Система обеспечения точности геометрических параметров в строительстве. Статистический анализ точности. ГОСТ 23615-79

(утв. Постановлением Госстроя СССР от 12.04.79 N 55)
Редакция от 01.06.1986 — Документ не действует

МЕЖГОСУДАРСТВЕННЫЙ СТАНДАРТ

СИСТЕМА ОБЕСПЕЧЕНИЯ ТОЧНОСТИ ГЕОМЕТРИЧЕСКИХ ПАРАМЕТРОВ В СТРОИТЕЛЬСТВЕ

СТАТИСТИЧЕСКИЙ АНАЛИЗ ТОЧНОСТИ

System for ensuring accuracy of geometrical parameters in construction. Statistical analysis of accuracy

ГОСТ 23615-79

(в ред. Изменения N 1)

Дата введения
1 января 1980 года

Постановлением Государственного комитета СССР по делам строительства от 12 апреля 1979 г. N 55 дата введения установлена 1 января 1980 года (в ред. Изменения N 1)

Настоящий стандарт устанавливает общие правила статистического анализа точности геометрических параметров при изготовлении строительных элементов (деталей, изделий, конструкций), выполнении разбивочных работ в процессе строительства и установке элементов в конструкциях зданий и сооружений.

Стандарт распространяется на технологические процессы и операции массового и серийного производства.

Применяемые в стандарте термины по статистическому анализу и контролю соответствуют приведенным в ГОСТ 15895-77 <*>.

<*> На территории Российской Федерации действуют ГОСТ Р 50779.10-2000, ГОСТ Р 50779.11-2000.

Стандарт полностью соответствует СТ СЭВ 5061-85. (в ред. Изменения N 1)

1. ОБЩИЕ ПОЛОЖЕНИЯ

1.1. Статистическим анализом устанавливают закономерность распределения действительных значений геометрических параметров конструкций зданий и сооружений и их элементов и определяют статистические характеристики точности этих параметров.

1.2. На основе результатов статистического анализа:

производят оценку действительной точности и устанавливают возможности технологических процессов и операций по ее обеспечению;

определяют возможность применения статистических методов регулирования точности по СТ СЭВ 2835-80 и контроля точности по ГОСТ 23616-79; (в ред. Изменения N 1)

проверяют эффективность применяемых методов регулирования и контроля точности при управлении технологическими процессами. (в ред. Изменения N 1)

1.3. Статистический анализ точности выполняют отдельно по каждому геометрическому параметру в последовательности: (в ред. Изменения N 1)

в зависимости от характера производства образуют необходимые выборки и определяют действительные отклонения параметра от номинального; (в ред. Изменения N 1)

рассчитывают статистические характеристики действительной точности параметра в выборках; (в ред. Изменения N 1)

проверяют статистическую однородность процесса - согласие опытного распределения действительных отклонений параметра с теоретическим и стабильность статистических характеристик в выборках; (в ред. Изменения N 1)

оценивают точность технологического процесса и, в зависимости от цели анализа, принимают решение о порядке применения его результатов. (в ред. Изменения N 1)

1.4. Статистический анализ точности следует проводить после предварительного изучения состояния технологического процесса в соответствии с требованиями СТ СЭВ 2835-80 и его наладки по полученным результатам. (в ред. Изменения N 1)

1.5. Действительные отклонения геометрического параметра в выборках определяют в результате его измерений в соответствии с требованиями ГОСТ 23616-79 и ГОСТ 26433.0-85. (в ред. Изменения N 1)

2. ОБРАЗОВАНИЕ ВЫБОРОК

2.1. В качестве исследуемой генеральной совокупности принимают объем продукции или работ (например, разбивочных), производимый на технологической линии (потоке, участке и т.п.) при неизменных типовых условиях производства в течение определенного времени, достаточного для характеристики данного процесса.

2.2. Статистический анализ точности выполняют по действительным отклонениям параметра в представительной объединенной выборке, состоящей из не менее чем 100 объектов контроля и получаемой путем последовательного отбора из исследуемой совокупности серии выборок малого объема.

Эти выборки отбирают через равные промежутки времени, определяемые в зависимости от объема производства и особенностей технологического процесса. (в ред. Изменения N 1)

2.3. При анализе точности процессов изготовления элементов массового производства, когда на каждой единице или комплекте технологического оборудования постоянно в достаточно большом объеме производится однотипная продукция (например, кирпич, асбестоцементные листы), отбирают серию мгновенных выборок одинакового объема n=510 единицам.

2.4. При анализе точности изготовления элементов серийного производства, когда достаточный объем продукции может быть получен с нескольких однотипных единиц технологического оборудования (например, производство железобетонных изделий ряда видов, сборка металлоконструкций и т.п.), отбирают серию выборок одинакового объема n30 единицам. Эти выборки могут быть составлены из изделий, отбираемых при приемочном контроле нескольких последовательных или параллельных партий продукции. (в ред. Изменения N 1)

2.5. При анализе точности разбивки осей и установки элементов образуют серию выборок одинакового объема из n30 закрепленных в натуре ориентиров или элементов, установленных на одном или нескольких монтажных горизонтах. (в ред. Изменения N 1)

2.6. Порядок формирования выборки для обеспечения ее представительности и случайности определяют в соответствии с характером объекта исследований и требованиями ГОСТ 18321-73.

3. РАСЧЕТ СТАТИСТИЧЕСКИХ ХАРАКТЕРИСТИК ТОЧНОСТИ

3.1. При проведении статистического анализа вычисляют выборочные средние отклонения, а также выборочные среднеквадратичные отклонения или размахи действительных отклонений в выборках. (в ред. Изменения N 1)

Примечание. При анализе точности конфигурации элементов выборочные средние отклонения не вычисляют. (в ред. Изменения N 1)

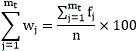
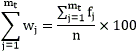
3.2. Выборочное среднее отклонение в выборках малого объема и в объединенной выборке вычисляют по формуле

, (1) (в ред. Изменения N 1)

где - действительное отклонение; (в ред. Изменения N 1)

n - объем выборки. (в ред. Изменения N 1)

3.3. Выборочное среднеквадратичное отклонение в выборках малого объема n30 единицам и в объединенной выборке вычисляют по формуле (в ред. Изменения N 1)

. (2) (в ред. Изменения N 1)

В случаях, когда выборочное среднее отклонение в соответствии с примечанием к п. 3.1 не вычисляют, значение в формуле (2) принимают равным нулю. (в ред. Изменения N 1)

3.4. Размахи действительных отклонений параметра определяют в выборках малого объема из n=510 единицам по формуле (в ред. Изменения N 1)

, (3) (в ред. Изменения N 1)

где и - наибольшее и наименьшее значения в выборке. (в ред. Изменения N 1)

3.5. Порядок расчета статистических характеристик приведен в Приложении 1.

3.6. В качестве статистических характеристик точности процесса принимают значения и в объединенной выборке, если результаты проведенной в соответствии с разд. 4 проверки подтвердили статистическую однородность процесса.

Значения , и в выборках малого объема используют при проверке однородности процесса. (в ред. Изменения N 1)

4. ПРОВЕРКА СТАТИСТИЧЕСКОЙ ОДНОРОДНОСТИ ПРОЦЕССА

4.1. При проверке статистической однородности процесса устанавливают: (в ред. Изменения N 1)

согласие распределения действительных отклонений параметра в объединенной выборке с теоретическим; (в ред. Изменения N 1)

стабильность выборочного среднего отклонения , значение которого характеризует систематические погрешности процесса; (в ред. Изменения N 1)

стабильность выборочного среднеквадратичного отклонения или размаха , значения которых характеризуют случайные погрешности прогресса. (в ред. Изменения N 1)

4.2. Согласие распределения действительных отклонений параметра с теоретическим устанавливают по нормативно-технической документации. (в ред. Изменения N 1)

Допускается использование других методов, принятых в математической статистике (например, построение ряда отклонений на вероятностной бумаге и т.д.). (в ред. Изменения N 1)

4.3. При нормальном распределении геометрического параметра стабильность статистических характеристик в мгновенных выборках и выборках малого объема n30 единицам проверяют по попаданию их значений в доверительные интервалы, границы которых вычисляют для доверительной вероятности не менее 0,95. (в ред. Изменения N 1)

В случае, если гипотеза о нормальном распределении геометрического параметра не может быть принята, применяют другие методы математической статистики. (в ред. Изменения N 1)

4.4. Пункт исключен. (в ред. Изменения N 1)

4.5. Проверку статистической однородности технологических процессов изготовления строительных элементов, а также геометрических параметров зданий и сооружений допускается выполнять упрощенным способом в соответствии с Приложением 1.

Пример проверки приведен в Приложении 2. (в ред. Изменения N 1)

4.6. Процесс считается статистически однородным по данному геометрическому параметру, если распределение действительных отклонений в объединенной выборке приближается к нормальному и характеристики точности в серии выборок, составивших объединенную выборку, стабильны во времени.

4.7. В случае, если распределение действительных отклонений не соответствует нормальному, а характеристики точности в серии выборок малого объема не стабильны, процесс не может считаться налаженным и установившимся. В этом случае следует ввести операционный контроль, установить причины нестабильности точности и произвести соответствующую настройку оборудования, после чего повторить анализ.

В любом случае систематическая погрешность, по абсолютной величине превышающая значение 1,643, должна быть устранена регулированием. (в ред. Изменения N 1)

5. ОЦЕНКА ТОЧНОСТИ ПРОЦЕССА

5.1. На основании результатов статистического анализа устанавливают возможность процесса обеспечивать точность параметра в соответствии с определенным классом точности по ГОСТ 21779-82. (в ред. Изменения N 1)

5.2. Класс точности определяют из условия (в ред. Изменения N 1)

, (4) (в ред. Изменения N 1)

где - ближайшее большее к значению значение допуска для данного интервала номинального размера в соответствующих таблицах ГОСТ 21779-82; (в ред. Изменения N 1)

t - коэффициент, принимаемый по таблице настоящего стандарта в зависимости от значения приемочного уровня дефектности AQL, принятого при контроле точности по ГОСТ 23616-79. (в ред. Изменения N 1)

AQL, % 0,25 1,5 4,0 10,0
t 3,0 2,4 2,1 1,6

(в ред. Изменения N 1)

5.3. Для сопоставления уровня точности различных производств или в различные промежутки времени следует использовать показатель уровня точности h, характеризующий запас точности по отношению к допуску и определяемый по формуле (в ред. Изменения N 1)

, (5) (в ред. Изменения N 1)

где - выборочное среднеквадратичное отклонение, определяемое для статистически однородного процесса в случайных выборках объемом не менее 30 единиц. (в ред. Изменения N 1)

5.4. Если h по абсолютному значению оказывается меньше чем 0,14, то следует считать, что запас точности отсутствует.

Если h отрицательна и по своему абсолютному значению превышает 0,14, то это означает, что процесс перешел в более низкий класс точности.

При значении h, приближающемся к 0,5, следует проверить возможность отнесения процесса к более высокому классу точности.

Приложение 1

Рекомендуемое

ПОРЯДОК РАСЧЕТА СТАТИСТИЧЕСКИХ ХАРАКТЕРИСТИК И ПРОВЕРКИ СТАТИСТИЧЕСКОЙ ОДНОРОДНОСТИ ПРОЦЕССА УПРОЩЕННЫМ СПОСОБОМ

(в ред. Изменения N 1)

1. Действительные отклонения в выборках объемом n=510 единиц вносят в хронологическом порядке в табл. 1.

Таблица 1

Форма таблицы для расчета характеристик и в мгновенных выборках объемом n=510

Дата измерений          
Номер выборки 1 2 3 ... ...
  i=1
2
3
4
.
.
.
n
         
=          
=          
=          
=          
=          

Характеристики и вычисляют по формулам (1) и (3) настоящего стандарта.

2. Действительные отклонения в каждой из выборок объема n30 единицам вносят в табл. 2.

Таблица 2

Форма таблицы для расчета характеристик и в выборках объемом n30

Номер п/п
1
2
3
.
.
n
       
   

В каждой строчке вычисляют значения , (), , складывают результаты вычислений по каждой графе и проверяют их правильность тождеством

.

Характеристики и вычисляют по формулам (1) и (2), подставляя в них подсчитанные по табл. 2 значения и .

3. Для расчета характеристик точности в объединенной выборке и проверки согласия действительного распределения с теоретическим действительные отклонения из всех выборок малого объема выписывают в порядке их возрастания, и полученное поле рассеяния между наименьшим и наибольшим отклонениями разбивают на интервалы распределения, равные цене деления измерительного инструмента, принимая целые числа за середины интервалов (j= 1, 2, 3..., m - количество интервалов).

4. Подсчитывают количество отклонений, относящихся к каждому интервалу (частоты ), и по форме табл. 3 (левая часть) строят гистограмму действительных отклонений, откладывая по вертикали интервалы распределения, а по горизонтали - соответствующие им частоты.

Таблица 3

Форма таблицы для построения гистограммы и расчета характеристик и в объединенной выборке

Центры интервалов распределения , мм Частота отклонений в интервалах
1 2 3 4 5 6 7 8 9 10 11 12 ...
1 2 3 4 5 6 7 8 9
                                       
...                                        
+1                                        
0                                        
-1                                        
...                                        
                                       
                            = - - - = =

При построении гистограммы следует учитывать, что отклонения конфигурации элементов всегда имеют положительный знак.

В правую часть табл. 3 заносят значения , (), , , , , вычисленные для каждого значения , принятого за середину интервала, и проверяют правильность вычислений тождеством

.

Значения и вычисляют по преобразованным формулам (1) и (2):

, (1а)

, (2а)

подставляя в них соответствующие суммы чисел из таблицы.

После вычисления и действительные отклонения , выходящие за пределы интервалов, в которые попадают значения 3, исключают из гистограммы и табл. 3 как грубые ошибки, после чего уточняют значения и .

5. На полученной гистограмме по характеристикам и строят кривую нормального распределения. С этой целью в соответствии с табл. 4 вычисляют значения и частоты f, соответствующие нормальному распределению, и, отложив эти значения на вертикальной и горизонтальной шкале левой части табл. 3, по полученным на гистограмме точкам с координатами и f строят плавную кривую.

Таблица 4

2 3
f

Значение определяют по формуле

,

а для отклонений конфигурации - по формуле

.

6. При отсутствии на гистограмме резких отличий от построенной кривой (пиков распределения у ее границ, явно выраженных нескольких вершин и т.п.) по интервалам распределения, расположенным за пределами t при t=2; 2,4 и 3, определяют сумму частостей действительных отклонений в процентах по формуле

,

где - число интервалов за пределами t.

Распределение считают приближающимся к нормальному, если найденные суммы частостей не превышают соответствующих значений, приведенных в табл. 5.

Таблица 5

t 2,0 2,4 3,0
12,5 8,6 5,55

7. Стабильность выборочного среднего отклонения и размахов в серии мгновенных выборок проверяют условиями:

,

,

где и - коэффициенты, принимаемые по табл. 6 в зависимости от объема мгновенных выборок n.

Таблица 6

n
5 1,34 4,89
6 1,22 5,04
7 1,13 5,16
8 1,06 5,25
9 1,00 5,34
10 0,95 5,43

При устойчивом технологическом процессе не менее 95% значений и должны соответствовать указанным условиям.

8. Стабильность характеристик и в серии выборок объемом проверяется вычислением показателей и по формулам:

,

где и - соответственно наибольшее и наименьшее значения характеристики в серии выборок;

,

где и - соответственно наибольшее и наименьшее значения характеристики в серии выборок;

и - значения характеристики в выборках с характеристиками и .

Характеристики и в серии выборок считаются стабильными, если 1,5, 2,0.

Приложение 2

Справочное

ПРИМЕР ПРОВЕРКИ СТАТИСТИЧЕСКОЙ ОДНОРОДНОСТИ ТЕХНОЛОГИЧЕСКОГО ПРОЦЕССА

(в ред. Изменения N 1)

Необходимо произвести проверку статистической однородности технологического процесса изготовления панелей наружных стен. Анализируемый параметр - длина. Номинальные длины панелей всех марок находятся в интервале от 2500 до 4000 мм. Панели изготавливают в горизонтальных формах, объем выпуска - 25 панелей в смену. Парк форм для изготовления панелей - 96 шт., каждая из которых имеет свои действительные внутренние размеры, влияющие на точность соответствующих размеров панелей. Подобный технологический процесс относится к процессам серийного производства.

1. Для составления выборки объемом n30 изделий ежедневно в течение трех дней записывали действительные отклонения длины панелей, которые контролировали в соответствии с ГОСТ 11024-84 (по 5 изделий в каждую смену). Из накопленных 45 действительных отклонений были исключены пять отклонений длины изделий из форм, которые попали в контроль повторно.

Результаты измерений были округлены до целых значений в мм и занесены в табл. 1, составленную по форме табл. 2 Приложения 1, после чего в табл. 1 были выполнены необходимые вычисления.

Таблица 1

Номер п/п
1 2 3 4 5
1 +4 16 +5 25
2 -3 9 -2 4
3 -1 1 0 0
4 +2 4 +3 9
5 -1 1 0 0
6 0 0 +1 1
7 -4 16 -3 9
8 -1 1 0 0
9 +2 4 +3 9
10 +1 1 +2 4
11 +4 16 +5 25
12 +1 1 +2 4
13 +1 1 +2 4
14 +3 9 +4 16
15 +2 4 +3 9
16 0 0 +1 1
17 +5 25 +6 36
18 +3 9 +4 16
19 +1 1 +2 4
20 +2 4 +3 9
21 +6 36 +7 49
22 +2 4 +3 9
23 +2 1 +2 4
24 +7 49 +8 64
25 +3 9 +4 16
26 +2 4 +3 9
27 +1 1 +2 4
28 0 0 +1 1
29 +3 9 +4 16
30 +2 4 +3 9
31 0 0 +1 1
32 +5 25 +6 36
33 +6 36 +7 49
34 +2 4 +3 9
35 +1 1 +2 4
36 -3 9 -2 4
37 +2 4 +3 9
38 +3 9 +4 16
39 +4 16 +5 25
40 -5 25 -4 16
   

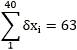
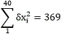
Правильность заполнения таблицы в соответствии с п. 1 Приложения 1 была проверена тождеством

;

535 = 369 + 2 63 + 40,

после чего по формулам (1) и (2) определены

;

.

2. В течение последующих пяти месяцев в аналогичном порядке были образованы еще пять выборок того же объема n, для каждой из которых были вычислены те же статистические характеристики и .

Сроки отбора выборок устанавливались таким образом, чтобы время между соседними выборками было больше, чем время формирования выборки.

Результаты вычислений статистических характеристик по всем выборкам приведены в табл. 2.

Таблица 2

Номер п/п Месяц, год n
1 05.78 40 1,57 2,60
2 06.78 40 1,43 2,13
3 07.78 40 0,92 2,22
4 08.78 40 1,05 2,35
5 09.78 40 1,36 2,18
6 10.78 40 0,87 2,57

3. Из действительных отклонений во всех выборках были выбраны наибольшее мм и наименьшее мм значения и поле рассеяния между ними разделено на 18 интервалов по 1 мм с границами, равными 10,5; 9,5; 8,5; 7,5 мм и т.д. Центры интервалов, выраженные целыми числами (=10, 9, 8, 7 мм и т.д.), были внесены в графу 2 табл. 3.

Таблица 3

Гистограмма действительных отклонений и таблица расчета статистических характеристик

Действительные отклонения из всех выборок были распределены по интервалам, после чего было подсчитано количество отклонений в каждом интервале (частоты), построена гистограмма и выполнены все промежуточные вычисления в таблице. Правильность заполнения таблицы в соответствии с п. 4 Приложения 1 была проверена тождеством

;

2777 = 1935 + 2 301 + 240.

Характеристики и были вычислены по формулам (1а) и (2а) Приложения 1:

;

.

Далее вычислены значения

;

.

Отклонения, вышедшие за пределы, ограниченные вычисленными значениями и равные +10 мм, +9 мм и -7 мм, были исключены из объединенной выборки как грубые ошибки, после чего в двух последних графах табл. 3 были произведены соответствующие вычисления, определены новые значения сумм и и уточнены характеристики

;

.

4. Для построения на чертеже гистограммы кривой нормального распределения в соответствии с п. 4 Приложения 1 были вычислены координаты точек кривой - отклонения и соответствующие им частоты f.




По полученным координатам и f на гистограмме были найдены характерные точки, по которым была построена теоретическая кривая нормального распределения.

Очертания гистограммы практически можно считать совпадающими с кривой нормального распределения.

Для завершения проверки по гистограмме были суммированы частоты по интервалам, расположенным за границами t при t=2,0; 2,4; 3,0, и определены соответствующие им суммы частостей.

Сравнение сумм частостей в табл. 4 с допустимыми значениями в табл. 5 Приложения 1 показывает, что исследуемое распределение можно считать приближающимся к нормальному.

Таблица 4

Границы t Сумма частот за границами Сумма частостей Допустимые суммы частостей по табл.5
приложения 1
t=3,0; 1,27,2 мм 3 5,55
t=2,4; 1,25,8 мм 8 8,60
t=2,0; 1,24,8 мм 19 12,50

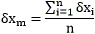
5. Для проверки стабильности характеристики из табл. 2 были выбраны наибольшее и наименьшее значения =2,6 мм и =2,13 мм и вычислена характеристика

.

Характеристика в серии выборок стабильна, так как =1,49<1,50 (см. п. 8 Приложения 1).

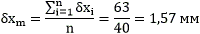
Для проверки стабильности характеристики из табл. 2 были выбраны наибольшее и наименьшее значения =1,57 мм и =0,87 мм, соответствующие им значения =2,6 мм и =2,57, и вычислена характеристика

.

Характеристика в серии выборок стабильна, так как =1,26 < 2 (см. п. 8 Приложения 1).

6. На основании проверки технологический процесс изготовления панелей наружных стен по параметру "длина панелей" можно считать статистически однородным.

Так как систематическая погрешность, равная найденному выборочному среднему отклонению =1,2 мм, превышает значение мм, то в соответствии с п. 4.7 настоящего стандарта она должна быть устранена регулированием внутренних размеров форм.

7. Для определения класса точности по длине панелей в соответствии с п. 5.2 настоящего стандарта определяем значение

мм.

Значение t принято по таблице п. 5.2 настоящего стандарта для приемочного уровня дефектности AQL, выбранного по ГОСТ 23616-79.

В соответствии с табл. 1 ГОСТ 21779-82 ближайшее большее значение допуска для интервала номинальных размеров от 2500 до 4000 мм равняется 10 мм, что соответствует 5-му классу точности.

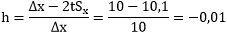
По формуле (5) настоящего стандарта вычисляем значение

.

В соответствии с п. 5.4 настоящего стандарта можно сделать вывод, что запас точности отсутствует, так как 0,01 < 0,14.