Единая система конструкторской документации. Схема деления изделия на составные части. ГОСТ 2.711-82

(утв. Постановлением Госстандарта СССР от 23.06.82 N 2485)
Редакция от 22.06.2006 — Документ не действует

ГОСУДАРСТВЕННЫЙ СТАНДАРТ СОЮЗА ССР

ЕДИНАЯ СИСТЕМА КОНСТРУКТОРСКОЙ ДОКУМЕНТАЦИИ

СХЕМА ДЕЛЕНИЯ ИЗДЕЛИЯ НА СОСТАВНЫЕ ЧАСТИ

Unified system for design documentation.
Diagram for dividing of product into components

ГОСТ 2.711-82

(в ред. Изменения N 1, утв. Приказом Ростехрегулирования от 22.06.2006 N 117-ст)

Группа Т52

Постановлением Государственного комитета СССР по стандартам от 23 июня 1982 г. N 2485 срок введения установлен с 01.07.1983.

Переиздание. Октябрь 1986 г.

Настоящий стандарт устанавливает правила выполнения схемы деления изделия на составные части изделий всех отраслей промышленности.

1. ОБЩИЕ ПОЛОЖЕНИЯ

1.1. Схема деления изделия на составные части (далее - схема деления) - конструкторский документ, определяющий состав изделия, входимость составных частей, их назначение и взаимосвязь.

1.2. Схему деления разрабатывают на изделия (составные части изделия), на которые имеются тактико-техническое задание (ТТЗ) или техническое задание (ТЗ) заказчика (головного разработчика).

1.3. Схему деления разрабатывают начиная со стадии технического проекта (эскизного проекта, если технический проект не выполняется) и обозначают по ГОСТ 2.201-80 с присвоением кода Е1. (в ред. Изменения N 1, утв. Приказом Ростехрегулирования от 22.06.2006 N 117-ст)

1.4. В схеме деления приводят состав изделия (комплексы, сборочные единицы, детали, входящие в изделие, как вновь разработанные, так и заимствованные и покупные). При этом указывают:

обозначение изделия и его составных частей; (в ред. Изменения N 1, утв. Приказом Ростехрегулирования от 22.06.2006 N 117-ст)

наименование изделия и его составных частей;

индексы, присвоенные заказчиком изделию и составным частям (для изделий, разрабатываемых по заказам Министерства обороны).

При необходимости на схеме деления могут быть показаны различные комплекты, входящие в состав изделия или отправляемые отдельно от него. По согласованию с представительством заказчика допускается включать в схему деления и другие данные об изделии и его составных частях, например, о разработчике, стадии разработки (литерности документов), сроках разработки, о потребителях и изготовителях изделия и т.д. (в ред. Изменения N 1, утв. Приказом Ростехрегулирования от 22.06.2006 N 117-ст)

1.5. Уровень деления (раскрытия) изделия на составные части зависит от сложности и специфики изделия и устанавливается разработчиком изделия по согласованию с заказчиком.

1.6. На каждую составную разрабатываемую по ТТЗ (ТЗ), схема деления оформляется самостоятельным конструкторским документом и ссылка на нее должна быть приведена в схеме деления изделия в целом. По согласованию с представительством заказчика допускается такие схемы деления составных частей при выполнении в бумажной форме включать в схему деления изделия в целом на последующих листах. (в ред. Изменения N 1, утв. Приказом Ростехрегулирования от 22.06.2006 N 117-ст)

1.7. Покупные и заимствованные составные части изделия на составные части более низкого уровня не делятся.

1.8. Согласование и утверждение схемы деления (для изделий, разрабатываемых по заказам Министерства обороны выполняется в соответствии с техническим заданием). (в ред. Изменения N 1, утв. Приказом Ростехрегулирования от 22.06.2006 N 117-ст)

2. ОФОРМЛЕНИЕ СХЕМЫ

2.1. Схему деления выполненную в бумажной форме следует размещать на листах форматов по ГОСТ 2.301-68 с основной надписью ГОСТ 2.104-2006 на первом (заглавном) листе и на последующих листах. (в ред. Изменения N 1, утв. Приказом Ростехрегулирования от 22.06.2006 N 117-ст)

Схему деления в электронной форме выполняют на базе электронной структуры изделия и по аналогичным правилам. (в ред. Изменения N 1, утв. Приказом Ростехрегулирования от 22.06.2006 N 117-ст)

2.2. Данные об изделии и его составных частях при выполнении схемы деления в бумажной форме следует помещать в условные графические обозначения составных частей изделия. (в ред. Изменения N 1, утв. Приказом Ростехрегулирования от 22.06.2006 N 117-ст)

При выполнении схемы деления в электронной форме условные графические обозначения следует использовать для обозначения составных частей изделия. Данные об изделии и его составных частях при их визуализации на экране ЭВМ следует размещать рядом с условными графическими обозначениями. (в ред. Изменения N 1, утв. Приказом Ростехрегулирования от 22.06.2006 N 117-ст)

Условные графические обозначения изделия и его составных частей (оригинальных, покупных, заимствованных) приведены в рекомендуемом Приложении 1, черт. 1, черт. 2. (в ред. Изменения N 1, утв. Приказом Ростехрегулирования от 22.06.2006 N 117-ст)

Информацию об изделии располагают:

а) в условном графическом обозначении сверху вниз;

б) рядом с условным графическим обозначением слева направо в следующей последовательности: обозначение, наименование, индекс изделия и т.д.. (в ред. Изменения N 1, утв. Приказом Ростехрегулирования от 22.06.2006 N 117-ст)

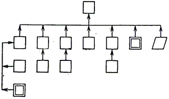
2.3. Условные графические обозначения изделия и его составных частей должны быть соединены между собой, соответственно входимости, сплошными тонкими линиями. Линии следует заканчивать стрелками (см. пример на черт. 1 и в Приложении 2, черт. 1 и 2). (в ред. Изменения N 1, утв. Приказом Ростехрегулирования от 22.06.2006 N 117-ст)

Черт. 1

При выполнении схемы деления в электронной форме допускается выполнять схему с детализируемыми далее соответственно уровням входимости составными частями изделия (см. пример в Приложении 2, черт. 3). (в ред. Изменения N 1, утв. Приказом Ростехрегулирования от 22.06.2006 N 117-ст)

2.4. При необходимости продолжить графическую часть схемы деления на каком-либо из последующих листов у соответствующего графического обозначения следует поместить надпись с номером листа, на котором помещено продолжение (см. пример на черт. 2).

Черт. 2

2.5. Если составная часть изделия оформлена отдельным документом, то при выполнении схемы деления в бумажной форме около соответствующего графического обозначения должна быть запись типа: см. АБВГ.ХХХХХХ.ХХХЕ1 (см. пример на черт. 2).

При выполнении схемы деления в электронной форме при выборе соответствующего условного графического обозначения должен быть обеспечен переход на визуализацию документа, которым оформлена данная составная часть изделия. (в ред. Изменения N 1, утв. Приказом Ростехрегулирования от 22.06.2006 N 117-ст)

2.6. При разработке схемы деления допускается все составные части обозначать арабскими цифрами, а все необходимые данные о них приводить в таблице, располагаемой под схемой деления. Рекомендуется составные части в таблице располагать в следующей последовательности: комплексы, сборочные единицы, детали, комплекты. При этом детали и комплекты на схеме деления допускается не указывать, а сведения о них приводить в таблице. (в ред. Изменения N 1, утв. Приказом Ростехрегулирования от 22.06.2006 N 117-ст)

2.7. Примеры оформления схемы деления приведены в справочном Приложении 2. (в ред. Изменения N 1, утв. Приказом Ростехрегулирования от 22.06.2006 N 117-ст)

Приложение 1
Рекомендуемое

УСЛОВНЫЕ ГРАФИЧЕСКИЕ ОБОЗНАЧЕНИЯ

(в ред. Изменения N 1, утв. Приказом Ростехрегулирования от 22.06.2006 N 117-ст)

Пример условных графических обозначений изделий и их составных частей

(в ред. Изменения N 1, утв. Приказом Ростехрегулирования от 22.06.2006 N 117-ст)

Черт. 1

(в ред. Изменения N 1, утв. Приказом Ростехрегулирования от 22.06.2006 N 117-ст)

а - вновь разработанные изделия и составные части;
б - заимствованные изделия; в - покупные изделия

1.1. При выполнении схемы деления в электронной форме соответствующие графические обозначения должны иметь видимые размеры не менее 6 х 6 мм (высота х ширина). (в ред. Изменения N 1, утв. Приказом Ростехрегулирования от 22.06.2006 N 117-ст)

1.2. Если составная часть изделия оформлена отдельным документом, при выполнении схемы деления в электронной форме для соответствующего условного графического обозначения должно быть обеспечено различимое обозначение перехода на документ, которым оформлена данная составная часть изделия. В качестве обозначения рекомендуется использовать стрелку (см. черт. 2), располагаемую снизу условного графического обозначения. (в ред. Изменения N 1, утв. Приказом Ростехрегулирования от 22.06.2006 N 117-ст)

Пример оформления обозначения перехода на документ, которым оформлена составная часть изделия

Черт. 2.

(в ред. Изменения N 1, утв. Приказом Ростехрегулирования от 22.06.2006 N 117-ст)

Приложение 2
Справочное

ПРИМЕРЫ ОФОРМЛЕНИЯ СХЕМЫ ДЕЛЕНИЯ СТРУКТУРНОЙ

(в ред. Изменения N 1, утв. Приказом Ростехрегулирования от 22.06.2006 N 117-ст)

Пример оформления схемы деления структурной в бумажной форме

(в ред. Изменения N 1, утв. Приказом Ростехрегулирования от 22.06.2006 N 117-ст)

(в ред. Изменения N 1, утв. Приказом Ростехрегулирования от 22.06.2006 N 117-ст)

Черт. 1

(в ред. Изменения N 1, утв. Приказом Ростехрегулирования от 22.06.2006 N 117-ст)

Пример оформления схемы деления структурной в электронной форме

Черт. 2

(в ред. Изменения N 1, утв. Приказом Ростехрегулирования от 22.06.2006 N 117-ст)

Пример оформления схемы деления структурной в электронной форме с детализируемыми далее соответственно уровням входимости составными частями

Черт. 3

(в ред. Изменения N 1, утв. Приказом Ростехрегулирования от 22.06.2006 N 117-ст)

Примечания.

1. На черт. 2 и 3 приведены примеры представления схемы деления структурной на экране ЭВМ. (в ред. Изменения N 1, утв. Приказом Ростехрегулирования от 22.06.2006 N 117-ст)

2. В правой нижней части черт. 2 и 3 приведен пример оформления вызова данных основной надписи (ГОСТ 2.104-2006). (в ред. Изменения N 1, утв. Приказом Ростехрегулирования от 22.06.2006 N 117-ст)