Письмо Минздрава РФ N 11-7/10/2-7543, ФФОМС N 14525/26-1/И от 21.11.2018

"О Методических рекомендациях по способам оплаты медицинской помощи за счет средств обязательного медицинского страхования"
Редакция от 02.07.2019 — Документ утратил силу, см. «Письмо Минздрава РФ N 11-7/И/2-11779, ФФОМС N 17033/26-2/И от 12.12.2019»
Показать изменения

Данный документ дополнен Письмами ФФОМС от 03.12.2018 N 15031/26-1/и, от 23.04.2019 N 5071/26-2/и.


МИНИСТЕРСТВО ЗДРАВООХРАНЕНИЯ РОССИЙСКОЙ ФЕДЕРАЦИИ
N 11-7/10/2-7543

ФЕДЕРАЛЬНЫЙ ФОНД ОБЯЗАТЕЛЬНОГО МЕДИЦИНСКОГО СТРАХОВАНИЯ
N 14525/26-1/и

ПИСЬМО
от 21 ноября 2018 года

О МЕТОДИЧЕСКИХ РЕКОМЕНДАЦИЯХ ПО СПОСОБАМ ОПЛАТЫ МЕДИЦИНСКОЙ ПОМОЩИ ЗА СЧЕТ СРЕДСТВ ОБЯЗАТЕЛЬНОГО МЕДИЦИНСКОГО СТРАХОВАНИЯ

(в ред. Писем Минздрава РФ N 11-7/И/2-3440, ФФОМС N 4855/26-2/и от 19.04.2019, Минздрава РФ N 11-7/и/2-5785, ФФОМС N 8096/26-1/и от 02.07.2019)

Министерство здравоохранения Российской Федерации совместно с Федеральным фондом обязательного медицинского страхования направляет для руководства и использования в работе Методические рекомендации по способам оплаты медицинской помощи за счет средств обязательного медицинского страхования, разработанные рабочей группой Министерства здравоохранения Российской Федерации по подготовке методических рекомендаций по реализации способов оплаты медицинской помощи в рамках программы государственных гарантий бесплатного оказания гражданам медицинской помощи (утверждена приказом Министерства здравоохранения Российской Федерации от 15.12.2015 N 931), взамен Методических рекомендаций по способам оплаты медицинской помощи за счет средств обязательного медицинского страхования, направленных в субъекты Российской Федерации совместным письмом от 21.11.2017 Министерства здравоохранения Российской Федерации N 11-7/10/2-8080 и Федерального фонда обязательного медицинского страхования N 13572/26-2/и.

Заместитель
Министра здравоохранения
Российской Федерации
Н.А. ХОРОВА

Председатель
Федерального фонда обязательного
медицинского страхования
Н.Н. СТАДЧЕНКО

Приложение

ОДОБРЕНО
решением рабочей группы
Министерства здравоохранения
Российской Федерации по подготовке
методических рекомендаций по реализации
способов оплаты медицинской помощи
в рамках программы государственных
гарантий бесплатного оказания
гражданам медицинской помощи
(протокол заседания
от 12 ноября 2018 г. N 66/11/15)

МЕТОДИЧЕСКИЕ РЕКОМЕНДАЦИИ ПО СПОСОБАМ ОПЛАТЫ МЕДИЦИНСКОЙ ПОМОЩИ ЗА СЧЕТ СРЕДСТВ ОБЯЗАТЕЛЬНОГО МЕДИЦИНСКОГО СТРАХОВАНИЯ

(в ред. Писем Минздрава РФ N 11-7/И/2-3440, ФФОМС N 4855/26-2/и от 19.04.2019, Минздрава РФ N 11-7/и/2-5785, ФФОМС N 8096/26-1/и от 02.07.2019)

I. СПОСОБЫ ОПЛАТЫ МЕДИЦИНСКОЙ ПОМОЩИ В СТАЦИОНАРНЫХ УСЛОВИЯХ И В УСЛОВИЯХ ДНЕВНОГО СТАЦИОНАРА НА ОСНОВЕ ГРУПП ЗАБОЛЕВАНИЙ, В ТОМ ЧИСЛЕ КЛИНИКО-СТАТИСТИЧЕСКИХ ГРУПП (КСГ) И КЛИНИКО-ПРОФИЛЬНЫХ ГРУПП (КПГ)

Основными отличиями новой модели клинико-статистических групп (далее - КСГ) от модели КСГ 2018 года являются:

1) увеличение количества КСГ в условиях круглосуточного стационара с 343 до 359 групп, в условиях дневного стационара - с 134 до 150 групп, в том числе за счет:

- расширения количества КСГ для случаев лекарственной терапии взрослых пациентов при злокачественных новообразованиях (кроме лимфоидной и кроветворной тканей) в условиях дневного стационара с 8 до 10 групп;

- увеличения количества КСГ для случаев лучевой терапии пациентов в условиях круглосуточного стационара с 3 до 17 групп (из них 7 КСГ - для случаев лучевой терапии в сочетании с лекарственной терапией пациентов со злокачественными новообразованиями), в условиях дневного стационара - с 3 до 15 групп (из них 5 КСГ для случаев лучевой терапии в сочетании с лекарственной терапией пациентов со злокачественными новообразованиями);

- выделения КСГ в условиях дневного стационара для случаев установки (замены) порт системы (катетера) для лекарственной терапии злокачественных новообразований (кроме лимфоидной и кроветворной тканей) и для случаев госпитализации в диагностических целях с постановкой/подтверждением диагноза злокачественного новообразования с использованием ПЭТ КТ;

2) выделение новых классификационных критериев - количество дней проведения лучевой терапии (фракций) и МНН лекарственного препарата.

1. Основные понятия и термины

В целях реализации настоящих рекомендаций устанавливаются следующие основные понятия и термины:

Случай госпитализации - случай лечения в стационарных условиях и (или) условиях дневного стационара, в рамках которого осуществляется ведение одной медицинской карты стационарного больного, являющийся единицей объема медицинской помощи в рамках реализации территориальной программы обязательного медицинского страхования;

Клинико-статистическая группа заболеваний (КСГ) - группа заболеваний, относящихся к одному профилю медицинской помощи и сходных по используемым методам диагностики и лечения пациентов и средней ресурсоемкости (стоимость, структура затрат и набор используемых ресурсов);

Клинико-профильная группа (КПГ) - группа КСГ и (или) отдельных заболеваний, объединенных одним профилем медицинской помощи;

Оплата медицинской помощи по КСГ (КПГ) - оплата медицинской помощи по тарифу, рассчитанному исходя из установленных: базовой ставки, коэффициента затратоемкости и поправочных коэффициентов;

Базовая ставка - средний объем финансового обеспечения медицинской помощи в расчете на одного пролеченного пациента, определенный исходя из нормативов объемов медицинской помощи и нормативов финансовых затрат на единицу объема медицинской помощи, установленных территориальной программой государственных гарантий, с учетом других параметров, предусмотренных настоящими рекомендациями (средняя стоимость законченного случая лечения);

Коэффициент относительной затратоемкости - устанавливаемый настоящими рекомендациями коэффициент, отражающий отношение стоимости конкретной клинико-статистической группы заболеваний или клинико-профильной группы заболеваний к среднему объему финансового обеспечения медицинской помощи в расчете на одного пролеченного пациента (базовой ставке);

Коэффициент дифференциации - устанавливаемый на федеральном уровне коэффициент, отражающий более высокий уровень заработной платы и коэффициент ценовой дифференциации бюджетных услуг для отдельных территорий, используемый в расчетах в случае, если для территории субъекта Российской Федерации установлено несколько коэффициентов дифференциации;

Поправочные коэффициенты - устанавливаемые на территориальном уровне: управленческий коэффициент, коэффициент уровня (подуровня) оказания медицинской помощи, коэффициент сложности лечения пациентов;

Управленческий коэффициент - устанавливаемый на территориальном уровне коэффициент, позволяющий корректировать тариф клинико-статистической группы с целью управления структурой госпитализаций и (или) учета региональных особенностей оказания медицинской помощи по конкретной клинико-статистической группе;

Коэффициент уровня оказания медицинской помощи - устанавливаемый на территориальном уровне коэффициент, позволяющий учесть различия в размерах расходов в зависимости от уровня оказания медицинской помощи в стационарных условиях и в условиях дневного стационара;

Коэффициент подуровня оказания медицинской помощи - устанавливаемый на территориальном уровне коэффициент, позволяющий учесть различия в размерах расходов медицинских организаций, относящихся к одному уровню оказания медицинской помощи, обусловленный объективными причинами;

Коэффициент сложности лечения пациентов - устанавливаемый на территориальном уровне коэффициент, устанавливаемый в отдельных случаях в связи со сложностью лечения пациента, и учитывающий более высокий уровень затрат на оказание медицинской помощи;

Подгруппа в составе клинико-статистической группы заболеваний - группа заболеваний, выделенная в составе клинико-статистической группы заболеваний с учетом классификационных критериев, в том числе дополнительно устанавливаемых в субъекте Российской Федерации, для которой установлен коэффициент относительной затратоемкости, отличный от коэффициента относительной затратоемкости по клинико-статистической группе, с учетом установленных правил выделения и применения подгрупп;

Оплата медицинской помощи за услугу - составной компонент оплаты, применяемый дополнительно к оплате по КСГ в рамках одного случая госпитализации строго в соответствии с перечнем услуг, установленных настоящими рекомендациями.

2. Основные подходы к оплате медицинской помощи по КСГ и КПГ

При оплате медицинской помощи, оказанной в стационарных условиях (в том числе для медицинской реабилитации в специализированных медицинских организациях (структурных подразделениях)) и в условиях дневного стационара, в соответствии с Программой государственных гарантий бесплатного оказания гражданам медицинской помощи (далее - Программа) применяются следующие способы оплаты:

- за законченный случай лечения заболевания, включенного в соответствующую группу заболеваний (в том числе КСГ);

- за прерванный случай оказания медицинской помощи при переводе пациента в другую медицинскую организацию, преждевременной выписке пациента из медицинской организации при его письменном отказе от дальнейшего лечения, летальном исходе, а также при проведении диагностических исследований, оказании услуг диализа.

Оплата за счет средств обязательного медицинского страхования медицинской помощи, оказанной в стационарных условиях и в условиях дневного стационара, по КСГ (КПГ) осуществляется во всех страховых случаях, за исключением:

- заболеваний, при лечении которых применяются виды и методы медицинской помощи по перечню видов высокотехнологичной медицинской помощи, включенных в базовую программу обязательного медицинского страхования, на которые Программой установлены нормативы финансовых затрат на единицу предоставления медицинской помощи;

- заболеваний, при лечении которых применяются виды и методы медицинской помощи по перечню видов высокотехнологичной медицинской помощи, не включенных в базовую программу обязательного медицинского страхования, для которых Программой установлена средняя стоимость оказания медицинской помощи, в случае их финансирования в рамках территориальной программы обязательного медицинского страхования;

- социально значимых заболеваний (заболевания, передаваемые половым путем, туберкулез, ВИЧ-инфекции и синдром приобретенного иммунодефицита, психические расстройства и расстройства поведения), в случае их финансирования в рамках территориальной программы обязательного медицинского страхования;

- услуг диализа, включающих различные методы.

При планировании объема средств, предназначенных для финансового обеспечения медицинской помощи, оказываемой в стационарных условиях (в том числе в условиях дневного стационара) и оплачиваемой по КСГ (КПГ), из общего объема средств, рассчитанного исходя из нормативов территориальной программы государственных гарантий бесплатного оказания гражданам медицинской помощи, исключаются средства:

- предназначенные для осуществления межтерриториальных расчетов;

- предназначенные на оплату медицинской помощи вне системы КСГ или КПГ (в случаях, являющихся исключениями);

- направляемые на формирование нормированного страхового запаса территориального фонда обязательного медицинского страхования в части превышения установленного объема средств, предназначенного на оплату медицинской помощи в связи с увеличением тарифов на оплату медицинской помощи, в результате превышения значения среднего поправочного коэффициента (СПК) по сравнению с запланированным.

Модель финансового обеспечения медицинской помощи, оказанной в стационарных условиях и в условиях дневного стационара, основана на объединении заболеваний в группы (КСГ или КПГ) и построена на единых принципах независимо от условий оказания медицинской помощи.

Субъект Российской Федерации самостоятельно определяет способ оплаты специализированной медицинской помощи в стационарных условиях и условиях дневного стационара:

на основе КПГ, объединяющих заболевания;

на основе КСГ, объединяющих заболевания.

При этом не исключается возможность сочетания использования этих способов оплаты при различных заболеваниях.

Все КСГ распределены по профилям медицинской помощи, при этом часть диагнозов, устанавливаемых при различных заболеваниях, хирургических операций и других медицинских технологий могут использоваться в смежных профилях, а часть являются универсальными для применения их в нескольких профилях. При оплате медицинской помощи в подобных случаях отнесение КСГ к конкретной КПГ не учитывается. Например, при оказании медицинской помощи на терапевтических койках ЦРБ пациенту с диагнозом "Бронхиальная астма", который относится к КСГ "Астма", оплата производится по соответствующей КСГ, вне зависимости от того, что данная КСГ входит в КПГ "Пульмонология". Исключением являются КСГ, включенные в профили "Медицинская реабилитация" и "Гериатрия", лечение в рамках которых может осуществляться только в медицинских организациях и структурных подразделениях медицинских организаций, имеющих лицензию на оказание медицинской помощи по профилю "Медицинская реабилитация" и "Гериатрия" соответственно.

Конкретный способ оплаты медицинской помощи при различных заболеваниях устанавливается территориальной программой обязательного медицинского страхования.

Формирование КПГ осуществляется на основе профилей медицинской деятельности в соответствии с приказом Министерства здравоохранения и социального развития Российской Федерации от 17.05.2012 N 555н "Об утверждении номенклатуры коечного фонда по профилям медицинской помощи".

Формирование КСГ осуществляется на основе совокупности следующих параметров, определяющих относительную затратоемкость лечения пациентов (классификационных критериев):

a. Диагноз (код по МКБ 10);

b. Хирургическая операция и (или) другая применяемая медицинская технология (код в соответствии с Номенклатурой медицинских услуг, утвержденной приказом Министерства здравоохранения Российской Федерации от 13.10.2017 N 804н (далее - Номенклатура), при наличии;

c. Схема лекарственной терапии;

d. МНН лекарственного препарата;

e. Возрастная категория пациента;

f. Сопутствующий диагноз или осложнения заболевания (код по МКБ 10);

g. Оценка состояния пациента по шкалам: шкала оценки органной недостаточности у пациентов, находящихся на интенсивной терапии (Sequential Organ Failure Assessment, SOFA), шкала оценки органной недостаточности у пациентов детского возраста, находящихся на интенсивной терапии (Pediatric Sequential Organ Failure Assessment, pSOFA), шкала реабилитационной маршрутизации;

h. Длительность непрерывного проведения искусственной вентиляции легких;

i. Количество дней проведения лучевой терапии (фракций);

j. Пол;

k. Длительность лечения.

Нумерация КПГ представлена в формате четырехзначного кода, в котором первым и вторым знаком являются латинские буквы st (для круглосуточного стационара) или ds (для дневного стационара), третий и четвертый знаки - это порядковый номер профиля. Номер КСГ формируются из номера КПГ, в которую включена соответствующая КСГ, и трехзначного номера КСГ внутри КПГ с разделением через точку. Например, КСГ "Сепсис, взрослые" в круглосуточном стационаре имеет код st12.005, где st12 - код профиля "Инфекционные болезни" в круглосуточном стационаре, а 005 - номер КСГ внутри КПГ "Инфекционные болезни".

Расшифровка групп в соответствии с МКБ 10 и Номенклатурой, а также инструкция по группировке случаев, включающая, в том числе правила учета классификационных критериев, и подходам к оплате медицинской помощи в амбулаторных условиях по подушевому нормативу финансирования (далее - Инструкция), представляется Федеральным фондом обязательного медицинского страхования территориальным фондам обязательного медицинского страхования в электронном виде.

Для оплаты случая лечения по КСГ в качестве основного диагноза указывается код по МКБ 10, являющийся основным поводом к госпитализации. Например, в случае, когда пациент, страдающий сахарным диабетом, госпитализирован в медицинскую организацию с легочной эмболией, для оплаты медицинской помощи в реестре счетов в поле "Основной диагноз" указывается легочная эмболия, в поле "Сопутствующий диагноз" указывается сахарный диабет.

Субъектом Российской Федерации должен быть обеспечен учет всех медицинских услуг, используемых в расшифровке групп. При наличии хирургических операций и (или) других применяемых медицинских технологий, являющихся классификационным критерием, отнесение случая лечения к конкретной КСГ осуществляется в соответствии с кодом Номенклатуры.

При наличии нескольких хирургических операций и (или) применяемых медицинских технологий, являющихся классификационными критериями, оплата осуществляется по КСГ, которая имеет наиболее высокий коэффициент относительной затратоемкости. В ряде случаев, предусмотренных Инструкцией, отнесение случая к той или иной КСГ может осуществляться с учетом кода диагноза по МКБ 10.

При отсутствии хирургических операций и (или) применяемых медицинских технологий, являющихся классификационным критерием, отнесение случая лечения к той или иной КСГ осуществляется в соответствии с кодом диагноза по МКБ 10. Если пациенту оказывалось оперативное лечение, то выбор между применением КСГ, определенной в соответствии с кодом диагноза по МКБ 10, и КСГ, определенной на основании кода Номенклатуры, осуществляется в соответствии с правилами, приведенными в Инструкции.

При оплате медицинской помощи, оказываемой в стационарных условиях, в составе КСГ в тарифном соглашении могут быть выделены подгруппы, в том числе с учетом иных классификационных критериев, устанавливаемых в субъекте Российской Федерации. При этом данный классификационный критерий должен быть в обязательном порядке включен в реестр счетов, формируемый медицинскими организациями и передаваемый в ТФОМС. В качестве дополнительно установленных классификационных критериев могут быть определены: длительное пребывание на профильной койке (реанимационные, реанимационные для новорожденных, интенсивной терапии, интенсивной терапии для новорожденных) или использование дорогостоящих реанимационных технологий, дорогостоящих лекарственных препаратов (расходных материалов), уровень оказания медицинской помощи в случае сложившейся однообразной этапности ее оказания для конкретной КСГ.

Выделение дорогостоящих лекарственных препаратов (расходных материалов) в качестве классификационных критериев возможно при наличии конкретных показаний, определенных клиническими рекомендациями (протоколами лечения) в ограниченном количестве случаев, входящих в базовую КСГ, только для лекарственных препаратов, входящих в Перечень жизненно необходимых и важнейших лекарственных препаратов для медицинского применения, и расходных материалов, включенных в перечень медицинских изделий, имплантируемых в организм человека при оказании медицинской помощи в рамках Программы. Дифференцирующими признаками в таких подгруппах могут быть как услуги по применению определенных групп лекарственных препаратов, так и международное непатентованное наименование (МНН) или схемы лекарственной терапии. Уровень затрат определяется исходя из сложившегося среднего уровня закупочных цен на данные препараты в субъекте Российской Федерации либо в соответствии с зарегистрированными предельными отпускными ценами.

Средневзвешенный весовой коэффициент затратоемкости (СКЗ) подгрупп должен быть равен коэффициенту относительной затратоемкости, установленному в рекомендациях (с возможностью его коррекции путем применения управленческого коэффициента).

СКЗ рассчитывается по формуле:

,

где:

весовой коэффициент затратоемкости подгруппы i;
количество случаев, пролеченных по подгруппе i;
количество случаев в целом по группе.

Количество случаев по каждой подгруппе планируется в соответствии с количеством случаев за предыдущий год, с учетом имеющихся в субъекте Российской Федерации приоритетов. Детальные правила выделения и применения подгрупп регламентируются Инструкцией.

Размер финансового обеспечения медицинской организации по КСГ или КПГ рассчитывается как сумма стоимости всех случаев госпитализации в стационаре:

,

где:

размер финансового обеспечения медицинской организации, рублей;
стоимость законченного случая госпитализации в стационарных условиях, рублей.

Применение способа оплаты стационарной медицинской помощи по КСГ или КПГ возможно только после осуществления в субъекте Российской Федерации расчетов по прогнозированию размеров финансового обеспечения медицинских организаций при переходе на оплату медицинской помощи по данным группам заболеваний. В случае если уровень финансового обеспечения отдельных медицинских организаций отличается от размера их финансового обеспечения при применении ранее действующего метода финансирования более чем на 10%, необходимо проведение анализа структуры госпитализаций и принятие управленческих решений по оптимизации уровня и структуры госпитализаций, в том числе утверждение на территории субъекта Российской Федерации управленческого коэффициента, коэффициента уровня оказания стационарной медицинской помощи и выделение подгрупп в структуре КСГ.

Анализ структуры госпитализаций в разрезе медицинских организаций осуществляется с использованием среднего коэффициента затратоемкости стационара (СКЗст), который рассчитывается по формуле:

,

где:

число случаев госпитализации пациентов по определенной КСГ или КПГ в стационарных условиях;
коэффициент относительной затратоемкости по определенной КСГ или КПГ;
общее количество законченных случаев лечения в стационарных условиях за год.

При правильной организации маршрутизации пациентов в субъекте Российской Федерации средний коэффициент затратоемкости стационара для медицинских организаций, имеющих более высокий уровень оснащенности, должен иметь большее значение, чем для медицинских организаций, имеющих более низкий уровень оснащенности.

Субъектам Российской Федерации следует осуществлять оценку эффективности оплаты медицинской помощи, оказанной стационарно и в условиях дневного стационара, в динамике по показателям, характеризующим:

- среднюю длительность пребывания в стационаре;

- уровень и структуру заболеваемости в круглосуточном стационаре;

- долю отдельных групп КСГ в стационарных условиях в общем количестве законченных случаев: st02.010, st14.001, st05.008, st05.009, st19.027 - st19.036, st20.005, st21.001, st29.009, st30.006, st31.002, st34.002;

- уровень и структуру заболеваемости в условиях дневного стационара;

- долю отдельных групп КСГ в условиях дневного стационара в общем количестве случаев лечения: ds02.003, ds14.001, ds19.001 - ds19.015, ds19.018 - ds19.027, ds05.005, ds05.006, ds20.002, ds21.002, ds29.001, ds30.002, ds31.002, ds34.002;

- структуру исходов лечения, в том числе уровень больничной летальности;

- оперативную активность;

- долю повторных госпитализаций по поводу одного и того же заболевания в течение 30 дней с момента выписки пациента (за исключением заболеваний с курсовым лечением и состояний, связанных с беременностью, а также операций на парных органах, частях тела).

3. Основные параметры оплаты медицинской помощи по КСГ или КПГ, определяющие стоимость законченного случая лечения

Расчет стоимости законченного случая лечения по КСГ или КПГ осуществляется на основе следующих экономических параметров:

1. Размер средней стоимости законченного случая лечения, включенного в КСГ или КПГ (базовая ставка);

2. Коэффициент относительной затратоемкости;

3. Коэффициент дифференциации, при наличии;

4. Поправочные коэффициенты:

a. управленческий коэффициент;

b. коэффициент уровня оказания медицинской помощи;

c. коэффициент сложности лечения пациента.

Стоимость одного случая госпитализации в стационаре (ССксг/кпг) по КСГ или КПГ определяется по следующей формуле:

,

где

БС размер средней стоимости законченного случая лечения (базовая ставка), рублей;
коэффициент относительной затратоемкости по КСГ или КПГ, к которой отнесен данный случай госпитализации (основной коэффициент, устанавливаемый на федеральном уровне);
ПК поправочный коэффициент оплаты КСГ или КПГ (интегрированный коэффициент, устанавливаемый на региональном уровне);
КД коэффициент дифференциации, рассчитанный в соответствии с постановлением Правительства Российской Федерации от 05.05.2012 N 462 "О порядке распределения, предоставления и расходования субвенций из бюджета Федерального фонда обязательного медицинского страхования бюджетам территориальных фондов обязательного медицинского страхования на осуществление переданных органам государственной власти субъектов Российской Федерации полномочий Российской Федерации в сфере обязательного медицинского страхования" (далее - Постановление N 462).
Данный коэффициент используется в расчетах в случае, если для территории субъекта Российской Федерации установлено несколько коэффициентов дифференциации, в том числе для расположенных на территории закрытых административно-территориальных образований.
В случае, если коэффициент дифференциации является единым для всей территории субъекта Российской Федерации, то данный коэффициент учитывается в базовой ставке.

3.1. Размер средней стоимости законченного случая лечения, включенного в КСГ или КПГ (базовая ставка)

Размер средней стоимости законченного случая лечения, включенного в КСГ или КПГ (базовая ставка), определяется исходя из следующих параметров:

- объема средств, предназначенных для финансового обеспечения медицинской помощи, оказываемой в стационарных условиях (в условиях дневного стационара) и оплачиваемой по КСГ или КПГ (ОС);

- общего планового количества случаев лечения, подлежащих оплате по КСГ или КПГ (Чсл);

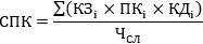
- среднего поправочного коэффициента оплаты по КСГ или КПГ (СПК).

Размер средней стоимости законченного случая лечения (базовая ставка) устанавливается тарифным соглашением, принятым на территории субъекта Российской Федерации, и рассчитывается по формуле:

.

СПК рассчитывается по формуле:

.

Размер базовой ставки устанавливается на год. Корректировка базовой ставки возможна в случае значительных отклонений фактических значений от расчетных не чаще одного раза в квартал. Расчет базовой ставки осуществляется отдельно для медицинской помощи, оказываемой в стационарных условиях и в условиях дневного стационара.

При этом недопустимо установление базовой ставки в стационарных условиях ниже 65% от норматива финансовых затрат на 1 случай госпитализации, а в условиях дневного стационара ниже 60% от норматива финансовых затрат 1 случай лечения, установленных территориальной программой обязательного медицинского страхования субъекта Российской Федерации.

В случае отсутствия возможности расчета СПК из-за недостаточного количества статистической информации его значение рекомендуется установить на уровне 1,1 - 1,2 с целью учета прогнозируемого роста средней сложности пролеченных пациентов как признака улучшения обоснованности госпитализаций (данная рекомендация сформирована по итогам пилотной апробации модели КСГ).

Плановое количество случаев лечения по каждой медицинской организации (каждой КСГ или КПГ) определяется согласно статистическим данным в рамках персонифицированного учета в сфере обязательного медицинского страхования, осуществляемого в соответствии с главой 10 Федерального закона от 29.11.2010 N 326-ФЗ "Об обязательном медицинском страховании в Российской Федерации" (далее - Федеральный закон N 326-ФЗ) с учетом запланированных изменений структуры госпитализаций.

3.2. Коэффициент относительной затратоемкости КСГ или КПГ

Коэффициент относительной затратоемкости определяется на федеральном уровне для каждой КСГ и КПГ при оказании медицинской помощи в стационарных условиях (Приложение 1) и в условиях дневного стационара (Приложение 2) и не может быть изменен при установлении тарифов в субъектах Российской Федерации.

Перечни КСГ (Приложение 1 и 2) включают, в том числе КСГ с одинаковым наименованием, содержащим уточнение уровня, например, "Аппендэктомия, взрослые (уровень 1)" и "Аппендэктомия, взрослые (уровень 2). В таких случаях уровень означает уровень затратоемкости группы заболеваний (чем выше уровень, тем выше значение коэффициента относительной затратоемкости), а не уровень оказания медицинской помощи, установленный для медицинской организации.

3.3. Поправочный коэффициент оплаты КСГ или КПГ

Поправочный коэффициент оплаты КСГ или КПГ для конкретного случая рассчитывается с учетом коэффициентов оплаты, установленных в субъекте Российской Федерации, по следующей формуле:

,

где

управленческий коэффициент по КСГ или КПГ, к которой отнесен данный случай госпитализации (используется в расчетах, в случае если указанный коэффициент определен в субъекте Российской Федерации для данной КСГ или КПГ);
коэффициент уровня оказания медицинской помощи в медицинской организации, в которой был пролечен пациент;
КСЛП коэффициент сложности лечения пациента (используется в расчетах, в случае если указанный коэффициент определен в субъекте Российской Федерации для данного случая).

Расчет и установление значений поправочных коэффициентов осуществляется отдельно для медицинской помощи, оказываемой в стационарных условиях и в условиях дневного стационара.

3.3.1. Управленческий коэффициент

Управленческий коэффициент (КУксг/кпг) устанавливается тарифным соглашением, принятым на территории субъекта Российской Федерации, для конкретной КСГ или КПГ.

Цель установления управленческого коэффициента состоит: в мотивации медицинских организаций к регулированию уровня госпитализации при заболеваниях и состояниях, входящих в определенную КСГ или КПГ, или стимулировании к внедрению конкретных современных методов лечения. Кроме этого, управленческий коэффициент может быть применен в целях стимулирования медицинских организаций, а также медицинских работников (через осуществление выплат стимулирующего характера) к внедрению ресурсосберегающих медицинских и организационных технологий, в том числе развитию дневных стационаров в больничных учреждениях. В период перехода на оплату медицинской помощи по КСГ управленческий коэффициент может применяться с целью коррекции рисков резкого изменения финансирования случаев, отнесенных к отдельным КСГ, пролеченных преимущественно в монопрофильных медицинских организациях.

Управленческий коэффициент применяется к КСГ или КПГ в целом и является единым для всех уровней оказания медицинской помощи.

Управленческий коэффициент необходимо устанавливать таким образом, чтобы средневзвешенный управленческий коэффициент (с учетом количества случаев по каждой КСГ) был равен 1 (применение повышающего коэффициента к одним КСГ должно сопровождаться сопоставимым применением понижающего коэффициента к другим КСГ с целью соблюдения принципов "бюджетной нейтральности").

Условие применения управленческого коэффициента:

,

где:

число законченных случаев по клинико-статистической группе j;
управленческий коэффициент, применяемый к клинико-статистической группе j;
коэффициент относительной затратоемкости по клинико-статистической группе j.

Суммирование в числителе и знаменателе формулы осуществляется по клинико-статистическим группам, к которым применяется понижающий или повышающий управленческий коэффициент.

Число законченных случаев по каждой КСГ определяется на основании фактических данных о числе случаев лечения в разрезе КСГ за прошедший год или на основании планового количества случаев лечения по каждой КСГ.

Значение управленческого коэффициента - от 0,8 до 1,4.

В случае применения управленческого коэффициента с целью коррекции рисков его значение должно быть рассчитано с учетом фактических расходов на оказание медицинской помощи в рамках конкретной КСГ.

К КСГ, включающим оплату медицинской помощи с применением сложных медицинских технологий, в том числе при заболеваниях, являющихся основными причинами смертности, а также к КСГ, связанным с применением лекарственной терапии онкологическим больным в условиях круглосуточного и дневного стационаров, применение понижающих коэффициентов не допускается (перечень представлен в Инструкции).

К КСГ, включающим оплату медицинской помощи при заболеваниях, лечение которых должно преимущественно осуществляться в амбулаторных условиях и в условиях дневного стационара (перечень представлен в Инструкции), повышающий управленческий коэффициент не применяется.

3.3.2. Коэффициент уровня оказания медицинской помощи

При оплате медицинской помощи учитываются этапы (уровни) предоставления медицинской помощи в соответствии с порядками ее оказания. Коэффициент уровня оказания медицинской помощи устанавливается тарифным соглашением, принятым на территории субъекта Российской Федерации, в разрезе трех уровней оказания медицинской помощи (за исключением городов федерального значения, где возможно установление двух уровней) дифференцированно для медицинских организаций и (или) структурных подразделений медицинских организаций в соответствии с действующим законодательством. При этом структурные подразделения медицинской организации, оказывающие медицинскую помощь соответственно в стационарных условиях и в условиях дневного стационара, исходя из маршрутизации пациентов, могут иметь различные коэффициенты уровня оказания медицинской помощи.

Решение по установлению коэффициента уровня оказания медицинской помощи для КСГ в условиях дневного стационара принимается на уровне субъекта Российской Федерации. Исключение составляют медицинские организации, расположенные на территории закрытых административных территориальных образований, коэффициент подуровня оказания медицинской помощи для которых устанавливается в значении не менее 1,2. При отсутствии различий в оказании медицинской помощи в дневном стационаре в медицинских организациях разного уровня субъект Российской Федерации может отказаться от установления коэффициента уровня оказания медицинской помощи в условиях дневного стационара.

Коэффициент уровня оказания медицинской помощи отражает разницу в затратах на оказание медицинской помощи с учетом тяжести состояния пациента, наличия у него осложнений, проведения углубленных исследований на различных уровнях оказания медицинской помощи, а также оказания медицинских услуг с применением телемедицинских технологий.

Среднее значение коэффициента уровня оказания медицинской помощи составляет:

1) для медицинских организаций 1-го уровня - 0,95;

2) для медицинских организаций 2-го уровня - 1,1;

3) для медицинских организаций 3-го уровня - 1,3.

В пределах 3-го уровня системы оказания медицинской помощи выделяют подуровень, включающий, в том числе федеральные медицинские организации, оказывающие высокотехнологичную медицинскую помощь.

С учетом объективных критериев (разница в используемых энергоносителях, плотность населения обслуживаемой территории, монопрофильная медицинская организация, например, инфекционная больница, и т.д.), основанных на экономическом обосновании и расчетах, выполненных в соответствии с Методикой расчета тарифов на оплату медицинской помощи по обязательному медицинскому страхованию, утвержденной приказом Министерства здравоохранения Российской Федерации от 28.02.2019 N 108н в составе Правил обязательного медицинского страхования (далее - Методика расчета тарифов), по каждому уровню могут выделяться не более 5 подуровней оказания медицинской помощи с установлением коэффициентов по каждому подуровню. (в ред. Письма Минздрава РФ N 11-7/и/2-5785, ФФОМС N 8096/26-1/и от 02.07.2019)

Границы значений коэффициента подуровня оказания медицинской помощи:

1) для медицинских организаций 1-го уровня - от 0,7 до 1,2;

2) для медицинских организаций 2-го уровня - от 0,9 до 1,3;

3) для медицинских организаций 3-го уровня - от 1,1 до 1,5;

3.1) для федеральных медицинских организаций и (или) структурных подразделений федеральных медицинских организаций, оказывающих высокотехнологичную медицинскую помощь - от 1,4 до 1,7.

Медицинские организации и (или) структурные подразделения медицинских организаций, оказывающие медицинскую помощь с применением телемедицинских технологий, а также госпитали ветеранов войн необходимо относить к подуровню с более высоким коэффициентом подуровня оказания медицинской помощи.

Для медицинских организаций и (или) структурных подразделений медицинских организаций, расположенных на территории закрытых административных территориальных образований, выделяют подуровень в пределах соответствующего уровня оказания медицинской помощи в стационарных условиях и в условиях дневного стационара с установлением значения коэффициента подуровня оказания медицинской помощи не менее 1,2.

Однако средневзвешенный коэффициент уровня (СКУСi) оказания медицинской помощи каждого уровня не может превышать средние значения. СКУСi рассчитывается по формуле:

,

где:

средневзвешенный коэффициент уровня i;
коэффициент подуровня j;
число случаев, пролеченных в стационарах с подуровнем j;
число случаев в целом по уровню.

При этом субъект Российской Федерации вправе корректировать средние значения коэффициента уровня оказания медицинской помощи (с учетом установленных коэффициентов подуровней).

Установленные тарифным соглашением средние значения коэффициента уровня оказания медицинской помощи для каждого последующего уровня в обязательном порядке должны превышать значения, установленные для предыдущих уровней.

В случае выделения подуровней оказания медицинской помощи соответствующие коэффициенты используются в расчетах вместо средних значений коэффициентов уровня оказания медицинской помощи (КУСмо).

Учитывая, что различия в затратах на оказание медицинской помощи учтены при расчете коэффициентов затратоемкости, коэффициент уровня оказания медицинской помощи при оплате медицинской помощи по ряду КСГ, не применяется. Исключение составляют медицинские организации, расположенные на территории закрытых административных территориальных образований, коэффициент уровня оказания медицинской помощи для которых применяется ко всем КСГ. Перечень КСГ, для которых не применяется коэффициент уровня оказания медицинской помощи в условиях круглосуточного стационара, приведен в Инструкции (КСГ, медицинская помощь по которым оказываются преимущественно на одном уровне, либо имеющие высокую степень стандартизации медицинских технологий, и предусматривающие в большинстве случаев одинаковое применение методов диагностики и лечения в различных уровнях оказания помощи). Перечень КСГ дневного стационара, к которым не применяется коэффициент уровня, определяется на уровне субъекта Российской Федерации с применением аналогичного подхода, за исключением КСГ, относящихся к профилю "Детская онкология" и "Онкология".

Вместе с тем, в целях регулирования более высокого уровня затрат на оказание медицинской помощи, уровня госпитализации отдельных групп заболеваний, а также учета особенностей оказания медицинской помощи, предусмотрено также установление поправочных коэффициентов: управленческого и коэффициента сложности лечения пациента.

3.3.3. Коэффициент сложности лечения пациента

Коэффициент сложности лечения пациента (КСЛП) устанавливается тарифным соглашением, принятым на территории субъекта Российской Федерации, к отдельным случаям оказания медицинской помощи.

КСЛП учитывает более высокий уровень затрат на оказание медицинской помощи пациентам в отдельных случаях.

КСЛП устанавливается на основании объективных критериев, перечень которых приводится в тарифном соглашении и в обязательном порядке отражаются в реестрах счетов.

КСЛП применяется также при сверхдлительных сроках госпитализации, обусловленных медицинскими показаниями. К сверхдлительным срокам госпитализаций относятся случаи лечения длительностью более 30 дней, за исключением ряда КСГ (перечень представлен в Инструкции), для которых сверхдлительными являются сроки лечения, превышающие 45 дней.

Суммарное значение КСЛП при наличии нескольких критериев не может превышать 1,8, за исключением случаев сверхдлительной госпитализации. В случае сочетания факта сверхдлительной госпитализации с другими критериями рассчитанное значение КСЛП, исходя из длительности госпитализации, прибавляется без ограничения итогового значения.

Случаи, в которых рекомендуется устанавливать КСЛП, и диапазоны его значений установлены Приложением 3 к настоящим рекомендациям. При этом возможно установление в тарифном соглашении различных значений из указанных диапазонов, в зависимости от выполнения имевших место конкретных оперативных вмешательств и диагностических исследований.

4. Подходы к оплате отдельных случаев оказания медицинской помощи по КСГ или КПГ

4.1. Оплата прерванных случаев оказания медицинской помощи

Тарифным соглашением должен быть определен порядок оплаты прерванных случаев оказания медицинской помощи при переводе пациента в другую медицинскую организацию, преждевременной выписке пациента из медицинской организации при его письменном отказе от дальнейшего лечения, летальном исходе, а также при проведении диагностических исследований.

В целях оплаты медицинской помощи к прерванным также относятся случаи, при которых длительность госпитализации составляет менее 3 дней включительно, за исключением законченных случаев, для которых длительность 3 дня и менее являются оптимальными сроками лечения. Перечень групп, по которым необходимо осуществлять оплату в полном объеме независимо от длительности лечения, представлен в Инструкции.

В случае если пациенту была выполнена хирургическая операция и (или) проведена тромболитическая терапия, являющиеся классификационными критериями отнесения данных случаев лечения к конкретным КСГ, случай оплачивается в размере:

- при длительности лечения 3 дня и менее - от 80 до 90% от стоимости КСГ или КПГ;

- при длительности лечения более 3-х дней - от 80 до 100% от стоимости КСГ или КПГ.

Если хирургическое лечение и (или) тромболитическая терапия не проводились, случай оплачивается в размере:

- при длительности лечения 3 дня и менее - не более 50% от стоимости КСГ или КПГ;

- при длительности лечения более 3-х дней - от 50 до 100% от стоимости КСГ или КПГ.

Конкретная доля оплаты данных случаев устанавливается в тарифном соглашении.

При переводе пациента из одного отделения медицинской организации в другое в рамках круглосуточного или дневного стационаров (в случае перевода из круглосуточного стационара в дневной стационар и из дневного стационара в круглосуточный - на усмотрение субъекта Российской Федерации), если это обусловлено возникновением (наличием) нового заболевания или состояния, входящего в другой класс МКБ 10 и не являющегося следствием закономерного прогрессирования основного заболевания, внутрибольничной инфекции или осложнением основного заболевания, а также при переводе пациента из одной медицинской организации в другую, оба случая лечения заболевания подлежат 100%-ой оплате в рамках соответствующих КСГ, за исключением прерванных случаев, которые оплачиваются в соответствии с установленными правилами.

При этом, если перевод производится в пределах одной медицинской организации, а заболевания относятся к одному классу МКБ 10, оплата производится в рамках одного случая лечения по КСГ с наибольшим размером оплаты.

Оплата по двум КСГ осуществляется в следующих случаях лечения в одной медицинской организации по заболеваниям, относящимся к одному классу МКБ:

- проведение медицинской реабилитации пациента после завершения лечения в той же медицинской организации по поводу заболевания, по которому осуществлялось лечение;

- случаи оказания медицинской помощи, связанные с установкой, заменой порт системы (катетера) для лекарственной терапии злокачественных новообразований с последующим проведением лекарственной терапии или после хирургического лечения в рамках одной госпитализации;

- этапное хирургическое лечение при злокачественных новообразованиях, не предусматривающее выписку пациента из стационара;

- дородовая госпитализация пациентки в отделение патологии беременности в случае пребывания в отделении патологии беременности в течение 6 дней и более (за исключением случаев, представленных в Инструкции) с последующим родоразрешением.

При этом если один из случаев лечения является прерванным, его оплата осуществляется в соответствии с установленными правилами.

4.2. Оплата случаев лечения, предполагающих сочетание оказания высокотехнологичной и специализированной медицинской помощи пациенту

При направлении в медицинскую организацию, в том числе федеральную, с целью комплексного обследования и (или) предоперационной подготовки пациентов, которым в последующем необходимо проведение хирургического лечения, в том числе в целях дальнейшего оказания высокотехнологичной медицинской помощи, указанные случаи оплачиваются в рамках специализированной медицинской помощи по КСГ, формируемой по коду МКБ 10 либо по коду Номенклатуры, являющемуся классификационным критерием в случае выполнения диагностического исследования.

Медицинская помощь в неотложной и экстренной формах, а также медицинская реабилитация в соответствии с порядками и на основе стандартов медицинской помощи, может быть предоставлена родителям (законным представителям), госпитализированным по уходу за детьми, страдающими тяжелыми хроническими инвалидизирующими заболеваниями, требующими сверхдлительных сроков лечения, и оплачивается медицинским организациям педиатрического профиля, имеющим необходимые лицензии, в соответствии с установленными способами оплаты.

После оказания в медицинской организации, в том числе федеральной медицинской организации, высокотехнологичной медицинской помощи, при наличии показаний, пациент может продолжить лечение в той же организации в рамках оказания специализированной медицинской помощи. Указанные случаи оказания специализированной медицинской помощи оплачиваются по соответствующей КСГ.

Распределение объемов медицинской помощи, оказываемой стационарно и в условиях дневного стационара, между медицинскими организациями может осуществляться с конкретизацией либо без конкретизации в разрезе КСГ или КПГ.

Отнесение случая оказания медицинской помощи к высокотехнологичной медицинской помощи осуществляется при соответствии кодов МКБ-10, модели пациента, вида лечения и метода лечения аналогичным параметрам, установленным в Программе в рамках перечня видов высокотехнологичной медицинской помощи, содержащего, в том числе методы лечения и источники финансового обеспечения высокотехнологичной медицинской помощи (далее - Перечень). Оплата видов высокотехнологичной медицинской помощи, включенных в базовую программу обязательного медицинского страхования, осуществляется по нормативам финансовых затрат на единицу объема предоставления медицинской помощи, утвержденным Программой. В случае, если хотя бы один из вышеуказанных параметров не соответствует Перечню, оплата случая оказания медицинской помощи осуществляется в рамках специализированной медицинской помощи по соответствующей КСГ исходя из выполненной хирургической операции и (или) других применяемых медицинских технологий.

4.3. Оплата случаев лечения по профилю "Медицинская реабилитация"

Лечение по профилю медицинская реабилитация производится в условиях круглосуточного, а также дневного стационара в медицинских организациях и структурных подразделениях медицинских организаций, имеющих лицензию на оказание медицинской помощи по профилю "Медицинская реабилитация".

Для КСГ NN st37.001 - st37.018 в стационарных условиях и для КСГ NN ds37.001 - ds37.012 в условиях дневного стационара критерием для определения индивидуальной маршрутизации пациента служит оценка состояния по шкале реабилитационной маршрутизации (ШРМ). При оценке 2 по ШРМ пациент получает медицинскую реабилитацию в условиях дневного стационара. При оценке 3 по ШРМ медицинская реабилитация оказывается пациенту в условиях дневного стационара или в стационарных условиях в зависимости от состояния пациента и в соответствии с маршрутизацией, установленной в субъекте Российской Федерации. При оценке 4 - 5 - 6 по ШРМ пациенту оказывается медицинская реабилитация в стационарных условиях. Градации оценки и описание ШРМ приведены в Инструкции.

Критерием для определения индивидуальной маршрутизации реабилитации детей, перенесших заболевания перинатального периода, с нарушениями слуха без замены речевого процессора системы кохлеарной имплантации, с онкологическими, гематологическими и иммунологическими заболеваниями в тяжелых формах продолжительного течения, с поражениями центральной нервной системы, после хирургической коррекции врожденных пороков развития органов и систем, служит оценка степени тяжести заболевания. При средней и тяжелой степени тяжести указанных заболеваний ребенок получает медицинскую реабилитацию в условиях круглосуточного стационара с оплатой по соответствующей КСГ. При средней и легкой степени тяжести указанных заболеваний ребенок получает медицинскую реабилитацию в условиях дневного стационара.

4.4. Оплата случаев лечения при оказании услуг диализа

При оказании медицинской помощи пациентам, получающим услуги диализа, оплата в амбулаторных условиях осуществляется за услугу диализа, в условиях дневного стационара - за услугу диализа и при необходимости в сочетании с КСГ, учитывающей основное (сопутствующее) заболевание, в условиях круглосуточного стационара - за услугу диализа только в сочетании с основной КСГ, являющейся поводом для госпитализации.

Тарифным соглашением устанавливаются базовые тарифы на оплату гемодиализа (код услуги A18.05.002 "Гемодиализ") и перитонеального диализа (код услуги A18.30.001 "Перитонеальный диализ"), рассчитанные в соответствии с Методикой расчета тарифов и включающие в себя расходы, определенные частью 7 статьи 35 Федерального закона N 326-ФЗ. Для последующего расчета остальных услуг диализа, оказываемых на территории субъекта Российской Федерации, к базовому тарифу применяются рекомендуемые коэффициенты относительной затратоемкости, представленные в Приложении 4.

Применение коэффициента дифференциации (при наличии) к стоимости услуги осуществляется с учетом доли расходов на заработную плату в составе тарифа на оплату медицинской помощи. Применение поправочных коэффициентов к стоимости услуг недопустимо. Учитывая единственный, законодательно установленный, способ оплаты медицинской помощи, оказанной в условиях дневного стационара - законченный случай лечения заболевания, пожизненный характер проводимого лечения и постоянное количество услуг в месяц у подавляющего большинства пациентов, в целях учета выполненных объемов медицинской помощи в рамках реализации территориальной программы обязательного медицинского страхования, за единицу объема в условиях дневного стационара принимается один месяц лечения. В стационарных условиях необходимо к законченному случаю относить лечение в течение всего периода нахождения пациента в стационаре.

При этом в период лечения, как в круглосуточном, так и в дневном стационаре, пациент должен обеспечиваться всеми необходимыми лекарственными препаратами, в том числе для профилактики осложнений. В случае, если обеспечение лекарственными препаратами осуществляется за счет других источников (кроме средств ОМС), оказание медицинской помощи с применением диализа осуществляется в амбулаторных условиях.

В случае если в регионе выполняются услуги диализа при сепсисе, септическом шоке, полиорганной недостаточности, печеночной недостаточности, острых отравлениях, остром некротическом панкреатите, остром рабдомиолизе и других миоглобинурических синдромах, парапротеинемических гемобластозах, жизнеугрожающих обострениях аутоиммунных заболеваний, субъект Российской Федерации вправе устанавливать тарифы на следующие услуги для осуществления дополнительной оплаты услуг к стоимости КСГ:

A18.05.002.004 Гемодиализ с селективной плазмофильтрацией и адсорбцией;

A18.05.003.001 Гемофильтрация крови продленная;

A18.05.006.001 Селективная гемосорбция липополисахаридов;

A18.05.001.001 Плазмообмен;

A18.05.001.003 Плазмодиафильтрация;

A18.05.001.005 Плазмофильтрация селективная;

A18.05.001.004 Плазмофильтрация каскадная;

A18.05.020.001 Плазмосорбция сочетанная с гемофильтрацией;

A18.05.021.001 Альбуминовый диализ с регенерацией альбумина.

4.5. Оплата случаев лечения по профилю "Акушерство и гинекология"

В стационарных условиях в стоимость КСГ по профилю "Акушерство и гинекология", предусматривающих родоразрешение, включены расходы на пребывание новорожденного в медицинской организации, где произошли роды. Пребывание здорового новорожденного в медицинской организации в период восстановления здоровья матери после родов не является основанием для предоставления оплаты по КСГ по профилю "Неонатология".

Учитывая возможность проведения отдельных этапов процедуры экстракорпорального оплодотворения, а также возможность криоконсервации и размораживания эмбрионов, рекомендуется в тарифном соглашении устанавливать поправочные коэффициенты (КСЛП) к случаям проведения экстракорпорального оплодотворения. Перечень случаев и значения коэффициентов приведены в Приложении 3.

С учетом КСЛП оплата экстракорпорального оплодотворения осуществляется в зависимости от этапа в размере согласно таблице 1:

Таблица 1

N п/п Наименование этапов проведения ЭКО Значение КСЛП
1 Проведение первого этапа экстракорпорального оплодотворения (стимуляция суперовуляции), I - II (стимуляция суперовуляции, получение яйцеклетки), I - III (стимуляция суперовуляции, получение яйцеклетки, экстракорпоральное оплодотворение и культивирование эмбрионов) без последующей криоконсервации эмбрионов (неполный цикл) 0,6
2 Проведение I - III этапов экстракорпорального оплодотворения (стимуляция суперовуляции, получение яйцеклетки, экстракорпоральное оплодотворение и культивирование эмбрионов) с последующей криоконсервацией эмбрионов (неполный цикл) 1
3 Полный цикл экстракорпорального оплодотворения без применения криоконсервации эмбрионов 1
4 Полный цикл экстракорпорального оплодотворения с криоконсервацией эмбрионов 1,1
5 Размораживание криоконсервированных эмбрионов с последующим переносом эмбрионов в полость матки (криоперенос) 0,19

Хранение криоконсервированных эмбрионов за счет средств обязательного медицинского страхования не осуществляется.

Средний норматив финансовых затрат на 1 случай экстракорпорального оплодотворения, утвержденный Программой государственных гарантий бесплатного оказания гражданам медицинской помощи на 2019 год и на плановый период 2020 и 2021 годов, соответствует стоимости полного цикла экстракорпорального оплодотворения без применения криоконсервации эмбрионов, но представляет собой усредненную стоимость случая экстракорпорального оплодотворения с учетом проведения у части пациентов неполных циклов и проведения в отдельных случаях полного цикла с криоконсервацией эмбрионов.

Оптимальная длительность случая при проведении криопереноса составляет 1 день, в связи с чем указанные случаи могут быть оказаны как в условиях дневного стационара, так и в амбулаторных условиях (по решению субъекта РФ).

4.6. Оплата случаев лечения по профилю "Онкология"

Средние коэффициенты относительной затратоемкости КПГ "Онкология" в стационарных условиях и в условиях дневного стационара установлены на основе нормативов финансовых затрат на единицу объема медицинской помощи, установленных Программой государственных гарантий бесплатного оказания гражданам медицинской помощи на 2019 год и на плановый период 2020 и 2021 годов, за исключением высокотехнологичной медицинской помощи по профилю "Онкология" и специализированной медицинской помощи, включенной в КПГ "Детская онкология".

КПГ "Онкология" круглосуточного стационара включает 55 КСГ, в том числе 26 КСГ для случаев хирургического лечения, 10 КСГ для случаев лекарственной терапии взрослых пациентов при злокачественных новообразованиях (кроме лимфоидной и кроветворной тканей), 10 КСГ для лучевой терапии, 7 КСГ для случаев проведения лучевой терапии в сочетании с лекарственной терапией, 1 КСГ для лечения фебрильной нейтропении, агранулоцитоза, возникших вследствие проведения лекарственной терапии злокачественных новообразований (кроме лимфоидной и кроветворной тканей) и 1 КСГ для установки (замены) порт системы (катетера) для лекарственной терапии злокачественных новообразований (кроме лимфоидной и кроветворной тканей).

КПГ "Онкология" дневного стационара включает 29 КСГ, в том числе 2 КСГ для случаев хирургического лечения, 10 КСГ для случаев лекарственной терапии взрослых пациентов при злокачественных новообразованиях (кроме лимфоидной и кроветворной тканей), 10 КСГ для лучевой терапии, 5 КСГ для случаев проведения лучевой терапии в сочетании с лекарственной терапией, 1 КСГ для установки (замены) порт системы (катетера) для лекарственной терапии злокачественных новообразований (кроме лимфоидной и кроветворной тканей) и 1 КСГ для случаев госпитализации в диагностических целях с постановкой/подтверждением диагноза злокачественного новообразования с использованием ПЭТ КТ.

Формирование КСГ и расчет коэффициентов относительной затратоемкости КСГ по профилю "Онкология" для случаев лечения пациентов со злокачественными новообразованиями (кроме лимфоидной и кроветворной тканей) в стационарных условиях и в условиях дневного стационара выполнены в соответствии с моделями диагностики и лечения пациентов в составе проектов стандартов медицинской помощи, разработанных на основании утвержденных Ассоциацией онкологов России клинических рекомендаций по профилю "Онкология" и размещенных на Рубрикаторе клинических рекомендаций Минздрава России (cr.rosminzdrav.ru).

При расчете стоимости случаев лекарственной терапии учтены в том числе нагрузочные дозы в соответствии с инструкциями по применению лекарственных препаратов для медицинского применения (отдельно схемы лекарственной терапии для нагрузочных доз не выделяются), а также учтена сопутствующая терапия для коррекции нежелательных явлений (например, противорвотные препараты, препараты, влияющие на структуру и минерализацию костей и др.).

Отнесение к КСГ, предусматривающим хирургическое лечение, осуществляется по коду МКБ 10 и коду медицинской услуги в соответствии с Номенклатурой.

Формирование КСГ для случаев лучевой терапии осуществляется на основании кода МКБ 10, кода медицинской услуги в соответствии с Номенклатурой и для большинства групп с учетом количества дней проведения лучевой терапии (фракций).

Отнесение к КСГ для случаев проведения лучевой терапии в сочетании с лекарственной терапией осуществляется по коду МКБ 10, коду медицинской услуги в соответствии с Номенклатурой, количества дней проведения лучевой терапии (фракций) и МНН лекарственных препаратов.

КСГ для случаев лекарственной терапии формируются на основании кода МКБ 10 и схемы лекарственной терапии.

Оптимальная длительность госпитализации в диагностических целях с постановкой/подтверждением диагноза злокачественного новообразования с использованием ПЭТ КТ составляет 1 день, в связи с чем указанные случаи могут быть оказаны как в условиях дневного стационара, так и в амбулаторных условиях (по решению субъекта РФ).

II. СПОСОБЫ ОПЛАТЫ ПЕРВИЧНОЙ МЕДИКО-САНИТАРНОЙ ПОМОЩИ, ОКАЗАННОЙ В АМБУЛАТОРНЫХ УСЛОВИЯХ, В ТОМ ЧИСЛЕ НА ОСНОВЕ ПОДУШЕВОГО НОРМАТИВА ФИНАНСИРОВАНИЯ НА ПРИКРЕПИВШИХСЯ ЛИЦ

1. Основные подходы к оплате первичной медико-санитарной помощи, оказанной в амбулаторных условиях

При оплате медицинской помощи, оказанной в амбулаторных условиях, Программой установлены следующие способы оплаты:

- по подушевому нормативу финансирования на прикрепившихся лиц в сочетании с оплатой за единицу объема медицинской помощи - за медицинскую услугу, за посещение, за обращение (законченный случай);

- за единицу объема медицинской помощи - за медицинскую услугу, за посещение, за обращение (законченный случай) (используется при оплате медицинской помощи, оказанной застрахованным лицам за пределами субъекта Российской Федерации, на территории которого выдан полис обязательного медицинского страхования, а также в отдельных медицинских организациях, не имеющих прикрепившихся лиц);

- по подушевому нормативу финансирования на прикрепившихся лиц с учетом показателей результативности деятельности медицинской организации (включая показатели объема медицинской помощи), в том числе с включением расходов на медицинскую помощь, оказываемую в иных медицинских организациях (за единицу объема медицинской помощи).

2. Основные параметры оплаты первичной медико-санитарной помощи

В соответствии с Требованиями к структуре и содержанию тарифного соглашения, установленными приказом Федерального фонда обязательного медицинского страхования от 21.11.2018 N 247 (далее - Требования), на основе нормативов объемов медицинской помощи и финансовых затрат на единицу объема медицинской помощи, установленных территориальной программой обязательного медицинского страхования, определяется средний размер финансового обеспечения медицинской помощи, оказанной в амбулаторных условиях медицинскими организациями, участвующими в реализации территориальной программы обязательного медицинского страхования данного субъекта Российской Федерации, в расчете на одно застрахованное лицо по следующей формуле: (в ред. Письма Минздрава РФ N 11-7/и/2-5785, ФФОМС N 8096/26-1/и от 02.07.2019)

,

где:

средний размер финансового обеспечения медицинской помощи, оказанной в амбулаторных условиях медицинскими организациями, участвующими в реализации территориальной программы обязательного медицинского страхования данного субъекта Российской Федерации, в расчете на одно застрахованное лицо, рублей;
средний норматив объема медицинской помощи, оказанной в амбулаторных условиях с профилактическими и иными целями (включая посещения центров здоровья, посещения в связи с диспансеризацией, посещения среднего медицинского персонала), установленный территориальной программой государственных гарантий бесплатного оказания гражданам медицинской помощи в части базовой программы обязательного медицинского страхования, посещений;
средний норматив объема медицинской помощи, оказанной в амбулаторных условиях в связи с заболеваниями, установленный территориальной программой государственных гарантий бесплатного оказания гражданам медицинской помощи в части базовой программы обязательного медицинского страхования, обращений;
средний норматив объема медицинской помощи, оказанной в амбулаторных условиях в неотложной форме, установленный территориальной программой государственных гарантий бесплатного оказания гражданам медицинской помощи в части базовой программы обязательного медицинского страхования, посещений;
средний норматив финансовых затрат на единицу объема медицинской помощи, оказанной в амбулаторных условиях с профилактическими и иными целями (включая посещения центров здоровья, посещения в связи с диспансеризацией, посещения среднего медицинского персонала), установленный территориальной программой государственных гарантий бесплатного оказания гражданам медицинской помощи в части базовой программы обязательного медицинского страхования, рублей;
средний норматив финансовых затрат на единицу объема медицинской помощи, оказанной в амбулаторных условиях в связи с заболеваниями, установленный территориальной программой государственных гарантий бесплатного оказания гражданам медицинской помощи в части базовой программы обязательного медицинского страхования, рублей;
средний норматив финансовых затрат на единицу объема медицинской помощи, оказываемой в амбулаторных условиях в неотложной форме, установленный территориальной программой государственных гарантий бесплатного оказания гражданам медицинской помощи в части базовой программы обязательного медицинского страхования, рублей;
размер средств, направляемых на оплату медицинской помощи, оказываемой в амбулаторных условиях за единицу объема медицинской помощи застрахованным лицам за пределами субъекта Российской Федерации, на территории которого выдан полис обязательного медицинского страхования, рублей;
Чз численность застрахованного населения субъекта Российской Федерации, человек.

2.1. Определение среднего подушевого норматива финансирования на прикрепившихся лиц

Исходя из среднего размера финансового обеспечения медицинской помощи, оказываемой в амбулаторных условиях медицинскими организациями, участвующими в реализации территориальной программы обязательного медицинского страхования данного субъекта Российской Федерации, в расчете на одно застрахованное лицо определяется базовый (средний) подушевой норматив финансирования медицинской помощи, оказываемой в амбулаторных условиях, по следующей формуле:

,

где:

базовый (средний) подушевой норматив финансирования, рублей;
размер средств, направляемых на оплату медицинской помощи, оказываемой в амбулаторных условиях за единицу объема медицинской помощи, застрахованным в данном субъекте Российской Федерации лицам, а также на оплату медицинской помощи, оказанной в амбулаторных условиях по подушевому нормативу финансирования на прикрепившихся лиц, включая оплату медицинской помощи по всем видам и условиям предоставляемой медицинской помощи, с учетом результативности деятельности медицинской организации (включая показатели объема медицинской помощи).

В подушевой норматив финансирования на прикрепившихся лиц (далее - подушевой норматив) не включаются:

- расходы на финансовое обеспечение мероприятий по проведению всех видов диспансеризации и профилактических осмотров отдельных категорий граждан, порядки проведения которых установлены нормативно-правовыми актами;

- расходы на оплату диализа в амбулаторных условиях;

- расходы на медицинскую помощь, оказываемую в неотложной форме.

Также в подушевой норматив финансирования на прикрепившихся лиц не включаются расходы на финансовое обеспечение медицинской помощи при социально значимых заболеваниях (заболевания, передаваемые половым путем, туберкулез, ВИЧ-инфекции и синдром приобретенного иммунодефицита, психические расстройства и расстройства поведения) в случае их финансирования в рамках территориальной программы обязательного медицинского страхования.

При этом в субъекте Российской Федерации в подушевой норматив могут не включаться отдельные виды расходов (на стоматологическую медицинскую помощь, медицинскую помощь по профилю "акушерство и гинекология" и т.п., расходы на оплату услуг магнитно-резонансной томографии и компьютерной томографии и других видов дорогостоящих исследований).

При формировании реестров счетов и счетов на оплату медицинской помощи, оказываемой в амбулаторных условиях, вне зависимости от применяемого способа оплаты, отражаются все единицы объема с указанием размеров установленных тарифов.

Комиссией по разработке территориальной программы обязательного медицинского страхования вне зависимости от применяемого способа оплаты устанавливаются единые тарифы на оплату медицинской помощи по каждой единице объема, применяемые при межучрежденческих (могут осуществляться медицинскими организациями и страховыми медицинскими организациями в соответствии с заключенным тарифным соглашением) и межтерриториальных (осуществляются территориальным фондом обязательного медицинского страхования) расчетах, в соответствии с Требованиями.

2.2. Определение дифференцированного подушевого норматива финансирования на прикрепившихся лиц

На основе базового (среднего) подушевого норматива финансирования медицинской помощи, оказываемой в амбулаторных условиях, с учетом объективных критериев дифференциации стоимости оказания медицинской помощи, установленных Требованиями, в субъекте Российской Федерации рассчитывается дифференцированный подушевой норматив для однородных групп (подгрупп) медицинских организаций по следующей формуле:

,

где:

дифференцированный подушевой норматив для i-той группы (подгруппы) медицинских организаций, рублей;
средневзвешенный интегрированный коэффициент дифференциации подушевого норматива, определенный для i-той группы (подгруппы) медицинских организаций.

Объединение медицинских организаций в однородные группы (подгруппы) осуществляется исходя из значений интегрированного коэффициента дифференциации подушевого норматива. Интегрированный коэффициент дифференциации подушевого норматива определяется по каждой медицинской организации по следующей формуле:

,

где:

интегрированный коэффициент дифференциации подушевого норматива, определенный для медицинской организации;
половозрастной коэффициент дифференциации подушевого норматива, рассчитанный для соответствующей медицинской организации;
коэффициент дифференциации по уровню расходов на содержание отдельных структурных подразделений (фельдшерско-акушерских пунктов, мобильных медицинских бригад, медицинских пунктов, а также подразделений, оказывающих медицинскую помощь в стационарных условиях и в условиях дневного стационара, медицинских организаций, расположенных в сельской местности, в отдаленных, труднодоступных и малонаселенных районах и т.п.) (при необходимости);
(в ред. Письма Минздрава РФ N 11-7/И/2-3440, ФФОМС N 4855/26-2/и от 19.04.2019)
коэффициент дифференциации, учитывающий особенности расселения и плотность прикрепленного населения субъекта Российской Федерации (при необходимости);
коэффициент дифференциации по уровню расходов на содержание медицинских организаций (при необходимости);
коэффициент дифференциации, учитывающий достижение целевых показателей уровня заработной платы медицинских работников, установленных "дорожными картами" развития здравоохранения в субъекте Российской Федерации (при необходимости);
районный коэффициент к заработной плате и процентная надбавка к заработной плате за стаж работы в районах Крайнего Севера и приравненных к ним местностях, а также за работу в местностях с особыми климатическими условиями, которые установлены для территории субъекта Российской Федерации или г. Байконура законодательными и иными нормативными правовыми актами Российской Федерации и Союза ССР или коэффициент ценовой дифференциации бюджетных услуг, установленные для территории, на которой расположена медицинская организация (в соответствии с Требованиями).

Представленный перечень коэффициентов является исчерпывающим, использование иных коэффициентов, не предусмотренных настоящими рекомендациями, недопустимо. При этом в субъекте Российской Федерации используются только те коэффициенты, которые отражают особенности данного субъекта.

При этом при расчете каждого коэффициента дифференциации значение, равное 1, соответствует средневзвешенному уровню.

Значение интегрированного коэффициента дифференциации для медицинской организации рекомендуется осуществлять по следующему алгоритму:

1) Определяются необходимые коэффициенты дифференциации, которые учитывают объективные различия в организации медицинской помощи прикрепившемуся населению к разным медицинским организациям из числа коэффициентов КДсп, КДпн, КДси, КДзп, КДсуб. КДпв является обязательным для применения.

При осуществлении дифференциации подушевого норматива следует учитывать, что основным фактором дифференциации является половозрастной состав прикрепившегося населения, в соответствии с которым определяются половозрастные коэффициенты потребления медицинской помощи.

Для расчета половозрастных коэффициентов дифференциации подушевого норматива численность застрахованных лиц в субъекте Российской Федерации распределяется на половозрастные группы (подгруппы). При этом для каждой половозрастной группы (подгруппы) рассчитываются единые значения коэффициента дифференциации в пределах субъекта Российской Федерации. Указанные коэффициенты устанавливаются тарифным соглашением субъекта. (в ред. Письма Минздрава РФ N 11-7/и/2-5785, ФФОМС N 8096/26-1/и от 02.07.2019)

Расчет коэффициентов потребления медицинской помощи по половозрастным группам проводится на основе данных о фактической стоимости оказанных медицинских услуг в субъекте Российской Федерации, включаемых в состав базового (среднего) подушевого норматива финансирования.

Рекомендуемый расчетный период для определения половозрастных коэффициентов дифференциации составляет 1 год, но не менее 6 месяцев, предшествующие утверждению тарифного соглашения в системе ОМС субъекта Российской Федерации.

2) По каждому коэффициенту дифференциации определяются значения.

Примерный порядок объединения медицинских организаций в однородные (по уровню затрат) группы с точки зрения потребности в затратах на организацию и оказание медицинской помощи с использованием факторов дифференциации представлен в Инструкции.

КДСУБ используется в расчетах в случае, если для территории субъекта Российской Федерации установлено несколько коэффициентов дифференциации, в том числе для расположенных на территории закрытых административно-территориальных образований.

В случае, если коэффициент дифференциации является единым для всей территории субъекта Российской Федерации, то данный коэффициент учитывается в базовом (среднем) подушевом нормативе финансирования.

В случае применения КДСУБ следует исключить применение коэффициентов дифференциации, учитывающих аналогичные особенности.

По КДПВ КДЗП, КДСУБ - медицинские организации группируются в пределах интервалов индивидуальных значений.

3) Рассчитывается интегрированный коэффициент дифференциации подушевого норматива для медицинских организаций в соответствии с формулой (КДИНТ).

4) Полученные значения интегрированного коэффициента дифференциации подушевого норматива ранжируются от максимального до минимального значения и объединяются в однородные группы с последующим расчетом средневзвешенного значения данного коэффициента для каждой группы .

В целях приведения в соответствие объема средств, рассчитанного по дифференцированным подушевым нормативам, к общему объему средств на финансирование медицинских организаций рассчитывается поправочный коэффициент (ПК) по формуле:

,

где

численность застрахованных лиц, прикрепленных к i-той группе (подгруппе) медицинских организаций, человек.

Фактический дифференцированный подушевой норматив для i-той группы (подгруппы) медицинских организаций (ФДПн) рассчитывается по формуле:

,

где:

фактический дифференцированный подушевой норматив финансирования для i-той группы (подгруппы) медицинских организаций, рублей.

Распределение застрахованных лиц по медицинским организациям, имеющим прикрепившихся лиц, устанавливается на начало соответствующего года и может корректироваться на основании данных регионального сегмента Единого регистра застрахованных лиц.

3. Порядок оплаты первичной медико-санитарной помощи

3.1. Оплата первичной медико-санитарной помощи по подушевому нормативу финансирования на прикрепившихся лиц в сочетании с оплатой за единицу объема медицинской помощи

При оплате первичной медико-санитарной помощи по подушевому нормативу финансирования на прикрепившихся лиц в сочетании с оплатой за единицу объема медицинской помощи предельный размер финансового обеспечения медицинской организации, имеющей прикрепившихся лиц, определяется исходя из значения дифференцированного подушевого норматива по следующей формуле:

,

где:

предельный размер финансового обеспечения медицинской организации, имеющей прикрепившихся лиц, рублей;
численность застрахованных лиц, прикрепленных к данной медицинской организации, человек.

Фактический размер финансового обеспечения медицинской организации, имеющей прикрепившихся лиц, складывается исходя из фактически оказанных объемов медицинской помощи:

,

где:

фактический размер финансового обеспечения медицинской организации, имеющей прикрепившихся лиц, рублей;
фактические объемы первичной медико-санитарной помощи, оказанной в амбулаторных условиях, посещений (обращений);
тариф за единицу объема медицинской первичной медико-санитарной помощи, оказанной в амбулаторных условиях, для i-той группы (подгруппы) медицинских организаций, рублей.

Фактический размер финансового обеспечения медицинской организации, имеющей прикрепившихся лиц, не может превышать предельный размер финансового обеспечения. При этом выполнение объемов учитывается нарастающим итогом с начала года.

При выполнении медицинской организацией годовых объемов медицинской помощи, распределенных Комиссией по разработке территориальной программы обязательного медицинского страхования с учетом потребности прикрепленного населения в данной медицинской помощи, предельный и фактический размеры финансового обеспечения медицинской организации, имеющей прикрепившихся лиц, равны.

Тарифы за единицу объема первичной медико-санитарной помощи, оказанной в амбулаторных условиях, для i-той группы (подгруппы) медицинских организаций определяются исходя из устанавливаемых тарифным соглашением субъекта Российской Федерации единых для всех медицинских организаций субъекта Российской Федерации, включенных в один уровень оказания медицинской помощи, базовых тарифов на единицу объема медицинской помощи, а также средневзвешенного интегрированного коэффициента дифференциации подушевого норматива, определенного для i-той группы (подгруппы) медицинских организаций:

,

где:

базовый тариф за единицу объема медицинской первичной медико-санитарной помощи, оказанной в амбулаторных условиях, рублей.

В случае оказания медицинской помощи мобильными медицинскими бригадами устанавливаются повышающие коэффициенты в размере 1,05 - 1,2 к утвержденным тарифам на посещения, обращения, медицинские услуги или устанавливаются отдельные тарифы на медицинские услуги, оказываемые мобильными медицинскими бригадами (например, для проведения маммографии мобильной медицинской бригадой). (в ред. Письма Минздрава РФ N 11-7/И/2-3440, ФФОМС N 4855/26-2/и от 19.04.2019)

3.2. Оплата медицинской помощи по подушевому нормативу финансирования на прикрепившихся лиц, с учетом показателей результативности деятельности медицинской организации (включая показатели объема медицинской помощи), в том числе с включением расходов на медицинскую помощь, оказываемую в иных медицинских организациях

При оплате медицинской помощи по подушевому нормативу финансирования на прикрепившихся лиц, с учетом показателей результативности деятельности медицинской организации (включая показатели объема медицинской помощи), в том числе с включением расходов на медицинскую помощь, оказываемую в иных медицинских организациях в составе средств, направляемых на финансовое обеспечение медицинской организации, имеющей прикрепившихся лиц, по подушевому нормативу, определяется доля средств, направляемых на выплаты медицинским организациям в случае достижения целевых значений показателей результативности деятельности.

При этом размер финансового обеспечения медицинской организации, имеющей прикрепившихся лиц, по подушевому нормативу определяется по следующей формуле:

,

где:

финансовое обеспечение медицинской организации, имеющей прикрепившихся лиц, по подушевому нормативу, рублей;
доля средств, направляемых на выплаты медицинским организациям в случае достижения целевых значений показателей результативности деятельности;
численность застрахованных лиц, прикрепленных к данной медицинской организации, человек;
размер средств, направляемых на выплаты медицинским организациям в случае достижения целевых значений показателей результативности деятельности, рублей.

Оценка медицинских организаций, оказывающих медицинскую помощь в амбулаторных условиях, с целью осуществления выплат стимулирующего характера осуществляется ежемесячно, и, при необходимости, может осуществляться по итогам квартала, полугодия, года по показателям, которым соответствует данный период оценки.

Показатели результативности деятельности, порядок их применения и целевые значения устанавливаются Тарифным соглашением в соответствии с Требованиями. Посредством указанных показателей следует учитывать в обязательном порядке выполнение установленных решением Комиссии по разработке территориальной программы обязательного медицинского страхования субъекта Российской Федерации объемов медицинской помощи. Рекомендуемый перечень показателей представлен в Приложении 5. При этом коллективными договорами, соглашениями, локальными нормативными актами, заключаемыми в соответствии с трудовым законодательством и иными нормативными правовыми актами, содержащими нормы трудового права и регулирующими системы оплаты труда в медицинских организациях, в том числе системы доплат и надбавок стимулирующего характера и системы премирования, необходимо предусмотреть стимулирующие выплаты медицинским работникам за достижение аналогичных показателей.

Размер средств на осуществление стимулирующих выплат медицинским организациям, имеющим прикрепившееся население, устанавливается Тарифным соглашением субъекта Российской Федерации.

В субъектах Российской Федерации, внедряющих новую модель медицинских организаций, оказывающих первичную медико-санитарную помощь на принципах бережливого производства (далее - "Бережливая поликлиника"), в целях повышения мотивации медицинского и управленческого персонала медицинских организаций необходимо применять способ оплаты медицинской помощи по подушевому нормативу финансирования на прикрепившихся лиц, с учетом показателей результативности деятельности медицинской организации (включая показатели объема медицинской помощи), в том числе с включением расходов на медицинскую помощь, оказываемую в иных медицинских организациях (за единицу объема медицинской помощи). (в ред. Письма Минздрава РФ N 11-7/И/2-3440, ФФОМС N 4855/26-2/и от 19.04.2019)

Оценка показателей результативности деятельности "Бережливой поликлиники" осуществляется представителями регионального центра организации первичной медико-санитарной помощи в соответствии с перечнем показателей результативности деятельности "Бережливой поликлиники", представленным в Приложении 7. Рекомендуемый период оценки показателей - 1 раз в год. (в ред. Писем Минздрава РФ N 11-7/И/2-3440, ФФОМС N 4855/26-2/и от 19.04.2019, Минздрава РФ N 11-7/и/2-5785, ФФОМС N 8096/26-1/и от 02.07.2019)

Результаты оценки показателей результативности передаются в Комиссию по разработке территориальной программы обязательного медицинского страхования субъекта Российской Федерации для осуществления стимулирующих выплат медицинским организациям по итогам года. Медицинская организация получает стимулирующие выплаты в случае достижения всех показателей результативности (11 баллов), установленных в Приложении 7. (в ред. Писем Минздрава РФ N 11-7/И/2-3440, ФФОМС N 4855/26-2/и от 19.04.2019, Минздрава РФ N 11-7/и/2-5785, ФФОМС N 8096/26-1/и от 02.07.2019)

При наличии в субъекте Российской Федерации медицинских организаций, имеющих в своей структуре мобильные медицинские бригады, могут быть установлены соответствующие показатели результативности деятельности таких медицинских организаций (в частности, доля посещений, оказанных специалистами мобильных медицинских бригад жителям населенных пунктов с преимущественным проживанием лиц старше трудоспособного возраста либо расположенных на значительном удалении от медицинской организации и (или) имеющих плохую транспортную доступность с учетом климато-географических условий). (в ред. Письма Минздрава РФ N 11-7/И/2-3440, ФФОМС N 4855/26-2/и от 19.04.2019)

3.3. Оплата медицинской помощи за единицу объема медицинской помощи - за медицинскую услугу, за посещение, за обращение (законченный случай)

При оплате медицинской помощи за единицу объема медицинской помощи в определенных Программой случаях размер финансового обеспечения медицинской организации складывается исходя из фактически оказанных объемов медицинской помощи и определяется по следующей формуле:

,

где:

фактический размер финансового обеспечения медицинской организации, рублей;
фактические объемы первичной медико-санитарной помощи, оказанной в амбулаторных условиях, посещений (обращений);
Т тариф за единицу объема медицинской первичной медико-санитарной помощи, оказанной в амбулаторных условиях, рублей.

Для медицинских организаций, имеющих в структуре мобильные медицинские бригады, устанавливаются повышающие коэффициенты в размере 1,05 - 1,2 к тарифам на посещения, обращения, медицинские услуги при оказании медицинской помощи мобильными медицинскими бригадами или устанавливаются отдельные тарифы на медицинские услуги, оказанные мобильными медицинскими бригадами. (в ред. Письма Минздрава РФ N 11-7/И/2-3440, ФФОМС N 4855/26-2/и от 19.04.2019)

При этом тариф за единицу объема первичной медико-санитарной помощи, оказанной в амбулаторных условиях, является единым для всех медицинских организаций субъекта Российской Федерации, включенных в один уровень оказания медицинской помощи.

Финансовое обеспечение расходов медицинских организаций, не имеющих прикрепившихся лиц, а также видов расходов, не включенных в подушевой норматив, осуществляется за единицу объема медицинской помощи.

Для федеральных медицинских организаций, оказывающих медицинскую помощь в пределах нескольких субъектов Российской Федерации, устанавливаются повышающие коэффициенты к стоимости единицы объема медицинской помощи от 1,4 до 1,7.

В качестве особенностей оплаты отдельных видов медицинской помощи, оказанной в амбулаторных условиях, следует отметить следующие.

При проведении диализа в амбулаторных условиях оплата осуществляется за медицинскую услугу - одну услугу экстракорпорального диализа и один день перитонеального диализа. При этом в целях учета объемов медицинской помощи необходимо учитывать лечение в течение одного месяца как одно обращение (в среднем 13 услуг экстракорпорального диализа, 12 - 14 в зависимости от календарного месяца, или ежедневные обмены с эффективным объемом диализата при перитонеальном диализе в течение месяца). При проведении диализа в амбулаторных условиях обеспечение лекарственными препаратами для профилактики осложнений осуществляется за счет других источников. Тарифы на услуги устанавливаются дифференцированно по методам диализа (гемодиализ, гемодиафильтрация, перитонеальный диализ). При этом, учитывая одинаковые затраты, абсолютная стоимость услуг диализа является одинаковой, независимо от условий его оказания. Для расчета услуг диализа, оказываемых на территории субъекта Российской Федерации, к установленным тарифным соглашением базовым тарифам на оплату гемодиализа (код услуги A18.05.002 "Гемодиализ") и перитонеального диализа (код услуги A18.30.001 "Перитонеальный диализ"), рассчитанным в соответствии с Методикой расчета тарифов и включающим в себя расходы, определенные частью 7 статьи 35 Федерального закона N 326-ФЗ, применяются рекомендуемые коэффициенты относительной затратоемкости, представленные в Приложении 4. Применение коэффициента дифференциации (при наличии) к стоимости услуги осуществляется с учетом доли расходов на заработную плату в составе тарифа на оплату медицинской помощи.

Проведение диспансерного наблюдения в рамках оказания первичной медико-санитарной помощи пациентов с хроническими неинфекционными заболеваниями и пациентов с высоким риском их развития включается в подушевой норматив финансирования на прикрепившихся лиц. При этом единицей объема оказанной медицинской помощи является посещение.

Оплата профилактических медицинских осмотров, в том числе в рамках диспансеризации, осуществляется за единицу объема медицинской помощи (комплексное посещение) в соответствии с объемом медицинских исследований, установленным приказами Министерством здравоохранения Российской Федерации от 13.03.2019 N 124н "Об утверждении порядка проведения профилактического медицинского осмотра и диспансеризации определенных групп взрослого населения", от 10.08.2017 N 514н "О Порядке проведения профилактических медицинских осмотров несовершеннолетних", от 15.02.2013 N 72н "О проведении диспансеризации пребывающих в стационарных учреждениях детей-сирот и детей, находящихся в трудной жизненной ситуации", от 11.04.2013 N 216н "Об утверждении порядка диспансеризации детей-сирот и детей, оставшихся без попечения родителей, в том числе усыновленных (удочеренных), принятых под опеку (попечительство), в приемную или патронатную семью". (в ред. Письма Минздрава РФ N 11-7/и/2-5785, ФФОМС N 8096/26-1/и от 02.07.2019)

Программой установлены нормативы объема медицинской помощи для проведения профилактических осмотров, в том числе в рамках диспансеризации, включая выявление онкологических заболеваний, на 2019 год - 0,79 посещения на 1 застрахованное лицо, в том числе в рамках диспансеризации - 0,16 комплексного посещения на 1 застрахованное лицо, и нормативы финансовых затрат на 2019 год на 1 посещение для проведения профилактических медицинских осмотров - 1 021,5 рубля, на 1 комплексное посещение для проведения диспансеризации, включающей профилактический медицинский осмотр и дополнительные методы обследований, в том числе в целях выявления онкологических заболеваний - 1 185,6 рубля. (в ред. Письма Минздрава РФ N 11-7/и/2-5785, ФФОМС N 8096/26-1/и от 02.07.2019)

При этом расчет тарифов на единицу объема медицинской помощи (комплексное посещение) при оплате профилактических медицинских осмотров, в том числе в рамках диспансеризации, осуществляется в соответствии с Методикой расчета тарифов с учетом нормативов объема медицинской помощи и финансовых затрат на единицу объема медицинской помощи, установленных территориальной программой обязательного медицинского страхования субъекта Российской Федерации. (в ред. Письма Минздрава РФ N 11-7/и/2-5785, ФФОМС N 8096/26-1/и от 02.07.2019)

Профилактический медицинский осмотр и первый этап диспансеризации считаются завершенными в случае выполнения в течение календарного года не менее 85% от объема профилактического медицинского осмотра и первого этапа диспансеризации, при этом обязательным для всех граждан является проведение анкетирования и прием (осмотр) врачом по медицинской профилактике отделения (кабинета) медицинской профилактики или центра здоровья или фельдшером, а также проведение маммографии, исследование кала на скрытую кровь иммунохимическим качественным или количественным методом, осмотр фельдшером (акушеркой) или врачом акушером-гинекологом, взятие мазка с шейки матки, цитологическое исследование мазка с шейки матки, определение простат-специфического антигена в крови. (в ред. Письма Минздрава РФ N 11-7/и/2-5785, ФФОМС N 8096/26-1/и от 02.07.2019)

Значения тарифов на оплату медицинской помощи в рамках мероприятий по диспансеризации (без коэффициента дифференциации) представлены в Приложении 6. Указанные значения могут быть скорректированы с учетом охвата населения диспансеризацией и профилактическими осмотрами, а также половозрастной структуры населения.

При оплате амбулаторной стоматологической медицинской помощи по посещениям и обращениям рекомендуется учитывать условные единицы трудоемкости (УЕТ), которые на протяжении многих лет используются в стоматологии для планирования учета оказываемых услуг, отчетности деятельности специалистов, оплаты их труда.

Оплата стоматологической помощи в амбулаторных условиях по тарифам с учетом УЕТ должна быть основана на соблюдении принципа максимальной санации полости рта и зубов (лечение 2-х, 3-х зубов) за одно посещение, что является наиболее эффективным, так как сокращается время на вызов пациента, подготовку рабочего места, операционного поля, работу с документами и т.д. При этом для планирования объема финансовых средств на оплату стоматологической помощи в амбулаторных условиях учитывается средняя кратность УЕТ в одном посещении, которая по Российской Федерации составляет 3,9.

Среднее количество УЕТ в одной медицинской услуге, применяемое для обоснования объема и стоимости посещений при оказании первичной медико-санитарной специализированной стоматологической помощи в амбулаторных условиях, представлено в Приложении 6. (в ред. Письма Минздрава РФ N 11-7/и/2-5785, ФФОМС N 8096/26-1/и от 02.07.2019)

Указанное приложение разработано Федеральным государственным бюджетным учреждением "Центральный научно-исследовательский институт стоматологии и челюстно-лицевой хирургии" при участии Главного внештатного специалиста стоматолога Министерства здравоохранения Российской Федерации, ректора Московского государственного медико-стоматологического университета имени А.И. Евдокимова О.О. Янушевича.

III. СПОСОБЫ ОПЛАТЫ СКОРОЙ МЕДИЦИНСКОЙ ПОМОЩИ, В ТОМ ЧИСЛЕ НА ОСНОВЕ ПОДУШЕВОГО НОРМАТИВА ФИНАНСИРОВАНИЯ

1. Основные подходы к оплате скорой медицинской помощи

В соответствии с Программой оплата скорой медицинской помощи, оказанной вне медицинской организации (по месту вызова бригады скорой, в том числе скорой специализированной, медицинской помощи, а также в транспортном средстве при медицинской эвакуации), осуществляется по подушевому нормативу финансирования в сочетании с оплатой за вызов скорой медицинской помощи.

2. Основные параметры оплаты скорой медицинской помощи

В соответствии с Требованиями, на основе нормативов объемов медицинской помощи и финансовых затрат на единицу объема медицинской помощи, установленных территориальной программой обязательного медицинского страхования, определяется средний размер финансового обеспечения скорой медицинской помощи, оказываемой вне медицинской организации, медицинскими организациями, участвующими в реализации территориальной программы обязательного медицинского страхования данного субъекта Российской Федерации, в расчете на одно застрахованное лицо по следующей формуле:

,

где:

средний размер финансового обеспечения скорой медицинской помощи, оказываемой вне медицинской организации, медицинскими организациями, участвующими в реализации территориальной программы обязательного медицинского страхования данного субъекта Российской Федерации, в расчете на одно застрахованное лицо, рублей;
средний норматив объема скорой медицинской помощи вне медицинской организации, установленный территориальной программой государственных гарантий бесплатного оказания гражданам медицинской помощи в части базовой программы обязательного медицинского страхования, вызовов;
средний норматив финансовых затрат на единицу объема скорой медицинской помощи вне медицинской организации, установленный территориальной программой государственных гарантий бесплатного оказания гражданам медицинской помощи в части базовой программы обязательного медицинского страхования, рублей;
размер средств, направляемых на оплату скорой медицинской помощи вне медицинской организации, оказываемой застрахованным лицам за пределами субъекта Российской Федерации, на территории которого выдан полис обязательного медицинского страхования за вызов, рублей;
Чз численность застрахованного населения субъекта Российской Федерации, человек.

2.1. Определение среднего подушевого норматива финансирования скорой медицинской помощи

Базовый (средний) подушевой норматив финансирования скорой медицинской помощи, оказываемой вне медицинской организации, рассчитывается исходя из среднего размера финансового обеспечения скорой медицинской помощи, оказываемой вне медицинской организации, медицинскими организациями, участвующими в реализации территориальной программы обязательного медицинского страхования данного субъекта Российской Федерации, в расчете на одно застрахованное лицо по следующей формуле:

,

где:

базовый (средний) подушевой норматив финансирования скорой медицинской помощи вне медицинской организации, рублей;
размер средств, направляемых на оплату скорой медицинской помощи вне медицинской организации застрахованным в данном субъекте Российской Федерации лицам за вызов, рублей.

Тарифы на оплату вызовов скорой медицинской помощи устанавливаются тарифным соглашением, в том числе на оплату скорой медицинской помощи в случае проведения тромболизиса.

В субъекте Российской Федерации могут быть установлены дополнительные виды скорой медицинской помощи, оплата которых осуществляется за вызов скорой помощи.

Возможно применение варианта оплаты, при котором установленную тарифным соглашением долю средств медицинская организация получает по подушевому нормативу финансирования, а оставшуюся часть - по тарифам за вызов.

В реестры счетов на оплату медицинской помощи в обязательном порядке включаются все единицы объема оказанной скорой медицинской помощи по установленным тарифам.

2.2. Определение дифференцированного подушевого норматива финансирования скорой медицинской помощи

На основе базового (среднего) подушевого норматива финансирования скорой медицинской помощи, оказываемой вне медицинской организации, с учетом объективных критериев дифференциации стоимости оказания медицинской помощи в субъекте Российской Федерации, рассчитывается дифференцированный подушевой норматив финансирования скорой медицинской помощи для однородных групп (подгрупп) медицинских организаций по следующей формуле:

,

где:

дифференцированный подушевой норматив финансирования скорой медицинской помощи для i-той группы (подгруппы) медицинских организаций, рублей;
средневзвешенный интегрированный коэффициент дифференциации подушевого норматива финансирования скорой медицинской помощи, определенный для i-той группы (подгруппы) медицинских организаций.

При этом объединение медицинских организаций в однородные группы (подгруппы) осуществляется исходя из значений коэффициента дифференциации подушевого норматива. Интегрированный коэффициент дифференциации подушевого норматива финансирования скорой медицинской помощи определяется по каждой медицинской организации по следующей формуле:

,

где:

интегрированный коэффициент дифференциации подушевого норматива, определенный для медицинской организации;
половозрастной коэффициент дифференциации подушевого норматива, рассчитанный для соответствующей медицинской организации;
коэффициент дифференциации, учитывающий средний радиус территории обслуживания (при наличии);
коэффициент дифференциации, учитывающий особенности расселения и плотность населения субъекта Российской Федерации (при наличии);
коэффициент дифференциации по уровню расходов на содержание медицинских организаций (при наличии);
коэффициент дифференциации, учитывающий достижение целевых показателей уровня заработной платы медицинских работников, установленных "дорожными картами" развития здравоохранения в субъекте Российской Федерации (при наличии);
районный коэффициент к заработной плате и процентная надбавка к заработной плате за стаж работы в районах Крайнего Севера и приравненных к ним местностях, а также за работу в местностях с особыми климатическими условиями, которые установлены для территории субъекта Российской Федерации или г. Байконура законодательными и иными нормативными правовыми актами Российской Федерации и Союза ССР или коэффициент ценовой дифференциации бюджетных услуг, установленные для территории, на которой расположена медицинская организация (в соответствии с Требованиями).

КДсуб используется в расчетах в случае, если для территории субъекта Российской Федерации установлено несколько коэффициентов дифференциации, в том числе для расположенных на территории закрытых административно-территориальных образований.

В случае если коэффициент дифференциации является единым для всей территории субъекта Российской Федерации, данный коэффициент учитывается в базовом (среднем) подушевом нормативе финансирования скорой медицинской помощи вне медицинской организации.

В случае применения КДсуб следует исключить применение коэффициентов дифференциации, учитывающих аналогичные особенности.

Перечень коэффициентов является исчерпывающим, и использование иных коэффициентов, не предусмотренных настоящими рекомендациями, недопустимо. При этом в субъекте Российской Федерации используются только те коэффициенты, которые отражают особенности данного субъекта.

При этом при расчете каждого коэффициента дифференциации значение, равное 1, соответствует средневзвешенному уровню расходов, учитываемых для расчета коэффициента.

При осуществлении дифференциации подушевого норматива следует учитывать, что основным фактором дифференциации является половозрастной состав прикрепившегося населения, в соответствии с которым определяются половозрастные коэффициенты потребления медицинской помощи.

Для расчета половозрастных коэффициентов дифференциации подушевого норматива финансирования скорой медицинской помощи численность застрахованных лиц в субъекте Российской Федерации распределяется на половозрастные группы (подгруппы). При этом для каждой половозрастной группы (подгруппы) рассчитываются единые значения коэффициента дифференциации в пределах субъекта Российской Федерации. Указанные коэффициенты устанавливаются тарифным соглашением субъекта. (в ред. Письма Минздрава РФ N 11-7/и/2-5785, ФФОМС N 8096/26-1/и от 02.07.2019)

Полученные значения интегрированного коэффициента дифференциации подушевого норматива финансирования скорой медицинской помощи ранжируются от максимального до минимального значения и объединяются в однородные группы с последующим расчетом средневзвешенного значения данного коэффициента для каждой группы .

В целях приведения в соответствие объема средств, рассчитанного по дифференцированным подушевым нормативам финансирования скорой медицинской помощи вне медицинской организации, к общему объему средств на финансирование медицинских организаций рассчитывается поправочный коэффициент (ПК) по формуле:

,

где:

численность застрахованных лиц, прикрепленных к i-той группе (подгруппе) медицинских организаций, человек.

Фактический дифференцированный подушевой норматив финансирования скорой медицинской помощи вне медицинской организации для группы (подгруппы) медицинских организаций (ФДПн) рассчитывается по формуле:

,

где:

фактический дифференцированный подушевой норматив финансирования скорой медицинской помощи для i-той группы (подгруппы) медицинских организаций, рублей.

Размер финансового обеспечения медицинской организации, оказывающей скорую медицинскую помощь вне медицинской организации, определяется исходя из значения дифференцированного подушевого норматива, численности обслуживаемого населения, а также объемов медицинской помощи, оплата которых осуществляется за вызов по следующей формуле:

,

где:

размер финансового обеспечения медицинской организации, оказывающей скорую медицинскую помощь вне медицинской организации, рублей;
численность застрахованных лиц, обслуживаемых данной медицинской организацией, человек.

IV. ОПЛАТА МЕДИЦИНСКОЙ ПОМОЩИ ПО ПОДУШЕВОМУ НОРМАТИВУ ФИНАНСИРОВАНИЯ НА ПРИКРЕПИВШИХСЯ К ДАННОЙ МЕДИЦИНСКОЙ ОРГАНИЗАЦИИ ЛИЦ, ВКЛЮЧАЯ ОПЛАТУ МЕДИЦИНСКОЙ ПОМОЩИ ПО ВСЕМ ВИДАМ И УСЛОВИЯМ ПРЕДОСТАВЛЯЕМОЙ УКАЗАННОЙ МЕДИЦИНСКОЙ ОРГАНИЗАЦИЕЙ МЕДИЦИНСКОЙ ПОМОЩИ, С УЧЕТОМ ПОКАЗАТЕЛЕЙ РЕЗУЛЬТАТИВНОСТИ ДЕЯТЕЛЬНОСТИ МЕДИЦИНСКОЙ ОРГАНИЗАЦИИ (ВКЛЮЧАЯ ПОКАЗАТЕЛИ ОБЪЕМА МЕДИЦИНСКОЙ ПОМОЩИ)

При оплате медицинской помощи в медицинских организациях, имеющих в своем составе подразделения, оказывающие медицинскую помощь в амбулаторных, стационарных условиях и в условиях дневного стационара, может применяться способ оплаты по подушевому нормативу финансирования исходя из количества прикрепившихся к данной медицинской организации лиц, включая оплату медицинской помощи по всем видам и условиям предоставляемой указанной медицинской организацией медицинской помощи, с учетом оценки показателей результативности деятельности медицинской организации (включая фактическое выполнение объема медицинской помощи по видам и условиям оказания).

При этом при установлении значений дифференцированных подушевых нормативов финансирования в случае, если в субъекте Российской Федерации 5 и менее медицинских организаций, финансируемых с применением указанного способа оплаты, в группе допустимо наличие одной медицинской организации при условии обслуживания медицинской организацией районов с низкой плотностью населения и (или) низкой транспортной доступностью с учетом климатических и географических особенностей. (в ред. Письма Минздрава РФ N 11-7/И/2-3440, ФФОМС N 4855/26-2/и от 19.04.2019)

Указанный способ оплаты может применяться в целях оптимизации оплаты медицинской помощи, оказываемой медицинскими организациями, являющимися самостоятельными юридическими лицами, в том числе расположенными в сельской местности, в отдаленных, труднодоступных и малонаселенных районах, с учетом количества структурных подразделений, объема оказываемой медицинской помощи, численности прикрепленного населения. При этом для обоснования и планирования объемов специализированной медицинской помощи рекомендуется использовать клинико-профильные группы, а также повышающий управленческий коэффициент и возможность отнесения медицинской организации к более высокому подуровню оказания медицинской помощи.

V. ОСНОВНЫЕ ПОДХОДЫ К ОПЛАТЕ ЛАБОРАТОРНЫХ УСЛУГ, ОКАЗЫВАЕМЫХ ЦЕНТРАЛИЗОВАННЫМИ ЛАБОРАТОРИЯМИ

Стоимость лабораторных медицинских услуг включена в подушевой норматив финансирования на прикрепившихся лиц и в стоимость законченного случая лечения заболевания, включенного в КСГ или КПГ.

В случае наличия в субъекте Российской Федерации централизованной лаборатории, тарифным соглашением должны быть установлены единые тарифы на лабораторные услуги, применяемые, в том числе для централизованных лабораторий и рассчитанные в соответствии с Методикой расчета тарифов.

Межучрежденческие расчеты могут осуществляться медицинскими организациями (на основании заключенных между ними договоров) и страховыми медицинскими организациями в соответствии с тарифным соглашением.

В случае если взаиморасчеты осуществляются страховыми медицинскими организациями, централизованной лабораторией составляется реестр счетов по установленным тарифам на каждое выполненное лабораторное исследование с указанием информации о медицинской организации, выдавшей направление. Страховые медицинские организации осуществляют оплату лабораторных услуг, оказанных централизованными лабораториями, на основании представленных реестров счетов и счетов на оплату медицинской помощи. При осуществлении окончательного расчета за медицинскую помощь сумма средств для медицинской организации, оказывающей медицинскую помощь, уменьшается на объем средств, перечисленных централизованной лаборатории за выполнение лабораторных исследований по направлениям, выданным данной медицинской организацией.

VI. ОСНОВНЫЕ ПОДХОДЫ К ОПЛАТЕ МЕДИЦИНСКОЙ ПОМОЩИ С ПРИМЕНЕНИЕМ ТЕЛЕМЕДИЦИНСКИХ ТЕХНОЛОГИЙ

Медицинская помощь с применением телемедицинских технологий оказывается преимущественно в медицинских организациях и (или) структурных подразделениях медицинских организаций 3-го уровня.

При этом более высокий коэффициент подуровня оказания медицинской помощи для медицинских организаций и (или) структурных подразделений медицинских организаций, оказывающих медицинскую помощь с применением телемедицинских технологий, включает в себя затраты на проведенные консультации (консилиумы врачей) с применением телемедицинских технологий с учетом объемов проведенных консультаций (консилиумов врачей) с применением телемедицинских технологий.

Расчет тарифов на оплату медицинской помощи с применением телемедицинских технологий осуществляется дифференцированно по видам консультаций (консилиумов врачей) с применением телемедицинских технологий при оказании первичной медико-санитарной помощи, специализированной, в том числе высокотехнологичной, скорой, в том числе скорой специализированной медицинской помощи, определенных Порядком организации и оказания медицинской помощи с применением телемедицинских технологий, утвержденным приказом Министерства здравоохранения Российской Федерации от 30.11.2017 N 965н.

При этом в соответствии с частью 1 статьи 30 Федерального закона N 326-ФЗ тарифы на проведение консультаций (консилиумов врачей) с применением телемедицинских технологий рассчитываются согласно методике расчета тарифов с учетом времени, затраченного на проведение консультации (консилиума врачей) с применением телемедицинских технологий, и включают в себя:

- затраты на оплату труда и начисления на выплаты по оплате труда персонала, принимающего непосредственное участие в консультации (консилиуме врачей);

- затраты на амортизацию основных средств, непосредственно используемых во время консультации (консилиума врачей), стоимостью до ста тысяч рублей за единицу;

- затраты на возмещение расходов на мягкий инвентарь, непосредственно используемый во время консультации (консилиума врачей);

- затраты на приобретение услуг связи, непосредственно потребляемых во время консультации (консилиума врачей);

- затраты на приобретение материальных запасов, непосредственно потребляемых в процессе консультации (консилиума врачей);

- затраты, необходимые для обеспечения деятельности медицинской организации в целом, но не потребляемые непосредственно в процессе консультации (консилиума врачей);

- прочие затраты.

Приложение 1

РАСПРЕДЕЛЕНИЕ КСГ ЗАБОЛЕВАНИЙ ПО ПРОФИЛЯМ МЕДИЦИНСКОЙ ДЕЯТЕЛЬНОСТИ (КПГ) И КОЭФФИЦИЕНТЫ ОТНОСИТЕЛЬНОЙ ЗАТРАТОЕМКОСТИ КСГ/КПГ (ДЛЯ МЕДИЦИНСКОЙ ПОМОЩИ, ОКАЗАННОЙ В СТАЦИОНАРНЫХ УСЛОВИЯХ)

(в ред. Письма Минздрава РФ N 11-7/И/2-3440, ФФОМС N 4855/26-2/и от 19.04.2019)

N п/п Код Профиль (КПГ) и КСГ Коэффициент относительной затратоемкости КСГ/КПГ
1 st01 Акушерское дело 0,50
1 st01.001 Беременность без патологии, дородовая госпитализация в отделение сестринского ухода 0,50
2 st02 Акушерство и гинекология 0,80
2 st02.001 Осложнения, связанные с беременностью 0,93
3 st02.002 Беременность, закончившаяся абортивным исходом 0,28
4 st02.003 Родоразрешение 0,98
5 st02.004 Кесарево сечение 1,01
6 st02.005 Осложнения послеродового периода 0,74
7 st02.006 Послеродовой сепсис 3,21
8 st02.007 Воспалительные болезни женских половых органов 0,71
9 st02.008 Доброкачественные новообразования, новообразования in situ, неопределенного и неизвестного характера женских половых органов 0,89
10 st02.009 Другие болезни, врожденные аномалии, повреждения женских половых органов 0,46
11 st02.010 Операции на женских половых органах (уровень 1) 0,39
12 st02.011 Операции на женских половых органах (уровень 2) 0,58
13 st02.012 Операции на женских половых органах (уровень 3) 1,17
14 st02.013 Операции на женских половых органах (уровень 4) 2,20
3 st03 Аллергология и иммунология 1,25
15 st03.001 Нарушения с вовлечением иммунного механизма 4,52
16 st03.002 Ангионевротический отек, анафилактический шок 0,27
4 st04 Гастроэнтерология 1,04
17 st04.001 Язва желудка и двенадцатиперстной кишки 0,89
18 st04.002 Воспалительные заболевания кишечника 2,01
19 st04.003 Болезни печени, невирусные (уровень 1) 0,86
20 st04.004 Болезни печени, невирусные (уровень 2) 1,21
21 st04.005 Болезни поджелудочной железы 0,87
22 st04.006 Панкреатит с синдромом органной дисфункции 4,19
5 st05 Гематология 2,85
23 st05.001 Анемии (уровень 1) 0,94
24 st05.002 Анемии (уровень 2) 5,32
25 st05.003 Нарушения свертываемости крови 4,50
26 st05.004 Другие болезни крови и кроветворных органов (уровень 1) 1,09
27 st05.005 Другие болезни крови и кроветворных органов (уровень 2) 4,51
28 st05.006 Лекарственная терапия при остром лейкозе, взрослые 4,27
29 st05.007 Лекарственная терапия при других злокачественных новообразованиях лимфоидной и кроветворной тканей, взрослые 3,46
30 st05.008 Лекарственная терапия при доброкачественных заболеваниях крови и пузырном заносе 2,05
31 st05.009 Лекарственная терапия злокачественных новообразований лимфоидной и кроветворной тканей с применением моноклональных антител, ингибиторов протеинкиназы 7,92
32 st05.010 Лекарственная терапия при остром лейкозе, дети 7,82
33 st05.011 Лекарственная терапия при других злокачественных новообразованиях лимфоидной и кроветворной тканей, дети 5,68
6 st06 Дерматология 0,80
34 st06.001 Редкие и тяжелые дерматозы 1,72
35 st06.002 Среднетяжелые дерматозы 0,74
36 st06.003 Легкие дерматозы 0,36
7 st07 Детская кардиология 1,84
37 st07.001 Врожденные аномалии сердечно-сосудистой системы, дети 1,84
8 st08 Детская онкология 4,37
38 st08.001 Лекарственная терапия при злокачественных новообразованиях других локализаций (кроме лимфоидной и кроветворной тканей), дети 4,37
9 st09 Детская урология-андрология 1,15
39 st09.001 Операции на мужских половых органах, дети (уровень 1) 0,97
40 st09.002 Операции на мужских половых органах, дети (уровень 2) 1,11
41 st09.003 Операции на мужских половых органах, дети (уровень 3) 1,97
42 st09.004 Операции на мужских половых органах, дети (уровень 4) 2,78
43 st09.005 Операции на почке и мочевыделительной системе, дети (уровень 1) 1,15
44 st09.006 Операции на почке и мочевыделительной системе, дети (уровень 2) 1,22
45 st09.007 Операции на почке и мочевыделительной системе, дети (уровень 3) 1,78
46 st09.008 Операции на почке и мочевыделительной системе, дети (уровень 4) 2,23
47 st09.009 Операции на почке и мочевыделительной системе, дети (уровень 5) 2,36
48 st09.010 Операции на почке и мочевыделительной системе, дети (уровень 6) 4,28
10 st10 Детская хирургия 1,10
49 st10.001 Детская хирургия (уровень 1) 2,95
50 st10.002 Детская хирургия (уровень 2) 5,33
51 st10.003 Аппендэктомия, дети (уровень 1) 0,77
52 st10.004 Аппендэктомия, дети (уровень 2) 0,97
53 st10.005 Операции по поводу грыж, дети (уровень 1) 0,88
54 st10.006 Операции по поводу грыж, дети (уровень 2) 1,05
55 st10.007 Операции по поводу грыж, дети (уровень 3) 1,25
11 st11 Детская эндокринология 1,48
56 st11.001 Сахарный диабет, дети 1,51
57 st11.002 Заболевания гипофиза, дети 2,26
58 st11.003 Другие болезни эндокринной системы, дети (уровень 1) 1,38
59 st11.004 Другие болезни эндокринной системы, дети (уровень 2) 2,82
12 st12 Инфекционные болезни 0,65
60 st12.001 Кишечные инфекции, взрослые 0,58
61 st12.002 Кишечные инфекции, дети 0,62
62 st12.003 Вирусный гепатит острый 1,40
63 st12.004 Вирусный гепатит хронический 1,27
64 st12.005 Сепсис, взрослые 3,12
65 st12.006 Сепсис, дети 4,51
66 st12.007 Сепсис с синдромом органной дисфункции 7,20
67 st12.008 Другие инфекционные и паразитарные болезни, взрослые 1,18
68 st12.009 Другие инфекционные и паразитарные болезни, дети 0,98
69 st12.010 Респираторные инфекции верхних дыхательных путей с осложнениями, взрослые 0,35
70 st12.011 Респираторные инфекции верхних дыхательных путей, дети 0,50
71 st12.012 Грипп, вирус гриппа идентифицирован 1,00
72 st12.013 Грипп и пневмония с синдромом органной дисфункции 4,40
73 st12.014 Клещевой энцефалит 2,30
13 st13 Кардиология 1,49
74 st13.001 Нестабильная стенокардия, инфаркт миокарда, легочная эмболия (уровень 1) 1,42
75 st13.002 Нестабильная стенокардия, инфаркт миокарда, легочная эмболия (уровень 2) 2,81
76 st13.003 Инфаркт миокарда, легочная эмболия, лечение с применением тромболитической терапии 3,48
77 st13.004 Нарушения ритма и проводимости (уровень 1) 1,12
78 st13.005 Нарушения ритма и проводимости (уровень 2) 2,01
79 st13.006 Эндокардит, миокардит, перикардит, кардиомиопатии (уровень 1) 1,42
80 st13.007 Эндокардит, миокардит, перикардит, кардиомиопатии (уровень 2) 2,38
14 st14 Колопроктология 1,36
81 st14.001 Операции на кишечнике и анальной области (уровень 1) 0,84
82 st14.002 Операции на кишечнике и анальной области (уровень 2) 1,74
83 st14.003 Операции на кишечнике и анальной области (уровень 3) 2,49
15 st15 Неврология 1,12
84 st15.001 Воспалительные заболевания ЦНС, взрослые 0,98
85 st15.002 Воспалительные заболевания ЦНС, дети 1,55
86 st15.003 Дегенеративные болезни нервной системы 0,84
87 st15.004 Демиелинизирующие болезни нервной системы 1,33
88 st15.005 Эпилепсия, судороги (уровень 1) 0,96
89 st15.006 Эпилепсия, судороги (уровень 2) 2,01
90 st15.007 Расстройства периферической нервной системы 1,02
91 st15.008 Неврологические заболевания, лечение с применением ботулотоксина (уровень 1) 1,61
92 st15.009 Неврологические заболевания, лечение с применением ботулотоксина (уровень 2) 2,05
93 st15.010 Другие нарушения нервной системы (уровень 1) 0,74
94 st15.011 Другие нарушения нервной системы (уровень 2) 0,99
95 st15.012 Транзиторные ишемические приступы, сосудистые мозговые синдромы 1,15
96 st15.013 Кровоизлияние в мозг 2,82
97 st15.014 Инфаркт мозга (уровень 1) 2,52
98 st15.015 Инфаркт мозга (уровень 2) 3,12
99 st15.016 Инфаркт мозга (уровень 3) 4,51
100 st15.017 Другие цереброваскулярные болезни 0,82
16 st16 Нейрохирургия 1,20
101 st16.001 Паралитические синдромы, травма спинного мозга (уровень 1) 0,98
102 st16.002 Паралитические синдромы, травма спинного мозга (уровень 2) 1,49
103 st16.003 Дорсопатии, спондилопатии, остеопатии 0,68
104 st16.004 Травмы позвоночника 1,01
105 st16.005 Сотрясение головного мозга 0,40
106 st16.006 Переломы черепа, внутричерепная травма 1,54
107 st16.007 Операции на центральной нервной системе и головном мозге (уровень 1) 4,13
108 st16.008 Операции на центральной нервной системе и головном мозге (уровень 2) 5,82
109 st16.009 Операции на периферической нервной системе (уровень 1) 1,41
110 st16.010 Операции на периферической нервной системе (уровень 2) 2,19
111 st16.011 Операции на периферической нервной системе (уровень 3) 2,42
112 st16.012 Доброкачественные новообразования нервной системы 1,02
17 st17 Неонатология 2,96
113 st17.001 Малая масса тела при рождении, недоношенность 4,21
114 st17.002 Крайне малая масса тела при рождении, крайняя незрелость 16,02
115 st17.003 Лечение новорожденных с тяжелой патологией с применением аппаратных методов поддержки или замещения витальных функций 7,40
116 st17.004 Геморрагические и гемолитические нарушения у новорожденных 1,92
117 st17.005 Другие нарушения, возникшие в перинатальном периоде (уровень 1) 1,39
118 st17.006 Другие нарушения, возникшие в перинатальном периоде (уровень 2) 1,89
119 st17.007 Другие нарушения, возникшие в перинатальном периоде (уровень 3) 2,56
18 st18 Нефрология (без диализа) 1,69
120 st18.001 Почечная недостаточность 1,66
121 st18.002 Формирование, имплантация, реконструкция, удаление, смена доступа для диализа 1,82
122 st18.003 Гломерулярные болезни 1,71
19 st19 Онкология 3,27
123 st19.001 Операции на женских половых органах при злокачественных новообразованиях (уровень 1) 1,98
124 st19.002 Операции на женских половых органах при злокачественных новообразованиях (уровень 2) 3,66
125 st19.003 Операции на женских половых органах при злокачественных новообразованиях (уровень 3) 4,05
126 st19.004 Операции на кишечнике и анальной области при злокачественных новообразованиях (уровень 1) 2,45
127 st19.005 Операции на кишечнике и анальной области при злокачественных новообразованиях (уровень 2) 4,24
128 st19.006 Операции при злокачественных новообразованиях почки и мочевыделительной системы (уровень 1) 1,40
129 st19.007 Операции при злокачественных новообразованиях почки и мочевыделительной системы (уровень 2) 2,46
130 st19.008 Операции при злокачественных новообразованиях почки и мочевыделительной системы (уровень 3) 3,24
131 st19.009 Операции при злокачественных новообразованиях кожи (уровень 1) 1,09
132 st19.010 Операции при злокачественных новообразованиях кожи (уровень 2) 1,36
133 st19.011 Операции при злокачественных новообразованиях кожи (уровень 3) 1,41
134 st19.012 Операции при злокачественном новообразовании щитовидной железы (уровень 1) 1,88
135 st19.013 Операции при злокачественном новообразовании щитовидной железы (уровень 2) 1,92
136 st19.014 Мастэктомия, другие операции при злокачественном новообразовании молочной железы (уровень 1) 2,29
137 st19.015 Мастэктомия, другие операции при злокачественном новообразовании молочной железы (уровень 2) 3,12
138 st19.016 Операции при злокачественном новообразовании желчного пузыря, желчных протоков (уровень 1) 1,96
139 st19.017 Операции при злокачественном новообразовании желчного пузыря, желчных протоков (уровень 2) 2,17
140 st19.018 Операции при злокачественном новообразовании пищевода, желудка (уровень 1) 2,02
141 st19.019 Операции при злокачественном новообразовании пищевода, желудка (уровень 2) 2,57
142 st19.020 Операции при злокачественном новообразовании пищевода, желудка (уровень 3) 3,14
143 st19.021 Другие операции при злокачественном новообразовании брюшной полости 2,48
144 st19.022 Операции на органе слуха, придаточных пазухах носа и верхних дыхательных путях при злокачественных новообразованиях 1,91
145 st19.023 Операции на нижних дыхательных путях и легочной ткани при злокачественных новообразованиях (уровень 1) 2,88
146 st19.024 Операции на нижних дыхательных путях и легочной ткани при злокачественных новообразованиях (уровень 2) 4,25
147 st19.025 Операции при злокачественных новообразованиях мужских половых органов (уровень 1) 2,56
148 st19.026 Операции при злокачественных новообразованиях мужских половых органов (уровень 2) 3,60
149 st19.027 Лекарственная терапия при злокачественных новообразованиях (кроме лимфоидной и кроветворной тканей), взрослые (уровень 1) 0,57
150 st19.028 Лекарственная терапия при злокачественных новообразованиях (кроме лимфоидной и кроветворной тканей), взрослые (уровень 2) 1,00
151 st19.029 Лекарственная терапия при злокачественных новообразованиях (кроме лимфоидной и кроветворной тканей), взрослые (уровень 3) 1,67
152 st19.030 Лекарственная терапия при злокачественных новообразованиях (кроме лимфоидной и кроветворной тканей), взрослые (уровень 4) 2,18
153 st19.031 Лекарственная терапия при злокачественных новообразованиях (кроме лимфоидной и кроветворной тканей), взрослые (уровень 5) 2,69
154 st19.032 Лекарственная терапия при злокачественных новообразованиях (кроме лимфоидной и кроветворной тканей), взрослые (уровень 6) 3,44
155 st19.033 Лекарственная терапия при злокачественных новообразованиях (кроме лимфоидной и кроветворной тканей), взрослые (уровень 7) 4,42
156 st19.034 Лекарственная терапия при злокачественных новообразованиях (кроме лимфоидной и кроветворной тканей), взрослые (уровень 8) 5,39
157 st19.035 Лекарственная терапия при злокачественных новообразованиях (кроме лимфоидной и кроветворной тканей), взрослые (уровень 9) 8,65
158 st19.036 Лекарственная терапия при злокачественных новообразованиях (кроме лимфоидной и кроветворной тканей), взрослые (уровень 10) 14,64
159 st19.037 Фебрильная нейтропения, агранулоцитоз вследствие проведения лекарственной терапии злокачественных новообразований (кроме лимфоидной и кроветворной тканей) 3,02
160 st19.038 Установка, замена порт системы (катетера) для лекарственной терапии злокачественных новообразований (кроме лимфоидной и кроветворной тканей) 1,42
161 st19.039 Лучевая терапия (уровень 1) 1,04
162 st19.040 Лучевая терапия (уровень 2) 1,49
163 st19.041 Лучевая терапия (уровень 3) 4,15
164 st19.042 Лучевая терапия (уровень 4) 4,32
165 st19.043 Лучевая терапия (уровень 5) 4,68
166 st19.044 Лучевая терапия (уровень 6) 7,47
167 st19.045 Лучевая терапия (уровень 7) 8,71
168 st19.046 Лучевая терапия (уровень 8) 9,42
169 st19.047 Лучевая терапия (уровень 9) 12,87
170 st19.048 Лучевая терапия (уровень 10) 19,73
171 st19.049 Лучевая терапия в сочетании с лекарственной терапией (уровень 1) 3,85
172 st19.050 Лучевая терапия в сочетании с лекарственной терапией (уровень 2) 9,47
173 st19.051 Лучевая терапия в сочетании с лекарственной терапией (уровень 3) 10,95
174 st19.052 Лучевая терапия в сочетании с лекарственной терапией (уровень 4) 13,16
175 st19.053 Лучевая терапия в сочетании с лекарственной терапией (уровень 5) 14,63
176 st19.054 Лучевая терапия в сочетании с лекарственной терапией (уровень 6) 19,17
177 st19.055 Лучевая терапия в сочетании с лекарственной терапией (уровень 7) 31,29
20 st20 Оториноларингология 0,87
178 st20.001 Доброкачественные новообразования, новообразования in situ уха, горла, носа, полости рта 0,66
179 st20.002 Средний отит, мастоидит, нарушения вестибулярной функции 0,47
180 st20.003 Другие болезни уха 0,61
181 st20.004 Другие болезни и врожденные аномалии верхних дыхательных путей, симптомы и признаки, относящиеся к органам дыхания, нарушения речи 0,71
182 st20.005 Операции на органе слуха, придаточных пазухах носа и верхних дыхательных путях (уровень 1) 0,84
183 st20.006 Операции на органе слуха, придаточных пазухах носа и верхних дыхательных путях (уровень 2) 0,91
184 st20.007 Операции на органе слуха, придаточных пазухах носа и верхних дыхательных путях (уровень 3) 1,10
185 st20.008 Операции на органе слуха, придаточных пазухах носа и верхних дыхательных путях (уровень 4) 1,35
186 st20.009 Операции на органе слуха, придаточных пазухах носа и верхних дыхательных путях (уровень 5) 1,96
187 st20.010 Замена речевого процессора 25,00
21 st21 Офтальмология 0,92
188 st21.001 Операции на органе зрения (уровень 1) 0,49
189 st21.002 Операции на органе зрения (уровень 2) 0,79
190 st21.003 Операции на органе зрения (уровень 3) 1,07
191 st21.004 Операции на органе зрения (уровень 4) 1,19
192 st21.005 Операции на органе зрения (уровень 5) 2,11
193 st21.006 Операции на органе зрения (уровень 6) 2,33
194 st21.007 Болезни глаза 0,51
195 st21.008 Травмы глаза 0,66
22 st22 Педиатрия 0,80
196 st22.001 Нарушения всасывания, дети 1,11
197 st22.002 Другие болезни органов пищеварения, дети 0,39
198 st22.003 Воспалительные артропатии, спондилопатии, дети 1,85
199 st22.004 Врожденные аномалии головного и спинного мозга, дети 2,12
23 st23 Пульмонология 1,31
200 st23.001 Другие болезни органов дыхания 0,85
201 st23.002 Интерстициальные болезни легких, врожденные аномалии развития легких, бронхо-легочная дисплазия, дети 2,48
202 st23.003 Доброкачественные новообразования, новообразования in situ органов дыхания, других и неуточненных органов грудной клетки 0,91
203 st23.004 Пневмония, плеврит, другие болезни плевры 1,28
204 st23.005 Астма, взрослые 1,11
205 st23.006 Астма, дети 1,25
24 st24 Ревматология 1,44
206 st24.001 Системные поражения соединительной ткани 1,78
207 st24.002 Артропатии и спондилопатии 1,67
208 st24.003 Ревматические болезни сердца (уровень 1) 0,87
209 st24.004 Ревматические болезни сердца (уровень 2) 1,57
25 st25 Сердечно-сосудистая хирургия 1,18
210 st25.001 Флебит и тромбофлебит, варикозное расширение вен нижних конечностей 0,85
211 st25.002 Другие болезни, врожденные аномалии вен 1,32
212 st25.003 Болезни артерий, артериол и капилляров 1,05
213 st25.004 Диагностическое обследование сердечно-сосудистой системы 1,01
214 st25.005 Операции на сердце и коронарных сосудах (уровень 1) 2,11
215 st25.006 Операции на сердце и коронарных сосудах (уровень 2) 3,97
216 st25.007 Операции на сердце и коронарных сосудах (уровень 3) 4,31
217 s25.008 Операции на сосудах (уровень 1) 1,20
218 st25.009 Операции на сосудах (уровень 2) 2,37
219 st25.010 Операции на сосудах (уровень 3) 4,13
220 st25.011 Операции на сосудах (уровень 4) 6,08
221 st25.012 Операции на сосудах (уровень 5) 7,12
26 st26 Стоматология детская 0,79
222 st26.001 Болезни полости рта, слюнных желез и челюстей, врожденные аномалии лица и шеи, дети 0,79
27 st27 Терапия 0,73
223 st27.001 Болезни пищевода, гастрит, дуоденит, другие болезни желудка и двенадцатиперстной кишки 0,74
224 st27.002 Новообразования доброкачественные, in situ, неопределенного и неуточненного характера органов пищеварения 0,69
225 st27.003 Болезни желчного пузыря 0,72
226 st27.004 Другие болезни органов пищеварения, взрослые 0,59
227 st27.005 Гипертоническая болезнь в стадии обострения 0,70
228 st27.006 Стенокардия (кроме нестабильной), хроническая ишемическая болезнь сердца (уровень 1) 0,78
229 st27.007 Стенокардия (кроме нестабильной), хроническая ишемическая болезнь сердца (уровень 2) 1,70
230 st27.008 Другие болезни сердца (уровень 1) 0,78
231 st27.009 Другие болезни сердца (уровень 2) 1,54
232 st27.010 Бронхит необструктивный, симптомы и признаки, относящиеся к органам дыхания 0,75
233 st27.011 ХОБЛ, эмфизема, бронхоэктатическая болезнь 0,89
234 st27.012 Отравления и другие воздействия внешних причин 0,53
235 st27.013 Отравления и другие воздействия внешних причин с синдромом органной дисфункции 4,07
236 st27.014 Госпитализация в диагностических целях с постановкой/подтверждением диагноза злокачественного новообразования 1,00
28 st28 Торакальная хирургия 2,09
237 st28.001 Гнойные состояния нижних дыхательных путей 2,05
238 st28.002 Операции на нижних дыхательных путях и легочной ткани, органах средостения (уровень 1) 1,54
239 st28.003 Операции на нижних дыхательных путях и легочной ткани, органах средостения (уровень 2) 1,92
240 st28.004 Операции на нижних дыхательных путях и легочной ткани, органах средостения (уровень 3) 2,56
241 st28.005 Операции на нижних дыхательных путях и легочной ткани, органах средостения (уровень 4) 4,12
29 st29 Травматология и ортопедия 1,37
242 st29.001 Приобретенные и врожденные костно-мышечные деформации 0,99
243 st29.002 Переломы шейки бедра и костей таза 1,52
244 st29.003 Переломы бедренной кости, другие травмы области бедра и тазобедренного сустава 0,69
245 st29.004 Переломы, вывихи, растяжения области грудной клетки, верхней конечности и стопы 0,56
246 st29.005 Переломы, вывихи, растяжения области колена и голени 0,74
247 st29.006 Множественные переломы, травматические ампутации, размозжения и последствия травм 1,44
248 st29.007 Тяжелая множественная и сочетанная травма (политравма) 7,07
249 st29.008 Эндопротезирование суставов 4,46
250 st29.009 Операции на костно-мышечной системе и суставах (уровень 1) 0,79
251 st29.010 Операции на костно-мышечной системе и суставах (уровень 2) 0,93
252 st29.011 Операции на костно-мышечной системе и суставах (уровень 3) 1,37
253 st29.012 Операции на костно-мышечной системе и суставах (уровень 4) 2,42
254 st29.013 Операции на костно-мышечной системе и суставах (уровень 5) 3,15
30 st30 Урология 1,20
255 st30.001 Тубулоинтерстициальные болезни почек, другие болезни мочевой системы 0,86
256 st30.002 Камни мочевой системы; симптомы, относящиеся к мочевой системе 0,49
257 st30.003 Доброкачественные новообразования, новообразования in situ, неопределенного и неизвестного характера мочевых органов и мужских половых органов 0,64
258 st30.004 Болезни предстательной железы 0,73
259 st30.005 Другие болезни, врожденные аномалии, повреждения мочевой системы и мужских половых органов 0,67
260 st30.006 Операции на мужских половых органах, взрослые (уровень 1) 1,20
261 st30.007 Операции на мужских половых органах, взрослые (уровень 2) 1,42
262 st30.008 Операции на мужских половых органах, взрослые (уровень 3) 2,31
263 st30.009 Операции на мужских половых органах, взрослые (уровень 4) 3,12
264 st30.010 Операции на почке и мочевыделительной системе, взрослые (уровень 1) 1,08
265 st30.011 Операции на почке и мочевыделительной системе, взрослые (уровень 2) 1,12
266 st30.012 Операции на почке и мочевыделительной системе, взрослые (уровень 3) 1,62
267 st30.013 Операции на почке и мочевыделительной системе, взрослые (уровень 4) 1,95
268 st30.014 Операции на почке и мочевыделительной системе, взрослые (уровень 5) 2,14
269 st30.015 Операции на почке и мочевыделительной системе, взрослые (уровень 6) 4,13
31 st31 Хирургия 0,90
270 st31.001 Болезни лимфатических сосудов и лимфатических узлов 0,61
271 st31.002 Операции на коже, подкожной клетчатке, придатках кожи (уровень 1) 0,55
272 st31.003 Операции на коже, подкожной клетчатке, придатках кожи (уровень 2) 0,71
273 st31.004 Операции на коже, подкожной клетчатке, придатках кожи (уровень 3) 1,38
274 st31.005 Операции на коже, подкожной клетчатке, придатках кожи (уровень 4) 2,41
275 st31.006 Операции на органах кроветворения и иммунной системы (уровень 1) 1,43
276 st31.007 Операции на органах кроветворения и иммунной системы (уровень 2) 1,83
277 st31.008 Операции на органах кроветворения и иммунной системы (уровень 3) 2,16
278 st31.009 Операции на эндокринных железах кроме гипофиза (уровень 1) 1,81
279 st31.010 Операции на эндокринных железах кроме гипофиза (уровень 2) 2,67
280 st31.011 Болезни молочной железы, новообразования молочной железы доброкачественные, in situ, неопределенного и неизвестного характера 0,73
281 st31.012 Артрозы, другие поражения суставов, болезни мягких тканей 0,76
282 st31.013 Остеомиелит (уровень 1) 2,42
283 st31.014 Остеомиелит (уровень 2) 3,51
284 st31.015 Остеомиелит (уровень 3) 4,02
285 st31.016 Доброкачественные новообразования костно-мышечной системы и соединительной ткани 0,84
286 st31.017 Доброкачественные новообразования, новообразования in situ кожи, жировой ткани и другие болезни кожи 0,50
287 st31.018 Открытые раны, поверхностные, другие и неуточненные травмы 0,37
288 st31.019 Операции на молочной железе (кроме злокачественных новообразований) 1,19
32 st32 Хирургия (абдоминальная) 1,20
289 st32.001 Операции на желчном пузыре и желчевыводящих путях (уровень 1) 1,15
290 st32.002 Операции на желчном пузыре и желчевыводящих путях (уровень 2) 1,43
291 st32.003 Операции на желчном пузыре и желчевыводящих путях (уровень 3) 3,00
292 st32.004 Операции на желчном пузыре и желчевыводящих путях (уровень 4) 4,30
293 st32.005 Операции на печени и поджелудочной железе (уровень 1) 2,42
294 st32.006 Операции на печени и поджелудочной железе (уровень 2) 2,69
295 st32.007 Панкреатит, хирургическое лечение 4,12
296 st32.008 Операции на пищеводе, желудке, двенадцатиперстной кишке (уровень 1) 1,16
297 st32.009 Операции на пищеводе, желудке, двенадцатиперстной кишке (уровень 2) 1,95
298 st32.010 Операции на пищеводе, желудке, двенадцатиперстной кишке (уровень 3) 2,46
299 st32.011 Аппендэктомия, взрослые (уровень 1) 0,73
300 st32.012 Аппендэктомия, взрослые (уровень 2) 0,91
301 st32.013 Операции по поводу грыж, взрослые (уровень 1) 0,86
302 st32.014 Операции по поводу грыж, взрослые (уровень 2) 1,24
303 st32.015 Операции по поводу грыж, взрослые (уровень 3) 1,78
304 st32.016 Другие операции на органах брюшной полости (уровень 1) 1,13
305 st32.017 Другие операции на органах брюшной полости (уровень 2) 1,19
306 st32.018 Другие операции на органах брюшной полости (уровень 3) 2,13
33 st33 Хирургия (комбустиология) 1,95
307 st33.001 Отморожения (уровень 1) 1,17
308 st33.002 Отморожения (уровень 2) 2,91
309 st33.003 Ожоги (уровень 1) 1,21
310 st33.004 Ожоги (уровень 2) 2,03
311 st33.005 Ожоги (уровень 3) 3,54
312 st33.006 Ожоги (уровень 4) 5,20
313 st33.007 Ожоги (уровень 5) 11,11
314 st33.008 Ожоги (уровень 4,5) с синдромом органной дисфункции 14,07
34 st34 Челюстно-лицевая хирургия 1,18
315 st34.001 Болезни полости рта, слюнных желез и челюстей, врожденные аномалии лица и шеи, взрослые 0,89
316 st34.002 Операции на органах полости рта (уровень 1) 0,74
317 st34.003 Операции на органах полости рта (уровень 2) 1,27
318 st34.004 Операции на органах полости рта (уровень 3) 1,63
319 st34.005 Операции на органах полости рта (уровень 4) 1,90
35 st35 Эндокринология 1,40
320 st35.001 Сахарный диабет, взрослые (уровень 1) 1,02
321 st35.002 Сахарный диабет, взрослые (уровень 2) 1,49
322 st35.003 Заболевания гипофиза, взрослые 2,14
323 st35.004 Другие болезни эндокринной системы, взрослые (уровень 1) 1,25
324 st35.005 Другие болезни эндокринной системы, взрослые (уровень 2) 2,76
325 st35.006 Новообразования эндокринных желез доброкачественные, in situ, неопределенного и неизвестного характера 0,76
326 st35.007 Расстройства питания 1,06
327 st35.008 Другие нарушения обмена веществ 1,16
328 st35.009 Кистозный фиброз 3,32
36 st36 Прочее  
329 st36.001 Комплексное лечение с применением препаратов иммуноглобулина 4,32
330 st36.002 Редкие генетические заболевания 3,50
331 st36.003 Лечение с применением генно-инженерных биологических препаратов и селективных иммунодепрессантов 5,35
332 st36.004 Факторы, влияющие на состояние здоровья населения и обращения в учреждения здравоохранения 0,32
333 st36.005 Госпитализация в диагностических целях с постановкой диагноза туберкулеза, ВИЧ-инфекции, психического заболевания 0,46
334 st36.006 Отторжение, отмирание трансплантата органов и тканей 8,40
335 st36.007 Установка, замена, заправка помп для лекарственных препаратов 2,32
336 st36.008 Интенсивная терапия пациентов с нейрогенными нарушениями жизненно важных функций, нуждающихся в их длительном искусственном замещении 18,15
337 st36.009 Реинфузия аутокрови 2,05
338 st36.010 Баллонная внутриаортальная контрпульсация 7,81
339 st36.011 Экстракорпоральная мембранная оксигенация 15,57
340 st36.012 Злокачественное новообразование без специального противоопухолевого лечения 0,50
37 st37 Медицинская реабилитация 1,74
341 st37.001 Медицинская реабилитация пациентов с заболеваниями центральной нервной системы (3 балла по ШРМ) 1,31
342 st37.002 Медицинская реабилитация пациентов с заболеваниями центральной нервной системы (4 балла по ШРМ) 1,82
343 st37.003 Медицинская реабилитация пациентов с заболеваниями центральной нервной системы (5 баллов по ШРМ) 3,12
344 st37.004 Медицинская реабилитация пациентов с заболеваниями центральной нервной системы (6 баллов по ШРМ) 8,60
345 st37.005 Медицинская реабилитация пациентов с заболеваниями опорно-двигательного аппарата и периферической нервной системы (3 балла по ШРМ) 1,24
346 st37.006 Медицинская реабилитация пациентов с заболеваниями опорно-двигательного аппарата и периферической нервной системы (4 балла по ШРМ) 1,67
347 st37.007 Медицинская реабилитация пациентов с заболеваниями опорно-двигательного аппарата и периферической нервной системы (5 баллов по ШРМ) 3,03
348 st37.008 Медицинская кардиореабилитация (3 балла по ШРМ) 1,02
349 st37.009 Медицинская кардиореабилитация (4 балла по ШРМ) 1,38
350 st37.010 Медицинская кардиореабилитация (5 баллов по ШРМ) 2,00
351 st37.011 Медицинская реабилитация при других соматических заболеваниях (3 балла по ШРМ) 0,59
352 st37.012 Медицинская реабилитация при других соматических заболеваниях (4 балла по ШРМ) 0,84
353 st37.013 Медицинская реабилитация при других соматических заболеваниях (5 баллов по ШРМ) 1,17
354 st37.014 Медицинская реабилитация детей, перенесших заболевания перинатального периода 1,50
355 st37.015 Медицинская реабилитация детей с нарушениями слуха без замены речевого процессора системы кохлеарной имплантации 1,80
356 st37.016 Медицинская реабилитация детей с онкологическими, гематологическими и иммунологическими заболеваниями в тяжелых формах продолжительного течения 4,81
357 st37.017 Медицинская реабилитация детей с поражениями центральной нервной системы 2,75
358 st37.018 Медицинская реабилитация детей, после хирургической коррекции врожденных пороков развития органов и систем 2,35
38 st38 Гериатрия 1,50
359 st38.001 Соматические заболевания, осложненные старческой астенией 1,50
(в ред. Письма Минздрава РФ N 11-7/И/2-3440, ФФОМС N 4855/26-2/и от 19.04.2019)

Приложение 2

РАСПРЕДЕЛЕНИЕ КСГ ЗАБОЛЕВАНИЙ ПО ПРОФИЛЯМ МЕДИЦИНСКОЙ ДЕЯТЕЛЬНОСТИ (КПГ) И КОЭФФИЦИЕНТЫ ОТНОСИТЕЛЬНОЙ ЗАТРАТОЕМКОСТИ КСГ/КПГ (ДЛЯ МЕДИЦИНСКОЙ ПОМОЩИ, ОКАЗАННОЙ В УСЛОВИЯХ ДНЕВНОГО СТАЦИОНАРА)

N п/п Код Профиль (КПГ) и КСГ Коэффициент относительной затратоемкости КСГ/КПГ
1 ds01 Акушерское дело 0,5
2 ds02 Акушерство и гинекология 0,8
1 ds02.001 Осложнения беременности, родов, послеродового периода 0,83
2 ds02.002 Болезни женских половых органов 0,66
3 ds02.003 Операции на женских половых органах (уровень 1) 0,71
4 ds02.004 Операции на женских половых органах (уровень 2) 1,06
5 ds02.005 Экстракорпоральное оплодотворение 9,79
6 ds02.006 Искусственное прерывание беременности (аборт) 0,33
7 ds02.007 Аборт медикаментозный <*> 1,04
3 ds03 Аллергология и иммунология 0,98
8 ds03.001 Нарушения с вовлечением иммунного механизма 0,98
4 ds04 Гастроэнтерология 0,89
9 ds04.001 Болезни органов пищеварения, взрослые 0,89
5 ds05 Гематология 5,45
10 ds05.001 Болезни крови (уровень 1) 0,91
11 ds05.002 Болезни крови (уровень 2) 2,41
12 ds05.003 Лекарственная терапия при остром лейкозе, взрослые 7,77
13 ds05.004 Лекарственная терапия при других злокачественных новообразованиях лимфоидной и кроветворной тканей, взрослые 6,30
14 ds05.005 Лекарственная терапия при доброкачественных заболеваниях крови и пузырном заносе 3,73
15 ds05.006 Лекарственная терапия злокачественных новообразований лимфоидной и кроветворной тканей с применением моноклональных антител, ингибиторов протеинкиназы 14,41
16 ds05.007 Лекарственная терапия при остром лейкозе, дети 14,23
17 ds05.008 Лекарственная терапия при других злокачественных новообразованиях лимфоидной и кроветворной тканей, дети 10,34
6 ds06 Дерматология 1,54
18 ds06.001 Дерматозы 1,54
7 ds07 Детская кардиология 0,98
19 ds07.001 Болезни системы кровообращения, дети 0,98
8 ds08 Детская онкология 7,95
20 ds08.001 Лекарственная терапия при злокачественных новообразованиях других локализаций (кроме лимфоидной и кроветворной тканей), дети 7,95
9 ds09 Детская урология-андрология 1,42
21 ds09.001 Операции на мужских половых органах, дети 1,38
22 ds09.002 Операции на почке и мочевыделительной системе, дети 2,09
10 ds10 Детская хирургия 1,60
23 ds10.001 Операции по поводу грыж, дети 1,60
11 ds11 Детская эндокринология 1,39
24 ds11.001 Сахарный диабет, дети 1,49
25 ds11.002 Другие болезни эндокринной системы, дети 1,36
12 ds12 Инфекционные болезни 0,92
26 ds12.001 Вирусный гепатит B хронический, лекарственная терапия 2,75
27 ds12.002 Вирусный гепатит C хронический, лекарственная терапия (уровень 1) 1,10
28 ds12.003 Вирусный гепатит C хронический, лекарственная терапия (уровень 2) 4,90
29 ds12.004 Вирусный гепатит C хронический, лекарственная терапия (уровень 3) 22,20
30 ds12.005 Другие вирусные гепатиты 0,97
31 ds12.006 Инфекционные и паразитарные болезни, взрослые 1,16
32 ds12.007 Инфекционные и паразитарные болезни, дети 0,97
33 ds12.008 Респираторные инфекции верхних дыхательных путей, взрослые 0,52
34 ds12.009 Респираторные инфекции верхних дыхательных путей, дети 0,65
13 ds13 Кардиология 0,80
35 ds13.001 Болезни системы кровообращения, взрослые 0,80
36 ds13.002 Болезни системы кровообращения с применением инвазивных методов 3,39
37 ds13.003 Лечение наследственных атерогенных нарушений липидного обмена с применением методов афереза (липидная фильтрация, афинная и иммуносорбция липопротеидов) в случае отсутствия эффективности базисной терапии 5,07
14 ds14 Колопроктология 1,70
38 ds14.001 Операции на кишечнике и анальной области (уровень 1) 1,53
39 ds14.002 Операции на кишечнике и анальной области (уровень 2) 3,17
15 ds15 Неврология 1,05
40 ds15.001 Болезни нервной системы, хромосомные аномалии 0,98
41 ds15.002 Неврологические заболевания, лечение с применением ботулотоксина (уровень 1) 1,75
42 ds15.003 Неврологические заболевания, лечение с применением ботулотоксина (уровень 2) 2,89
16 ds16 Нейрохирургия 1,06
43 ds16.001 Болезни и травмы позвоночника, спинного мозга, последствия внутричерепной травмы, сотрясение головного мозга 0,94
44 ds16.002 Операции на периферической нервной системе 2,57
17 ds17 Неонатология 1,79
45 ds17.001 Нарушения, возникшие в перинатальном периоде 1,79
18 ds18 Нефрология (без диализа) 2,74
46 ds18.001 Гломерулярные болезни, почечная недостаточность (без диализа) 1,60
47 ds18.002 Лекарственная терапия у пациентов, получающих диализ 3,25
48 ds18.003 Формирование, имплантация, удаление, смена доступа для диализа 3,18
49 ds18.004 Другие болезни почек 0,80
19 ds19 Онкология 6,09
50 ds19.001 Лучевая терапия (уровень 1) 1,06
51 ds19.002 Лучевая терапия (уровень 2) 1,83
52 ds19.003 Лучевая терапия (уровень 3) 2,31
53 ds19.004 Лучевая терапия (уровень 4) 2,84
54 ds19.005 Лучевая терапия (уровень 5) 4,16
55 ds19.006 Лучевая терапия (уровень 6) 4,50
56 ds19.007 Лучевая терапия (уровень 7) 6,31
57 ds19.008 Лучевая терапия (уровень 8) 11,19
58 ds19.009 Лучевая терапия (уровень 9) 15,29
59 ds19.010 Лучевая терапия (уровень 10) 17,42
60 ds19.011 Лучевая терапия в сочетании с лекарственной терапией (уровень 1) 3,92
61 ds19.012 Лучевая терапия в сочетании с лекарственной терапией (уровень 2) 7,49
62 ds19.013 Лучевая терапия в сочетании с лекарственной терапией (уровень 3) 13,98
63 ds19.014 Лучевая терапия в сочетании с лекарственной терапией (уровень 4) 25,11
64 ds19.015 Лучевая терапия в сочетании с лекарственной терапией (уровень 5) 44,65
65 ds19.016 Операции при злокачественных новообразованиях кожи (уровень 1) 2,35
66 ds19.017 Операции при злокачественных новообразованиях кожи (уровень 2) 2,48
67 ds19.018 Лекарственная терапия при злокачественных новообразованиях (кроме лимфоидной и кроветворной тканей), взрослые (уровень 1) 0,76
68 ds19.019 Лекарственная терапия при злокачественных новообразованиях (кроме лимфоидной и кроветворной тканей), взрослые (уровень 2) 1,06
69 ds19.020 Лекарственная терапия при злокачественных новообразованиях (кроме лимфоидной и кроветворной тканей), взрослые (уровень 3) 1,51
70 ds19.021 Лекарственная терапия при злокачественных новообразованиях (кроме лимфоидной и кроветворной тканей), взрослые (уровень 4) 2,40
71 ds19.022 Лекарственная терапия при злокачественных новообразованиях (кроме лимфоидной и кроветворной тканей), взрослые (уровень 5) 4,26
72 ds19.023 Лекарственная терапия при злокачественных новообразованиях (кроме лимфоидной и кроветворной тканей), взрослые (уровень 6) 7,09
73 ds19.024 Лекарственная терапия при злокачественных новообразованиях (кроме лимфоидной и кроветворной тканей), взрослые (уровень 7) 9,46
74 ds19.025 Лекарственная терапия при злокачественных новообразованиях (кроме лимфоидной и кроветворной тканей), взрослые (уровень 8) 14,57
75 ds19.026 Лекарственная терапия при злокачественных новообразованиях (кроме лимфоидной и кроветворной тканей), взрослые (уровень 9) 20,01
76 ds19.027 Лекарственная терапия при злокачественных новообразованиях (кроме лимфоидной и кроветворной тканей), взрослые (уровень 10) 38,10
77 ds19.028 Установка, замена порт системы (катетера) для лекарственной терапии злокачественных новообразований (кроме лимфоидной и кроветворной тканей) 2,40
78 ds19.029 Госпитализация в диагностических целях с постановкой/подтверждением диагноза злокачественного новообразования с использованием ПЭТ КТ 2,65
20 ds20 Оториноларингология 0,98
79 ds20.001 Болезни уха, горла, носа 0,74
80 ds20.002 Операции на органе слуха, придаточных пазухах носа и верхних дыхательных путях (уровень 1) 1,12
81 ds20.003 Операции на органе слуха, придаточных пазухах носа и верхних дыхательных путях (уровень 2) 1,66
82 ds20.004 Операции на органе слуха, придаточных пазухах носа и верхних дыхательных путях (уровень 3) 2
83 ds20.005 Операции на органе слуха, придаточных пазухах носа и верхних дыхательных путях (уровень 4) 2,46
84 ds20.006 Замена речевого процессора 45,5
21 ds21 Офтальмология 0,98
85 ds21.001 Болезни и травмы глаза 0,39
86 ds21.002 Операции на органе зрения (уровень 1) 0,96
87 ds21.003 Операции на органе зрения (уровень 2) 1,44
88 ds21.004 Операции на органе зрения (уровень 3) 1,95
89 ds21.005 Операции на органе зрения (уровень 4) 2,17
90 ds21.006 Операции на органе зрения (уровень 5) 3,84
22 ds22 Педиатрия 0,93
91 ds22.001 Системные поражения соединительной ткани, артропатии, спондилопатии, дети 2,31
92 ds22.002 Болезни органов пищеварения, дети 0,89
23 ds23 Пульмонология 0,90
93 ds23.001 Болезни органов дыхания 0,90
24 ds24 Ревматология 1,46
94 ds24.001 Системные поражения соединительной ткани, артропатии, спондилопатии, взрослые 1,46
25 ds25 Сердечно-сосудистая хирургия 1,88
95 ds25.001 Диагностическое обследование при болезнях системы кровообращения 1,84
96 ds25.002 Операции на сосудах (уровень 1) 2,18
97 ds25.003 Операции на сосудах (уровень 2) 4,31
26 ds26 Стоматология детская 0,98
98 ds26.001 Болезни полости рта, слюнных желез и челюстей, врожденные аномалии лица и шеи, дети 0,98
27 ds27 Терапия 0,74
99 ds27.001 Отравления и другие воздействия внешних причин 0,74
28 ds28 Торакальная хирургия 1,32
100 ds28.001 Операции на нижних дыхательных путях и легочной ткани, органах средостения 1,32
29 ds29 Травматология и ортопедия 1,25
101 ds29.001 Операции на костно-мышечной системе и суставах (уровень 1) 1,44
102 ds29.002 Операции на костно-мышечной системе и суставах (уровень 2) 1,69
103 ds29.003 Операции на костно-мышечной системе и суставах (уровень 3) 2,49
104 ds29.004 Заболевания опорно-двигательного аппарата, травмы, болезни мягких тканей 1,05
30 ds30 Урология 0,98
105 ds30.001 Болезни, врожденные аномалии, повреждения мочевой системы и мужских половых органов 0,8
106 ds30.002 Операции на мужских половых органах, взрослые (уровень 1) 2,18
107 ds30.003 Операции на мужских половых органах, взрослые (уровень 2) 2,58
108 ds30.004 Операции на почке и мочевыделительной системе, взрослые (уровень 1) 1,97
109 ds30.005 Операции на почке и мочевыделительной системе, взрослые (уровень 2) 2,04
110 ds30.006 Операции на почке и мочевыделительной системе, взрослые (уровень 3) 2,95
31 ds31 Хирургия 0,92
111 ds31.001 Болезни, новообразования молочной железы 0,89
112 ds31.002 Операции на коже, подкожной клетчатке, придатках кожи (уровень 1) 0,75
113 ds31.003 Операции на коже, подкожной клетчатке, придатках кожи (уровень 2) 1
114 ds31.004 Операции на коже, подкожной клетчатке, придатках кожи (уровень 3) 4,34
115 ds31.005 Операции на органах кроветворения и иммунной системы 1,29
116 ds31.006 Операции на молочной железе 2,6
32 ds32 Хирургия (абдоминальная) 1,85
117 ds32.001 Операции на пищеводе, желудке, двенадцатиперстной кишке (уровень 1) 2,11
118 ds32.002 Операции на пищеводе, желудке, двенадцатиперстной кишке (уровень 2) 3,55
119 ds32.003 Операции по поводу грыж, взрослые (уровень 1) 1,57
120 ds32.004 Операции по поводу грыж, взрослые (уровень 2) 2,26
121 ds32.005 Операции по поводу грыж, взрослые (уровень 3) 3,24
122 ds32.006 Операции на желчном пузыре и желчевыводящих путях 1,7
123 ds32.007 Другие операции на органах брюшной полости (уровень 1) 2,06
124 ds32.008 Другие операции на органах брюшной полости (уровень 2) 2,17
33 ds33 Хирургия (комбустиология) 1,1
125 ds33.001 Ожоги и отморожения 1,1
34 ds34 Челюстно-лицевая хирургия 0,89
126 ds34.001 Болезни полости рта, слюнных желез и челюстей, врожденные аномалии лица и шеи, взрослые 0,88
127 ds34.002 Операции на органах полости рта (уровень 1) 0,92
128 ds34.003 Операции на органах полости рта (уровень 2) 1,56
35 ds35 Эндокринология 1,23
129 ds35.001 Сахарный диабет, взрослые 1,08
130 ds35.002 Другие болезни эндокринной системы, новообразования эндокринных желез доброкачественные, in situ, неопределенного и неизвестного характера, расстройства питания, другие нарушения обмена веществ 1,41
131 ds35.003 Кистозный фиброз 2,58
132 ds35.004 Лечение кистозного фиброза с применением ингаляционной антибактериальной терапии 12,27
36 ds36 Прочее  
133 ds36.001 Комплексное лечение с применением препаратов иммуноглобулина 7,86
134 ds36.002 Факторы, влияющие на состояние здоровья населения и обращения в учреждения здравоохранения 0,56
135 ds36.003 Госпитализация в дневной стационар в диагностических целях с постановкой диагноза туберкулеза, ВИЧ-инфекции, психического заболевания 0,46
136 ds36.004 Лечение с применением генно-инженерных биологических препаратов и селективных иммунодепрессантов 9,74
137 ds36.005 Отторжение, отмирание трансплантата органов и тканей 7,4
138 ds36.006 Злокачественное новообразование без специального противоопухолевого лечения 0,40
37 ds37 Медицинская реабилитация 1,71
139 ds37.001 Медицинская реабилитация пациентов с заболеваниями центральной нервной системы (2 балла по ШРМ) 1,61
140 ds37.002 Медицинская реабилитация пациентов с заболеваниями центральной нервной системы (3 балла по ШРМ) 1,94
141 ds37.003 Медицинская реабилитация пациентов с заболеваниями опорно-двигательного аппарата и периферической нервной системы (2 балла по ШРМ) 1,52
142 ds37.004 Медицинская реабилитация пациентов с заболеваниями опорно-двигательного аппарата и периферической нервной системы (3 балла по ШРМ) 1,82
143 ds37.005 Медицинская кардиореабилитация (2 балла по ШРМ) 1,39
144 ds37.006 Медицинская кардиореабилитация (3 балла по ШРМ) 1,67
145 ds37.007 Медицинская реабилитация при других соматических заболеваниях (2 балла по ШРМ) 0,85
146 ds37.008 Медицинская реабилитация при других соматических заболеваниях (3 балла по ШРМ) 1,09
147 ds37.009 Медицинская реабилитация детей, перенесших заболевания перинатального периода 1,5
148 ds37.010 Медицинская реабилитация детей с нарушениями слуха без замены речевого процессора системы кохлеарной имплантации 1,8
149 ds37.011 Медицинская реабилитация детей с поражениями центральной нервной системы 2,75
150 ds37.012 Медицинская реабилитация детей после хирургической коррекции врожденных пороков развития органов и систем 2,35

<*> Оплата по КСГ осуществляется в случае назначения лекарственного препарата по решению врачебной комиссии.

Приложение 3

РЕКОМЕНДУЕМЫЙ ПЕРЕЧЕНЬ СЛУЧАЕВ, ДЛЯ КОТОРЫХ УСТАНОВЛЕН КСЛП

(в ред. Письма Минздрава РФ N 11-7/И/2-3440, ФФОМС N 4855/26-2/и от 19.04.2019)

N Случаи, для которых установлен КСЛП Пороговые значения КСЛП
1 Сложность лечения пациента, связанная с возрастом (госпитализация детей до 1 года) <*> 1,1 - 1,8
2 Сложность лечения пациента, связанная с возрастом (госпитализация детей от 1 до 4) 1,1 - 1,4
3 Необходимость предоставления спального места и питания законному представителю (дети до 4 лет, дети старше 4 лет при наличии медицинских показаний) 1,05 - 1,35
4 Сложность лечения пациента, связанная с возрастом (лица старше 75 лет) (в том числе, включая консультацию врача-гериатра) <**> 1,02 - 1,4
5 Сложность лечения пациента при наличии у него старческой астении <***> 1,1 - 1,4
6 Наличие у пациента тяжелой сопутствующей патологии, осложнений заболеваний, сопутствующих заболеваний, влияющих на сложность лечения пациента (перечень указанных заболеваний и состояний представлен в Инструкции) 1,1 - 1,8
7 Необходимость развертывания индивидуального поста по медицинским показаниям 1,1 - 1,5
8 Проведение в рамках одной госпитализации в полном объеме нескольких видов противоопухолевого лечения, относящихся к разным КСГ (перечень возможных сочетаний КСГ представлен в Инструкции) 1,3 - 1,8
9 Сверхдлительные сроки госпитализации, обусловленные медицинскими показаниями (методика расчета КСЛП представлена в Инструкции) В соответствии с расчетным значением
10 Проведение сочетанных хирургических вмешательств (перечень возможных сочетанных операций представлен в Инструкции) 1,2 - 1,7
11 Проведение однотипных операций на парных органах (перечень возможных однотипных операций на парных органах представлен в Инструкции) 1,2 - 1,7
12 Проведение I этапа экстракорпорального оплодотворения (стимуляция суперовуляции), I - II этапа (стимуляция суперовуляции, получение яйцеклетки), I - III этапа (стимуляция суперовуляции, получение яйцеклетки, экстракорпоральное оплодотворение и культивирование эмбрионов) без последующей криоконсервации эмбрионов (неполный цикл) 0,6
13 Полный цикл экстракорпорального оплодотворения с криоконсервацией эмбрионов <****> 1,1
14 Размораживание криоконсервированных эмбрионов с последующим переносом эмбрионов в полость матки (криоперенос) 0,19

<*> Кроме КСГ, относящихся к профилю "Неонатология".

<**> Кроме случаев госпитализации на геронтологические профильные койки.

<***> Применяется в случае госпитализации на геронтологические профильные койки пациента с основным диагнозом, не включенным в перечень диагнозов, определенных КСГ "Соматические заболевания, осложненные старческой астенией". (в ред. Письма Минздрава РФ N 11-7/И/2-3440, ФФОМС N 4855/26-2/и от 19.04.2019)

<****> В данный этап не входит осуществление размораживания криоконсервированных эмбрионов и перенос криоконсервированных эмбрионов в полость матки.

Приложение 4

РЕКОМЕНДУЕМЫЕ КОЭФФИЦИЕНТЫ ОТНОСИТЕЛЬНОЙ ЗАТРАТОЕМКОСТИ К БАЗОВЫМ ТАРИФАМ ДЛЯ ОПЛАТЫ ДИАЛИЗА (БЕЗ УЧЕТА КОЭФФИЦИЕНТА ДИФФЕРЕНЦИАЦИИ)

N Код услуги Наименование услуги Условия оказания Единица оплаты Коэффициент относительной затратоемкости
Услуги гемодиализа
1 A18.05.002 Гемодиализ стационарно, дневной стационар, амбулаторно услуга 1,00
2 A18.05.002.002 Гемодиализ интермиттирующий низкопоточный стационарно, дневной стационар, амбулаторно услуга 1,00
3 A18.05.002.001 Гемодиализ интермиттирующий высокопоточный стационарно, дневной стационар, амбулаторно услуга 1,05
4 A18.05.011 Гемодиафильтрация стационарно, дневной стационар, амбулаторно услуга 1,08
5 A18.05.004 Ультрафильтрация крови стационарно услуга 0,92
6 A18.05.002.003 Гемодиализ интермиттирующий продленный стационарно услуга 2,76
7 A18.05.003 Гемофильтрация крови стационарно услуга 2,88
8 A18.05.004.001 Ультрафильтрация продленная стационарно услуга 2,51
9 A18.05.011.001 Гемодиафильтрация продленная стационарно услуга 3,01
10 A18.05.002.005 Гемодиализ продолжительный стационарно сутки 5,23
11 A18.05.003.002 Гемофильтрация крови продолжительная стационарно сутки 5,48
12 A18.05.011.002 Гемодиафильтрация продолжительная стационарно сутки 5,73
Услуги перитонеального диализа
13 A18.30.001 Перитонеальный диализ стационарно, дневной стационар, амбулаторно день обмена 1,00
14 A18.30.001.001 Перитонеальный диализ проточный стационарно день обмена 4,92
15 A18.30.001.002 Перитонеальный диализ с использованием автоматизированных технологий стационарно, дневной стационар, амбулаторно день обмена 1,24
16 A18.30.001.003 Перитонеальный диализ при нарушении ультрафильтрации стационарно, дневной стационар, амбулаторно день обмена 1,09

Приложение 5

РЕКОМЕНДУЕМЫЙ ПЕРЕЧЕНЬ ПОКАЗАТЕЛЕЙ РЕЗУЛЬТАТИВНОСТИ ДЕЯТЕЛЬНОСТИ МЕДИЦИНСКИХ ОРГАНИЗАЦИЙ

Показатели Единица измерения Примечание
1. Показатели результативности
1.1. Рекомендуемый период оценки: не реже 1 раза в месяц
Уровень госпитализации прикрепленного населения от общей численности прикрепленного населения % Для оценки показателя рекомендуется исключать диагнозы, связанные с внешними причинами заболеваемости
Доля экстренных госпитализаций в общем объеме госпитализаций прикрепленного населения %
Частота вызовов скорой медицинской помощи прикрепленному населению ед. на 10 тыс. прикрепленного населения
Доля пациентов с впервые установленной III - IV стадией злокачественных новообразований всех локализаций в общем числе пациентов с впервые в жизни установленным диагнозом злокачественного новообразования % Для оценки показателя рекомендуется использовать подтвержденные диагнозы в соответствии с данными специализированных медицинских организаций
Удельный вес повторных инфарктов % По данным персонифицированного учета
Доля обоснованных жалоб пациентов на работу медицинской организации % Для оценки показателя учитываются жалобы на медицинские организации, поступившие в ТФОМС, орган управления здравоохранением, СМО субъекта Российской Федерации
Доля посещений по заболеваниям, осуществленным в неотложной форме, от общего числа посещений по заболеваниям % от всех посещений по заболеванию -
Доля нарушений, выявленных при проведении медико-экономической экспертизы % от количества проведенных медико-экономических экспертиз -
Доля нарушений, выявленных при проведении экспертизы качества медицинской помощи % от количества проведенных экспертиз качества медицинской помощи -
1.2. Рекомендуемый период оценки: не чаще одного раза в квартал и 1 раз в год
Уровень первичного выхода на инвалидность лиц трудоспособного возраста в связи с заболеванием Количеств о случаев на 1 тыс. человек прикрепленного населения трудоспособного возраста -
Доля лиц, умерших от инсульта и (или) инфаркта миокарда в трудоспособном возрасте, среди прикрепленного населения Число случаев на 1 тыс. лиц трудоспособного возраста (женщины 18 - 54 года, мужчины 18 - 59 лет), среди прикрепленного населения -
Доля умерших в трудоспособном возрасте пациентов с ЗНО, состоящих на учете, от общего числа умерших в трудоспособном возрасте пациентов с ЗНО
Уровень заболевания инфарктом
Уровень заболевания инсультом
Удельный вес пациентов с сахарным диабетом, перенесших ампутацию Процент от всех пациентов с сахарным диабетом среди прикрепленного населения -
Удельный вес пациентов с сахарным диабетом, осложнившимся комой
2. Показатели интенсивности
2.1. Рекомендуемый период оценки: не реже 1 раза в месяц
Количество посещений на 1 тыс. человек прикрепленного населения Ед. Для оценки показателя рекомендуется контролировать соответствие фактического количества посещений функции врачебной должности в разрезе медицинских специальностей.
Доля посещений с профилактической целью от общего количества посещений % Показатель не используется, если оплата посещений с профилактической целью (диспансеризация, профилактические осмотры) осуществляется за единицу объема медицинской помощи
Количество выявленных случаев злокачественных новообразований всех локализаций на 1000 прикрепившихся Ед. -
Доля пациентов, охваченных диспансерным наблюдением из числа подлежащих, в том числе с использованием дистанционных методов наблюдения % Для оценки показателей рекомендуется применять ретроспективный анализ оказанных медицинских услуг, в том числе при госпитализации
Доля лиц с впервые выявленной ишемической болезнью сердца, взятых под диспансерное наблюдение, в том числе с использованием дистанционных методов наблюдения %
Доля лиц с впервые выявленной артериальной гипертензией, взятых под диспансерное наблюдение, в том числе с использованием дистанционных методов наблюдения %
2.2. Рекомендуемый период оценки: не чаще одного раза в квартал и 1 раз в год
Охват диспансеризацией определенных групп взрослого населения из подлежащего диспансеризации в текущем году % (целевое значение - не менее 80 процентов от подлежащих) Для оценки показателя может применяться индикатор отношения количества случаев II-го этапа диспансеризации к общему количеству законченных случаев диспансеризации
Охват населения всех (или отдельных) возрастных групп, охваченных профилактическими прививками против гриппа, от общего числа лиц указанных групп, подлежащих охвату профилактическими прививками, среди лиц, прикрепленных к медицинской организации % (целевое значение - не менее 30 процентов от подлежащих) -
Охват населения всех (или отдельных) возрастных групп вакцинированием против пневмококковой инфекции от общего числа лиц указанных групп, подлежащих охвату профилактическими прививками, среди лиц, прикрепленных к медицинской организации % (целевое значение - не менее 10% прикрепленного населения) -

ПРИЛОЖЕНИЕ 6. - Исключено. (в ред. Письма Минздрава РФ N 11-7/и/2-5785, ФФОМС N 8096/26-1/и от 02.07.2019)

Приложение 6

СРЕДНЕЕ КОЛИЧЕСТВО УЕТ В ОДНОЙ МЕДИЦИНСКОЙ УСЛУГЕ, ПРИМЕНЯЕМОЕ ДЛЯ ОБОСНОВАНИЯ ОБЪЕМА И СТОИМОСТИ ПОСЕЩЕНИЙ ПРИ ОКАЗАНИИ ПЕРВИЧНОЙ МЕДИКО-САНИТАРНОЙ СПЕЦИАЛИЗИРОВАННОЙ СТОМАТОЛОГИЧЕСКОЙ ПОМОЩИ В АМБУЛАТОРНЫХ УСЛОВИЯХ

(в ред. Письма Минздрава РФ N 11-7/и/2-5785, ФФОМС N 8096/26-1/и от 02.07.2019)

Код услуги Наименование услуги Число УЕТ
взрослый прием детский прием
A12.07.001 Витальное окрашивание твердых тканей зуба 0,35 0,35
A12.07.003 Определение индексов гигиены полости рта 0,61 0,61
A12.07.004 Определение пародонтальных индексов 0,76 0,76
B01.003.004.002 Проводниковая анестезия 0,96 0,96
B01.003.004.004 Аппликационная анестезия 0,31 0,31
B01.003.004.005 Инфильтрационная анестезия 0,5 0,5
A06.30.002 Описание и интерпретация рентгенографических изображений 0,93 0,93
A06.07.010 Радиовизиография челюстно-лицевой области 0,75 0,75
A06.07.003 Прицельная внутриротовая контактная рентгенография 0,75 0,75
A11.07.026 Взятие образца биологического материала из очагов поражения органов рта 1,12 1,12
A11.01.019 Получение соскоба с эрозивно-язвенных элементов кожи и слизистых оболочек 1,12 1,12
A11.07.011 Инъекционное введение лекарственных препаратов в челюстно-лицевую область 1,1 1,1
A25.07.001 Назначение лекарственных препаратов при заболеваниях полости рта и зубов 0,25 0,25
A05.07.001 Электроодонтометрия зуба 0,42 0,42
B01.064.003 Прием (осмотр, консультация) врача-стоматолога детского первичный   1,95
B01.064.004 Прием (осмотр, консультация) врача-стоматолога детского повторный   1,37
B04.064.001 Диспансерный прием (осмотр, консультация) врача-стоматолога детского   1,19
B01.065.007 Прием (осмотр, консультация) врача-стоматолога первичный 1,68 1,95
B01.065.008 Прием (осмотр, консультация) врача-стоматолога повторный 1,18 1,37
B04.065.005 Диспансерный прием (осмотр, консультация) врача-стоматолога 1,25 1,19
B01.065.001 Прием (осмотр, консультация) врача-стоматолога-терапевта первичный 1,68  
B01.065.002 Прием (осмотр, консультация) врача-стоматолога-терапевта повторный 1,18  
B04.065.001 Диспансерный прием (осмотр, консультация) врача-стоматолога-терапевта 1,25  
B01.065.003 Прием (осмотр, консультация) зубного врача первичный 1,68 1,95
B01.065.004 Прием (осмотр, консультация) зубного врача повторный 1,18 1,37
B04.065.003 Диспансерный прием (осмотр, консультация) зубного врача 1,25 1,19
B01.065.005 Прием (осмотр, консультация) гигиениста стоматологического первичный 1,5 1,5
B01.065.006 Прием (осмотр, консультация) гигиениста стоматологического повторный 0,9 0,9
A03.07.001 Люминесцентная стоматоскопия 0,63 0,63
A11.07.010 Введение лекарственных препаратов в пародонтальный карман 0,99 0,99
A11.07.022 Аппликация лекарственного препарата на слизистую оболочку полости рта 0,45 0,45
A16.07.051 Профессиональная гигиена полости рта и зубов <1> 2 2
A16.07.082 Сошлифовывание твердых тканей зуба 0,25 0,25
A11.07.023 Применение метода серебрения зуба 0,88 0,88
A15.07.003 Наложение лечебной повязки при заболеваниях слизистой оболочки полости рта и пародонта в области одной челюсти 2 2
A16.07.002.001 Восстановление зуба пломбой I, II, III, V, VI класс по Блэку с использованием стоматологических цементов <2> 1,53 1,53
A16.07.002.002 Восстановление зуба пломбой I, II, III, V, VI класс по Блэку с использование материалов химического отверждения <2> 1,95 1,95
A16.07.002.003 Восстановление зуба пломбой с нарушением контактного пункта II, III класс по Блэку с использованием стоматологических цементов <2> 1,85 1,85
A16.07.002.004 Восстановление зуба пломбой с нарушением контактного пункта II, III класс по Блэку с использованием материалов химического отверждения <2> 2,5 2,5
A16.07.002.005 Восстановление зуба пломбой пломбой IV класс по Блэку с использованием стеклоиномерных цементов <2> 2,45 2,45
A16.07.002.006 Восстановление зуба пломбой пломбой IV класс по Блэку с использованием материалов химического отверждения <2> 3,25 3,25
A16.07.002.007 Восстановление зуба пломбой из амальгамы I, V класс по Блэку <2> 1,95 1,95
A16.07.002.008 Восстановление зуба пломбой из амальгамы II класс по Блэку <2> 2,33 2,33
A16.07.002.010 Восстановление зуба пломбой I, V, VI класс по Блэку с использованием материалов из фотополимеров <2> 3,35 3,35
A16.07.002.011 Восстановление зуба пломбой с нарушением контактного пункта II, III класс по Блэку с использованием материалов из фотополимеров <2> 3,75 3,75
A16.07.002.012 Восстановление зуба пломбой IV класс по Блэку с использованием материалов из фотополимеров <2> 4 4
A16.07.002.009 Наложение временной пломбы 1,25 1,25
A16.07.091 Снятие временной пломбы 0,25 0,25
A16.07.092 Трепанация зуба, искусственной коронки 0,48 0,48
A16.07.008.001 Пломбирование корневого канала зуба пастой 1,16 1,16
A16.07.008.002 Пломбирование корневого канала зуба гуттаперчивыми штифтами 1,7 1,7
A11.07.027 Наложение девитализирующей пасты 0,03 0,03
A16.07.009 Пульпотомия (ампутация коронковой пульпы) 0,21 0,21
A16.07.010 Экстирпация пульпы 0,46 0,46
A16.07.019 Временное шинирование при заболеваниях пародонта <3> 1,98 1,98
A16.07.020.001 Удаление наддесневых и поддесневых зубных отложений в области зуба ручным методом <4> 0,32 0,32
A16.07.025.001 Избирательное полирование зуба 0,2 0,2
A22.07.002 Ультразвуковое удаление наддесневых и поддесневых зубных отложений в области зуба <4> 0,2 0,2
A16.07.030.001 Инструментальная и медикаментозная обработка хорошо проходимого корневого канала 0,92 0,92
A16.07.030.002 Инструментальная и медикаментозная обработка плохо проходимого корневого канала 1,71 1,71
A16.07.030.003 Временное пломбирование лекарственным препаратом корневого канала 0,5 0,5
A16.07.039 Закрытый кюретаж при заболеваниях пародонта в области зуба <4> 0,31 0,31
A16.07.082.001 Распломбировка корневого канала ранее леченного пастой 2 2
A16.07.082.002 Распломбировка одного корневого канала ранее леченного фосфатцементом/резорцин-формальдегидным методом 3,55 3,55
B01.067.001 Прием (осмотр, консультация) врача-стоматолога-хирурга первичный 1,4 1,4
B01.067.002 Прием (осмотр, консультация) врача-стоматолога-хирурга повторный 1,08 1,08
A11.03.003 Внутрикостное введение лекарственных препаратов 0,82 0,82
A15.03.007 Наложение шины при переломах костей <5> 6,87 6,87
A15.03.011 Снятие шины с одной челюсти 1,43 1,43
A15.04.002 Наложение иммобилизационной повязки при вывихах (подвывихах) суставов 2,55 2,55
A15.07.001 Наложение иммобилизационной повязки при вывихах (подвывихах) зубов 2,96 2,96
A11.07.001 Биопсия слизистой полости рта 1,15 1,15
A11.07.002 Биопсия языка 1,15 1,15
A11.07.005 Биопсия слизистой преддверия полости рта 1,15 1,15
A11.07.007 Биопсия тканей губы 1,15 1,15
A11.07.008 Пункция кисты полости рта 0,91 0,91
A11.07.009 Бужирование протоков слюнных желез 3,01 3,01
A11.07.013 Пункция слюнной железы 0,91 0,91
A11.07.014 Пункция тканей полости рта 0,91 0,91
A11.07.015 Пункция языка 0,91 0,91
A11.07.016 Биопсия слизистой ротоглотки 1,15 1,15
A11.07.018 Пункция губы 0,91 0,91
A11.07.019 Пункция патологического образования слизистой преддверия полости рта 0,91 0,91
A11.07.020 Биопсия слюнной железы 1,15 1,15
A15.01.003 Наложение повязки при операции в челюстно-лицевой области 1,06 1,06
A15.07.002 Наложение повязки при операциях в полости рта 1,06 1,06
A16.01.004 Хирургическая обработка раны или инфицированной ткани <6> 1,3 1,3
A16.01.008 Сшивание кожи и подкожной клетчатки <7> 0,84 0,84
A16.07.097 Наложение шва на слизистую оболочку рта 0,84 0,84
A16.01.012 Вскрытие и дренирование флегмоны (абсцесса) 2 2
A16.01.016 Удаление атеромы 2,33 2,33
A16.01.030 Иссечение грануляции 2,22 2,22
A16.04.018 Вправление вывиха сустава 1 1
A16.07.095.001 Остановка луночного кровотечения без наложения швов методом тампонады 1,25 1,25
A16.07.095.002 Остановка луночного кровотечения без наложения швов с использованием гемостатических материалов 1 1
A16.07.001.001 Удаление временного зуба 1,01 1,01
A16.07.001.002 Удаление постоянного зуба 1,55 1,55
A16.07.001.003 Удаление зуба сложное с разъединением корней 2,58 2,58
A16.07.024 Операция удаления ретинированного, дистопированного или сверхкомплектного зуба 3 3
A16.07.040 Лоскутная операция в полости рта <8> 2,7 2,7
A16.07.007 Резекция верхушки корня 3,78 3,78
A16.07.011 Вскрытие подслизистого или поднадкостничного очага воспаления в полости рта 1 1
A16.07.012 Вскрытие и дренирование одонтогенного абсцесса 0,97 0,97
A16.07.013 Отсроченный кюретаж лунки удаленного зуба 1,03 1,03
A16.07.014 Вскрытие и дренирование абсцесса полости рта 2,14 2,14
A16.07.015 Вскрытие и дренирование очага воспаления мягких тканей лица или дна полости рта 2,41 2,41
A16.07.016 Цистотомия или цистэктомия 3,89 3,89
A16.07.017.002 Коррекция объема и формы альвеолярного отростка <9> 1,22 1,22
A16.07.026 Гингивэктомия 4,3 4,3
A16.07.089 Гингивопластика 4,3 4,3
A16.07.038 Открытый кюретаж при заболеваниях пародонта в области зуба <4> 1 1
A16.07.042 Пластика уздечки верхней губы 2,1 2,1
A16.07.043 Пластика уздечки нижней губы 2,1 2,1
A16.07.044 Пластика уздечки языка 1 1
A16.07.096 Пластика перфорации верхнечелюстной пазухи 4 4
A16.07.008.003 Закрытие перфорации стенки корневого канала зуба 1,8 1,8
A16.07.058 Лечение перикоронита (промывание, рассечение и/или иссечение капюшона) 1,04 1,04
A16.07.059 Гемисекция зуба 2,6 2,6
A11.07.025 Промывание протока слюнной железы 1,85 1,85
A16.22.012 Удаление камней из протоков слюнных желез 3 3
A16.30.064 Иссечение свища мягких тканей 2,25 2,25
A16.30.069 Снятие послеоперационных швов (лигатур) 0,38 0,38
B01.054.001 Осмотр (консультация) врача-физиотерапевта 1,5 1,5
A17.07.001 Электрофорез лекарственных препаратов при патологии полости рта и зубов 1,5 1,5
A17.07.003 Диатермокоагуляция при патологии полости рта и зубов 0,5 0,5
A17.07.004 Ионофорез при патологии полости рта и зубов 1,01 1,01
A17.07.006 Депофорез корневого канала зуба 1,5 1,5
A17.07.007 Дарсонвализация при патологии полости рта 2 2
A17.07.008 Флюктуоризация при патологии полости рта и зубов 1,67 1,67
A17.07.009 Воздействие электрическими полями при патологии полости рта и зубов 1 1
A17.07.010 Воздействие токами надтональной частоты (ультратонотерапия) при патологии полости рта и зубов 1 1
A17.07.011 Воздействие токами ультравысокой частоты при патологии полости рта и зубов 1,25 1,25
A17.07.012 Ультравысокочастотная индуктотермия при патологии полости рта и зубов 1,25 1,25
A20.07.001 Гидроорошение при заболевании полости рта и зубов 1,5 1,5
A21.07.001 Вакуум-терапия в стоматологии 0,68 0,68
A22.07.005 Ультрафиолетовое облучение ротоглотки 1,25 1,25
A22.07.007 Ультрафонофорез лекарственных препаратов на область десен 1 1
Ортодонтия
B01.063.001 Прием (осмотр, консультация) врача-ортодонта первичный   4,21
B01.063.002 Прием (осмотр, консультация) врача-ортодонта повторный   1,38
B04.063.001 Диспансерный прием (осмотр, консультация) врача-ортодонта   1,69
A02.07.004 Антропометрические исследования   1,1
A23.07.002.027 Изготовление контрольной модели   2,5
A02.07.010.001 Снятие оттиска с одной челюсти   1,4
A02.07.010 Исследование на диагностических моделях челюстей   2
A23.07.001.001 Коррекция съемного ортодонического аппарата   1,75
A23.07.003 Припасовка и наложение ортодонтического аппарата   1,8
A23.07.001.002 Ремонт ортодонического аппарата   1,55
A23.07.002.037 Починка перелома базиса самотвердеющей пластмассой   1,75
A23.07.002.045 Изготовление дуги вестибулярной с дополнительными изгибами   3,85
A23.07.002.073 Изготовление дуги вестибулярной   2,7
A23.07.002.051 Изготовление кольца ортодонтического   4
A23.07.002.055 Изготовление коронки ортодонтической   4
A23.07.002.058 Изготовление пластинки вестибулярной   2,7
A23.07.002.059 Изготовление пластинки с заслоном для языка (без кламмеров)   2,5
A23.07.002.060 Изготовление пластинки с окклюзионными накладками   18,0
A16.07.053.002 Распил ортодонтического аппарата через винт   1
Профилактические услуги
B04.064.002 Профилактический прием (осмотр, консультация) врача-стоматолога детского   1,57
B04.065.006 Профилактический прием (осмотр, консультация) врача-стоматолога 1,3 1,57
B04.065.002 Профилактический прием (осмотр, консультация) врача-стоматолога-терапевта 1,3  
B04.065.004 Профилактический прием (осмотр, консультация) зубного врача 1,3 1,3
A11.07.012 Глубокое фторирование эмали зуба 0,3 0,3
A11.07.024 Местное применение реминерализующих препаратов в области зуба <4> 0,7 0,7
A13.30.007 Обучение гигиене полости рта 0,87 0,87
A16.07.057 Запечатывание фиссуры зуба герметиком 1 1

Примечания:

<1> Одного квадранта.

<2> Включая полирование пломбы.

<3> Трех зубов.

<4> Одного зуба.

<5> На одной челюсти.

<6> Без наложения швов.

<7> Один шов.

<8> В области двух-трех зубов.

<9> В области одного-двух зубов.

Приложение 7

ПОКАЗАТЕЛИ РЕЗУЛЬТАТИВНОСТИ ДЕЯТЕЛЬНОСТИ МЕДИЦИНСКОЙ ОРГАНИЗАЦИИ, ВНЕДРЯЮЩЕЙ НОВУЮ МОДЕЛЬ ОКАЗАНИЯ ГРАЖДАНАМ ПЕРВИЧНОЙ МЕДИКО-САНИТАРНОЙ ПОМОЩИ НА ПРИНЦИПАХ БЕРЕЖЛИВОГО ПРОИЗВОДСТВА (ОЦЕНИВАЮТСЯ ПРЕДСТАВИТЕЛЯМИ РЕГИОНАЛЬНОГО ЦЕНТРА ОРГАНИЗАЦИИ ПЕРВИЧНОЙ МЕДИКО-САНИТАРНОЙ ПОМОЩИ)

(в ред. Писем Минздрава РФ N 11-7/И/2-3440, ФФОМС N 4855/26-2/и от 19.04.2019, Минздрава РФ N 11-7/и/2-5785, ФФОМС N 8096/26-1/и от 02.07.2019)

N п/п Показатели <*> Целевое значение Баллы
1 Количество пересечений потоков при проведении диспансеризации, профилактических медицинских осмотров с иными потоками пациентов в поликлинике Не более 3 пересечений Нет - 0 баллов
Да - 1 балл
2 Количество пересечений потоков пациентов при предоставлении платных медицинских услуг и медицинской помощи в рамках территориальной программы государственных гарантий Не более 1 пересечения Нет - 0 баллов
Да - 1 балл
3 Последовательность действий пациента в потоке процесса оказания ему медицинской помощи Не более 1 действия, порождающего возврат по потоку Нет - 0 баллов
Да - 1 балл
4 Количество мест в зоне (зонах) комфортного ожидания для пациентов Не менее 1 места на 200 посещений плановой мощности Нет - 0 баллов
Да - 1 балл
5 Организация системы навигации в медицинской организации Поиск необходимой информации об объекте (кабинете, отделении, подразделении и пр.), в том числе в точке ветвления маршрута, занимает не более 30 секунд Нет - 0 баллов
Да - 1 балл
6 Организация рабочих мест по системе 5С Реализованы 3 и более шага в организации и поддержании порядка на рабочих местах по системе 5С для всех рабочих мест Нет - 0 баллов
Да - 1 балл
7 Организация системы информирования в медицинской организации Соответствие контрольному листу оценки системы информирования Нет - 0 баллов
Да - 1 балл
8 Обеспечение амбулаторного приема плановых пациентов врачами строго по времени и по предварительной записи Доля посещений по предварительной записи составляет не менее 90% Нет - 0 баллов
Да - 1 балл
9 Обеспечение удаленной записи на прием в медицинские организации Доля записей, произведенных без посещения поликлиники, составляет не менее 50% Нет - 0 баллов
Да - 1 балл
10 Обеспечение выполнения профилактического осмотра и (или) диспансеризации взрослого населения за минимальное количество посещений Не более 3 посещений Нет - 0 баллов
Да - 1 балл
11 Работа системы подачи и реализации предложений по улучшению Доля реализованных улучшений на единицу персонала составляет не менее 30% Нет - 0 баллов
Да - 1 балл
  ИТОГО   11 баллов

<*> Достижение показателей результативности деятельности "Бережливой поликлиники" осуществляется на основании следующей методики:

1. Количество пересечений потоков при проведении диспансеризации, профилактических медицинских осмотров с иными потоками пациентов в поликлинике

Оценивается одновременное нахождение у одного кабинета пациентов, направленных на диспансеризацию/профилактический медицинский осмотр с другими потоками пациентов. Пересечение потоков можно устранить как методом разведения их во времени (предварительная запись), так и в пространстве (различные кабинеты с одним функционалом). Оцениваются: регистратура, кабинет забора крови, кабинет врача-терапевта, проведение флюорографии, маммографии.

Целевое значение: не более 3 пересечений.

2. Количество пересечений потоков пациентов при предоставлении платных медицинских услуг и медицинской помощи в рамках территориальной программы государственных гарантий

Оценивается одновременное нахождение у одного кабинета пациентов, обратившихся для получения платных медицинских услуг, с пациентами, получающими медицинскую помощь в рамках обязательного медицинского страхования. Пересечение потоков можно устранить как методом разведения их во времени (предварительная запись), так и в пространстве (различные кабинеты с одним функционалом). Проверяется не менее 5 мест возможного пересечения: регистратура, кабинет забора крови, врач-терапевт, врачи-специалисты, диагностические кабинеты, проведение флюорографии, маммографии.

Целевое значение: не более 1 пересечения.

3. Последовательность действий пациента в потоке процесса оказания ему медицинской помощи

Возврат по потоку - повторное посещение кабинета (окна) в рамках одного процесса. К процессам относятся: оформление листка нетрудоспособности, выписка лекарственных препаратов и др.

Пример возврата по потоку: возврат в кабинет врача-терапевта с целью подписи документа, проставления печатей.

Целевое значение: не более 1 действия, порождающего возврат по потоку.

4. Количество мест в зоне (зонах) комфортного ожидания для пациентов

Зона комфортного ожидания - это специально отведенное место в медицинской организации, отвечающее следующим критериям:

- расположено вне зоны регистратуры или кабинета приема;

- оборудовано местами, для комфортного ожидания (стулья, кресла, кушетки);

- обеспечено кулером с водой и одноразовыми стаканами.

Целевое значение: не менее 1 места на 200 посещений плановой мощности

5. Организация системы навигации в медицинской организации

Анализируются не менее 5 маршрутов поиска различных объектов (кабинетов, отделений, подразделений и других объектов).

Целевое значение: поиск необходимой информации об объекте, в том числе в точке ветвления маршрута, занимает не более 30 секунд.

6. Организация рабочих мест по системе 5С

Оцениваются не менее 10 кабинетов методом случайного выбора. Оценка осуществляется по Проверочному листу оценки соответствия рабочего места системе 5С для медицинской организации.

Целевое значение: реализованы 3 и более шага в организации и поддержании порядка на рабочих местах по системе 5С для всех рабочих мест.

7. Организация системы информирования в медицинской организации

Каждый составной элемент системы информирования посетителей медицинской организации расположен в месте приложения информации, обновляется по мере ее изменения, доступен для чтения, в том числе с использованием государственных языков республик, находящихся в составе Российской Федерации, других языков народов Российской Федерации, идентичных по содержанию и техническому оформлению государственному языку. В соответствии с контрольным листом оценки системы информирования в медицинской организации.

Целевое значение: соответствие контрольному листу оценки системы информирования.

8. Обеспечение амбулаторного приема плановых пациентов врачами строго по времени и по предварительной записи

Оценка показателя осуществляется по данным медицинской информационной системы.

Целевое значение: доля посещений по предварительной записи не менее 90%.

9. Обеспечение удаленной записи на прием в медицинские организации

Оценка показателя осуществляется по данным медицинской информационной системы.

Целевое значение: доля записей, произведенных без посещения поликлиники, составляет не менее 50%.

10. Обеспечение выполнения профилактического осмотра и (или) диспансеризации взрослого населения за минимальное количество посещений

Для оценки показателя анализируется не менее 20 карт по случайному выбору.

Количество посещений может не соответствовать количеству дней прохождения диспансеризации/профилактического медицинского осмотра.

Пример: диспансеризация может быть проведена в 3 посещения в течение 2 дней.

Целевое значение: не более 3 посещений.

11. Работа системы подачи и реализации предложений по улучшению

Предложение по улучшению - идея работника (группы работников), направленная на повышение результативности и эффективности любого вида деятельности медицинской организации, не требующая открытия отдельного проекта.

К предложениям по улучшению относятся:

- улучшение состояния рабочих мест;

- повышение эффективности использования ресурсов и материальных запасов;

- упорядочение системы материально-технического обеспечения медицинской организации, в том числе сокращение времени доставки материальных запасов;

- упорядочение системы учета и отчетности;

- изменение графиков работы и ремонта оборудования или транспортных средств, мест размещения оборудования и др., методов управления медицинской организацией.

Целевое значение: доля реализованных улучшений на единицу персонала составляет не менее 30%.