Приказ Минэкономразвития РФ от 12.05.2017 N 226

"Об утверждении методических указаний о государственной кадастровой оценке"
Редакция от 09.09.2019 — Документ утратил силу, см. «Приказ Минэкономразвития РФ от 14.01.2022 N 11»
Показать изменения

Зарегистрировано в Минюсте России 29 мая 2017 г. N 46860


МИНИСТЕРСТВО ЭКОНОМИЧЕСКОГО РАЗВИТИЯ РОССИЙСКОЙ ФЕДЕРАЦИИ

ПРИКАЗ
от 12 мая 2017 г. N 226

ОБ УТВЕРЖДЕНИИ МЕТОДИЧЕСКИХ УКАЗАНИЙ О ГОСУДАРСТВЕННОЙ КАДАСТРОВОЙ ОЦЕНКЕ

(в ред. Приказов Минэкономразвития РФ от 09.08.2018 N 419, от 09.09.2019 N 548)

В соответствии со статьей 5 Федерального закона от 3 июля 2016 г. N 237-ФЗ "О государственной кадастровой оценке" (Собрание законодательства Российской Федерации, 2016, N 27, ст. 4170) приказываю:

Утвердить прилагаемые методические указания о государственной кадастровой оценке.

Министр
М.С. ОРЕШКИН

УТВЕРЖДЕНЫ
приказом Минэкономразвития России
от 12.05.2017 N 226

МЕТОДИЧЕСКИЕ УКАЗАНИЯ О ГОСУДАРСТВЕННОЙ КАДАСТРОВОЙ ОЦЕНКЕ

(в ред. Приказов Минэкономразвития РФ от 09.08.2018 N 419, от 09.09.2019 N 548)

I. Общие положения

1.1. Настоящие методические указания о государственной кадастровой оценке (далее - Указания) определяют правила установления кадастровой стоимости объектов недвижимости и предназначены для определения кадастровой стоимости бюджетным учреждением субъекта Российской Федерации, наделенным полномочиями, связанными с определением кадастровой стоимости (далее - бюджетное учреждение). (в ред. Приказа Минэкономразвития РФ от 09.09.2019 N 548)

1.2. Кадастровая стоимость объекта недвижимости определяется для целей, предусмотренных законодательством Российской Федерации, в том числе для налогообложения, на основе рыночной информации и иной информации, связанной с экономическими характеристиками использования объекта недвижимости, без учета иных, кроме права собственности, имущественных прав на данный объект.

Определение кадастровой стоимости предполагает расчет вероятной суммы типичных для рынка затрат, необходимых для приобретения объекта недвижимости на открытом и конкурентном рынке. (в ред. Приказа Минэкономразвития РФ от 09.09.2019 N 548)

Результаты расчета кадастровой стоимости объекта недвижимости, определенной в соответствии с настоящими Указаниями, не подлежат корректировке на вероятную величину доходов и расходов продавца, возникающих в связи с владением, пользованием и распоряжением таким объектом недвижимости (в том числе связанных с налоговыми обязательствами продавца, возникающими (либо которые могут возникнуть) в связи с владением, пользованием и распоряжением таким объектом). (в ред. Приказа Минэкономразвития РФ от 09.09.2019 N 548)

Датой, по состоянию на которую определяется кадастровая стоимость в соответствии с настоящими Указаниями, является 1 января года определения кадастровой стоимости в рамках государственной кадастровой оценки, предусмотренного законодательством о государственной кадастровой оценке. (в ред. Приказа Минэкономразвития РФ от 09.09.2019 N 548)

В случае подтверждения информации о фактическом использовании объекта недвижимости, соответствующем виду (видам) разрешенного использования, определенному (установленному) в отношении такого объекта недвижимости и содержащемуся в Едином государственном реестре недвижимости (ЕГРН) по состоянию на дату определения кадастровой стоимости, на основании поданной в бюджетное учреждение декларации о характеристиках объекта недвижимости, форма которой утверждена приказом Минэкономразвития России от 4 июня 2019 г. N 318 "Об утверждении порядка рассмотрения декларации о характеристиках объекта недвижимости, в том числе ее формы" <1>, для целей Указаний под видом использования понимается такое фактическое использование объекта недвижимости. (в ред. Приказа Минэкономразвития РФ от 09.09.2019 N 548)

<1> Зарегистрирован в Минюсте России 23 сентября 2019 г., регистрационный N 56006. (в ред. Приказа Минэкономразвития РФ от 09.09.2019 N 548)

В иных случаях под видом использования понимаются вид (виды) разрешенного использования или назначение объекта недвижимости, определенные (установленные) в отношении такого объекта недвижимости и содержащиеся в ЕГРН по состоянию на дату определения кадастровой стоимости. (в ред. Приказа Минэкономразвития РФ от 09.09.2019 N 548)

1.3. При определении кадастровой стоимости используются методы массовой оценки, при которых осуществляется построение единых для групп объектов недвижимости, имеющих схожие характеристики, моделей определения кадастровой стоимости. При невозможности применения методов массовой оценки определение кадастровой стоимости осуществляется индивидуально в отношении объектов недвижимости в соответствии с пунктом 8.1 Указаний.

Для моделирования стоимости может быть использована методология любого из подходов к оценке (совокупность методов (последовательность процедур, позволяющая на основе существенной для данного метода информации определить стоимость объекта недвижимости в рамках одного из подходов к оценке), объединенных общей методологией): затратного, сравнительного или доходного. Выбор подхода или обоснованный отказ от его использования осуществляется исходя из особенностей вида разрешенного использования, назначения объектов недвижимости, а также достаточности и достоверности располагаемой рыночной информации, которые определяются по итогам анализа рынка недвижимости. Выбор подходов и методов, используемых для определения кадастровой стоимости, моделей массовой оценки должен быть обоснован.

Применение методов массовой оценки для целей Указаний предполагает определение кадастровой стоимости путем группирования объектов недвижимости. При проведении массовой оценки используются сравнительный, и (или) затратный, и (или) доходный подходы к оценке.

Под индивидуальной оценкой для целей Указаний понимается процесс определения кадастровой стоимости индивидуально в отношении объекта недвижимости на основе подходов к оценке (сравнительный, и (или) затратный, и (или) доходный подходы к оценке).

1.4. В случае использования более одного подхода к оценке результаты, полученные с применением различных подходов, должны быть согласованы между собой с целью определения итоговой величины кадастровой стоимости. В случае проведения согласования путем взвешивания результатов, полученных с применением различных подходов, выбор использованных весов должен быть обоснован.

Выбранный способ согласования, а также все сделанные при осуществлении согласования результатов суждения и допущения должны быть обоснованы.

1.5. При определении кадастровой стоимости объект недвижимости оценивается исходя из предположения о возможности его добровольного отчуждения (передачи права собственности) на открытом рынке в условиях свободной конкуренции, а также с учетом того, что покупатель получает возможность полного и незамедлительного его использования в состоянии, в котором он был приобретен (передан) на дату определения кадастровой стоимости независимо от того, ограничен ли такой объект недвижимости в обороте, существует ли рынок такого рода объектов недвижимости и может ли он быть фактически отчужден.

Информация о событиях, произошедших после даты определения кадастровой стоимости, не может быть использована для определения кадастровой стоимости, за исключением случаев ее использования для подтверждения тенденций, сложившихся на дату определения кадастровой стоимости, когда такая информация соответствует сложившимся ожиданиям рынка на дату определения кадастровой стоимости. (в ред. Приказа Минэкономразвития РФ от 09.09.2019 N 548)

1.6. При определении кадастровой стоимости на базе рыночной стоимости кадастровая стоимость объекта недвижимости не может превышать величины его рыночной стоимости, определенной на ту же дату.

Абзац второй. - Утратил силу. (в ред. Приказа Минэкономразвития РФ от 09.09.2019 N 548)

1.7. Для построения модели оценки кадастровой стоимости бюджетным учреждением осуществляется сбор достаточной и достоверной рыночной информации об объектах недвижимости.

При использовании для определения кадастровой стоимости наблюдаемых на рынке цен такие цены не корректируются на затраты, связанные с особенностями проведения сделки.

При отсутствии рынка объектов недвижимости или при наличии недостатка наблюдаемых рыночных цен на соответствующей территории определение кадастровой стоимости осуществляется на основе рыночно ориентированной модели оценки кадастровой стоимости с учетом всех экономических характеристик объекта недвижимости.

1.8. При определении кадастровой стоимости объекта недвижимости бюджетное учреждение исходит из того, что использование такого объекта недвижимости в соответствии с его разрешенным использованием и назначением может быть продолжено без нарушения требований законодательства. (в ред. Приказа Минэкономразвития РФ от 09.09.2019 N 548)

Определение кадастровой стоимости объекта недвижимости осуществляется на основе того из определенных (установленных) для него видов использования, который позволяет использовать его наиболее эффективно, что приводит к максимизации его стоимости. (в ред. Приказа Минэкономразвития РФ от 09.09.2019 N 548)

1.9. Определение кадастровой стоимости должно осуществляться на основе единства судьбы земельного участка и расположенных на нем иных объектов недвижимости.

1.10. Земельный участок характеризуется его целевым назначением (принадлежностью земельного участка к определенной категории земель) и (или) разрешенным использованием, а также видом осуществляемой на нем деятельности. (в ред. Приказа Минэкономразвития РФ от 09.09.2019 N 548)

Абзац второй. - Утратил силу. (в ред. Приказа Минэкономразвития РФ от 09.09.2019 N 548)

1.11. Определение кадастровой стоимости осуществляется без учета обременений (ограничений) объекта недвижимости, за исключением ограничений прав на землю, возникающих в соответствии с законодательством (в связи с установлением зон с особыми условиями использования территории, иными ограничениями, установленными действующим законодательством Российской Федерации). (в ред. Приказа Минэкономразвития РФ от 09.09.2019 N 548)

1.12. При определении кадастровой стоимости земельного участка бюджетным учреждением должны учитываться:

обеспеченность (наличие либо отсутствие) инженерной и транспортной инфраструктурой (наличие инженерного и транспортного обеспечения до границ земельного участка), социальной инфраструктурой; (в ред. Приказа Минэкономразвития РФ от 09.09.2019 N 548)

характеристики окружающей территории земельного участка; (в ред. Приказа Минэкономразвития РФ от 09.09.2019 N 548)

существующий рельеф земельного участка (при наличии информации о влиянии на стоимость).

При определении кадастровой стоимости земельного участка не учитываются:

улучшения земельного участка, которые поставлены на кадастровый учет и (или) бухгалтерский учет;

степень благоустройства (внутриплощадочные инженерные коммуникации (расположенные внутри установленных границ земельного участка), искусственные покрытия, малые архитектурные формы, за исключением сложившегося на дату определения кадастровой стоимости рельефа);

озеленение, за исключением естественных и искусственно созданных насаждений при оценке земельных участков сегментов "Сельскохозяйственное использование", "Использование лесов", указанных в главе IX Указаний.

Земельный участок для целей Указаний считается обеспеченным инженерной инфраструктурой в объеме подведенных к границе земельного участка инженерных коммуникаций при возможности их использования.

Наличие магистральных инженерных коммуникаций (линии электропередач, магистральные трубопроводы, коллекторы и прочее), проходящих по самому земельному участку или вблизи его границ, не дает основания считать земельный участок инженерно обеспеченным.

Абзац одиннадцатый. - Утратил силу. (в ред. Приказа Минэкономразвития РФ от 09.09.2019 N 548)

Для целей Указаний земельный участок считается обеспеченным подъездными путями в случае, если к любой из его границ подходят подъездные пути, предоставляя возможность въезда на этот земельный участок.

При этом необходимо учитывать в том числе вид подъездных путей (автомобильная дорога, железная дорога и прочее), классы автомобильных дорог (федерального, регионального или межмуниципального, местного значений, частная автомобильная дорога), категории железных дорог (скоростные магистрали, магистрали с преимущественно пассажирским движением и прочее).

1.13. Пункт утратил силу. (в ред. Приказа Минэкономразвития РФ от 09.09.2019 N 548)

1.14. При определении кадастровой стоимости зданий, сооружений, объектов незавершенного строительства (ОНС) учитывается неотделимое внутреннее инженерное оборудование, без которого эксплуатация этих зданий, сооружений, ОНС в соответствии с их видом использования и назначением невозможна или существенно затруднена. (в ред. Приказа Минэкономразвития РФ от 09.09.2019 N 548)

При определении кадастровой стоимости зданий, сооружений, ОНС исключается стоимость земельного участка, на котором он расположен. (в ред. Приказа Минэкономразвития РФ от 09.09.2019 N 548)

При определении кадастровой стоимости зданий, сооружений, ОНС, помещений, машино-мест не учитываются как часть объекта недвижимости: (в ред. Приказа Минэкономразвития РФ от 09.09.2019 N 548)

движимое имущество; (в ред. Приказа Минэкономразвития РФ от 09.09.2019 N 548)

все объекты, расположенные за границами ограждающих конструкций зданий, сооружений, ОНС, помещений, машино-мест либо при отсутствии ограждающих конструкций - за внешними границами опорных частей и (или) пятна застройки зданий, сооружений, ОНС; (в ред. Приказа Минэкономразвития РФ от 09.09.2019 N 548)

предметы декоративно-прикладного искусства (для объектов культурного наследия (памятников истории и культуры) народов Российской Федерации (далее - объекты культурного наследия)); (в ред. Приказа Минэкономразвития РФ от 09.09.2019 N 548)

влияние предпринимательской деятельности, осуществляемой в здании, сооружении, ОНС, помещении, машино-месте; (в ред. Приказа Минэкономразвития РФ от 09.09.2019 N 548)

прочие объекты, влияющие на стоимость зданий, сооружений, ОНС, помещений, машино-мест, но не относящиеся к неотделимым улучшениям зданий, сооружений, ОНС, помещений, машино-мест. (в ред. Приказа Минэкономразвития РФ от 09.09.2019 N 548)

1.15. Кадастровая стоимость единых недвижимых комплексов (ЕНК) определяется как сумма кадастровых стоимостей объектов недвижимости, объединенных в такой ЕНК. (в ред. Приказа Минэкономразвития РФ от 09.09.2019 N 548)

1.16. Пункт утратил силу. (в ред. Приказа Минэкономразвития РФ от 09.09.2019 N 548)

1.17. Пункт утратил силу. (в ред. Приказа Минэкономразвития РФ от 09.09.2019 N 548)

1.18. При определении кадастровой стоимости земельного участка не должны учитываться права пользования недрами.

1.19. Определение кадастровой стоимости включает в себя следующие мероприятия:

определение ценообразующих факторов объектов недвижимости (далее - ценообразующие факторы);

первичная группировка объектов недвижимости на основе сегментации объектов недвижимости, предусмотренной Указаниями;

сбор сведений о значениях ценообразующих факторов;

сбор рыночной информации;

группировка объектов недвижимости;

построение модели оценки кадастровой стоимости и обоснование выбора вида модели оценки кадастровой стоимости;

анализ качества модели оценки кадастровой стоимости;

расчет кадастровой стоимости, включая индивидуальные расчеты для объектов недвижимости, по которым невозможно выполнить определение кадастровой стоимости методами массовой оценки, а также в случаях, указанных в пункте 8.1 Указаний;

анализ результатов определения кадастровой стоимости;

составление отчета об итогах государственной кадастровой оценки.

II. Подготовка к проведению государственной кадастровой оценки бюджетным учреждением

2.1. Подготовка к проведению государственной кадастровой оценки включает в себя сбор и обработку информации, необходимой для определения кадастровой стоимости, согласно Указаниям до 1 января года определения кадастровой стоимости.

2.2. Для целей подготовки к проведению государственной кадастровой оценки уполномоченным в сфере проведения государственной кадастровой оценки органом исполнительной власти субъекта Российской Федерации (далее - уполномоченный орган) обеспечивается предоставление сведений ЕГРН, а также сведений, содержащихся в учетно-технической документации (далее - техническая документация (при наличии). (в ред. Приказа Минэкономразвития РФ от 09.09.2019 N 548)

2.3. Сбор информации, необходимой для определения кадастровой стоимости, осуществляется при необходимости с участием уполномоченного органа.

2.4. В рамках подготовки к государственной кадастровой оценке осуществляются в том числе сбор, обработка и учет (в случае если характеристики объекта недвижимости не изменялись) информации об объектах недвижимости, кадастровая стоимость которых была оспорена в порядке, установленном законодательством Российской Федерации.

2.5. В ходе подготовки к государственной кадастровой оценке также осуществляется сбор информации об объектах недвижимости, характеристики которых изменялись в сведениях ЕГРН.

2.6. Материалы, формируемые в ходе подготовки к проведению государственной кадастровой оценки, актуализируются после 1 января года определения кадастровой стоимости.

III. Обработка бюджетным учреждением информации, содержащейся в Перечне объектов недвижимости, подлежащих государственной кадастровой оценке

3.1. В случае несоответствия наименования ранее установленного вида разрешенного использования земельного участка, содержащегося в перечне объектов недвижимости, подлежащих государственной кадастровой оценке (далее - Перечень), классификатору видов разрешенного использования земельных участков, утвержденному приказом Минэкономразвития России от 1 сентября 2014 г. N 540 "Об утверждении классификатора видов разрешенного использования земельных участков" <2> (далее - классификатор), бюджетное учреждение вправе направить в органы государственной власти субъектов Российской Федерации или в органы местного самоуправления, уполномоченные на утверждение правил землепользования и застройки (внесение изменений в них), для согласования предположения о наименовании вида разрешенного использования такого земельного участка, которое может соответствовать классификатору без необходимости осуществления со стороны правообладателя такого земельного участка и (или) указанных уполномоченных органов процедуры изменения (выбора, установления) в отношении земельного участка другого (нового) вида разрешенного использования. (в ред. Приказа Минэкономразвития РФ от 09.09.2019 N 548)

<2> Зарегистрирован в Минюсте России 8 сентября 2014 г., регистрационный N 33995 (с изменениями, внесенными приказами Минэкономразвития России от 30 сентября 2015 г. N 709 (зарегистрирован в Минюсте России 21 октября 2015 г., регистрационный N 39397), от 6 октября 2017 г. N 547 (зарегистрирован в Минюсте России 25 октября 2017 г., регистрационный N 48683), от 9 августа 2018 г. N 418 (зарегистрирован в Минюсте России 8 октября 2018 г., регистрационный N 52351), от 4 февраля 2019 г. N 44 (зарегистрирован в Минюсте России 27 марта 2019 г., регистрационный N 54182). (в ред. Приказа Минэкономразвития РФ от 09.09.2019 N 548)

В указанных случаях бюджетное учреждение формирует электронную таблицу, построчно содержащую сведения о таких земельных участках, а также предполагаемые бюджетным учреждением к приведению в соответствие классификатору наименования видов разрешенного использования земельных участков, которая направляется в уполномоченные органы местного самоуправления или органы государственной власти, указанные в настоящем пункте. (в ред. Приказа Минэкономразвития РФ от 09.09.2019 N 548)

После получения соответствующего согласования либо по истечении 30 календарных дней со дня получения таких сведений уполномоченными органами местного самоуправления или органами государственной власти, указанными в настоящем пункте, бюджетное учреждение вправе использовать предположения о наименовании вида разрешенного использования земельного участка, предполагаемые бюджетным учреждением, за исключением случаев, когда в отношении земельного участка представлены иные сведения о наименовании видов разрешенного использования, которые могут быть присвоены земельному участку только в результате установления (изменения, выбора) нового вида разрешенного использования в соответствии с земельным законодательством и законодательством о градостроительной деятельности. Получение в соответствии с настоящим пунктом бюджетным учреждением информации от уполномоченных органов местного самоуправления или органов государственной власти о наименованиях видов разрешенного использования не является основанием для установления (изменения, выбора) нового вида разрешенного использования земельного участка. (в ред. Приказа Минэкономразвития РФ от 09.09.2019 N 548)

3.2. Сведения о фактическом использовании объектов недвижимости могут быть направлены бюджетным учреждением в уполномоченный орган и в органы местного самоуправления, уполномоченные на утверждение правил землепользования и застройки (внесение изменений в них), для согласования. (в ред. Приказа Минэкономразвития РФ от 09.09.2019 N 548)

В указанных случаях бюджетное учреждение формирует электронную таблицу, построчно содержащую следующие сведения об объектах недвижимости: (в ред. Приказа Минэкономразвития РФ от 09.09.2019 N 548)

кадастровый номер объекта недвижимости; (в ред. Приказа Минэкономразвития РФ от 09.09.2019 N 548)

адрес объекта недвижимости; (в ред. Приказа Минэкономразвития РФ от 09.09.2019 N 548)

вид объекта недвижимости; (в ред. Приказа Минэкономразвития РФ от 09.09.2019 N 548)

категория земель (для земельных участков); (в ред. Приказа Минэкономразвития РФ от 09.09.2019 N 548)

виды разрешенного использования земельных участков и объектов капитального строительства; (в ред. Приказа Минэкономразвития РФ от 09.09.2019 N 548)

сведения о фактическом использовании объекта недвижимости. (в ред. Приказа Минэкономразвития РФ от 09.09.2019 N 548)

3.3. Пункт утратил силу. (в ред. Приказа Минэкономразвития РФ от 09.09.2019 N 548)

3.4. При необходимости раздельного определения кадастровой стоимости земельных участков и находящихся на нем иных объектов недвижимости, учтенных в ЕГРН в качестве самостоятельных объектов недвижимости, данные объекты могут быть оценены как раздельно, так и в составе условно сформированного единого объекта недвижимости.

При определении кадастровой стоимости может потребоваться условное объединение нескольких объектов недвижимости, учтенных в ЕГРН, в один условно сформированный единый объект недвижимости (например, единый производственно-технологический комплекс) или разделение объекта недвижимости, учтенного в ЕГРН, на его отдельные части для целей их самостоятельной оценки.

Такое объединение или разделение необходимо, если соответствующие условно сформированные объекты недвижимости имеют самостоятельное экономическое значение при максимизации приносимой ими совокупной экономической выгоды. В случае если с точки зрения максимизации экономической выгоды целесообразно рассматривать объекты недвижимости, учтенные в ЕГРН, в их единстве или исходя из раздельного использования, то результатом определения кадастровой стоимости по каждому объекту недвижимости, учтенному в ЕГРН, является относимая на такие объекты недвижимости часть стоимости или совокупность полученных стоимостей.

При этом должен соблюдаться принцип отсутствия двойного налогообложения имущества.

Абзац пятый. - Утратил силу. (в ред. Приказа Минэкономразвития РФ от 09.09.2019 N 548)

Определение кадастровой стоимости вспомогательных объектов недвижимости производится отдельно. Расчет кадастровой стоимости вспомогательных объектов осуществляется только с установлением признака "вспомогательный объект".

При отсутствии наблюдаемых рыночных цен при определении кадастровой стоимости должно приниматься допущение о том, что переход права на объект недвижимости рассматривается с точки зрения владельца такого объекта недвижимости.

Для условного объединения нескольких функционально взаимосвязанных объектов недвижимости в один условно сформированный объект недвижимости необходимо:

1) провести анализ наличия информации о местоположении земельных участков посредством определения местоположения их границ в принятой системе координат и (или) по адресу в соответствии с действующим законодательством Российской Федерации;

2) провести анализ наличия информации о местоположении и характеристиках зданий, сооружений, ОНС в пределах границ земельного участка, на котором они расположены, а также о местоположении помещений в пределах здания, сооружения (привязка зданий, сооружений, ОНС и земельных участков); (в ред. Приказа Минэкономразвития РФ от 09.09.2019 N 548)

3) анализ дополнительных источников данных, например, информационных систем обеспечения градостроительной деятельности, адресных планов населенных пунктов, геоинформационных систем, информации фонда данных государственной кадастровой оценки, технической документации.

При формировании условно сформированных объектов недвижимости должен достигаться максимальный учет определенных (занесенных в ЕГРН) координат земельных участков, зданий, сооружений, иных объектов недвижимости, в том числе из включенных в ЕГРН в порядке переноса сведений из архивов органов и организаций, осуществляющих технический учет и техническую инвентаризацию.

3.5. Необходимо учитывать максимально полные сведения, полученные в том числе с привлечением уполномоченного органа, о местоположении, физических, технических и эксплуатационных характеристиках, степени благоустройства объектов недвижимости, ограничениях в их использовании, иных характеристиках, необходимых для определения кадастровой стоимости.

IV. Сбор и анализ бюджетным учреждением информации о рынке объектов недвижимости. Определение бюджетным учреждением ценообразующих факторов и обоснование моделей оценки кадастровой стоимости

4.1. Для определения кадастровой стоимости бюджетным учреждением осуществляется сбор и анализ информации о рынке объектов недвижимости, а также анализ информации, не относящейся непосредственно к объектам недвижимости, но влияющей на их стоимость, в том числе:

1) информации об экономических, социальных, экологических и прочих факторах, оказывающих влияние на стоимость объектов недвижимости (далее - информация о внешней среде объектов недвижимости);

2) информации о рынке объектов недвижимости, в том числе о сделках (предложениях) на рынке объектов недвижимости, включая информацию о факторах, влияющих на цены и объем сделок (предложений);

3) иной информации, необходимой для определения стоимости объектов недвижимости в рамках различных подходов к оценке.

4.1.1. К информации о внешней среде объектов недвижимости относится информация, характеризующая социально-экономическое состояние Российской Федерации, социально-экономическое состояние и тенденции развития субъекта Российской Федерации, муниципального образования, территории, в границах которой проводится государственная кадастровая оценка, содержащаяся в том числе в документации о территориальном планировании и градостроительном зонировании, действующих градостроительных регламентах.

Информация о внешней среде должна быть получена из официальных источников.

Результатом сбора и анализа информации о внешней среде объектов недвижимости является краткий обзор об экономических, социальных, экологических и прочих факторах, оказывающих влияние на стоимость объектов недвижимости.

4.1.2. К информации о рынке объектов недвижимости относится информация, характеризующая функционирование рынка объектов недвижимости, в том числе его специфические особенности.

Результатом сбора и анализа информации о рынке объектов недвижимости является:

1) обзор состояния рынка недвижимости (в целом);

2) обзор сегмента (сегментов) рынка объектов недвижимости.

Обзор состояния рынка объектов недвижимости включает в себя фактическое состояние и общую активность рынка объектов недвижимости, его сегмента (сегментов) в субъекте Российской Федерации, муниципальном образовании, территории, в границах которой проводится государственная кадастровая оценка. При формировании обзора состояния рынка объектов недвижимости анализируются следующие показатели: объем и динамика цен сделок (предложений), предложение и спрос, степень открытости и емкости рынка, характеристика участников рынка, политика региональных органов власти, органов местного самоуправления в области землепользования и развития рынка в целом и его сегментов.

Кроме того, в обзор состояния рынка объектов недвижимости включаются анализ уровня цен в строительной отрасли, особенностей кредитования рынка недвижимости и его финансовых показателей, тарифов за пользование водо-, газо-, электро-, тепло- и иными видами снабжения, а также затрат на подключение к сетям инженерно-технического обеспечения.

Обзор сегмента (сегментов) рынка объектов недвижимости основывается на дифференциации значимых для объектов недвижимости классифицирующих признаков, позволяющих выделить соответствующий (соответствующие) сегмент (сегменты) рынка. При проведении обзора сегмента (сегментов) рынка объектов недвижимости осуществляется характеристика особенностей его (их) функционирования (активности, спроса и предложения, цен сделок (предложений), его (их) динамики, уровня загрузки объектов недвижимости, операционных расходов, связанных с функционированием объектов недвижимости, цен на строительство объектов недвижимости). Во всех случаях, когда это возможно, приводятся данные доходности инвестиций в объекты недвижимости в сегменте (сегментах) рынка объектов недвижимости, дается прогноз перспектив развития соответствующего (соответствующих) сегмента (сегментов).

4.1.3. На основе проведенного анализа информации о внешней среде объектов недвижимости определяются ценообразующие факторы, характеризующие объекты недвижимости.

На основе проведенного анализа информации о рынке, сегменте рынка объектов недвижимости определяются ценообразующие факторы, характеризующие непосредственное окружение и сегмент рынка объектов недвижимости.

К ценообразующим факторам (характеристикам) объектов недвижимости относится информация об их физических свойствах, технических и эксплуатационных характеристиках, а также иная информация, существенная для формирования стоимости объектов недвижимости.

Информация о рынке, сегментах рынка объектов недвижимости, в том числе о публичных торгах, о зарегистрированных сделках, должна быть получена из официальных источников.

Все ценообразующие факторы разделяются на три типа:

1) факторы, характеризующие внешнюю среду объектов недвижимости;

2) факторы, характеризующие непосредственное окружение и сегмент рынка объектов недвижимости;

3) факторы, характеризующие объект недвижимости.

Для каждого сегмента рынка объектов недвижимости осуществляется сбор рыночной информации о ценах сделок (предложений).

Цены сделок (предложений), которые не соответствуют уровню рыночных цен, в частности при вынужденной продаже или при иной сделке между контролирующим и подконтрольным лицами (при наличии информации), исключаются из дальнейшего анализа. При этом в отношении сделок (предложений), цены которых не соответствуют ценам аналогичных сделок (предложений), должен быть проведен анализ с установлением причин расхождения цен, например таких, как особые условия совершения сделки или недостоверность информации. Цены сделок (предложений) не могут быть исключены без обоснования. Цены сделок (предложений), в отношении которых не подтверждается достоверность, исключаются из моделирования, указывается информация об их исключении.

В цены сделок (предложений), для которых условия совершения сделки приводят к отклонению цен таких сделок (предложений) от рыночного уровня, должны быть внесены соответствующие корректировки (в том числе в цены сделок (предложений) с особыми условиями финансирования (при наличии информации), сделок (предложений), включающих движимое имущество). Цены сделок (предложений) должны быть скорректированы на предмет отличия даты совершения сделки от даты определения кадастровой стоимости.

В случае недостаточности информации, позволяющей принять решение о рыночном характере сделки (предложения), особых условиях сделки (предложения) или причинах резкого отклонения цены сделки (предложения) от цен аналогичных сделок (предложений), бюджетному учреждению необходимо принять меры для ее получения.

Анализ информации о ценах сделок (предложений) в сегменте (сегментах) рынка объектов недвижимости проводится с целью:

1) обеспечения непротиворечивости рыночной информации;

2) обеспечения достаточности и репрезентативности рыночной информации.

Для обеспечения достаточности и (или) репрезентативности информации о ценах сделок (предложений) в сегменте (сегментах) рынка объектов недвижимости может производиться дополнительный сбор и обработка рыночной информации в соответствующем (соответствующих) сегменте (сегментах) рынка объектов недвижимости.

Анализ рыночной информации осуществляется в отношении следующих сегментов объектов недвижимости:

1) "Жилая застройка (среднеэтажная и многоэтажная)".

2) "Садоводство и огородничество, малоэтажная жилая застройка". (в ред. Приказа Минэкономразвития РФ от 09.08.2018 N 419)

3) "Транспорт".

4) "Предпринимательство".

5) "Отдых (рекреация)".

6) "Общественное использование".

7) "Производственная деятельность".

8) "Сельскохозяйственное использование".

Информация в отношении используемых (предполагаемых к использованию) справочных данных, включая справочники показателей затрат на строительство, проверяется путем моделирования затрат на создание объекта недвижимости или с использованием данных о фактических затратах на создание объектов недвижимости и сопоставлением этих данных со справочными показателями затрат на строительство.

Моделирование затрат на создание объектов недвижимости проводится с выделением вклада в стоимость объекта стоимости зданий, сооружений, ОНС и обязательной корректировкой, учитывающей состояние зданий, сооружений, ОНС. Целью моделирования является определение рыночно обоснованной величины затрат на создание зданий, сооружений, ОНС. (в ред. Приказа Минэкономразвития РФ от 09.09.2019 N 548)

Результатом этого анализа является выбор справочных показателей затрат на создание объектов недвижимости, не нуждающихся в корректировке, а также выведение корректирующих коэффициентов к справочным показателям затрат на строительство.

При отсутствии сведений о создании отдельных групп (подгрупп) объектов недвижимости допускается применение корректирующих коэффициентов, рассчитанных для схожих групп (подгрупп) объектов недвижимости.

Результатом сбора и анализа информации о рынке объектов недвижимости, сегменте (сегментах) рынка объектов недвижимости является обзор рынка объектов недвижимости, сегмента (сегментов) рынка объектов недвижимости. Такой обзор должен содержать анализ ценообразующих факторов, оказывающих влияние на стоимость объектов недвижимости, в форме таблиц, содержащих состав ценообразующих факторов в сегменте (сегментах) рынка объектов недвижимости, обоснование состава таких ценообразующих факторов, а также обоснование модели оценки кадастровой стоимости (массовая оценка или индивидуально в отношении объектов недвижимости).

4.1.4. Вся собранная рыночная информация должна быть структурирована единообразно.

При проведении анализа рынка недвижимости в отношении объектов недвижимости, по которым анализируются рыночные цены, возможно проведение кодировки, которая складывается из характеристик объекта с обязательным указанием:

сегмента объектов недвижимости, к которому относится объект недвижимости;

вида использования объекта недвижимости (определяется для целей Указаний в соответствии с приложением N 1 к Указаниям);

группы (подгруппы) зданий, сооружений, ОНС, помещений, машино-мест для целей Указаний согласно приложению N 2 к Указаниям (для земельного участка информация не указывается); (в ред. Приказа Минэкономразвития РФ от 09.09.2019 N 548)

кода субъекта Российской Федерации, в котором расположен объект недвижимости;

кода муниципального образования, в котором расположен объект недвижимости;

даты подачи объявления и (или) совершения сделки (в формате ДД.ММ.ГГГГ);

порядкового номера объекта недвижимости.

Присваиваемая кодировка объектов должна соответствовать группам (подгруппам), используемым при определении кадастровой стоимости.

Для отражения ситуации на рынке недвижимости в графическом и семантическом виде необходимо также анализировать информацию, позволяющую установить ценообразующие факторы в отношении каждого объекта недвижимости, его кадастровый номер (в случае если объектом недвижимости является ЕНК - кадастровые номера земельных участков и зданий, сооружений, ОНС, помещений, машино-мест, входящих в состав ЕНК). (в ред. Приказа Минэкономразвития РФ от 09.09.2019 N 548)

Рыночная информация должна быть однозначна и достаточна. Рыночная информация должна быть проверяема, то есть должна быть использована информация в том числе:

1) в отношении базы данных организаций, оказывающих услуги по сопровождению сделок с недвижимом имуществом, - копии договоров, лицензионных соглашений с такими организациями и прочее;

2) в отношении периодических печатных изданий - копии периодических печатных изданий, отражающих текст объявления, дату и номер печатного издания;

3) в отношении сайтов в информационно-телекоммуникационной сети "Интернет" - копии (образы) страниц сайта, отражающих текст объявления, дату обращения к странице сайта с объявлением, дату подачи объявления (при наличии), адрес страницы сайта;

4) в отношении торгов по предоставлению объектов недвижимости - официальные письма органов исполнительной власти и местного самоуправления о сделках с объектами недвижимости, а также копии (образы) страниц сайтов в информационно-телекоммуникационной сети "Интернет" (с учетом требований настоящего подпункта Указаний);

5) в отношении информации о мониторинге рынка недвижимости, осуществляемого органом регистрации прав, - копии (образы) страниц сайтов в информационно-телекоммуникационной сети "Интернет" (с учетом требований настоящего подпункта Указаний, а также указанием параметров отбора).

Документы, удостоверяющие подлинность информации, должны быть представлены в виде файлов в формате PDF или ином нередактируемом формате, обеспечивающем возможность ознакомления с информацией, содержащейся в документе, при помощи общедоступных программных продуктов.

4.1.5. Сбор рыночной информации осуществляется в том числе по следующим типам сделок (предложений):

1) предложение-продажа;

2) сделка-купля-продажа;

3) предложение-аренда;

4) сделка-аренда.

Сбор рыночной информации осуществляется в том числе по следующим типам объектов недвижимости:

1) земельный участок;

2) здание (сооружение), расположенное на земельном участке;

3) комплекс зданий и (или) сооружений, расположенных на земельном участке;

4) ОНС, расположенный на земельном участке;

5) помещение.

4.1.6. Обработка информации о сделках (предложениях) осуществляется путем анализа в том числе сведений:

1) площадь, объем, иная характеристика объекта недвижимости;

2) краткая характеристика, включая состояние объекта недвижимости;

3) кадастровый номер объекта недвижимости;

4) полная цена (в рублях);

5) удельный показатель цены (в рублях) на единицу измерения с указанием единицы измерения.

Кодировка рыночной информации проводится на основе группировки, проводимой при определении кадастровой стоимости в соответствии с Указаниями. Объектам недвижимости присваивается индивидуальный номер, шифр которого складывается из характеристик объекта недвижимости, при этом в обязательном порядке указывается дата публичной оферты и (или) сделки.

V. Сбор бюджетным учреждением сведений о значениях ценообразующих факторов

5.1. Примерный перечень ценообразующих факторов для целей Указаний приведен в приложении N 3 к Указаниям. Отказ от рассмотрения указанных факторов должен быть обоснован.

Ценообразующие факторы должны быть представлены в унифицированном виде, например, расстояние - в км; площадь - в кв. метрах; материал стен - согласно классам конструктивных систем, приведенным для целей Указаний в приложении N 4 к Указаниям.

5.2. Источниками информации о значениях ценообразующих факторов могут служить в том числе:

1) данные, имеющиеся в распоряжении организаций, подведомственных органам исполнительной власти субъекта Российской Федерации или органам муниципальных образований;

2) данные Росреестра, в том числе из фонда данных государственной кадастровой оценки; (в ред. Приказа Минэкономразвития РФ от 09.09.2019 N 548)

3) адресные цифровые планы и цифровые тематические карты;

4) архивы органов и организаций технической инвентаризации;

5) иные источники информации, представленные в информационных системах, примерный перечень которых для целей Указаний приведен в приложении N 5 к Указаниям.

5.3. Результатом собранной информации о ценообразующих факторах являются сведения, представленные в семантическом и графическом виде.

5.4. Ценообразующие факторы стоимости, представленные в графической форме, определяются на основе цифровых тематических карт. Основой для формирования цифровых тематических карт являются дежурные кадастровые карты.

5.5. Необходимо указывать сведения об источниках информации для каждого ценообразующего фактора, а также ссылки на документы, подтверждающие сбор сведений из указанных источников информации.

5.6. По итогам сбора ценообразующих факторов проводится анализ их значений на полноту, достоверность и непротиворечивость.

VI. Проведение бюджетным учреждением оценочного зонирования

6.1. В процессе определения кадастровой стоимости бюджетным учреждением проводится оценочное зонирование, предусматривающее разделение территории, на которой проводится государственная кадастровая оценка, на ценовые зоны. Оценочное зонирование проводится только в отношении тех сегментов рынка недвижимости, по которым существует достаточная рыночная информация.

6.2. Целью оценочного зонирования является представление в графическом и семантическом виде информации о сложившейся на дату определения кадастровой стоимости ситуации в различных сегментах рынка недвижимости, представленных в конкретных ценовых зонах.

6.3. По итогам оценочного зонирования устанавливаются ценовые зоны и удельные показатели средних рыночных цен и величин затрат на создание объектов недвижимости в расчете на единицу площади, объема, иной характеристики типовых объектов недвижимости (земельных участков и (или) других объектов недвижимости) в ценовых зонах в разрезе видов использования.

Данные, используемые в расчетах, должны быть нанесены на картографический материал.

6.4. Для целей Указаний ценовая зона - часть территории, в границах которой определены близкие по значению удельные показатели средних рыночных цен типовых объектов недвижимости.

Типовой объект недвижимости является объектом недвижимости, основные физические и иные характеристики вида использования которого наиболее соответствуют спросу и предложению на соответствующем сегменте рынка.

Основные физические и иные характеристики типового объекта недвижимости (в том числе местоположение в границах ценовой зоны, вид использования, площадь, объем, расположение относительно транспортных коммуникаций, степень подключения к объектам инженерной инфраструктуры, состояние и возраст основных зданий и сооружений, а также другие его характеристики) должны быть описаны с учетом состояния соответствующего сегмента рынка на основе рыночной и иной информации по сделкам (предложениям) с аналогичными объектами недвижимости на соответствующей территории.

6.5. Оценочное зонирование заключается в систематизации на дату определения кадастровой стоимости рыночной информации о сделках (предложениях) с типовыми объектами недвижимости исходя из их местоположения и вида использования с учетом существующего и перспективного развития, а также затрат на создание указанных объектов недвижимости.

6.6. Для проведения оценочного зонирования используется кадастровый план территории субъекта Российской Федерации или муниципальных образований на дату определения кадастровой стоимости, отражающий в том числе:

1) административно-территориальное деление, в том числе границы населенных пунктов;

2) сведения об утвержденных документах территориального планирования и правилах землепользования и застройки;

3) сведения о проектах планировки территорий;

4) сведения об особо охраняемых природных территориях и зонах с особым режимом использования территорий;

5) сведения о территориях общего пользования, в том числе дорожно-транспортной инфраструктуре;

6) сведения об объектах социальной и инженерно-технической инфраструктуры.

Для проведения оценочного зонирования используются также карты, включаемые в состав материалов по обоснованию схемы территориального планирования субъекта Российской Федерации и входящих в его состав муниципальных образований.

6.7. Для проведения оценочного зонирования кадастровый план территории совмещается с региональными и (или) местными геоинформационными системами (ГИС), в том числе с информационными системами объектов градостроительной деятельности муниципальных образований.

6.8. Оценочное зонирование проводится следующим образом:

6.8.1. Проводится разделение территорий на основании их основных характеристик, то есть факторов социально-экономического и иного характера, влияющих на использование территорий (природно-климатических, производственных, демографических, социально-культурных), а также удаленности от основных административных и транспортных центров и уровня инженерно-транспортного обеспечения. При этом учитываются:

1) административно-территориальное устройство субъекта Российской Федерации;

2) социально-экономическое развитие субъекта Российской Федерации и входящих в его состав муниципальных образований;

3) стратегии, программы и прогнозы социально-экономического развития субъекта Российской Федерации и входящих в его состав муниципальных образований.

На карте (картах) территории субъекта Российской Федерации или муниципального образования на основании в том числе документов территориального планирования и градостроительного зонирования, а также на основании требований охраны объектов культурного наследия, особо охраняемых природных территорий и иных природных объектов устанавливаются границы территориальных зон (в том числе в соответствии с функциональным зонированием территории и с учетом установленных градостроительных регламентов и границ зон с особыми условиями использования территорий).

6.8.2. В границах территориальной зоны анализируются виды разрешенного использования земельных участков и зданий, сооружений, ОНС, помещений, машино-мест, ЕНК, а также характеристики планируемого развития зон, определенных документами территориального планирования муниципальных образований, для выделения ценовых зон с различными основными видами использования объектов недвижимости. Выделение ценовых зон осуществляется с учетом перспектив их развития (будущей застройки). (в ред. Приказа Минэкономразвития РФ от 09.09.2019 N 548)

В качестве ценовой зоны могут быть выделены и отдельные землепользования или земельные участки, характеризующиеся особыми условиями их использования и комплексного развития, существенно отличающимися от использования окружающих земельных участков.

Оценочное зонирование в населенных пунктах и межселенных территориях с неразвитым рынком недвижимости может проводиться путем объединения земель одного или нескольких в том числе населенных пунктов. При этом земли одного или нескольких населенных пунктов могут составлять одну ценовую зону.

6.8.3. В составе каждой выделенной ценовой зоны определяются характеристики типового объекта недвижимости исходя из наиболее распространенных видов использования, основных разрешенных видов использования, то есть тех видов использования, предельные размеры и иные параметры которых соответствуют правилам землепользования и застройки (в том числе градостроительному регламенту).

Для каждого выделенного типового объекта недвижимости проводится сбор и систематизация данных рынка земельных участков и других объектов недвижимости в границах выделенных зон и устанавливаются (рассчитываются) удельные показатели средних рыночных цен в расчете на единицу площади, объема, иной характеристики.

Ценовые зоны, имеющие близкие значения удельных показателей средних рыночных цен типовых объектов, могут быть объединены в одну ценовую зону по таким объектам.

Отличие удельных показателей средних рыночных цен в расчете на единицу в том числе площади, объема типовых объектов, расположенных в различных ценовых зонах, должно быть не менее 10 процентов.

6.8.4. Выбор применяемого метода (методов) расчета средних рыночных цен типовых объектов в ценовых зонах зависит от характеристик типового объекта и наличия информации о ценах сделок и (или) реальных предложений по аналогичным объектам для выделенного типового объекта.

Основной подход к определению средней рыночной цены типового объекта в рамках оценочного зонирования основан на обобщении рыночных цен на земельные участки и иные объекты недвижимости в рамках выделенных ценовых зон, а также обобщении типичных доходов от использования объектов недвижимости с последующей их капитализацией путем применения валового рентного мультипликатора.

При отсутствии в конкретной ценовой зоне достаточной информации о рыночных ценах средняя рыночная цена такого типового объекта может быть определена в рамках применения сравнительного подхода на основе сложившихся в других выделенных ценовых зонах ценах на аналогичные типовые объекты.

6.9. По результатам оценочного зонирования составляются цифровые тематические карты (схемы) ценовых зон и устанавливаются удельные показатели средних рыночных цен в расчете на единицу площади, объема, иной характеристики типового объекта недвижимости, а также затрат на создание типового объекта недвижимости в границах этих зон. В случае если установление средних цен в конкретной ценовой зоне не может быть проведено в силу значительного диапазона рыночных цен или затрат на создание объектов недвижимости, для данной зоны может быть обозначен наиболее вероятный интервал цен, а также затрат.

6.10. Границы ценовых зон устанавливаются и описываются для каждого из выделенных типовых объектов недвижимости отдельно. Границы ценовых зон для различных типовых объектов могут совпадать между собой. Описание границ каждой ценовой зоны по каждому типовому объекту должно позволять сделать заключение о включении или невключении конкретного объекта недвижимости в ту или иную ценовую зону.

Выбор варианта описания границ ценовых зон (по привязкам координат поворотных точек ценовых зон, как совокупность кадастровых кварталов, как совокупность муниципальных образований и прочее) должен быть обоснован.

6.11. Итоговая информация по оценочному зонированию территории используется для дальнейшей работы, в том числе для определения ценообразующих факторов в процессе построения (уточнения) моделей оценки кадастровой стоимости, итоговой проверки результатов определения кадастровой стоимости. Отклонение результатов определения кадастровой стоимости по конкретному объекту недвижимости должно быть обосновано.

VII. Определение бюджетным учреждением кадастровой стоимости с применением методов массовой оценки

7.1. При определении кадастровой стоимости бюджетным учреждением проводится группировка объектов недвижимости.

Для целей определения кадастровой стоимости методами массовой оценки объекты недвижимости объединяются в группы и подгруппы (при необходимости) в соответствии с Указаниями.

Кадастровая стоимость объектов недвижимости определяется в рамках каждой из групп (подгрупп).

В рамках одной группы (подгруппы) должны быть использованы одни и те же подходы и методы, а также критерии взвешивания полученного результата.

По итогам группировки проводится ее анализ в разрезе кадастровых кварталов на достоверность и непротиворечивость.

Рекомендации по применимости подходов к оценке при определении кадастровой стоимости методами массовой оценки представлены для целей Указаний в приложении N 6 к Указаниям.

7.1.1. Сравнительный подход основан на сравнении цен сделок (предложений) по аналогичным объектам недвижимости. Сравнительному подходу отдается предпочтение перед другими подходами к оценке при развитости рынка объектов недвижимости и при достаточности и репрезентативности информации о сделках (предложениях) с объектами недвижимости. В качестве цены аналога используются сведения о цене сделки (предложения), выраженные в виде запрашиваемой, предлагаемой или уплачиваемой денежной суммы в отношении схожего по характеристикам объекта недвижимости. (в ред. Приказа Минэкономразвития РФ от 09.09.2019 N 548)

Сравнительный подход не используется или используется только для проверки результатов, полученных с применением иных подходов, при оценке зданий, сооружений, ОНС, а также для отдельных групп (подгрупп) объектов недвижимости при оценке земельных участков и ЕНК в случае отсутствия рынка недвижимости. (в ред. Приказа Минэкономразвития РФ от 09.09.2019 N 548)

7.1.2. Затратный подход основан на определении затрат, необходимых для приобретения, воспроизводства или замещения объекта недвижимости. Для использования этого подхода необходимы актуальные и достоверные данные о соответствующих затратах.

Затратный подход используется при определении кадастровой стоимости зданий, сооружений, ОНС. (в ред. Приказа Минэкономразвития РФ от 09.09.2019 N 548)

Затратный подход не рекомендуется применять при оценке земельных участков, за исключением:

- земельных участков, предназначенных для обеспечения обороны и безопасности;

- земельных участков, предназначенных для размещения памятников (в том числе монументов, обелисков, памятных знаков). (в ред. Приказа Минэкономразвития РФ от 09.09.2019 N 548)

При определении зависимости затрат от удельных показателей затрат на создание (замещение, воспроизводство) аналогичных объектов производятся корректировки на величину налога на добавленную стоимость в сторону увеличения в случае использования справочных показателей, определенных без учета налога на добавленную стоимость. В случае если типичные для рынка элементы затрат не содержат налог на добавленную стоимость, корректировка использованных справочных показателей на величину налога на добавленную стоимость по этим элементам не производится. (в ред. Приказа Минэкономразвития РФ от 09.09.2019 N 548)

7.1.3. Доходный подход основан на определении ожидаемых доходов от использования объектов недвижимости. Доходный подход рекомендуется применять при наличии надежных данных о доходах и расходах по объектам недвижимости, об общей ставке капитализации и (или) ставке дисконтирования.

7.1.4. В случае использования какого-либо из подходов для проверки результатов, полученных с применением иных подходов, результат, полученный с применением такого подхода, не участвует в процедуре согласования, но может быть указан в качестве интервала, в котором может находиться результат определения кадастровой стоимости.

7.1.5. Необходимо учитывать, что стоимость коммерческих объектов, вовлекаемых в оборот (участвующих в сделке), помимо стоимости земельного участка и зданий, сооружений, ОНС, помещений, машино-мест могут включать в себя стоимость объектов движимого имущества, отражать влияние предпринимательской деятельности и прочее. (в ред. Приказа Минэкономразвития РФ от 09.09.2019 N 548)

В случае отсутствия рыночной информации возможно использование примерных долей стоимости земельных участков, зданий, сооружений, ОНС, помещений, машино-мест, движимого имущества и прочего, приведенных для целей Указаний в приложении N 7 к Указаниям, в котором отражена информация для объектов недвижимости, находящихся в работоспособном состоянии, без учета влияния внешнего (экономического) устаревания. (в ред. Приказа Минэкономразвития РФ от 09.09.2019 N 548)

Для объектов недвижимости, находящихся в неработоспособном состоянии, а также с явно выраженными признаками внешнего (экономического) устаревания распределение может быть иным.

7.2. Определение кадастровой стоимости в рамках сравнительного подхода осуществляется одним из следующих способов (методов):

1) метод статистического (регрессионного) моделирования.

Описание метода представлено в подпункте 7.2.1 Указаний.

При невозможности включения в модель массовой оценки кадастровой стоимости всех ценообразующих факторов и при условии наличия их значений вводятся соответствующие корректировки.

При наличии индивидуальных отличий, не учтенных в модели оценки кадастровой стоимости, вводятся соответствующие корректировки;

2) метод типового (эталонного) объекта недвижимости.

Описание метода представлено в подпункте 7.2.2 Указаний. Данный метод применяется при отсутствии достаточной для построения статистической модели оценки кадастровой стоимости (далее - статистическая модель) рыночной информации для группы (подгруппы) объектов недвижимости;

3) метод моделирования на основе удельных показателей кадастровой стоимости (УПКС).

Описание метода представлено в подпункте 7.2.3 Указаний. Метод применяется для групп (подгрупп) объектов недвижимости, схожих с группами (подгруппами) объектов недвижимости, кадастровая стоимость которых определена на основе построения статистических моделей, в случаях, когда отсутствует возможность применения метода статистического (регрессионного) моделирования, метода типового (эталонного) объекта недвижимости и индивидуального определения кадастровой стоимости вследствие отсутствия точной информации о местоположении объекта недвижимости и других его характеристиках;

4) метод индексации прошлых результатов.

Описание метода представлено в подпункте 7.2.4 Указаний. Данный метод применяется для объектов недвижимости, по которым не происходило изменение характеристик по отношению к предыдущей государственной кадастровой оценке.

7.2.1. Метод статистического (регрессионного) моделирования основан на построении статистической модели оценки.

Под статистической моделью оценки понимается математическая формула, отображающая связь между зависимой переменной (кадастровая стоимость) и значениями независимых переменных (ценообразующие факторы объектов недвижимости).

Порядок подготовки и построения модели оценки кадастровой стоимости включает:

1) определение перечня ценообразующих факторов, описывающих влияние местоположения объектов недвижимости как составного фактора;

2) определение состава ценообразующих факторов, включаемых в статистическую модель, с учетом местоположения объектов недвижимости;

3) определение общего вида функций, связывающих зависимую переменную с каждым из ценообразующих факторов;

4) определение конкретного вида зависимостей переменной от ценообразующих факторов (с построением графиков) и расчет коэффициентов статистической модели;

5) анализ показателей качества статистической модели.

7.2.1.1. Для определения кадастровой стоимости для каждой сформированной группы (подгруппы) объектов недвижимости осуществляется построение статистической модели, отражающей сложившиеся на рассматриваемом рынке закономерности ценообразования. Учитывая нелинейный характер большинства зависимостей на больших пространственных рынках, необходимо строить статистические модели с индивидуально определенным для каждого ценообразующего фактора видом функции влияния. Полученные функции влияния каждого ценообразующего фактора подвергаются анализу их общего вида на соответствие выявленным закономерностям ценообразования.

Определение кадастровой стоимости осуществляется с применением статистических моделей, в том числе:

1) линейной:

;

2) мультипликативной степенной (без выделения двоичных факторов):

;

3) экспоненциальной:

,

где

Y - модельное значение зависимой переменной;

, ..., - ценообразующие факторы объектов недвижимости;

, , ..., - коэффициенты модели.

7.2.1.2. Анализ качества статистической модели.

Анализ качества статистической модели включает в себя комплекс процедур, предусматривающий проверки, в том числе:

- учета всех потенциально влияющих ценообразующих факторов, по которым объекты сравнения различаются и изменения которых способны влиять на изменение стоимости;

- обоснованности знаков при коэффициентах статистического уравнения, то есть их соответствия характеру влияния ценообразующих факторов;

- соответствия вида функции влияния каждого ценообразующего фактора (графическое отображение) характеру такого влияния, имеющемуся на рынке недвижимости;

- по t-критерию Стьюдента;

- по средней ошибке аппроксимации;

- по коэффициенту детерминации ;

- по расчетному значению F-критерия Фишера.

Показатели , F-критерий Фишера являются второстепенными, не имеющими самостоятельно значения, так как требования к ним выполняются автоматически при выполнении остальных требований.

Выбранная для определения кадастровой стоимости статистическая модель должна быть объяснимой с точки зрения рыночных данных и закономерностей ценообразования, а также обладать свойством статистической устойчивости (сбалансированности), то есть не изменять существенно своих результатов при удалении из обрабатываемой выборки отдельных объектов недвижимости.

7.2.2. При применении метода типового (эталонного) объекта недвижимости определяется стоимость типового (эталонного) объекта. В стоимость типового (эталонного) объекта могут вноситься корректировки, учитывающие отличие ценообразующих характеристик объекта недвижимости от типового (эталонного) объекта недвижимости.

Метод типового (эталонного) объекта недвижимости заключается в следующем:

1) определяется группа (подгруппа) объектов недвижимости, в которой возможно (целесообразно) типологизировать объекты недвижимости;

2) определяется основание типологизации - характеристика или группа характеристик объектов недвижимости, на основании которых можно их сгруппировать;

3) проводится типологизация объектов недвижимости;

4) формируется типовой (эталонный) объект недвижимости;

5) определяется стоимость типового (эталонного) объекта недвижимости;

6) корректируются стоимости объектов недвижимости при распространении на них стоимости типового (эталонного) объекта недвижимости.

7.2.3. Метод моделирования на основе УПКС применяется в случаях, когда отсутствует возможность применения метода статистического (регрессионного) моделирования, метода типового (эталонного) объекта недвижимости, а также методов индивидуальной оценки, вследствие недостатка информации о точном местоположении (адресе) объекта недвижимости, о других точных его характеристиках, то есть когда, в частности, отсутствуют значения ценообразующих факторов, которые необходимо было бы подставить в статистическую модель, полученную в результате применения метода статистического (регрессионного) моделирования, или для применения метода (эталонного) типового объекта недвижимости. Метод может применяться для определения кадастровой стоимости ОНС или объектов неопределенного вида использования.

Метод заключается в следующем:

1) определяется уровень детализации расположения объекта недвижимости (кадастровый квартал, населенный пункт, муниципальное образование, субъект Российской Федерации);

2) определяется среднее значение УПКС объектов недвижимости, имеющих сходство по виду использования групп (подгрупп) объектов недвижимости, существующих в пределах территориальной единицы (кадастровый квартал, населенный пункт, муниципальное образование, субъект Российской Федерации), в которой расположен объект недвижимости;

3) кадастровая стоимость объекта недвижимости определяется путем умножения среднего значения УПКС объектов недвижимости, схожих по виду использования групп (подгрупп) объектов недвижимости по кадастровому кварталу (в случае отсутствия в кадастровом квартале - в населенном пункте, муниципальном образовании, субъекте Российской Федерации), в котором расположен объект недвижимости, на его площадь, объем, иные характеристики.

В рамках данного метода средние значения УПКС могут определяться с учетом известных характеристик объекта недвижимости (материал стен, этаж (этажность), вид разрешенного использования, местоположение и прочее).

7.2.4. Метод индексации прошлых результатов заключается в индексировании значений кадастровой стоимости зданий, сооружений, ОНС, помещений, машино-мест, установленных в результате предыдущей государственной кадастровой оценки. (в ред. Приказа Минэкономразвития РФ от 09.09.2019 N 548)

Метод применяется в случае невозможности применения иных методов сравнительного подхода для зданий, сооружений, ОНС, помещений, машино-мест, по которым полностью отсутствуют характеристики, а также в случаях, предусмотренных пунктом 8.6 Указаний. (в ред. Приказа Минэкономразвития РФ от 09.09.2019 N 548)

Индексы рассчитываются самостоятельно на основании соотношения кадастровых стоимостей, полученных по итогам государственных кадастровых оценок, в порядке приоритета: по подгруппе, группе, в целом по виду объектов недвижимости, а также на основании данных рынка недвижимости.

7.3. Моделирование в рамках затратного подхода основано на определении зависимости затрат от удельных показателей затрат на создание (замещение, воспроизводство) аналогичных объектов.

7.3.1. Группы (подгруппы) зданий, сооружений, ОНС, помещений, машино-мест, кадастровая стоимость которых определяется затратным подходом, разделяются исходя из видов использования объектов недвижимости с разбивкой объектов по классу конструктивной схемы, классу качества объекта (уровню отделочных покрытий и качеству инженерных коммуникаций), классу их капитальности, условиям строительства, этажности и прочее. (в ред. Приказа Минэкономразвития РФ от 09.09.2019 N 548)

При отсутствии доступной информации по какому-либо параметру данный параметр определяется на основе допущений либо не участвует в группировке.

7.3.2. При определении кадастровой стоимости рекомендуется в качестве базы расчета использовать затраты на замещение. В рамках индивидуального определения кадастровой стоимости возможно использовать затраты на воспроизводство.

Затраты на замещение представляют собой расчетную оценку затрат на сооружение или приобретение нового современного эквивалентного объекта недвижимости по состоянию на дату определения кадастровой стоимости. Затраты на воспроизводство представляют собой расчетную оценку затрат на сооружение или приобретение точной копии объекта недвижимости по состоянию на дату определения кадастровой стоимости.

Источником затрат на финансирование создания объекта недвижимости в период строительства рекомендуется считать собственные средства, если это соответствует обычным условиям строительства объекта недвижимости на соответствующем сегменте рынка объектов недвижимости. Предпринимательский доход (прибыль предпринимателя) может быть рассчитан методом компенсации вмененных издержек (техниками доходного подхода) либо другими методами, отражающими превышение сложившихся рыночных цен над затратами на создание объекта недвижимости.

7.3.3. При расчете величины прибыли предпринимателя методом компенсации вмененных издержек необходимо учитывать все инвестиции, связанные с созданием объекта недвижимости, включая инвестиции, необходимые для приобретения прав на земельный участок, время, необходимое для проведения инженерно-изыскательских и проектных работ, а также согласования проекта.

Формула расчета прибыли предпринимателя:

, (в ред. Приказа Минэкономразвития РФ от 09.09.2019 N 548)

где (в ред. Приказа Минэкономразвития РФ от 09.09.2019 N 548)

ПП - прибыль предпринимателя (%); (в ред. Приказа Минэкономразвития РФ от 09.09.2019 N 548)

- величина авансового платежа, связанного с созданием объекта, в том числе стоимость прав на земельный участок, - доля инвестиций в i-тый период в объект недвижимости (%); (в ред. Приказа Минэкономразвития РФ от 09.09.2019 N 548)

i - порядковый номер периода;

n - количество периодов инвестирования (продолжительность строительства);

Y - норма доходности для инвестиций в строительство (процент в рассматриваемый период (месяц, квартал, год).

Затраты на проектно-изыскательские работы и строительно-монтажные работы при проведении массовой оценки принимаются равномерными за весь период их проведения. При проведении индивидуальной оценки используются приближенные к рынку графики инвестирования средств.

Норма доходности для инвестиций в строительство при использовании данных о затратах на создание объектов недвижимости, приведенных к дате определения кадастровой стоимости, рассчитывается без учета инфляции.

Возможно использовать норму доходности для инвестиций в строительство на уровне депозитов коммерческих банков со сроком вложения, сопоставимым со сроком строительства объектов недвижимости, а инфляцию для получения чистой (реальной) доходности принимать по отраслевой инфляции в строительстве.

7.3.4. Физический износ для целей Указаний - утрата полезности объекта недвижимости или его компонентов, связанная с временным фактором (естественное старение) или условиями эксплуатации, которая приводит к потере стоимости.

Физический износ рассчитывается на основании данных технической документации. При использовании данных технической документации следует учитывать дату заполнения этой документации. При использовании ретроспективных данных (дата заполнения которых отстоит более чем на 1 год от даты определения кадастровой стоимости) необходимо ввести корректировку на состояние. При наличии достаточного количества данных о физическом износе объектов рекомендуется построить модель накопления износа объектами одной группы (подгруппы) в разбивке по однотипным объектам в подобных условиях эксплуатации (развитые центры субъекта Российской Федерации, депрессивные территории).

При отсутствии достаточного для моделирования количества данных допускается использование моделей накопления физического износа, приведенных для целей Указаний в приложении N 8 к Указаниям.

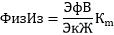
Физический износ может быть рассчитан на основании метода эффективного возраста по формуле:

,

где

ФизИз - величина физического износа объекта;

ЭфВ - эффективный возраст объекта - хронологический возраст объекта недвижимости, откорректированный в соответствии с условиями эксплуатации этого объекта недвижимости;

ЭкЖ - срок экономической жизни объекта - срок экономически целесообразной эксплуатации от создания объекта недвижимости до достижения физического состояния, при котором затраты на капитальный ремонт (реконструкцию) будут сопоставимы с затратами на новое строительство подобного объекта недвижимости. Срок экономической жизни объектов, учитываемый при определении физического износа при массовой оценке зданий, сооружений, ОНС, помещений, машиномест, приведен для целей Указаний в приложении N 9 к Указаниям; (в ред. Приказа Минэкономразвития РФ от 09.09.2019 N 548)

- коэффициент типа объекта недвижимости.

Коэффициент типа объекта недвижимости характеризует для целей Указаний предельное состояние объекта недвижимости, при котором его дальнейшая эксплуатация без проведения работ капитального характера запрещена, и принимается равным:

для жилых объектов недвижимости - 0,7;

для прочих объектов недвижимости - 0,6.

Для достижения целей определения кадастровой стоимости допускается использование разных моделей физического износа для разных групп (подгрупп) объектов недвижимости. При этом следует учитывать, что максимальная расчетная величина физического износа не может превышать предельных значений износа при эксплуатации объектов недвижимости, за исключением случаев, подтверждающих необходимость их сноса, факт их аварийного и (или) ветхого состояния.

При расчете физического износа принимается допущение, что в случае, если хронологический возраст объекта недвижимости составляет 60 и более процентов нормативного срока его службы, предполагается, что объект поддерживался в рабочем состоянии за счет периодического ремонта, при котором объект не восстанавливался до нового состояния, а устранялись лишь видимые дефекты и существующие недостатки, способные повлиять на эксплуатационные характеристики. При этом, если хронологический возраст составляет от 60 до 100 процентов от нормативного срока его службы, величина накопленного износа принимается равной 60 процентам, а если хронологический возраст превышает нормативный срок службы объекта недвижимости, то величина накопленного износа принимается равной 70 процентам.

В случае проведения капитального ремонта или реконструкции объекта в качестве срока ввода объекта в эксплуатацию (даты начала нормативного срока его службы) принимается дата завершения капитального ремонта в целом (капитальный ремонт отдельных систем и (или) конструктивных элементов не относится к капитальному ремонту в целом) или реконструкции.

7.3.5. Для целей Указаний функциональное устаревание представляет собой утрату полезности вследствие недостатков, которыми характеризуется оцениваемый объект недвижимости по сравнению с его заменителем, при условии, что такая утрата приводит к потере стоимости у оцениваемого объекта недвижимости. Функциональное устаревание учитывается при использовании в расчетах затрат на замещение объекта недвижимости. При расчете кадастровой стоимости объектов с использованием затрат на замещение расчет величины функционального устаревания допускается не производить.

Объекты культурного наследия могут обладать признаками функционального устаревания, но по таким объектам расчет величины функционального устаревания также допускается не производить.

7.3.6. Внешнее (экономическое) устаревание для целей Указаний представляет собой утрату полезности объекта недвижимости, вызванную экономическими факторами или факторами местоположения, внешними по отношению к рассматриваемому объекту недвижимости, и приводящую к потере объектом недвижимости своей стоимости.

7.3.7. В случае, когда в силу отсутствия достаточной рыночной информации достоверно определить функциональное устаревание невозможно, учитывается физический износ и внешний (экономический) износ, величина которых моделируется на основании косвенных признаков, или физический износ моделируется на основании документов технической инвентаризации с приведением величины износа к дате определения кадастровой стоимости.

7.3.8. При оценке затратным подходом помещений в зданиях и сооружениях рекомендуется производить расчет кадастровой стоимости здания или сооружения, частью которого является помещение, на основе доли площади, строительного объема, относящихся к данным помещениям, в общей площади, строительном объеме здания или сооружения. При этом в рамках затратного подхода дальнейшие корректировки на занимаемый этаж, видовые характеристики, тип входа и прочее не проводятся, за исключением помещений, расположенных в подвальных этажах зданий и (или) отличающихся по виду использования.

Оценка встроенных и встроенно-пристроенных помещений в рамках затратного подхода производится как для отдельно стоящих объектов недвижимости соответствующей функции с проведением корректировок на наличие общих конструктивных элементов (стен, крыши, фундаментов, перекрытий).

7.3.9. Оценка ОНС проводится как для объектов недвижимости, введенных в эксплуатацию. При этом необходимо учитывать процент готовности ОНС, дату начала строительного производства (выдачи разрешения на строительство), дату приостановки строительно-монтажных работ, а также наличие мероприятий по консервации ОНС.

Процент готовности ОНС (при отсутствии документального подтверждения) может быть рассчитан как отношение общей продолжительности срока, прошедшего с получения разрешения на строительство (или начала строительства) к общему сроку проектно-изыскательских работ, согласований и строительно-монтажных работ (нормативного или типичного для данного субъекта Российской Федерации). В случае если отношение равно или превышает 100 процентов, объект недвижимости оценивается как готовый к использованию. Время на ввод объекта в эксплуатацию или на завершение работ, связанных с отклонением фактического срока реализации строительства объекта недвижимости от нормативного или рыночного срока, в расчетах не учитывается.

Степень готовности ОНС рассчитывается исходя из сроков, необходимых для реализации строительного проекта по созданию объекта недвижимости, включая сроки проектно-изыскательских, строительно-монтажных и (при необходимости) пусконаладочных работ. Продолжительность проектно-изыскательских работ, включая согласование и утверждение проекта, принимается на основании рыночных или справочных (нормативных) данных.

Продолжительность строительно-монтажных работ принимается на основании рыночных данных или в соответствии с данными, приведенными для целей Указаний в приложении N 10 к Указаниям.

7.3.10. Затраты на строительство (воспроизводство, замещение) объектов недвижимости рассчитываются на основе сметных нормативов строительства, то есть на основе государственных, отраслевых, территориальных, фирменных или индивидуальных сметных нормативов, образующих систему ценообразования и сметного нормирования в строительстве, с применением утвержденных индексов цен в строительстве на строительно-монтажные работы, применяемых в сметных расчетах стоимости производственного и жилищно-гражданского строительства, и коэффициентов перехода от цен базового района к уровню цен субъектов Российской Федерации.

В случае наличия нескольких сметных нормативов применяются в первую очередь территориальные (региональные) сметные нормативы. В случае их отсутствия, или если они не утверждены, осуществляется выбор иных справочников по затратам на строительство и обоснование такого выбора.

При пересчете показателей справочников рекомендуется использовать индексы пересчета сметной стоимости строительства региональных центров по ценообразованию в строительстве.

При наличии признаков внешнего устаревания справочные показатели затрат на создание объектов должны быть откорректированы в соответствии с рекомендациями, содержащимися в подпункте 4.1.3 Указаний, и настоящим подпунктом.

При проведении расчетов возможно использовать государственные справочники сметной стоимости строительства, в том числе:

укрупненных нормативов цен строительства (НЦС);

укрупненных показателей сметной стоимости (УПСС);

укрупненных показателей сметной стоимости реставрационно-восстановительных работ по памятникам истории и культуры (СУПСС-87).

Допускается использование справочников укрупненных показателей восстановительной стоимости строительства (УПВС) при условии введения поправочных коэффициентов, помимо коэффициентов пересчета сметной стоимости строительства из цен 1969 года в цены на дату определения кадастровой стоимости, на изменение структуры накладных расходов в строительстве, возможных отчислений, связанных со страхованием строительных рисков, и прочих поправок, отражающих изменение в сметном нормировании в строительстве по отношению к году издания справочника.

Пересчет из цен справочников УПВС осуществляется по формуле:

,

где

- показатель затрат на создание (стоимость строительства) объекта недвижимости;

- удельный показатель восстановительной стоимости в ценах 1969 г., руб. на величину площади, объема, иной характеристики.

- площадь, объем, иная подобная характеристика, м3 и прочее;

- поправочные коэффициенты, учитывающие отклонения характеристик объекта недвижимости от аналогичного объекта в справочнике УПВС;

- индекс пересчета стоимости 1969 года в цены 1984 года;

- индекс пересчета стоимости 1984 года в цены на дату определения кадастровой стоимости;

ДКЗ - дополнительные косвенные затраты, не учтенные в УПВС, но необходимые в современных рыночных условиях строительства.

Справочники УПВС не применяются для объектов недвижимости, построенных после 2000 года.

Моделирование затрат на создание объекта недвижимости производится при наличии признаков внешнего устаревания исходя из рыночных данных по продаже объектов недвижимости (земельных участков с улучшениями) путем выделения доли в стоимости, приходящейся на зданий, сооружений, ОНС, помещений, машиномест, и проведения корректировок, учитывающих его состояние. Использование результатов моделирования затрат на создание объектов недвижимости для определения кадастровой стоимости допускается только в случаях получения результатов моделирования по аналогичным объектам, отличающихся не более чем на 10% от среднего значения результатов моделирования, при этом: (в ред. Приказа Минэкономразвития РФ от 09.09.2019 N 548)

количество объектов недвижимости, на основании которых проводится моделирование, должно быть не менее 50% от общего количества подобранных аналогичных объектов;

количество объектов недвижимости для каждой выборки должно быть достаточным для недопущения изменения результата расчета при добавлении новых аналогичных объектов.

При моделировании затрат на строительство учитывается коэффициент влияния местных условий строительства (соотношение смоделированных цен продаж объектов недвижимости и справочных показателей стоимости строительства), отражающий величину внешнего устаревания и (или) изменение величины затрат на создание объектов по отношению к справочным показателям этих затрат на строительство. При этом величина внешнего устаревания не должна рассчитываться отдельно. Допускается распространять величину внешнего устаревания, рассчитанную для одних групп объектов, на другие группы (подгруппы), схожие по функции использования или параметрам ценообразования.

7.4. Использование доходного подхода возможно как для определения стоимости типовых (эталонных) объектов недвижимости с последующим моделированием результатов расчета по однотипным объектам недвижимости, отличающимся единым набором основных ценообразующих факторов, так и для моделирования стоимости отдельных групп (подгрупп) объектов недвижимости. В зависимости от выбранного способа использования применяется та или иная группировка объектов недвижимости. При этом не исключается, что для объектов одного вида использования будет выбран один принцип расчета и, соответственно, группировки, а для другого - второй.

7.4.1. В рамках доходного подхода кадастровая стоимость объекта недвижимости может определяться:

1) методом прямой капитализации;

2) методом дисконтирования денежных потоков.

Объекты недвижимости оцениваются исходя из характерных для соответствующего сегмента рынка показателей доходности их использования, без учета фактического обременения арендными отношениями и индивидуальных показателей эффективности их использования.

7.4.2. Реализация техник доходного подхода осуществляется путем капитализации или дисконтирования чистого операционного дохода, связанного с использованием объектов недвижимости. При этом не учитываются налог на прибыль организаций и налог на доходы физических лиц.

Доходный подход реализуется в следующей последовательности:

определяется потенциальный валовый доход, который может приносить объект недвижимости, при этом в качестве величины арендной платы понимаются сведения о величине вероятных затрат, необходимых для аренды объекта недвижимости; (в ред. Приказа Минэкономразвития РФ от 09.09.2019 N 548)

определяется степень недозагрузки объекта и неплатежей за пользование объектом недвижимости;

определяется действительный валовый доход как разница потенциального валового дохода и неплатежей, недозагрузки;

определяется величина операционных расходов, связанных с функционированием объекта недвижимости;

определяется чистый операционный доход как разница действительного валового дохода и операционных расходов;

полученный результат дисконтируется или капитализируется в зависимости от выбранного метода.

Потенциальный валовый доход в первую очередь зависит от вида использования объекта, его особенностей и может рассчитываться от общей, полезной площади, объема, иной характеристики, количества мест (для объектов недвижимости, в которых реализуются гостиничная или санаторно-курортная функции и прочее) и отражает максимальную доходность, которую может принести рассматриваемый объект недвижимости.

При определении чистого операционного дохода потенциальный валовый доход, определенный на основе сложившейся на дату определения кадастровой стоимости рыночной арендной платы для аналогичных объектов, корректируется с учетом среднего уровня недозагрузки и операционных расходов (в том числе коммунальных расходов и затрат на текущий ремонт).

Определение кадастровой стоимости объектов недвижимости методом прямой капитализации выполняется путем деления типичного чистого операционного дохода в год на общую ставку капитализации по объектам недвижимости. Общая ставка капитализации рассчитывается в соответствии с условиями рынка соотношением годового чистого операционного дохода от сдачи аналогичных объектов недвижимости в аренду и цен сопоставимых сделок (предложений) за аналогичные объекты недвижимости. В случае невозможности рассчитать чистый операционный доход и (или) ставки капитализации на основании рыночной информации применяются показатели, указанные для целей Указаний в приложениях N 11 и N 12 к Указаниям, в случае если они подтверждаются данными соответствующего сегмента рынка недвижимости.

Для объектов недвижимости с ярко выраженными колебаниями доходов рекомендуется использовать расчет дисконтированием денежных потоков. При расчете дисконтированием денежных потоков рекомендуется использовать номинальную ставку дисконтирования, а в модель определения кадастровой стоимости закладывать прогнозную инфляцию в рассматриваемом сегменте рынка недвижимости.

Метод дисконтирования денежных потоков применяется к будущим денежным потокам с любым прогнозом изменения во времени и определяет их текущую стоимость путем дисконтирования по ставке, соответствующей доходности инвестиций. Ставка дисконтирования характеризует приведение (дисконтирование) относящихся к разным периодам времени всех обычных на данном сегменте рынка денежных потоков (доходов), в том числе от возможной их продажи в будущем. В случае невозможности определения ставок дисконтирования на основе достоверной информации об условиях продажи объектов недвижимости с действующими договорами аренды в качестве ставки дисконтирования возможно использование обычных для данного сегмента рынка ставок кредитования сделок.

7.5. В случае невозможности использования указанных выше методов определения кадастровой стоимости допускается применение иных методов определения кадастровой стоимости, использование которых должно быть обосновано. При этом также необходимо обосновать использование изложенных в Указаниях методов.

VIII. Определение бюджетным учреждением кадастровой стоимости в рамках индивидуального расчета

8.1. Индивидуальный расчет может применяться при определении кадастровой стоимости в следующих случаях:

1) требуется определение стоимости эталонного (типового) объекта с заданными характеристиками, относительно которого будут моделироваться стоимости объектов недвижимости;

2) требуется определение стоимости конкретных объектов недвижимости с целью обеспечения достаточного количества информации о рынке (сегменте рынка) объектов недвижимости; (в ред. Приказа Минэкономразвития РФ от 09.09.2019 N 548)

3) невозможности расчета с применением моделирования стоимости, в том числе статистической обработки объектов, в силу недостаточного количества информации о рынке (сегменте рынка) объектов недвижимости;

4) определение кадастровой стоимости особо сложных объектов недвижимости, обладающих уникальными характеристиками.

8.2. Индивидуальный расчет осуществляется исходя из вида использования оцениваемого объекта. (в ред. Приказа Минэкономразвития РФ от 09.09.2019 N 548)

В случае если имеются основанные на конкретных фактах и юридически разрешенных условиях использования территории основания полагать, что вид использования объекта недвижимости изменится (учет будущего развития за счет изменения вида использования) и это изменение приведет к более высоким доходам от использования данного объекта или его продажи (отчуждения), следует учитывать это при составлении моделей определения кадастровой стоимости такого объекта.

8.3. Для объектов, стоимость которых преимущественно формируется за счет предпринимательской деятельности (гостиничные комплексы, санаторно-курортные объекты, автозаправочные станции, объекты общественного питания, производственные комплексы и прочее), при использовании сравнительного и доходного подходов следует исключать в том числе вклад предпринимательской деятельности в стоимость объекта недвижимости, а также долю стоимости движимого имущества, являющегося самостоятельным объектом имущественного налогообложения.

8.4. Оценка земельных участков, являющихся частью единого производственно-технологического комплекса (условно сформированный единый объект недвижимости на основании устойчивых производственно-технологических и иных связей), проводится на основе оценки всего комплекса. Стоимость конкретного земельного участка или другого объекта недвижимости, входящих в состав единого производственно-технологического комплекса, рассчитывается соразмерно их вкладу в генерирование доходов от данного комплекса и (или) затрат на их создание и (или) пропорционально их доли площади или другим физическим характеристикам. В случае существенного (более 20%) расхождения результатов расчета в рамках затратного и других подходов к оценке рассматриваемых объектов необходимо провести анализ причин такого расхождения и провести необходимые корректировки. Все доходы сверх достаточных (обоснованных рынком) для компенсации затрат на создание рассматриваемого комплекса с учетом величины предпринимательской прибыли рекомендуется относить к доходам от предпринимательской деятельности и не учитывать в стоимости объектов недвижимости.

8.5. Оценка сооружений преимущественно проводится с использованием затратного подхода. Возможно использование доходного и сравнительного подходов, однако при этом следует учитывать возможное влияние на результат расчета в том числе движимого имущества, а также объектов, которые могут быть самостоятельными объектами кадастрового учета, в том числе земельных участков. (в ред. Приказа Минэкономразвития РФ от 09.09.2019 N 548)

8.6. В качестве исходных данных для моделирования, а также для установления кадастровой стоимости возможно использовать результаты иных оценок - отчетов об определении рыночной стоимости объектов недвижимости (в том числе выполненных по заказу самих правообладателей данных объектов недвижимости), а также заключений экспертов, выполненных в процессе судопроизводства, в целях повышения достоверности результатов определения кадастровой стоимости, с обязательной индексацией этих результатов на дату определения кадастровой стоимости. (в ред. Приказа Минэкономразвития РФ от 09.09.2019 N 548)

IX. Группировка бюджетным учреждением объектов недвижимости Особенности применения подходов

9.1. Для целей определения кадастровой стоимости объекты недвижимости, подлежащие оценке, могут быть объединены в группы (подгруппы) на основе сегментации объектов недвижимости.

9.2. Группировка объектов недвижимости должна ориентироваться на сложившиеся сегменты рынка недвижимости и быть основана на результатах анализа информации о рынке объектов недвижимости, модели оценки кадастровой стоимости, составе ценообразующих факторов и сведений о значениях ценообразующих факторов объектов недвижимости для каждого исследуемого объекта недвижимости. (в ред. Приказа Минэкономразвития РФ от 09.08.2018 N 419)

Для проведения группировки обосновывается выбор показателей, значений или диапазона значений данных показателей для отнесения объектов недвижимости к соответствующим группам (подгруппам).

Объекты недвижимости, строительство которых не завершено, не могут быть отнесены к одной группе с объектами недвижимости, строительство которых завершено.

Не допускается отнесение одного объекта недвижимости к двум и более группам (подгруппам).

9.2.1. Рекомендуемые коды для зданий, сооружений, ОНС, помещений, машино-мест, позволяющие разбить объекты на основные группы (подгруппы), приведены для целей Указаний в приложении N 2 к Указаниям. (в ред. Приказа Минэкономразвития РФ от 09.09.2019 N 548)

Код объекта присваивается согласно следующему правилу:

,

где:

XX:УУУ - сегмент (первый уровень) и группа (второй уровень) - обязательный к указанию код расчета вида использования для целей Указаний в соответствии с приложением N 1 к Указаниям;

ZZZZ - обязательный номер подгруппы, назначаемый для целей Указаний в соответствии с приложением N 2 к Указаниям;

TT - номер подгруппы по порядку наибольшего уровня.

При проведении группировки зданий, сооружений, ОНС, помещений, машино-мест и ЕНК следует разделять в отдельные подгруппы объекты недвижимости, строительство которых завершено, и ОНС, а также объекты, точное местоположение которых возможно установить, и объекты, точное местоположение которых невозможно установить. (в ред. Приказа Минэкономразвития РФ от 09.09.2019 N 548)

К подгруппе объектов, точное местоположение которых возможно установить, относятся объекты, местоположение которых:

возможно установить до уровня дома;

возможно установить до уровня улицы;

возможно установить до уровня кадастрового квартала.

При этом для объектов, расположенных в населенных пунктах, численностью до 1 тысячи человек, отнесенных к подгруппе объектов, точное местоположение которых возможно установить, допустимым является установление местоположения до уровня населенного пункта.

К подгруппе объектов, точное местоположение которых невозможно установить, относятся объекты, местоположение которых:

возможно установить только до уровня населенного пункта, за исключением населенных пунктов численностью до 1 тысячи человек;

возможно установить только до уровня муниципального образования;

возможно установить только до уровня субъекта Российской Федерации.

При этом объекты, расположенные в сельских населенных пунктах, относить к подгруппе объектов, точное местоположение которых невозможно установить, недопустимо в случае, когда местоположение возможно установить до уровня населенного пункта.

При наличии объектов, точное местоположение которых установить невозможно, такая группировка является обязательной.

В зависимости от субъекта Российской Федерации (муниципального образования) разделение на группы (подгруппы) производится по принципу:

объекты, расположенные в административном центре (столице) субъекта Российской Федерации (крупном торгово-промышленном городе);

объекты, расположенные в крупных и крупнейших городских населенных пунктах, численностью от 100 тыс. человек;

объекты, расположенные в средних городских населенных пунктах, численностью от 50 до 100 тыс. человек;

объекты, расположенные в прочих городских населенных пунктах;

объекты, расположенные в сельских населенных пунктах, численностью от 1 тысячи человек;

объекты, расположенные в средних сельских населенных пунктах, численностью от 200 до 1 тысячи человек;

объекты, расположенные в прочих сельских населенных пунктах и на межселенной территории.

Для всех групп (подгрупп) следует выделять уровень группировки с разбивкой на группы (подгруппы) объектов типовой застройки, а также объектов индивидуальной (уникальной) застройки.

Определение кадастровой стоимости зданий, сооружений, ОНС, помещений, машино-мест осуществляется с использованием методов, предусмотренных Указаниями, или иных методов, использование которых должно быть обосновано, с обоснованием отказа от использования изложенных в Указаниях методов. (в ред. Приказа Минэкономразвития РФ от 09.09.2019 N 548)

Сегментирование и группировка первого и второго уровней (XX:УУУ) обязательна к указанию для всех зданий, сооружений, ОНС, помещений, машино-мест. (в ред. Приказа Минэкономразвития РФ от 09.09.2019 N 548)

9.2.2. Для целей определения кадастровой стоимости земельные участки группируются в соответствии с кодами расчета видов использования независимо от категории земель на 14 основных сегментов в соответствии с приложением N 1 к Указаниям:

1) 1 сегмент "Сельскохозяйственное использование";

2) 2 сегмент "Жилая застройка (среднеэтажная и многоэтажная)";

3) 3 сегмент "Общественное использование";

4) 4 сегмент "Предпринимательство";

5) 5 сегмент "Отдых (рекреация)";

6) 6 сегмент "Производственная деятельность";

7) 7 сегмент "Транспорт";

8) 8 сегмент "Обеспечение обороны и безопасности";

9) 9 сегмент "Охраняемые природные территории и благоустройство";

10) 10 сегмент "Использование лесов";

11) 11 сегмент "Водные объекты";

12) 12 сегмент "Специальное, ритуальное использование, запас";

13) 13 сегмент "Садоводство и огородничество, малоэтажная жилая застройка"; (в ред. Приказа Минэкономразвития РФ от 09.08.2018 N 419)

14) 14 сегмент "Иное использование" - вид использования земельных участков, не указанный в предыдущих 13 сегментах. При отнесении в эту группу обязательно проводится дополнительная группировка по одинаковым видам использования с указанием вида использования земельных участков.

Все земельные участки группируются с присвоением кода согласно следующему правилу:

,

где:

AA:BBB - сегмент (первый уровень) и группа (второй уровень) - обязательный к указанию код расчета вида использования для целей Указаний в соответствии с приложением N 1 к Указаниям;

CC - номер подгруппы по порядку третьего уровня;

DD - номер подгруппы по порядку наибольшего уровня.

Сегментирование и группировка первого и второго уровней (AA:BBB) обязательна к указанию для всех земельных участков.

9.2.2.1. Земельные участки сегмента "Сельскохозяйственное использование".

9.2.2.1.1. К земельным участкам сельскохозяйственного использования для целей Указаний относятся земельные участки со следующими кодами расчета видов использования: 01:010; 01:020; 01:030; 01:031; 01:032; 01:040; 01:041; 01:042; 01:050; 01:051; 01:052; 01:053; 01:054; 01:060; 01:070; 01:080; 01:081; 01:082; 01:083; 01:084; 01:085; 01:086; 01:120; 01:121; 01:130; 01:131; 01:140; 01:141; 01:142; 01:160; 01:170; 01:171; 02:012; 02:015; 02:022; 02:033. (в ред. Приказа Минэкономразвития РФ от 09.08.2018 N 419)

9.2.2.1.2. Определение кадастровой стоимости земельных участков производится с учетом особенностей сельскохозяйственного и агроклиматического районирований территории.

9.2.2.1.3. При определении кадастровой стоимости сельскохозяйственных угодий в составе факторов стоимости следует учитывать плодородие земельного участка, а также влияние природных факторов.

К числу основных факторов, определяющих плодородие почв земельного участка, в частности, относятся качественные характеристики почвенного слоя земельного участка (содержание и мощность гумусового слоя, содержание физической глины, свойства почв, такие как степень эродированности, оглеение, солонцеватость, солончаковатость, легкий гранулометрический состав и прочее, а также агроэкологический потенциал).

9.2.2.1.4. При определении кадастровой стоимости требуется дополнительный анализ в отношении возможного будущего сельскохозяйственного использования земельных участков.

9.2.2.1.5. Определение кадастровой стоимости сельскохозяйственных угодий, пригодных под пашню, осуществляется методом капитализации земельной ренты, которая рассчитывается как разность между валовым доходом и затратами на возделывание и уборку сельскохозяйственной продукции. Валовой доход рассчитывается для единицы площади земельного участка как произведение нормативной урожайности сельскохозяйственной культуры на ее рыночную цену.

9.2.2.1.5.1. Нормативная урожайность сельскохозяйственной культуры для целей Указаний определяется в следующей последовательности:

1) определяется перечень почвенных разностей и площади, занимаемой каждой из них. Перечень почвенных разностей определяется в соответствии с Единым государственным реестром почвенных ресурсов России, но может быть уточнен по документально подтвержденным данным почвенных карт о составе и состоянии почв конкретных хозяйств в год, предшествующий дате определения кадастровой стоимости;

2) определяется перечень всех сельскохозяйственных культур, возможных к выращиванию, в разрезе почвенных разностей (далее - перечень культур);

3) осуществляется выбор в разрезе почвенных разностей на основе перечня культур допустимых чередований посевов (далее - севооборот), характеризующихся набором сельскохозяйственных культур, их чередованием, количеством полей, занимаемых каждой сельскохозяйственной культурой и общим количеством полей севооборота. Выбор основных и сопутствующих сельскохозяйственных культур осуществляется из набора культур типичных или традиционно возделываемых в месте расположения на основе данных почвенных обследований и материалов агроклиматического оценочного зонирования субъектов Российской Федерации. При этом критериями выбора культур и их чередования являются обеспечение наибольшего дохода и сохранение плодородия почв;

4) определяется валовый доход на единицу площади для каждой сельскохозяйственной культуры из состава перечня культур как произведение ее нормативной урожайности на прогнозируемую цену реализации этой культуры (далее - удельный валовый доход сельскохозяйственной культуры). Валовый доход на единицу площади для каждого севооборота определяется как сумма произведений удельных валовых доходов сельскохозяйственных культур севооборота и площадей полей, занимаемых сельскохозяйственными культурами, деленная на суммарную площадь полей севооборота (далее - удельный валовый доход).

Прогнозируемая цена реализации каждой сельскохозяйственной культуры рассчитывается исходя из анализа среднегодовых рыночных цен реализации, сложившихся за трех - пятилетний период, предшествующий году определения кадастровой стоимости, с учетом индексации этих цен на дату определения кадастровой стоимости на условиях самовывоза.

9.2.2.1.5.2. Площади почвенных разностей в составе земельного участка для целей Указаний определяются путем соотнесения границ почвенных разностей, устанавливаемых на основе крупномасштабных почвенных карт, и границ земельных участков в составе земель сельскохозяйственного использования, устанавливаемых на основе данных ЕГРН.

В случае отсутствия сведений о местоположении границ земельных участков, устанавливаемых на основе данных ЕГРН, для целей Указаний возможно проводить оценку земельных участков в границах территорий бывших хозяйств (колхозы, совхозы и прочее). При этом имеющиеся почвенные характеристики по бывшим хозяйствам, соответственно, применяются к данным земельным участкам, входящим в границы территорий, занимаемых бывшими хозяйствами. При невозможности определения местоположения земельного участка в границах бывших хозяйств и (или) отсутствии данных по бывшему хозяйству необходимо использовать структуру почвенных разностей по муниципальному образованию.

9.2.2.1.5.3. Определение затрат на единицу площади для целей Указаний на возделывание и уборку сельскохозяйственной продукции рекомендуется производить на основе технологических карт и среднегодовых рыночных цен исходя из анализа среднегодовых рыночных цен, сложившихся за трех - пятилетний период, предшествующий году определения кадастровой стоимости, с учетом индексации этих цен на дату определения кадастровой стоимости. При отсутствии технологических карт возможно использование форм отчетности и статистических данных. Технологические карты устанавливают фактические (при отсутствии - статистические) затраты семян, горюче-смазочных материалов, удобрений и прочие затраты в натуральном выражении. (в ред. Приказа Минэкономразвития РФ от 09.09.2019 N 548)

Величина затрат на единицу площади для каждого севооборота для целей Указаний определяется как сумма произведений удельных затрат на возделывание сельскохозяйственных культур и площади полей, занятых этими культурами, поделенная на общую площадь полей в севообороте (далее - удельные затраты на возделывание).

При расчете затрат в обязательном порядке должны учитываться затраты на поддержание плодородности почв для каждого севооборота.

9.2.2.1.6. Залежь для целей Указаний оценивается с учетом затрат, связанных с подготовкой к севообороту.

9.2.2.1.7. При расчете валового дохода многолетних насаждений для целей Указаний рекомендуется исходить из периодичности их плодоношения и нормативной (при отсутствии - статистической) урожайности плодово-ягодной продукции. При этом учитывается:

возраст многолетних насаждений;

породно-сортовой состав многолетних насаждений;

особенности пространственного размещения многолетних насаждений в границах территории.

9.2.2.1.8. Кадастровая оценка оленьих пастбищ проводится исходя из оленеемкости оцениваемой территории капитализацией расчетного рентного дохода с 1 га оцениваемого участка. Расчетный рентный доход устанавливается как разность между удельным валовым доходом и удельными затратами на производство продукции оленеводства.

9.2.2.1.8.1. Оленеемкость для целей Указаний определяется по материалам "Поконтурных ведомостей к геоботаническим картам". Для определения кадастровой стоимости выбирается сезон с максимальной оленеемкостью. Выбранная величина оленеемкости рассчитывается исходя из того, что на один год выпаса должно приходиться два года восстановления оленьих пастбищ.

При отсутствии данных по оленеемкости оцениваемой территории в расчетах для целей Указаний используется средневзвешенная оленеемкость смежных оленеводческих хозяйств или средневзвешенная оленеемкость по субъекту Российской Федерации.

9.2.2.1.8.2. Удельный валовый доход от оленеводства для целей Указаний определяется как произведение допустимого валового убоя оленей (количество голов) с 1 га оцениваемой территории на среднюю по муниципальному образованию субъекта Российской Федерации стоимость продукции с одного забитого оленя.

Средняя по муниципальному образованию субъекта Российской Федерации стоимость продукции с одного забитого оленя для целей Указаний определяется как средняя по муниципальному образованию субъекта Российской Федерации за последние три - пять лет цена 1 кг живого веса с учетом индексации цен на дату определения кадастровой стоимости.

Средние данные по составу стада, а также живому весу оленей для целей Указаний приведены в приложении N 13 к Указаниям.

9.2.2.1.9. Земельные участки, занятые обособленными водными объектами или их частями, в том числе участки, занятые объектами рыбного хозяйства (коды расчета вида использования 01:130, 01:131), оцениваются для целей Указаний исходя из возможности разведения рыбы.

9.2.2.1.9.1. Расчет кадастровой стоимости участков, занятых обособленными водными объектами, в том числе участков, занятых объектами рыбного хозяйства, осуществляется методом капитализации земельной ренты.

9.2.2.1.9.2. Земельная рента для целей Указаний рассчитывается как разность между валовым доходом и затратами на разведение рыбы. Валовой доход для целей Указаний рассчитывается для единицы площади земельного участка как произведение массы выращенной и готовой к реализации рыбы на ее рыночную цену.

9.2.2.1.9.3. Для крупных водных объектов определение кадастровой стоимости целесообразно осуществлять исходя из разведения рыбы в садках, для небольших по площади - без устройства садков в открытом водоеме. Вид рыбы для разведения при определении кадастровой стоимости зависит от условий водного объекта.

9.2.2.1.9.4. Для целей Указаний валовый доход, получаемый от реализации рыбы, учитывается исходя из реализации на месте (без учета доставки потребителю) с учетом набора массы рыбой. Для целей Указаний цена реализации рыбы рассчитывается на килограмм живого веса отлавливаемой рыбы исходя из анализа среднегодовых рыночных цен реализации, сложившихся за трех - пятилетний период, предшествующий году определения кадастровой стоимости на условиях самовывоза с учетом индексации этих цен на дату определения кадастровой стоимости. Расчетом необходимо предусматривать реализацию всей годной к продаже выращенной отлавливаемой рыбы без предварительной ее переработки. Возможная переработка рыбы и реализация в виде полуфабрикатов или готовой продукции в расчете не учитывается.

Расчетом следует предусматривать годовой прирост массы рыбы, естественную убыль.

Для целей Указаний валовый доход рассчитывается исходя из плотности посадки рыбы, в том числе:

нормальной посадки при выращивании на естественной кормовой базе (посадке, при которой рыба достигает стандартной массы на естественной кормовой базе);

посадки при выращивании в садках исходя из данных, приведенных для целей Указаний в приложении N 14 к Указаниям.

9.2.2.1.9.5. Общая величина затрат рассчитывается аккумулированием затрат, приведенных к ценам на дату определения кадастровой стоимости, необходимых для создания рыбного хозяйства.

9.2.2.1.10. При расчете доходов и затрат для целей Указаний необходимо учитывать уровень инженерного обустройства земельного участка, в том числе плотность дорожной сети, классность дорог, близость к транспортным магистралям, пунктам переработки и сбыта сельскохозяйственного сырья и центрам материально-технического снабжения, то есть провести оценку местоположения земельных участков.

9.2.2.2. Земельные участки сегмента "Охраняемые природные территории и благоустройство".

9.2.2.2.1. К земельным участкам охраняемых природных территорий и объектов благоустройства для целей Указаний относятся участки с кодами расчета видов использования: 02:016; 02:032; 02:052; 02:062; 05:031; 09:010; 09:020; 09:022; 12:002; 12:003. (в ред. Приказа Минэкономразвития РФ от 09.08.2018 N 419)

9.2.2.2.2. Определение кадастровой стоимости земельных участков осуществляется при проведении анализа возможности получения дохода.

9.2.2.2.3. Пункт утратил силу. (в ред. Приказа Минэкономразвития РФ от 09.09.2019 N 548)

9.2.2.3. Земельные участки сегмента "Использование лесов".

9.2.2.3.1. К земельным участкам использования лесов для целей Указаний относятся земельные участки с кодами расчета видов использования: 10:010; 10:020; 10:030; 10:040.

9.2.2.3.2. Земельные участки, занятые защитными, эксплуатационными или резервными лесами, для целей Указаний включают:

1) земельные участки, занятые спелыми и перестойными насаждениями, пригодными для осуществления рубок лесных насаждений (далее - земельные участки, занятые спелыми насаждениями);

2) земельные участки, занятые приспевающими насаждениями;

3) земельные участки, занятые насаждениями, которые не входят в категорию приспевающих, спелых и перестойных лесов, поскольку заняты молодняками, средневозрастными насаждениями (далее - земельные участки, занятые неспелыми насаждениями);

4) земельные участки, не покрытые лесной растительностью, но предназначенные для ее восстановления (далее - земельные участки, не покрытые лесом).

9.2.2.3.3. При определении кадастровой стоимости лесных земель следует рассматривать состав сформированного земельного участка с учетом вида использования (покрытый растительностью, не покрытый растительностью, занятый объектами инфраструктуры и прочее) и по характеру растительности (лесообразующим породам, спелости насаждений, процентному содержанию насаждений разной степени спелости, наличию лесосек).

9.2.2.3.4. При определении удельного показателя кадастровой стоимости земель лесного фонда, занятых защитными, эксплуатационными или резервными лесами, в расчет принимается один вид лесопользования - массовая заготовка древесины. Остальные виды лесопользования (заготовка живицы, выдача порубочных билетов физическим лицам и прочее) при определении кадастровой стоимости не учитываются.

9.2.2.3.5. Определение кадастровой стоимости земельных участков, занятых защитными, эксплуатационными или резервными лесами, осуществляется в следующем порядке:

1) определение основных лесообразующих пород, их спелости, процентного содержания лесообразующих пород разной степени спелости, наличия лесосек по материалам лесоустройства;

2) определение продуктивности земель, занятых спелыми насаждениями по основным лесообразующим породам и оборотам рубки, в денежном выражении (на основании материалов лесоустройства в субъекте Российской Федерации).

Продуктивность земель, занятых спелыми насаждениями, по основным лесообразующим породам для целей Указаний в денежном выражении равна произведению запаса древесины на рыночную цену 1 куб. м древесины, отпускаемой на корню. Для приспевающих и неспелых насаждений для целей Указаний расчет проводится аналогичным образом, но учитывается прогнозное время начала рубки (исходя из достижения времени спелости древесины).

Рыночная цена 1 куб. м древесины, отпускаемой на корню на 1 гектаре спелых насаждений, определяется для целей Указаний из результатов лесных аукционов с разделением аукционов по продаже деловой и дровяной древесины. При проведении расчетов используются усредненные по лесничествам результаты лесных аукционов по лесообразующим породам, видам древесины (деловая, дровяная), спелости насаждений и типовых условий договора рубки (срок, восстановительные мероприятия и прочее). В случае отсутствия данных по лесничеству используются средние данные по субъекту Российской Федерации;

3) определение для целей Указаний величины затрат на воспроизводство земель лесного фонда по основным лесообразующим породам и оборотам рубки путем суммирования фактических затрат за соответствующий год на восстановление, выращивание, охрану, защиту лесов и управленческие расходы, выраженные в рублях, финансируемые за счет федерального, регионального и местного бюджетов. Указанные затраты, финансируемые за счет арендатора, учету не подлежат;

4) определение величины ставки дисконтирования;

5) построение временной шкалы с количеством лет, равных одному обороту рубки преобладающей лесообразующей породы с отражением потенциального дохода от вовлечения леса в оборот и затрат, финансируемых за счет бюджета с отнесением потенциальных доходов и предполагаемых затрат на соответствующий год;

6) дисконтирование разности в потенциальных доходах и затратах, взятых по каждому году временной шкалы;

7) определение кадастровой стоимости земель лесного фонда, занятых защитными, эксплуатационными или резервными лесами как суммы дисконтированных показателей временной шкалы каждого года.

9.2.2.3.6. Определение по каждой лесообразующей породе и оборотам рубки количества лет, через которое насаждения войдут в категорию спелых, осуществляется для целей Указаний на основании материалов лесоустройства в субъекте Российской Федерации.

9.2.2.4. Земельные участки сегментов "Жилая застройка (среднеэтажная и многоэтажная)" и "Садоводство и огородничество, малоэтажная жилая застройка". (в ред. Приказа Минэкономразвития РФ от 09.08.2018 N 419)

9.2.2.4.1. К земельным участкам жилой застройки (среднеэтажной и многоэтажной) для целей Указаний относятся земельные участки с кодами расчета вида использования: 02:050; 02:051; 02:060; 02:061.

К земельным участкам, предназначенным для ведения садоводства или огородничества, малоэтажной жилой застройки для целей Указаний относятся земельные участки с кодами расчета видов использования: 02:010; 02:011; 02:013; 02:014; 02:020; 02:021; 02:030; 02:031; 13:011; 13:021. (в ред. Приказа Минэкономразвития РФ от 09.08.2018 N 419)

9.2.2.4.2. Определение кадастровой стоимости земельных участков осуществляется в следующем порядке:

1) группировка земельных участков на территории субъекта Российской Федерации:

2) определение удельного показателя кадастровой стоимости для каждой группы (подгруппы) земельных участков;

3) определение кадастровой стоимости земельных участков в составе группы (подгруппы).

9.2.2.4.2.1. Группировка земельных участков жилой застройки, земельных участков, предназначенных для ведения садоводства и огородничества, для целей Указаний предполагает следующую последовательность действий: (в ред. Приказа Минэкономразвития РФ от 09.08.2018 N 419)

1) разделение земельных участков рассматриваемых сегментов в субъекте Российской Федерации на следующие группы:

- многоэтажные многоквартирные жилые дома;

- среднеэтажные многоквартирные жилые дома;

- блокированные жилые дома;

- иные многоквартирные жилые дома;

- индивидуальные жилые дома;

- личные подсобные хозяйства с правом застройки;

- садовые земельные участки; (в ред. Приказа Минэкономразвития РФ от 09.08.2018 N 419)

- огородные земельные участки. (в ред. Приказа Минэкономразвития РФ от 09.08.2018 N 419)

В случае идентичности ценообразующих факторов группы могут быть объединены.

9.2.2.4.2.2. Определение удельного показателя кадастровой стоимости включает:

1) определение перечня ценообразующих факторов для каждой из групп земельных участков;

2) определение для каждой группы земельных участков земельного участка, обладающего в разрезе ценообразующих факторов наиболее вероятными характеристиками по отношению к земельным участкам (типовой (эталонный) земельный участок);

3) объединение типовых (эталонных) земельных участков в подгруппы на основе схожести их характеристик, определенных в разрезе ценообразующих факторов для группы земельных участков;

4) сбор достаточной рыночной информации на земельные участки по каждой из полученных подгрупп;

5) проведение для подгруппы статистического анализа связи между рыночной ценой и (или) рыночной стоимостью типовых (эталонных) земельных участков и ценообразующими факторами и последующее установление уравнения данной связи (статистической (регрессионной) модели) для подгруппы;

6) определение УПКС типового (эталонного) земельного участка подгруппы земельных участков.

Определение УПКС типового (эталонного) земельного участка подгруппы земельных участков осуществляется путем определения кадастровой стоимости типового (эталонного) земельного участка посредством подстановки в статистическую (регрессионную) модель его индивидуальных характеристик, определенных в разрезе ценообразующих факторов, и ее последующего деления на его площадь;

7) определение кадастровой стоимости земельных участков в группе путем умножения площади этих земельных участков на УПКС типового (эталонного) земельного участка в группе.

При наличии индивидуальных отличий земельных участков, как то: подтапливаемая территория, наличие возле земельного участка или на его территории санитарно-защитной зоны и прочее, вводятся учитывающие указанные факторы корректировки, которые должны быть обоснованы.

Определение кадастровой стоимости типового (эталонного) земельного участка также может осуществляться индивидуально в отношении земельного участка в соответствии с главой VIII Указаний.

Определение УПКС земельных участков, за исключением средне- и многоэтажной жилой застройки, входящих в группу с недостаточной информацией о рыночных ценах и (или) рыночных стоимостях земельных участков, осуществляется с применением мультипликатора, равного отношению минимального УПКС земельных участков группы жилой застройки с достаточной информацией о рыночных ценах и (или) рыночных стоимостях земельных участков к среднему значению УПКС земельных участков группы сельскохозяйственного использования, расположенных в ближайшем окружении (в границах одного муниципального образования либо соседних муниципальных образований), с достаточной информацией о рыночных ценах и (или) рыночных стоимостях земельных участков.

Для участков средне- и многоэтажной жилой застройки, входящих в группу с недостаточной информацией о рыночных ценах и (или) рыночных стоимостях земельных участков, расчет кадастровой стоимости определяется индивидуально в соответствии с главой VIII Указаний.

9.2.2.5. Земельные участки сегмента "Производственная деятельность".

9.2.2.5.1. К земельным участкам производственной деятельности для целей Указаний относятся коды расчета видов использования земельных участков: 01:087; 01:088; 01:090; 01:091; 01:092; 01:100; 01:101; 01:102; 01:110; 01:111; 01:112; 01:122; 01:132; 01:150; 01:172; 01:180; 01:181; 01:182; 03:011; 03:012; 03:093; 04:095; 04:098; 04:099; 05:040; 06:010; 06:011; 06:012; 06:013; 06:014; 06:020; 06:021; 06:030; 06:031; 06:040; 06:050; 06:060; 06:070; 06:071; 06:072; 06:073; 06:074; 06:080; 06:090; 06:091; 06:092; 06:093; 06:100; 06:101; 06:110; 06:111; 07:010; 07:011; 07:012; 07:013; 07:014; 07:015; 07:020; 07:030; 07:031; 07:032; 07:040; 07:041; 07:042; 07:050; 07:051; 08:010; 08:012; 08:013; 08:031; 10:011; 10:012; 11:030; 12:001.

9.2.2.5.2. Определение кадастровой стоимости земельных участков предполагает следующую последовательность действий:

1) группировка земельных участков различных видов использования;

2) определение УПКС земельных участков каждой группы (подгруппы);

3) расчет кадастровой стоимости земельных участков.

9.2.2.5.3. Группировка земельных участков.

9.2.2.5.3.1. Расчет кадастровой стоимости земельных участков с кодами расчета видов использования: 05:040; 06:070; 06:071; 06:072; 06:073; 07:011; 07:014; 07:031; 07:032; 07:040; 11:030, осуществляется в соответствии с требованиями главы VIII Указаний.

9.2.2.5.3.2. Определение кадастровой стоимости земельных участков с кодами расчета видов использования: 01:087; 01:088; 01:090; 01:091; 01:092; 01:100; 01:101; 01:102; 01:110; 01:111; 01:112; 01:122; 01:132; 01:150; 01:172; 01:180; 01:181; 06:020; 06:021; 06:030; 06:031; 06:040; 06:050; 06:060; 06:090; 06:092; 06:101; 06:110; 06:111; 07:012; 07:013; 07:042; 08:010; 08:012; 10:011, осуществляется в следующем порядке:

- группировка земельных участков на основе схожести их характеристик, определенных в разрезе ценообразующих факторов;

- определение кадастровой стоимости земельных участков.

1) группировка земельных участков предполагает следующую последовательность действий:

определение перечня ценообразующих факторов для земельных участков на уровне населенного пункта, муниципального образовании, субъекта Российской Федерации, Российской Федерации;

объединение земельных участков в группы (подгруппы) на основе схожести их характеристик;

сбор достаточной рыночной информации на земельные участки по каждой из полученных групп (подгрупп);

2) проведение статистического анализа связи между рыночной ценой и (или) рыночной стоимостью земельных участков и ценообразующими факторами и последующее установление уравнения данной связи (статистической (регрессионной) модели);

3) определение кадастровой стоимости земельных участков, входящих в группу (подгруппу) с достаточной информацией о рыночных ценах и (или) рыночной стоимости земельных участков, осуществляется путем подстановки в уравнение связи между рыночной ценой и (или) рыночной стоимостью земельных участков и ценообразующими факторами индивидуальных характеристик земельного участка, определенных в разрезе ценообразующих факторов, или методом сравнения продаж.

9.2.2.5.3.3. Расчет кадастровой стоимости земельных участков с кодами расчета видов использования: 03:011; 06:074; 06:080; 07:010; 07:015; 07:020; 07:030; 07:050; 10:012; 12:001.

Определение кадастровой стоимости осуществляется с использованием значений УПКС земельных участков, граничащих с указанными земельными участками.

УПКС оцениваемого земельного участка определяется как средневзвешенное значение УПКС граничащих земельных участков исходя из протяженности общей границы соседних земельных участков с оцениваемым земельным участком.

Кадастровая стоимость земельных участков определяется путем умножения УПКС земельных участков на их площадь.

9.2.2.5.3.4. Расчет кадастровой стоимости земельных участков с кодами расчета видов использования: 04:095; 04:098; 04:099.

Определение кадастровой стоимости земельных участков осуществляется в следующем порядке:

группировка земельных участков;

определение типового (эталонного) земельного участка для каждой из групп (подгрупп) земельных участков;

расчет рыночной стоимости типовых (эталонных) земельных участков в соответствии с требованиями главы VIII Указаний;

определение удельного показателя кадастровой стоимости земельных участков путем деления рыночной стоимости типовых (эталонных) земельных участков на их площадь;

корректировка стоимости типовых (эталонных) участков, учитывающая отличие значений ценообразующих факторов каждого конкретного объекта, по отношению к значениям ценообразующих факторов типового (эталонного) объекта для получения удельного показателя кадастровой стоимости земельных участков;

определение кадастровой стоимости земельных участков умножением УПКС земельных участков на их площадь.

9.2.2.5.3.5. Расчет кадастровой стоимости земельных участков с кодами расчета видов использования: 01:182; 03:012; 03:093; 06:091; 06:093; 07:041; 07:051.

Определение кадастровой стоимости земельных участков осуществляется в соответствии с требованиями главы VIII Указаний. При этом в случае превышения УПКС земельных участков над средними УПКС земельных участков, указанных в подпункте 9.2.2.5.3.2 Указаний, находящихся в пределах территории того же муниципального образования, УПКС земельного участка устанавливается равным среднему значению УПКС земельных участков, указанных в подпункте 9.2.2.5.3.2 Указаний.

9.2.2.5.3.6. Расчет кадастровой стоимости земельных участков с кодами расчета видов использования: 06:010; 06:011; 06:012; 06:013; 06:014; 06:100; 08:013; 08:031.

Определение кадастровой стоимости земельных участков осуществляется в соответствии с требованиями главы VIII Указаний без учета оборотоспособности земельных участков.

9.2.2.6. Земельные участки других сегментов.

9.2.2.6.1. Коды расчета видов использования земельных участков других сегментов для целей Указаний:

1) земельные участки сегмента "Общественное использование": 01:143; 03:010; 03:013; 03:020; 03:021; 03:022; 03:023; 03:030; 03:031; 03:032; 03:033; 03:034; 03:035; 03:040; 03:041; 03:042; 03:050; 03:051; 03:052; 03:060; 03:061; 03:062; 03:065; 03:070; 03:071; 03:072; 03:073; 03:080; 03:081; 03:082; 03:083; 03:090; 03:091; 03:092; 03:100; 03:101; 03:102; 03:103; 03:104; 05:010; 05:011; 05:012; 05:020; 05:021; 05:051; 07:021; 07:022; 08:022; 08:030; 08:041; 09:030;

2) земельные участки сегмента "Предпринимательство": 01:183; 02:017; 02:053; 02:063; 03:063; 03:064; 04:010; 04:020; 04:030; 04:040; 04:050; 04:060; 04:080; 04:081; 04:082; 04:083; 04:084; 04:096; 04:100; 05:013; 05:050; 08:021;

3) земельные участки сегмента "Отдых (рекреация)": 02:040; 04:070; 04:097; 05:014; 05:022; 05:030; 08:040; 09:021; 09:023;

4) земельные участки сегмента "Транспорт": 02.071; 04:021; 04:031; 04:090; 04:091; 04:092; 04:093; 04:094; 07:023; 07:024;

5) земельные участки сегмента "Обеспечение обороны и безопасности": 08:020;

6) земельные участки сегмента "Водные объекты": 11:010; 11:020;

7) земельные участки сегмента "Специальное, ритуальное использование и запас": 08:011; 12:010; 12:020; 12:021; 12:030.

9.2.2.6.2. Расчет кадастровой стоимости земельных участков осуществляется на основе построения статистических (регрессионных) моделей с использованием типового (эталонного) объекта и (или) индивидуально в отношении объекта недвижимости.

9.2.3. Расчет кадастровой стоимости объектов социального назначения необходимо производить с применением понижающей корректировки, применяемой к рассчитанной кадастровой стоимости объекта без учета его социальной функции (направленности), рассчитанной на основании процента возможных к коммерческому использованию площадей, объема, иной характеристики (частей) социального объекта относительно полезных площадей, объема, иной характеристики этого объекта недвижимости.

X. Контроль качества результатов определения кадастровой стоимости

10.1. Контроль качества результатов определения кадастровой стоимости включает ряд процедур, осуществляемых с участием уполномоченного органа:

1) проверку исходных данных об объектах недвижимости, организацию их сверки и уточнения;

2) анализ рынка, сбор и верификацию (в том числе путем осмотра) данных о сделках и предложениях.

10.2. Контроль качества результатов определения кадастровой стоимости должен осуществляться на каждом этапе определения кадастровой стоимости.

10.3. Проверка результатов определения кадастровой стоимости:

1) проверка корректности результатов определения кадастровой стоимости в целом осуществляется путем анализа соотношений минимальных, средних и максимальных УПКС:

- в разрезе групп (подгрупп) объектов недвижимости в каждом из муниципальных образований субъекта Российской Федерации сравниваются УПКС каждой группы (подгруппы) объектов, расположенных в разных муниципальных образованиях субъекта Российской Федерации;

- в разрезе муниципальных образований для разных групп (подгрупп) - сравниваются УПКС разных видов использования, расположенные в границах одного муниципального образования.

Результаты сравнения предоставляются в виде табличных значений, а также диаграмм. Проверка проводится на непротиворечивость данных с точки зрения логики ценообразования;

2) дополнительно проводится проверка с использованием результатов оценочного зонирования территории с целью выявления результатов оценки, существенно отличающихся от уровня цен для каждого вида использования объектов.

10.4. Проверка качества процессов определения кадастровой стоимости.

При проверке качества процессов определения кадастровой стоимости может проводиться выборочная проверка индивидуальных расчетов и моделей определения кадастровой стоимости.

Результат считается подтвержденным, если результат выборочной проверки совпадает с результатом определения кадастровой стоимости в пределах округления итогового значения.

XI. Рассмотрение замечаний к определению кадастровой стоимости

11.1. Замечания, касающиеся недостоверности сведений о характеристиках объекта недвижимости, представленных в Перечне, могут быть учтены путем замены недостоверных сведений достоверными сведениями о характеристиках объекта недвижимости, если недостоверность таких сведений выявлена бюджетным учреждением.

Замечания относительно некорректного учета фактического использования объекта недвижимости, приведшего к его некорректному отнесению к группе видов использования, рассматриваются при наличии представленных документов (или копий документов) или ссылок на такие документы, подтверждающих его фактическое использование. (в ред. Приказа Минэкономразвития РФ от 09.09.2019 N 548)

11.2. Замечания, касающиеся недостоверности сведений о характеристиках объекта недвижимости, использованных при определении кадастровой стоимости и не содержащихся в Перечне, рассматриваются с учетом представленных документов (или копий документов) или ссылок на такие документы, подтверждающих недостоверность таких сведений, при их представлении.

В случае подтверждения в результате проверки недостоверности использованных сведений (или отсутствия существенных для определения стоимости характеристик) осуществляются соответствующие изменения кадастровой стоимости объекта недвижимости, если такие сведения влияют на его кадастровую стоимость.

В случае если для введения обоснованных корректировок недостаточно рыночных данных, возможно использовать для целей Указаний данные из приведенного в приложении N 12 к Указаниям информационного материала, если они не противоречат данным соответствующего сегмента рынка недвижимости.

11.3. Если при рассмотрении замечания относительно расчетной (основной) части, включая использованную при этом рыночную информацию и саму выбранную модель определения кадастровой стоимости, выявлены нарушения, осуществляется исправление нарушений в части кадастровой стоимости объектов недвижимости, если такие нарушения влияют на их кадастровую стоимость.

11.4. Замечания относительно недостоверности сведений о характеристиках объекта недвижимости (в том числе отсутствие сведений о каких-либо характеристиках), не являющихся ценообразующими факторами в используемой модели оценки, не свидетельствуют о нарушении, если дополнительная проверка ее обоснованности свидетельствует о неискажении кадастровой стоимости и, соответственно, не требуют внесения исправлений. При этом не могут быть не учтены по этим основаниям замечания о таких характеристиках объектов недвижимости, которые касаются обеспеченности объектов недвижимости подключением к коммунальным сетям (электро-, газо-, тепло- и водоснабжения и водоотведения), отнесения жилых объектов к аварийному и ветхому фонду, а также отнесение объектов недвижимости к объектам культурного наследия, если они подтверждены. Если использованная при определении кадастровой стоимости объектов недвижимости модель оценки не учитывает таких характеристик, они должны быть дополнительно учтены в модели оценки кадастровой стоимости.

11.5. В случае если выявленное нарушение влияет на кадастровую стоимость других объектов недвижимости, изменения вносятся в отношении всех объектов, на которые распространяется данное нарушение.

XII. Определение кадастровой стоимости вновь учтенных объектов недвижимости, ранее учтенных объектов недвижимости в случае внесения в ЕГРН сведений о них и объектов недвижимости, в отношении которых произошло изменение их количественных и (или) качественных характеристик, в период между датой проведения последней государственной кадастровой оценки и датой проведения очередной государственной кадастровой оценки

12.1. Определение кадастровой стоимости осуществляется по алгоритмам, предусмотренным Указаниями, с применением подходящей по виду использования объекта недвижимости модели оценки кадастровой стоимости на основе результатов последней государственной кадастровой оценки, действовавших по состоянию на дату возникновения основания пересчета кадастровой стоимости. (в ред. Приказа Минэкономразвития РФ от 09.09.2019 N 548)

12.2. Результат расчета кадастровой стоимости вновь учтенных объектов недвижимости, ранее учтенных объектов недвижимости в случае внесения в ЕГРН сведений о них и объектов недвижимости, в отношении которых произошло изменение их количественных и (или) качественных характеристик, в период между датой проведения последней государственной кадастровой оценки и датой проведения очередной государственной кадастровой оценки оформляется в виде акта определения кадастровой стоимости, содержащего основание для пересчета кадастровой стоимости, в том числе присвоенные коды расчета видов использования и ссылки на модели оценки кадастровой стоимости, допущения и иную отражающуюся на стоимости информацию, а также результат определения кадастровой стоимости объекта недвижимости.

XIII. Проведение внеочередной государственной кадастровой оценки

13.1. Внеочередная кадастровая оценка в случае оспаривания результатов определения кадастровой стоимости по основанию установления рыночной стоимости в отношении тридцати и более процентов объектов недвижимости проводится в соответствии с требованиями Указаний, за исключением требований глав II, XI Указаний.

13.2. Внеочередная кадастровая оценка в случае снижения индекса рынка недвижимости проводится путем корректировки кадастровой стоимости объектов недвижимости на индекс рынка недвижимости.

Приложение N 1
к Методическим указаниям
о государственной кадастровой
оценке, утвержденным приказом
Минэкономразвития России
от 12.05.2017 N 226

СЕГМЕНТАЦИЯ ОБЪЕКТОВ НЕДВИЖИМОСТИ С УКАЗАНИЕМ КОДОВ РАСЧЕТА ВИДОВ ИСПОЛЬЗОВАНИЯ <1>

(в ред. Приказов Минэкономразвития РФ от 09.08.2018 N 419, от 09.09.2019 N 548)

<1> Для целей определения кадастровой стоимости.

Наименование вида использования Код расчета вида использования Код вида разрешенного использования (в соответствии с классификатором видов разрешенного использования земельных участков)
1. СЕГМЕНТ "Сельскохозяйственное использование" 01:000 1.0
Растениеводство в целом. Включает коды расчета вида использования 01.020 - 01.060 01:010 1.1
Выращивание зерновых, бобовых, кормовых, технических, масличных, эфиромасличных и иных сельскохозяйственных культур 01:020 1.2
Овощеводство в целом, связанное с производством картофеля, листовых, плодовых, луковичных и бахчевых сельскохозяйственных культур, в том числе с использованием теплиц 01:030 1.3
Овощеводство в открытом грунте 01:031 1.3
Овощеводство тепличное 01:032 1.3
Выращивание тонизирующих, лекарственных, цветочных культур в целом 01:040 1.4
Выращивание тонизирующих, лекарственных, цветочных культур. Травы 01:041 1.4
Выращивание тонизирующих, лекарственных, цветочных культур. Кустарники 01:042 1.4
Садоводство в целом - выращивание многолетних плодовых и ягодных культур, винограда и иных многолетних культур 01:050 1.5
Садоводство плодовое 01:051 1.5
Садоводство ягодно-кустарниковое 01:052 1.5
Садоводство виноградники 01:053 1.5
Садоводство ягодники 01:054 1.5
Выращивание льна и конопли 01:060 1.6
Животноводство в целом. Связанно с производством продукции животноводства, в том числе сенокошение, выпас сельскохозяйственных животных, разведение племенных животных, производство и использование племенной продукции (материала), размещение зданий, сооружений, используемых для содержания и разведения сельскохозяйственных животных, производства, хранения и первичной переработки сельскохозяйственной продукции. Включает коды расчета вида использования 01.080 - 01.086 01:070 1.7
Скотоводство. Хозяйственная деятельность, связанная с разведением сельскохозяйственных животных (крупного рогатого скота, овец, коз, лошадей, верблюдов, оленей) 01:080 1.8
Скотоводство. Сенокошение, выпас, производство кормов, за исключением кодов расчета вида использования 01.082 - 01.084 01:081 1.8
Скотоводство. Оленеводство 01:082 1.8
Скотоводство. Овцеводство 01:083 1.8
Скотоводство. Коневодство 01:084 1.8
Скотоводство молочное. Выращивание скота для получения молочной продукции 01:085 1.8
Скотоводство мясное, за исключением кодов расчета вида использования 01:082 - 01:084. Выращивание скота для получения мясной продукции 01:086 1.8
Пчеловодство в целом. Разведение, содержание и использование пчел и иных полезных насекомых 01:120 1.12
Пчеловодство. Размещение ульев, иных объектов и оборудования, необходимого для пчеловодства и разведения иных полезных насекомых, за исключением кода расчета вида использования 01:122 01:121 1.12
Рыбоводство в целом. Разведение и (или) содержание, выращивание объектов рыбоводства (аквакультуры), за исключением кода расчета вида использования 01:132 01:130 1.13
Рыбоводство. Водные объекты, предназначенные для рыбоводства 01:131 1.13
Научное обеспечение сельского хозяйства в целом 01:140 1.14
Научное обеспечение сельского хозяйства. Растениеводство. Выращивание опытных образцов 01:141 1.14
Научное обеспечение сельского хозяйства. Животноводство. Сенокошение, выпас, производство кормов 01:142 1.14
Ведение личного подсобного хозяйства на полевых земельных участках. Производство сельскохозяйственной продукции без права возведения зданий, сооружений 01:160 1.16
(в ред. Приказа Минэкономразвития РФ от 09.09.2019 N 548)    
Питомники в целом 01:170 1.17
Питомники. Выращивание и реализация подроста деревьев и кустарников, используемых в сельском хозяйстве, а также иных сельскохозяйственных культур для получения рассады и семян 01:171 1.17
Выращивание плодовых, ягодных, овощных, бахчевых или иных декоративных или сельскохозяйственных культур 02:012 2.1
Разведение декоративных и плодовых, ягодных, овощных культур 02:015 2.1.1
Ведение личного подсобного хозяйства. Производство (выращивание) сельскохозяйственной продукции, кормов, выпаса скота 02:022 2.2
Блокированная жилая застройка. Разведение декоративных и плодовых, ягодных, овощных культур 02:033 2.3
Строки тридцать восьмая - сороковая. - Утратили силу.
(в ред. Приказа Минэкономразвития РФ от 09.08.2018 N 419)
Иной вид использования в сегменте "Сельскохозяйственное использование"    
2. СЕГМЕНТ "Жилая застройка (среднеэтажная и многоэтажная)" 02:000 2.0
Среднеэтажная жилая застройка в целом 02:050 2.5
Среднеэтажная жилая застройка. Размещение жилых домов, предназначенных для разделения на квартиры, каждая из которых пригодна для постоянного проживания (жилые дома высотой не выше восьми надземных этажей, разделенных на две и более квартиры), размещение встроенных в жилой дом подземных гаражей и автостоянок 02:051 2.5
Многоэтажная жилая застройка (высотная застройка) в целом 02:060 2.6
Многоэтажная жилая застройка. Размещение жилых домов, предназначенных для разделения на квартиры, каждая из которых пригодна для постоянного проживания (жилые дома высотой выше восьми надземных этажей, разделенных на две и более квартиры), размещение встроенных в жилой дом подземных гаражей и автостоянок 02:061 2.6
(в ред. Приказа Минэкономразвития РФ от 09.09.2019 N 548)    
Иной вид использования в сегменте "Жилая застройка (среднеэтажная и многоэтажная)"    
3. СЕГМЕНТ "Общественное использование" 03:000 3.0
Научное обеспечение сельского хозяйства. Размещение зданий, сооружений, оборудования, необходимых для осуществления научного обеспечения сельского хозяйства, включая размещение коллекций генетических ресурсов растений 01:143 1.14
Коммунальное обслуживание в целом 03:010 3.1
Коммунальное обслуживание. Здания, сооружения, помещения, предназначенные для обеспечения физических и юридических лиц коммунальными услугами, в частности: зданий или помещений, предназначенных для приема физических и юридических лиц в связи с предоставлением им коммунальных услуг 03:013 3.1
(в ред. Приказа Минэкономразвития РФ от 09.09.2019 N 548)    
Социальное обслуживание в целом 03:020 3.2
Социальное обслуживание. Здания, сооружения, помещения, предназначенные для оказания гражданам социальной помощи (службы занятости населения, дома престарелых, дома ребенка, детские дома, пункты питания малоимущих граждан, пункты ночлега для бездомных граждан, службы психологической и бесплатной юридической помощи, социальные, пенсионные и иные службы, в которых осуществляется прием граждан по вопросам оказания социальной помощи и назначения социальных или пенсионных выплат) 03:021 3.2
(в ред. Приказа Минэкономразвития РФ от 09.09.2019 N 548)    
Социальное обслуживание. Здания, сооружения, помещения, предназначенные для размещения отделений почты и телеграфа 03:022 3.2
(в ред. Приказа Минэкономразвития РФ от 09.09.2019 N 548)    
Социальное обслуживание. Здания, сооружения, помещения, предназначенные для размещения общественных некоммерческих организаций: благотворительных организаций, клубов по интересам 03:023 3.2
(в ред. Приказа Минэкономразвития РФ от 09.09.2019 N 548)    
Бытовое обслуживание в целом 03:030 3.3
Бытовое обслуживание. Здания, сооружения, помещения, предназначенные для оказания населению или организациям бытовых услуг. Мастерские мелкого ремонта, ателье 03:031 3.3
(в ред. Приказа Минэкономразвития РФ от 09.09.2019 N 548)    
Бытовое обслуживание. Здания, сооружения, помещения, предназначенные для оказания населению или организациям бытовых услуг. Бани 03:032 3.3
(в ред. Приказа Минэкономразвития РФ от 09.09.2019 N 548)    
Бытовое обслуживание. Здания, сооружения, помещения, предназначенные для оказания населению или организациям бытовых услуг. Прачечные, химчистки 03:033 3.3
(в ред. Приказа Минэкономразвития РФ от 09.09.2019 N 548)    
Бытовое обслуживание. Здания, сооружения, помещения, предназначенные для оказания населению или организациям бытовых услуг. Парикмахерские 03:034 3.3
(в ред. Приказа Минэкономразвития РФ от 09.09.2019 N 548)    
Бытовое обслуживание. Здания, сооружения, помещения, предназначенные для оказания населению или организациям бытовых услуг. Похоронные бюро 03:035 3.3
(в ред. Приказа Минэкономразвития РФ от 09.09.2019 N 548)    
Здравоохранение в целом. Здания, сооружения, помещения, предназначенные для оказания гражданам медицинской помощи. Включает коды расчета вида использования 03:041 - 03:042 03:040 3.4
(в ред. Приказа Минэкономразвития РФ от 09.09.2019 N 548)    
Амбулаторно-поликлиническое обслуживание. Здания, сооружения, помещения, предназначенные для оказания гражданам амбулаторно-поликлинической медицинской помощи (поликлиники, фельдшерские пункты, пункты здравоохранения, центры матери и ребенка, диагностические центры, молочные кухни, станции донорства крови, клинические лаборатории) 03:041 3.4.1
(в ред. Приказа Минэкономразвития РФ от 09.09.2019 N 548)    
Стационарное медицинское обслуживание. Здания, сооружения, помещения, предназначенные для оказания гражданам медицинской помощи в стационарах (больницы, родильные дома, научно-медицинские учреждения и прочие объекты, обеспечивающие оказание услуги по лечению в стационаре), размещение станций скорой помощи 03:042 3.4.2
(в ред. Приказа Минэкономразвития РФ от 09.09.2019 N 548)    
Образование и просвещение в целом. Здания, сооружения, помещения, предназначенные для воспитания, образования и просвещения (детские ясли, детские сады, школы, лицеи, гимназии, профессиональные технические училища, колледжи, художественные, музыкальные школы и училища, образовательные кружки, общества знаний, институты, университеты, организации по переподготовке и повышению квалификации специалистов и иные организации, осуществляющие деятельность по воспитанию, образованию и просвещению). Включает коды расчета вида использования 03.051 - 03.052 03:050 3.5
(в ред. Приказа Минэкономразвития РФ от 09.09.2019 N 548)    
Дошкольное, начальное и среднее общее образование. Здания, сооружения, помещения, предназначенные для просвещения, дошкольного, начального и среднего общего образования (детские ясли, детские сады, школы, лицеи, гимназии, художественные, музыкальные школы, образовательные кружки и иные организации, осуществляющие деятельность по воспитанию, образованию и просвещению) 03:051 3.5.1
(в ред. Приказа Минэкономразвития РФ от 09.09.2019 N 548)    
Среднее и высшее профессиональное образование. Здания, сооружения, помещения, предназначенные для профессионального образования и просвещения (профессиональные технические училища, колледжи, художественные, музыкальные училища, общества знаний, институты, университеты, организации по переподготовке и повышению квалификации специалистов и иные организации, осуществляющие деятельность по образованию и просвещению), размещение зданий военных училищ, военных институтов, военных университетов, военных академий 03:052 3.5.2
(в ред. Приказа Минэкономразвития РФ от 09.09.2019 N 548)    
Культурное развитие в целом 03:060 3.6
Культурное развитие. Здания, сооружения, помещения, предназначенные для размещения в них музеев, выставочных залов, художественных галерей, библиотек, планетариев 03:061 3.6
(в ред. Приказа Минэкономразвития РФ от 09.09.2019 N 548)    
Культурное развитие. Здания, сооружения, помещения, предназначенные для размещения в них домов культуры, театров, филармоний, цирков 03:062 3.6
(в ред. Приказа Минэкономразвития РФ от 09.09.2019 N 548)    
Культурное развитие. Размещение зданий и сооружений для размещения зверинцев, зоопарков, океанариумов 03:065 3.6
Религиозное использование в целом 03:070 3.7
Религиозное использование. Здания, сооружения, помещения, предназначенные для отправления религиозных обрядов (церкви, соборы, храмы, часовни, монастыри, скиты, мечети, синагоги, молельные дома) 03:071 3.7
(в ред. Приказа Минэкономразвития РФ от 09.09.2019 N 548)    
Религиозное использование. Здания, сооружения, помещения, предназначенные для постоянного местонахождения духовных лиц, паломников и послушников в связи с осуществлением ими религиозной службы 03:072 3.7
(в ред. Приказа Минэкономразвития РФ от 09.09.2019 N 548)    
Религиозное использование. Здания, сооружения, помещения, предназначенные для осуществления благотворительной и религиозной образовательной деятельности (воскресные школы, семинарии, духовные училища) 03:073 3.7
(в ред. Приказа Минэкономразвития РФ от 09.09.2019 N 548)    
Общественное управление в целом 03:080 3.8
Общественное управление. Здания, сооружения, помещения, предназначенные для размещения органов государственной власти, органов местного самоуправления, судов, а также организаций, непосредственно обеспечивающих их деятельность 03:081 3.8
(в ред. Приказа Минэкономразвития РФ от 09.09.2019 N 548)    
Общественное управление. Здания, сооружения, помещения, предназначенные для размещения органов управления политических партий, профессиональных и отраслевых союзов, творческих союзов и иных общественных объединений граждан по отраслевому или политическому признаку 03:082 3.8
(в ред. Приказа Минэкономразвития РФ от 09.09.2019 N 548)    
Общественное управление. Здания, сооружения, помещения, предназначенные для дипломатических представительств иностранных государств и консульских учреждений в Российской Федерации 03:083 3.8
(в ред. Приказа Минэкономразвития РФ от 09.09.2019 N 548)    
Обеспечение научной деятельности в целом 03:090 3.9
Обеспечение научной деятельности. Здания, сооружения, помещения, предназначенные для проведения научных исследований и изысканий, испытаний опытных промышленных образцов, проведения научной и селекционной работы, ведения сельского и лесного хозяйства для получения ценных с научной точки зрения образцов растительного и животного мира - производственных, лабораторных и иных подобных зданий, необходимых для обеспечения научной деятельности 03:091 3.9
(в ред. Приказа Минэкономразвития РФ от 09.09.2019 N 548)    
Обеспечение научной деятельности. Здания, сооружения, помещения, предназначенные для размещения организаций, осуществляющих научные изыскания, исследования и разработки (научно-исследовательские институты, проектные институты, научные центры, опытно-конструкторские центры, государственные академии наук, в том числе отраслевые) - административных зданий научно-исследовательских организаций 03:092 3.9
(в ред. Приказа Минэкономразвития РФ от 09.09.2019 N 548)    
Ветеринарное обслуживание в целом. Здания, сооружения, помещения, предназначенные для оказания ветеринарных услуг, содержания или разведения животных, не являющихся сельскохозяйственными, под надзором человека. Включает коды расчет вида использования 03:101 - 03:104 03:100 3.10
(в ред. Приказа Минэкономразвития РФ от 09.09.2019 N 548)    
Амбулаторное ветеринарное обслуживание. Здания, сооружения, помещения, предназначенные для оказания ветеринарных услуг без содержания животных 03:101 3.10.1
(в ред. Приказа Минэкономразвития РФ от 09.09.2019 N 548)    
Приюты для животных. Здания, сооружения, помещения, предназначенные для оказания ветеринарных услуг в стационаре 03:102 3.10.2
(в ред. Приказа Минэкономразвития РФ от 09.09.2019 N 548)    
Приюты для животных. Здания, сооружения, помещения, предназначенные для содержания, разведения животных, не являющихся сельскохозяйственными, под надзором человека, оказания услуг по содержанию и лечению бездомных животных 03:103 3.10.2
(в ред. Приказа Минэкономразвития РФ от 09.09.2019 N 548)    
Приюты для животных. Здания, сооружения, помещения, предназначенные для организации гостиниц для животных 03:104 3.10.2
(в ред. Приказа Минэкономразвития РФ от 09.09.2019 N 548)    
Спорт в целом. Здания, сооружения, помещения, используемые в качестве спортивных клубов, спортивных залов, бассейнов, устройство площадок для занятия спортом и физкультурой (беговые дорожки, спортивные сооружения, теннисные корты, поля для спортивной игры, автодромы, мотодромы, трамплины, трассы и спортивные стрельбища), в том числе водным спортом (причалы и сооружения, необходимые для водных видов спорта и хранения соответствующего инвентаря) 05:010 5.1
(в ред. Приказа Минэкономразвития РФ от 09.09.2019 N 548)    
Спорт. Здания, сооружения, помещения, используемые в качестве спортивных клубов, спортивных залов, бассейнов 05:011 5.1
(в ред. Приказа Минэкономразвития РФ от 09.09.2019 N 548)    
Спорт. Устройство площадок для занятия спортом и физкультурой (беговые дорожки, спортивные сооружения, теннисные корты, поля для спортивной игры, автодромы, мотодромы, трамплины, трассы и спортивные стрельбища), сооружения для хранения соответствующего инвентаря 05:012 5.1
Природно-познавательный туризм. Размещение баз и палаточных лагерей для проведения походов и экскурсий по ознакомлению с природой, пеших и конных прогулок 05:020 5.2
Природно-познавательный туризм. Устройство троп и дорожек, размещение щитов с познавательными сведениями об окружающей природной среде, осуществление необходимых природоохранных и природовосстановительных мероприятий 05:021 5.2
Поля для гольфа или конных прогулок. Размещение конноспортивных манежей, не предусматривающих устройство трибун 05:051 5.5
Автомобильный транспорт. Размещение зданий и сооружений, предназначенных для обслуживания пассажиров 07:021 7.2
Автомобильный транспорт. Размещение зданий и сооружений, обеспечивающих работу транспортных средств, размещение объектов, предназначенных для размещения постов органов внутренних дел, ответственных за безопасность дорожного движения 07:022 7.2
Обеспечение вооруженных сил, охрана Государственной границы Российской Федерации. Размещение зданий для размещения воинских, в том числе пограничных воинских, частей и органов управления ими 08:022 8.2
Обеспечение внутреннего правопорядка. Здания, сооружения, помещения, необходимые для подготовки и поддержания в готовности органов внутренних дел и спасательных служб, в которых существует военизированная служба 08:030 8.3
(в ред. Приказа Минэкономразвития РФ от 09.09.2019 N 548)    
Обеспечение деятельности по исполнению наказаний. Здания, сооружения, помещения, используемые для создания мест лишения свободы (поселения) 08:041 8.4
(в ред. Приказа Минэкономразвития РФ от 09.09.2019 N 548)    
Историко-культурная деятельность. Сохранение и изучение объектов культурного наследия народов Российской Федерации (памятников истории и культуры), в том числе: объектов археологического наследия, достопримечательных мест, мест бытования исторических промыслов, производств и ремесел, недействующих военных и гражданских захоронений, объектов культурного наследия, хозяйственная деятельность, являющаяся историческим промыслом или ремеслом 09:030 9.3
Иной вид использования в сегменте "Общественное использование"    
4. СЕГМЕНТ "Предпринимательство" 04:000 4.0
Обеспечение сельскохозяйственного производства. Размещение административных, бытовых и хозяйственно-бытовых зданий и сооружений, объектов общественного питания 01:183 1.18
Размещение объектов обслуживания жилой застройки во встроенных, пристроенных и встроенно-пристроенных помещениях малоэтажного многоквартирного дома на территории малоэтажной многоквартирной жилой застройки 02:017 2.1.1
Среднеэтажная жилая застройка. Размещение объектов обслуживания жилой застройки во встроенных, пристроенных и встроенно-пристроенных помещениях многоквартирного дома 02:053 2.5
Многоэтажная жилая застройка. Размещение объектов обслуживания жилой застройки во встроенных, пристроенных и встроенно-пристроенных помещениях многоквартирного дома 02:063 2.6
Культурное развитие. Здания, сооружения, помещения, предназначенные для размещения в них кинотеатров и кинозалов 03:063 3.6
(в ред. Приказа Минэкономразвития РФ от 09.09.2019 N 548)    
Культурное развитие. Устройство площадок для празднеств и гуляний 03:064 3.6
Деловое управление. Здания, сооружения, помещения, используемые с целью размещения объектов управленческой деятельности, не связанной с государственным или муниципальным управлением и оказанием услуг, а также с целью обеспечения совершения сделок, не требующих передачи товара в момент их совершения между организациями, в том числе биржевая деятельность (за исключением банковской и страховой деятельности) 04:010 4.1
(в ред. Приказа Минэкономразвития РФ от 09.09.2019 N 548)    
Объекты торговли (торговые центры, торгово-развлекательные центры (комплексы). Здания, сооружения, помещения, общей площадью свыше 5 000 кв. м с целью размещения одной или нескольких организаций, осуществляющих продажу товаров и (или) оказание услуг. Включает коды расчета вида использования 04.050 - 04.096 04:020 4.2
(в ред. Приказа Минэкономразвития РФ от 09.09.2019 N 548)    
Рынки. Здания, сооружения, помещения, предназначенные для организации постоянной или временной торговли (ярмарка, рынок, базар), с учетом того, что каждое из торговых мест не располагает торговой площадью более 200 кв. м 04:030 4.3
(в ред. Приказа Минэкономразвития РФ от 09.09.2019 N 548)    
Магазины. Здания, сооружения, помещения, предназначенные для продажи товаров, торговая площадь которых составляет до 5 000 кв. м 04:040 4.4
(в ред. Приказа Минэкономразвития РФ от 09.09.2019 N 548)    
Банковская и страховая деятельность. Здания, сооружения, помещения, предназначенные для размещения организаций, оказывающих банковские и страховые услуги 04:050 4.5
(в ред. Приказа Минэкономразвития РФ от 09.09.2019 N 548)    
Общественное питание. Здания, сооружения, помещения, используемые в целях устройства мест общественного питания (рестораны, кафе, столовые, закусочные, бары) 04:060 4.6
(в ред. Приказа Минэкономразвития РФ от 09.09.2019 N 548)    
Развлечения. Здания, сооружения, помещения, предназначенные для размещения дискотек и танцевальных площадок, ночных клубов 04:080 4.8
(в ред. Приказа Минэкономразвития РФ от 09.09.2019 N 548)    
Развлечения. Здания, сооружения, помещения, предназначенные для размещения аквапарков 04:081 4.8
(в ред. Приказа Минэкономразвития РФ от 09.09.2019 N 548)    
Развлечения. Здания, сооружения, помещения, предназначенные для размещения боулинга, аттракционов, игровых автоматов (кроме игрового оборудования, используемого для проведения азартных игр) и игровых площадок, за исключением площадок игорных зон 04:082 4.8
(в ред. Приказа Минэкономразвития РФ от 09.09.2019 N 548)    
Развлечения. Здания, сооружения, помещения, предназначенные для размещения ипподромов 04:083 4.8
(в ред. Приказа Минэкономразвития РФ от 09.09.2019 N 548)    
Развлечения. Здания, сооружения, помещения, предназначенные для размещения в игорных зонах игорных заведений, залов игровых автоматов, используемых для проведения азартных игр, и игровых столов, включая размещение гостиниц и заведений общественного питания для посетителей игорных зон, в случае расположения этих объектов на одном земельном участке 04:084 4.8
(в ред. Приказа Минэкономразвития РФ от 09.09.2019 N 548)    
Объекты придорожного сервиса. Размещение магазинов сопутствующей торговли, зданий для организации общественного питания в качестве объектов придорожного сервиса 04:096 4.9.1
Выставочно-ярмарочная деятельность. Размещение ОКС, сооружений, предназначенных для осуществления выставочно-ярмарочной и конгрессной деятельности, включая деятельность, необходимую для обслуживания указанных мероприятий (застройка экспозиционной площади, организация питания участников мероприятий) 04:100 4.10
В строках 14 - 20 раздела 4 "СЕГМЕНТ "Предпринимательство" слова "Размещение ОКС, предназначенных" заменены словами "Здания, сооружения, помещения, предназначенные" (подпункт 17 пункта 36 Приказа Минэкономразвития РФ от 09.09.2019 N 548).
Спорт. Здания, сооружения, помещения, используемые водных видов спорта (причалы и сооружения, необходимые для водных видов спорта и хранения соответствующего инвентаря) 05:013 5.1
(в ред. Приказа Минэкономразвития РФ от 09.09.2019 N 548)    
Поля для гольфа или конных прогулок. Обустройство мест для игры в гольф или осуществления конных прогулок, в том числе осуществление необходимых земляных работ и создание вспомогательных сооружений 05:050 5.5
Охрана Государственной границы Российской Федерации. Размещение зданий для размещения пунктов пропуска через Государственную границу Российской Федерации, размещение объектов, обеспечивающих осуществление таможенной деятельности 08:021 8.2
Иной вид использования в сегменте "Предпринимательство"    
5. СЕГМЕНТ "Отдых (рекреация)" 05:000 5.0
Передвижное жилье. Размещение сооружений, пригодных к использованию в качестве жилья (палаточные городки, кемпинги, жилые вагончики, жилые прицепы) с возможностью подключения названных сооружений к инженерным сетям, находящимся на земельном участке или на земельных участках, имеющих инженерные сооружения, предназначенные для общего пользования 02:040 2.4
Гостиничное обслуживание. Размещение гостиниц, а также иных зданий, используемых с целью извлечения предпринимательской выгоды из предоставления жилого помещения для временного проживания в них, за исключением кодов расчета видов использования 04:097, 05:020, 05:022, 05:030 04:070 4.7
Объекты придорожного сервиса. Предоставление гостиничных услуг в качестве придорожного сервиса 04:097 4.9.1
Спорт. Размещение спортивных баз и лагерей - зданий, сооружений, помещений для временного проживания, питания спортсменов, для бытовых нужд 05:014 5.1
(в ред. Приказа Минэкономразвития РФ от 09.09.2019 N 548)    
Туристическое обслуживание. Размещение пансионатов, туристических гостиниц, кемпингов, домов отдыха, не оказывающих услуги по лечению, а также иных зданий, используемых с целью извлечения предпринимательской выгоды из предоставления жилого помещения для временного проживания в них, размещение детских лагерей 05:022 5.2.1
Охота и рыбалка. Размещение дома охотника или рыболова 05:030 5.3
Обеспечение деятельности по исполнению наказаний. Здания, сооружения, помещения, предназначенные для создания мест лишения свободы (следственные изоляторы, тюрьмы) 08:040 8.4
(в ред. Приказа Минэкономразвития РФ от 09.09.2019 N 548)    
Санаторная деятельность. Размещение санаториев и профилакториев, обеспечивающих оказание услуги по лечению и оздоровлению населения 09:021 9.2.1
Санаторная деятельность. Размещение лечебно-оздоровительных лагерей 09:023 9.2.1
Иной вид использования в сегменте "Отдых (рекреация)"    
6. СЕГМЕНТ "Производственная деятельность" 06:000 6.0
Скотоводство. Размещение зданий, сооружений, используемых для содержания и разведения скота, хранения кормов 01:087 1.8
Скотоводство. Размещение зданий, сооружений, используемых для переработки продукции 01:088 1.8
Звероводство в целом. Разведение в неволе ценных пушных зверей. 01:090 1.9
Звероводство. Размещение зданий, сооружений, используемых для содержания и разведения животных, хранения кормов 01:091 1.9
Звероводство. Размещение зданий, сооружений, используемых для производства, хранения и первичной переработки продукции 01:092 1.9
Птицеводство в целом. Разведение домашних пород птиц, в том числе водоплавающих 01:100 1.10
Птицеводство. Размещение зданий, сооружений, используемых для содержания и разведения животных, хранения кормов 01:101 1.10
Птицеводство. Размещение зданий, сооружений, используемых для производства, хранения и первичной переработки продукции 01:102 1.10
Свиноводство в целом 01:110 1.11
Свиноводство. Размещение зданий, сооружений, используемых для содержания и разведения животных, хранения кормов 01:111 1.11
Свиноводство. Размещение зданий, сооружений, используемых для производства, хранения и первичной переработки продукции 01:112 1.11
Пчеловодство. Размещение сооружений, используемых для хранения и первичной переработки продукции пчеловодства 01:122 1.12
Рыбоводство. Размещение зданий, сооружений, оборудования, необходимых для осуществления рыбоводства (аквакультуры), зданий и сооружений, используемых для хранения и первичной переработки продукции рыбоводства 01:132 1.13
Хранение и переработка сельскохозяйственной продукции. Размещение зданий, сооружений, используемых для производства, хранения, первичной и глубокой переработки сельскохозяйственной продукции 01:150 1.15
Питомники. Размещение сооружений, необходимых для выращивания и реализации продукции, указанной в коде расчета вида использования 01:171 01:172 1.17
Обеспечение сельскохозяйственного производства в целом. Включает коды расчета вида использования 01:181, 01:182 01:180 1.18
Обеспечение сельскохозяйственного производства. Размещение машинно-транспортных и ремонтных станций, ангаров и гаражей для сельскохозяйственной техники 01:181 1.18
Обеспечение сельскохозяйственного производства. Размещение водонапорных башен, трансформаторных станций и иного технического оборудования, используемого для ведения сельского хозяйства 01:182 1.18
Коммунальное обслуживание. Здания, сооружения, помещения, используемые в целях обеспечения физических и юридических лиц коммунальными услугами, в частности: поставка воды, тепла, электричества, газа, предоставление услуг связи (отвод канализационных стоков, водопроводы, линии электропередач, газопроводы, линии связи и прочие линейные объекты) 03:011 3.1
(в ред. Приказа Минэкономразвития РФ от 09.09.2019 N 548)    
Коммунальное обслуживание. Здания, сооружения, помещения, предназначенные в целях обеспечения физических и юридических лиц коммунальными услугами, в частности: котельные, водозаборы, очистные сооружения, насосные станции, трансформаторные подстанции, телефонные станции, стоянки, гаражи и мастерские для обслуживания уборочной и аварийной техники 03:012 3.1
(в ред. Приказа Минэкономразвития РФ от 09.09.2019 N 548)    
Обеспечение деятельности в области гидрометеорологии и смежных с ней областях. Здания, сооружения, помещения, предназначенные для наблюдений за физическими и химическими процессами, происходящими в окружающей среде, определения ее гидрометеорологических, агрометеорологических и гелиогеофизических характеристик, уровня загрязнения атмосферного воздуха, почв, водных объектов, в том числе по гидробиологическим показателям, и околоземного - космического пространства, зданий и сооружений, используемых в области гидрометеорологии и смежных с ней областях (доплеровские метеорологические радиолокаторы, гидрологические посты и другие) 03:093 3.9.1
(в ред. Приказа Минэкономразвития РФ от 09.09.2019 N 548)    
Объекты придорожного сервиса. Размещение автозаправочных станций (бензиновых, газовых) 04:095 4.9.1
Объекты придорожного сервиса. Размещение автомобильных моек и прачечных для автомобильных принадлежностей 04:098 4.9.1
Объекты придорожного сервиса. Размещение мастерских, предназначенных для ремонта и обслуживания автомобилей и прочих объектов придорожного сервиса 04:099 4.9.1
Причалы для маломерных судов. Размещение сооружений, предназначенных для причаливания, хранения и обслуживания яхт, катеров, лодок и других маломерных судов 05:040 5.4
Недропользование. Осуществление геологических изысканий, добыча недр открытым (карьеры, отвалы) способом 06:010 6.1
Недропользование. Осуществление геологических изысканий, добыча недр закрытым (шахты, скважины) способом 06:011 6.1
Недропользование. Размещение зданий, сооружений, в том числе подземных, в целях добычи недр 06:012 6.1
(в ред. Приказа Минэкономразвития РФ от 09.09.2019 N 548)    
Недропользование. Размещение зданий, сооружений, необходимых для подготовки сырья к транспортировке и (или) промышленной переработке 06:013 6.1
(в ред. Приказа Минэкономразвития РФ от 09.09.2019 N 548)    
Недропользование. Здания, сооружения, помещения, предназначенные для проживания в них сотрудников, осуществляющих обслуживание зданий и сооружений, необходимых для целей недропользования, если добыча недр происходит на межселенной территории 06:014 6.1
(в ред. Приказа Минэкономразвития РФ от 09.09.2019 N 548)    
Тяжелая промышленность. Размещение зданий, сооружений горно-обогатительной и горно-перерабатывающей, металлургической, машиностроительной промышленности, а также изготовления и ремонта продукции судостроения, авиастроения, вагоностроения, машиностроения, станкостроения, а также других подобных промышленных предприятий, для эксплуатации которых предусматривается установление охранных или санитарно-защитных зон, за исключением случаев, когда объект промышленности отнесен к иному виду использования 06:020 6.2
(в ред. Приказа Минэкономразвития РФ от 09.09.2019 N 548)    
Автомобилестроительная промышленность. Размещение зданий, сооружений, предназначенных для производства транспортных средств и оборудования, производства автомобилей, производства автомобильных кузовов, производства прицепов, полуприцепов и контейнеров, предназначенных для перевозки одним или несколькими видами транспорта, производства частей и принадлежностей автомобилей и их двигателей 06:021 6.2.1
(в ред. Приказа Минэкономразвития РФ от 09.09.2019 N 548)    
Легкая промышленность. Здания, сооружения, помещения, предназначенные для текстильной, фарфорово-фаянсовой, электронной промышленности 06:030 6.3
(в ред. Приказа Минэкономразвития РФ от 09.09.2019 N 548)    
Фармацевтическая промышленность. Здания, сооружения, помещения, предназначенные для фармацевтического производства, в том числе объектов, в отношении которых предусматривается установление охранных или санитарно-защитных зон 06:031 6.3.1
(в ред. Приказа Минэкономразвития РФ от 09.09.2019 N 548)    
Пищевая промышленность. Размещение объектов пищевой промышленности, по переработке сельскохозяйственной продукции способом, приводящим к их переработке в иную продукцию (консервирование, копчение, хлебопечение), в том числе для производства напитков, алкогольных напитков и табачных изделий 06:040 6.4
Нефтехимическая промышленность. Здания, сооружения, помещения, предназначенные для переработки углеводородного сырья, изготовления удобрений, полимеров, химической продукции бытового назначения и подобной продукции, а также другие подобные промышленные предприятия 06:050 6.5
(в ред. Приказа Минэкономразвития РФ от 09.09.2019 N 548)    
Строительная промышленность. Размещение зданий, сооружений, предназначенных для производства: строительных материалов (кирпичей, пиломатериалов, цемента, крепежных материалов), бытового и строительного газового и сантехнического оборудования, лифтов и подъемников, столярной продукции, сборных домов или их частей и тому подобной продукции 06:060 6.6
(в ред. Приказа Минэкономразвития РФ от 09.09.2019 N 548)    
Энергетика. Размещение объектов гидроэнергетики, размещение обслуживающих и вспомогательных для электростанций сооружений (гидротехнических сооружений) 06:070 6.7
Энергетика. Размещение объектов тепловых станций и других электростанций, за исключением кода расчета вида использования 06:073, размещение обслуживающих и вспомогательных для электростанций сооружений (золоотвалов) 06:071 6.7
Энергетика. Размещение объектов электросетевого хозяйства, за исключением объектов энергетики, размещение которых предусмотрено кодом расчета вида использования 03:012 06:072 6.7
Атомная энергетика. Размещение объектов использования атомной энергии, в том числе атомных станций, ядерных установок (за исключением создаваемых в научных целях), пунктов хранения ядерных материалов и радиоактивных веществ, размещение обслуживающих и вспомогательных для электростанций сооружений 06:073 6.7.1
Атомная энергетика. Размещение объектов электросетевого хозяйства, обслуживающих атомные электростанции 06:074 6.7.1
Связь. Размещение объектов связи, радиовещания, телевидения, включая воздушные радиорелейные, надземные и подземные кабельные линии связи, линии радиофикации, антенные поля, усилительные пункты на кабельных линиях связи, инфраструктуры спутниковой связи и телерадиовещания, за исключением объектов связи, размещение которых предусмотрено кодом расчета вида использования 03:011 06:080 6.8
Склады. Размещение сооружений, имеющих назначение по временному хранению, распределению и перевалке грузов (за исключением хранения стратегических запасов), не являющихся частями производственных комплексов, на которых был создан груз: промышленные базы, склады, погрузочные терминалы и доки, за исключением железнодорожных перевалочных складов 06:090 6.9
Склады. Размещение сооружений, имеющих назначение по временному хранению, распределению и перевалке грузов (за исключением хранения стратегических запасов), не являющихся частями производственных комплексов, на которых был создан груз: нефтехранилища и нефтеналивные станции, газовые хранилища и обслуживающие их газоконденсатные и газоперекачивающие станции 06:091 6.9
Склады. Размещение сооружений, имеющих назначение по временному хранению, распределению и перевалке грузов (за исключением хранения стратегических запасов), не являющихся частями производственных комплексов, на которых был создан груз: элеваторы и продовольственные склады, за исключением железнодорожных перевалочных складов 06:092 6.9
Склады. Размещение сооружений, имеющих назначение по временному хранению, распределению и перевалке грузов (за исключением хранения стратегических запасов), являющихся частями производственных комплексов, на которых был создан груз: промышленные базы, склады, погрузочные терминалы и доки, нефтехранилища и нефтеналивные станции, газовые хранилища и обслуживающие их газоконденсатные и газоперекачивающие станции, элеваторы и продовольственные склады, за исключением железнодорожных перевалочных складов 06:093 6.9
(в ред. Приказа Минэкономразвития РФ от 09.09.2019 N 548)    
Обеспечение космической деятельности. Размещение космодромов, стартовых комплексов и пусковых установок, полигонов приземления космических объектов, объектов экспериментальной базы для отработки космической техники 06:100 6.10
Обеспечение космической деятельности. Размещение командно-измерительных комплексов, центров и пунктов управления полетами космических объектов, пунктов приема, хранения и переработки информации, баз хранения космической техники, центров и оборудования для подготовки космонавтов, других сооружений, используемых при осуществлении космической деятельности 06:101 6.10
Целлюлозно-бумажная промышленность. Размещение зданий, сооружений, предназначенных для целлюлозно-бумажного производства, производства целлюлозы, древесной массы, бумаги, картона и изделий из них 06:110 6.11
(в ред. Приказа Минэкономразвития РФ от 09.09.2019 N 548)    
Целлюлозно-бумажная промышленность. Здания, сооружения, помещения, предназначенные для издательской и полиграфической деятельности, тиражирования записанных носителей информации 06:111 6.11
(в ред. Приказа Минэкономразвития РФ от 09.09.2019 N 548)    
Железнодорожный транспорт. Размещение железнодорожных путей 07:010 7.1
Железнодорожный транспорт. Размещение зданий и сооружений, в том числе железнодорожных вокзалов и станций 07:011 7.1
Железнодорожный транспорт. Размещение зданий и сооружений, в том числе устройств и объектов, необходимых для эксплуатации, содержания, строительства, реконструкции, ремонта наземных и подземных зданий, сооружений, устройств и других объектов железнодорожного транспорта 07:012 7.1
Железнодорожный транспорт. Размещение погрузочно-разгрузочных площадок, прирельсовых складов (за исключением складов горюче-смазочных материалов и автозаправочных станций любых типов, а также складов, предназначенных для хранения опасных веществ и материалов, не предназначенных непосредственно для обеспечения железнодорожных перевозок) и иных объектов при условии соблюдения требований безопасности движения, установленных федеральными законами 07:013 7.1
Железнодорожный транспорт. Размещение наземных сооружений метрополитена, в том числе посадочных станций, вентиляционных шахт 07:014 7.1
Железнодорожный транспорт. Размещение наземных сооружений для трамвайного сообщения и иных специальных дорог (канатных, монорельсовых, фуникулеров) 07:015 7.1
Автомобильный транспорт. Размещение автомобильных дорог и технически связанных с ними сооружений 07:020 7.2
Водный транспорт. Размещение искусственно созданных для судоходства внутренних водных путей, размещение зданий, сооружений внутренних водных путей, навигационного оборудования и других объектов, необходимых для обеспечения судоходства и водных перевозок 07:030 7.3
(в ред. Приказа Минэкономразвития РФ от 09.09.2019 N 548)    
Водный транспорт. Здания, сооружения, помещения, предназначенные для морских портов и речных портов, причалов, пристаней, гидротехнических сооружений 07:031 7.3
(в ред. Приказа Минэкономразвития РФ от 09.09.2019 N 548)    
Водный транспорт. Размещение гидротехнических сооружений, за исключением кодов расчета вида использования 07:030, 07:031 07:032 7.3
(в ред. Приказа Минэкономразвития РФ от 09.09.2019 N 548)    
Воздушный транспорт. Размещение аэродромов, вертолетных площадок (вертодромов), обустройство мест для приводнения и причаливания гидросамолетов, размещение аэропортов (аэровокзалов) и иных объектов, необходимых для посадки и высадки пассажиров и их сопутствующего обслуживания и обеспечения их безопасности, а также размещение объектов, необходимых для погрузки, разгрузки и хранения грузов, перемещаемых воздушным путем 07:040 7.4
Воздушный транспорт. Размещение радиотехнического обеспечения полетов и прочих объектов, необходимых для взлета и приземления (приводнения) воздушных судов, размещение аэропортов (аэровокзалов) 07:041 7.4
Воздушный транспорт. Размещение объектов, предназначенных для технического обслуживания и ремонта воздушных судов 07:042 7.4
Трубопроводный транспорт. Размещение магистральных нефтепроводов, водопроводов, газопроводов и иных трубопроводов 07:050 7.5
Трубопроводный транспорт. Размещение зданий и сооружений, необходимых для эксплуатации трубопроводов, предусмотренных кодом расчета вида использования 07:050 07:051 7.5
Обеспечение вооруженных сил. Здания, сооружения, помещения, предназначенные для разработки, испытания, производства ремонта или уничтожения вооружения, техники военного назначения и боеприпасов 08:010 8.1
(в ред. Приказа Минэкономразвития РФ от 09.09.2019 N 548)    
Обеспечение вооруженных сил. Здания, сооружения, помещения, предназначенные для создания и хранения запасов материальных ценностей в государственном и мобилизационном резервах (хранилища, склады и другие объекты) 08:012 8.1
(в ред. Приказа Минэкономразвития РФ от 09.09.2019 N 548)    
Обеспечение вооруженных сил. Размещение объектов, для обеспечения безопасности которых были созданы закрытые административно-территориальные образования 08:013 8.1
Обеспечение внутреннего правопорядка. Размещение объектов гражданской обороны, за исключением объектов гражданской обороны, являющихся частями производственных зданий 08:031 8.3
Заготовка древесины. Частичная переработка и хранение древесины, размещение сооружений, необходимых для обработки и хранения древесины (лесных складов, лесопилен) 10:011 10.1
Заготовка древесины. Создание лесных дорог 10:012 10.1
Гидротехнические сооружения. Размещение гидротехнических сооружений, необходимых для эксплуатации водохранилищ (плотин, водосбросов, водозаборных, водовыпускных и других гидротехнических сооружений, судопропускных сооружений, рыбозащитных и рыбопропускных сооружений, берегозащитных сооружений), за исключением кодов расчета вида использования 06:070, 07:030 - 07:032 11:030 11.3
Размещение объектов улично-дорожной сети, автомобильных дорог и пешеходных тротуаров в границах населенных пунктов, пешеходных переходов, площадей, проездов 12:001 12.0
Иной вид использования в сегменте "Производственная деятельность"    
7. СЕГМЕНТ "Транспорт" 07:000 7.0
Объекты гаражного назначения. Размещение отдельно стоящих и пристроенных одноэтажных гаражей надземных, предназначенных для хранения личного автотранспорта граждан (в том числе в квартальной жилой застройке) 02.071 2.7.1
Объекты торговли (торговые центры, торгово-развлекательные центры (комплексы). Размещение гаражей и (или) стоянок для автомобилей сотрудников и посетителей торгового центра 04:021 4.2
Рынки. Размещение гаражей и (или) стоянок для автомобилей сотрудников и посетителей рынка 04:031 4.3
Обслуживание автотранспорта в целом. Размещение постоянных или временных гаражей с несколькими стояночными местами, стоянок (парковок), гаражей, в том числе многоярусных, не указанных в кодах расчета вида использования 02:071, 03:012, 04:021, 04:031 04:090 4.9
Обслуживание автотранспорта. Размещение открытых площадок, предназначенных для хранения автотранспорта 04:091 4.9
Обслуживание автотранспорта. Размещение отдельно стоящих и сблокированных одноэтажных гаражей, предназначенных для хранения личного автотранспорта граждан, имеющих общую внутриплощадочную транспортную и инженерную инфраструктуру (дороги, электрификацию и пр.), с возможностью размещения автомобильных моек 04:092 4.9
Обслуживание автотранспорта. Размещение отдельно стоящих и пристроенных гаражей подземных, независимо от этажности и количества парковочных мест, в том числе не разделенных на гаражные боксы, предназначенных для хранения автотранспорта, с возможностью размещения автомобильных моек 04:093 4.9
Обслуживание автотранспорта. Размещение отдельно стоящих и пристроенных гаражей многоярусных, независимо от этажности и количества парковочных мест, в том числе не разделенных на гаражные боксы, предназначенных для хранения автотранспорта, с возможностью размещения автомобильных моек 04:094 4.9
Автомобильный транспорт. Под оборудование для открытых стоянок автомобильного транспорта 07:023 7.2
Автомобильный транспорт. Размещение депо (устройства мест стоянок) автомобильного транспорта, осуществляющего перевозки людей по установленному маршруту 07:024 7.2
Иной вид использования в сегменте "Транспорт"    
8. СЕГМЕНТ "Обеспечение обороны и безопасности" 08:000 8.0
Охрана Государственной границы Российской Федерации. Размещение инженерных сооружений и заграждений, пограничных знаков, коммуникаций и других объектов, необходимых для обеспечения защиты и охраны Государственной границы Российской Федерации, устройство пограничных просек и контрольных полос 08:020 8.2
Иной вид использования в сегменте "Обеспечение обороны и безопасности"    
9. СЕГМЕНТ "Охраняемые природные территории и благоустройство" 09:000 9.0
Обустройство спортивных и детских площадок, площадок отдыха на территории малоэтажной многоквартирной жилой застройки 02:016 2.1.1
Блокированная жилая застройка. Обустройство спортивных и детских площадок, площадок отдыха на территории блокированной жилой застройки 02:032 2.3
Среднеэтажная жилая застройка. Обустройство спортивных и детских площадок, площадок отдыха на территории квартальной застройки 02:052 2.5
Многоэтажная жилая застройка. Обустройство спортивных и детских площадок, площадок отдыха на территории квартальной застройки 02:062 2.6
Охота и рыбалка. Обустройство мест охоты и рыбалки, в том числе сооружений, необходимых для восстановления и поддержания поголовья зверей или количества рыбы 05:031 5.3
Охрана природных территорий. Сохранение и изучение растительного и животного мира путем создания особо охраняемых природных территорий, в границах которых хозяйственная деятельность, кроме деятельности, связанной с охраной и изучением природы, не допускается (государственные природные заповедники, национальные и природные парки, памятники природы, дендрологические парки, ботанические сады), сохранение отдельных естественных качеств окружающей природной среды путем ограничения хозяйственной деятельности, в частности: создание и уход за запретными полосами, создание и уход за защитными лесами, в том числе городскими лесами, лесами в лесопарках, и иная хозяйственная деятельность, разрешенная в защитных лесах, соблюдение режима использования природных ресурсов в заказниках, сохранение свойств земель, являющихся особо ценными 09:010 9.1
Курортная деятельность. Использование для лечения и оздоровления человека природных лечебных ресурсов (месторождения минеральных вод, лечебные грязи, рапой лиманов и озер, особый климат и иные природные факторы и условия, которые используются или могут использоваться для профилактики и лечения заболеваний человека), а также охрана лечебных ресурсов от истощения и уничтожения в границах зоны горно-санитарной или санитарной охраны лечебно-оздоровительных местностей и курорта 09:020 9.2
Санаторная деятельность. Обустройство лечебно-оздоровительных местностей (пляжи, бюветы, места добычи целебной грязи) 09:022 9.2.1
Размещение в границах населенных пунктов набережных, береговых полос водных объектов общего пользования 12:002 12.0
Размещение в границах населенных пунктов скверов, бульваров, малых архитектурных форм благоустройства 12:003 12.0
Строки двенадцатая - тринадцатая. - Утратили силу.
(в ред. Приказа Минэкономразвития РФ от 09.08.2018 N 419)
Иной вид использования в сегменте "Деятельность по особой охране и изучению природы"    
10. СЕГМЕНТ "Использование лесов" 10:000 10.0
Заготовка древесины. Рубка лесных насаждений, выросших в природных условиях, а также выращенных трудом человека, в том числе гражданами для собственных нужд, охрана и восстановление лесов 10:010 10.1
Лесные плантации. Выращивание и рубка лесных насаждений 10:020 10.2
Заготовка лесных ресурсов. Заготовка живицы, сбор недревесных лесных ресурсов, в том числе гражданами для собственных нужд, заготовка пищевых лесных ресурсов и дикорастущих растений, хранение, неглубокая переработка и вывоз добытых лесных ресурсов, размещение временных сооружений, необходимых для хранения и неглубокой переработки лесных ресурсов (сушилки, грибоварни, склады), охрана лесов 10:030 10.3
Резервные леса. Деятельность, связанная с охраной лесов 10:040 10.4
Иной вид использования в сегменте "Использование лесов"    
11. СЕГМЕНТ "Водные объекты" 11:000 11.0
Общее пользование водными объектами. Использование земельных участков, примыкающих к водным объектам способами, необходимыми для осуществления общего водопользования (водопользования, осуществляемого гражданами для личных нужд, а также забор (изъятие) водных ресурсов для целей питьевого и хозяйственно-бытового водоснабжения, купание, использование маломерных судов, водных мотоциклов и других технических средств, предназначенных для отдыха на водных объектах, водопой, если соответствующие запреты не установлены) 11:010 11.1
Специальное пользование водными объектами. Использование земельных участков, примыкающих к водным объектам способами, необходимыми для специального водопользования (забор водных ресурсов из поверхностных водных объектов, сброс сточных вод и (или) дренажных вод, проведение дноуглубительных, взрывных, буровых и других работ, связанных с изменением дна и берегов водных объектов) 11:020 11.2
Иной вид использования в сегменте "Водные объекты"    
12. СЕГМЕНТ "Специальное, ритуальное использование, запас" 12:000 12.0
Обеспечение вооруженных сил. Обустройство земельных участков в качестве испытательных полигонов, мест уничтожения вооружения и захоронения отходов, возникающих в связи с использованием, производством, ремонтом или уничтожением вооружений или боеприпасов 08:011 8.1
Ритуальная деятельность. Размещение кладбищ, крематориев и мест захоронения, культовых сооружений 12:010 12.1
Специальная деятельность. Размещение, хранение, захоронение, утилизация, накопление, обработка, обезвреживание отходов производства и потребления, медицинских отходов, биологических отходов, радиоактивных отходов, веществ, разрушающих озоновый слой, полигонов по захоронению бытового мусора и отходов 12:020 12.2
Специальная деятельность. Размещение объектов размещения отходов, захоронения, хранения, обезвреживания отходов (скотомогильников, мусоросжигательных и мусороперерабатывающих заводов), объектов по сортировке бытового мусора и отходов, мест сбора вещей для их вторичной переработки 12:021 12.2
Запас. Отсутствие хозяйственной деятельности 12:030 12.3
Иной вид использования в сегменте "Специальное, ритуальное использование, запас"    
13. СЕГМЕНТ "Садоводство и огородничество, малоэтажная жилая застройка" 13:000 13.0
(в ред. Приказа Минэкономразвития РФ от 09.08.2018 N 419)
Индивидуальное жилищное строительство в целом 02:010 2.1
Размещение индивидуального жилого дома (дом, пригодный для постоянного проживания, высотой не выше трех надземных этажей), размещение индивидуальных гаражей и подсобных сооружений, исходя из минимальных норм отвода земельных участков для индивидуального жилищного строительства (ИЖС) 02:011 2.1
Малоэтажная многоквартирная жилая застройка в целом 02:013 2.1.1
Размещение малоэтажного многоквартирного жилого дома (дом, пригодный для постоянного проживания, высотой до 4 этажей, включая мансардный), размещение индивидуальных гаражей и вспомогательных сооружений исходя из минимальных норм отвода участков для малоэтажных многоквартирных жилых домов 02:014 2.1.1
Ведение личного подсобного хозяйства с правом застройки в целом 02:020 2.2
Ведение личного подсобного хозяйства. Размещение жилого дома, не предназначенного для раздела на квартиры (дома, пригодные для постоянного проживания и высотой не выше трех надземных этажей), размещение гаража и иных вспомогательных сооружений, в том числе зданий и сооружений для содержания сельскохозяйственных животных 02:021 2.2
Блокированная жилая застройка в целом 02:030 2.3
Блокированная жилая застройка. Размещение жилого дома, не предназначенного для раздела на квартиры, имеющего одну или несколько общих стен с соседними жилыми домами (количеством этажей не более чем три, при общем количестве совмещенных домов не более десяти, и каждый из которых предназначен для проживания одной семьи, имеет общую стену (общие стены) без проемов с соседним блоком или соседними блоками, расположен на отдельном земельном участке и имеет выход на территорию общего пользования (жилые дома блокированной застройки), размещение индивидуальных гаражей и иных вспомогательных сооружений 02:031 2.3
Ведение огородничества. Осуществление отдыха и (или) деятельности, связанной с выращиванием гражданами для собственных нужд сельскохозяйственных культур; размещение хозяйственных построек, не являющихся объектами недвижимости, предназначенных для хранения инвентаря и урожая сельскохозяйственных культур 13:011 13.1
(в ред. Приказа Минэкономразвития РФ от 09.08.2018 N 419)
Ведение садоводства. Осуществление отдыха и (или) деятельности, связанной с выращиванием гражданами для собственных нужд сельскохозяйственных культур; размещение садовых домов, жилых домов, размещение для собственных нужд гаражей и иных хозяйственных построек 13:021 13.2
(в ред. Приказа Минэкономразвития РФ от 09.08.2018 N 419)
Строка двенадцатая. - Утратила силу.
(в ред. Приказа Минэкономразвития РФ от 09.08.2018 N 419)
Иной вид использования в сегменте "Садоводство и огородничество, малоэтажная жилая застройка"    
(в ред. Приказа Минэкономразвития РФ от 09.08.2018 N 419)
14. СЕГМЕНТ "Иное использование" 14:000 -

Приложение N 2
к Методическим указаниям
о государственной кадастровой
оценке, утвержденным приказом
Минэкономразвития России
от 12.05.2017 N 226

РЕКОМЕНДУЕМЫЕ КОДЫ ДЛЯ ЗДАНИЙ, СООРУЖЕНИЙ, ОНС, ПОМЕЩЕНИЙ, МАШИНО-МЕСТ, ПОЗВОЛЯЮЩИЕ РАЗБИТЬ ОБЪЕКТЫ НА ОСНОВНЫЕ ГРУППЫ (ПОДГРУППЫ) <1>

(в ред. Приказов Минэкономразвития РФ от 09.08.2018 N 419, от 09.09.2019 N 548)

<1> Для целей определения кадастровой стоимости.

Функциональная группа Подгруппа
Группа 1. Многоквартирные дома (дома средне- и многоэтажной жилой застройки) 0100
Дома жилые экономичного класса (с преобладанием малогабаритных квартир) 0101
Дома жилые со встроенными нежилыми помещениями 0102
Дома жилые повышенной комфортности (дома с небольшим количеством малогабаритных квартир, дома класса комфорт) 0103
Дома жилые повышенной комфортности со встроенными нежилыми помещениями 0104
Дома бизнес-класса и выше (дома с повышенными габаритами квартир, уровнем отделки и обслуживания, как правило, расположены в престижных районах застройки) 0105
Дома бизнес-класса и выше со встроенными нежилыми помещениями 0106
Группа 2. Дома малоэтажной жилой застройки, в том числе индивидуальной жилой застройки - индивидуальные, малоэтажные блокированные (таунхаусы) 0200
(в ред. Приказа Минэкономразвития РФ от 09.08.2018 N 419)
Дома жилые блокированной застройки (таунхаусы) 0201
Дома индивидуальные 0202
Дома индивидуальные с бытовыми пристройками 0203
Коттеджи (дома индивидуальные повышенной комфортности с применением качественных материалов, большой площади, наличием систем (как локальных, так и централизованных) инженерного обеспечения, расположенные в однородной среде, в престижных местах) 0204
Строка шестая. - Утратила силу.
(в ред. Приказа Минэкономразвития РФ от 09.08.2018 N 419)
Садовые дома 0206
(в ред. Приказа Минэкономразвития РФ от 09.08.2018 N 419)
Туалеты, летние душевые 0207
Группа 3. Объекты, предназначенные для хранения транспорта 0300
Открытые автостоянки автомобилей (покрытые площадки и проезды) 0301
Гаражи индивидуальные отдельностоящие 0302
Гаражные кооперативы (сблокированные индивидуальные гаражи) 0303
Паркинги 0304
Гаражи производственные, ведомственные для легковых автомобилей 0305
Гаражи производственные, ведомственные для грузовых автомобилей и автобусов 0306
Гаражи производственные, ведомственные для спецтехники, включая гаражи, депо пожарных машин 0307
Открытые стоянки водного транспорта 0308
Гаражи индивидуальные водного транспорта (эллинги) 0309
Гаражи производственные, ведомственные водного транспорта (эллинги) 0310
Открытые стоянки воздушного транспорта 0311
Группа 4. Объекты коммерческого назначения, предназначенные для оказания услуг населению, включая многофункционального назначения 0400
Магазины до 250 кв. м, за исключением киосков, павильонов, ларьков 0401
Магазины 250 и более кв. м 0402
Прочие многофункциональные торгово-сервисные комплексы, торгово-административные объекты, торгово-развлекательные объекты, за исключением отдельно стоящих зданий концертных залов, спортивно-концертных комплексов, кинотеатров, комплексов аттракционов, торгово-складские объекты, торговые базы 0403
Рынки 0404
Торговые киоски, павильоны, ларьки 0405
Автозаправочные станции (АЗС), газонаполнительные станции, автогазозаправочные станции (АГЗС) 0406
Автомойки 0407
Автосалоны 0408
Рестораны 0409
Кафе 750 кв. м (75 человек) и более, производственные столовые, столовые, кухни, кухни - столовые 750 кв. м (75 человек) и более 0410
Кафе до 750 кв. м (75 человек), кафетерии, столовые, кухни, кухни-столовые до 750 кв. м (75 человек) 0411
Летние кафе 0412
Ломбарды 0413
Группа 5. Объекты временного проживания, включая объекты рекреационно-оздоровительного значения 0500
Гостиницы: класс 2* и ниже, ведомственные гостиницы, хостелы 0501
Гостиницы: класс 3* 0502
Гостиницы: класс 4* и выше 0503
Апарт-отели 0504
Гостиницы; объекты коттеджного типа 0505
Мотели 0506
Общежития 0507
Пансионаты 0508
Базы отдыха 0509
Пионерские лагеря 0510
Санатории 0511
Здания барачного типа, летние домики пансионатов и санаториев 0512
Главные корпуса пансионатов 0513
Спальные корпуса пансионатов 0514
Главные корпуса санаториев 0515
Спальные корпуса санаториев 0516
Кемпинги 0517
Группа 6. Административные и бытовые объекты 0600
Банки 0601
Бизнес-центры 0602
Бытовые, административно-бытовые здания 0603
Административные корпуса заводов 0604
Лабораторные корпуса 0605
Отделения полиции 0606
Контрольно-пропускные пункты, проходные 100 кв. м и более 0607
Отделения связи, почта 0608
Таможни 0609
Группа 7. Объекты производственного назначения, за исключением передаточных устройств и сооружений 0700
Производственные, производственно-складские и административно-производственные здания площадью до 100 кв. м 0701
Диспетчерские, аппаратные (кроме диспетчерских на транспорте) 0702
Контрольно-пропускные пункты, проходные менее 100 кв. м 0703
Производственные, производственно-складские и производственно-административные здания площадью 100 и более кв. м 0704
Объекты сельскохозяйственного производства. Животноводческие комплексы, птичники, тепличные и оранжерейные хозяйства 0705
Трансформаторные подстанции 0706
Электроподстанции 0707
Энергоблоки 0708
Центральная тепловая станция (ЦТП), теплоэлектроцентраль (ТЭЦ) 0709
Котельные 0710
Здания тепловых пунктов 0711
Сушилки, мельницы, вспомогательные объекты 0712
Станции газораспределительные и газорегуляторные 0713
Пункты газораспределительные и газорегуляторные 0714
Насосные станции 0715
Водопроводные станции 0716
Водозаборные узлы и сооружения 0717
Водомерные узлы 0718
Павильоны над скважинами 0719
Вентиляционные киоски, вентиляционные камеры 0720
Автоматические телефонные станции (АТС) 0721
Мастерские 0722
Складские здания, кроме ангаров 0723
Здания очистных сооружений 0724
Весовые автомобильные 0725
Весовые железнодорожные 0726
Здания ангарного типа 0727
Холодильники 0728
Здания гидросооружений 0729
Станции технического обслуживания автомобилей (СТО), автосервисы 0730
Ангары для самолетов, вертолетов и других летательных аппаратов 0731
Депо железнодорожные, локомотивные, метрополитена, электродепо, трамвайные, троллейбусные 0732
Группа 8. Учебные, спортивные объекты, объекты культуры и искусства, культовые объекты, музеи, лечебно-оздоровительные и общественного назначения объекты 0800
Ветеринарные объекты 0801
Питомники, гостиницы для животных 0802
Зоопарк (вольеры, строения для содержания животных) 0803
Музеи 0804
Памятники архитектурные, монументы 0805
Спортивные комплексы 0806
Спортивные залы и корпуса, спортивные клубы 0807
Стадионы, трибуны 0808
Теннисные корты 0809
Тиры 0810
Фитнес-центры 0811
Крытые катки 0812
Бассейны для плавания 0813
Яхт-клубы 0814
Архивы, книгохранилища и фондохранилища, библиотеки 0815
Костелы, лавры, мечети, молебные дома, монастыри, синагоги, соборы, храмы, церкви, часовни 0816
Оранжереи (не относящиеся к сельскохозяйственному производству) 0817
Кинотеатры 0818
Киностудии 0819
Выставочные залы, дворцы культуры, дома культуры, консерватории, концертные залы, культурно-досуговые центры, мюзик-холлы, планетарии, театры, художественные галереи, цирки 0820
Детские сады, ясли, ясли-сады 0821
Гимназии, дома и дворцы пионеров, дома юного творчества, изостудии, клубы, лицеи, музыкальные школы, церковные школы, школы, спальные корпуса школ-интернатов 0822
Колледжи, училища профессионально-технические и ремесленные, техникумы, училища 0823
Академии, институты образовательные, подготовительные отделения высших учебных заведений, университеты 0824
Больницы, поликлиники, станции медицинской скорой помощи, фельдшерские медицинские пункты 0825
Крематории 0826
Комплексы аттракционов отдельно стоящие 0827
Аквапарки 0828
Объекты бытового обслуживания населения, ателье, парикмахерские, прачечные, пункты проката, молочные кухни 0829
Бани общественные от 150 кв. м, до 1000 кв. м (до 100 чел.), душевые и раздевалки, банные комплексы 1000 кв. м (на 100 чел.) и более 0830
Туалеты общественные 0831
Морги 0832
Интернаты 0833
Изоляторы 0834
Исправительные заведения 0835
Казармы 0836
Государственные научные центры 0837
Проектные институты, конструкторские бюро 0838
Научно-исследовательские институты 0839
Обсерватории 0840
Административные здания государственных учреждений управления, включая здания администраций, министерств, судов, прокуратуры 0841
Дома престарелых 0842
Дома инвалидов 0843
Автовокзалы 0844
Аэропорты (аэровокзалы), аэродромы 0845
Порты (вокзалы) 0846
Вокзалы железнодорожные 0847
Станции железнодорожные 0848
Станции метрополитена 0849
Вокзалы речные 0850
Станции автобусные, троллейбусные, трамвайные, лодочные 0851
Прочие объекты, предназначенные для перевозки и обслуживания пассажиров, обработки их багажа 0852
Группа 9. Прочие объекты 0900
Объекты гражданской обороны 0901
Погреба 0902
Подвалы 0903
Сараи 0904
Санитарные пропускники 0905
Гидрометеорологические станции, фотометрические будки, мареографы 0906
Прочие объекты и объекты вспомогательного назначения, отнесение которых к другим группам невозможно 0907
Группа 10. Сооружения 1000
Аттракционные сооружения 1001
Башни 1002
Мачтовые сооружения, опоры, вышки 1003
Беседки 1004
Гидротехнические сооружения: набережные 1005
Эстакады 1006
Емкостные сооружения, резервуары, баки, цистерны 1007
Бункеры 1008
Навесы 1009
Линии электропередач кабельные 1010
Линии электропередач воздушные 1011
Сети газораспределительные 1012
Гидротехнические сооружения: за исключением мостов, пирсов, причалов, набережных 1013
Сети канализационные тоннельные коллекторы 1014
Сети тепловые 1015
Сети водопроводные 1016
Сети канализационные, без коллекторов 1017
Фонтаны 1018
Градирни 1019
Сети инженерные технологические 1020
Сети тепловые: камеры теплосети подземные 1021
Железнодорожные пути 1022
Подкрановые пути 1023
Тоннели 1024
Мосты 1025
Сооружения связи линейно-кабельные 1026
Сети трубопроводов магистральные 1027
Переходы надземные 1028
Переходы подземные 1029
Прочие сооружения и сооружения вспомогательного назначения, отнесение которых к другим подгруппам невозможно 1030
Автомобильные дороги, дорожки, площадки, покрытия 1031
Силосная траншея, яма 1032
Скважина артезианская 1033
Колодец 1034
Водоемы и пруды 1035
Ограждение 1036
Отстойник канализационный 1037

Приведенные коды групп (подгрупп) могут добавляться самостоятельно с обязательным указанием присвоенной группы (подгруппы) и расшифровки вида использования.

Приложение N 3
к Методическим указаниям
о государственной кадастровой
оценке, утвержденным приказом
Минэкономразвития России
от 12.05.2017 N 226

ПРИМЕРНЫЙ ПЕРЕЧЕНЬ ЦЕНООБРАЗУЮЩИХ ФАКТОРОВ ЗЕМЕЛЬНЫХ УЧАСТКОВ И ЗДАНИЙ, СООРУЖЕНИЙ, ОНС, ПОМЕЩЕНИЙ, МАШИНО-МЕСТ <1>

(в ред. Приказов Минэкономразвития РФ от 09.08.2018 N 419, от 09.09.2019 N 548)

<1> Для целей определения кадастровой стоимости.

N п/п Наименование ценообразующего фактора Единицы измерения, идентификатор Комментарий
Земельные участки
  Общие сведения    
1 Категория земель (при наличии ее влияния), вид разрешенного использования - -
2 Площадь земельного участка кв. м -
3 вид использования - -
(в ред. Приказа Минэкономразвития РФ от 09.09.2019 N 548)
4 Коэффициент протяженности земельного участка по данным геоинформационных систем (ГИС) пог. м Величина
, где
k - коэффициент;
P - периметр;
S - площадь,
свидетельствует о сильно вытянутой форме (> 1/3,5) участка
5 Наличие обременений (ограничений) земельного участка - Указывается вид обременений (ограничений) и площадь, попадающая под обременение.
В случае наличия нескольких обременений (ограничений) требуется самостоятельное указание каждого (например, водоохранная зона, зона запрета застройки, отнесение участка к историко-культурным или иным охраняемым объектам)
6 Характеристики застройки земельного участка - Отношение площади застройки всех зданий, сооружений к площади земельного участка, отношение общей площади всех зданий, сооружений к площади земельного участка
(в ред. Приказа Минэкономразвития РФ от 09.09.2019 N 548)
  Дополнительные характеристики сегмента "Сельскохозяйственное использование"    
7 Вид угодий - Пашня; сенокосы; пастбища; залежь; многолетние насаждения; земли, занятые зданиями, строениями, сооружениями, используемыми для производства, хранения и первичной переработки сельскохозяйственной продукции; земли, занятые зданиями, строениями, сооружениями для ведения птицеводства, животноводства; земли, занятые зданиями, строениями, сооружениями для хранения и обслуживания техники, прочими вспомогательными объектами; земли, занятые внутрихозяйственными дорогами, коммуникациями, древесно-кустарниковой растительностью, предназначенной для обеспечения защиты земель от воздействия негативных (вредных) природных, антропогенных и техногенных явлений, замкнутые водоемы
8 Нормативная урожайность ц/га Указывается для сельскохозяйственных угодий на основе почвенной и агроэкологической информации. При выращивании разных культур указывается нормативная урожайность по каждой культуре
9 Гранулометрический состав почв (механический состав) - Относительное содержание в почве частиц различных размеров. По крупности: пески; супеси, суглинок легкий, суглинок средний, суглинок тяжелый, глина
10 Каменистость почв - Содержание твердых частиц размером более 3 мм
11 Засоление почв - Накопления в почве более 0,25% от ее массы солей, вредных для растений (хлориды, карбонаты натрия, сульфаты)
12 Солонцеватость почв   Содержание обменного натрия более 5% от емкости обмена почвы
13 Солонцы по мощности надсолонцового горизонта   Корковые (< 5 см), мелкие (5 - 10 см), средние (10 - 18 см), глубокие (> 18 см)
14 Карбонатность почв   Наличие (отсутствие) сильно окарбоначенных (более 30% CaCO3) пород
15 Уплотнение почв   Наличие (отсутствие) изменения сложения почвы под воздействием высоких механических нагрузок (тяжелой техникой, перевыпасом скота и др.)
16 Переувлажнение - Наличие (отсутствие) подъема уровня грунтовых вод, связанного с хозяйственной деятельностью человека
17 Наличие неудобиц (степень изрезанности рельефом) - Сильноизрезанная, умеренно изрезанная, слабоизрезанная
18 Пестрота почвенного покрова - Наличие разных почв на одном земельном участке, пятен засоления, заболачивания, выходов скальных пород, загрязнения почв в результате техногенных катастроф
19 Удаленность от рынков сбыта км Указывается относительно геометрического центра участка расстояние до пунктов реализации сельскохозяйственной продукции
Здания, сооружения, ОНС, помещения, машино-места
(в ред. Приказа Минэкономразвития РФ от 09.09.2019 N 548)
  Общие сведения    
20. Пункт утратил силу.
(в ред. Приказа Минэкономразвития РФ от 09.09.2019 N 548)
21 Назначение    
22 вид использования - -
(в ред. Приказа Минэкономразвития РФ от 09.09.2019 N 548)
23 Площадь, иная характеристика кв. м и иное -
24 Плотность застройки земельного участка - Отношение площади застройки всех зданий, сооружений к площади земельного участка
(в ред. Приказа Минэкономразвития РФ от 09.09.2019 N 548)
25 Плотность застроенности земельного участка - Отношение общей площади всех зданий, сооружений к площади земельного участка
(в ред. Приказа Минэкономразвития РФ от 09.09.2019 N 548)
26 Количество надземных этажей - -
27 Количество подземных этажей - -
28 Этажность - -
29 Этаж расположения - Указывается для помещений, машино-мест
30 Материал основных несущих конструкций -  
31 Год ввода объекта в эксплуатацию или завершения строительства (для ОНС - год получения разрешения на строительство) - -
32 Дата проведения капитального ремонта (реконструкции) - -
33 Дата установления состояния -  
34 Капитальность объекта - Указывается одна из 5 групп:
I - капитальный или особо капитальный объект с повышенным запасом надежности, прочности, долговечности (гидроэлектростанции, крупные производственные здания, крупные общественные, в том числе, административные и торговые комплексы, высотные объекты);
II - капитальный объект, выполненный из каменных (кирпичных, бетонных) материалов. Многоэтажные жилые здания, большая часть общественных и производственных зданий;
III - объект, выполненный из облегченных каменных материалов и (или) специально обработанной древесины (клееный брус);
IV - объект, выполненный из легких каменных блоков и (или) древесины, включая рубленные брусовые и утепленные каркасно-щитовые дома;
V - легкие дощатые, каркасно-обшивные объекты (садовые дома, бани, гаражи);
прочие объекты - временные объекты строительства (беседки, бытовки, сараи, навесы)
(в ред. Приказа Минэкономразвития РФ от 09.08.2018 N 419)
35 Планировка - Указывается один из 4 видов:
анфиладная (проходные комнаты);
коридорная;
зальная;
иная (с обязательным указанием вида)
36 Наличие обременений (ограничений) зданий, сооружений, ОНС, помещений, машино-мест - -
(в ред. Приказа Минэкономразвития РФ от 09.09.2019 N 548)
  Сведения о местоположении    
37 Расположение земельного участка относительно автомобильных дорог, их тип (федеральная, региональная и межмуниципальная, местного значения, частная автомобильная дорога), их наименование, тип покрытия (асфальт, бетон, улучшенное грунтовое покрытие, грунтовое покрытие, без покрытия и прочее) км, прочее -
38 Линия застройки зданий, сооружений первая (не первая) -
(в ред. Приказа Минэкономразвития РФ от 09.09.2019 N 548)
39 Расположение земельного участка относительно ближайшего водного объекта, его наименование, тип (море, река, озеро, пруд, затопленный карьер и прочее) км, прочее Пожарные водоемы, прочие мелкие водные объекты не подлежат учету
40 Расположение земельного участка относительно ближайшей рекреационной зоны, ее наименование и тип (лесной массив, парковая зона, заповедная зона и прочее) км, прочее Санитарно-защитные полосы не подлежат учету
41 Расположение земельного участка относительно железных дорог, их тип (грузовая, пассажирская, смешенного назначения;
пригородная, транзитная;
промышленная, временная, тупиковая)
км, прочее  
  Сведения об инженерной инфраструктуре    
42 Категория, проектная мощность линейного объекта - Указывается при оценке линейных объектов в соответствии с нормативно-технической документации и (или) паспортом
43 Класс линейного объекта - Подземный, наземный, надземный
44 Расположение земельного участка относительно линий электропередач км -
45 Протяженность земельных участков под линейными объектами км Протяженность земельных участков под линиями электропередач, трубопроводным транспортом, автомобильными и железными дорогами, мостами и прочими объектами. Протяженность считается по обеим продольным сторонам линейного объекта
46 Расположение земельного участка относительно магистральных газопроводов км -
47 Описание коммуникаций (электроснабжение, газоснабжение, водоснабжение, теплоснабжение, канализация), в том числе их удаленность от земельного участка - -
  Прочие сведения    
48 Уровень цен потребительской корзины по муниципальным районам (городским округам) руб./чел. -
49 Товарооборот на 1 человека по муниципальным районам (городским округам) руб./чел. -
50 Наличие в сельском населенном пункте магазина   Наличие либо отсутствие
51 Наличие в сельском населенном пункте общеобразовательной школы   Наличие либо отсутствие
52 Расстояние до земельных участков зоны разработки полезных ископаемых км Указывается расстояние от границ земельных участков до границы участка разработки полезных ископаемых
53 Зоны особого режима использования в границах земельных участков   Указывается расстояние от границ земельных участков до границ свалок, объектов Минобороны России (военных полигонов), кладбищ и прочее
54 Принадлежность земельного участка к организованной промышленной зоне км Указывается расстояние от границ земельных участков до границы ближайшей организованной промышленной зоны
55 Наименование и расстояние от объекта до локального (локальных) центра (центров), положительно влияющего (влияющих) на стоимость объектов недвижимости км К положительно влияющим факторам могут быть отнесены места, не связанные напрямую с вышеперечисленными факторами, но положительно влияющие на стоимость объектов недвижимости
56 Наименование и расстояние от объекта до локального(-ых) центра(-ов), отрицательно влияющего(-их) на стоимость объектов недвижимости км К отрицательно влияющим факторам могут быть отнесены места, не связанные напрямую с вышеперечисленными факторами, но отрицательно влияющие на стоимость объектов недвижимости, в том числе наличие неорганизованных (хаотичных) свалок, заболоченность или экологическое загрязнение территории и прочее. В случае наличия нескольких факторов информация по каждому фактору указывается индивидуально

Приложение N 4
к Методическим указаниям
о государственной кадастровой
оценке, утвержденным приказом
Минэкономразвития России
от 12.05.2017 N 226

ПЕРЕЧЕНЬ НАИМЕНОВАНИЙ МАТЕРИАЛОВ ОСНОВНЫХ ОГРАЖДАЮЩИХ КОНСТРУКЦИЙ, СООТВЕТСТВИЕ МАТЕРИАЛОВ ОСНОВНЫХ ОГРАЖДАЮЩИХ КОНСТРУКЦИЙ КЛАССАМ КОНСТРУКТИВНЫХ СИСТЕМ И ГРУППАМ КАПИТАЛЬНОСТИ <1>

<1> Для целей определения кадастровой стоимости.

Код поля Основной материал Класс конструктивной системы Группа капитальности
61001000000 Стены - -
61001001000 Каменные КС-1 I и (или) II
61001001001 Кирпичные КС-1 I
61001001002 Кирпичные облегченные КС-1 III
61001001003 Из природного камня КС-1 I
61001002000 Деревянные КС-7 IV
61001002001 Рубленые КС-7 IV
61001002002 Каркасно-засыпные КС-7_2 V
61001002003 Каркасно-обшивные КС-7_2 V
61001002004 Сборно-щитовые КС-7_2 V
61001002005 Дощатые КС-7_3 V
61001002006 Деревянный каркас без обшивки КС-7_4 IV
61001003000 Смешанные КС-3 II, III
61001003001 Каменные и деревянные КС-1 II, III
61001003002 Каменные и бетонные КС-1 I и (или) II
61001004000 Легкие из местных материалов КС-3 III
61001005000 Из прочих материалов КС-3 III и (или) IV
61001006000 Бетонные КС-3 I и (или) II
61001006001 Монолитные КС-3 I и (или) II
61001006002 Из мелких бетонных блоков КС-3 I и (или) II
61001006003 Из легкобетонных панелей КС-3 II
61001007000 Железобетонные КС-3 I и (или) II
61001007001 Крупнопанельные КС-3 I и (или) II
61001007002 Каркасно-панельные КС-3 II и (или) III
61001007003 Монолитные КС-3 I и (или) II
61001007004 Крупноблочные КС-3 I и (или) II
61001007005 Из унифицированных железобетонных элементов КС-3 I и (или) II
61001007006 Из железобетонных сегментов КС-3 I и (или) II
61001008000 Шлакобетонные КС-3 III
61001009000 Металлические КС-6 III, IV, V
61001999000 Иное - -

Приложение N 5
к Методическим указаниям
о государственной кадастровой
оценке, утвержденным приказом
Минэкономразвития России
от 12.05.2017 N 226

ПРИМЕРНЫЙ ПЕРЕЧЕНЬ РАЗЛИЧНЫХ ИНФОРМАЦИОННЫХ СИСТЕМ ДЛЯ ОСНОВНЫХ ЦЕНООБРАЗУЮЩИХ ФАКТОРОВ <1>

<1> Для целей определения кадастровой стоимости.

N п/п Вид кадастра, реестра, информационной системы
1 Реестр федеральных государственных информационных систем
2 Информационная система обеспечения градостроительной деятельности
3 Федеральная государственная информационная система территориального планирования
4 Федеральная информационная адресная система
5 Государственный реестр муниципальных образований Российской Федерации
6 Государственный кадастр особо охраняемых природных территорий
7 Единый государственный реестр объектов культурного наследия (памятников истории и культуры) народов Российской Федерации
8 Система государственного информационного обеспечения в сфере сельского хозяйства
9 Информационные системы Минсельхоза России, в том числе электронный атлас земель сельскохозяйственного назначения
10 Государственный лесной реестр
11 Реестр курортного фонда Российской Федерации
12 Государственный водный реестр
13 Государственный охотхозяйственный реестр
14 Государственный кадастр отходов, включающий в себя Государственный реестр объектов размещения отходов
15 Реестр объектов электросетевого хозяйства, входящих в единую национальную (общероссийскую) электрическую сеть
16 Российский регистр гидротехнических сооружений
17 Федеральный информационный реестр гарантирующих поставщиков и зон их деятельности
18 Государственный реестр опасных производственных объектов
19 Единый государственный реестр автомобильных дорог
20 Государственный кадастр месторождений и проявлений полезных ископаемых
21 Государственный реестр работ по геологическому изучению недр, участков недр, предоставленных для добычи полезных ископаемых, а также в целях, не связанных с их добычей, и лицензий на пользование недрами

Приложение N 6
к Методическим указаниям
о государственной кадастровой
оценке, утвержденным приказом
Минэкономразвития России
от 12.05.2017 N 226

РЕКОМЕНДАЦИИ ПО ПРИМЕНИМОСТИ ПОДХОДОВ <1>

(в ред. Приказов Минэкономразвития РФ от 09.08.2018 N 419, от 09.09.2019 N 548)

<1> Для целей определения кадастровой стоимости.

Группа Затратный подход Сравнительный подход Доходный подход
Земельные участки
1. Сельскохозяйственное использование - 2 1
2. Жилая застройка (среднеэтажная и многоэтажная) - 1 2
3. Общественное использование - 1 2
4. Предпринимательство (коммерческое использование) - 2 1
5. Отдых (рекреация, спорт) - 1,2 1,2
6. Производственная деятельность - 1,2 1,2
7. Транспорт - 1 2
8. Обеспечение обороны и безопасности 1 - 2
9. Особая охрана и изучение природы - 1 2
10. Леса и лесная промышленность - 1,2 1,2
11. Водные объекты - 2 1
12. Общее и специальное пользование - 2 1
13. Садоводство и огородничество, малоэтажная жилая застройка - 1 2
(в ред. Приказа Минэкономразвития РФ от 09.09.2019 N 548)
Объекты капитального строительства
1. Многоквартирные дома (дома средне- и многоэтажной жилой застройки) 1 2,3 2,3
2. Дома малоэтажной жилой застройки (до 3-х этажей включительно), в том числе индивидуальной жилой застройки - индивидуальные, малоэтажные блокированные (таунхаусы), садовые дома 1 2,3 2,3
(в ред. Приказа Минэкономразвития РФ от 09.08.2018 N 419)
3. Объекты транспорта, за исключением линейных объектов и сооружений 1 2,3 2,3
4. Торговые, торгово-сервисные и торгово-развлекательные объекты, объекты общепита, заправочные станции 1 2,3 2,3
5. Объекты временного проживания, включая объекты рекреационно-оздоровительного значения 1 2,3 2,3
6. Административные и бытовые объекты 1 2,3 2,3
7. Объекты производственного, производственно-складского и складского назначения, за исключением передаточных устройств и сооружений 1 2,3 2,3
8. Учебные, спортивные объекты, объекты культуры и искусства, культовые объекты, музеи, лечебно-оздоровительные объекты 1 2,3 2,3
9. Прочие объекты 1 2,3 2,3
10. Сооружения 1 2,3 2,3
Единые недвижимые комплексы
1. Многоквартирные дома (дома средне- и многоэтажной жилой застройки) 2 1 3
2. Дома малоэтажной жилой застройки (до 3-х этажей включительно), в том числе индивидуальной жилой застройки - индивидуальные, малоэтажные блокированные (таунхаусы), садовые дома 2 1 3
(в ред. Приказа Минэкономразвития РФ от 09.08.2018 N 419)
3. Объекты транспорта, за исключением линейных объектов и сооружений 2,3 1 2,3
4. Торговые, торгово-сервисные и торгово-развлекательные объекты, объекты общественного питания, заправочные станции 3 2 1
5. Объекты временного проживания, включая объекты рекреационно-оздоровительного значения 2 3 1
6. Административные и бытовые объекты 3 2 1
7. Объекты производственного, производственно-складского и складского назначения, за исключением передаточных устройств и сооружений 1,2 3 1,2
8. Учебные, спортивные объекты, объекты культуры и искусства, культовые объекты, музеи, лечебно-оздоровительные объекты 1 2,3 2,3
9. Прочие объекты 1 2,3 2,3
10. Сооружения 1 2,3 2,3

1, 2, 3 - ранговые показатели приемлемости подходов. Ранг 1 - наиболее весомый подход, ранг 3 - наименее весомый подход.

Приложение N 7
к Методическим указаниям
о государственной кадастровой
оценке, утвержденным приказом
Минэкономразвития России
от 12.05.2017 N 226

ОРИЕНТИРОВОЧНЫЕ ДОЛИ СТОИМОСТИ ЗЕМЕЛЬНЫХ УЧАСТКОВ, ЗДАНИЙ, СООРУЖЕНИЙ, ДВИЖИМОГО ИМУЩЕСТВА И ПРОЧЕГО <1>

(в ред. Приказов Минэкономразвития РФ от 09.08.2018 N 419, от 09.09.2019 N 548)

<1> Для целей определения кадастровой стоимости.

Группа Доля земельного участка Доля зданий, сооружений Доля прочего
благоустройство, внешние сети меблировка, влияние предпринимательской деятельности
(в ред. Приказа Минэкономразвития РФ от 09.09.2019 N 548)
Многоквартирное жилье <2> 10 - 25% 60 - 70% 0 - 35%  
Малоэтажное жилье, индивидуальные жилые дома, садовые дома 20 - 30% 50 - 70% 10 - 30% -
(в ред. Приказа Минэкономразвития РФ от 09.08.2018 N 419)
Объекты хранения индивидуального автотранспорта 15 - 30% 60 - 80% 0 - 15% -
Иные объекты транспорта 20% 70 - 75% 5 - 10% -
Торговые и торгово-развлекательные объекты 20 - 25% 60 - 80% 0 - 40% -
Объекты временного проживания 15 - 20% 40 - 70% 0 - 30% 15 - 20%
Объекты санаторно-курортного назначения 20 - 30% 35 - 65% 10 - 40% 20 - 25%
Объекты офисного назначения 15 - 25% 60 - 80% 0 - 30% -
Объекты производственного назначения 5 - 15% 60 - 85% 10 - 30% -
Социальные объекты 20% 50 - 70% 10 - 30% -
Прочие объекты 20% 65 - 70% 10 - 15% -
Сооружения 10% 90% - -

<2> В таблице не учтены права на общедолевое имущество, расположенное внутри многоквартирного дома.

Приложение N 8
к Методическим указаниям
о государственной кадастровой
оценке, утвержденным приказом
Минэкономразвития России
от 12.05.2017 N 226

МОДЕЛИ НАКОПЛЕНИЯ ФИЗИЧЕСКОГО ИЗНОСА ДЛЯ РАЗЛИЧНЫХ ГРУПП ЗДАНИЙ, РАСПОЛОЖЕННЫХ В КРУПНЫХ (ОТ 100 ТЫСЯЧ ЧЕЛОВЕК) ГОРОДСКИХ НАСЕЛЕННЫХ ПУНКТАХ II КЛИМАТИЧЕСКОГО РАЙОНА (РАЙОНИРОВАНИЕ ПРИНЯТО НА ОСНОВАНИИ ПРИЛОЖЕНИЯ N 2 К ОБЩЕЙ ЧАСТИ СБОРНИКОВ УКРУПНЕННЫХ ПОКАЗАТЕЛЕЙ ВОССТАНОВИТЕЛЬНОЙ СТОИМОСТИ (УПВС) <1> (в ред. Приказа Минэкономразвития РФ от 09.09.2019 N 548)

<1> Для целей определения кадастровой стоимости.

Тип несущих и ограждающих конструкций Уравнение Предельный возраст, лет
Здания с кирпичными стенами 90
Здания со стенами из мелких бетонных блоков ФизИз = 0,0245 x 55
Здание с крупноблочными стенами ФизИз = 0,0225 x 60
Здание с крупнопанельными стенами ФизИз = 0,0059 x ДВ + 0,041 44
Здания с монолитными стенами ФизИз = 0,0058 x ДВ + 0,0305 45
Здание со стенами из унифицированных железобетонных элементов ФизИз = 0,0468 x 35
Здания с железобетонными стенами ФизИз = 0,0062 x ДВ + 0,0501 50
Здания со шлакоблочными стенами ФизИз = 0,0218 x 60
Здание с каркасно-панельными стенами 60
(в ред. Приказа Минэкономразвития РФ от 09.09.2019 N 548)
Здания с металлическими стенами 40
Здания с дощатыми стенами ФизИз = 0,0067 x ДВ + 0,1606 48
Здания с рублеными стенами ФизИз = 0,0448 x 60
Здания с каркасно-засыпными стенами ФизИз = 0,0402 x 50
Здания с каркасно-обшивными стенами ФизИз = 0,0408 x 25
Здания со сборно-щитовыми стенами ФизИз = 0,0373 x 20

Для использования зависимостей величины физического износа от действительного возраста (ДВ) подбирается максимально подходящее по ограждающим конструкциям уравнение накопления физического износа. ДВ необходимо отсчитывать от одной из ближайших к дате оценке дат: даты ввода объекта в эксплуатацию, даты последнего капитального ремонта или реконструкции объекта недвижимости.

Модели накопления физического износа для различных групп зданий, расположенных в некрупных (до 100 тыс. человек) городских населенных пунктах, сельских населенных пунктах и межселенной территории II климатического района (районирование принято на основании приложения N 2 к общей части сборников УПВС)

Тип несущих и ограждающих конструкций Уравнение
Здания с кирпичными стенами
Здания со стенами из мелких бетонных блоков
Здание с крупноблочными стенами
Здание с крупнопанельными стенами
Здания с монолитными стенами
Здание со стенами из унифицированных железобетонных элементов
Здания с железобетонными стенами
Здания со шлакоблочными стенами

Приложение N 9
к Методическим указаниям
о государственной кадастровой
оценке, утвержденным приказом
Минэкономразвития России
от 12.05.2017 N 226

СРОК ЭКОНОМИЧЕСКОЙ ЖИЗНИ ОБЪЕКТОВ КАПИТАЛЬНОГО СТРОИТЕЛЬСТВА <1>

(в ред. Приказа Минэкономразвития РФ от 09.08.2018 N 419)

<1> Для целей определения кадастровой стоимости.

Наименование Срок экономической жизни, лет Примечания
ЗДАНИЯ    
Здания производственные и непроизводственные    
Здания высотные (более 25 этажей) особо капитальные, каркасно-монолитные, повышенной прочности, фундамент - монолитная плита на свайном основании, стены - алюминиевые панели повышенной антикоррозионной защиты, перекрытия - железобетон, с облицовкой стилобата естественным камнем. 250  
Здания многоэтажные (более двух этажей), за исключением многоэтажных зданий типа этажерок специального технологического назначения (обогатительных фабрик, дробильных, размольных, химических цехов и других аналогичных производств); здания одноэтажные с железобетонными и металлическими каркасами, со стенами из каменных материалов, крупных блоков и панелей, с железобетонными, металлическими и другими долговечными покрытиями с площадью пола свыше 5000 кв. м; здания гидроэлектростанций и гидроаккумулирующих электростанций бетонные и железобетонные: руслового не совмещенного, совмещенного и бычкового типов, приплотинные, подземные здания гидроэлектростанций; здания приливных гидроэлектростанций 100  
Здания двухэтажные всех назначений, кроме деревянных всех видов; здания одноэтажные с железобетонными и металлическими каркасами, со стенами из каменных материалов, крупных блоков и панелей, с железобетонными, металлическими и другими долговечными покрытиями, с площадью пола до 5000 кв. м 83,3  
Здания многоэтажные типа этажерок специального технологического назначения (обогатительных фабрик, дробильных, размольных, химических цехов и других аналогичных производств); здания одноэтажные бескаркасные со стенами из каменных материалов, крупных блоков и панелей с железобетонными, металлическими, деревянными и другими перекрытиями и покрытиями 58,8  
Здания одноэтажные бескаркасные со стенами облегченной каменной кладки, с железобетонными, кирпичными и деревянными колоннами и столбами, с железобетонными, деревянными и другими перекрытиями; здания деревянные с брусчатыми или бревенчатыми рублеными стенами, одно-, двух- и более этажные 40  
Здания деревянные, каркасные и щитовые, контейнерные, деревометаллические, каркасно-обшивные и панельные одно-, двух- и более этажные; здания глинобитные, сырцовые, саманные, камышитовые и другие аналогичные 20  
Здания из пленочных материалов (воздухо-опорные, пневмокаркасные, каркасные, шатровые) 10  
Сборно-разборные и передвижные здания    
Здания сборно-разборные контейнерного исполнения, деревянные, каркасные, каркасно-панельные и панельные, щитовые и прочие облегченные здания; телефонные кабины и будки Фрадкина 10,2  
Каркасно-панельные и панельные с металлическим и деревянным каркасом с ограждающими конструкциями из железобетонных и асбошиферных панелей; каркасно-панельные и панельные с металлическим и деревянным каркасом с ограждающими конструкциями из профилированного металлического листа; здания испытательных станций 20  
Здания передвижные: цельнометаллические 10  
Здания передвижные: деревометаллические 8  
Палатки-магазины, павильоны, кафе, закусочные, столовые из металлоконструкций, стеклопластика, прессованных плит и деревянные 15,2 Для палаток и павильонов, используемых для реализации плодоовощных товаров, применяется коэффициент 0,67
Киоски и ларьки из металлоконструкций, стеклопластика, прессованных плит и деревянные 9,1 Для разборных и передвижных киосков - шкафов, ларей, бахчевых колодцев, используемых сезонно, применяется коэффициент 0,77
Овоще- и фруктохранилища    
Картофелеовощехранилища закромные с каменными стенами из штучных камней и блоков, колонны железобетонные, кирпичные и деревянные, покрытие железобетонное или асбестоцементные листы по деревянной обрешетке, кровля рулонная 28,6  
Картофелеовощехранилища навальные с каменными стенами из штучных камней и блоков, колонны железобетонные или кирпичные, покрытие железобетонные, кровля рулонная; картофелехранилища закромные и навальные с каменными стенами из штучных камней и блоков, колонны железобетонные или кирпичные, покрытие железобетонное, кровля - асбестоцементные листы 32,3  
Картофелеовощехранилища навальные с каменными стенами из штучных камней и блоков, колонны деревянные, покрытие - асбестоцементные листы по деревянной обрешетке 35,7  
Лукохранилища закромные и беззакромные и фруктохранилища с холодильным оборудованием, стены каменные из штучных камней и блоков, колонны железобетонные или кирпичные, покрытие железобетонное, кровля рулонная 25  
Лукохранилища беззакромные без холодильного оборудования, стены каменные из штучных камней и блоков, колонны железобетонные или кирпичные, покрытие железобетонное, кровля рулонная 26,3  
Фруктохранилища без холодильного оборудования, стены каменные из штучных камней и блоков, колонны железобетонные или кирпичные, покрытие железобетонное, кровля рулонная 27,8  
Жилые здания    
Здания каменные, особо капитальные, стены кирпичные толщиной в 2,5 - 3,5 кирпича или кирпичные с железобетонным или металлическим каркасом, перекрытия железобетонные и бетонные; здания с крупнопанельными стенами, перекрытия железобетонные 142,9  
Здания с кирпичными стенами толщиной в 1,5 - 2,5 кирпича, перекрытия железобетонные, бетонные или деревянные; здания с крупноблочными стенами, перекрытия железобетонные 125  
Здания со стенами облегченной кладки из кирпича, монолитного шлакобетона, легких шлакоблоков, ракушечника, перекрытия железобетонные или бетонные; здания со стенами крупноблочными или облегченной кладки из кирпича, монолитного шлакобетона, мелких шлакоблоков, ракушечника, перекрытия деревянные 100  
Здания со стенами смешанными, деревянными рублеными или брусчатыми 50  
Здания сырцовые, сборно-щитовые, каркасно-засыпные, глинобитные, саманные 30,3  
Здания каркасно-камышитовые и другие облегченные 15,2  
СООРУЖЕНИЯ    
Нефтяные и газовые скважины    
Нефтяные, нагнетательные и контрольные скважины 14,9  
Газовые и газоконденсатные скважины 12  
Скважины подземных хранилищ газа, подземные хранилища нефти в отложениях калийной соли 50  
Обвязочные трубопроводы и шлейфы скважин 12  
Гидротехнические сооружения    
Плотины бетонные, железобетонные, каменные, земляные; тоннели, водосливы и водоприемники, отстойники, акведуки, лотки, дюкеры и водопроводящие сооружения, рыбопропускные и рыбозащитные сооружения, напорные трубопроводы и уравнительные резервуары; деривационные каналы, напорные бассейны гидроэлектростанций (ГЭС) и гидроаккумулирующая электростанция (ГАЭС); шлюзы судоходные и судоподъемники; дамбы, ограждающие земляные без облицовки 100  
Берегоукрепительные и берегозащитные сооружения железобетонные, бетонные, каменные 29,9  
Речные причальные сооружения деревянные: эстакады, ряжевые набережные, больверки 25  
Гидротехнические сооружения деревянные (включая здания) 33,3  
Каналы судоходные 153,8  
Все виды регулировочных (выпрямительных) сооружений 10  
Водохранилища при земляных плотинах 74,1  
Водосбросы и водовыпуски при прудах: бетонные и железобетонные 50  
Водосбросы и водовыпуски при прудах: деревянные 12,5  
Выправительные сооружения фашинные и каменные 20  
Гидротехнические внутрихозяйственные сооружения на каналах (шлюзы - регуляторы, мосты - водоводы, перепады, быстротеки, консольные перепады, дюкеры, в том числе стальные, акведуки, водосливы каменные, бетонные и железобетонные) 40  
Гидротехнические сооружения на межхозяйственных и внутрихозяйственных каналах деревянные 12,5  
Внутрихозяйственная и межхозяйственная оросительная сеть: каналы земляные без облицовки, каналы, облицованные камнем, бетоном и железобетоном; межхозяйственная и внутрихозяйственная водосборно-сбросная сеть из открытых земляных каналов; межхозяйственные и внутрихозяйственные коллекторно-дренажные каналы земляные без крепления 50  
Внутрихозяйственная и межхозяйственная оросительная сеть: каналы из железобетонных лотков 25  
Внутрихозяйственная и межхозяйственная оросительная сеть: каналы из асбестоцементных, стальных и полиэтиленовых труб 40  
Закрытая коллекторно-дренажная сеть: каналы из асбестоцементных труб 40  
Закрытая коллекторно-дренажная сеть: каналы из гончарных труб 62,5  
Закрытая коллекторно-дренажная сеть: каналы из пластмассовых труб 30,3  
Системы лиманного орошения 50  
Отрегулированные реки - водоприемники, межхозяйственные, осушительные, магистральные и другие проводящие каналы земляные без крепления и с креплением плетнем, фашинами, досками; внутрихозяйственные осушительные каналы земляные без крепления и с креплением плетнем, фашинами, досками и засевом трав в торфяных грунтах 50  
Дренаж (горизонтальный) для осушения сельскохозяйственных земель: гончарный в минеральных грунтах 83,3  
Дренаж (горизонтальный) для осушения сельскохозяйственных земель: гончарный в торфяных грунтах 71,4  
Дренаж (горизонтальный) для осушения сельскохозяйственных земель: пластмассовый 40  
Дренаж (горизонтальный) для осушения сельскохозяйственных земель: дощатый, хворостяной 14,9  
Дренаж (горизонтальный) для осушения сельскохозяйственных земель: щелевой, кротовый 4  
Морские причальные гравитационные сооружения из бетонных массивов 58,8  
Морские причальные и берегоукрепительные сооружения: железобетонные, бетонные и каменные 50  
Морские причальные и берегоукрепительные сооружения: металлические 43,5  
Морские причальные и берегоукрепительные сооружения: деревянные 40  
Оградительные сооружения: земляные, бетонные и железобетонные 90,9  
Оградительные сооружения: металлические и деревянные 50  
Каналы судоходные морские 142,9  
Искусственно образованные портовые территории 500  
Плотины и дамбы земляные (кроме плотин и дамб при крупных гидростанциях и прудах) и речные оградительные сооружения 76,9  
Шлюзы судоходные деревянные и смешанной конструкции, а также плотины деревянные 50  
Выправительные сооружения из рефулированного грунта с гравийным, щебеночным или тюфячным покрытием и фашинно-кольевые 10  
Речные причальные сооружения: железобетонные, бетонные и каменные 62,5  
Речные причальные сооружения: металлические 40  
Водоприемные сооружения для открытых источников, включая крепление береговой полосы (для целей водоснабжения) 50  
Наплавные лесозадерживающие, лесонаправляющие, оградительные и причальные сооружения: деревянные 4  
Наплавные лесозадерживающие, лесонаправляющие, оградительные и причальные сооружения: металлические 10,4  
Опоры наплавных сооружений: деревянные 10  
Опоры наплавных сооружений: железобетонные 20  
Плотины лесосплавные и мелиоративные, а также водозаборные, водосбросные сооружения деревянные 12  
Лотки лесосплавные железобетонные 20  
Прудовые рыбоводные сооружения    
Плотины земляные при прудах 50  
Железобетонные водосбросы, водовыпуски и водоспуски при прудах 28,6  
Железобетонные садки для хранения рыбы и рыбоуловители 25  
Рыбосборные каналы при прудах 3  
Железобетонные бассейны для содержания и выращивания рыбы 25  
Линии из стеклопластиковых лотков или бассейнов для содержания и выращивания рыбы: железобетонные основания 25  
Линии из стеклопластиковых лотков или бассейнов для содержания и выращивания рыбы: стеклопластиковые лотки 10  
Линии из стеклопластиковых лотков или бассейнов для содержания и выращивания рыбы: здания или навесы 7,9  
Верховины русловых прудов металлические с бетонным каркасом 20  
Плавучие садковые линии для выращивания рыбы: понтоны металлические 10  
Плавучие садковые линии для выращивания рыбы: садки из лотаксированной дели 3  
Плавучие садковые линии для выращивания рыбы: садки из лотаксированной дели 3  
Дамбы нагульных прудов без креплений 58,8 По гидротехническим сооружениям крупных гидростанций (плотины глухие, дамбы, водосбросные сооружения и водозаборы) сведения указаны для I и II классов капитальности сооружений. Для сооружений III класса капитальности к указанной продолжительности применяется коэффициент 0,87, для сооружений IV класса капитальности - 0,8. К крупным гидростанциям относятся все гидростанции мощностью 25 тыс. кВт и выше, к III классу - гидростанции мощностью от 50 до 300 тыс. кВт, к IV классу - гидростанции мощностью 50 тыс. кВт и ниже.
Сооружения транспортного хозяйства, связи и других отраслей    
Мосты железобетонные, бетонные и каменные всех видов и конструкций, а также трубы и лотки железобетонные, бетонные, каменные и чугунные 100  
Мосты металлические 50  
Мосты деревянные и металлические на деревянных опорах 20  
Трубы и лотки деревянные 10  
Трубы стальные гофрированные 58,8  
Поддерживающие и защитные сооружения каменные, бетонные и железобетонные (противооползневые, противолавинные, противообвальные, подпорные, одевающие, улавливающие стены, галереи, селеспуски, полки, траншеи и др.) 58,8  
Регуляционные и укрепительные сооружения мостов 40  
Железнодорожные платформы железобетонные и каменные крытые 76,9  
Железнодорожные платформы и грузовые площадки открытые, открытая строительная часть пунктов группировки на станциях стыкования переменного и постоянного тока, распределительных устройств, электростанций, тяговых и трансформаторных подстанций, асфальтобетонные, железобетонные и каменные 50  
Железнодорожные платформы деревянные 20  
Подкрановые пути 23,8  
Эстакады льдопогрузочные деревянные 15,2  
Эстакады каменные, бетонные и железобетонные, повышенные пути; эстакады сливные, наливные нефтеперерабатывающей и нефтехимической промышленности (металлические и железобетонные) 40  
Эстакады морские нефтедобывающей промышленности (металлические и железобетонные) 20  
Бункерные эстакады доменных цехов 30,3  
Поворотные круги 50  
Земляное полотно железных дорог 100  
Верхнее строение пути железных дорог (балласт, шпалы, рельсы со скреплением, стрелочные переводы и другие элементы), железнодорожные пути метрополитена 20,8  
Подъездные и другие железнодорожные пути предприятий 25  
Железнодорожные пути узкой колеи 14,9  
Копры эстакадные, башенные 25  
Взрывные ямы ломоперерабатывающих цехов 10,1  
Производственные автомобильные дороги, покрытия площадок и аэродромов: цементобетонные 50  
Производственные автомобильные дороги, покрытия площадок и аэродромов: асфальтобетонные 31,3  
Производственные автомобильные дороги, покрытия площадок и аэродромов: черные щебеночные и черные гравийные 19,2  
Производственные автомобильные дороги, покрытия площадок и аэродромов: щебеночные, гравийные, грунтовые, стабилизированные вяжущими материалами и колейные железобетонные 15,9  
Производственные автомобильные дороги, покрытия площадок и аэродромов: булыжные мостовые 12  
Производственные автомобильные дороги, покрытия площадок и аэродромов: грунтовые, улучшенные скелетными добавками, и деревянно-лежневые с засыпкой 10  
Производственные автомобильные дороги, покрытия площадок и аэродромов: деревянно-лежневые 10  
Взлетно-посадочные полосы 23,3  
Взлетные дорожки, места стоянок самолетов, перронные и предангарные площадки 25  
Летное поле грунтовое 40  
Дренажные, водоотводные и укрепительные сооружения земляного полотна железных дорог: деревянные и земляные 22,2  
Дренажные, водоотводные и укрепительные сооружения земляного полотна железных дорог: каменные, бетонные и железобетонные 35,7  
Гидроколонны 22,7  
Флотационные установки с металлическими флотаторами 15,2  
Резервуары для хранения дизельного топлива и смазочных материалов: металлические 35,7  
Резервуары для хранения дизельного топлива и смазочных материалов: железобетонные 50  
Резервуары для хранения нефтепродуктов металлические 20  
Резервуары и баки железобетонные в химической промышленности; силосы в цементной промышленности 27,8  
Наземные и подземные емкости для сжиженных газов 27  
Подземные емкости для слива тяжелых остатков 21,7  
Пескораздаточные устройства 22,2  
Шлакоуборочные устройства механизированные 18,2  
Смотровые канавы 58,8  
Постоянные снегозащитные заборы: железобетонные 30,3  
Постоянные снегозащитные заборы: деревянные 15,9  
Переносные снеговые щиты и колья 10,5  
Переезды 23,8  
Подвесные дороги 40  
Навигационные береговые знаки: металлические 50  
Навигационные береговые знаки: железобетонные и каменные 62,5  
Навигационные береговые знаки: деревянные 15,4  
Плавучие буи и вехи (металлические) 12  
Светотехнические и звукосигнальные устройства плавучих и береговых навигационных знаков 10  
Трамвайные пути на каменных и железобетонных основаниях 76,9  
Трамвайные пути на щебеночном основании с железобетонными шпалами 33,3  
Трамвайные пути на щебеночном основании с деревянными шпалами 23,8  
Трамвайные пути на песчаных основаниях 15,9  
Береговые судоподъемные сооружения (сливы, эллинги):    
на железобетонном основании 55,6  
на деревянном, свайно-балочном и балластно-шпальном основании 30,3  
Плавучие доки морские: металлические, композитные 50  
Плавучие доки морские: железобетонные 45,5  
Плавучие доки речные и кормоподъемники 41,7  
Сухие доки, наливные в эллингах, наливные доккамеры; наливные бассейны, полушлюзы 100  
Продольные (наклонные) стапели, горизонтальные стапельные места в закрытых помещениях, открытые (горизонтальные) стапельные места 100  
Акватории, котлованы станций безобмоточного размагничивания 100  
Трансбордерные ямы для большого и малого трансбордера 58,8  
Станции метрополитена, тоннели метрополитена, железнодорожные тоннели всех конструкций 500  
Вестибюли метрополитена наземные 142,9  
Пешеходные мосты и тоннели 83,3  
Телефонная канализация (бетонная и асбестоцементная) 50  
Антенны ультракоротких волн (УКВ) передающие 23,8  
Антенны коротких волн и длинных, средних волн приемные и передающие, заземления 14,9  
Антенны радиорелейных линий, уникальные коротковолновые и средневолновые антенны направленного действия 20  
Антенны УКВ приемные для телевидения и ультракоротковолновые с частотной модуляцией (УКВ-ЧМ) вещания 10  
Полноповоротные антенны спутниковой связи 12  
Радиобашни стальные, кирпичные и железобетонные 58,8  
Радиомачты стальные и мачты-антенны 50  
Мачты деревянные 12  
Уникальные радиотелевизионные башни: железобетонные 142,9  
Уникальные радиотелевизионные башни: стальные 100 Для антенно-мачтовых сооружений, расположенных в районах Крайнего Севера и Дальнего Востока (кроме Республики Саха (Якутия), Магаданской и Камчатской областей), а также в зонах штормовых ветров, морских побережий и сильного гололеда, к указанной продолжительности применяется коэффициент 0,77, для Республики Саха (Якутия), Магаданской области и Камчатского края - 0,625.
Прочие сооружения    
Метантенки и песколовки (с гидроэлеватором), аэротенки, отстойники (первичные и вторичные) горизонтальные с илоскребами, вертикальные и двухъярусные; флотаторы для очистки сточных вод железобетонные 50  
Метантенки (с гидроэлеватором) металлические; аэротенки с подачей технического кислорода железобетонные;
комплекс сооружений для очистки сточных вод с песчаными фильтрами железобетонные; комплекс сооружений для очистки и доочистки сточных вод с аэрируемыми фильтрами железобетонные)
40  
Биофильтры и аэрофильтры, песколовки (с гидроэлеваторами), отстойники (первичные и вторичные) кирпичные 14,9  
Биофильтры и аэрофильтры железобетонные 20  
Иловые площадки: с естественным основанием 10  
Иловые площадки: с искусственным основанием 20  
Песковые площадки с искусственным основанием 14,9  
Поля орошения и поля фильтрации 20  
Выпуски (канализационные): береговые 40  
Выпуски (канализационные): русловые 20  
Артезианские скважины: бесфильтровые 24,4  
Артезианские скважины: фильтровые 14,9  
Артезианские скважины: фильтровые, работающие в условиях агрессивной и минерализованной среды 8  
Водоприемные сооружения для подземных источников (артезианские скважины); водоочистные установки для очистки поверхностных и подземных вод; компактные установки (КУ) для очистки сточных вод металлические; аэробные стабилизаторы, флотационные сгустители железобетонные 25  
Комплекс очистных сооружений водопровода (баки затворные и растворные, смесители, камеры реакции, отстойники, осветлители со взвешенным осадком, фильтры, контактные осветлители), водоумягчители 50 Для производства особо чистых веществ и химических продуктов применяется коэффициент 0,67
Сооружения для аэрации воды: брызгальные бассейны железобетонные 40  
Сооружения для аэрации воды: градирни железобетонные 30,3  
Сооружения для аэрации воды: градирни деревянные 7  
Сооружения для аэрации воды: градирни металлические 10  
Сооружения для аэрации воды: градирни бетонные 14,9  
Канализационные насосные станции заглубленные, совмещенные с приемными резервуарами 50  
Нефтеловушки 14,9  
Испарительные, башенные градирни - охладители: железобетонные конструкции 35,7  
Испарительные, башенные градирни - охладители: металлические конструкции с алюминиевой или асбоцементной обшивкой 25  
Оросители и конструкции из асбестоцемента или антисептированной древесины 16,7  
Дымовые трубы: каменные и железобетонные 50  
Металлические конструкции с алюминиевой или асбоцементной обшивкой 25  
Резервуары чистой воды: железобетонные подземные с обвалованием 40  
Резервуары чистой воды: кирпичные заземленные, металлические 30,3  
Водонапорные башни: металлические 20  
Водонапорные башни: кирпичные с металлическими резервуарами 40  
Водонапорные башни: кирпичные и железобетонные с железобетонными резервуарами 50  
Водонапорные башни: деревянные 10  
Битумохранилища с железобетонными и металлическими резервуарами и вертикальные шламбассейны 40  
Автозаправочные станции (включая здания и оборудование) 20  
Специальные стенды 8  
Подземные металлические емкости для хранения сжиженного газа для городского газоснабжения 45,5  
Наземные газгольдеры и металлические емкости для хранения сжиженного газа на газораздаточных станциях 55,6  
Угольные бункеры 50  
Дюкеры стальные водопроводные, канализационные (с камерами) 25  
Шеды и сараи для содержания зверей и скота 11,8  
Навозохранилища и жижесборники из каменных материалов 25  
Навозохранилища из глинощебеночных материалов и жижесборники деревянные, силосные траншеи и ямы 14,9  
Коррекционные и сборные бассейны 23,8  
Камеры твердения 50  
Склады заполнителей, дробленых сырьевых материалов, гранулированного шлака клинкера 66,7 Для склада заполнителей, используемых в промышленности строительных материалов для горячих материалов, применяется коэффициент 0,4
Колодцы: деревянные 14,9  
Колодцы: кирпичные 30,3  
Колодцы: железобетонные 58,8  
Шпалеры на стойках из железобетона, металла и на кольях из дубовых и других твердых пород 20  
Заборы (ограждения): каменные и металлические 47,6  
Заборы (ограждения): железобетонные 30,3  
Заборы (ограждения): деревянные на кирпичных и железобетонных столбах 25,6  
Заборы (ограждения): прочие (деревянные на деревянных столбах, сетчатые) 25,6  
Сооружения узла переработки хлыстов на нижних складах лесовозных дорог (эстакады, основания оборудования, накопители, спуски, бункерные галереи): деревянные 10,5  
Сооружения узла переработки хлыстов на нижних складах лесовозных дорог (эстакады, основания оборудования, накопители, спуски, бункерные галереи): железобетонные 20  
Бассейны при лесопильных цехах с вертикальными стенами из пластин: деревянные рубленые пожарные водоемы 14,9  
Эстакады бревнотасок металлические, бассейны при лесопильных цехах с укрепленными откосами из железобетонных плит, бассейны железобетонные для гидротермической обработки фанерного сырья 25,6  
Специализированные сооружения целлюлозно-бумажной промышленности: деревянные 23,8  
Специализированные сооружения целлюлозно-бумажной промышленности: железобетонные 33,3  
Асфальтовые площадки для временного хранения зерна: с песчаным или гравийным основанием 6,5  
Асфальтовые площадки для временного хранения зерна: с бетонным основанием 14,9  
Теплицы и парники    
Теплицы остекленные и пленочные с каркасом из стальных конструкций специальных профилей 28,6  
Теплицы пленочные с каркасом из деревометаллических конструкций заводского изготовления 25  
Теплицы облегченного типа построечного изготовления и сооружения утепленного грунта с деревянным каркасом и пленочным покрытием 5  
Парники 12,5  
Сооружения парков культуры и отдыха и зоопарков    
Зеленые театры, эстрады, музыкальные раковины, танцплощадки, читальни, павильоны 15,2  
Цирки "Шапито": брезентовое покрытие купола и боковин 2  
Цирки "Шапито": деревометаллические конструкции 10  
Аттракционы всех видов 10  
Вазы, скульптуры, декоративные урны 10  
Фонтаны, бассейны 40  
Прочие сооружения: площадки, дорожки, балюстрады, лестницы, стенды, витрины, вольеры, клетки, панно, картины 20  
Спортивные сооружения    
Покрытия спортивных сооружений, полей и площадок: резино-битумные 31,3  
Покрытия спортивных сооружений, полей и площадок: синтетические 15,4  
Покрытия спортивных сооружений, полей и площадок: из спецсмеси и газонные 7,4  
Лыжные трамплины: металлические и железобетонные 40  
Лыжные трамплины: деревянные 15,2  
Полузакрытые стрелковые тиры, стрельбища, стенды и блиндажи: каменные и металлические 47,6  
Полузакрытые стрелковые тиры, стрельбища, стенды и блиндажи: железобетонные 30,3  
Трибуны стадионов: деревянные 15,2  
Трибуны стадионов: железобетонные, каменные и кирпичные 41,7  
Трибуны стадионов: насыпные (земляные) 100  
ПЕРЕДАТОЧНЫЕ УСТРОЙСТВА    
Устройства электропередачи и связи    
Контактная сеть железных дорог на металлических и железобетонных опорах 50  
Трамвайная и троллейбусная контактная сеть: на железобетонных опорах 52,6  
Трамвайная и троллейбусная контактная сеть: на металлических опорах 38,5  
Трамвайная и троллейбусная контактная сеть: на деревянных опорах с металлическими или железобетонными пасынками 26,3  
Трамвайная и троллейбусная контактная сеть: без опор 14,3  
Троллейбусные линии козловых кранов на металлических и железобетонных опорах 52,6  
Воздушные линии электропередачи напряжением от 0,4 до 20 кВ: на металлических или железобетонных опорах 33,3  
Воздушные линии электропередачи напряжением от 0,4 до 20 кВ: на опорах из пропитанной древесины и непропитанной лиственницы 25  
Воздушные линии электропередачи напряжением от 0,4 до 20 кВ: на опорах из непропитанной древесины 16,7  
Воздушные линии электропередачи напряжением 35 - 220, 330 кВ и выше на металлических или железобетонных опорах 50  
Воздушные линии электропередачи напряжением 35 - 220 кВ на деревянных опорах из пропитанной древесины и непропитанной лиственницы 30,3  
Кабельные линии электропередачи напряжением 10 кВ: со свинцовой оболочкой, проложенные в земле, в помещениях; с алюминиевой оболочкой, проложенные в помещениях 50  
Кабельные линии электропередачи со свинцовой оболочкой напряжением 6 - 10 кВ, проложенные под водой; кабельные линии электропередачи с алюминиевой оболочкой напряжением до 10 кВ, проложенные в земле 25  
Кабельные линии электропередачи напряжением до 10 кВ с пластмассовой оболочкой, проложенные в земле, в помещениях; кабельные линии электропередачи напряжением 20 - 35 кВ со свинцовой оболочкой, проложенные под водой 20  
Кабельные линии электропередачи напряжением 20 - 35 кВ со свинцовой оболочкой, проложенные в земле, в помещениях 33,3  
Кабельные линии электропередачи напряжением 110 - 220 кВ маслонаполненные низкого, среднего и высокого давления, проложенные в земле, в помещениях и под водой 50  
Кабельные линии связи с металлической оболочкой:    
в грунте 40 Для морских кабельных линий связи применяется коэффициент 1,25
в канализации 50  
Кабельные линии связи, подвешенные на опорах и проложенные по стенам зданий: с металлической оболочкой 20,8  
Кабельные линии связи, подвешенные на опорах и проложенные по стенам зданий: с пластмассовой оболочкой 14,9  
Кабельные линии связи с пластмассовой оболочкой: в грунте 17,9  
Кабельные линии связи с пластмассовой оболочкой: в канализации 20  
Кабельные линии радиофикации и сельской связи, проложенные парным кабелем с пластмассовой оболочкой 17,9 Для кабельных линий связи и телефонной канализации, проложенных в районах Дальнего Востока и Крайнего Севера (кроме Республики Саха (Якутия), Магаданской области и Камчатского края), а также для участков, проходящих под водой, в зонах вечной мерзлоты, тундры, горных рек, оползней, обвалов и агрессивных грунтов, применяется коэффициент 0,77; в Республике Саха (Якутия), Магаданской области и Камчатском крае - 0,625
Воздушные линии связи 25 Для воздушных линий связи, проходящих вдоль морских побережий, железнодорожных участков на паровой и тепловозной тяге, а также в районах Крайнего Севера и Дальнего Востока, в зонах интенсивного выделения заводских газов и сильного гололеда, применяется коэффициент 0,77
Трубопроводы    
Газопроводы: чугунные (с раструбами) 58,8  
Газопроводы: стальные и сооружения из них (без учета оборудования газорегуляторных пунктов) 40  
Газопроводы: из неметаллических труб 50  
Канализационные сети (коллекторы и уличная сеть с колодцами и арматурой): керамические 40  
Канализационные сети (коллекторы и уличная сеть с колодцами и арматурой): железобетонные и бетонные 20  
Канализационные сети (коллекторы и уличная сеть с колодцами и арматурой): асбоцементные 30,3  
Канализационные сети (коллекторы и уличная сеть с колодцами и арматурой): кирпичные 14,9  
Канализационные сети (коллекторы и уличная сеть с колодцами и арматурой): чугунные 50  
Канализационные сети (коллекторы и уличная сеть с колодцами и арматурой): стальные 25  
Сети водопроводные (с колодцами, колонками, гидрантами и прочим оборудованием), включая водоводы: асбоцементные, стальные 20  
Сети водопроводные (с колодцами, колонками, гидрантами и прочим оборудованием), включая водоводы: чугунные 58,8  
Сети водопроводные (с колодцами, колонками, гидрантами и прочим оборудованием), включая водоводы: железобетонные 30,3  
Илопроводы: чугунные 50 Для илопроводов, используемых при транспортировке угольных, антрацитовых и цементных шламов, применяется коэффициент 0,5
Илопроводы: стальные 20  
Илопроводы: асбоцементные 30,3  
Трубопроводы для нефтепродуктов: металлические 35,7  
Трубопроводы для нефтепродуктов: железобетонные 50  
Межцеховые трубопроводы на эстакадах и в тоннелях отраслей промышленности:    
химических волокон, содовой, лакокрасочной, азотной, органического синтеза, горной химии и основной химии 23,8 Для предприятий горно-химической промышленности и для кислотопроводов отрасли основной химии применяется коэффициент 0,23
прочих отраслей химической промышленности 17,2  
Трубопроводы (межцеховые) общезаводского хозяйства технологические 12  
Трубопроводы агрессивных сточных вод 14,9  
Трубопроводы тепловых сетей стальные, работающие в условиях непроходных тоннелей, с воздушным зазором (подвесная изоляция) 25  
Внутрицеховые трубопроводы технологические в химической промышленности 16,4 Для трубопроводов технологических в отраслях горной и основной химии применяется коэффициент 0,29
Цементопроводы 8  
Устройство для очистки стрелочных переводов от снега и пневматическая почта 10,8  

По объектам, эксплуатируемым в условиях агрессивной или влажной среды, срок экономической жизни необходимо сокращать на 25 процентов.

По объектам, эксплуатируемым при вибрационных и других динамических нагрузках, срок экономической жизни необходимо сокращать на 65 процентов.

Минимальный срок экономической жизни иных объектов недвижимости

Группа капитальности Краткое описание объектов группы Ориентировочный срок экономической жизни в нормальных условиях эксплуатации, лет
I Капитальные или особо капитальные объекты с повышенным запасом надежности, прочности, долговечности - гидроэлектростанции, крупные основные производственные здания, крупные общественные, в том числе, административные и торговые комплексы, здания основных музеев, хранилищ национальных и культурных ценностей, произведения монументального искусства, стадионы, большие театры, высотные здания и сооружения (высотой более 75 м), большепролетные сооружения 150
II Многоэтажные жилые здания, большая часть общественных и производственных зданий - объекты, выполненные из каменных (кирпичных, бетонных) материалов. 100
III Жилые, общественные и производственные здания и сооружения, выполненные с применением металлических каркасов, облегченных каменных материалов и (или) специально обработанной древесины (клееный брус), здания жилищно-гражданского и производственного массового строительства 80
IV Жилые, общественные и производственные здания и сооружения, выполненные из легких каменных блоков и (или) древесины, включая рубленные брусовые и утепленные каркасно-щитовые дома с деревянными или легкими металлическими каркасами, включая большепролетные ангары 50
V Жилые, общественные и производственные здания и сооружения - легкие дощатые, каркасно-обшивные объекты (садовые дома, бани, здания ангарного типа, за исключением большепролетных ангаров, теплицы) 30
(в ред. Приказа Минэкономразвития РФ от 09.08.2018 N 419)
Прочие Временные здания и сооружения (бытовки строительных рабочих и вахтового персонала, временные склады, летние павильоны, беседки) 10

Изменение срока экономической жизни в зависимости от условий эксплуатации также распространяется и на укрупненные данные о продолжительности экономической жизни.

Приложение N 10
к Методическим указаниям
о государственной кадастровой
оценке, утвержденным приказом
Минэкономразвития России
от 12.05.2017 N 226

ПРОДОЛЖИТЕЛЬНОСТЬ СТРОИТЕЛЬСТВА ЗДАНИЙ И СООРУЖЕНИЙ <1>

<1> Для целей определения кадастровой стоимости.

Для жилых зданий продолжительность строительно-монтажных работ может быть определена по формуле:

, где

- продолжительность строительно-монтажных работ (СМР), мес.

S - площадь объекта, кв. м.

Для нежилых зданий расчетный метод определения общей продолжительности строительства основан на функциональной зависимости продолжительности строительства от стоимости СМР в ценах 1984 года при условии, что в ее составе стоимость всех материалов и конструкций не превышает 52 - 53 процентов. Такая зависимость для основных отраслей производственного строительства выражается в виде функций:

(1)

(2)

(3)

где C - объем строительно-монтажных работ в ценах 1984 года, руб.;

, - параметры регрессионной кривой, определяемые методом наименьших квадратов.

Формулы (1) - (3) выбираются в зависимости от объемов СМР в миллионах рублей в ценах 1984 года, значения коэффициентов приведены в таблице:

Отрасль, подотрасль, виды производств и объектов Значения коэффициентов Интервал объемов СМР, млн. руб.
A1 A2 мин. макс.
Зависимость вида
1. Электроэнергетика:        
электроподстанции малые 11,6 0,2 0,1 1,3
электроподстанции средние 15,3 -1,7 2,2 12,0
государственные районные электростанции (ГРЭС), газотурбинные электростанции (ГТЭС) 4,5 0,01 30,0 110,0
2. Нефтедобывающая промышленность (установки подготовки, газокомпрессорные) 9,2 -0,5 0,1 6,0
3. Химическая промышленность: производство минеральных удобрений 9,6 -0,7 2,0 45,0
4. Тяжелое и транспортное машиностроение 7,9 -0,4 5,0 100,0
5. Автомобильная и подшипниковая промышленность (отдельные цехи, корпуса, здания) 11,5 -1,4 1,0 16,0
6. Лесная и деревообрабатывающая промышленность (лесозаготовительные предприятия) 19,5 -1,4 1,0 23,0
7. Строительство и промышленность строительных конструкций и деталей 15,1 -2,3 0,1 11,0
8. Пищевая промышленность 14,8 -1,4 1,0 30,0
9. Мясная промышленность 14,1 -0,8 1,0 19,0
10. Молочная промышленность 18,7 -1,7 0,1 4,5
11. Микробиологическая промышленность 7,9 -0,3 2,0 120,0
12. Мукомольно-крупяная, комбикормовая промышленность 12,2 0,05 0,2 18,0
13. Местная промышленность 17,4 -3,8 0,4 3,0
14. Сельскохозяйственное строительство:        
свиноводство 17,7 -2,3 0,1 4,0
птицеводческие фермы, птицефабрики 9,8 -0,1 1,0 27,0
прочие объекты 22,2 -5,0 0,01 0,10
заготовка и переработка сельскохозяйственной продукции 13,4 -1,0 0,5 13,0
15. Предприятия сельскохозяйственной техники:        
предприятия материально-технического обеспечения 18,0 -1,9 0,1 3,2
16. Торговля и общественное питание:        
розничная торговля, магазины непродовольственные 26,4 -7,6 0,20 2,8
рынки, общественное питание 29,9 -9,3 0,05 2,4
общетоварные склады, предприятия холодильной промышленности 20,2 -5,1 0,2 4,0
17. Лесное хозяйство 37,7 -20,8 0,01 0,30
18. Морской транспорт 20,6 -7,3 0,2 1,8
19. Магистральный трубопроводный транспорт 9,5 -1,2 1,0 16,0
20. Материально-техническое снабжение 13,8 -1,4 0,5 9,0
Зависимость вида
1. Нефтеперерабатывающая промышленность 3,3 8,8 1,0 40,0
2. Черная металлургия (в целом): 2,0 9,8 2,0 190,0
горно-обогатительные комбинаты и агломерационные фабрики 2,1 9,6 2,0 150,0
сталеплавильное, ферросплавное, огнеупорное производство 2,3 8,8 1,0 90,0
3. Цветная металлургия 2,8 12,6 2,0 72,0
4. Химическая промышленность 4,8 10,5 1,0 70,0
5. Нефтехимическая и шинная промышленность 3,7 17,7 1,0 80,0
6. Энергетическое машиностроение 4,1 12,2 2,0 40,0
7. Приборостроение 6,2 10,6 2,0 40,0
8. Автомобильная и подшипниковая промышленность 1,6 22,1 10,0 240,0
9. Тракторное и сельскохозяйственное машиностроение 2,1 17,4 10,0 400,0
10. Машиностроение для животноводства и кормопроизводства 2,7 7,5 2,0 104,0
11. Судостроительная промышленность и судоремонт 5,7 4,5 0,5 20,0
12. Лесная и деревообрабатывающая промышленность 4,6 11,6 1,0 100,0
13. Целлюлозно-бумажная промышленность 2,2 7,4 10,0 500,0
14. Промышленность строительных материалов 6,4 10,4 1,0 30,0
15. Легкая промышленность 4,9 10,0 1,0 36,0
16. Строительство предприятий связи 23,8 1,2 0,5 7,0
17. Сельскохозяйственное строительство:        
животноводство 10,6 2,7 0,1 3,4
овцеводство 10,5 3,4 0,1 2,4
предприятия послеуборочной обработки и хранения зерна 16,2 2,2 0,05 1,20
предприятия по хранению и обработке картофеля, фруктов и овощей 8,3 5,8 0,5 18,0
18. Воздушный транспорт 3,0 12,5 1,0 45,0
Зависимость вида
1. Электроэнергетика (теплоэлектроцентрали) 0,9 9,1 1,0 20,0
2. Нефтедобывающая промышленность:        
базы производственного обслуживания, сетевые районы, базы промысла 7,6 7,2 0,1 1,8
3. Черная металлургия:        
прокат готовой продукции 0,1 17,4 10,0 130,0
4. Электротехническая промышленность 0,5 19,6 4,0 50,0
5. Химическое и нефтяное машиностроение 0,4 27,2 4,0 72,0
6. Станкостроительная и инструментальная промышленность 0,5 14,6 2,0 36,0
7. Рыбная промышленность 3,3 12,5 0,1 6,0
8. Медицинская промышленность 0,7 13,6 2,5 60,0
9. Полиграфическая промышленность 6,7 7,3 0,2 3,0
10. Предприятия сельскохозяйственной техники:        
предприятия по ремонту и обслуживанию сельхозтехники 6,8 7,3 0,1 3,0
11. Речной транспорт 4,0 9,4 0,2 6,2

При отсутствии какого-либо из видов использования недвижимости в приведенных данных расчет допускается производить по наиболее подходящему виду использования.

В случае превышения расчетного срока для крупных промышленных объектов (комплексов) - 5 лет, для всех прочих объектов - 3 года, расчет производится исходя из допущения ввода объекта очередями. Максимальная продолжительность строительно-монтажных работ ограничивается 5 годами для крупных промышленных объектов и 3 годами для прочих объектов, соответственно. Исключение составляют только объекты, введение которых очередями невозможно, например, крупные гидроэлектростанции, металлургические комплексы.

Приложение N 11
к Методическим указаниям
о государственной кадастровой
оценке, утвержденным приказом
Минэкономразвития России
от 12.05.2017 N 226

СТАВКИ КАПИТАЛИЗАЦИИ ДЛЯ ПРИНОСЯЩЕЙ ДОХОД НЕДВИЖИМОСТИ (ДЛЯ ЗДАНИЙ И ВСТРОЕННО-ПРИСТРОЕННЫХ ПОМЕЩЕНИЙ ПЛОЩАДЬЮ ОТ 200 ДО 500 МЕТРОВ) <1>

<1> Для целей определения кадастровой стоимости.

Вне населенных пунктов и в населенных пунктах с численностью менее 50 тыс. человек Населенные пункты с численностью жителей более 50 тыс. человек Центры городов - столиц субъектов Российской Федерации и городов с численностью более 500 тыс. человек
Офисные помещения и здания 10% 9% 8%
Торговые здания и помещения 11% 10% 9%
Складская недвижимость 12% 11% 11%

В случае существенных изменений на рынке недвижимости приведенные данные подлежат обязательной корректировке.

Выбор значения ставки капитализации осуществляется на основании проведенного анализа рынка недвижимости по каждому из сегментов, а также социально-экономической ситуации в субъекте Российской Федерации. Для целей государственной кадастровой оценки могут использоваться результаты, актуальные не ранее 1 года до даты определения кадастровой стоимости.

Приложение N 12
к Методическим указаниям
о государственной кадастровой
оценке, утвержденным приказом
Минэкономразвития России
от 12.05.2017 N 226

ИНФОРМАЦИОННЫЙ МАТЕРИАЛ ДЛЯ ВНЕСЕНИЯ ПОПРАВОК ПО РЯДУ ЦЕНООБРАЗУЮЩИХ ФАКТОРОВ ПРИ МАССОВОЙ ОЦЕНКЕ <1>

<1> Для целей определения кадастровой стоимости.

В случае существенных изменений на рынке недвижимости, приведенные данные подлежат обязательной корректировке.

Скидки на торг для земельных участков

Вид использования Активный рынок Неактивный рынок
Среднее значение Границы диапазона Среднее значение Границы диапазона
Земельные участки под промышленную застройку 11% 7% - 15% 19% 2% - 25%
Земельные участки под офисную/торговую застройку 10% 6% - 14% 16,0% 0% - 22%
Земельные участки сельскохозяйственного использования 15% 10% - 20% 23% 6% - 30%
Земельные участки под индивидуальное жилищное строительство 9% 5% - 13% 15% 0% - 20%
Земельные участки под многоэтажное жилищное строительство 10% 6% - 14% 17% 1% - 23%
Земельные участки под объекты рекреации 14% 9% - 19% 21% 4% - 28%
Земельные участки под объекты придорожного сервиса 11% 7% - 15% 18% 2% - 24%

Скидки на торг для других объектов недвижимости

Вид использования Активный рынок Неактивный рынок
Среднее значение Границы диапазона Среднее значение Границы диапазона
Производственно-складские объекты 12% 7% - 17% 18% 11% - 26%
Торгово-офисная недвижимость 10% 5% - 15% 17% 10% - 24%
Квартиры 4% 2% - 6% 8% 4% - 14%
Индивидуальные жилые дома 6% 2% - 10% 12% 6% - 18%
Базы отдыха 10% 5% - 15% 17% 9% - 25%

Выбор значения скидки на торг в границах указанного в таблицах диапазона осуществляется на основании проведенного анализа рынка недвижимости по каждому из сегментов, а также социально-экономической ситуации в субъекте Российской Федерации. В частности, анализируется динамика цен на рынке (при отрицательной динамике или стагнации используются большие значения скидок на торг), объем предложения на рынке (низкий объем предложения свидетельствует о том, что рынок неактивный), уровень покупательской способности населения или организаций и прочее.

Масштабный фактор для земельных участков под многоэтажную жилую застройку

Диапазон площадей аналогичного объекта, га Диапазон площадей объекта недвижимости, для которого определяется кадастровая стоимость, га
< 0,5 0,5 - 1,5 1,5 - 5 > 5
< 0,5 1,00 0,98 0,90 0,84
0,5 - 1,5 1,02 1,00 0,92 0,86
1,5 - 5 1,11 1,09 1,00 0,93
> 5 1,19 1,17 1,07 1,00

Масштабный фактор для земельных участков под индивидуальную жилую застройку

Диапазон площадей аналогичного объекта, кв. м Диапазон площадей объекта недвижимости, для которого определяется кадастровая стоимость, кв. м
< 1500 1500 - 3000 3000 - 6000 6000 - 10000 > 10000
< 1500 1,00 0,98 0,92 0,83 0,78
1500 - 3000 1,02 1,00 0,94 0,85 0,80
3000 - 6000 1,09 1,07 1,00 0,90 0,85
6000 - 10000 1,21 1,18 1,11 1,00 0,94
> 10000 1,28 1,25 1,17 1,06 1,00

Корректировка на площадь для квартир

Общая площадь (фактор масштаба)
Площадь, кв. м <65 65 - 100 100 - 200 > 200
< 65 1,00 0,96 0,84 0,70
65 - 100 1,04 1,00 0,87 0,73
100 - 200 1,19 1,14 1,00 0,84
> 200 1,42 1,36 1,19 1,00

Корректировка на площадь для индивидуальных жилых домов

Общая площадь (фактор масштаба)
Площадь, кв. м < 150 150 - 300 300 - 600 > 600
< 150 1,00 0,95 0,87 0,84
150 - 300 1,05 1,00 0,92 0,88
300 - 600 1,15 1,09 1,00 0,96
> 600 1,19 1,13 1,04 1,00

Скидки на отсутствие подключений жилых объектов к централизованным системам жизнеобеспечения при наличии таковых в аналогичных объектах

Отсутствие газоснабжения 5%
Отсутствие отопления и горячего водоснабжения 8%
Отсутствие электричества 8%
Отсутствие канализации 5%

Чистый операционный доход от эксплуатации торгово-офисной и складской недвижимости с остаточным сроком службы 25 и менее лет составляет 70 процентов, а остальных - 75 процентов от потенциального валового дохода, не включающего в себя оплату коммунальных услуг.

Приложение N 13
к Методическим указаниям
о государственной кадастровой
оценке, утвержденным приказом
Минэкономразвития России
от 12.05.2017 N 226

ИНФОРМАЦИОННЫЙ МАТЕРИАЛ ДЛЯ ОПРЕДЕЛЕНИЯ КАДАСТРОВОЙ СТОИМОСТИ ОЛЕНЬИХ ПАСТБИЩ <1>

<1> Для целей определения кадастровой стоимости.

Средний состав оленьего стада

Взрослые самцы (3 года и старше) Важенки Молодняк (около 1,5 лет) Телята
11,5 - 12,5 50 27 - 30 7,5 - 11,5

Средний живой вес оленей, кг

Пол, возраст животных Вес, кг
Ненецкая порода
Самцы:
5 - 6 мес. 55
1 год 4 мес. 80
2 года 4 мес. 105
3 года 4 мес. 120
Самки:
5 - 6 мес. 50
18 мес. 70
2 года 6 мес. 85
3 года 6 мес. 90
Чукотская порода
Самцы:
5 - 6 мес. 60
1 год 4 мес. 85
2 года 4 мес. 100
3 года 4 мес. 120
Самки:
5 - 6 мес. 55
18 мес. 75
2 года 6 мес. 85
3 года 6 мес. 95
Эвенская порода
Самцы:
5 - 6 мес. 60
1 год 4 мес. 85
2 года 4 мес. 100
3 года 4 мес. 125
Самки:
5 - 6 мес. 55
18 мес. 75
2 года 6 мес. 85
3 года 6 мес. 95
Эвенкийская порода
Самцы:
5 - 6 мес. 65
1 год 4 мес. 95
2 года 4 мес. 125
3 года 4 мес. 140
Самки:
5 - 6 мес. 60
18 мес. 90
2 года 6 мес. 95
3 года 6 мес. 100

Приложение N 14
к Методическим указаниям
о государственной кадастровой
оценке, утвержденным приказом
Минэкономразвития России
от 12.05.2017 N 226

НОРМАТИВНЫЕ ПОКАЗАТЕЛИ ВЫРАЩИВАНИЯ РЫБ В САДКАХ <1>

<1> Для целей определения кадастровой стоимости.

Показатели Карп Сом канальный Растительноядные Осетровые Сиги Радужная форель
Выращивание сеголетков
Масса начальная, г 0,5 - 1,0 0,5 - 1,0 1,0 1 - 3 0,1 0,5 - 1,0
Масса конечная, г 30 - 50 20 15 - 20 40 - 60 10 - 15 20 - 50
Плотность посадки, тыс. шт/кв. м До 2,0 До 0,5 - 0,2 0,5 - 1,0 До 0,5
Выход, % 60 - 70 70 - 80 30 80 30 - 50 50 - 70
Выращивание двухлетков
Масса начальная, г 30 - 50 20 15 - 20 40 - 60 10 - 15 20 - 50
Масса конечная, г 500 450 300 - 400 400 - 500 200 200 - 300
Плотность посадки, тыс. шт/кв. м 0,2 0,15 0,1 - 0,4 0,04 0,025 0,2
Выход, % 90 90 80 90 80 90
Выращивание трехлетков
Масса начальная, г - - 300 - 400 - - -
Масса конечная, г - - 800 - 1000 400 1 - 2 кг 1000
Плотность посадки, тыс. шт/кв. м - - 0,007 - 0,14 0,01 0,1 0,05
Выход, % - - 90 85 95 95
Выход рыб из зимовки
Годовики, % 80 80 50 80 80 95
Двухгодовики, % 90 90 80 90 90 90