Устойчивость функционирования сети связи общего пользования. Требования и методы проверки. ГОСТ р 53111-2008

(утв. Приказом Ростехрегулирования от 18.12.2008 N 529-СТ)
Редакция от 18.12.2008 — Действует с 01.10.2009

НАЦИОНАЛЬНЫЙ СТАНДАРТ РОССИЙСКОЙ ФЕДЕРАЦИИ

УСТОЙЧИВОСТЬ ФУНКЦИОНИРОВАНИЯ СЕТИ СВЯЗИ ОБЩЕГО ПОЛЬЗОВАНИЯ

ТРЕБОВАНИЯ И МЕТОДЫ ПРОВЕРКИ

STABILITY OF FUNCTIONING OF THE PUBLIC COMMUNICATIONS NETWORK. REQUIREMENTS AND CHECK METHODS

ГОСТ Р 53111-2008

Дата введения
1 октября 2009 года

Предисловие

Цели и принципы стандартизации в Российской Федерации установлены Федеральным законом от 27 декабря 2002 г. N 184-ФЗ "О техническом регулировании", а правила применения национальных стандартов Российской Федерации - ГОСТ Р 1.0-2004 "Стандартизация в Российской Федерации. Основные положения".

Сведения о стандарте

1. Разработан Открытым акционерным обществом "Межрегиональный ТранзитТелеком" (ОАО "МТТ"), Федеральным государственным унитарным предприятием "Центральный научно-исследовательский институт связи" (ФГУП "ЦНИИС"), Федеральным государственным учреждением "Государственный научно-исследовательский испытательный институт проблем технической защиты информации Федеральной службы по техническому и экспортному контролю" (ФГУ "ГНИИИ ПТЗИ ФСТЭК России").

2. Внесен Управлением технического регулирования и стандартизации Федерального агентства по техническому регулированию и метрологии.

3. Утвержден и введен в действие Приказом Федерального агентства по техническому регулированию и метрологии от 18 декабря 2008 г. N 529-ст.

4. Введен впервые.

Информация об изменениях к настоящему стандарту публикуется в ежегодно издаваемом информационном указателе "Национальные стандарты", а текст изменений и поправок - в ежемесячно издаваемых информационных указателях "Национальные стандарты". В случае пересмотра (замены) или отмены настоящего стандарта соответствующее уведомление будет опубликовано в ежемесячно издаваемом информационном указателе "Национальные стандарты". Соответствующая информация, уведомление и тексты размещаются также в информационной системе общего пользования - на официальном сайте Федерального агентства по техническому регулированию и метрологии в сети Интернет.

1. Область применения

Настоящий стандарт устанавливает требования к устойчивости функционирования сетей электросвязи, входящих в состав сети связи общего пользования, и методы их проверки и предназначен для применения расположенными на территории Российской Федерации организациями, предприятиями и другими субъектами хозяйственной деятельности независимо от их организационно-правовой формы и формы собственности, связанными с созданием и эксплуатацией сетей электросвязи, являющихся составными компонентами сети связи общего пользования единой сети электросвязи Российской Федерации. Общие требования к устойчивости функционирования сети связи общего пользования (далее - требования) разработаны в соответствии с положениями федерального законодательства в области связи с целью обеспечения отрасли "Связь" нормативной базой, являющейся основой для деятельности операторов связи по устойчивому функционированию сетей электросвязи в мирное время, в чрезвычайных ситуациях и в условиях чрезвычайного положения [1].

2. Нормативные ссылки

В настоящем стандарте использованы нормативные ссылки на следующие стандарты:

ГОСТ Р 51275-2006 Защита информации. Объект информатизации. Факторы, воздействующие на информацию. Общие положения

ГОСТ Р 51317.4.2-99 (МЭК 61000-4-2-95) Совместимость технических средств электромагнитная. Устойчивость к электростатическим разрядам. Требования и методы испытаний

ГОСТ Р 51317.4.3-99 (МЭК 61000-4-3-95) Совместимость технических средств электромагнитная. Устойчивость к радиочастотному электромагнитному полю. Требования и методы испытаний

ГОСТ Р 51317.4.4-2007 (МЭК 61000-4-4:2004) Совместимость технических средств электромагнитная. Устойчивость к наносекундным импульсным помехам. Требования и методы испытаний

ГОСТ Р 51317.4.5-99 (МЭК 61000-4-5-95) Совместимость технических средств электромагнитная. Устойчивость к микросекундным импульсным помехам большой энергии. Требования и методы испытаний

ГОСТ Р 51317.4.6-99 (МЭК 61000-4-6-96) Совместимость технических средств электромагнитная. Устойчивость к кондуктивным помехам, наведенным радиочастотными электромагнитными полями. Требования и методы испытаний

ГОСТ Р 51317.4.11-2007 (МЭК 61000-4-11:2004) Совместимость технических средств электромагнитная. Устойчивость к провалам, кратковременным прерываниям и изменениям напряжения электропитания. Требования и методы испытаний

ГОСТ Р 52448-2005 Защита информации. Обеспечение безопасности сетей электросвязи. Общие положения

ГОСТ Р 52863-2007 Защита информации. Автоматизированные системы в защищенном исполнении. Испытания на устойчивость к преднамеренным силовым электромагнитным воздействиям. Общие требования

ГОСТ 13109-97 Электрическая энергия. Совместимость технических средств электромагнитная. Нормы качества электрической энергии в системах электроснабжения общего назначения

Примечание. При пользовании настоящим стандартом целесообразно проверить действие ссылочных стандартов в информационной системе общего пользования - на официальном сайте Федерального агентства по техническому регулированию и метрологии в сети Интернет или по ежегодно издаваемому информационному указателю "Национальные стандарты", который опубликован по состоянию на 1 января текущего года, и по соответствующим ежемесячно издаваемым информационным указателям, опубликованным в текущем году. Если ссылочный стандарт заменен (изменен), то при пользовании настоящим стандартом, следует руководствоваться заменяющим (измененным) стандартом. Если ссылочный стандарт отменен без замены, то положение, в котором дана ссылка на него, применяется в части, не затрагивающей эту ссылку.

3. Термины и определения

В настоящем стандарте применены следующие термины с соответствующими определениями:

3.1.

Электросвязь: любые излучения, передача или прием знаков, сигналов, голосовой информации, письменного текста, изображений, звуков или сообщений любого рода по радиосистеме, проводной, оптической и другим электромагнитным системам.
[Федеральный закон "О связи", статья 2, пункт 35]

3.2.

Сеть связи: технологическая система, включающая в себя средства и линии связи и предназначенная для электросвязи или почтовой связи.
[Федеральный закон "О связи", статья 2, пункт 24].

3.3. Устойчивость функционирования сети электросвязи: способность сети электросвязи выполнять свои функции при выходе из строя части элементов сети в результате воздействия дестабилизирующих факторов.

3.4. Дестабилизирующий фактор: воздействие на сеть электросвязи, источником которого является физический или технологический процесс внутреннего или внешнего по отношению к сети электросвязи характера, приводящее к выходу из строя элементов сети.

3.5. Коэффициент готовности: вероятность того, что объект находится в работоспособном состоянии в любой момент времени, кроме планируемых периодов, в течение которых применение объекта по назначению не предусматривается.

3.6. Коэффициент оперативной готовности: вероятность того, что объект находится в работоспособном состоянии в любой момент времени, кроме планируемых периодов, в течение которых применение объекта по назначению не предусматривается, и, начиная с этого момента, будет работать безотказно в течение заданного интервала времени.

3.7. Надежность сети электросвязи: свойство сети электросвязи сохранять способность выполнять требуемые функции в условиях воздействия внутренних дестабилизирующих факторов (т.е. сохранять во времени в установленных пределах значения всех параметров, характеризующих способность выполнять требуемые функции в заданных режимах и условиях применения и технического обслуживания).

3.8. Живучесть сети электросвязи: свойство сети электросвязи сохранять способность выполнять требуемые функции в условиях, создаваемых воздействиями внешних дестабилизирующих факторов.

3.9. Работоспособное состояние: состояние объекта, при котором значения всех параметров, характеризующих способность выполнять им заданные функции, соответствуют требованиям или нормам.

3.10. Средняя наработка на отказ: отношение суммарной наработки восстанавливаемого объекта к математическому ожиданию числа его отказов в течение этой наработки.

3.11. Вероятность связности (связность) направления электросвязи: вероятность того, что на заданном направлении электросвязи существует хотя бы один путь, по которому возможна передача информации с требуемыми качеством и объемом.

3.12. Внутренний дестабилизирующий фактор: дестабилизирующий фактор, источник которого расположен внутри сети электросвязи или ее элементов.

3.13. Внешний дестабилизирующий фактор: дестабилизирующий фактор, источник которого расположен вне сети электросвязи.

3.14. Направление связи (основное направление связи): совокупность линий передачи и узлов связи, обеспечивающая связь между двумя пунктами сети для обеспечения деятельности органов государственного управления, обороны, безопасности, охраны правопорядка, мобилизационной готовности при чрезвычайных ситуациях.

3.15.

Линии связи: линии передачи, физические цепи и линейно-кабельные сооружения связи.
[Федеральный закон "О связи", статья 2, пункт 7].

3.16. Спецпотребитель: пользователь сети связи, представляющий центральные, региональные, местные органы государственного управления, а также органы управления субъектов Российской Федерации.

3.17.

Сооружения связи: объекты инженерной инфраструктуры, в том числе здания, строения, созданные или приспособленные для размещения средств связи и кабелей электросвязи.
[Федеральный закон "О связи", статья 2, пункт 27].

3.18.

Средства связи: технические и программные средства, используемые для формирования, приема, обработки, хранения, передачи, доставки сообщений электросвязи или почтовых отправлений, а также иные технические и программные средства, используемые при оказании услуг связи или обеспечении функционирования сетей связи.
[Федеральный закон "О связи", статья 2, пункт 28].

3.19.

Системный проект сети связи: схема построения сети электросвязи с соответствующими такой схеме расчетными значениями (с учетом предъявляемых к сети электросвязи обязательных требований и планируемого объема оказываемых услуг связи) величин, определяющих технические возможности входящих в состав сети электросвязи средств связи линий передачи и физических цепей и монтированной емкости.
[Федеральный закон "О связи", статья 2, пункт 26].

3.20. Граф сети связи: математическая модель сети электросвязи, представляющая собой совокупность вершин (узлов сети связи) и соединяющих их ребер (линий связи).

3.21. Элемент (объект) сети электросвязи: отображаемые на графе сети электросвязи вершинами и ребрами узлы связи и соединяющие их линии (совокупность линий) связи.

4. Сокращения

В настоящем стандарте используются следующие сокращения:

ИТ - информационная технология;

ССОП - сеть связи общего пользования;

МППЦ - метод перебора простых цепей;

ТЧ - тональная частота;

ЭМИ - электромагнитный импульс;

ИИ - ионизирующее излучение;

ЯВ - ядерный взрыв;

ВДФ - внешние дестабилизирующие факторы;

ОЦК - основной цифровой канал связи.

5. Основные положения по обеспечению устойчивости функционирования сетей электросвязи

5.1. Функционирование сетей электросвязи, входящих в состав ССОП, в условиях воздействия дестабилизирующих факторов физического или технологического характера (далее - дестабилизирующие факторы) определяется свойством сети, называемым устойчивостью. Обеспечение устойчивости заключается в сохранении функционирования сетей электросвязи в условиях мирного времени, в чрезвычайных ситуациях и в условиях чрезвычайного положения [1].

5.2. Устойчивость функционирования сетей электросвязи нарушается в результате воздействия разнообразных дестабилизирующих факторов, которые из-за своего многообразия приводят к тому, что устойчивость им со стороны сетей электросвязи представляет целый комплекс мероприятий.

5.3. Воздействие дестабилизирующих факторов на сети электросвязи разделяется на воздействие внутренних и внешних дестабилизирующих факторов. Такое разделение воздействующих на сеть электросвязи дестабилизирующих факторов дает возможность представить устойчивость сети электросвязи как совокупность свойств надежности и живучести.

5.4. Обеспечение устойчивости при воздействии внутренних дестабилизирующих факторов сводится к решению проблемы обеспечения надежности сети электросвязи.

5.5. Обеспечение устойчивости при воздействии внешних дестабилизирующих факторов представляет собой проблему обеспечения живучести сети электросвязи.

5.6. Наиболее важно обеспечить устойчивость функционирования сети электросвязи при чрезвычайных ситуациях и в условиях чрезвычайного положения, когда внешние воздействия могут носить преднамеренный характер, трудно прогнозируются, являются, в основном, кратковременными, могут воздействовать на всю сеть электросвязи одновременно и связаны с угрозой выведения из строя всей сети электросвязи на продолжительный период.

5.7. Ввиду вероятностного характера воздействия внутренних и внешних дестабилизирующих факторов и неполной определенности в показателях стойкости объектов электросвязи показатели надежности и живучести сети электросвязи могут только прогнозироваться и поэтому носят вероятностный характер.

5.8. Под внутренними дестабилизирующими факторами по отношению к сети электросвязи понимаются дестабилизирующие факторы, источники воздействия которых находятся внутри сети электросвязи и имеется достаточная информация о характеристиках их воздействий, позволяющая принимать эффективные решения по их локализации и проведению соответствующих профилактических и ремонтно-восстановительных мероприятий на всех этапах, от разработки и производства средств электросвязи до проектирования и эксплуатации сетей электросвязи.

5.9. Наиболее распространенными источниками внутренних дестабилизирующих факторов являются:

- качество электрических контактов;

- старение электрорадиоэлементов (изменение со временем их характеристик);

- нарушение электромагнитной совместимости (нарушение экранирования, заземлений, фильтрации) и, вследствие этого, ухудшение устойчивости оборудования электросвязи к воздействию электромагнитных помех;

- перебои в электроснабжении.

5.10. Под внешними дестабилизирующими факторами (ВДФ) по отношению к сети электросвязи понимаются такие дестабилизирующие факторы, источники которых расположены вне сети электросвязи.

5.11. Источниками ВДФ являются физические объекты, которые в совокупности с системами или событиями, определяющими моменты и характер возбуждения источника, выделяют энергию на образование дестабилизирующих факторов.

5.12. В зависимости от характера воздействия на элементы сети электросвязи ВДФ делятся на классы:

- механические (сейсмический удар, ударная волна взрыва, баллистический удар);

- электромагнитные (низкочастотное излучение, высокочастотное излучение, сверхвысокочастотное излучение, электромагнитный импульс);

- ионизирующие (альфа-излучение, бета-излучение, гамма-излучение, нейтронное излучение);

- термические (световое излучение взрыва).

5.13. Источники ВДФ по признаку отношения к природе возникновения (ГОСТ Р 51275) разделяют на субъективные (искусственные) и объективные (естественные). Объективные источники ВДФ, моменты возбуждения и направленность выделения энергии которых носят случайный характер, являются источниками непреднамеренных дестабилизирующих факторов. К таким источникам относятся: землетрясение, разряд молнии, радиоактивное заражение местности вследствие техногенных катастроф, линия электропередачи в аварийном режиме, контактная сеть железных дорог, радиолокационные станции, радиопередающие станции.

5.14. Субъективные источники ВДФ, моменты возбуждения которых и направленность выделяемой ими энергии имеют целью нарушение работоспособности системы электросвязи, представляют собой источники преднамеренных дестабилизирующих факторов. К таким источникам относятся все виды современного оружия, ориентированного на поражение сетей электросвязи, террористические акты, преднамеренные электромагнитные воздействия, в том числе осуществляемые кондуктивным путем (непосредственное подключение к кабелям сетей электросвязи специальных технических средств, генерирующих намеренные помехи).

5.15. К источникам ВДФ локального действия относятся источники дестабилизирующих факторов, действующие в течение небольших интервалов времени и способные привести к нарушению работоспособности одного элемента сети электросвязи.

5.16. К источникам ВДФ пространственного действия относятся источники дестабилизирующих факторов, которые могут в течение небольших интервалов времени привести к нарушению работоспособности группы пространственно разнесенных элементов сети электросвязи.

5.17. Наибольшую угрозу для устойчивости сети электросвязи представляют источники пространственного действия или многочисленные источники локального действия, возбужденные в течение небольших интервалов времени в разных местах большого пространства.

5.18. К особым источникам ВДФ преднамеренного характера относятся такие источники, действие которых не направлено против объектов сети электросвязи, но сеть электросвязи может пострадать от них косвенным образом.

5.19. Последствия воздействий ВДФ как на всю сеть электросвязи, так и на отдельные ее части, можно рассматривать по ущербу, который они наносят сети электросвязи. Ущерб, наносимый сети электросвязи воздействием ВДФ, оценивается по соотношению вышедших из строя элементов сети электросвязи к общему числу элементов сети градациями до 50% (высокий), 30% (средний) и 10% (низкий).

5.20. Высокий ущерб может быть нанесен сети электросвязи при нахождении ее элементов в зоне действия ЯВ в случае применения ядерного оружия по крупным промышленным объектам, объектам военной техники, объектам государственного управления и т.д.

5.21. Средний ущерб может быть нанесен сети электросвязи воздействием обычного оружия (при локальных военных конфликтах), техногенными катастрофами, стихийными бедствиями.

5.22. Низкий ущерб может быть нанесен сети электросвязи воздействием источников ВДФ локального действия, в том числе террористическими актами.

5.23. Нанесение высокого и среднего ущерба оборудованию электросвязи имеет место при очень серьезных воздействиях дестабилизирующих факторов, провоцируемых чрезвычайными ситуациями, такими как военные конфликты, ядерные удары и стихийные бедствия. При таких воздействиях основное внимание уделяется сохранению каналов электросвязи, обеспечивающих стратегические интересы государства (спецпотребителей).

5.24. Низкий ущерб оборудованию электросвязи наиболее вероятен при воздействии локальных источников ВДФ на отдельные объекты связи или небольшую их группу. При таких воздействиях внимание уделяется сохранению не только каналов электросвязи, обеспечивающих стратегические интересы государства (спецпотребителей), но и рядовых потребителей.

5.25. Ущерб, наносимый сети электросвязи внешними воздействиями, напрямую связан как с построением сети электросвязи (ее разветвленностью), так и с живучестью отдельных элементов сети электросвязи (стойкостью оборудования и линий электросвязи к воздействию дестабилизирующих факторов). Чем больше разветвленность сети электросвязи и выше стойкость ее элементов к внешним воздействиям, тем меньший урон внешнее воздействие может причинить сети электросвязи в целом. Устойчивость сети электросвязи (надежность и живучесть) обеспечивается объектовыми и сетевыми методами.

5.26. Состояние устойчивости объектов электросвязи к ВДФ оценивают по:

- соответствию применяемого оборудования электросвязи требованиям, изложенным в [2];

- соответствию выбора сооружений и размещению оборудования на объекте электросвязи положениям, изложенным в [3];

- устойчивости применяемой аппаратуры и оборудования к электромагнитным воздействиям в соответствии с нормативными документами, приведенными в таблице 1.

Таблица 1

Перечень нормативных документов, которым должно соответствовать оборудование электросвязи, обеспечивающее устойчивость к электромагнитным воздействиям

Вид воздействия Стандарты Российской Федерации и межгосударственные стандарты
1. Электростатический разряд ГОСТ Р 51317.4.2
2. Радиочастотное электромагнитное поле ГОСТ Р 51317.4.3; ГОСТ Р 51317.4.6
3. Наносекундные импульсные помехи ГОСТ Р 51317.4.4
4. Микросекундные импульсные помехи ГОСТ Р 51317.4.5
5. Динамические изменения напряжения питания ГОСТ Р 51317.4.11
6. Аварийные перенапряжения в электросетях ГОСТ 13109
7. Кондуктивные электромагнитные воздействия ГОСТ Р 52863

Примечание. Требования по устойчивости к кондуктивным электромагнитным воздействиям (см. ГОСТ Р 52863) предъявляют в случае применения на сети связи автоматизированных систем в защищенном исполнении.

5.27. Устойчивость сети электросвязи по состоянию ее сетевого построения оценивается возможностями сети адаптироваться к изменению условий функционирования в результате воздействия внешних дестабилизирующих факторов. Сетевое построение определяется:

- возможностью резервирования линий электросвязи;

- выбором различных сред распространения сигналов;

- оптимальностью топологии сети электросвязи (достаточности ее разветвленности);

- обеспечением взаимодействия с сетями других операторов связи.

Перечисленные методы сетевого построения используются в качестве сетевых методов обеспечения устойчивости (надежности и живучести) сетей электросвязи.

5.28. Уязвимость элементов сети электросвязи (узлов электросвязи и соединительных линий) к воздействию ВДФ определяется уровнем возможного воздействия дестабилизирующих факторов на сеть электросвязи. Уровень возможного воздействия ВДФ, к которому сеть электросвязи должна быть устойчивой, определяется назначением сети электросвязи и наличием в составе ее пользователей спецпотребителей.

Градации уровней ущерба сети электросвязи в зависимости от возможного уровня воздействия ВДФ на сеть электросвязи приведены в таблице 2.

Таблица 2

Градации уровней ущерба сети электросвязи в зависимости от возможного уровня воздействия ВДФ на сеть электросвязи и соответствующие им уровни нарушения безопасности сети электросвязи

Уровень воздействия ВДФ на сеть электросвязи Источник внешних дестабилизирующих факторов Ущерб, причиняемый элементам сети электросвязи воздействием ВДФ, % Уровни нарушения безопасности сети электросвязи
Высокий Все виды современного оружия массового поражения До 50 Высокий
Средний Локальные военные конфликты с применением обычных видов оружия, техногенные катастрофы, стихийные бедствия До 30 Умеренный
Низкий Локальные источники ВДФ, террористические акты До 10 Низкий

5.29. Нарушение инфраструктуры сети электросвязи вследствие нанесения ущерба оборудованию приводит к нарушению не только устойчивости, но и информационной безопасности сети электросвязи. Уровни нарушения безопасности сети электросвязи вследствие нарушения инфраструктуры сети (ущерба оборудованию) после воздействия ВДФ (в соответствии с ГОСТ Р 52448) приведены в таблице 2.

5.30. Основные направления связи в сетях электросвязи ССОП подразделяют по значимости выделяемых каналов в интересах спецпотребителей на три категории:

- категория 1 - направления, в которых арендуются каналы и тракты для организации информационного обмена центральных органов государственного управления с государственными органами управления регионов;

- категория 2 - направления, в которых арендуются (выделяются) каналы и тракты для обеспечения информационного обмена региональных органов государственного управления с крупными промышленными и хозяйственными центрами государственного значения, находящимися на территории региона, и между региональными органами государственного управления;

- категория 3 - направления, в которых арендуются (выделяются) каналы и тракты между региональными органами государственного управления и органами управления субъектов Российской Федерации и между органами управления субъектов Российской Федерации.

Категория сети электросвязи определяется в зависимости от категории основных направлений электросвязи, которые данная сеть электросвязи обслуживает.

5.31. Общие требования к устойчивости функционирования сети электросвязи представляют собой совокупность требований надежности и живучести сетей электросвязи в соответствии с перечнем, представленным в Приложении А.

5.32. Надежность сети электросвязи определяется надежностью каналов связи, организуемых в сети электросвязи.

5.33. Надежность каналов электросвязи зависит от надежности оборудования линий электросвязи. Канал сети электросвязи ограничивается точками присоединения к другим сетям электросвязи или оконечными телефонными станциями, к которым присоединяются оконечные линии пользователей.

5.34. Живучесть сети электросвязи определяется живучестью каналов электросвязи, организованных на основных направлениях сети электросвязи и используемых спецпотребителями.

5.35. На оконечные линии пользователей и оборудование пользователей требования к устойчивости сетей электросвязи не распространяются.

5.36. В качестве показателя надежности каналов электросвязи применяется коэффициент готовности канала электросвязи, определяемый выражением:

, (1)

где:

- среднее время наработки на отказ канала электросвязи;

- среднее время восстановления работоспособности канала электросвязи.

5.37. В качестве критерия отказа канала ТЧ принимается перерыв в передаче сообщений продолжительностью более 10 с. Под перерывом (сбой, отказ) в передаче сообщения понимается снижение уровня сигнала на 17 дБ и более в течение 300 мс.

5.38. За критерий отказа ОЦК принимается повышение отношения числа битов, принятых с ошибками, к общему числу принятых битов до в течение 10 последовательных секунд и более.

5.39. Коэффициент готовности канала электросвязи рассчитывается как вероятность связности между двумя конечными точками сети электросвязи по методике, приведенной в Приложении Б.

5.40. В качестве показателя живучести каналов электросвязи применяют коэффициент оперативной готовности канала электросвязи, определяемый выражением

, (2)

где:

- коэффициент готовности;

P(T) - вероятность сохранения работоспособности канала электросвязи при воздействии ВДФ.

5.41. Коэффициент оперативной готовности канала электросвязи рассчитывается как вероятность связности между двумя точками подключения к сети электросвязи спецпотребителей по методике, приведенной в Приложении Б.

5.42. Уровень ущерба, причиняемого сети электросвязи при воздействии ВДФ, выбирают в соответствии с перечнем возможных источников дестабилизирующих факторов (или самих дестабилизирующих факторов), при воздействии которых сеть электросвязи должна сохранять свою работоспособность в соответствии с таблицей 2.

5.43. Выбор возможных источников дестабилизирующих факторов, которые могут воздействовать на сеть связи (таблица 2), проводит оператор связи в соответствии с задачами, которые ставятся перед сетью электросвязи в части обеспечения ее устойчивости к воздействию ВДФ.

5.44. Требования к надежности сети электросвязи в зависимости от ее назначения и организуемых каналов связи, в соответствии с [5], приведены в таблице А.1 (Приложение А).

5.45. Требования к живучести сети электросвязи в соответствии с категорией сети электросвязи и уровнем ущерба, ожидаемого в сети электросвязи после воздействия выбранных источников дестабилизирующих факторов, приведены в таблице А.2 (Приложение А).

5.46. Оценку показателей устойчивости (надежности и живучести) сети электросвязи проводят расчетным путем по значению вероятности связности (далее - связности) направлений и каналов электросвязи. Показатели связности находятся при представлении сети электросвязи в виде случайного графа сети электросвязи (далее - сети связи). Основой для построения случайного графа сети связи служит системный проект сети связи.

5.47. Граф сети связи представляет собой совокупность вершин и соединяющих их ребер. Для сети электросвязи вершинами графа являются такие элементы сети (обычно узлы электросвязи), к которым направлены не менее трех линий электросвязи. Ребра графа сети связи представляют собой совокупность линий связи (систем передачи), которые соединяют названные вершины графа. Связность определяется между элементами случайного графа сети связи, которыми могут быть точки окончания каналов и трактов (выбранные вершины графа). Для спецпотребителей точками, между которыми рассчитываются показатели устойчивости, являются точки привязки (узлы привязки) каналов связи спецпотребителей к сети электросвязи.

5.48. Для вершин и ребер построенного графа сети связи (элементов сети связи) находятся параметры, определяющие их устойчивость к ВДФ. При оценке надежности сети электросвязи такими параметрами являются "коэффициенты готовности элементов (оборудования) сети электросвязи". При оценке живучести сети электросвязи такими параметрами являются "коэффициенты оперативной готовности элементов сети электросвязи".

5.49. Коэффициенты готовности элементов сети электросвязи (узлов и линий электросвязи) находят в соответствии с паспортными данными на оборудование и кабели связи. Они также могут быть вычислены по среднему времени наработки на отказ и времени восстановления, которые приводятся изготовителем в технической документации на устанавливаемое оборудование электросвязи.

5.50. Коэффициенты оперативной готовности элементов сети электросвязи находят по формуле (2). При воздействии ВДФ отказ любого элемента сети связи равновероятен. Поэтому при выбранном возможном уровне ущерба на сети электросвязи после воздействия ВДФ (см. таблицу 2), значение P(T) для всех элементов сети одинаково. Значение P(T) выбирают из таблицы 3 по уровню возможного ущерба, причиняемого элементам сети электросвязи воздействием ВДФ.

Таблица 3

Зависимость вероятности сохранения работоспособности элементов сети электросвязи от ущерба, причиняемого им воздействием ВДФ

Ущерб, причиняемый элементам сетей электросвязи воздействием ВДФ, % Вероятность сохранения работоспособности элементов сети электросвязи P(T)
До 50 0,5
До 30 0,7
До 10 0,9

5.51. Показатели надежности сети связи (вероятность связности между любыми вершинами случайного графа сети) определяют методом перебора простых цепей в соответствии с Приложением Б.

5.52. Результаты расчетной оценки устойчивости (надежности и живучести) сети электросвязи сравнивают с требованиями по устойчивости (требованиями по надежности и живучести) сети электросвязи, приведенными в таблицах А.1 и А.2 (Приложение А) в соответствии с 5.42 и 5.43.

5.53. В случае несоответствия показателей устойчивости сети электросвязи, полученных при расчетной оценке, требованиям, приведенным в Приложении А, необходимо провести мероприятия, направленные на повышение устойчивости сети электросвязи, и повторить расчетную оценку устойчивости сети электросвязи.

5.54. Мероприятия по обеспечению устойчивости сети электросвязи включают в себя объектовые и сетевые методы обеспечения устойчивости.

5.55. Объектовые методы обеспечения устойчивости состоят из выбора:

- средств связи (аппаратуры и оборудования);

- конструкции сооружения связи;

- вариантов размещения средств связи в сооружении связи.

Средства связи выбирают по показателям надежности и стойкости к внешним воздействиям в соответствии с таблицей 1. Подтверждение выполнения норм, приведенных в таблице 1, для оборудования связи должно быть отражено в сертификате или декларации соответствия, предоставляемой разработчиком оборудования вместе с технической документацией при продаже.

5.56. Сетевые методы обеспечения устойчивости представляют собой изменение топологии (изменение разветвленности и увеличение резервирования линий связи) сети с целью увеличения ее показателей связности до требуемых значений.

5.57. Перед проведением расчетной оценки устойчивости сети связи следует провести предварительный анализ устойчивости сети связи по дополнительным (вторичным) критериям устойчивости. Можно ожидать, что устойчивость сети электросвязи будет достаточной, если:

- структура построения сети электросвязи такова, что обеспечивает три независимых пути связи для основных направлений связи;

- в сети электросвязи обеспечивается возможность перераспределения каналов на основных направлениях связи;

- в сети электросвязи предусмотрено взаимодействие с другими сетями электросвязи, входящими в ССОП, для обеспечения взаимного резервирования каналов связи;

- в сети электросвязи применяются линии связи с различной средой распространения;

- в сети электросвязи предусматривается система восстановления объектов связи при их возможном разрушении (см. Приложение В);

- на основных направлениях связи применяются кабели связи, проложенные в грунте.

5.58. В требованиях к живучести сети электросвязи указывают допустимый уровень снижения показателей связности на основных направлениях электросвязи после воздействия ВДФ. Для восстановления показателей связности на сети электросвязи должна быть предусмотрена система восстановления. Наличие системы восстановления определяет потенциальную возможность (даже при максимальных ущербах, наносимых сети электросвязи при воздействии ВДФ) адаптироваться к изменившимся условиям эксплуатации и, в течение заданного времени развертывания, обеспечить спецпотребителей услугами электросвязи в требуемом объеме. Основные задачи, решаемые системой восстановления, приведены в Приложении В.

5.59. Выполнение перечисленных в 5.57 дополнительных показателей устойчивости сети электросвязи является предпосылкой обеспечения требуемых основных показателей устойчивости сети электросвязи, проверяемых расчетом по методике, приведенной в Приложении Б.

5.60. Для обеспечения поддержания устойчивости сети электросвязи в процессе эксплуатации проводят мониторинг сети электросвязи. Для этого проводится отслеживание изменений топологии сети электросвязи при модернизации оборудования и линий электросвязи, включение в работу новых и вывод из эксплуатации устаревших линий электросвязи. При значительной модернизации проводят повторную оценку устойчивости сети электросвязи и принимают меры для обеспечения требуемой ее устойчивости. Мониторинг устойчивости функционирования сети электросвязи является составляющей частью процесса эксплуатации, организуемого оператором сети электросвязи.

Приложение А
(обязательное)

ПЕРЕЧЕНЬ ТРЕБОВАНИЙ К УСТОЙЧИВОСТИ ФУНКЦИОНИРОВАНИЯ СЕТИ ЭЛЕКТРОСВЯЗИ

Требования к устойчивости функционирования сети электросвязи состоят из требований (технических норм) к показателям надежности сети электросвязи [5], приведенных в таблице А.1, и требований к живучести основных направлений связи, приведенных в таблице А.2.

Таблица А.1

Технические нормы показателей надежности сети электросвязи

Тип сети электросвязи Наименование показателя Норма, не менее
Сеть междугородной и международной телефонной связи Коэффициент готовности 0,999
Сеть зоновой телефонной связи 0,9995
Сеть местной телефонной связи 0,9999
Телеграфная сеть электросвязи и сеть. Телекс 0,9999
Сеть передачи данных 0,99

Таблица А.2

Требования к живучести основных направлений связи для трех категорий спецпотребителей в зависимости от ущерба сетей электросвязи, наносимого воздействием ВДФ

Уровень ущерба Ущерб сети связи, наносимый воздействием ВДФ, % Коэффициент оперативной готовности направлений связи для различных категорий спецпотребителей Коэффициент оперативной готовности для каналов связи обычных потребителей
1 2 3
Высокий До 50 0,80 0,75 0,7 -
Средний До 30 0,85 0,80 0,75 -
Низкий До 10 0,9 0,85 0,8 0,8

Приложение Б
(обязательное)

МЕТОДИКА ОЦЕНКИ СООТВЕТСТВИЯ СЕТИ ЭЛЕКТРОСВЯЗИ ЗАДАННЫМ ТРЕБОВАНИЯМ ОБЕСПЕЧЕНИЯ УСТОЙЧИВОСТИ ЕЕ ФУНКЦИОНИРОВАНИЯ

Показатели устойчивости (надежности и живучести) сети электросвязи носят вероятностный характер, и их оценка осуществляется расчетным путем на основе показателей надежности и живучести элементов анализируемой сети электросвязи.

Методика расчетной оценки устойчивости (надежности и живучести) сети электросвязи основана на использовании математического аппарата случайных графов и нахождения связности между элементами графа с помощью метода перебора простых цепей (МППЦ). Сеть связи моделируется графом сети, вершинами и ребрами которого являются узлы и линии связи. Вершины графа представляют собой узлы связи, а ребра - совокупность линий связи (линий передачи), которые соединяют вершины графа между собой. Всем элементам графа (вершинам и ребрам) присваивают весовой коэффициент, представляющий собой коэффициент готовности узла или линии связи при расчете показателей надежности сети связи (при расчете показателей живучести весовыми коэффициентами являются коэффициенты оперативной готовности узлов и линий связи). На построенном графе сети связи выделяют два полюса (две вершины - "исток" и "сток"), которые отмечают выбранное направление связи.

Метод расчетной оценки связности между элементами графа с помощью перебора простых цепей заключается в том, что для выбранных полюсов графа сети, в соответствии с алгоритмом установления связи, отмечаются все цепи (или пути), по которым может быть установлено соединение. Под событием связности понимают такое событие, когда между "истоком" и "стоком" в работоспособном состоянии существует хотя бы одна простая цепь. Если между полюсами сети в работоспособном состоянии нет ни одной простой цепи, то в двухполюсной сети наступает событие несвязности. Под "простой цепью" понимают последовательность ребер и вершин графа без петель и параллелей, замыкающую полюсы (выбранные вершины) между собой. Далее на графе сети выделяют все простые цепи между выделенной парой полюсов (узлов) и сети.

При заданных коэффициентах готовности (или оперативной готовности) для всех элементов графа связность двухполюсной сети между выделенными узлами и рассчитывается методом объединения простых цепей с учетом эффекта поглощения.

При практических расчетах перечень простых цепей или путей между узлами и ограничивают только теми путями, которые содержат допустимое число транзитных участков, зависящее от допустимого уровня искажений передаваемой по линии связи информации. Число транзитных участков определяет ранг простых цепей - . Таким образом, полный перечень простых цепей между узлами связи определяется с учетом максимально допустимого числа транзитных участков (ограничения ранга простых цепей).

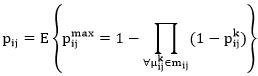
Связностью k-го пути из перечня всех цепей называется совместная вероятность исправного состояния всех ребер и вершин, образующих эту цепь:

, (Б.1)

где - коэффициент готовности (или оперативной готовности) a-го элемента последовательности ребер и вершин, принадлежащих пути ;

- коэффициент неготовности (или оперативной неготовности) a-го элемента последовательности ребер и вершин, принадлежащего пути (при проведении реальных расчетов этим коэффициентом пользоваться удобнее, чем коэффициентом ).

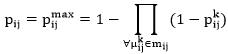
Вероятность связности от к - это вероятность исправного состояния хотя бы одной цепи из всех возможных цепей или (при ограничении числа транзитных участков ) хотя бы одной цепи с допустимым рангом:

, (Б.2)

В реальных условиях цепи часто взаимозависимы, т.е. имеют общие ребра и вершины. При этом вероятность связности, вычисленная по формуле (Б.2), имеет завышенное значение. Действительное значение получится, если при вычислениях по формуле (Б.2) после раскрытия скобок все члены, имеющие показатели степени больше единицы, заменить на единицу, что соответствует исключению события многократного учета коэффициента готовности (или оперативной готовности) одного ребра или одной вершины. Такое действие обозначают символом E и называют поглощением. Формула для вычисления связности принимает следующий вид:

,(Б.3)

Число перемножаемых сомножителей в формулах (Б.2) и (Б.3) равно числу простых цепей, а число перемножаемых сомножителей в формуле (Б.1) равно числу ребер и вершин в одной цепи. Таким образом, показатели надежности и живучести сети электросвязи (по вероятностям связности двухполюсного графа) вычисляют по формуле (Б.3).

Приведенная выше методика может быть использована для автоматизированного расчета.

Приложение В
(обязательное)

ПОСТРОЕНИЕ СИСТЕМЫ ВОССТАНОВЛЕНИЯ

Задачи, решаемые системой восстановления [4], подразделяют на три временные составляющие:

1) задачи оперативного восстановления разрушенных основных направлений связи (ОНС) спецпотребителей за нормативное время от 6 до 24 ч (для обычных пользователей до 48 ч), реализуемые мобильными и перевозимыми средствами;

2) задачи восстановления среднесрочного характера, реализуемые в совокупности мобильными и подвижными средствами восстановления связи с целью частичного удовлетворения потребностей органов государственной власти и рядовых пользователей (от 10% до 30% требуемого числа каналов);

3) задачи восстановления долгосрочного характера, обеспечивающие полное восстановление объектов связи и структуры сетей электросвязи.

Динамика изменения (связности) направления связи в процессе восстановления ( - время процесса восстановления) показана на рисунке В.1. До воздействия ВДФ связность определяется надежностью направления связи . Сразу после воздействия ВДФ ( - момент воздействия ВДФ) связность снижается до величины коэффициента оперативной готовности .

Рисунок В.1. Динамика изменения связности направления связи в процессе восстановления

С момента времени ( - момент начала работы системы восстановления сети) связность начинает возрастать. После решения задач оперативного восстановления сети электросвязи (момент времени ) связность должна возрастать до 0,9. Дальнейшее восстановление сети связи характеризуется постепенным увеличением связности направлений связи, которая полностью восстанавливается после решения среднесрочных и долгосрочных задач восстановления до значения, определяемого показателями надежности.

Основная задача построения системы восстановления состоит в том, чтобы оператор связи обладал необходимым числом подвижных и перевозимых средств связи, которые могут быть использованы для оперативной замены поврежденного оборудования.

Наиболее рациональное построение системы восстановления заключается в том, чтобы максимально использовать оборудование, которое находится в повседневной эксплуатации на малозначимых участках сети связи и может быть оперативно переведено за отведенное время на участки, требующие восстановления.

Таким образом, у оператора связи, занимающегося эксплуатацией сетей электросвязи, к которым предъявляются требования по сохранению работоспособности после воздействия ВДФ, должна быть предусмотрена процедура восстановления пораженных объектов связи. Для этого должен быть разработан план мероприятий по оперативному восстановлению сети связи, где должны быть учтены:

- объем необходимого дополнительного ресурса оборудования (в том числе и оборудования с другой средой распространения) с учетом выбранного возможного ущерба, наносимого воздействием ВДФ на сети электросвязи и уменьшением требований к пропускной способности направления связи и надежности восстанавливаемых каналов связи;

- обеспеченность транспортными средствами для доставки и развертывания оборудования на восстанавливаемых объектах основных направлений связи за нормативное время (от 6 до 24 ч);

- обеспечение развертывания оборудования на восстанавливаемых объектах для восстановления услуг связи остальным пользователям за время не более 48 ч;

- взаимодействие с другими операторами связи по перераспределению каналов связи;

- обеспечение среднесрочного и долгосрочного полного восстановления сети связи.

В зависимости от возможностей операторов связи и построения самой сети связи план мероприятий по восстановлению сети может содержать положения, включающие в себя порядок взаимодействия операторов связи при чрезвычайных ситуациях и в условиях чрезвычайного положения с органами центральной и местной власти, а также с заинтересованными ведомствами.

БИБЛИОГРАФИЯ

[1] Федеральный закон Российской Федерации от 07.07.2003 N 126-ФЗ "О связи"
[2] Нормы по стойкости аппаратуры, приборов, устройств и оборудования ЕСС РФ к воздействию ИИ и ЭМИ ЯВ. Решение ГКЭС при Минсвязи России N 143 от 31.01.96
[3] РД 45.083-1999 Рекомендации Минсвязи России по обеспечению стойкости аппаратурных комплексов объектов связи к воздействию дестабилизирующих факторов
[4] Концепция системы восстановления ВСС РФ. Решение ГКЭС при Минсвязи России N 31 от 19.07.2001
[5] Требования к организационно-техническому обеспечению устойчивого функционирования сети связи общего пользования. Приказ Мининформсвязи РФ N 113 от 27.09.2007