Постановление Правительства РФ от 25.11.2003 N 710

"Об утверждении Правил недискриминационного доступа перевозчиков к инфраструктуре железнодорожного транспорта общего пользования"
Редакция от 02.10.2021 — Не действует Перейти в действующую
Показать изменения

Действие данного документа было приостановлено с 15.03.2022 до 31.12.2024 включительно (Постановление Правительства РФ от 06.03.2022 N 304).


ПРАВИТЕЛЬСТВО РОССИЙСКОЙ ФЕДЕРАЦИИ

ПОСТАНОВЛЕНИЕ
от 25 ноября 2003 г. N 710

ОБ УТВЕРЖДЕНИИ ПРАВИЛ НЕДИСКРИМИНАЦИОННОГО ДОСТУПА ПЕРЕВОЗЧИКОВ К ИНФРАСТРУКТУРЕ ЖЕЛЕЗНОДОРОЖНОГО ТРАНСПОРТА ОБЩЕГО ПОЛЬЗОВАНИЯ

(в ред. Постановлений Правительства РФ от 22.05.2020 N 734, от 02.10.2021 N 1673)

В целях реализации принципа недискриминационного доступа перевозчиков к инфраструктуре железнодорожного транспорта общего пользования и в соответствии со статьей 14 Федерального закона "О железнодорожном транспорте в Российской Федерации" Правительство Российской Федерации постановляет:

Утвердить прилагаемые Правила недискриминационного доступа перевозчиков к инфраструктуре железнодорожного транспорта общего пользования.

Председатель Правительства
Российской Федерации
М.КАСЬЯНОВ

УТВЕРЖДЕНЫ
Постановлением Правительства
Российской Федерации
от 25 ноября 2003 г. N 710

ПРАВИЛА НЕДИСКРИМИНАЦИОННОГО ДОСТУПА ПЕРЕВОЗЧИКОВ К ИНФРАСТРУКТУРЕ ЖЕЛЕЗНОДОРОЖНОГО ТРАНСПОРТА ОБЩЕГО ПОЛЬЗОВАНИЯ

(в ред. Постановлений Правительства РФ от 22.05.2020 N 734, от 02.10.2021 N 1673)

I. Общие положения

1. Настоящие Правила определяют общие принципы и порядок обеспечения недискриминационного доступа перевозчиков к инфраструктуре железнодорожного транспорта общего пользования (далее - инфраструктура) в условиях ее ограниченной пропускной способности.

Взаимодействие владельца инфраструктуры и перевозчиков при подготовке и осуществлении перевозок пассажиров, грузов, багажа и грузобагажа регулируется Федеральным законом "Устав железнодорожного транспорта Российской Федерации" (далее - Устав) и правилами оказания услуг по использованию инфраструктуры железнодорожного транспорта общего пользования.

2. Государственный контроль за соблюдением требований, определенных настоящими Правилами, осуществляется федеральным антимонопольным органом и его территориальными управлениями.

3. Недискриминационный доступ перевозчиков к инфраструктуре предусматривает обеспечение равных условий оказания услуг по использованию инфраструктуры перевозчикам независимо от их организационно-правовой формы, правовых и имущественных отношений с владельцем инфраструктуры.

II. Общие принципы недискриминационного доступа перевозчиков к инфраструктуре

4. Обеспечение недискриминационного доступа перевозчиков к инфраструктуре осуществляется исходя из следующих принципов:

а) обеспечение равнодоступности инфраструктуры для всех перевозчиков, в том числе применение единых критериев доступа к услугам по использованию инфраструктуры;

б) обеспечение конкуренции в сфере железнодорожных перевозок;

в) проведение в отношении перевозчиков единой ценовой (тарифной) политики в сфере услуг по использованию инфраструктуры;

г) доступность информации о перечне услуг по использованию инфраструктуры, порядке их выполнения, тарифах, плате и сборах за эти услуги для всех участников перевозочного процесса на железнодорожном транспорте общего пользования.

5. Владелец инфраструктуры не вправе отказать в предоставлении услуг по использованию инфраструктуры перевозчику, если иное не предусмотрено законодательством Российской Федерации и настоящими Правилами.

III. Порядок доступа перевозчиков к инфраструктуре в условиях ее ограниченной пропускной способности

6. При отсутствии возможности полного удовлетворения спроса перевозчиков на услуги по использованию инфраструктуры на конкретном направлении движения поездов в связи с ограничением ее пропускной способности владелец инфраструктуры обязан обеспечить оказание услуг по использованию инфраструктуры для перевозок в следующей очередности:

а) перевозки, осуществляемые для восстановления движения поездов и тушения пожаров;

б) воинские перевозки;

в) перевозки пассажиров в международном сообщении;

г) перевозки пассажиров в пределах Российской Федерации в дальнем следовании;

д) перевозки пассажиров в пределах Российской Федерации в пригородном сообщении;

е) перевозки почтовых отправлений, багажа, грузобагажа;

ж) специальные перевозки;

з) грузопассажирские и людские перевозки;

и) перевозки грузов в следующей очередности: (в ред. Постановления Правительства РФ от 22.05.2020 N 734)

перевозки грузов в целях обеспечения регионов, пострадавших от стихийных бедствий (на основании отдельных решений Президента Российской Федерации или Правительства Российской Федерации); (в ред. Постановления Правительства РФ от 22.05.2020 N 734)

перевозки грузов на основании отдельных решений Президента Российской Федерации; (в ред. Постановления Правительства РФ от 22.05.2020 N 734)

перевозки грузов, в отношении производства и (или) перевозки которых предоставляются субсидии в соответствии с актами Правительства Российской Федерации; (в ред. Постановления Правительства РФ от 22.05.2020 N 734)

перевозки грузов, требующих высокой скорости и надежности доставки, перевозки грузов во внутригосударственном сообщении, а также экспортные перевозки несырьевых грузов, сырьевых грузов в специализированном подвижном составе, зерновых и продовольственных грузов; (в ред. Постановления Правительства РФ от 22.05.2020 N 734)

экспортные перевозки сырьевых энергетических грузов в универсальном железнодорожном подвижном составе; (в ред. Постановления Правительства РФ от 22.05.2020 N 734)

иные перевозки грузов. (в ред. Постановления Правительства РФ от 22.05.2020 N 734)

6.1. При отсутствии возможности оказания услуг в соответствии с подпунктом "и" пункта 6 настоящих Правил в полном объеме такие услуги оказываются в рамках соответствующей очереди пропорционально, если иное не предусмотрено настоящими Правилами. (в ред. Постановления Правительства РФ от 22.05.2020 N 734)

6.2. План перевозки грузов железнодорожным транспортом на месяц составляется перевозчиком с обязательным формированием резерва в размере до 5 процентов пропускных и провозных способностей, рассчитанных в соответствии с настоящими Правилами. (в ред. Постановления Правительства РФ от 22.05.2020 N 734)

В случае если установленный резерв на дату, предшествующую перевозке, остается невостребованным, доступные пропускные и провозные способности инфраструктуры распределяются с учетом предусмотренной настоящим разделом очередности. (в ред. Постановления Правительства РФ от 22.05.2020 N 734)

7. В период действия военного положения или при объявлении чрезвычайного положения федеральный орган исполнительной власти в области железнодорожного транспорта имеет право устанавливать иную, чем предусмотрена пунктом 6 настоящих Правил, очередность оказания услуг по использованию инфраструктуры.

8. При наличии нескольких запросов об оказании услуг по использованию инфраструктуры (далее - запрос), относящихся к перевозкам одной очередности, одновременное удовлетворение которых ограничено пропускной способностью инфраструктуры, рассмотрение и согласование запросов осуществляется владельцем инфраструктуры по мере их поступления в порядке, установленном правилами оказания услуг по использованию инфраструктуры железнодорожного транспорта общего пользования.

В случае невозможности согласования или выполнения запроса по основаниям, предусмотренным правилами оказания услуг по использованию инфраструктуры железнодорожного транспорта общего пользования, или по причине неурегулированности перевозчиком финансовых расчетов с владельцем инфраструктуры за ранее оказанные или оказываемые услуги по использованию инфраструктуры владелец инфраструктуры предоставляет соответствующие услуги следующему по очередности перевозчику, представившему запрос.

9. В случае невозможности выполнения запроса перевозчика из-за ограничений пропускной способности инфраструктуры на конкретном направлении движения поездов в запрашиваемый период времени в связи с наличием согласованных запросов других перевозчиков владелец инфраструктуры с согласия перевозчика может оказать услуги с использованием других маршрутов перевозки или в другой период времени.

10. В случае отказа перевозчика от согласованных услуг по использованию инфраструктуры владелец инфраструктуры обязан предоставить соответствующие услуги следующему по очередности перевозчику, представившему запрос.

11. Владелец инфраструктуры обязан вести реестр запросов. В реестре фиксируются дата и время поступления запроса, а также его регистрационный номер. Отказ в регистрации, искажение сроков и очередности поступления запросов, а также их регистрационных номеров не допускаются.

12. Перечень технических и технологических возможностей осуществления перевозки, отсутствие которых может явиться для перевозчика и владельца инфраструктуры основанием для отказа в согласовании запроса, утверждается федеральным органом исполнительной власти в области железнодорожного транспорта.

12.1. Распределение пропускных и провозных способностей инфраструктуры в восточном направлении для обеспечения экспортных перевозок сырьевых энергетических грузов в универсальном железнодорожном подвижном составе осуществляется в соответствии с Правилами формирования плана экспортных перевозок угольной продукции грузоотправителей (угольных компаний) железнодорожным транспортом общего пользования в восточном направлении на предстоящий месяц и мониторинга его исполнения согласно приложению. (в ред. Постановления Правительства РФ от 22.05.2020 N 734)

12.2. Распределение пропускных и провозных способностей инфраструктуры в восточном направлении для обеспечения экспортных перевозок сырьевых энергетических грузов в универсальном железнодорожном подвижном составе из Кемеровской области - Кузбасса в отношении объемов таких перевозок, превышающих 53 млн. тонн в год, осуществляется Министерством энергетики Российской Федерации между грузоотправителями (угольными компаниями), каждый из которых является стороной действующего инвестиционного соглашения о направлении части дохода по созданию инвестиционных проектов в отраслях экономики, не связанных с добычей угля, энергетикой, жилищно-коммунальным хозяйством и социальной сферой, заключенного с Правительством Кемеровской области - Кузбасса (далее соответственно - дополнительные объемы, инвестиционное соглашение), в соответствии с Правилами формирования плана экспортных перевозок угольной продукции грузоотправителей (угольных компаний) железнодорожным транспортом общего пользования в восточном направлении на предстоящий месяц и мониторинга его исполнения, приведенными в приложении к настоящим Правилам. (в ред. Постановления Правительства РФ от 02.10.2021 N 1673)

Неисполнение условий инвестиционного соглашения и (или) его расторжение грузоотправителем (угольной компанией) влечет за собой приостановку дальнейшего распределения Министерством энергетики Российской Федерации дополнительных объемов в отношении данного грузоотправителя (угольной компании). Указанная приостановка осуществляется с начала месяца, следующего за месяцем, в предшествующем которому установлен факт неисполнения инвестиционного соглашения. Инвестиционное соглашение должно содержать условие о мониторинге Правительством Кемеровской области - Кузбасса выполнения грузоотправителем такого соглашения. (в ред. Постановления Правительства РФ от 02.10.2021 N 1673)

Порядок заключения, изменения и прекращения инвестиционного соглашения, форма заявления на заключение такого соглашения, перечень видов экономической деятельности, в которых не могут реализовываться инвестиционные проекты, на которые грузоотправителем (угольной компанией) направляется часть дохода в соответствии с инвестиционным соглашением, перечень параметров инвестиционного соглашения, порядок их определения либо конкретные значения таких параметров, типовая форма инвестиционного соглашения, рекомендуемая форма представления информации о выполнении инвестиционного соглашения, методические рекомендации по подготовке и представлению такой информации, а также по формированию и ведению реестра заявлений о заключении инвестиционных соглашений и инвестиционных соглашений устанавливаются Министерством экономического развития Российской Федерации. При восстановлении грузоотправителем (угольной компанией) ранее заявленных параметров по инвестиционному соглашению, в отношении которых им были приняты обязательства по достижению таких параметров, Министерством энергетики Российской Федерации дополнительные объемы в отношении данного грузоотправителя (угольной компании) на следующий расчетный период восстанавливаются до первоначального уровня. (в ред. Постановления Правительства РФ от 02.10.2021 N 1673)

IV. Порядок предоставления информации об оказываемых владельцем инфраструктуры услугах

13. Информация об оказываемых владельцем инфраструктуры услугах, их стоимости, о порядке доступа к инфраструктуре, а также о пропускной способности инфраструктуры в соответствии с графиком движения поездов, технических и технологических возможностях оказания услуг по использованию инфраструктуры предоставляется владельцем инфраструктуры перевозчикам в режиме регулярных сообщений.

Информация предоставляется владельцем инфраструктуры перевозчику с применением электронной и почтовой связи либо иным способом при условии возмещения соответствующих затрат.

14. При согласовании запроса перевозчика владелец инфраструктуры информирует его о возможных ограничениях пропускной способности инфраструктуры по направлениям движения поездов с обоснованием таких ограничений, а при необходимости - с предоставлением соответствующих материалов.

15. Владелец инфраструктуры по требованию федерального органа исполнительной власти в области железнодорожного транспорта представляет сведения о заявленных общих объемах перевозок и имеющихся возможностях оказания услуг по использованию инфраструктуры в определенный период времени по направлениям движения поездов.

16. Федеральный орган исполнительной власти в области железнодорожного транспорта при использовании представленных в соответствии с пунктом 15 настоящих Правил владельцами инфраструктуры сведений обязан обеспечить соблюдение государственной, служебной и коммерческой тайны, а также законных интересов владельцев инфраструктуры, перевозчиков, иных юридических и физических лиц.

V. Порядок рассмотрения жалоб по вопросам предоставления перевозчикам доступа к инфраструктуре

17. Рассмотрение жалоб по вопросам предоставления перевозчикам доступа к инфраструктуре осуществляется федеральным антимонопольным органом в соответствии с правилами рассмотрения дел о нарушении антимонопольного законодательства или в судебном порядке.

Приложение
к Правилам недискриминационного
доступа перевозчиков к инфраструктуре
железнодорожного транспорта
общего пользования

ПРАВИЛА ФОРМИРОВАНИЯ ПЛАНА ЭКСПОРТНЫХ ПЕРЕВОЗОК УГОЛЬНОЙ ПРОДУКЦИИ ГРУЗООТПРАВИТЕЛЕЙ (УГОЛЬНЫХ КОМПАНИЙ) ЖЕЛЕЗНОДОРОЖНЫМ ТРАНСПОРТОМ ОБЩЕГО ПОЛЬЗОВАНИЯ В ВОСТОЧНОМ НАПРАВЛЕНИИ НА ПРЕДСТОЯЩИЙ МЕСЯЦ И МОНИТОРИНГА ЕГО ИСПОЛНЕНИЯ

(в ред. Постановлений Правительства РФ от 22.05.2020 N 734, от 02.10.2021 N 1673)

1. Настоящие Правила устанавливают порядок формирования плана экспортных перевозок угольной продукции грузоотправителей (угольных компаний) железнодорожным транспортом общего пользования в восточном направлении на предстоящий месяц (далее соответственно - уголь, план) и мониторинга исполнения плана. (в ред. Постановления Правительства РФ от 02.10.2021 N 1673)

Положения абзаца шестого настоящего пункта, пункты 39 и 40 настоящих Правил не применяются в отношении экспортных перевозок угольной продукции грузоотправителей (угольных компаний) железнодорожным транспортом общего пользования в восточном направлении, объем которых не превышает 53 млн. тонн (базовый уровень 2020 года). (в ред. Постановления Правительства РФ от 02.10.2021 N 1673)

Для целей настоящих Правил: (в ред. Постановления Правительства РФ от 02.10.2021 N 1673)

под грузоотправителями (угольными компаниями) понимаются юридические лица и индивидуальные предприниматели, осуществляющие добычу или переработку угля на территории Кемеровской области - Кузбасса; (в ред. Постановления Правительства РФ от 02.10.2021 N 1673)

под перевозками угля железнодорожным транспортом общего пользования в восточном направлении понимаются экспортные перевозки угля в универсальном подвижном составе со станций Западно-Сибирской железной дороги, расположенных на территории Кемеровской области - Кузбасса (далее - станции отправления), в направлении терминалов (портов) и железнодорожных пунктов пропуска через государственную границу Российской Федерации (далее - железнодорожные пункты пропуска), расположенных в границах Восточно-Сибирской, Забайкальской и Дальневосточной железных дорог; (в ред. Постановления Правительства РФ от 02.10.2021 N 1673)

под инвестиционным соглашением понимается соглашение, которое регулирует порядок взаимодействия между грузоотправителями (угольными компаниями) и Правительством Кемеровской области - Кузбасса по обязательствам о направлении части дохода, возникающего вследствие вывоза дополнительных объемов угольной продукции в восточном направлении из Кемеровской области - Кузбасса, на инвестиции в сферах экономической деятельности, не связанных с добычей угля, энергетикой, жилищно-коммунальным хозяйством и социальной сферой (далее - инвестиционное соглашение). (в ред. Постановления Правительства РФ от 02.10.2021 N 1673)

Положения абзаца шестого пункта 1 Правил не применяются в отношении экспортных перевозок угольной продукции грузоотправителей (угольных компаний) железнодорожным транспортом общего пользования в восточном направлении, объем которых не превышает 53 млн. тонн (базовый уровень 2020 г.) (пункт 1 Приложения к Правилам).

Инвестиционное соглашение заключается в порядке частной инициативы на основании заявления грузоотправителя (угольной компании) о заключении соглашения с Правительством Кемеровской области - Кузбасса. (в ред. Постановления Правительства РФ от 02.10.2021 N 1673)

2. План утверждается Министерством энергетики Российской Федерации не позднее 10-го числа месяца, предшествующего месяцу планирования перевозки угля.

3. Проект плана формируется на основе:

а) заявок грузоотправителей (угольных компаний) на перевозку угля (далее - заявки на перевозку угля);

б) пропускных и провозных способностей инфраструктуры железнодорожного транспорта общего пользования (далее - инфраструктура) в восточном направлении в терминалы (порты) и железнодорожные пункты пропуска;

в) информации о максимальной перерабатывающей способности терминалов (портов) по перевозке и выгрузке угля, об ограничениях на осуществление деятельности по перевалке в терминалах (портах), в которых осуществляется деятельность по перевалке угля, о показателях оборачиваемости вагонов на подъездных железнодорожных путях к терминалам (портам), в которых осуществляется деятельность по перевалке угля;

г) фактических объемов перевозок угля грузоотправителями (угольными компаниями) на внутренний рынок и на экспорт, в том числе через железнодорожные пункты пропуска.

4. Грузоотправители (угольные компании) направляют перевозчику заявки на перевозку угля на планируемый месяц в порядке, предусмотренном законодательством Российской Федерации о железнодорожном транспорте, с учетом особенностей, установленных настоящими Правилами.

5. Владельцы инфраструктуры и перевозчики определяют максимальный объем перевозки угля в восточном направлении в терминалы (порты) и железнодорожные пункты пропуска (количество вагонов в месяц, сутки) и информируют об этом Министерство транспорта Российской Федерации и Министерство энергетики Российской Федерации:

ежемесячно - не позднее чем за 45 дней до начала месяца, в котором планируется перевозка угля;

ежеквартально (отдельно по месяцам) - не позднее чем за 45 дней до начала квартала, в месяце которого планируется перевозка угля;

ежегодно (отдельно по месяцам) - не позднее 15 ноября года, предшествующего году планирования перевозок угля.

При этом провозные способности инфраструктуры в восточном направлении на планируемый год не могут быть ниже чем в предыдущем году и должны соответствовать документам стратегического планирования и решениям Правительства Российской Федерации по развитию инфраструктуры.

6. Министерство транспорта Российской Федерации направляет в Министерство энергетики Российской Федерации и перевозчику информацию о максимальной перерабатывающей способности терминалов (портов) по перевозке и выгрузке угля и показателях оборачиваемости вагонов на подъездных железнодорожных путях к терминалам (портам), в которых осуществляется деятельность по перевалке угля, не позднее чем за 45 дней до начала планируемого месяца перевозки угля.

7. Перевозчик направляет в Министерство энергетики Российской Федерации информацию о фактических объемах перевозки угля со станций отправления в предыдущем месяце не позднее 10 числа каждого месяца (отдельно по железным дорогам на внутренний рынок, портам, железнодорожным пунктам пропуска).

8. Грузоотправители (угольные компании) направляют перевозчику заявки на перевозку угля со станций отправления в терминалы (порты) на планируемый месяц не позднее чем за 40 дней до начала планируемого месяца перевозки угля для распределения объема перевозки угля со станций отправления в восточном направлении в терминалы (порты) ().

9. Перевозчик обеспечивает прием и учет заявок на перевозку угля со станций отправления в восточном направлении в терминалы (порты) и после получения подтверждения терминалами (портами) возможности удовлетворения заявок на перевозку угля рассматривает их. Перевозчик направляет информацию о возможности или невозможности удовлетворения заявок на перевозку угля с обоснованием причин, информацию о поданных заявках на перевозку угля и подтверждении терминалами (портами) возможности удовлетворения заявок на перевозку угля в Министерство транспорта Российской Федерации и Министерство энергетики Российской Федерации не позднее чем за 35 дней до начала планируемого месяца перевозки угля.

10. В случае недостаточности пропускных и провозных способностей в восточном направлении в терминалы (порты) и железнодорожные пункты пропуска для удовлетворения всех заявок, поступивших от грузоотправителей (угольных компаний) со станций отправления, Министерство энергетики Российской Федерации формирует план, содержащий информацию о грузоотправителях (угольных компаниях) и объемах перевозки угля по каждому грузоотправителю (угольной компании) (количество вагонов в месяц, сутки) в восточном направлении (отдельно по станциям отправления, терминалам (портам) и железнодорожным пунктам пропуска) на планируемый месяц.

11. При распределении пропускных и провозных способностей инфраструктуры в восточном направлении в терминалы (порты) и железнодорожные пункты пропуска между грузоотправителями (угольными компаниями) Министерство энергетики Российской Федерации учитывает возможность грузоотправителей (угольных компаний) направить уголь в западном и (или) восточном направлениях.

12. Распределение объемов перевозки угля со станций отправления в восточном направлении между грузоотправителями осуществляется в 2 этапа.

13. На I этапе распределяемый объем перевозки угля со станций отправления в восточном направлении в терминалы (порты) () определяется по формуле:

,

где ТП - максимальный объем перевозки угля со станций отправления в восточном направлении в терминалы (порты) и железнодорожные пункты пропуска (количество вагонов в сутки).

14. На II этапе распределяемый объем перевозки угля со станций отправления в восточном направлении в терминалы (порты) и железнодорожные пункты пропуска () определяется по формуле:

,

где ТП - максимальный объем перевозки угля со станций отправления в восточном направлении в терминалы (порты) и железнодорожные пункты пропуска (количество вагонов в сутки).

15. Распределение пропускных и провозных способностей инфраструктуры со станций отправления в восточном направлении в терминалы (порты) между грузоотправителями (угольными компаниями) на I этапе осуществляется пропорционально отношению объема перевозки угля со станций отправления в восточном направлении в терминалы (порты) () и совокупного объема заявок на перевозку угля со станций отправления в восточном направлении в терминалы (порты) и определяется по формуле:

,

где:

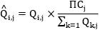
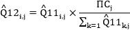
- плановый объем перевозки угля грузоотправителя (угольной компании) с номером i со станций отправления в восточном направлении в терминал (порт) с номером j;

- объем перевозки угля согласно заявке на перевозку угля грузоотправителя (угольной компании) с номером i со станций отправления в восточном направлении в терминал (порт) с номером j, приведенный в соответствие с максимальной перерабатывающей способностью терминалов (портов) по перевозке и выгрузке угля;

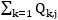
- сумма объемов перевозки угля по всем заявкам на перевозку угля со станций отправления в восточном направлении в терминалы (порты), приведенных в соответствие с максимальной перерабатывающей способностью терминалов (портов) по перевозке и выгрузке угля.

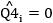
16. Объем перевозки угля, указанный в заявке на перевозку угля грузоотправителя (угольной компании), приводится в соответствие с максимальной перерабатывающей способностью терминалов (портов) по перевозке и выгрузке угля и определяется по формуле:

, если ,

, если ,

где:

- объем перевозки угля грузоотправителя (угольной компании) с номером i со станций отправления в восточном направлении в терминал (порт) с номером j, приведенный в соответствие с максимальной перерабатывающей способностью терминалов (портов) по перевозке и выгрузке угля;

- объем перевозки угля согласно заявке на перевозку угля грузоотправителя (угольной компании) с номером i на перевозку угля со станций отправления в восточном направлении в терминал (порт) с номером j;

- максимальная перерабатывающая способность терминала (порта) по перевозке и выгрузке угля с номером j;

- сумма объемов перевозки угля по всем заявкам на перевозку угля со станций отправления в восточном направлении в терминал (порт) с номером j.

17. Министерство энергетики Российской Федерации не позднее чем за 35 дней до начала планируемого месяца перевозки угля размещает информацию об объемах перевозок угля на планируемый месяц, рассчитанный при распределении на I этапе объема перевозки угля со станций отправления в восточном направлении в терминалы (порты), на своем официальном сайте в информационно-телекоммуникационной сети "Интернет" (далее - сеть "Интернет").

Перевозчик доводит указанную информацию до сведения грузоотправителей (угольных компаний) не позднее чем за 31 день до начала планируемого месяца перевозки.

18. Для распределения объема перевозки угля со станций отправления в восточном направлении в терминалы (порты) и железнодорожные пункты пропуска на II этапе Министерство энергетики Российской Федерации не позднее чем за 40 дней до начала планируемого месяца перевозки рассчитывает предварительный объем перевозок угля в пределах распределяемого на II этапе объема перевозки угля со станций отправления в восточном направлении в терминалы (порты) и железнодорожные пункты пропуска () пропорционально доле перевозок угля грузоотправителя (угольной компании) в объеме перевозки угля со станций отправления, который определяется по формуле:

, если ;

если ;

где:

- предварительный объем перевозки угля грузоотправителя (угольной компании) с номером i со станций отправления в восточном направлении в терминалы (порты) и железнодорожные пункты пропуска;

- фактический объем перевозки угля грузоотправителя (угольной компании) с номером i со станций отправления суммарно за третий и четвертый месяцы, предшествующие планируемому месяцу перевозки, в порты, расположенные на территории Российской Федерации (Балтийский, Арктический, Азово-Черноморский бассейны), железнодорожные пункты пропуска на границе между Российской Федерацией и странами Европы (за исключением морских портов, расположенных за пределами территории Российской Федерации) и прочим грузополучателям Западно-Сибирской железной дороги, Южно-Уральской железной дороги, Свердловской железной дороги, Куйбышевской железной дороги, Приволжской железной дороги, Юго-Восточной железной дороги, Северо-Кавказской железной дороги, Северной железной дороги, Горьковской железной дороги, Московской железной дороги, Калининградской железной дороги и Октябрьской железной дороги;

- фактический объем перевозки угля грузоотправителя (угольной компании) с номером i со станций отправления суммарно за третий и четвертый месяцы, предшествующие планируемому месяцу перевозки в восточном направлении в терминалы (порты) и железнодорожные пункты пропуска;

- сумма фактических объемов перевозки угля грузоотправителей (угольных компаний) со станций отправления за третий и четвертый месяцы, предшествующие планируемому месяцу перевозки угля, в порты, расположенные на территории Российской Федерации (Балтийский, Арктический, Азово-Черноморский бассейны), железнодорожные пункты пропуска на границе между Российской Федерацией и странами Европы (за исключением морских портов, расположенных за пределами территории Российской Федерации) и прочим грузополучателям Западно-Сибирской железной дороги, Южно-Уральской железной дороги, Свердловской железной дороги, Куйбышевской железной дороги, Приволжской железной дороги, Юго-Восточной железной дороги, Северо-Кавказской железной дороги, Северной железной дороги, Горьковской железной дороги, Московской железной дороги, Калининградской железной дороги и Октябрьской железной дороги, для которых фактические объемы перевозки угля со станций отправления суммарно за третий и четвертый месяцы, предшествующие планируемому месяцу перевозки в восточном направлении в терминалы (порты) и железнодорожные пункты пропуска, превышали ноль.

19. Министерство энергетики Российской Федерации не позднее чем за 35 дней до начала планируемого месяца перевозки угля размещает информацию о предварительных объемах перевозок угля на планируемый месяц в пределах распределяемого на II этапе объема перевозки угля со станций отправления в восточном направлении в терминалы (порты) и железнодорожные пункты пропуска () на своем официальном сайте в сети "Интернет" и направляет ее перевозчику.

20. Для целей распределения пропускных и провозных способностей в пределах распределяемого на II этапе объема перевозки угля со станций отправления в восточном направлении в терминалы (порты) и железнодорожные пункты пропуска () грузоотправители (угольные компании) направляют перевозчику заявки на перевозку угля со станций отправления в восточном направлении в терминалы (порты) и железнодорожные пункты пропуска на планируемый месяц не позднее чем за 29 дней до начала планируемого месяца перевозки угля.

21. Перевозчик обеспечивает прием и учет заявок на перевозку угля со станций отправления в восточном направлении в терминалы (порты) и железнодорожные пункты пропуска и после подтверждения терминалами (портами) возможности удовлетворения заявок на перевозку угля рассматривает их. Перевозчик направляет информацию о возможности или невозможности удовлетворения заявок, информацию о поданных заявках на перевозку угля и подтверждении терминалами (портами) возможности удовлетворения заявок на перевозку угля в Министерство транспорта Российской Федерации и Министерство энергетики Российской Федерации не позднее чем за 25 дней до начала планируемого месяца перевозки угля.

22. Министерство энергетики Российской Федерации не позднее чем за 22 дня до начала планируемого месяца перевозки угля рассчитывает объем перевозки угля грузоотправителями в пределах распределяемого на II этапе объема перевозки угля со станций отправления в восточном направлении в терминалы (порты) и железнодорожные пункты пропуска () пропорционально доле перевозки угля грузоотправителя (угольной компании) в перевозках угля со станций отправления, который определяется по формуле:

, если ;

, если ,

где:

- расчетный объем перевозки угля грузоотправителя (угольной компании) с номером i со станций отправления в восточном направлении в терминалы (порты) и железнодорожные пункты пропуска;

- фактический объем перевозки угля грузоотправителя (угольной компании) с номером i со станций отправления суммарно за третий и четвертый месяцы, предшествующие планируемому месяцу перевозки, в порты, расположенные на территории Российской Федерации (Балтийский, Арктический и Азово-Черноморский бассейны), железнодорожные пункты пропуска между Российской Федерацией и странами Европы (за исключением морских портов, расположенных за пределами территории Российской Федерации) и прочим грузополучателям Западно-Сибирской железной дороги, Южно-Уральской железной дороги, Свердловской железной дороги, Куйбышевской железной дороги, Приволжской железной дороги, Юго-Восточной железной дороги, Северо-Кавказской железной дороги, Северной железной дороги, Горьковской железной дороги, Московской железной дороги, Калининградской железной дороги и Октябрьской железной дороги;

- суммарный объем перевозки угля согласно заявкам на перевозку угля грузоотправителя (угольной компании) с номером i со станций отправления в восточном направлении в терминалы (порты) и железнодорожные пункты пропуска;

- сумма фактических объемов перевозки угля грузоотправителей (угольных компаний) со станций отправления за третий и четвертый месяцы, предшествующие планируемому месяцу перевозки, в порты, расположенные на территории Российской Федерации (Балтийский, Арктический, Азово-Черноморский бассейны), железнодорожные пункты пропуска на границе между Российской Федерацией и странами Европы (за исключением морских портов, расположенных за пределами территории Российской Федерации) и прочим грузополучателям Западно-Сибирской железной дороги, Южно-Уральской железной дороги, Свердловской железной дороги, Куйбышевской железной дороги, Приволжской железной дороги, Юго-Восточной железной дороги, Северо-Кавказской железной дороги, Северной железной дороги, Горьковской железной дороги, Московской железной дороги, Калининградской железной дороги и Октябрьской железной дороги, для которых объемы перевозки угля согласно заявкам на перевозку угля со станций отправления в восточном направлении в терминалы (порты) и железнодорожные пункты пропуска суммарно превышают ноль.

23. В случае если сумма объемов перевозки, указанных в заявках на перевозку угля грузоотправителя (угольной компании) в восточном направлении при распределении на II этапе объема перевозки угля со станций отправления в восточном направлении в терминалы (порты) и железнодорожные пункты пропуска, превышает величину расчетного объема перевозки угля грузоотправителем, рассчитанную в пределах распределяемого на II этапе объема перевозки угля со станций отправления в восточном направлении в терминалы (порты) и железнодорожные пункты пропуска (), объемы по таким заявкам на перевозку угля равномерно снижаются до величины, равной расчетному объему перевозки угля, который определяется в пределах распределяемого на II этапе объема перевозки угля со станций отправления в восточном направлении в терминалы (порты) и железнодорожные пункты пропуска (), который определяется по формуле:

, если ;

, если ,

где:

- объем перевозки угля грузоотправителя (угольной компании) с номером i со станций отправления в восточном направлении в терминал (порт) и (или) железнодорожный пункт пропуска с номером j, приведенный в соответствие с расчетным объемом перевозки угля;

- расчетный объем перевозки угля грузоотправителя (угольной компании) с номером i со станций отправления в восточном направлении в терминалы (порты) и (или) железнодорожные пункты пропуска, рассчитанный в рамках распределения на II этапе объема перевозки угля со станций отправления в восточном направлении в терминалы (порты) и железнодорожные пункты пропуска;

- объем перевозки согласно заявке на перевозку угля грузоотправителя (угольной компании) с номером i на перевозку угля со станций отправления в восточном направлении в терминал (порт) и железнодорожный пункт пропуска с номером j;

- сумма объемов перевозки по всем заявкам на перевозку угля грузоотправителя (угольной компании) с номером i на перевозку угля со станций отправления в восточном направлении в терминалы (порты) и железнодорожные пункты пропуска.

24. В случае если суммарный объем перевозки угля по всем заявкам на перевозку угля грузоотправителей (угольных компаний) в восточном направлении в железнодорожные пункты пропуска, приведенный к расчетному объему перевозки угля по всем грузоотправителям (угольным компаниям), превышает 5 процентов пропускных и провозных способностей инфраструктуры Западно-Сибирской железной дороги в восточном направлении в терминалы (порты) и железнодорожные пункты пропуска для перевозки угля, объемы перевозки угля по поданным заявкам на перевозку угля равномерно снижаются до величины, равной 5 процентам пропускных и провозных способностей инфраструктуры в восточном направлении в терминалы (порты) и железнодорожные пункты пропуска для перевозки угля, и определяются по формуле:

, если ;

, если ,

где:

- объем перевозки угля грузоотправителя (угольной компании) с номером i со станций отправления в восточном направлении в железнодорожный пункт пропуска с номером j, скорректированный с учетом ограничений по суммарным объемам перевозки в железнодорожные пункты пропуска;

- объем перевозки угля согласно заявке на перевозку угля грузоотправителя (угольной компании) с номером i на перевозку угля со станций отправления в восточном направлении в железнодорожный пункт пропуска с номером j, приведенный к расчетному объему перевозки угля;

- сумма объемов перевозки по всем заявкам на перевозку угля со станций отправления в восточном направлении в железнодорожные пункты пропуска, приведенных к расчетному объему перевозки угля;

ТП - максимальный объем перевозки угля со станций отправления в восточном направлении в терминалы (порты) и железнодорожные пункты пропуска (количество вагонов в сутки).

25. Разница между объемами перевозок угля () грузоотправителя (угольной компании) с номером k в железнодорожный пункт пропуска с номером к в восточном направлении распределяется в терминалы (порты) в восточном направлении и определяется по формуле:

,

где:

- объем перевозки угля грузоотправителя (угольной компании) с номером i со станций отправления в восточном направлении в терминал (порт) с номером j, скорректированный с учетом ограничений по суммарным объемам перевозки в направлении железнодорожных пунктов пропуска;

- объем перевозки угля согласно заявке на перевозку угля грузоотправителя (угольной компании) с номером i со станций отправления в восточном направлении в терминал (порт) с номером j, приведенный к расчетному объему перевозки угля;

- сумма объемов перевозки по всем заявкам на перевозку угля грузоотправителя (угольной компании) с номером i со станций отправления в восточном направлении в терминалы (порты), приведенных к расчетному объему перевозки угля;

- разница между объемами перевозки угля согласно заявке на перевозку угля грузоотправителя (угольной компании) с номером i со станций отправления в восточном направлении в железнодорожные пункты пропуска, приведенными к расчетному объему перевозки угля и скорректированными в соответствии с расчетным объемом перевозки угля.

26. Объемы перевозки угля грузоотправителя (угольной компании) в восточном направлении в терминалы (порты), скорректированные с учетом ограничений по суммарным объемам перевозки угля в железнодорожные пункты пропуска, приводятся в соответствие с максимальной перерабатывающей способностью этого терминала (порта) по перевозке и выгрузке угля, которая определяется по формуле:

, если ;

, если ,

где:

- объем перевозки угля грузоотправителя (угольной компании) с номером i со станций отправления в восточном направлении в терминал (порт) с номером j, приведенный в соответствие с максимальной перерабатывающей способностью этого терминала (порта) по перевозке и выгрузке угля;

- объем перевозки угля грузоотправителя (угольной компании) с номером i со станций отправления в восточном направлении в терминал (порт) с номером j, скорректированный с учетом ограничений по суммарным объемам перевозки в железнодорожные пункты пропуска;

- максимальная перерабатывающая способность терминала (порта) по перевозке и выгрузке угля с номером j;

- сумма объемов перевозки угля грузоотправителей (угольных компаний) со станций отправления в восточном направлении в терминал (порт) с номером j, скорректированных с учетом ограничений по суммарным объемам перевозки угля в железнодорожные пункты пропуска.

27. Если объем перевозки угля грузоотправителем (угольной компанией) в восточном направлении в терминал (порт), приведенный в соответствие с максимальной перерабатывающей способностью терминалов (портов) по перевозке и выгрузке угля (), превышает объем перевозки угля согласно заявке на перевозку угля со станций отправления в восточном направлении в терминал (порт), то объем перевозки угля грузоотправителем (угольной компанией) в восточном направлении в терминал (порт), приведенный в соответствие с максимальной перерабатывающей способностью терминалов (портов) по перевозке и выгрузке угля, принимается равным объему перевозки угля согласно заявке на перевозку угля со станций отправления в восточном направлении в терминал (порт).

28. Министерство энергетики Российской Федерации не позднее чем за 22 дня до начала планируемого месяца перевозки угля размещает информацию об объемах перевозок угля на планируемый месяц, рассчитанный при распределении на II этапе объема перевозки угля со станций отправления в восточном направлении в терминалы (порты) и железнодорожные пункты пропуска (), на своем официальном сайте в сети "Интернет".

29. Министерство энергетики Российской Федерации не позднее 10 числа месяца, предшествующего месяцу перевозки угля, размещает утвержденный план ( и ) на своем официальном сайте в сети "Интернет" и направляет его в Министерство транспорта Российской Федерации и перевозчику.

30. Перевозчик доводит до сведения грузоотправителей (угольных компаний) информацию об объемах перевозок угля со станций отправления в восточном направлении в терминалы (порты) и железнодорожные пункты пропуска в соответствии с утвержденным планом не позднее чем за 15 дней до начала планируемого месяца перевозки угля.

31. Перевозчик обеспечивает согласование и исполнение заявок на перевозку угля со станций отправления в восточном направлении в терминалы (порты) в соответствии с утвержденным планом, а также в железнодорожные пункты пропуска - в соответствии с утвержденным планом с учетом согласования иностранных перевозчиков, участвующих в перевозке угля в прямом международном сообщении.

32. В случае появления возможности для перевозки дополнительного объема угля со станции отправления в восточном направлении перевозчик распределяет этот дополнительный объем между грузоотправителями (угольными компаниями) пропорционально утвержденным на месяц планирования планам перевозок угля.

Перевозчик направляет в Министерство энергетики Российской Федерации информацию о дополнительно согласованных объемах перевозки угля со станций отправления (отдельно по грузоотправителям (угольным компаниям).

33. Уступка грузоотправителем (угольной компанией) права на перевозку угля допускается только между юридическими лицами, входящими с таким грузоотправителем (угольной компанией) в одну группу лиц.

Уступка права на перевозку угля осуществляется путем перераспределения объема перевозок угля между грузоотправителями (угольными компаниями) в случае направления такими грузоотправителями перевозчику обращений о внесении в согласованные в установленном порядке заявки на перевозку угля изменений, предусматривающих снижение объема перевозки по одной заявке на перевозку угля и соразмерное увеличение такого объема по другой заявке на перевозку угля.

Перевозчик направляет в Министерство энергетики Российской Федерации информацию о поступивших обращениях и после получения подтверждения о соблюдении условий, указанных в абзаце первом настоящего пункта, обеспечивает их исполнение.

34. Перевозчик направляет отчет об исполнении плана, в том числе об объеме неисполненных заявок на перевозку угля по причинам, зависящим от перевозчика или владельца инфраструктуры, в Министерство энергетики Российской Федерации и Министерство транспорта Российской Федерации каждую декаду (нарастающим итогом).

35. Министерство энергетики Российской Федерации проводит мониторинг исполнения плана не позднее 15 числа следующего месяца.

36. При осуществлении мониторинга исполнения плана Министерство энергетики Российской Федерации определяет коэффициент фактического неисполнения перевозчиком плана по обстоятельствам, зависящим от перевозчика или владельца инфраструктуры, который определяется по формуле:

,

где:

Факт объем неисполненных заявок на перевозкуj - фактический объем неисполненных по обстоятельствам, зависящим от перевозчика или владельца инфраструктуры, заявок на перевозку угля в отношении грузоотправителя (угольной компании) с номером j;

- плановый объем перевозки угля в восточном направлении в терминалы (порты) и железнодорожные пункты пропуска для грузоотправителя (угольной компании) с номером j;

- дополнительный планируемый объем перевозки угля в восточном направлении в терминалы (порты) и железнодорожные пункты пропуска для грузоотправителя (угольной компании) с номером j.

37. Средний коэффициент фактического неисполнения перевозчиком плана (Кнеисп) определяется по формуле:

,

где:

- сумма фактических объемов неисполненных заявок на перевозку угля по обстоятельствам, зависящим от перевозчика или владельца инфраструктуры, заявок на перевозку угля для всех грузоотправителей (угольных компаний);

- сумма плановых объемов перевозки угля и дополнительных планируемых объемов перевозок угля в восточном направлении в терминалы (порты) и железнодорожные пункты пропуска, согласованных перевозчиком.

38. Для каждого грузоотправителя, у которого фактическое неисполнение плана отличается от среднего неисполнения плана по обстоятельствам, зависящим от перевозчика или владельца инфраструктуры, объем перевозки угля, который должен быть компенсирован грузоотправителю (угольной компании) с номером j (Объемj), определяется по формуле:

.

Компенсирующий объем перевозки угля учитывается при планировании месяца, следующего через месяц, в котором планировалась перевозка угля.

39. При подаче грузоотправителями (угольными компаниями) заявки на перевозку угля сверх базового уровня 2020 года, указанного в абзаце втором пункта 1 настоящих Правил, условием является наличие заключенного инвестиционного соглашения. (в ред. Постановления Правительства РФ от 02.10.2021 N 1673)

40. Уровень дополнительных объемов угольной продукции устанавливается Министерством энергетики Российской Федерации в рамках инвестиционных соглашений с учетом заявленных грузоотправителями (угольными компаниями) объемов экспортных перевозок угольной продукции железнодорожным транспортом общего пользования в восточном направлении, объем которых превышает 53 млн. тонн. (в ред. Постановления Правительства РФ от 02.10.2021 N 1673)

Положения пунктов 39 и 40 Правил не применяются в отношении экспортных перевозок угольной продукции грузоотправителей (угольных компаний) железнодорожным транспортом общего пользования в восточном направлении, объем которых не превышает 53 млн. тонн (базовый уровень 2020 г.) (пункт 1 Приложения к Правилам).