указанных в пункте 25 настоящих Правил, а также в случае уменьшения размера субсидии, предоставляемой в соответствии с пунктом 19 настоящих Правил, если лимитов бюджетных обязательств, доведенных в установленном порядке до Министерства промышленности и торговли Российской Федерации как получателя средств федерального бюджета, на цель, указанную в пункте 1 настоящих Правил, недостаточно для предоставления субсидии в текущем периоде в полном объеме, организация-получатель субсидии направляет в Министерство промышленности и торговли Российской Федерации заявление о внесении изменений, подписанное руководителем организации-получателя субсидии, с приложением к заявлению документов, свидетельствующих о наступлении указанных событий, расчетов, обосновывающих степень влияния наступивших событий на целевые показатели (индикаторы) эффективности реализации комплексного проекта, указанные в договоре о предоставлении субсидии, а также предложений о внесении изменений в план-график реализации комплексного проекта.

После получения заявления о внесении изменений в комплексный проект Министерство промышленности и торговли Российской Федерации в течение 3 рабочих дней передает его экспертному совету. Экспертный совет в течение 15 рабочих дней после получения заявления о внесении изменений проводит оценку документов и оформляет заключение о целесообразности (нецелесообразности) внесения таких изменений.

На основании заключения экспертного совета Министерство промышленности и торговли Российской Федерации принимает решение о возможности (невозможности) внесения изменений в значения целевых показателей (индикаторов) эффективности реализации комплексного проекта и в план-график реализации комплексного проекта. При этом уточнения указанных в договоре о предоставлении субсидии целевых показателей (индикаторов) эффективности реализации комплексного проекта в рамках отдельных периодов могут вноситься при условии сохранения итоговых значений этих показателей (индикаторов) на конец реализации комплексного проекта, а внесение изменений в план-график реализации комплексного проекта - при условии сохранения срока его реализации.

27. Расчет размера субсидии производится согласно приложению N 3.

ПРИЛОЖЕНИЕ N 1
к Правилам предоставления
из федерального бюджета
субсидий российским организациям
на финансовое обеспечение
части затрат на проведение
научно-исследовательских,
опытно-конструкторских
и технологических работ
в рамках создания производства
газовых турбин большой мощности

МЕТОДИКА ОПРЕДЕЛЕНИЯ РЕЙТИНГА ЗАЯВОК, ПРЕДСТАВЛЕННЫХ РОССИЙСКИМИ ОРГАНИЗАЦИЯМИ НА КОНКУРС НА ПРАВО ПОЛУЧЕНИЯ ИЗ ФЕДЕРАЛЬНОГО БЮДЖЕТА СУБСИДИЙ НА ФИНАНСОВОЕ ОБЕСПЕЧЕНИЕ ЧАСТИ ЗАТРАТ НА ПРОВЕДЕНИЕ НАУЧНО-ИССЛЕДОВАТЕЛЬСКИХ, ОПЫТНО-КОНСТРУКТОРСКИХ И ТЕХНОЛОГИЧЕСКИХ РАБОТ В РАМКАХ СОЗДАНИЯ ПРОИЗВОДСТВА ГАЗОВЫХ ТУРБИН БОЛЬШОЙ МОЩНОСТИ, А ТАКЖЕ ОРГАНИЗАЦИИ-ПОБЕДИТЕЛЯ КОНКУРСА

1. Настоящая методика определяет рейтинг заявок, представленных российскими организациями на конкурс на право получения из федерального бюджета субсидий на финансовое обеспечение части затрат на проведение научно-исследовательских, опытно-конструкторских и технологических работ в рамках создания производства газовых турбин большой мощности (далее соответственно - организация, конкурс, субсидия), на основании критериев, предусмотренных подпунктом "в" пункта 12 Правил предоставления из федерального бюджета субсидий российским организациям на финансовое обеспечение части затрат на проведение научно-исследовательских, опытно-конструкторских и технологических работ в рамках создания производства газовых турбин большой мощности, утвержденных постановлением Правительства Российской Федерации от 21 марта 2019 г. N 301 "Об утверждении Правил предоставления из федерального бюджета субсидий российским организациям на финансовое обеспечение части затрат на проведение научно-исследовательских, опытно-конструкторских и технологических работ в рамках создания производства газовых турбин большой мощности", а также организацию-победителя конкурса.

2. Рейтинг заявки организации на участие в конкурсе () определяется по формуле:

,

где:

- рейтинг, присуждаемый i-й заявке по критерию, касающемуся объема производства и реализации продукции, созданной в рамках реализации комплексного проекта;

- удельный вес рейтинга, присуждаемого i-й заявке по критерию, касающемуся объема производства и реализации продукции, созданной в рамках реализации комплексного проекта, значимость которого составляет 30 процентов;

- рейтинг, присуждаемый i-й заявке по критерию, касающемуся количества вновь создаваемых и модернизируемых высокопроизводительных рабочих мест в рамках реализации комплексного проекта;

- удельный вес рейтинга, присуждаемого i-й заявке по критерию, касающемуся количества вновь создаваемых и модернизируемых высокопроизводительных рабочих мест в рамках реализации комплексного проекта, значимость которого составляет 20 процентов;

- рейтинг, присуждаемый i-й заявке по критерию, касающемуся соотношения размера субсидии и размера заемных и (или) собственных средств, планируемых к привлечению для реализации комплексного проекта;

- удельный вес рейтинга, присуждаемого i-й заявке по критерию, касающемуся соотношения размера субсидии и размера заемных и (или) собственных средств, планируемых к привлечению для реализации комплексного проекта, значимость которого составляет 25 процентов;

- рейтинг, присуждаемый i-й заявке по критерию, касающемуся заявляемого срока реализации комплексного проекта;

- удельный вес рейтинга, присуждаемого i-й заявке по критерию, касающемуся заявляемого срока реализации комплексного проекта, значимость которого составляет 15 процентов;

- рейтинг, присуждаемый i-й заявке по критерию, касающемуся объема экспорта продукции, созданной в рамках комплексного проекта;

- удельный вес рейтинга, присуждаемого i-й заявке по критерию, касающемуся объема экспорта продукции, созданной в рамках комплексного проекта, значимость которого составляет 10 процентов.

3. Рейтинг, присуждаемый i-й заявке по критерию, касающемуся объема реализации продукции, созданной в рамках реализации комплексного проекта (), определяется по формуле:

,

где:

- предложение i-й организации-участника конкурса об объеме продукции, которая будет создана в ходе реализации комплексного проекта (млн рублей);

- минимальный объем реализации продукции, которая будет создана в ходе реализации комплексного проекта, установленного в конкурсной документации (млн рублей);

- максимальный объем реализации продукции, которая будет создана в ходе реализации комплексного проекта, заявленного одной из организаций-участников конкурса (млн рублей).

4. Рейтинг, присуждаемый i-й заявке по критерию, касающемуся вновь создаваемых и модернизируемых высокопроизводительных рабочих мест в рамках реализации комплексного проекта (), определяется по формуле:

,

где:

- предложение i-й организации-участника конкурса о количестве вновь создаваемых и модернизируемых высокопроизводительных рабочих мест (штук);

- минимальное количество вновь создаваемых и модернизируемых высокопроизводительных рабочих мест, установленное в конкурсной документации (штук);

- максимальное количество вновь создаваемых и модернизируемых высокопроизводительных рабочих мест, заявленное одной из организаций-участников конкурса (штук).

5. Рейтинг, присуждаемый i-й заявке по критерию, касающемуся соотношения размера субсидии и размера заемных и (или) собственных средств, планируемых к привлечению для реализации комплексного проекта (), определяется по формуле:

,

где:

начальный (максимальный) размер соотношения размера субсидии и размера заемных и (или) собственных средств, планируемых к привлечению для реализации комплексного проекта, установленный в конкурсной документации;

- предложение i-й организации-участника конкурса о соотношении размера субсидии и размера заемных и (или) собственных средств, планируемых к привлечению для реализации комплексного проекта.

6. Рейтинг, присуждаемый i-й заявке по критерию, касающемуся срока реализации комплексного проекта (), определяется по формуле:

,

где:

- начальный (максимальный) срок реализации комплексного проекта, установленный в конкурсной документации (месяцев);

- предложение i-й организации-участника конкурса о сроке реализации комплексного проекта (месяцев).

7. Рейтинг, присуждаемый i-й заявке по критерию, касающемуся объема экспорта продукции, созданной в рамках комплексного проекта (), определяется по формуле:

,

где:

- предложение i-й организации-участника конкурса об объеме экспорта продукции (тыс. долларов США);

- наибольший объем экспорта продукции, заявленный одним из участников конкурса (тыс. долларов США).

8. Победителем конкурса признается организация, заявка на участие в конкурсе которой получила наивысший рейтинг согласно пункту 2 настоящей методики.

ПРИЛОЖЕНИЕ N 2
к Правилам предоставления
из федерального бюджета
субсидий российским организациям
на финансовое обеспечение
части затрат на проведение
научно-исследовательских,
опытно-конструкторских
и технологических работ
в рамках создания производства
газовых турбин большой мощности

РАСЧЕТ РАЗМЕРА ШТРАФНЫХ САНКЦИЙ, ПРИМЕНЯЕМЫХ К РОССИЙСКИМ ОРГАНИЗАЦИЯМ, ПОЛУЧИВШИХ ИЗ ФЕДЕРАЛЬНОГО БЮДЖЕТА СУБСИДИИ НА ФИНАНСОВОЕ ОБЕСПЕЧЕНИЕ ЧАСТИ ЗАТРАТ НА ПРОВЕДЕНИЕ НАУЧНО-ИССЛЕДОВАТЕЛЬСКИХ, ОПЫТНО-КОНСТРУКТОРСКИХ И ТЕХНОЛОГИЧЕСКИХ РАБОТ В РАМКАХ СОЗДАНИЯ ПРОИЗВОДСТВА ГАЗОВЫХ ТУРБИН БОЛЬШОЙ МОЩНОСТИ

1. Размер штрафных санкций (тыс. рублей) (А) за недостижение показателей эффективности определяется по формуле:

,

- достигнутое значение i-го показателя (индикатора) эффективности реализации комплексного проекта, указанного в договоре о предоставлении субсидии, на дату окончания срока реализации комплексного проекта или на дату окончания периода, в котором принято решение о расторжении указанного договора, в том числе об одностороннем расторжении договора Министерством промышленности и торговли Российской Федерации в соответствии с подпунктом "ж" пункта 16 Правил предоставления из федерального бюджета субсидий российским организациям на финансовое обеспечение части затрат на проведение научно-исследовательских, опытно-конструкторских и технологических работ в рамках создания производства газовых турбин большой мощности, утвержденных постановлением Правительства Российской Федерации от 21 марта 2019 г. N 301 "Об утверждении Правил предоставления из федерального бюджета субсидий российским организациям на финансовое обеспечение части затрат на проведение научно-исследовательских, опытно-конструкторских и технологических работ в рамках создания производства газовых турбин большой мощности" (далее - Правила). В случае если достигнутое значение i-го показателя (индикатора) превышает плановое значение, отношение достигнутого показателя к плановому показателю (индикатору) необходимо считать равным 1;

- плановое значение i-го показателя (индикатора) эффективности реализации комплексного проекта, указанного в договоре о предоставлении субсидии;

- удельный вес рейтинга заявки на участие в конкурсе, определенного в соответствии с приложением N 1 к Правилам;

V - объем средств федерального бюджета, использованный организацией в рамках реализации комплексного проекта на момент окончания срока реализации такого проекта или на дату окончания периода, в котором принято решение о расторжении договора о предоставлении субсидии, в том числе об одностороннем расторжении Министерством промышленности и торговли Российской Федерации в соответствии с подпунктом "л" пункта 16 Правил (тыс. рублей).

2. Размер штрафных санкций (тыс. рублей) (А) за недостижение показателей результативности использования субсидии, установленных договором о предоставлении субсидии в соответствии с пунктом 22 Правил, определяется по формуле:

,

где:

- достигнутое на дату окончания срока реализации комплексного проекта или на дату окончания периода, в котором принято решение о расторжении договора, значение установленного договором о предоставлении субсидии количества газовых турбин в диапазоне 60 - 80 МВт, введенных в серийную эксплуатацию (получение литеры ), - в срок, который определяется бизнес-планом комплексного проекта (далее - бизнес-план), но не позднее 14 лет со дня заключения договора о предоставлении субсидии;

- достигнутое на дату окончания срока реализации комплексного проекта или на дату окончания периода, в котором принято решение о расторжении договора о предоставлении субсидии, значение установленного договором о предоставлении субсидии количества газовых турбин в диапазоне 150 - 180 МВт, введенных в серийную эксплуатацию (получение литеры 00, - в срок, который определяется бизнес-планом, но не позднее 14 лет со дня заключения договора о предоставлении субсидии. В случае если достигнутое значение одного из показателей составляет плановое значение, этот показатель для целей расчета считается равным плановому;

R1 - плановое значение установленного договором о предоставлении субсидии количества газовых турбин в диапазоне 60 - 80 МВт, введенных в серийную эксплуатацию (получение литеры ), - в срок, который определяется бизнес-планом, но не позднее 14 лет со дня заключения договора о предоставлении субсидии;

R2 - плановое значение установленного договором о предоставлении субсидии количества газовых турбин в диапазоне 150 - 180 МВт, введенных в серийную эксплуатацию (получение литеры ), - в срок, который определяется бизнес-планом, но не позднее 14 лет с даты заключения договора о предоставлении субсидии;

С1 - установленная бизнес-планом стоимость газовых турбин в диапазоне 60 - 80 МВт;

С2 - установленная бизнес-планом стоимость газовых турбин в диапазоне 150 - 180 МВт;

V - объем средств федерального бюджета, использованный организацией в рамках реализации комплексного проекта на дату окончания срока реализации такого проекта или на дату окончания периода, в котором принято решение о расторжении договора о предоставлении субсидии, в том числе об одностороннем расторжении Министерством промышленности и торговли Российской Федерации в соответствии с подпунктом "л" пункта 16 Правил (тыс. рублей).

В случае если по результатам деятельности получателя субсидии имеет место перепроизводство турбин одного вида и недопроизводство турбин другого вида, то при > R1 считать = R1 и при > R2 считать = R2.

ПРИЛОЖЕНИЕ N 3
к Правилам предоставления
из федерального бюджета
субсидий российским организациям
на финансовое обеспечение
части затрат на проведение
научно-исследовательских,
опытно-конструкторских
и технологических работ
в рамках создания производства
газовых турбин большой мощности

РАСЧЕТ РАЗМЕРА СУБСИДИЙ ИЗ ФЕДЕРАЛЬНОГО БЮДЖЕТА РОССИЙСКИМ ОРГАНИЗАЦИЯМ НА ФИНАНСОВОЕ ОБЕСПЕЧЕНИЕ ЧАСТИ ЗАТРАТ НА ПРОВЕДЕНИЕ НАУЧНО-ИССЛЕДОВАТЕЛЬСКИХ, ОПЫТНО-КОНСТРУКТОРСКИХ И ТЕХНОЛОГИЧЕСКИХ РАБОТ В РАМКАХ СОЗДАНИЯ ПРОИЗВОДСТВА ГАЗОВЫХ ТУРБИН БОЛЬШОЙ МОЩНОСТИ

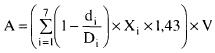
Размер субсидии (), предоставляемой российской организации-победителю конкурса из федерального бюджета на финансовое обеспечение части затрат на проведение научно-исследовательских, опытно-конструкторских и технологических работ в рамках создания производства газовых турбин большой мощности, определяется в соответствии с пунктом 5 Правил предоставления из федерального бюджета субсидий российским организациям на финансовое обеспечение части затрат на проведение научно-исследовательских, опытно-конструкторских и технологических работ в рамках создания производства газовых турбин большой мощности, утвержденных постановлением Правительства Российской Федерации от 21 марта 2019 г. N 301 "Об утверждении Правил предоставления из федерального бюджета субсидий российским организациям на финансовое обеспечение части затрат на проведение научно-исследовательских, опытно-конструкторских и технологических работ в рамках создания производства газовых турбин большой мощности", по формуле:

,

где:

- расходы на оплату труда работников, занятых выполнением научно-исследовательских, опытно-конструкторских и технологических работ, за период выполнения ими работ в рамках комплексного проекта (в размере, не превышающем уровня средней заработной платы в регионе, в котором реализуется комплексный проект), также расходы на обязательное пенсионное страхование, обязательное социальное страхование на случай временной нетрудоспособности и в связи с материнством, обязательное медицинское страхование, обязательное социальное страхование от несчастных случаев на производстве и профессиональных заболеваний, начисленные на указанные суммы расходов на оплату труда;

- накладные расходы в размере не более 300 процентов суммы расходов на оплату труда работников, непосредственно занятых реализацией комплексного проекта;

- расходы по договорам на выполнение научно-исследовательских, опытно-конструкторских и технологических работ в целях создания производства газовых турбин большой мощности, оформление правовой охраны технических решений, технической экспертизы;

- расходы на приобретение у российских и иностранных организаций лицензий на результаты интеллектуальной деятельности, а также программного обеспечения, программно-аппаратных высокопроизводительных вычислительных комплексов, аппаратно-программных комплексов, аппаратных или программных комплексов, необходимых для реализации комплексного проекта;

- расходы на изготовление (модернизацию) опытных образцов, макетов и стендов, в том числе на приобретение материалов и покупных комплектующих изделий;

- расходы на производство до 4 пилотных образцов (2 типов газовых турбин в диапазоне мощности 60 - 80 МВт с коэффициентом полезного действия не менее 35 процентов в простом цикле и 2 типов газовых турбин в диапазоне мощности 150 - 180 МВт с коэффициентом полезного действия не менее 35 процентов в простом цикле), включая их тестирование, сертификацию и (или) регистрацию, а также проведение испытаний;

- расходы на аренду (лизинг) технологического оборудования и технологической оснастки, необходимых для создания производства газовых турбин большой мощности.