Постановление Правительства РФ от 18.01.2017 N 27

"Об утверждении Правил предоставления субсидий российским некоммерческим организациям (за исключением бюджетных и автономных учреждений) на реализацию общеотраслевых проектов по развитию промышленности социально значимых товаров"
Редакция от 28.08.2019 — Документ утратил силу, см. «Постановление Правительства РФ от 12.09.2025 N 1411»
Показать изменения

ПРАВИТЕЛЬСТВО РОССИЙСКОЙ ФЕДЕРАЦИИ

ПОСТАНОВЛЕНИЕ
от 18 января 2017 г. N 27

ОБ УТВЕРЖДЕНИИ ПРАВИЛ ПРЕДОСТАВЛЕНИЯ СУБСИДИЙ РОССИЙСКИМ НЕКОММЕРЧЕСКИМ ОРГАНИЗАЦИЯМ (ЗА ИСКЛЮЧЕНИЕМ БЮДЖЕТНЫХ И АВТОНОМНЫХ УЧРЕЖДЕНИЙ) НА РЕАЛИЗАЦИЮ ОБЩЕОТРАСЛЕВЫХ ПРОЕКТОВ ПО РАЗВИТИЮ ПРОМЫШЛЕННОСТИ СОЦИАЛЬНО ЗНАЧИМЫХ ТОВАРОВ

(в ред. Постановлений Правительства РФ от 31.08.2018 N 1041, от 28.08.2019 N 1111)

Правительство Российской Федерации постановляет:

Утвердить прилагаемые Правила предоставления субсидий российским некоммерческим организациям (за исключением бюджетных и автономных учреждений) на реализацию общеотраслевых проектов по развитию промышленности социально значимых товаров.

Председатель Правительства
Российской Федерации
Д. МЕДВЕДЕВ

УТВЕРЖДЕНЫ
постановлением Правительства
Российской Федерации
от 18 января 2017 г. N 27

ПРАВИЛА ПРЕДОСТАВЛЕНИЯ СУБСИДИЙ РОССИЙСКИМ НЕКОММЕРЧЕСКИМ ОРГАНИЗАЦИЯМ (ЗА ИСКЛЮЧЕНИЕМ БЮДЖЕТНЫХ И АВТОНОМНЫХ УЧРЕЖДЕНИЙ) НА РЕАЛИЗАЦИЮ ОБЩЕОТРАСЛЕВЫХ ПРОЕКТОВ ПО РАЗВИТИЮ ПРОМЫШЛЕННОСТИ СОЦИАЛЬНО ЗНАЧИМЫХ ТОВАРОВ

(в ред. Постановлений Правительства РФ от 31.08.2018 N 1041, от 28.08.2019 N 1111)

1. Настоящие Правила устанавливают порядок, цели и условия предоставления из федерального бюджета субсидий российским некоммерческим организациям (за исключением бюджетных и автономных учреждений) (далее - некоммерческие организации) на реализацию общеотраслевых проектов по развитию промышленности социально значимых товаров (далее - субсидии) по следующим направлениям:

а) стимулирование промышленного роста и инвестиционной привлекательности промышленности социально значимых товаров, в том числе в целях увеличения доли российской продукции на внутреннем и внешнем рынках;

б) организация и поддержка продвижения товаров на внутренних и внешних рынках, в том числе путем поддержки выставочно-ярмарочной деятельности в области развития промышленности социально значимых товаров;

в) внедрение современных инфокоммуникационных технологий, технологий менеджмента и маркетинга, оказание информационной и правовой поддержки (услуг) для эффективного решения проблем привлечения инвестиций, стимулирования производства и продвижения социально значимых товаров.

2. Субсидии предоставляются в рамках подпрограммы "Содействие проведению научных исследований и опытных разработок в гражданских отраслях промышленности" государственной программы Российской Федерации "Развитие промышленности и повышение ее конкурентоспособности", утвержденной постановлением Правительства Российской Федерации от 15 апреля 2014 г. N 328 "Об утверждении государственной программы Российской Федерации "Развитие промышленности и повышение ее конкурентоспособности".

3. В настоящих Правилах используются следующие понятия:

"отрасль" - одна из отраслей промышленности социально значимых товаров; (в ред. Постановления Правительства РФ от 28.08.2019 N 1111)

"промышленность социально значимых товаров" - совокупность отраслей производства таких товаров, как технические средства реабилитации, спортивные товары, музыкальные инструменты и звуковое оборудование, а также изделия народных художественных промыслов и детские товары (за исключением пищевой продукции для детского питания); (в ред. Постановления Правительства РФ от 28.08.2019 N 1111)

"проект" - общеотраслевой проект, представляющий собой комплекс взаимосвязанных процессов и результатов в части содействия стимулированию промышленного роста, инвестиционной привлекательности и продвижению продукции и связанных с ними услуг, ограниченный по времени и ресурсам, целью которого является увеличение производства и реализации продукции, а также привлечение инвестиций в отрасль, и включающий одно или несколько следующих мероприятий:

стимулирование роста промышленного производства и реализации продукции отрасли;

повышение инвестиционной привлекательности отрасли;

поддержка участников отрасли и смежных отраслей промышленности, направленных на увеличение доли российских товаров на рынке и продвижение российской продукции за рубежом;

проведение конференций, правовых форумов, ярмарок инвесторов, общественных слушаний, круглых столов и других мероприятий, направленных на выработку решений по стимулированию промышленного производства, привлечению инвестиций в отрасль, развитию инновационного и экспортного потенциала отрасли;

внедрение современных и модернизация существующих инфокоммуникационных технологий для эффективного решения проблем привлечения инвестиций и стимулирования производства в отрасли, за исключением создания и разработки новых сайтов в информационно-телекоммуникационной сети "Интернет"; (в ред. Постановления Правительства РФ от 28.08.2019 N 1111)

внедрение технологий менеджмента и маркетинга для эффективного решения проблем продвижения социально значимых товаров на внутреннем и внешнем рынках;

предоставление правовой поддержки, в том числе в области охраны и защиты интеллектуальной собственности, порядка сертификации и регистрации производимой продукции, действующих государственных программ поддержки промышленности, мер государственной поддержки отрасли;

предоставление информационной поддержки участникам отрасли. (в ред. Постановления Правительства РФ от 28.08.2019 N 1111)

4. Субсидии предоставляются главным распорядителем бюджетных средств - Министерством промышленности и торговли Российской Федерации на конкурсной основе в пределах бюджетных ассигнований, предусмотренных федеральным законом о федеральном бюджете на соответствующий финансовый год и плановый период, и лимитов бюджетных обязательств, доведенных в установленном порядке до Министерства промышленности и торговли Российской Федерации как получателя средств федерального бюджета на цели, указанные в пункте 1 настоящих Правил. (в ред. Постановления Правительства РФ от 31.08.2018 N 1041)

Конкурс на право получения субсидии (далее - конкурс) проводится Министерством промышленности и торговли Российской Федерации не чаще 4 раз в год.

Субсидии предоставляются по отраслям в пределах следующих лимитов в процентах от общего объема лимитов бюджетных обязательств, доведенных в установленном порядке на соответствующий финансовый год до Министерства промышленности и торговли Российской Федерации как получателя средств федерального бюджета на цели, указанные в пункте 1 настоящих Правил: (в ред. Постановления Правительства РФ от 28.08.2019 N 1111)

производство технических средств реабилитации - 20 процентов; (в ред. Постановления Правительства РФ от 28.08.2019 N 1111)

производство спортивных товаров - 20 процентов; (в ред. Постановления Правительства РФ от 28.08.2019 N 1111)

производство музыкальных инструментов и звукового оборудования - 20 процентов; (в ред. Постановления Правительства РФ от 28.08.2019 N 1111)

производство детских товаров (за исключением пищевой продукции для детского питания) - 20 процентов; (в ред. Постановления Правительства РФ от 28.08.2019 N 1111)

производство изделий народных художественных промыслов - 20 процентов. (в ред. Постановления Правительства РФ от 28.08.2019 N 1111)

5. Министерство промышленности и торговли Российской Федерации принимает решение о проведении конкурса в пределах бюджетных ассигнований, предусмотренных федеральным законом о федеральном бюджете на соответствующий финансовый год и плановый период, и лимитов бюджетных обязательств, доведенных в установленном порядке до Министерства промышленности и торговли Российской Федерации как получателя средств федерального бюджета, с учетом лимитов бюджетных обязательств, необходимых для завершения оказания государственной поддержки проектам по ранее заключенным договорам о предоставлении субсидий. (в ред. Постановления Правительства РФ от 31.08.2018 N 1041)

В случае если объемы бюджетных ассигнований, предусмотренные федеральным законом о федеральном бюджете на соответствующий финансовый год и плановый период на предоставление субсидий, и лимиты бюджетных обязательств, доведенные в установленном порядке до Министерства промышленности и торговли Российской Федерации как получателя средств федерального бюджета, не превышают размер субсидий, предусмотренный в текущем году некоммерческим организациям по ранее заключенным договорам о предоставлении субсидий, Министерство промышленности и торговли Российской Федерации вправе не принимать решение о проведении конкурса. (в ред. Постановления Правительства РФ от 31.08.2018 N 1041)

6. В целях проведения конкурса Министерство промышленности и торговли Российской Федерации:

а) разрабатывает конкурсную документацию, содержащую требования к оформлению заявки на участие в конкурсе (далее - заявка), в том числе к целям, задачам и описанию проекта, формам бизнес-плана и плана-графика реализации проекта, а также проект договора о предоставлении субсидии, заключаемого между Министерством промышленности и торговли Российской Федерации и некоммерческой организацией - победителем конкурса, в соответствии с типовой формой, установленной Министерством финансов Российской Федерации (далее - договор), и требования к прилагаемым в соответствии с пунктом 8 настоящих Правил документам; (в ред. Постановлений Правительства РФ от 31.08.2018 N 1041, от 28.08.2019 N 1111)

б) принимает решение о проведении конкурса и размещает на официальном сайте Министерства промышленности и торговли Российской Федерации в информационно-телекоммуникационной сети "Интернет" конкурсную документацию и извещение о проведении конкурса с указанием отрасли (отраслей), в рамках которой проводится конкурс, а также сроков его проведения. (в ред. Постановления Правительства РФ от 28.08.2019 N 1111)

Отрасль не указывается в конкурсной документации и извещении в случае наличия более одного незавершенного проекта в соответствующей отрасли, включенного в реестр проектов, на реализацию которых предоставляются субсидии, в соответствии с пунктом 25 настоящих Правил; (в ред. Постановления Правительства РФ от 28.08.2019 N 1111)

в) образует конкурсную комиссию и утверждает положение о ней;

г) утверждает перечень видов экономической деятельности в соответствии с Общероссийским классификатором видов экономической деятельности ОК 029-2014 (КДЕС Ред. 2), относящихся к соответствующим отраслям. (в ред. Постановления Правительства РФ от 28.08.2019 N 1111)

7. Одна некоммерческая организация для участия в конкурсе может представить только одну заявку. Размер привлекаемых некоммерческой организацией внебюджетных средств, заявляемых на реализацию проекта, не может быть меньше размера субсидии. (в ред. Постановления Правительства РФ от 31.08.2018 N 1041)

При этом не менее 5 процентов привлекаемых внебюджетных средств должны составлять вступительные взносы, членские и (или) целевые взносы и (или) пожертвования членов некоммерческой организации. (в ред. Постановления Правительства РФ от 28.08.2019 N 1111)

8. Перечень документов, представляемых некоммерческой организацией в Министерство промышленности и торговли Российской Федерации для участия в конкурсе в целях получения субсидии, включает в себя следующие документы:

а) заявка;

б) копии учредительных документов некоммерческой организации (в случае непредставления таких документов Министерство промышленности и торговли Российской Федерации запрашивает их самостоятельно); (в ред. Постановления Правительства РФ от 31.08.2018 N 1041)

в) заверенная в установленном порядке копия бухгалтерского баланса некоммерческой организации;

г) сведения о квалификации руководителей и участников проекта, а также об их роли в реализации проекта;

д) справка, подтверждающая, что в отношении некоммерческой организации в соответствии с законодательством Российской Федерации о несостоятельности (банкротстве) не возбуждено производство по делу о несостоятельности (банкротстве), подписанная руководителем некоммерческой организации;

е) справка налогового органа об отсутствии у некоммерческой организации неисполненной обязанности по уплате налогов, сборов, страховых взносов, пеней, штрафов и процентов, подлежащих уплате в соответствии с законодательством Российской Федерации о налогах и сборах (в случае непредставления такого документа Министерство промышленности и торговли Российской Федерации запрашивает его самостоятельно); (в ред. Постановления Правительства РФ от 31.08.2018 N 1041)

ж) справка, подписанная руководителем некоммерческой организации и главным бухгалтером (при наличии), подтверждающая, что некоммерческая организация не получает средства из федерального бюджета на реализацию мероприятий, включенных в проект, в соответствии с иными нормативными правовыми актами; (в ред. Постановления Правительства РФ от 31.08.2018 N 1041)

з) справка, составленная в произвольной форме, о наличии у некоммерческой организации успешного опыта реализации аналогичных проектов (мероприятий) по тематике конкурса, в том числе в части промышленности социально значимых товаров, подписанная руководителем некоммерческой организации;

и) справка, составленная в произвольной форме, с приложением реестра членов некоммерческой организации, подтверждающая, что более 50 процентов членов некоммерческой организации осуществляют деятельность в рамках соответствующей отрасли. (в ред. Постановлений Правительства РФ от 31.08.2018 N 1041, от 28.08.2019 N 1111)

9. Документы, указанные в пункте 8 настоящих Правил, должны быть прошиты, пронумерованы и запечатаны в конверт.

10. Условиями допуска некоммерческих организаций к конкурсу являются:

а) соответствие документов, указанных в пункте 8 настоящих Правил, требованиям настоящих Правил, и представление документов в полном объеме;

б) достоверность информации, представленной получателем субсидии;

в) отсутствие в документах, указанных в пункте 8 настоящих Правил, противоречащих друг другу сведений;

г) соответствие бизнес-плана и плана-графика реализации проекта целям и задачам проекта;

д) отсутствие у некоммерческой организации проектов, не завершенных по ранее заключенным с Министерством промышленности и торговли Российской Федерации договорам, включенных в реестр проектов, на реализацию которых предоставляются субсидии, в соответствии с пунктом 25 настоящих Правил.

11. Размер субсидии на реализацию проекта обосновывается некоммерческой организацией в составе заявки в соответствии с методикой расчета размера субсидий на реализацию проектов согласно приложению N 1. При этом планируемые расходы по каждому мероприятию определяются методом сопоставления рыночных цен (анализа рынка). Для обоснования суммы расходов по каждому мероприятию проекта некоммерческая организация представляет в дополнение к указанной методике информационные материалы по 3 аналогичным контрактам, информация о которых находится в открытом доступе.

При этом дата начала реализации проекта не может быть установлена ранее даты начала текущего календарного года, а дата окончания реализации проекта должна быть установлена не ранее чем через год после даты начала проведения конкурса и не позднее чем через год после даты вскрытия конвертов. (в ред. Постановления Правительства РФ от 28.08.2019 N 1111)

12. Для определения победителей конкурса и последующего заключения с ними договоров Министерство промышленности и торговли Российской Федерации:

а) регистрирует в порядке поступления документы, указанные в пункте 8 настоящих Правил, в специальном журнале, который должен быть прошнурован, пронумерован постранично и скреплен печатью Министерства промышленности и торговли Российской Федерации;

б) рассматривает документы, указанные в пункте 8 настоящих Правил, и проверяет их на соответствие условиям допуска некоммерческих организаций к конкурсу, определенным пунктом 10 настоящих Правил. В случае несоответствия представленных документов указанным условиям возвращает их в течение 5 рабочих дней, следующих за днем вскрытия конвертов, некоммерческой организации с мотивированным отказом в допуске к конкурсу, а в случае соответствия - направляет документы в конкурсную комиссию в сроки, указанные в конкурсной документации. (в ред. Постановления Правительства РФ от 31.08.2018 N 1041)

13. Конкурсная комиссия в сроки и в порядке, которые установлены конкурсной документацией, проводит оценку поданных на конкурс заявок и бизнес-планов проектов в каждой отрасли в соответствии с методикой определения рейтинга заявок согласно приложению N 2 по следующим критериям: (в ред. Постановления Правительства РФ от 28.08.2019 N 1111)

а) индекс производства по совокупности производителей, осуществляющих деятельность в рамках соответствующей отрасли, - членов некоммерческой организации; (в ред. Постановления Правительства РФ от 28.08.2019 N 1111)

б) индекс объема отгруженных товаров по совокупности производителей, осуществляющих деятельность в рамках соответствующей отрасли, - членов некоммерческой организации; (в ред. Постановления Правительства РФ от 28.08.2019 N 1111)

в) подпункт утратил силу. (в ред. Постановления Правительства РФ от 28.08.2019 N 1111)

г) количество проведенных в рамках проекта мероприятий, направленных на продвижение продукции отрасли; (в ред. Постановления Правительства РФ от 28.08.2019 N 1111)

д) количество организаций отрасли, которые воспользуются льготным доступом к специализированному программному обеспечению и услугам, в результате выполнения проекта.

13.1. Заявляемые некоммерческой организацией значения индекса производства по совокупности производителей, осуществляющих деятельность в рамках соответствующей отрасли, - членов некоммерческой организации и индекса объема отгруженных товаров по совокупности производителей, осуществляющих деятельность в рамках соответствующей отрасли, - членов некоммерческой организации должны быть более 100 процентов. Индекс производства по совокупности производителей, осуществляющих деятельность в рамках соответствующей отрасли, - членов некоммерческой организации рассчитывается как отношение суммы объемов производства указанных производителей за 12 месяцев с месяца начала проведения конкурса к сумме объемов производства указанных производителей за 12 месяцев до месяца начала проведения конкурса. Индекс объема отгруженных товаров по совокупности производителей, осуществляющих деятельность в рамках соответствующей отрасли, - членов некоммерческой организации рассчитывается как отношение суммы объемов отгруженных товаров указанных производителей за 12 месяцев с месяца начала проведения конкурса к сумме объемов отгруженных товаров указанных производителей за 12 месяцев до месяца начала проведения конкурса. (в ред. Постановления Правительства РФ от 28.08.2019 N 1111)

14. Удельный вес рейтинга, присуждаемого заявке по каждому критерию, определяется Министерством промышленности и торговли Российской Федерации в конкурсной документации с учетом результатов проведенных конкурсов и проектов, включенных в реестр проектов, на реализацию которых предоставляются субсидии, в целях обеспечения безусловного достижения показателей и индикаторов эффективности реализации подпрограммы "Содействие проведению научных исследований и опытных разработок в гражданских отраслях промышленности" государственной программы Российской Федерации "Развитие промышленности и повышение ее конкурентоспособности", утвержденной постановлением Правительства Российской Федерации от 15 апреля 2014 г. N 328 "Об утверждении государственной программы Российской Федерации "Развитие промышленности и повышение ее конкурентоспособности", а также показателей и индикаторов эффективности реализации указанной государственной программы.

Конкурсная комиссия в результате оценки заявок рассчитывает рейтинг в отношении каждой заявки в соответствии с методикой определения рейтинга заявок и на его основании присваивает порядковый номер.

Рейтинг рассчитывается отдельно по каждой отрасли. Победителями конкурса признаются некоммерческие организации, занявшие первое место в рейтинге по каждой отрасли. (в ред. Постановления Правительства РФ от 28.08.2019 N 1111)

Протокол оценки заявок размещается на официальном сайте Министерства промышленности и торговли Российской Федерации в информационно-телекоммуникационной сети "Интернет" в течение 2 рабочих дней после проведения оценки.

15. В течение 30 рабочих дней со дня определения рейтинга заявок Министерство промышленности и торговли Российской Федерации в соответствии с рейтингом заявок заключает договор с победителем конкурса (не более одного участника для каждой отрасли), начиная с победителя с наибольшим числовым значением рейтинга. Для заключения договора некоммерческая организация представляет документы в соответствии с требованиями, предусмотренными пунктом 16 настоящих Правил. (в ред. Постановления Правительства РФ от 28.08.2019 N 1111)

Субсидия предоставляется на основании договора, заключаемого по типовой форме, установленной Министерством финансов Российской Федерации.

В случае отказа некоммерческой организации заключить договор или несоответствия некоммерческой организации требованиям, указанным в пункте 16 настоящих Правил, Министерство промышленности и торговли Российской Федерации заключает договор с некоммерческой организацией, порядковый номер заявки которой следует за порядковым номером заявки некоммерческой организации, отказавшейся от заключения договора или несоответствующей указанным требованиям.

16. Некоммерческие организации должны соответствовать на дату не ранее чем за 30 рабочих дней до планируемой даты заключения договора следующим требованиям: (в ред. Постановления Правительства РФ от 31.08.2018 N 1041)

а) срок государственной регистрации некоммерческой организации в качестве юридического лица должен быть не менее одного календарного года;

б) некоммерческая организация должна осуществлять деятельность, направленную на развитие соответствующей отрасли, и вести финансовую деятельность в последние 12 месяцев, предшествующих дате подачи заявки; (в ред. Постановлений Правительства РФ от 31.08.2018 N 1041, от 28.08.2019 N 1111)

в) основные направления деятельности некоммерческой организации в соответствии с учредительными документами должны соответствовать тематике конкурса, в котором участвует некоммерческая организация;

г) более 50 процентов членов некоммерческой организации должны осуществлять деятельность в рамках соответствующей отрасли; (в ред. Постановлений Правительства РФ от 31.08.2018 N 1041, от 28.08.2019 N 1111)

д) у некоммерческой организации должна отсутствовать неисполненная обязанность по уплате налогов, сборов, страховых взносов, пеней, штрафов и процентов, подлежащих уплате в соответствии с законодательством Российской Федерации о налогах и сборах; (в ред. Постановления Правительства РФ от 31.08.2018 N 1041)

е) у некоммерческой организации должна отсутствовать просроченная задолженность по возврату в федеральный бюджет субсидий, бюджетных инвестиций, предоставленных в том числе в соответствии с иными правовыми актами, и иная просроченная задолженность перед федеральным бюджетом; (в ред. Постановления Правительства РФ от 31.08.2018 N 1041)

ж) некоммерческая организация не должна находиться в процессе реорганизации, ликвидации или банкротства; (в ред. Постановления Правительства РФ от 31.08.2018 N 1041)

з) некоммерческая организация не должна являться некоммерческой организацией, участниками которой являются иностранные юридические лица, местом регистрации которых является государство или территория, включенные в утверждаемый Министерством финансов Российской Федерации перечень государств и территорий, предоставляющих льготный налоговый режим налогообложения и (или) не предусматривающих раскрытия и предоставления информации при проведении финансовых операций (офшорные зоны) в отношении таких юридических лиц, доля участия которых в совокупности превышает 50 процентов;

и) некоммерческая организация не должна быть включена в реестр некоммерческих организаций, выполняющих функции иностранного агента, формируемый в соответствии с нормативным правовым актом Министерства юстиции Российской Федерации;

к) некоммерческая организация не должна получать средства из федерального бюджета в соответствии с иными нормативными правовыми актами на цели, указанные в пункте 1 настоящих Правил. (в ред. Постановления Правительства РФ от 31.08.2018 N 1041)

17. Соответствие требованиям, указанным в пункте 16 настоящих Правил, должно быть подтверждено соответствующими документами, которые представляются некоммерческой организацией в Министерство промышленности и торговли Российской Федерации для заключения договора.

18. Договор предусматривает в том числе следующие положения:

а) целевое назначение субсидии и перечень расходов, предусмотренных пунктом 20 настоящих Правил, на финансовое обеспечение которых предоставляется субсидия, а также возможность (невозможность) осуществления расходов, источником финансового обеспечения которых являются остатки субсидии, не использованные в текущем финансовом году;

б) подпункт утратил силу. (в ред. Постановления Правительства РФ от 31.08.2018 N 1041)

в) план-график перечисления субсидии; (в ред. Постановления Правительства РФ от 31.08.2018 N 1041)

г) бизнес-план с указанием показателей результативности реализации проекта, заявленных в составе конкурсной документации, соответствующих критериям, на основании которых осуществлялся конкурс, а также структуры планируемых затрат, включая привлечение внебюджетных средств некоммерческой организацией, а также обязательство некоммерческой организации по достижению показателей результативности, указанных в договоре; (в ред. Постановления Правительства РФ от 28.08.2019 N 1111)

д) план-график реализации проекта, включающий динамику достижения показателей результативности реализации проекта по итогам каждого квартала его реализации; (в ред. Постановления Правительства РФ от 31.08.2018 N 1041)

е) согласие некоммерческой организации на проведение Министерством промышленности и торговли Российской Федерации и уполномоченными органами государственного финансового контроля проверок соблюдения некоммерческой организацией порядка, целей и условий предоставления субсидии;

ж) порядок и сроки возврата субсидии, перечисленной некоммерческой организации, в случае установления по итогам проверок, проведенных Министерством промышленности и торговли Российской Федерации и уполномоченными органами государственного финансового контроля, факта нарушения порядка, целей и условий предоставления субсидии, установленных настоящими Правилами и договором; (в ред. Постановления Правительства РФ от 31.08.2018 N 1041)

з) порядок применения и размер штрафных санкций при установлении фактов отклонения от значений показателей результативности реализации проекта, установленных договором и относящихся к существенным условиям его выполнения; (в ред. Постановления Правительства РФ от 31.08.2018 N 1041)

и) условия расторжения договора, в том числе одностороннего его расторжения Министерством промышленности и торговли Российской Федерации, в случаях, предусмотренных пунктом 23 настоящих Правил; (в ред. Постановлений Правительства РФ от 31.08.2018 N 1041, от 28.08.2019 N 1111)

к) формы и сроки представления следующих отчетов: (в ред. Постановления Правительства РФ от 28.08.2019 N 1111)

о достижении показателей результативности реализации проекта; (в ред. Постановления Правительства РФ от 31.08.2018 N 1041)

о реализации мероприятий, заявленных в рамках проекта;

о расходах, связанных с проведением работ в рамках реализации проекта;

о целевом использовании субсидии;

о расходах, источником финансового обеспечения которых является субсидия; (в ред. Постановления Правительства РФ от 31.08.2018 N 1041)

л) требование о ведении некоммерческой организацией раздельного учета доходов (расходов) при реализации проекта; (в ред. Постановления Правительства РФ от 28.08.2019 N 1111)

м) запрет на конвертацию в иностранную валюту полученных из федерального бюджета средств, за исключением операций, осуществляемых в соответствии с валютным законодательством Российской Федерации при закупке (поставке) высокотехнологичного импортного оборудования, сырья и комплектующих изделий, а также иных операций, связанных с достижением целей предоставления указанных средств, установленных настоящими Правилами;

н) запрет на размещение полученных из федерального бюджета средств на депозитных счетах в кредитных или иных финансовых организациях;

о) запрет на перечисление в качестве взноса в уставный (складочный) капитал другой организации отрасли полученных из федерального бюджета средств;

п) обязанность некоммерческой организации на включение в договоры (соглашения) с поставщиками (подрядчиками, исполнителями), заключаемые в целях реализации проекта, пункта о согласии лиц, являющихся поставщиками (подрядчиками, исполнителями), на осуществление Министерством промышленности и торговли Российской Федерации и уполномоченными органами государственного финансового контроля проверок соблюдения условий, целей и порядка предоставления субсидии; (в ред. Постановления Правительства РФ от 31.08.2018 N 1041)

р) обязательство некоммерческой организации по увеличению объемов производства по совокупности производителей, осуществляющих деятельность в рамках соответствующей отрасли, - членов некоммерческой организации и объема отгруженных товаров указанных производителей, а также по реализации мероприятий, направленных на продвижение продукции отрасли и по предоставлению льготного доступа к специализированному программному обеспечению и услугам, в результате выполнения проекта. (в ред. Постановления Правительства РФ от 28.08.2019 N 1111)

19. Для подтверждения затрат на реализацию проекта некоммерческая организация, с которой заключен договор, не позднее 30-го числа месяца, следующего за месяцем завершения реализации проекта, представляет в Министерство промышленности и торговли Российской Федерации: (в ред. Постановления Правительства РФ от 28.08.2019 N 1111)

а) отчет о целевом использовании субсидии, составленный в соответствии с договором, подписанный руководителем и главным бухгалтером (при наличии) некоммерческой организации, с приложением документов, подтверждающих расходы, указанные в пункте 20 настоящих Правил; (в ред. Постановления Правительства РФ от 31.08.2018 N 1041)

б) отчет о реализации мероприятий, заявленных в рамках проекта;

в) справку о достижении показателей результативности реализации проекта, включающую в себя информацию о предоставлении льготного доступа к специализированному программному обеспечению и услугам, в результате выполнения проекта, а также о реализации мероприятий, направленных на продвижение продукции отрасли, указанных в бизнес-плане и плане-графике реализации проекта, составленную в произвольной форме и подписанную руководителем некоммерческой организации, с приложением подтверждающих документов; (в ред. Постановления Правительства РФ от 28.08.2019 N 1111)

г) справку, подписанную руководителем и главным бухгалтером (при наличии) некоммерческой организации, подтверждающую, что некоммерческая организация не получает средства из федерального бюджета на реализацию мероприятий, включенных в проект, в соответствии с иными нормативными правовыми актами; (в ред. Постановления Правительства РФ от 31.08.2018 N 1041)

д) подпункт утратил силу. (в ред. Постановления Правительства РФ от 28.08.2019 N 1111)

е) отчет о расходах, источником финансового обеспечения которых является субсидия; (в ред. Постановления Правительства РФ от 31.08.2018 N 1041)

ж) отчет о достижении показателей результативности реализации проекта. (в ред. Постановления Правительства РФ от 31.08.2018 N 1041)

20. Перечень расходов некоммерческой организации, источником финансового обеспечения которых является субсидия, на реализацию проектов включает в себя:

а) расходы на оплату труда работников, непосредственно связанных с реализацией проекта, за период выполнения ими работ в рамках проекта, в размере, не превышающем среднюю заработную плату по данному субъекту Российской Федерации за аналогичный период предыдущего года, а также расходы на обязательное пенсионное страхование, обязательное социальное страхование на случай временной нетрудоспособности и в связи с материнством, обязательное медицинское страхование, обязательное социальное страхование от несчастных случаев на производстве и профессиональных заболеваний, начисленные на указанные суммы расходов на оплату труда; (в ред. Постановления Правительства РФ от 31.08.2018 N 1041)

б) накладные расходы в размере не более 100 процентов суммы расходов на оплату труда работников, непосредственно связанных с реализацией проекта, включающие: (в ред. Постановления Правительства РФ от 31.08.2018 N 1041)

расходы на оплату труда работников, входящих в состав административно-управленческого персонала организации, а также расходы на обязательное пенсионное страхование, обязательное социальное страхование на случай временной нетрудоспособности и в связи с материнством, обязательное медицинское страхование, обязательное социальное страхование от несчастных случаев на производстве и профессиональных заболеваний, начисленные на указанные суммы расходов на оплату труда; (в ред. Постановления Правительства РФ от 31.08.2018 N 1041)

расходы на аренду зданий, строений и сооружений, которые некоммерческая организация использует для реализации проекта; (в ред. Постановления Правительства РФ от 31.08.2018 N 1041)

расходы на оплату коммунальных услуг, а также обслуживание зданий, строений и сооружений, которые некоммерческая организация использует для реализации проекта; (в ред. Постановления Правительства РФ от 31.08.2018 N 1041)

расходы на оплату информационных и консультационных услуг, непосредственно связанных с реализацией проекта; (в ред. Постановления Правительства РФ от 31.08.2018 N 1041)

в) расходы на аренду территорий, помещений и иных площадок в целях проведения мероприятий, непосредственно связанных с реализацией проекта;

г) расходы на оплату услуг по техническому обеспечению проведения мероприятий, непосредственно связанных с реализацией проекта;

д) расходы на приобретение изделий, комплектующих, материалов и оборудования, необходимых для реализации проекта;

е) транспортные и командировочные расходы работников, непосредственно связанных с реализацией проекта, но не более 5 процентов размера субсидии; (в ред. Постановления Правительства РФ от 31.08.2018 N 1041)

ж) расходы, предусмотренные договорами аренды оборудования и программного обеспечения, необходимых для реализации проекта;

з) расходы, предусмотренные договорами подряда в рамках реализации проекта (за исключением расходов, указанных в подпунктах "в" - "ж" настоящего пункта), но не более 40 процентов размера субсидии. (в ред. Постановления Правительства РФ от 31.08.2018 N 1041)

21. Пункт утратил силу. (в ред. Постановления Правительства РФ от 28.08.2019 N 1111)

22. Основаниями для отказа в предоставлении субсидии и (или) возвращения для доработки представленных в соответствии с настоящими Правилами документов являются: (в ред. Постановления Правительства РФ от 31.08.2018 N 1041)

а) несоответствие документов требованиям, установленным пунктом 19 настоящих Правил, и условиям договора, а также непредставление (представление не в полном объеме) указанных документов; (в ред. Постановлений Правительства РФ от 31.08.2018 N 1041, от 28.08.2019 N 1111)

б) недостоверность представленной некоммерческой организацией информации; (в ред. Постановления Правительства РФ от 31.08.2018 N 1041)

в) подпункт утратил силу. (в ред. Постановления Правительства РФ от 28.08.2019 N 1111)

23. Основаниями для расторжения договора и возврата субсидии являются:

а) несоответствие повторно представленных документов требованиям, установленным пунктом 19 настоящих Правил, а также условиям договора; (в ред. Постановления Правительства РФ от 28.08.2019 N 1111)

б) наличие в повторно представленных документах неполных и (или) недостоверных сведений;

в) непредставление документов, указанных в пункте 19 настоящих Правил, в течение более 60 календарных дней после окончания срока реализации проекта; (в ред. Постановления Правительства РФ от 28.08.2019 N 1111)

г) неисполнение обязательств, предусмотренных подпунктом "р" пункта 18 настоящих Правил. (в ред. Постановления Правительства РФ от 28.08.2019 N 1111)

24. Субсидия предоставляется в сроки, указанные в договоре в соответствии с подпунктом "в" пункта 18 настоящих Правил, на счет, открытый территориальным органом Федерального казначейства в учреждениях Центрального банка Российской Федерации для учета операций со средствами юридических лиц (их обособленных подразделений), не являющихся участниками бюджетного процесса.

Перечисление субсидии осуществляется не позднее второго рабочего дня после предоставления в территориальный орган Федерального казначейства некоммерческой организацией платежных документов для оплаты денежного обязательства.

25. Министерство промышленности и торговли Российской Федерации обязано вести реестр проектов, на реализацию которых предоставляются субсидии. Порядок ведения указанного реестра определяется Министерством промышленности и торговли Российской Федерации.

Министерство промышленности и торговли Российской Федерации и уполномоченные органы государственного финансового контроля обязаны проводить проверки соблюдения некоммерческой организацией порядка, целей и условий предоставления субсидии.

В случае установления фактов нарушения порядка, целей и условий предоставления субсидий, расторжения договора, в том числе одностороннего его расторжения Министерством промышленности и торговли Российской Федерации, в порядке, установленном договором, соответствующие средства подлежат возврату в доход федерального бюджета в течение 10 рабочих дней со дня получения соответствующего требования Министерства промышленности и торговли Российской Федерации, направленного заказным почтовым отправлением с уведомлением о вручении.

В случае если по итогам реализации проекта хотя бы один из показателей результативности реализации проекта, указанных в договоре, составляет менее 90 процентов значения, заявленного в проекте и определенного договором, к некоммерческой организации применяются штрафные санкции, размер которых рассчитывается согласно приложению N 3. (в ред. Постановления Правительства РФ от 31.08.2018 N 1041)

ПРИЛОЖЕНИЕ N 1
к Правилам предоставления
субсидий российским
некоммерческим организациям
(за исключением бюджетных
и автономных учреждений)
на реализацию общеотраслевых
проектов по развитию
промышленности социально
значимых товаров

МЕТОДИКА РАСЧЕТА РАЗМЕРА СУБСИДИЙ РОССИЙСКИМ НЕКОММЕРЧЕСКИМ ОРГАНИЗАЦИЯМ (ЗА ИСКЛЮЧЕНИЕМ БЮДЖЕТНЫХ И АВТОНОМНЫХ УЧРЕЖДЕНИЙ) НА РЕАЛИЗАЦИЮ ОБЩЕОТРАСЛЕВЫХ ПРОЕКТОВ ПО РАЗВИТИЮ ПРОМЫШЛЕННОСТИ СОЦИАЛЬНО ЗНАЧИМЫХ ТОВАРОВ

(в ред. Постановления Правительства РФ от 31.08.2018 N 1041)

1. Расчет размера субсидий российским некоммерческим организациям (за исключением бюджетных и автономных учреждений) на реализацию общеотраслевых проектов по развитию промышленности социально значимых товаров (далее соответственно - субсидии, проект) заключается в определении размера субсидии как суммы планируемых расходов, которые определяются путем анализа аналогичных контрактов, размещенных в единой информационной системе в сфере закупок, других общедоступных источников информации, в том числе информации информационно-ценовых агентств, общедоступных результатов изучения рынка.

2. При определении планируемых расходов учитываются расходы, определенные в пункте 20 Правил предоставления субсидий российским некоммерческим организациям (за исключением бюджетных и автономных учреждений) на реализацию общеотраслевых проектов по развитию промышленности социально значимых товаров, утвержденных постановлением Правительства Российской Федерации от 18 января 2017 г. N 27 "Об утверждении Правил предоставления субсидий российским некоммерческим организациям (за исключением бюджетных и автономных учреждений) на реализацию общеотраслевых проектов по развитию промышленности социально значимых товаров" (далее - Правила). (в ред. Постановления Правительства РФ от 31.08.2018 N 1041)

3. Результаты расчета размера субсидии определяются следующим образом (при этом детализация расходов по каждому мероприятию определяется в соответствии со сметой затрат, приведенной в бизнес-плане проекта). (в ред. Постановления Правительства РФ от 31.08.2018 N 1041)

(в ред. Постановления Правительства РФ от 31.08.2018 N 1041)

Содержание работ (услуг)Стоимость работ (услуг), рублей
Мероприятие N 1 
Мероприятие N 2 
Мероприятие N 3 
Мероприятие N 4 
Мероприятие N 5 
Мероприятие N... 
Общая планируемая стоимость проведения мероприятий включает в себя: 
расходы на оплату труда работников, непосредственно связанных с реализацией проекта, за период выполнения ими работ в рамках проекта, в размере, не превышающем среднюю заработную плату по данному субъекту Российской Федерации за аналогичный период предыдущего года, а также расходы на обязательное пенсионное страхование, обязательное социальное страхование на случай временной нетрудоспособности и в связи с материнством, обязательное медицинское страхование, обязательное социальное страхование от несчастных случаев на производстве и профессиональных заболеваний, начисленные на указанные суммы расходов на оплату труда, рублей 
накладные расходы в размере не более 100 процентов суммы расходов на оплату труда работников, непосредственно связанных с реализацией проекта, рублей 
расходы на аренду территорий, помещений и иных площадок в целях проведения мероприятий, непосредственно связанных с реализацией проекта, рублей 
расходы на оплату услуг по техническому обеспечению проведения мероприятий, непосредственно связанных с реализацией проекта, рублей 
расходы на приобретение изделий, комплектующих, материалов и оборудования, необходимых для реализации проекта, рублей 
транспортные и командировочные расходы работников, непосредственно связанных с реализацией проекта, но не более 5 процентов размера субсидии, рублей 
расходы, предусмотренные договорами аренды оборудования и программного обеспечения, необходимых для реализации проекта, рублей 
расходы, предусмотренные договорами подряда в рамках реализации проекта (за исключением расходов, указанных в подпунктах "в" - "ж" пункта 20 Правил), но не более 40 процентов размера субсидии, рублей 
Расчетный размер субсидии, рублей 

ПРИЛОЖЕНИЕ N 2
к Правилам предоставления
субсидий российским
некоммерческим организациям
(за исключением бюджетных
и автономных учреждений)
на реализацию общеотраслевых
проектов по развитию
промышленности социально
значимых товаров

МЕТОДИКА ОПРЕДЕЛЕНИЯ РЕЙТИНГА ЗАЯВОК РОССИЙСКИХ НЕКОММЕРЧЕСКИХ ОРГАНИЗАЦИЙ (ЗА ИСКЛЮЧЕНИЕМ БЮДЖЕТНЫХ И АВТОНОМНЫХ УЧРЕЖДЕНИЙ) НА УЧАСТИЕ В КОНКУРСЕ НА ПРАВО ПОЛУЧЕНИЯ СУБСИДИЙ НА РЕАЛИЗАЦИЮ ОБЩЕОТРАСЛЕВЫХ ПРОЕКТОВ ПО РАЗВИТИЮ ПРОМЫШЛЕННОСТИ СОЦИАЛЬНО ЗНАЧИМЫХ ТОВАРОВ

(в ред. Постановления Правительства РФ от 28.08.2019 N 1111)

1. Настоящая методика определяет рейтинг, присуждаемый заявкам, представленным российскими некоммерческими организациями на конкурс на право получения из федерального бюджета субсидий на реализацию общеотраслевых проектов по развитию промышленности социально значимых товаров, на основании критериев, предусмотренных пунктом 13 Правил предоставления субсидий российским некоммерческим организациям (за исключением бюджетных и автономных учреждений) на реализацию общеотраслевых проектов по развитию промышленности социально значимых товаров, утвержденных постановлением Правительства Российской Федерации от 18 января 2017 г. N 27 "Об утверждении Правил предоставления субсидий российским некоммерческим организациям (за исключением бюджетных и автономных учреждений) на реализацию общеотраслевых проектов по развитию промышленности социально значимых товаров" (далее соответственно - заявка, некоммерческие организации, конкурс, субсидия, проект).

2. Рейтинг, присуждаемый заявке (), определяется по формуле: (в ред. Постановления Правительства РФ от 28.08.2019 N 1111)

, (в ред. Постановления Правительства РФ от 28.08.2019 N 1111)

где: (в ред. Постановления Правительства РФ от 28.08.2019 N 1111)

- рейтинг, присуждаемый i-й заявке по критерию, касающемуся величины индекса производства по совокупности производителей, осуществляющих деятельность в рамках соответствующей отрасли, - членов некоммерческой организации; (в ред. Постановления Правительства РФ от 28.08.2019 N 1111)

- удельный вес рейтинга, присуждаемого i-й заявке по критерию, касающемуся величины индекса производства по совокупности производителей, осуществляющих деятельность в рамках соответствующей отрасли, - членов некоммерческой организации, значимость которого определяется конкурсной документацией; (в ред. Постановления Правительства РФ от 28.08.2019 N 1111)

- рейтинг, присуждаемый i-й заявке по критерию, касающемуся величины индекса объема отгруженных товаров по совокупности производителей, осуществляющих деятельность в рамках соответствующей отрасли, - членов некоммерческой организации; (в ред. Постановления Правительства РФ от 28.08.2019 N 1111)

- удельный вес рейтинга, присуждаемого i-й заявке по критерию, касающемуся величины индекса объема отгруженных товаров по совокупности производителей, осуществляющих деятельность в рамках соответствующей отрасли, - членов некоммерческой организации, значимость которого определяется конкурсной документацией. (в ред. Постановления Правительства РФ от 28.08.2019 N 1111)

3. Рейтинг, присуждаемый i-й заявке по критерию, касающемуся величины индекса производства по совокупности производителей, осуществляющих деятельность в рамках соответствующей отрасли, - членов некоммерческой организации (), определяется по формуле: (в ред. Постановления Правительства РФ от 28.08.2019 N 1111)

, (в ред. Постановления Правительства РФ от 28.08.2019 N 1111)

где: (в ред. Постановления Правительства РФ от 28.08.2019 N 1111)

- предложение i-й некоммерческой организации о величине индекса производства по совокупности производителей, осуществляющих деятельность в рамках соответствующей отрасли, - членов некоммерческой организации (процентов); (в ред. Постановления Правительства РФ от 28.08.2019 N 1111)

- минимальное значение индекса производства по совокупности производителей, осуществляющих деятельность в рамках соответствующей отрасли, - членов некоммерческой организации, заявленное одной из некоммерческих организаций (процентов); (в ред. Постановления Правительства РФ от 28.08.2019 N 1111)

- максимальное значение индекса производства по совокупности производителей, осуществляющих деятельность в рамках соответствующей отрасли, - членов некоммерческой организации, заявленное одной из некоммерческих организаций (процентов). (в ред. Постановления Правительства РФ от 28.08.2019 N 1111)

4. Рейтинг, присуждаемый i-й заявке по критерию, касающемуся величины индекса объема отгруженных товаров по совокупности производителей, осуществляющих деятельность в рамках соответствующей отрасли, - членов некоммерческой организации (), определяется по формуле: (в ред. Постановления Правительства РФ от 28.08.2019 N 1111)

, (в ред. Постановления Правительства РФ от 28.08.2019 N 1111)

где: (в ред. Постановления Правительства РФ от 28.08.2019 N 1111)

- предложение i-й некоммерческой организации о величине индекса объема отгруженных товаров по совокупности производителей, осуществляющих деятельность в рамках соответствующей отрасли, - членов некоммерческой организации (процентов); (в ред. Постановления Правительства РФ от 28.08.2019 N 1111)

- минимальное значение индекса объема отгруженных товаров по совокупности производителей, осуществляющих деятельность в рамках соответствующей отрасли, - членов некоммерческой организации, заявленное одной из некоммерческих организаций (процентов); (в ред. Постановления Правительства РФ от 28.08.2019 N 1111)

- максимальное значение индекса объема отгруженных товаров по совокупности производителей, осуществляющих деятельность в рамках соответствующей отрасли, - членов некоммерческой организации, заявленное одной из некоммерческих организаций (процентов). (в ред. Постановления Правительства РФ от 28.08.2019 N 1111)

5-7. Пункты утратили силу. (в ред. Постановления Правительства РФ от 28.08.2019 N 1111)

ПРИЛОЖЕНИЕ N 3
к Правилам предоставления
субсидий российским
некоммерческим организациям
(за исключением бюджетных
и автономных учреждений)
на реализацию общеотраслевых
проектов по развитию
промышленности социально
значимых товаров

РАСЧЕТ РАЗМЕРА ШТРАФНЫХ САНКЦИЙ, ПРИМЕНЯЕМЫХ К РОССИЙСКИМ НЕКОММЕРЧЕСКИМ ОРГАНИЗАЦИЯМ (ЗА ИСКЛЮЧЕНИЕМ БЮДЖЕТНЫХ И АВТОНОМНЫХ УЧРЕЖДЕНИЙ), ПОЛУЧИВШИМ СУБСИДИЮ НА РЕАЛИЗАЦИЮ ОБЩЕОТРАСЛЕВЫХ ПРОЕКТОВ ПО РАЗВИТИЮ ПРОМЫШЛЕННОСТИ СОЦИАЛЬНО ЗНАЧИМЫХ ТОВАРОВ

(в ред. Постановления Правительства РФ от 31.08.2018 N 1041)

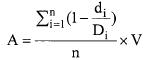
1. Размер штрафных санкций, применяемых к российским некоммерческим организациям (за исключением бюджетных и автономных учреждений), получившим субсидию на реализацию общеотраслевых проектов по развитию промышленности социально значимых товаров (далее соответственно - штрафные санкции, субсидия, проект) (тыс. рублей) (А), определяется по формуле:

,

где:

- достигнутое значение i-го показателя результативности реализации проекта, указанного в договоре о предоставлении субсидии, на дату окончания срока реализации проекта; (в ред. Постановления Правительства РФ от 31.08.2018 N 1041)

- плановое значение i-го показателя результативности реализации проекта, указанного в договоре о предоставлении субсидии; (в ред. Постановления Правительства РФ от 31.08.2018 N 1041)

V - размер средств федерального бюджета, использованный некоммерческой организацией в рамках реализации проекта на момент окончания срока реализации проекта (тыс. рублей);

n - количество показателей результативности, заявленных в рамках реализации проекта; (в ред. Постановления Правительства РФ от 31.08.2018 N 1041)

i - порядковый номер показателя результативности, заявленного в рамках реализации проекта. (в ред. Постановления Правительства РФ от 31.08.2018 N 1041)

2. Размер штрафных санкций рассчитывается только в случае, если < .

3. Размер штрафных санкций пропорционален степени недостижения показателей результативности реализации проекта в рамках подпрограммы "Содействие проведению научных исследований и опытных разработок в гражданских отраслях промышленности" государственной программы Российской Федерации "Развитие промышленности и повышение ее конкурентоспособности", утвержденной постановлением Правительства Российской Федерации от 15 апреля 2014 г. N 328 "Об утверждении государственной программы Российской Федерации "Развитие промышленности и повышение ее конкурентоспособности", указанных в договоре о предоставлении субсидии. (в ред. Постановления Правительства РФ от 31.08.2018 N 1041)