Система стандартов безопасности труда. Воздух рабочей зоны. Требования к методикам измерения концентраций вредных веществ. ГОСТ 12.1.016-79

(утв. Постановлением Госстандарта СССР от 15.05.79 N 1710)
Редакция от 06.06.1983 — Действует с 01.01.1984

МЕЖГОСУДАРСТВЕННЫЙ СТАНДАРТ

СИСТЕМА СТАНДАРТОВ БЕЗОПАСНОСТИ ТРУДА

ВОЗДУХ РАБОЧЕЙ ЗОНЫ

ТРЕБОВАНИЯ К МЕТОДИКАМ ИЗМЕРЕНИЯ КОНЦЕНТРАЦИЙ ВРЕДНЫХ ВЕЩЕСТВ

Occupational safety standards system. Working zone air. Requirements for measurement techniques of unhealthy matters concentrations

ГОСТ 12.1.016-79

(в ред. Изменения N 1)

Дата введения 1982-01-01

Постановлением Государственного комитета СССР по стандартам от 15 мая 1979 г. N 1710 дата введения установлена 1982-01-01 Издание (октябрь 2001 г.) с Изменением N 1, утвержденным в июне 1983 г. (ИУС 9-83)

Ограничение срока действия снято Постановлением Госстандарта от 03.04.92 N 361

1. Стандарт устанавливает единые требования к построению, содержанию, изложению методик измерения концентраций вредных веществ в воздухе рабочей зоны, требования к приборам, аппаратуре, реактивам, отбору проб, подготовке и проведению измерения, обработке результатов.

Стандарт не распространяется на методики измерения концентраций вредных веществ при помощи индикаторных трубок и автоматических газоанализаторов, а также на методики измерения концентраций радиоактивных и бактериальных загрязнений.

Основные понятия терминов, применяемых в стандарте, приведены в приложении 1.

2. Построение, содержание и изложение методик измерения концентраций вредных веществ должны соответствовать требованиям ГОСТ 1.5-93 <1> и ГОСТ 8.010-72 <2>.

<1> На территории Российской Федерации действует ГОСТ Р 1.5-92.0

<2> На территории Российской Федерации действует ГОСТ Р 8.563-96 (здесь и далее).

В связи с утратой силы ГОСТа Р 8.563-96 следует руководствоваться принятым взамен ГОСТом Р 8.563-2009.

3. Методики измерения концентраций вредных веществ, загрязняющих воздух рабочей зоны, должны разрабатываться для веществ, на которые установлены или устанавливаются предельно допустимые концентрации.

4. Методики измерения концентраций вредных веществ должны быть проверены в экспериментальных и производственных условиях и разрабатываться с учетом их широкого использования в различных производствах. В случае ограниченного применения методики должны быть указаны конкретные виды производства, где она может быть использована.

5. В методиках измерения концентраций вредных веществ должны предусматриваться приборы, прошедшие государственные испытания, внесенные в Государственный реестр и выпускаемые серийно, приборы, требования к которым установлены в государственных стандартах, распространяющихся на эти приборы, а также средства измерений, метрологические характеристики которых определены в процессе аттестации методик.

6. В методиках измерения концентраций вредных веществ должны предусматриваться приборы с выходом на цифровой отсчет или с регистрацией показаний в форме, пригодной для статистической обработки, в том числе с выходом на вычислительные устройства.

7. Методики измерения концентраций вредных веществ в соответствии с требованиями ГОСТ 8.010-72 и настоящего стандарта должны быть аттестованы органами ведомственной метрологической службы. Отчет о метрологической аттестации методики должен включать:

расчет погрешности измерения концентрации вредных веществ в воздухе рабочей зоны в соответствии с требованиями ГОСТ 8.207-76, ГОСТ 8.010-72 и настоящего стандарта;

список литературы, использованной при разработке методики;

протокол о производственных испытаниях методики.

8. Методика и отчет о ее метрологической аттестации должны иметь титульные листы, подписанные лицами, проводившими разработку и метрологическую аттестацию методики, утверждены организацией-разработчиком, согласованы с Министерством здравоохранения СССР и ведомственной метрологической службой, проводившей аттестацию методики.

9. Методика должна иметь заглавие, отражающее принцип измерения вредного вещества в воздухе рабочей зоны.

10. Вводная часть методики должна содержать:

название вещества согласно рекомендациям Международного союза чистой и прикладной химии и его химическую формулу;

сведения о физико-химических свойствах вещества (агрегатное состояние в воздухе рабочей зоны, плотность, упругость пара, растворимость);

краткую токсикологическую характеристику с указанием величины пдк в воздухе рабочей зоны;

изложение принципа, на котором основана методика с указанием основных параметров;

условия измерения;

нижний предел измерения концентраций вредных веществ в микрограммах в объеме анализируемого раствора и в миллиграммах на 1 м3 воздуха;

диапазон измеряемых концентраций в миллиграммах на 1 м3 воздуха;

избирательность измерения с указанием влияния концентраций сопутствующих веществ, в миллиграммах на 1 м3 воздуха;

значение погрешности;

время выполнения измерения от отбора пробы до получения информации о концентрации вещества. (в ред. Изменения N 1)

11. В разделе "Приборы, аппаратура, посуда" при использовании аспирационного устройства, погрешность которого неизвестна, погрешность измерения объемного расхода определяют погрешностью средства измерения (например, счетчика газового барабанного ГСБ-400), при помощи которого проводили градуировку устройства. (в ред. Изменения N 1)

12. В разделе "Реактивы и материалы" для применяемых реактивов и материалов должна быть указана нормативно-техническая документация, которой они должны соответствовать, а для реактивов - также их квалификация. (в ред. Изменения N 1)

13. Раздел "Отбор пробы воздуха" должен содержать требования к виду, количеству, порядку соединения поглотительных сосудов, фильтродержателей и других устройств, требования к объему поглотительного раствора, к объемному расходу воздуха, объему отбираемого воздуха, длительности отбора проб в соответствии с ГОСТ 12.1.005-88, требования к срокам и условиям хранения отобранных проб.

13.1. Пробы воздуха на содержание газов и паров должны отбираться в поглотительные сосуды с поглотительными растворами, в концентрационные трубки с сорбентами, в шприцы, пипетки и другие высокоэффективные средства отбора.

13.2. Пробы воздуха на содержание аэрозолей должны отбираться на аналитические аэрозольные фильтры (типа АФА, бумажные, стекловолокнистые и др.).

13.3. Полнота поглощения вредных веществ, загрязняющих воздух рабочей зоны, должна соответствовать требованиям ГОСТ 12.1.005-88 и устанавливаться экспериментально.

14. Раздел "Подготовка к измерению" должен содержать требования ко всем подготовительным работам, предшествующим измерению концентраций вредных веществ: приготовлению стандартных, поглотительных и вспомогательных растворов с указанием сроков их хранения, приготовлению хроматографических колонок, градуировочных смесей вредных веществ с воздухом и т. д., а также требования к установке и подготовке всех средств измерения в соответствии со стандартами и нормативно-технической документацией.

14.1. Концентрации вредных веществ в отобранных пробах воздуха должны измеряться по градуировочному графику или градуировочным коэффициентам. Для построения градуировочного графика проводится 6 серий измерений по 5 - 10 концентраций вредного вещества в каждой серии. Число концентраций устанавливают в каждом конкретном случае в зависимости от погрешности измерения.

14.2. Величины аналитических сигналов концентраций вредных веществ в отобранных пробах воздуха устанавливают по отношению к контрольным растворам, не содержащим измеряемых вредных веществ.

14.3. Проверка градуировочного графика должна проводиться не менее чем по 5 точкам периодически (не реже раза в квартал), а также при изменении условий измерения концентраций вредных веществ. Один раз в год градуировочный график строится заново. (в ред. Изменения N 1)

15. Раздел "Проведение измерения" должен содержать конкретные сведения о числе измерений, необходимых для получения результата с погрешностью, указанной в вводной части методики.

16. Раздел "Обработка результатов" должен содержать указания по расчету концентраций вредных веществ в отобранных пробах воздуха и погрешности измерения.

16.1. Концентрацию вредных веществ в миллиграммах на 1 м3 воздуха (мг/м3) вычисляют по установленным методикой формулам, учитывающим условия отбора и анализа проб (см. приложение 2).

16.2. Погрешность измерения концентраций вредных веществ в воздухе следует рассчитывать в соответствии с МИ 1317-86, ГОСТ 8.207-76 и приложением 3 данного стандарта по всему интервалу измеряемых концентраций не менее чем в 3 - 5 точках. Методика должна содержать требования к случайной составляющей погрешности измерения концентраций вредных веществ. Суммарная погрешность измерения не должна превышать ± 25 %. (в ред. Изменения N 1)

17. Раздел "Требования к квалификации лиц, проводящих измерение концентраций вредных веществ в воздухе" должен содержать требования к образованию, опыту, стажу работы и т. п.

18. Раздел "Требования безопасности" должен содержать конкретные требования безопасности и производственной санитарии при выполнении всех операций по измерению концентраций вредных веществ, соответствовать требованиям государстве иных стандартов и нормативно-технической документации, утвержденной Министерством здравоохранения СССР и другими органами государственного надзора.

ПРИЛОЖЕНИЕ 1
Справочное

ОПРЕДЕЛЕНИЯ ТЕРМИНОВ, ПРИМЕНЯЕМЫХ В СТАНДАРТЕ

(в ред. Изменения N 1)

Термин Определение
1. Рабочая зона По ГОСТ 12.1.005-88
2. Методика измерения концентраций вредных веществ Подробное описание средств измерений условий и операций, которые обеспечивают регламентированные характеристики точности
3. Точность измерения По РМГ 29-99
4. Метод измерения По РМГ 29-99
5. Аналитический сигнал Среднее результатов измерения физической величины, а в заключительной стадии анализа, функционально связанное с содержанием измеряемых компонентов
6. Вредное вещество По ГОСТ 12.1.007-76
7. Проба воздуха Объем воздуха, отобранный для измерения концентраций вредных веществ
8. Предельно допустимая концентрация вредных веществ в воздухе рабочей зоны По ГОСТ 12.1.005-88
9. Избирательность Возможность измерения концентрации вредного вещества на фоне сопутствующих веществ
10. Погрешность По РМГ 29-99
11. Диапазон измеряемых концентраций Область значений измеряемых концентраций, предусмотренная данной методикой
12. Нижний предел измерения Наименьшее значение концентраций, измеряемое с допустимой погрешностью
13. Объемный расход Объем воздуха, равномерно проходящий через систему отбора проб в единицу времени (л/мин)
14. Поглотительный раствор Раствор или растворитель, предназначенные для поглощения вредного вещества из воздуха
15. Стандартные растворы Растворы, содержащие в единице объема определенное количество измеряемого вредного вещества или его химико-аналитического эквивалента
16. Градуировочный график Графическое выражение зависимости аналитического сигнала от концентрации (или количества) вредного вещества
17. Градуировочные растворы Растворы, приготовленные из стандартных и вспомогательных растворов, предназначенные для построения градуировочного графика
18. Градуировочная смесь вредных веществ с воздухом Смесь, содержащая определенные концентрации газов, паров или аэрозолей в воздухе, полученная при помощи дозирующего устройства или динамической установки и предназначенная для построения градуировочного графика
19. Аспирационное устройство Устройство для принудительного протягивания воздуха через поглотительные растворы, сорбенты, фильтры, пипетки

ПРИЛОЖЕНИЕ 2
Справочное

ПРИМЕРЫ РАСЧЕТА КОНЦЕНТРАЦИЙ ВРЕДНЫХ ВЕЩЕСТВ В ВОЗДУХЕ

(в ред. Изменения N 1)

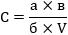
Пример 1. Измерение концентраций вредных веществ, отобранных из воздуха с концентрированием.

Концентрацию вредных веществ (C), отобранных из воздуха с концентрированием и переведенных в раствор, вычисляют по формуле

,

где а - количество вещества, найденное в анализируемом объеме раствора, мкс;

б - объем раствора, взятого для анализа, см3;

в - общий объем раствора, см3;

V - объем воздуха, отобранный для анализа, приведенный к условиям в соответствии с ГОСТ 8.395-80 при температуре 293 К (20 °С) и атмосферном давлении 101,3 кПа (760 мм рт. ст.), л.

При аспирационном способе отбора проб V вычисляют по формуле

,

при вакуумном способе отбора проб V вычисляют по формуле

,

где - объем воздуха при температуре t в месте отбора пробы, дм3;

Р - атмосферное давление, кПа;

- объем сосуда, дм3;

t - температура воздуха в месте отбора пробы, °С;

р - остаточное давление в сосуде, измеренное вакуумметром, кПа.

Пример 2. Измерение концентраций вредных веществ в воздухе без концентрирования.

Концентрацию вредных веществ (C) в воздухе без концентрирования вычисляют по формуле

,

где а - количество вещества, найденное в анализируемой пробе воздуха, мкг;

V - рассчитывают по формуле, принятой для измерения концентраций вредных веществ, отобранных из воздуха с концентрированием.

ПРИЛОЖЕНИЕ 3
Рекомендуемое

РАСЧЕТ ПОГРЕШНОСТИ ИЗМЕРЕНИЯ КОНЦЕНТРАЦИЙ ВРЕДНЫХ ВЕЩЕСТВ В ВОЗДУХЕ РАБОЧЕЙ ЗОНЫ

Расчет погрешности измерения концентраций вредных веществ в воздухе составлен с учетом условий построения градуировочных графиков при применении как градуировочных растворов, так и градуировочных смесей вредных веществ с воздухом.

Погрешность измерения концентраций вредного вещества в воздухе рабочей зоны складывается из суммы неисключенных остатков систематической и случайной погрешностей.

Неисключенная систематическая погрешность обусловливается:

погрешностью приготовления растворов <1> (взятие навески, ее растворение, разбавление растворов и т. п.);

<1> Стандартных, градуировочных, поглотительных, контрольных и вспомогательных растворов, используемых по методике.

погрешностью приготовления градуировочных смесей вредных веществ с воздухом;

погрешностью прибора;

погрешностью построения градуировочного графика;

погрешностью отбора проб воздуха;

погрешностью измерения.

Случайная погрешность обусловливается погрешностями, случайно изменяющимися при повторных измерениях одной и той же величины (в ред. Изменения N 1)

1. Определение неисключенной систематической погрешности измерения концентраций вредных веществ методами, использующими градуировочные растворы

1.1. Погрешность приготовления растворов обусловливают следующие погрешности:

1.1.1. Погрешность реактивов , определяемая их квалификациями и показателями качества.

1.1.2. Погрешность взвешивания навески , например, 0,050 г на весах типа ВЛА-200 с погрешностью, равной 0,0001 г (цена деления весов согласно выпускному аттестату)

<2>,

(в ред. Изменения N 1)

<2> Погрешность взвешивания удваивают, если взвешивание при измерении производят дважды.

1.1.3. Погрешность измерения объема раствора в мерной колбе , например, вместимостью 25 см3 (2-го класса) с погрешностью, равной ± 0,06 см3 согласно ГОСТ 1770-74.

,

(в ред. Изменения N 1)

1.1.4. Погрешность измерения объема раствора пипеткой , например, при измерении объема раствора 1,5 см3 пипеткой вместимостью 2 см3 (2-го класса) с погрешностью, равной половине цены деления ± 0,010 см3.

.

(в ред. Изменения N 1)

Погрешность приготовления растворов рассчитывают по формуле

.

(в ред. Изменения N 1)

1.2. Погрешность прибора определяют его классом в соответствии с научно-технической документацией на прибор (для газового хроматографа погрешность определяют по экспериментальным данным с применением градуировочных растворов или градуировочных смесей вредных веществ с воздухом в соответствии с п. 2.5 настоящего приложения).

1.3. Погрешность построения градуировочного графика рассчитывают по экспериментальным данным по всему интервалу концентраций, для чего проводят 6 серий измерений по 5 - 10 концентрациям вредного вещества в каждой серии.

Данные заносят в таблицу по форме табл. 1.

Таблица 1

Число измерений в серии Концентрация вредного вещества в одном из градуировочных растворов , мкг/мл Величина аналитического сигнала Среднее арифметическое Концентрация, найденная по графику и соответствующая , , %
1 5,0 0,242 0,244 0,002 0,003 0,2
2   0,244   0,000      
3   0,246   0,002      
4   0,247   0,003      
5   0,242   0,000      
6   0,244   0,000      

Далее из погрешности всего интервала концентраций выбирают максимальное значение погрешности, которое принимают за погрешность построения градуировочного графика. Грубые погрешности измерений исключают. (в ред. Изменения N 1)

1.4. Погрешность отбора проб воздуха обусловливают следующие погрешности.

1.4.1. Погрешность измерения объема, отобранного для анализа воздуха , исходя из погрешности аспирационного устройства, указанной в паспорте. (в ред. Изменения N 1)

В случае применения аспирационного устройства, погрешность которого неизвестна, погрешность измерения объемного расхода определяют погрешностью средства измерения (например, счетчика газового барабанного ГСБ-400 и др.), при помощи которого проводили градуировку устройства. (в ред. Изменения N 1)

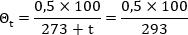
1.4.2. Погрешность измерения температуры исходя из погрешности (класса) термометра или определяемая половиной цены деления термометра.

Например, при погрешности термометра ± 0,5 °С и температуре 20 °С.

.

(в ред. Изменения N 1)

1.4.3. Погрешность измерения атмосферного давления , определяемая погрешностью (классом) барометра или половиной цены деления барометра.

Например, при погрешности барометра ± 0,065 кПа и давлении 101,3 кПа

.

(в ред. Изменения N 1)

1.4.4. Погрешность за счет уноса или проскока измеряемого вредного вещества из поглотительных сосудов, с фильтров и других устройств, определяемая экспериментально при соответствующих объемных расходах путем применения дополнительных устройств.

Максимальные из найденных в дополнительных устройствах значения концентраций принимают за погрешность.

Например, при применении для отбора проб воздуха одного устройства (концентрация измеряемого вредного вещества в котором составляет ) и двух последовательно соединенных устройств (соответственно

концентрации в которых составляют и ) для определения уноса или проскока из первого устройства

.

(в ред. Изменения N 1)

1.4.5. Погрешность измерения концентраций за счет длительности хранения отобранной пробы воздуха (в пределах времени, указанного в методике), определяемая как разность между концентрацией при времени хранения t = 0 и концентрацией , найденной при времени хранения t, допускаемом по методике.

<3>.

(в ред. Изменения N 1)

<3> При для расчета берут абсолютное значение.

1.4.6. Погрешность измерения концентраций за счет влияния сопутствующих веществ , определяемая как разность между концентрацией, найденной без сопутствующих веществ, иконцентрацией в их присутствии (расчет погрешности аналогичен п. 1.4.5).

Погрешность отбора проб воздуха рассчитывают по формуле

<4>.

(в ред. Изменения N 1)

<4> вводят в формулу расчета при условии, когда значение погрешности измерения концентраций вредного вещества с учетом не превышает ± 25 %. В противном случае отмечают неизбирательность методики в присутствии сопутствующих веществ.

1.5. Погрешность измерения концентраций вредных веществ обусловливают:

1.5.1. Погрешность измерения объема отобранной пробы, доведения до метки в мерной посуде, измерения при помощи цилиндра и т. п. , которые рассчитывают в соответствии сп. 1.1.3-1.1.4 настоящего приложения.

1.5.2. Погрешности проведения предварительных операций по обработке отобранной пробы (фильтрование, кипячение, сжигание и т. п.) , которые определяют как разность между известной и полученной концентрациями после проведения указанных операций.

1.5.3. Погрешность измерения величины аналитических сигналов: оптическая плотность, высота волны и т. п., .

Погрешность измерения рассчитывают по формуле

.

Доверительные границы неисключенной погрешности измерений, использующих градуировочные растворы, следует определять по формуле

.

2. Определение неисключенной систематической погрешности измерения концентраций вредных веществ с помощью методов, использующих градуировочные смеси <5>

<5> Для газохроматографических измерений концентраций вредных веществ.

2.1. Погрешность приготовления градуировочных смесей вредных веществ с воздухом обусловлена погрешностью дозирующего устройства или динамической установки, определенной расчетным путем или в сравнении с методом, погрешность которого известна. Для дальнейших расчетов следует брать максимальную погрешность приготовления смесей.

2.2. Погрешность газового хроматографа определяют аналогично п. 1.2 настоящего приложения.

2.3. Погрешность построения градуировочного графика рассчитывают аналогично п. 1.3 настоящего приложения.

2.4. Погрешность отбора проб воздуха обусловливают следующие погрешности.

2.4.1. Погрешность, вызываемая сорбцией вещества стенками стеклянного шприца, пипетки или кран-дозатора хроматографа и потерей вещества вследствие негерметичности в зависимости от концентрации вещества и времени хранения, которую определяют как разность между концентрацией при времени хранения t = 0 и концентрацией, найденной при времени хранения /, допускаемом по методике (рассчитывают аналогично п. 1.4.5).

Для дальнейших расчетов следует брать максимальную погрешность.

2.4.2. Погрешность измерения температуры рассчитывают аналогично п. 1.4.2. (в ред. Изменения N 1)

2.4.3. Погрешность измерения атмосферного давления рассчитывают аналогично п. 1.4.3. (в ред. Изменения N 1)

Погрешность отбора проб воздуха при газохроматографическом измерении рассчитывают по формуле

.

2.5. Погрешность измерения обусловливают погрешность измерения высоты или площади хроматографических пиков и погрешность измерения объема вводимой пробы воздуха за счет отклонения от номинальной вместимости стеклянного шприца или кран-дозатора , исходя из погрешности (класса), указанной в паспорте. (в ред. Изменения N 1)

Погрешность измерения расмсчитывают по формуле

.

(в ред. Изменения N 1)

Доверительные границы неисключенной систематической погрешности газохроматографических измерений, использующих градуировочные смеси вредных веществ с воздухом, рассчитывают по формуле

.

(в ред. Изменения N 1)

3. Оценка границы суммы неисключенных систематических погрешностей измерения

Границы суммы неисключенных систематических погрешностей измерения рассчитывают с использованием данных оценки всех ее составляющих по формуле

,

где К - коэффициент, определяемый принятой доверительной вероятностью, принимаемый равным 1,1 при доверительной вероятности 0,95;

- неисключенные остатки систематических погрешностей измерения, которые слагаются из суммы погрешностей:

приготовления градуировочных растворов или градуировочных смесей вредных веществ с воздухом

.

или ;

прибора ;

построения градуировочного графика ;

отбора проб воздуха ;

измерения .

4. Оценка случайной составляющей погрешности измерения концентраций вредных веществ

Для оценки случайной составляющей погрешности проводят 5 - 10 наблюдений при постоянной концентрации вредного вещества в градуировочном растворе или в градуировочной смеси с воздухом.

Результаты наблюдений заносят в таблицу по форме табл. 2.

Таблица 2

Число наблюдений n Концентрация вредного вещества, мкг/см3, или мг/м3 Среднеарифметическое s
1 11,15 10,74 0,41 0,1681 0,245
2 10,80   0,06 0,0036  
3 10,50   0,24 0,0576  
4 10,60   0,14 0,0196  
5 10,65   0,09 0,0081  
         

где n - число наблюдений;

- числовые значения величин концентраций, найденные в одних и тех же условиях;

- среднеарифметическое значение;

- разость между i - результатом наблюдения () и средним значением ();

s - средне квадратическое отклонение группы результатов наблюдений.

.

Находят относительное среднеквадратическое отклонение результата измерения

,

где n - число измерений, указанное в методике (не менее 5), которое определяют исходя из погрешности результата измерения.

Значения S и определяют не менее чем в 3 - 5 точках по всему диапазону концентраций и выбирают для расчета максимальные значения. (в ред. Изменения N 1)

5. Доверительные границы случайной погрешности

Доверительные границы случайной погрешности результата измерения находят по формуле , где t - коэффициент Стьюдента, который в зависимости от доверительной вероятности и числа результатов наблюдений находят по таблице приложения ГОСТ 8.207-76.

6. Оценка суммарной погрешности результата измерений концентраций вредных веществ

Для расчета суммарной погрешности определяют отношение систематической и случайной составляющих согласно ГОСТ 8.207-76.

Если , то неисключенными систематическими погрешностями пренебрегают.

Если , то пренебрегают случайными погрешностями.

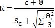
Если , то границу погрешности результатов измерения находят путем построения композиций распределения случайных и неисключенных систематических погрешностей, рассматриваемых как случайные величины по формуле

.

где К - коэффициент, зависящий от соотношения случайной и неисключенной систематической погрешности;

- оценка суммарного среднеквадратического отклонения результата измерения, вычисляемая по формуле

,

где .

Коэффициент К вычисляют по формуле

,

где - доверительные границы случайной погрешности (п. 5 настоящего приложения);

- границы неисключенной систематической погрешности результата измерения (п. 3 настоящего приложения) . (в ред. Изменения N 1)

ПРИМЕЧАНИЯ ФГУП "СТАНДАРТИНФОРМ"

1 На первой странице под наименованием стандарта на английском языке дополнить кодом: МКС 13.040.30 (указатель "Национальные стандарты", 2008)

2 Пункт 2

ГОСТ 1.5-93 заменен на ГОСТ 1.5-2001

3 Сноска

ГОСТ 1.5-92 заменен на ГОСТ Р 1.5-2004