Система обеспечения точности геометрических параметров в строительстве. Правила выполнения измерений. Общие положения. ГОСТ 26433.0-85

(утв. Постановлением Госстроя СССР от 17.10.84 N 174)
Редакция от 16.10.1984 — Документ не действует

ГОСУДАРСТВЕННЫЙ СТАНДАРТ СОЮЗА ССР

СИСТЕМА ОБЕСПЕЧЕНИЯ ТОЧНОСТИ ГЕОМЕТРИЧЕСКИХ ПАРАМЕТРОВ В СТРОИТЕЛЬСТВЕ

ПРАВИЛА ВЫПОЛНЕНИЯ ИЗМЕРЕНИЙ

ОБЩИЕ ПОЛОЖЕНИЯ

System of ensuring geometrical parameters accuracy in construction. Rules of measurement. General

ГОСТ 26433.0-85

Разработан: Зональным научно-исследовательским и проектным институтом типового и экспериментального проектирования жилых и общественных зданий (ЛенЗНИИЭП) Госгражданстроя; Центральным ордена Трудового Красного Знамени научно-исследовательским и проектным институтом типового и экспериментального проектирования жилища (ЦНИИЭП жилища) Госгражданстроя; Центральным научно-исследовательским и проектно-экспериментальным институтом организации, механизации и технической помощи строительству (ЦНИИОМПТ) Госстроя СССР.

Исполнители: Л.Н. Ковалис (руководитель темы); Г.Б. Шойхет, канд. техн. наук; М.С. Кардаков; С.Н. Панарин, канд. техн. наук; А.В. Цареградский; Н.М. Штейнберг, канд. техн. наук; Г.Д. Костина, канд. техн. наук; В.С. Сытник, канд. техн. наук; С.Е. Чекулаев, канд. техн. наук; В.Д. Фельдман, канд. техн. наук; В.В. Тишенко.

Внесен Зональным научно-исследовательским и проектным институтом типового и экспериментального проектирования жилых и общественных зданий (ЛенЗНИИЭП) Госгражданстроя.

Директор В.В. Судаков.

Утвержден и введен в действие Постановлением Государственного комитета СССР по делам строительства от 17 октября 1984 г. N 174.

1. Настоящий стандарт распространяется на здания, сооружения и их элементы и устанавливает общие положения по проведению линейных и угловых измерений при контроле точности геометрических параметров по ГОСТ 23616-79, а также в процессе выполнения разбивочных работ в строительстве, изготовления и установки элементов.

Стандарт не распространяется на измерения, проводимые при государственных испытаниях, аттестации и поверке средств измерения.

Применяемые в стандарте термины по измерениям соответствуют ГОСТ 16263-70.

2. Объектами измерений являются:

- строительные элементы (изделия);

- строительные конструкции зданий и сооружений на отдельных этапах их возведения и после завершения строительно-монтажных работ;

- плановые и высотные разбивочные сети и их элементы, в том числе создаваемые на монтажном горизонте;

- формующее оборудование, приспособления и оснастка для изготовления и монтажа, определяющие точность строительных конструкций.

3. Измерениям подлежат геометрические параметры, требования к точности которых установлены в нормативно-технической, проектной и технологической документации на объекты измерения.

4. Измерения проводят в соответствии с требованиями настоящего стандарта и других государственных стандартов по правилам выполнения измерений Системы обеспечения точности геометрических параметров в строительстве.

В нормативно-технической и в технологической документации на конкретные объекты измерения на основе этих стандартов устанавливают предельную погрешность измерений, применяемые методы и средства и, при необходимости, способы обработки результатов наблюдений.

5. Выбор методов и средств измерений

5.1. Методы и средства измерений принимают в соответствии с характером объекта и измеряемых параметров из условия

, (1)

где - расчетная суммарная погрешность принимаемого метода и средства измерения;

- предельная погрешность измерения.

5.2. Расчетную погрешность определяют согласно рекомендуемому Приложению 1.

5.3. Предельную погрешность определяют из условия

, (2)

где - допуск измеряемого геометрического параметра, установленный нормативно-технической документацией на объект измерения;

K - коэффициент, зависящий от цели измерений и характера объекта.

Для измерений, выполняемых в процессе и при контроле точности изготовления и установки элементов, а также при контроле точности разбивочных работ принимают K=0,2.

Для измерений, выполняемых в процессе производства разбивочных работ, K=0,4.

5.4. При выборе методов и средств измерения следует учитывать необходимость обеспечения минимальных затрат на выполнение измерений и их обработку и наиболее полного исключения систематических погрешностей.

5.5. Средства измерений должны отвечать требованиям ГОСТ 8.002-71 и ГОСТ 8.326-78.

6. Выполнение измерений

6.1. При подготовке к измерениям должен быть обеспечен свободный доступ к объекту измерения и возможность размещения средств измерения. Места измерений, при необходимости, должны быть очищены, размечены или замаркированы. Средства измерений должны быть проверены и подготовлены в соответствии с инструкцией по их эксплуатации.

При подготовке и в процессе измерений должно быть обеспечено соблюдение требований безопасности труда.

6.2. В качестве нормальных условий измерений, если другое не установлено в нормативно-технической документации на объект измерения, принимают:

температуру окружающей среды 293 К (20 °C);

атмосферное давление 101,3 кПа (760 мм рт. ст.);

относительную влажность окружающего воздуха 60%;

относительную скорость движения внешней среды 0 м/с.

6.3. При выполнении измерений в условиях, отличающихся от нормальных, следует, при необходимости, фиксировать действительные значения указанных в п. 6.2 величин для внесения поправок в результаты измерений в соответствии с п. 7.2.

6.4. Каждый геометрический параметр строительных элементов, конструкций, оборудования измеряют, как правило, в нескольких наиболее характерных сечениях или местах, которые указываются в нормативно-технической, проектной или технологической документации на объект измерения.

6.5. Измерения выполняют, как правило, двойными наблюдениями параметра в каждом из установленных сечений или мест (при числе повторных наблюдений в каждом сечении или месте m, равном двум).

При выполнении и контроле точности разбивочных работ, а также при установке формующего оборудования, приспособлений и оснастки и в других случаях, когда требуется повышенная точность, могут проводиться многократные наблюдения при числе повторных наблюдений m более 2.

При наличии наблюдений с грубыми погрешностями выполняют дополнительные наблюдения.

6.6. Для уменьшения влияния систематических погрешностей на результат измерения наблюдения производят в прямом и обратном направлениях, на разных участках шкалы отсчетного устройства, меняя установку и настройку прибора и соблюдая другие приемы, указанные в инструкции по эксплуатации на средства измерения. При этом должны быть соблюдены условия равноточности наблюдений (выполнение наблюдений одним наблюдателем, тем же методом, с помощью одного и того же прибора и в одинаковых условиях).

Перед началом наблюдений средства измерений следует выдерживать на месте измерений до выравнивания температур этих средств и окружающей среды.

7. Обработка результатов наблюдений и оценка точности измерений

7.1. Результатом прямого измерения геометрического параметра x в каждом сечении или месте является среднее арифметическое значение из m результатов наблюдений этого параметра, принимаемое за действительное значение параметра x в данном сечении или месте.

, (3)

где i = 1...n - число сечений или мест;

j = 1...m - число наблюдений в каждом сечении или месте.

При этом действительное отклонение параметра x от его номинального значения определяют по формуле

. (4)

При непосредственном измерении отклонения параметра x в качестве действительного отклонения принимают среднее арифметическое значение из m наблюдений этого отклонения в каждом установленном сечении или месте

. (5)

7.2. Перед вычислением и исключают результаты наблюдений, выполненных с грубыми погрешностями, и в соответствии с рекомендуемым Приложением 2 вводят поправки для исключения известных систематических погрешностей, в том числе возникающих из-за несоответствия условий измерения нормальным.

7.3. При выполнении косвенных измерений значения и вычисляют по известным геометрическим зависимостям между ними и непосредственно измеряемыми параметрами.

7.4. Если требования к точности геометрического параметра в нормативно-технической документации на объект измерения выражены в виде предельных размеров , и результат измерения данного параметра отвечает условию

,

требования к точности параметра считают выполненными.

Требования к точности параметра, выраженные в виде предельных отклонений и , считают выполненными, если результат измерения отвечает условию

,

7.5. Оценку точности измерений производят сравнением действительной погрешности с предельной погрешностью измерений.

Оценку точности измерений производят в соответствии с рекомендуемым Приложением 3 каждый раз при освоении методов и средств измерений, периодически - при изменении условий измерений, а также в других случаях, предусмотренных нормативно-технической документацией на объект измерения.

При выполнении разбивочных работ оценку точности измерений производят каждый раз после окончания измерений.

Действительная погрешность выполненных измерений не должна превышать ее предельного значения, определяемого в соответствии с п. 5.3.

Приложение 1

Рекомендуемое

РАСЧЕТ ПОГРЕШНОСТИ ПРИ ВЫБОРЕ МЕТОДОВ И СРЕДСТВ ИЗМЕРЕНИЙ

1. Определяют предельную погрешность измерения в соответствии с п. 5.3 настоящего стандарта.

2. Принимают предварительно метод и соответствующие ему средства измерений.

3. Устанавливают перечень и определяют значения систематических и случайных составляющих погрешностей, влияющих на суммарную погрешность результата измерения.

При этом учитывают:

погрешности средства измерения, которые принимают по результатам его государственной или ведомственной поверки из свидетельства о поверке или из эксплуатационной документации на средство измерения;

погрешности принятого метода измерений. Их устанавливают на основе анализа приемов и операций, которые могут быть источниками погрешностей;

погрешности измерения значений параметров (температуры окружающего воздуха, давления и т.д.), определяющих нормальные условия измерений.

4. Вычисляют расчетную погрешность измерения по одной из формул:

(1)

или

, (2)

где - случайные составляющие погрешности;

- систематические составляющие погрешности;

- средние квадратические случайные составляющие погрешности;

- средние квадратические систематические составляющие погрешности;

p=1, 2...r - число случайных составляющих погрешностей;

q=1, 2...u - число систематических составляющих погрешностей;

, - коэффициенты, учитывающие характер зависимости между суммарной и каждой из составляющих погрешностей измерения.

При расчете по указанным формулам принимается, что составляющие погрешности независимы между собой или слабо коррелированы.

5. Для случаев, когда процесс измерения состоит из большого числа отдельных операций, на основе принципа равных влияний определяют среднее значение составляющих погрешностей по формуле

, (3)

где r - число случайных составляющих погрешностей;

u - число систематических составляющих погрешностей.

Выделяют те составляющие погрешности, которые легко могут быть уменьшены, увеличивая соответственно значения тех составляющих погрешностей, которые трудно обеспечить имеющимися методами и средствами.

6. Проверяют соблюдение условия (1) настоящего стандарта и в случае несоблюдения этого условия назначают более точные средства или принимают другой метод измерения.

7. Вычисления расчетной погрешности измерения могут не производиться, если принимают стандартный метод с известной для данных условий погрешностью измерения.

Пример. Выбрать средство измерения для контроля длины изделия, L=36002,0 мм (=4 мм, ГОСТ 21779-82).

Решение.

1. Определяем предельную погрешность измерения по условию (2) п. 5.3:

мм.

2. Для выполнения измерений применяем имеющуюся на заводе 10-метровую металлическую рулетку 3-го класса точности ЗПК3-10АУТ/10 ГОСТ 7502-80.

3. В суммарную погрешность измерения длины изделия рулеткой входят составляющие погрешности: - поверки рулетки; - от погрешности измерения температуры окружающей среды; - от колебания силы натяжения рулетки; - снятия отсчетов по шкале рулетки на левом и правом краях изделия.

Определяем значения этих погрешностей.

3.1. Погрешность поверки рулетки в соответствии с ГОСТ 8.301-78 принимаем равной 0,2 мм.

3.2. Погрешность от измерения температуры окружающей среды термометром с ценой деления 1 °C (погрешность измерения равна 0,5 °C) составляет

мм.

3.3. Погрешность от колебания силы натяжения рулетки составляет

мм,

где - погрешность натяжения рулетки вручную;

F = 2 - площадь поперечного сечения рулетки;

- модуль упругости материала рулетки.

3.4. Экспериментально установлено, что погрешность снятия отсчета по шкале рулетки не превышает 0,3 мм, при этом погрешность снятия отсчетов на левом и правом краях изделия составит

мм.

4. Определяем расчетную суммарную погрешность измерения по формуле (1) настоящего приложения, учитывая, что - систематическая погрешность, а , и - случайные:

мм.

5. Данные метод и средство измерения могут быть приняты для выполнения измерений, так как расчетная суммарная погрешность измерения =0,5 мм меньше предельной =0,8 мм, что соответствует требованию п. 5.1 настоящего стандарта. Если условия измерений будут отличаться от нормальных, приведенных в п. 6.2, в результаты измерения следует вводить поправки в соответствии с рекомендуемым Приложением 2.

Приложение 2

Рекомендуемое

СПОСОБЫ ИСКЛЮЧЕНИЯ СИСТЕМАТИЧЕСКИХ ПОГРЕШНОСТЕЙ

1. Исключение известных систематических погрешностей из результатов наблюдений или измерений выполняют введением поправок к этим результатам.

Поправки по абсолютному значению равны этим погрешностям и противоположны им по знаку.

2. Введением поправок исключают:

- погрешность, возникающую из-за отклонений действительной температуры окружающей среды при измерении от нормальной;

- погрешность, возникающую из-за отклонений атмосферного давления при измерении от нормального;

- погрешность, возникающую из-за отклонений относительной влажности окружающего воздуха при измерении от нормальной;

- погрешность, возникающую из-за отклонений относительной скорости движения внешней среды при измерении от нормальной;

- погрешность, возникающую вследствие искривления светового луча (рефракции);

- погрешность шкалы средства измерения;

- погрешность, возникающую вследствие несовпадения направлений линии измерения и измеряемого размера.

3. Поправки по указанным погрешностям вычисляют в соответствии с указаниями таблицы.

Поправки для исключения систематических погрешностей

Наименование поправки Указание по определению поправки
1. Поправка на температуру окружающей среды
2. Поправка на атмосферное давление Определяется при применении электронно-оптических средств измерений в соответствии с эксплуатационной документацией
3. Поправка на относительную влажность окружающего воздуха определяют:
  а) при применении электронно-оптических средств измерений в соответствии с эксплуатационной документацией;
  б) при измерении объектов, изменяющих размеры в зависимости от влажности воздуха в соответствии со свойствами материала
4. Поправка на относительную скорость внешней среды
5. Поправка на длину шкалы средства измерения
6. Поправка на несовпадение направлений линии измерения и измеряемого размера
7. Поправка на рефракцию - определяется при применении оптических или электронно-оптических приборов в зависимости от условий измерения по специальной методике

Обозначения, принятые в таблице:

L - непосредственно измеряемый размер, мм;

- номинальная длина мерного прибора, мм;

- действительная длина мерного прибора, мм;

;

, - коэффициенты линейного расширения средства измерения и объекта,

, - температура средства измерения и объекта, °C;

h - величина отклонения направления измерения от направления измеряемого размера, мм;

Q - предельное значение допустимой силы ветра, Н;

P - сила натяжения мерного прибора (рулетки, проволоки), Н.

4. Поправки могут не вноситься, если действительная погрешность измерения не превышает предельной.

Пример. Получен результат измерения длины стальной фермы =24003 мм. Измерение выполнялось 30-метровой рулеткой из нержавеющей стали при t=-20 °C. При этом , , °C.

мм.

Действительную длину фермы с учетом поправки на температуру окружающей среды следует принять равной

мм.

Приложение 3

Рекомендуемое

ОЦЕНКА ТОЧНОСТИ ИЗМЕРЕНИЙ

1. Оценку точности измерений производят

предварительно до начала измерений путем обработки результатов специально выполненных наблюдений;

после окончания измерений путем обработки результатов наблюдений, выполненных в процессе этих измерений.

2. Для оценки точности измерений используют многократные наблюдения параметра в одном из установленных сечений (мест) или двойные наблюдения параметра в разных сечениях (местах) одного или нескольких объектов измерений.

Общее число наблюдений M, необходимое для оценки точности результата измерений, составляет:

для предварительной оценки - 20;

для оценки точности выполненных измерений - не менее 6.

Для уменьшения влияния систематических погрешностей измерения выполняют в соответствии с требованиями п. 6.6 настоящего стандарта.

3. Оценку точности измерений производят путем определения действительной погрешности измерения и сравнения ее с предельной погрешностью .

В случаях, когда нормирована относительная погрешность измерения, определяют действительную относительную погрешность.

4. Действительную погрешность измерения при многократных наблюдениях определяют по формуле

, (1)

где - средняя квадратическая погрешность измерения;

t - коэффициент (принимают по табл. 1).

Таблица 1

Доверительная вероятность Значение t при M, равном
20 10 8 6
0,95 2 2,3 2,4 2,6
0,99 2,5 3,2 3,5 4,0

Среднюю квадратическую погрешность измерения при многократных наблюдениях параметра определяют по формуле

, (2)

где - результат наблюдения;

- результат измерения, полученный по многократным наблюдениям параметра (среднее арифметическое);

M - число равноточных результатов наблюдений, выполняемых для предварительной оценки;

m - число наблюдений параметра, выполняемых при контроле в данном сечении (месте).

Если при измерениях используются средства и методы, для которых из специально выполненных ранее измерений или из эксплуатационной документации установлена средняя квадратическая погрешность наблюдения , то действительную погрешность измерения определяют по формуле

. (3)

5. Действительную погрешность результата измерения при двойных наблюдениях параметра в одном из установленных сечений (местах) оценивают по формуле

, (4)

где - абсолютное значение остаточной систематической погрешности, численное значение которой определено из обработки ряда двойных наблюдений.

Пример. Произвести предварительную оценку точности измерений длинномером длины изделий при контроле точности их изготовления. Измерение длины каждого изделия в процессе контроля будут выполняться при числе наблюдений m=2.

Выполняют многократные наблюдения длины одного изделия при числе наблюдений M=20. Для уменьшения влияния систематической погрешности первые десять наблюдений выполняют в одном направлении каждый раз со сдвигом шкалы рулетки на 70 - 90 мм, а вторые десять наблюдений - в другом направлении с тем же сдвигом шкалы.

Результаты наблюдений и последовательность их обработки приведены в табл. 2 (для упрощения приведены результаты только 10 наблюдений, т.е. M=10).

Таблица 2

Номер наблюдения Отсчет по длинномеру Размер, полученный в результате наблюдений
Левая грань Правая грань
  Прямо          
1 0 3205 3205 5 25 0 0
2 7 3216 3209 9 81 -4 16
3 14 3219 3205 5 25 0 0
4 21 3221 3200 0 0 5 25
5 29 3232 3203 3 9 2 4
  Обратно          
6 36 3244 3208 8 64 -3 9
7 43 3245 3202 2 4 3 9
8 50 3257 3207 7 49 -2 4
9 57 3265 3208 8 64 -3 9
10 64 3269 3205 5 25 0 0
        52 346 -2 76

.

Принимаем =3205,0 с ошибкой округления а =-0,2; - наименьший результат из всех наблюдений, =3200.

Контроль правильности вычислений:

1. ;

2. .

Среднюю квадратическую погрешность результата измерений находят по формуле 2 настоящего приложения

мм.

Действительная погрешность измерения

мм.

Предельную погрешность измерения находят по формуле (2) настоящего стандарта. При допуске на длину 20 мм

мм.

Проверяем соблюдение условия (1) настоящего стандарта: 5,0>4,0 мм.

Действительная погрешность измерения не соответствует требуемой, должны быть приняты другие средства измерений или увеличено количество наблюдений m. Принимаем m = 4, тогда

мм;

мм < 4,0 мм.

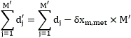
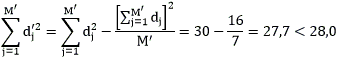
6. При двойных наблюдениях близких по значению линейных размеров среднюю квадратическую и остаточную систематическую погрешность результата измерения определяют в соответствии с табл. 3. При этом имеется в виду, что наблюдения являются равноточными в паре и между парами.

Таблица 3

Наименование вычислительной операции Формула для вычисления
1. Определение разностей в каждой паре наблюдений
2. Вычисление остаточной систематической погрешности наблюдений
3. Проверка значимости остаточной систематической погрешности
4. Вычисление среднеквадратической погрешности результата измерения , если условие 3 выполняется. В этом случае при использовании формулы (1) остаточная систематическая погрешность не учитывается
5. Определение разностей в каждой паре наблюдений с исключением остаточной систематической погрешности
6. Проверка правильности вычислений
7. Вычисление среднеквадратической погрешности результата измерений без учета остаточной систематической погрешности (в случае, если условие (3) не выполняется)

Обозначения, принятые в табл. 3:

, - результаты первого и второго наблюдений в паре параметра в одном из установленных сечений (мест). Для обеспечения правильной оценки все первые наблюдения в установленных сечениях (местах) выполняют в одном направлении (или при одной установке прибора) и все вторые - в обратном направлении (или при симметричной установке прибора), а запись результата наблюдений - в строгом соответствии с порядком их выполнения;

- число пар наблюдений .

Пример. Произвести оценку точности измерений, выполненных методом бокового нивелирования двойными наблюдениями при контроле отклонений разбивочных осей низа 7 смонтированных колонн. Произведено 7 пар наблюдений при двукратной установке теодолита над центром пункта пространственной геодезической сети, которые являются равноточными в паре и между парами. Результаты наблюдений и последовательность их обработки приведены в табл. 4.

Таблица 4

Номер пары наблюдений Результат наблюдений
(при первой установке теодолита) (при второй установке теодолита)
1 -5 -7 2 4 1,4 2,0
2 3 0 3 9 2,4 5,8
3 -7 -6 -1 1 -1,6 2,6
4 0 2 -2 4 -2,6 6,8
5 4 6 -2 4 -2,6 6,8
6 -8 -10 2 4 1,4 2,0
7 2 0 2 4 1,4 2,0
      4 30 -0,2 28

Вычисляют остаточную систематическую погрешность и проверяют ее значимость:

;

; 4 > 3,5.

Так как значима, она исключается из разностей .

Проверка правильности вычислений

1. ;

2. .

Средняя квадратическая погрешность результата измерения

мм.

Действительная погрешность измерения

мм,

t=3 при M=4 и доверительной вероятности 0,99.

Предельная погрешность измерения при допуске совмещения ориентиров при установке колонн x=24 по ГОСТ 21779-82

мм.

Проверяем соблюдение условия (1) настоящего стандарта: 3,9 мм < 4,8 мм.

Действительная точность соответствует требуемой.

7. При двойных наблюдениях, существенно различных по значению между парами линейных размеров, среднюю квадратическую и остаточную систематическую погрешность результата измерений определяют в соответствии с табл. 5. При этом наблюдения в паре являются равноточными, а между парами - неравноточными.

Таблица 5

Наименование вычислительной операции Формула для вычислений
1. Определение разностей в каждой паре наблюдений
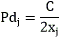
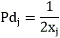
2. Вычисление весов разностей
3. Вычисление остаточной систематической погрешности
4. Проверка значимости остаточной систематической погрешности
5. Вычисление среднеквадратической погрешности результата измерения в каждой паре, если условие (4) выполняется
6. Определение разностей в каждой паре наблюдений с исключением остаточной систематической погрешности
7. Проверка правильности вычислений
8. Вычисление среднеквадратической погрешности результата измерения в каждой паре наблюдений, если условие (4) не выполняется

Обозначения, принятые в табл. 5:

C - любая постоянная величина;

остальные - см. выше.

Пример. Произвести оценку точности измерений, выполняемых рулеткой при контроле точности детальных разбивочных работ двойными наблюдениями расстояний между разбивочными осями.

Наблюдения в паре равноточны, а между парами, вследствие большой разницы в значениях расстояний, неравноточны.

Выполнено 8 пар наблюдений (по числу имеющихся в натуре ориентиров).

Таблица 6

Номер пары наблюдений Наблюдение
, мм , мм
1 6003 6002 1,0 1,0 0,08 0,08 2,56 1,1 2,4 3,2
2 2995 2997 -2,0 4,0 0,16 0,64 5,12 0,8 1,8 2,0
3 3600 3600 0 0 0,13 0 4,16 0,9 2,0 2,0
4 2398 2399 -1,0 1,0 0,21 0,21 6,72 0,7 1,5 1,2
5 3600 3602 -2,0 4,0 0,13 0,52 4,16 0,9 2,0 2,0
6 2994 2993 1,0 1,0 0,16 0,16 5,12 0,8 1,8 2,0
7 1997 1995 2,0 4,0 0,25 1,00 8,00 0,6 1,3 1,2
8 3605 3603 2,0 4,0 0,13 0,52 4,16 0,9 2,0 2,0
            3,13        

Вычисляют остаточную систематическую погрешность и проверяют ее значимость

мм.

.

Следовательно, остаточной систематической погрешностью можно пренебречь.

Действительные абсолютные погрешности измерения для каждой пары наблюдений вычислены в табл. 6 при t=2,2 (M=16, доверительная вероятность 0,95).

Предельные погрешности измерений для каждой пары наблюдений, вычисленные по формуле (2) настоящего стандарта, приведены в табл. 6. Допуски на разбивку осей в плане определялись по табл. 5 ГОСТ 21779-82 соответственно 6-му классу точности.

Действительные погрешности измерений, в основном, не превышают требуемых. Наблюдения с порядковым номером 4 следует повторить при m=34.