Неопределенность измерения. Часть 1. Введение в руководства по выражению неопределенности измерения. ГОСТ 34100.1-2017/ISO/IEC GUIDE 98-1:2009

(утв. Приказом Росстандарта от 12.09.2017 N 1064-СТ)
Редакция от 12.09.2017 — Действует с 01.09.2018

Текст данного документа приведен с учетом Поправки, опубликованной в "ИУС", N 8, 2023.


МЕЖГОСУДАРСТВЕННЫЙ СТАНДАРТ

НЕОПРЕДЕЛЕННОСТЬ ИЗМЕРЕНИЯ

ЧАСТЬ 1

ВВЕДЕНИЕ В РУКОВОДСТВА ПО ВЫРАЖЕНИЮ НЕОПРЕДЕЛЕННОСТИ ИЗМЕРЕНИЯ

Uncertainty of measurement. Part 1. Introduction to guides on the expression of uncertainty in measurement

ГОСТ 34100.1-2017/ISO/IEC Guide 98-1:2009

Дата введения
1 сентября 2018 года

Предисловие

Цели, основные принципы и основной порядок проведения работ по межгосударственной стандартизации установлены в ГОСТ 1.0-2015 "Межгосударственная система стандартизации. Основные положения" и ГОСТ 1.2-2015 "Межгосударственная система стандартизации. Стандарты межгосударственные, правила и рекомендации по межгосударственной стандартизации. Правила разработки, принятия, обновления и отмены"

Сведения о стандарте

1 ПОДГОТОВЛЕН Межгосударственным техническим комитетом по стандартизации МТК 125 "Статистические методы в управлении качеством продукции" на основе собственного перевода на русский язык англоязычной версии международного документа, указанного в пункте 5

2 ВНЕСЕН Федеральным агентством по техническому регулированию и метрологии (Росстандарт)

3 ПРИНЯТ Межгосударственным советом по стандартизации, метрологии и сертификации (протокол от 14 июля 2017 г. N 101-П)

За принятие стандарта проголосовали:

Краткое наименование страны по МК (ИСО 3166) 004-97 Код страны по МК (ИСО 3166) 004-97 Сокращенное наименование национального органа по стандартизации
Азербайджан AZ Азстандарт
Беларусь BY Госстандарт Республики Беларусь
Казахстан KZ Госстандарт Республики Казахстан
Киргизия KG Кыргызстандарт
Россия RU Росстандарт

4 Приказом Федерального агентства по техническому регулированию и метрологии от 12 сентября 2017 г. N 1064-ст межгосударственный стандарт ГОСТ 34100.1-2017/ISO/IEC Guide 98-1:2009 введен в действие в качестве национального стандарта Российской Федерации с 1 сентября 2018 г.

5 Настоящий стандарт идентичен международному документу ISO/IEC Guide 98-1:2009 "Неопределенность измерения. Часть 1. Введение в выражение неопределенности измерения" ("Uncertainty of measurement - Part 1: Introduction to the expression of uncertainty in measurement", IDT).

Международный документ разработан Рабочей группой JCGM/WG 1 Объединенного комитета по руководствам в метрологии (как JCGM 104:2009) и одобрен национальными комитетами Международных организаций по стандартизации ISO и IEC.

Официальные экземпляры международного стандарта, на основе которого подготовлен настоящий межгосударственный стандарт, и международных стандартов, на которые даны ссылки, имеются в Федеральном агентстве по техническому регулированию и метрологии.

Наименование настоящего стандарта изменено относительно наименования указанного международного документа для приведения в соответствие с ГОСТ 1.5 (подраздел 3.6).

При применении настоящего стандарта рекомендуется использовать вместо ссылочных международных стандартов и документов соответствующие им межгосударственные стандарты, сведения о которых приведены в дополнительном приложении ДА

6 ВВЕДЕН ВПЕРВЫЕ

Информация об изменениях к настоящему стандарту публикуется в ежегодном информационном указателе "Национальные стандарты" (по состоянию на 1 января текущего года), а текст изменений и поправок - в ежемесячном информационном указателе "Национальные стандарты". В случае пересмотра (замены) или отмены настоящего стандарта соответствующее уведомление будет опубликовано в ежемесячном информационном указателе "Национальные стандарты". Соответствующая информация, уведомление и тексты размещаются также в информационной системе общего пользования - на официальном сайте Федерального агентства по техническому регулированию и метрологии в сети Интернет (www.gost.ru)

Предисловие к международному документу ISO/IEC Guide 98.1:2009

В 1997 г. семью международными организациями, подготовившими в 1993 г. "Руководство по выражению неопределенности измерения" (GUM) и "Международный словарь по метрологии. Основные и общие понятия и связанные с ними термины" (VIM), был образован Объединенный комитет по руководствам в метрологии (JCGM), возглавляемый директором Международного бюро мер и весов (МБМВ), который принял на себя ответственность за указанные два документа от Технической консультативной группы по метрологии ИСО (ИСО/ТАГ 4).

Учредителями JCGM помимо МБМВ являются Международная электротехническая комиссия (МЭК), Международная федерация клинической химии и лабораторной медицины (МФКХ), Международное сотрудничество по аккредитации лабораторий (ИЛАК), Международная организация по стандартизации (ИСО), Международный союз теоретической и прикладной химии (ИЮПАК), Международный союз теоретической и прикладной физики (ИЮПАП) и Международная организация по законодательной метрологии (МОЗМ).

В рамках JCGM созданы две Рабочие группы (РГ). Задачей РГ 1 "Выражение неопределенности измерения" является содействие использованию Руководства (GUM), подготовка дополнений к Руководству и иных документов, способствующих его широкому применению. Задачей РГ 2 "Рабочей группы по Международному словарю основных и общих терминов в метрологии (VIM)" является пересмотр VIM и содействие его применению. Более подробную информацию о деятельности JCGM можно найти на сайте www.bipm.org.

Настоящий документ был подготовлен РГ 1 на основе детальных обзоров, подготовленных организациями - членами JCGM.

Настоящий документ является частью серии документов JCGM под общим названием "Оценивание данных измерений", включающей в себя:

- JCGM 100:2008 Оценивание данных измерений. Руководство по выражению неопределенности измерения (GUM) (см. раздел 2 настоящего стандарта);

- JCGM 101:2008 Оценивание данных измерений. Дополнение 1 к "Руководству по выражению неопределенности измерения". Трансформирование распределений с использованием метода Монте-Карло (см. раздел 2 настоящего стандарта);

- JCGM 102 Оценивание данных измерений. Дополнение 2 к "Руководству по выражению неопределенности измерения". Модели с произвольным числом выходных величин;

- JCGM 103 Оценивание данных измерений. Дополнение 3 к "Руководству по выражению неопределенности измерения". Моделирование;

- JCGM 104 Оценивание данных измерений. Введение к "Руководству по выражению неопределенности измерения" и сопутствующим документам (настоящий стандарт);

- JCGM 105 Оценивание данных измерений. Понятия и основные принципы;

- JCGM 106 Оценивание данных измерений. Роль неопределенности измерения в оценке соответствия;

- JCGM 107 Оценивание данных измерений. Применение метода наименьших квадратов.

Введение

Данные о неопределенности измерения должны всегда приниматься во внимание при оценке соответствия результата измерения его целям. Покупатель в овощной лавке не будет возражать, если при покупке килограмма фруктов весы покажут отклонение от истинного значения в пределах, допустим, двух граммов. В то же время размеры деталей гироскопов, используемых в системах навигации воздушных судов, контролируют до миллионных долей.

Неопределенность измерения - это общее понятие, связанное с любым измерением, которое используют при необходимости принятия обоснованных решений в разных областях практической деятельности и теоретических исследований. По мере наблюдаемого ужесточения допусков в технологических процессах роль неопределенности измерений при оценке соответствия этим допускам все более возрастает. Центральную роль неопределенность измерения играет также при оценке качества и в стандартах качества.

Измерения присутствуют практически во всех видах человеческой деятельности, включая промышленность, торговлю, науку, здравоохранение, обеспечение безопасности и охрану окружающей среды, помогая принимать обоснованные решения. Знание неопределенности измерения позволяет сопоставлять результат измерения с установленными требованиями при оценке соответствия, находить вероятность принятия неправильного решения и с ее учетом управлять возникающими рисками.

Настоящий документ служит введением в концепцию неопределенности измерения, в GUM и сопутствующие документы, указанные в предисловии. Для оценивания неопределенности используется вероятностный подход. Аббревиатуры, использованные в настоящем документе, приведены в приложении А.

В последующих изданиях JCGM 200 (VIM) предполагается дать четкое разграничение в применении термина "погрешность" к величине и к значению величины. То же самое относится к термину "показание". Поскольку в действующем издании JCGM 200:2008 такого разграничения нет, то данный вопрос рассматривается в настоящем документе.

1. Область применения

Настоящий документ подготовлен Объединенным комитетом по руководствам в метрологии (JCGM) с целью продвижения идей оценивания неопределенности измерения, изложенных в "Руководстве по выражению неопределенности измерения" (GUM), и в качестве вводного руководства по применению дополнений к GUM (далее при ссылках - JCGM 100:2008 (GUM)), включая JCGM 101:2008, а также другим документам, разрабатываемым JCGM (см. [3], [4], [5], [6], [7]).

Как и JCGM 100:2008, настоящий документ, в первую очередь, рассматривает выражение неопределенности измерения хорошо определенной величины, характеризуемой единственным истинным значением (JCGM 200:2008 (VIM), словарная статья 2.11, примечание 3) и называемой измеряемой величиной (JCGM 200:2008 (VIM), словарная статья 2.3). В JCGM 100:2008 (GUM) приведены обоснования, почему не рекомендуется использовать термин "истинное значение", однако в настоящем документе этот термин рассматривается для предотвращения возможных неясностей или путаницы с его применением.

Дополнения к GUM и другие сопутствующие документы разрабатываются JCGM с целью оказать помощь в понимании принципов, установленных в GUM, и расширить сферу его применения. Дополнения к GUM вместе с другими сопутствующими документами создают область применения концепции неопределенности измерения, существенно превышающую ту, что установлена GUM.

Настоящий документ знакомит с понятием неопределенности измерения, с GUM и дополнениями к GUM, а также документами, поддерживающими GUM. Он ограничивается преимущественно вопросами измерения величин, которые могут быть охарактеризованы непрерывными переменными, такими как длина, температура, время, количество вещества.

Настоящий документ распространяется на следующие сферы деятельности (но не ограничивается ими):

- наука;

- промышленность;

- деятельность калибровочных и испытательных лабораторий в промышленности, а также в сферах здравоохранения, обеспечения безопасности и охраны окружающей среды;

- деятельность органов по аккредитации, а также органов контроля, надзора и оценки соответствия.

Настоящий документ может быть использован при проектировании изделий, поскольку установление характеристик изделий с учетом последующих требований к контролю и связанными с ним измерениями позволит избежать завышенных технологических требований при их производстве. Применение настоящего документа в сфере высшего образования позволит включать в программы по различным дисциплинам разделы по неопределенности измерения. Результатом должна стать лучшая подготовленность специалистов к пониманию концепции неопределенности измерения и применению ее в разных измерительных задачах, что, в конечном итоге, послужит улучшению качества измерений в целом.

Настоящий документ, дополнения к GUM и другие сопутствующие документы следует использовать совместно с Международным словарем по метрологии (VIM, далее при ссылках - JCGM 200:2008 (VIM)), а также с международными стандартами ISO 3534-1:2006, ISO 3524-2:2006 и ISO 3534-3:1999, в которых определены термины, используемые в математической статистике и теории вероятностей (включая прикладную статистику и планирование экспериментов), и показано их место в структуре понятий в соответствии с нормативной терминологической практикой. Последнее важно с учетом того обстоятельства, что теоретической основой оценивания данных измерений и неопределенности измерений является математическая статистика и теория вероятностей.

2. Нормативные ссылки

В настоящем стандарте использованы нормативные ссылки на следующие стандарты и документы:

JCGM 100:2008, Evaluation of measurement data - Guide to the expression of uncertainty in measurement (GUM) (Оценивание данных измерений. Руководство по выражению неопределенности измерения (GUM))

JCGM 101:2008, Evaluation of measurement data - Supplement 1 to the "Guide to the expression of uncertainty in measurement" - Propagation of distributions using a Monte Carlo method (Оценивание данных измерений. Дополнение 1 к "Руководству по выражению неопределенности измерения". Трансформирование распределений с использованием метода Монте-Карло)

JCGM 200:2008, International Vocabulary of Metrology - Basic and general concepts and associated terms, 3rd Edition (Международный словарь по метрологии. Основные и общие понятия и связанные с ними термины, 3-е издание)

ISO 3534-1:2006, Statistics - Vocabulary and symbols - Part 1: General statistical terms and terms used in probability (Статистика. Словарь и условные обозначения. Часть 1. Общие термины по статистике и термины, используемые в теории вероятностей)

ISO 3534-2:2006, Statistics - Vocabulary and symbols - Part 2: Applied statistics (Статистика. Словарь и условные обозначения. Часть 2. Прикладная статистика)

ISO 3534-3:1999 <1>, Statistics - Vocabulary and symbols - Part 3: Design of experiments (Статистика. Словарь и условные обозначения. Часть 3. Планирование эксперимента)

<1> Данный международный стандарт заменен на международный стандарт ISO 3534-3:2013 "Statistics - Vocabulary and symbols - Part 3: Design of experiments". Однако для однозначного соблюдения требования настоящего стандарта, выраженного в датированной ссылке, рекомендуется использовать только указанное в этой ссылке издание.

3. Понятие неопределенности измерения

3.1 Цель измерения состоит в получении информации об интересующей величине, называемой измеряемой величиной (JCGM 200:2008 (VIM), словарная статья 2.3). Измеряемой величиной может быть объем сосуда, разность потенциалов на клеммах батареи или массовая концентрация свинца в колбе с водой.

3.2 Абсолютно точных измерений не существует. При проведении измерения его результат зависит от измерительной системы (JCGM 200:2008 (VIM), словарная статья 3.2), методики измерения, квалификации оператора, внешних условий и других факторов [1]. Так, если измерять одну и ту же величину несколько раз одним способом и в одинаковых условиях, то, как правило, при достаточной разрешающей способности измерительной системы, позволяющей различать близкие показания (JCGM 200:2008 (VIM), словарная статья 4.1), эти показания (полученные значения измеряемой величины [JCGM 200:2008 (VIM), словарная статья 2.10]) всякий раз будут разными. Показания рассматривают как мгновенные значения соответствующей случайной переменной (показываемой величины).

3.3 Разброс показаний позволяет судить о качестве проведенного измерения. Их среднее должно обеспечить значение оценки (ISO 3534-1:2006, словарная статья 1.31) истинного значения величины (JCGM 200:2008 (VIM), словарная статья 2.11), которая в общем случае будет более достоверной, чем отдельное показание. Разброс показаний и их число дают некоторую информацию в отношении среднего значения как оценки истинного значения величины. Однако эта информация в большинстве случаев не будет достаточной.

3.4 Измерительная система может давать показания, которые рассеяны не вокруг истинного значения величины, а вокруг некоторого другого, смещенного значения. Разницу между смещенным значением и истинным значением величины иногда называют значением систематической погрешности (JCGM 200:2008 (VIM), словарная статья 2.17). Возьмем для примера домашние весы в ванной. Предположим, что в отсутствие нагрузки они показывают не ноль, а некоторое отличное от нуля значение. Тогда вне зависимости от числа повторных измерений массы встающего на весы человека влияние этого смещения будет неизменно присутствовать в среднем значении показаний. В большинстве случаев систематическая погрешность, рассматриваемая как величина, - это составляющая погрешности, которая остается постоянной или зависит определенным образом от какой-то другой величины.

3.5 Существует два вида погрешности измерения: систематическая и случайная (JCGM 200:2008 (VIM), словарная статья 2.19). Систематическая погрешность [значение оценки которой называют смещением при измерении (JCGM 200:2008 (VIM), словарная статья 2.18)] проявляется в том, что полученное значение измеряемой величины содержит сдвиг. Случайная погрешность проявляется в том, что при повторении измерения полученное значение измеряемой величины в большинстве случаев будет отличаться от предыдущего. Случайность заключается в том, что последующие значения измеряемой величины нельзя точно предсказать по предыдущим (если бы такая возможность существовала, то в результат измерений можно было бы внести соответствующую поправку). В общем случае каждый из видов погрешности может быть обусловлен действием нескольких факторов.

3.6 Для каждого проведенного измерения необходимо решить, как наилучшим образом представить информацию, которую удалось получить об измеряемой величине. Указание значений систематических и случайных погрешностей наряду с наилучшей оценкой измеряемой величины - это тот подход, который часто использовался до разработки GUM. GUM предложило другой подход к пониманию измерения, в частности, к тому, как выражать качество результата измерения. Вместо представления результата измерения в виде наилучшей оценки измеряемой величины вместе с информацией о систематической и случайной погрешностях (в форме "анализа погрешностей"), GUM рекомендует выражать результат измерения как наилучшую оценку измеряемой величины вместе с соответствующей неопределенностью измерения.

3.7 Одним из основных исходных положений подхода GUM является утверждение о возможности охарактеризовать качество измерения, исходя из единообразного обращения с систематической и случайной погрешностями, с предложением метода, как это сделать (см. 7.2). Этот метод возвращает к исходной информации, какой она была до применения "анализа погрешностей", и подводит под нее вероятностную основу с помощью концепции неопределенности измерения.

3.8 Другое базовое положение GUM состоит в утверждении, что нельзя установить, насколько хорошо известно единственное истинное значение величины, а можно только сформулировать степень нашей уверенности в том, что оно известно. Таким образом, неопределенность измерения можно представить через степень уверенности. Такая неопределенность будет отражать неполноту знания об измеряемой величине. Понятие "уверенности" очень важно, так как оно перемещает метрологию в сферу, где результат измерения должен рассматриваться и численно определяться в терминах вероятностей, которые выражают степень доверия.

3.9 Все сказанное выше касается прямого измерения величины, которое встречается довольно редко. Так весы в ванной комнате могут преобразовывать измеренное растяжение пружины в оценку измеряемой величины - массы человека на весах. Соотношение между растяжением данной пружины и массой определяют с помощью калибровки (JCGM 200:2008 (VIM), словарная статья 2.39) весов.

3.10 Соотношение, подобное тому, что описано в 3.9, устанавливает правило преобразования численного значения некоторой величины в соответствующее значение измеряемой величины. Это правило обычно называют моделью измерений (JCGM 200:2008 (VIM), словарная статья 2.48) или просто моделью. На практике встречаются измерения разных видов, и им соответствуют разные правила преобразования или модели. Даже одному конкретному виду измерений может соответствовать несколько моделей. Так для бытовых измерений может быть достаточна простая модель (например, в виде прямо пропорциональной зависимости массы на весах от растяжения пружины). Тогда как для научных целей или на производстве для получения более точных результатов могут использоваться более сложные модели взвешивания, учитывающие дополнительные факторы, например выталкивающую силу воздуха. Как правило, определение измеряемой величины зависит от ряда других величин, таких как температура, влажность, смещение объекта, которые также необходимо измерять.

3.11 Если условия измерений несколько отличаются от заданных, то в величины, входящие в модель, должны быть внесены поправки, соответствующие значениям систематической погрешности (JCGM 200:2008 (VIM), словарная статья 2.17). Если поправку можно оценить, то соответствующую величину следует скорректировать на полученное значение оценки [см. JCGM 100:2008 (GUM) (3.2.4)]. Это внесет дополнительную неопределенность в результат измерения, даже если значение оценки, как это часто случается на практике, будет равно нулю. Примерами источников систематических погрешностей, возникающих при измерениях высоты, могут быть отклонение средства измерений от вертикали или отличие от предписанного значения температуры окружающей среды. Ни угол отклонения средства измерений, ни температуру окружающей среды нельзя узнать точно, но можно получить некоторую информацию о возможных значениях этих величин, например, что угол отклонения от вертикали не может превышать 0,001° или что температура окружающей среды во время измерения отличается от предписанной не более чем на 2 °C.

3.12 Величина, входящая в модель измерения, может зависеть от времени, например, если она отражает распад радионуклида с определенной скоростью. В этом случае соответствующая временная зависимость должна быть включена в модель, чтобы дать возможность соотнести измеряемую величину с временем проведения измерения.

3.13 Зачастую модель измерения предполагает использование помимо результатов наблюдений входящих в нее случайных величин также данных иной природы, в частности, физических констант, известных с некоторой точностью. Примерами таких констант могут служить физические характеристики материалов, например модуль упругости или удельная теплоемкость. Также в модель в качестве значений оценок величин могут быть включены данные, заимствованные из справочников, сертификатов о калибровке и других аналогичных источников.

3.14 Составляющие модели, необходимые для определения измеряемой величины, называют входными величинами модели измерений (JCGM 200:2008 (VIM), словарная статья 2.50). Саму модель, определяющую правило преобразования входных величин, часто называют функциональной зависимостью [см. JCGM 100:2008 (GUM) (4.1)]. Выходной величиной модели измерений (JCGM 200:2008 (VIM), словарная статья 2.51) является измеряемая величина.

3.15 Формально, связь выходной величины, обозначаемой Y, в отношении которой требуется получить информацию, с входными величинами, обозначаемыми , ..., , информация о которых доступна, часто представляют моделью [см. JCGM 100:2008 (GUM), (4.1.1)] в виде функции измерения (JCGM 200:2008 (VIM), словарная статья 2.49)

. (1)

3.16 В общем виде модель измерения (см. JCGM 200:2008 (VIM), примечание 1 к словарной статье 2.48) может быть представлена формулой

. (2)

Предполагается, что для модели, задаваемой формулой (2), существует способ вычисления Y по данным , ..., и что получаемое при этом значение Y единственно.

3.17 Истинные значения входных величин , ..., неизвестны. В подходе, принятом GUM, , ..., ассоциируют со случайными переменными (ISO 3534-1:2006, словарная статья 2.10) с соответствующими распределениями вероятностей [см. JCGM 100:2008 (GUM) (3.3.5), а также ISO 3534-1:2006, словарную статью 2.11]. Эти распределения, принимаемые на основе имеющихся знаний об , ..., , описывают вероятности нахождения истинных значений входных величин в разных интервалах. Иногда входные величины (все или некоторые) могут быть связаны между собой, и для их описания используют совместные распределения. В настоящем документе рассматриваются, преимущественно, независимые случайные переменные, однако полученные выводы могут быть легко обобщены и на случай взаимосвязанных величин.

3.18 Если из сертификатов, отчетов, документации изготовителей, анализа данных измерений и других источников известны значения оценок , ..., соответствующих входных величин , ..., , то ассоциированные с , ..., распределения вероятностей должны иметь значения , ..., в качестве своих математических ожиданий [см. JCGM 101:2008 (3.6), а также ISO 3534-1:2006, словарную статью 2.12]. Для каждого значения оценки i-й входной величины существует ассоциированная с ней стандартная неопределенность (JCGM 200:2008 (VIM), словарная статья 2.30), обозначаемая и определяемая как стандартное отклонение [см. JCGM 101:2008 (3.8), а также ISO 3534-1:2006, словарную статью 2.37] входной величины, ассоциированной с . Значение оценки понимают как наилучшее для данной входной величины в том смысле, что будет меньше, чем математическое ожидание квадрата отклонения от любого другого значения.

3.19 Принцип использования всей доступной информации для установления распределения вероятностей, характеризующих входящую в модель величину, справедлив как для каждой входной величины , так и для выходной величины Y. В последнем случае распределение вероятностей определяют на основе функциональной зависимости (1) или (2) и известных распределений вероятностей для . Данный способ получения распределения вероятностей для Y известен как трансформирование распределений [см. JCGM 101:2008 (5.2)].

3.20 Априорное знание об истинном значении выходной величины Y также может быть использовано соответствующим образом. Так в отношении измерений на домашних весах в ванной комнате априорными будут сведения, что масса человека на весах положительна, и что измеряют массу именно человека, а не, например, автомобиля. Учет такой дополнительной информации может помочь обоснованно выбрать распределение вероятностей для Y с меньшим стандартным отклонением, что, соответственно, даст меньшую стандартную неопределенность, ассоциированную со значением оценки Y ([2], [13], [24]).

4. Основные понятия и принципы

4.1 Основные понятия и принципы теории вероятностей, которые положены в основу концепции неопределенности измерения, изложенной в разделе 3, представлены в [4].

4.2 Неопределенность измерения определяют как (JCGM 200:2008 (VIM), словарная статья 2.26) "неотрицательный параметр, характеризующий рассеяние значений величины, приписываемых измеряемой величине на основании используемой информации".

Это определение согласуется с положениями, изложенными в 3.8, а также в 3.17 - 3.20.

4.3 При вычислении неопределенности используются два представления распределения вероятностей [см. JCGM 101:2008 (3.1), а также ISO 3534-1:2006, словарную статью 2.11] случайной переменной X:

- через функцию распределения [см. JCGM 101:2008 (3.2), а также ISO 3534-1:2006, словарную статью 2.7], дающую для любого значения ее аргумента вероятность того, что X меньше или равна этому значению;

- через функцию плотности вероятностей [см. JCGM 100:2008 (3.3), а также ISO 3534-1:2006, словарную статью 2.26], являющуюся производной от функции распределения.

4.4 Информацию о каждой входной величине в модели измерений, как правило, представляют в виде наилучшего значения оценки и ассоциированной с ней стандартной неопределенностью (см. 3.18). Если для любых i и j и связаны между собой (зависимы), то соответствующая информация должна быть отражена в виде меры тесноты этой связи, выражаемой через ковариацию (ISO 3534-1:2006, словарная статья 2.43) или корреляцию случайных переменных. Если и не связаны между собой (независимы), то соответствующая ковариация будет равна нулю.

4.5 Оценивание данных измерения в контексте модели измерений (1) или (2) - это использование имеющейся информации о входных величинах , ..., для получения ассоциированных с ними распределений вероятностей и последующего вывода распределения вероятностей, ассоциированного с выходной величиной Y. Последнее распределение, таким образом, можно рассматривать как результат оценивания данных измерения.

4.6 Информация о входной величине в модели измерений может быть получена из повторных показаний (оценивание неопределенности по типу A) [см. JCGM 100:2008 (GUM) (4.2), а также JCGM 200:2008 (VIM), словарную статью 2.28] или из обоснованных суждений на основе имеющихся данных о возможных значениях этой величины (оценивание неопределенности по типу B) [см. JCGM 100:2008 (GUM) (4.3), а также JCGM 200:2008 (VIM), словарную статью 2.29].

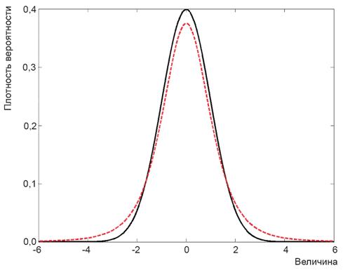
4.7 При оценивании неопределенности по типу A (JCGM 200:2008 (VIM), словарная статья 2.28) часто делают предположение, что распределение, наилучшим образом соответствующее входной величине X в условиях имеющихся повторных независимых показаний, это распределение Гаусса (ISO 3534-1:2006, словарная статья 2.50). В таком случае X характеризуется математическим ожиданием, наилучшей оценкой которого является среднее арифметическое показаний, и стандартным отклонением, равным стандартному отклонению среднего арифметического. Если неопределенность оценивают по малому числу показаний (являющихся мгновенными реализациями величины, распределенной по нормальному закону), то соответствующим распределением будет t-распределение (ISO 3534-1:2006, словарная статья 2.53). На рисунке 1 показаны плотности вероятности для распределения Гаусса (сплошная линия) и t-распределения с четырьмя степенями свободы (пунктирная линия). Сказанное выше не будет справедливо, если показания нельзя рассматривать как независимые.

4.8 При оценивании неопределенности по типу B (JCGM 200:2008 (VIM), словарная статья 2.29) часто единственной доступной информацией является то, что X лежит в определенном интервале [a, b]. Информация такого вида может быть формализована в виде прямоугольного распределения вероятностей [см. JCGM 100:2008 (GUM) (4.3.7), а также ISO 3534-1:2006, словарную статью 2.60] с границами a и b (рисунок 2). Если бы о рассматриваемой величине была доступна информация иного рода, то распределение вероятностей должно было быть согласовано с этой имеющейся информацией [26].

4.9 После того, как составлена модель измерения, и входные величины , ..., описаны через соответствующие распределения вероятностей, распределение вероятностей для измеряемой величины Y полностью определено (см. также 3.19). Математическое ожидание Y используется в качестве оценки измеряемой величины, а стандартное отклонение Y - в качестве стандартной неопределенности, ассоциированной с этой оценкой.

Рисунок 1 - Распределение Гаусса (сплошная линия) и t-распределение с четырьмя степенями свободы (пунктирная линия) (для случайной переменной размерности D размерность плотности распределения будет )

Рисунок 2 - Прямоугольное распределение на интервале [-0,10; 0,10] (для случайной переменной размерности D размерность плотности распределения будет )

4.10 На рисунке 3 показано трансформирование двух разных прямоугольных распределений вероятностей для входных величин и в симметричное трапецеидальное распределение вероятностей для измеряемой величины Y в случае аддитивной функции измерения .

Рисунок 3 - Трансформирование распределений для аддитивной функции измерения при прямоугольных распределениях вероятностей для входных величин

4.11 Часто необходимо знать интервал, содержащий Y с заданной вероятностью. Такой интервал, называемый интервалом охвата (JCGM 200:2008 (VIM), словарная статья 2.36), может быть получен из распределения вероятностей для Y. Заданную вероятность называют вероятностью охвата (JCGM 200:2008 (VIM), словарная статья 2.37).

4.12 Для установленной вероятности охвата существует множество интервалов охвата, среди которых различают:

a) вероятностно симметричный интервал охвата [см. JCGM 101:2008 (3.15)], для которого вероятности (в сумме равные единице за вычетом вероятности охвата) расположения значения величины справа или слева от интервала равны;

b) наименьший интервал охвата [см. JCGM 101:2008 (3.16)], протяженность которого является наименьшей из всех интервалов охвата, имеющих ту же вероятность охвата.

4.13 На рисунке 4 показано усеченное и масштабированное распределение Гаусса (в виде спадающей кривой) с граничными точками наименьшего (сплошные вертикальные линии) и вероятностно симметричного (пунктирные вертикальные линии) 95%-ных интервалов охвата для величины, с которой ассоциировано это распределение. Распределение асимметрично, поэтому указанные два интервала охвата различаются между собой (особенно заметно различие в граничных точках справа). Левая граничная точка наименьшего интервала охвата точно совпадает с нулем - наименьшим возможным значением для этой величины. Для данного примера вероятностно симметричный интервал охвата на 15% протяженней наименьшего интервала охвата.

Рисунок 4 - 95%-ные интервалы охвата: наименьший (сплошные вертикальные линии) и вероятностно симметричный (пунктирные вертикальные линии) для величины с усеченным масштабированным распределением Гаусса (для случайной переменной размерности D размерность плотности распределения будет )

4.14 Коэффициенты чувствительности , ..., [см. JCGM 100:2008 (GUM) (5.1.3)] показывают, как на значение оценки y величины Y будут влиять небольшие изменения в значениях оценок , ..., входных величин , ..., . Для функции измерения (1) ci равен частной производной первого порядка от f по в точке = , = и т.д. Если функция измерения линейна:

, (3)

то при независимых , ..., изменение значения на приведет к изменению значения y на . То же самое будет справедливо в некотором приближении для большинства моделей, описываемых формулами (1) и (2) (см. 7.2.4). Сравнение значений для разных i позволяет оценить вклад каждой входной величины в стандартную неопределенность u(y), ассоциированную с y.

4.15 Стандартную неопределенность u(y), ассоциированную со значением оценки y выходной величины Y, получают суммированием не самих значений , а их квадратов, т.е.

. (4)

Формула (4) будет справедлива в некотором приближении для большинства моделей измерения, определяемых формулами (1) и (2).

4.16 <1> Если входные величины Xi взаимозависимы, то формулу (4) следует дополнить слагаемыми, содержащими ковариации [см. JCGM 100:2008 (GUM) (5.2.2)], которые могут увеличить или уменьшить значение u(y).

<1> Пункт 4.17, относящийся к использованию десятичного разделителя только в отношении англоязычной версии документа, исключен.

5. Этапы оценивания неопределенности

5.1 Основные этапы оценивания неопределенности включают в себя формулировку измерительной задачи и вычисления. Последнее включает в себя трансформирование распределений вероятностей и получение окончательного результата.

5.2 Этап формулировки измерительной задачи (см. раздел 6) включает в себя:

a) определение выходной величины Y (измеряемой величины);

b) выявление входных величин, от которых зависит Y;

c) составление модели измерения, определяющей соотношение Y с входными величинами;

d) приписывание распределений вероятностей (нормального, прямоугольного и т.д.) входным величинам (или совместного распределения вероятностей входным величинам, не являющимся независимыми) на основе имеющейся информации.

5.3 Этап вычислений (см. раздел 7) состоит из трансформирования по данной модели измерения распределений вероятностей для входных величин в распределение вероятностей для выходной величины Y и использования этого распределения для получения:

a) математического ожидания Y, принимаемого как значение оценки y величины Y;

b) стандартного отклонения величины Y, принимаемого как стандартная неопределенность u(y), ассоциированная с y [см. JCGM 100:2008 (GUM) (E.3.2)];

c) интервала охвата, содержащего Y с заданной вероятностью охвата.

6. Составление модели измерений

6.1 Этап формулировки измерительной задачи при оценивании неопределенности включает в себя разработку модели измерений, учет соответствующих поправок и других воздействий, если это необходимо. В некоторых областях измерений выполнение данного этапа может представлять сложность. Он также включает в себя использование доступной информации для описания входных величин модели через распределения вероятностей. В [6] приведено руководство по разработке и применению модели измерений. Приписывание распределений вероятностей входным величинам модели измерений рассмотрено в JCGM 101:2008 и в [5].

6.2 Вначале составляют модель, связывающую выходную величину с входными величинами. В некоторых задачах выходных величин может быть более одной (см. 6.5). Модель формируют на основе теоретических и/или эмпирических знаний с учетом специфики измерительной задачи (например, измерения электрических параметров, линейных размеров, температуры, массы). Затем модель дополняют другими входными величинами, посредством которых описывают эффекты случайного и систематического влияния на результат измерения. Руководство по учету дополнительных входных величин приведено в [6].

6.3 Класс моделей, рассматриваемых в [6], более широк, чем в GUM, и включает в себя классификацию по следующим признакам:

a) по виду входящих в модель величин: действительные или комплексные;

b) по виду модели: в виде функции измерений [формула (1)] или в общем виде [формула (2)];

c) по числу выходных величин: одна или более (см. 6.5).

Комплексные величины, указанные в перечислении a), используются, главным образом, в измерениях электрических величин, в акустике и оптике. Для функции измерений, указанной в перечислении b), выходная величина выражается непосредственно в виде формулы, в которую входят величины, в то время как модель измерения в общем виде представляет собой уравнение, которое необходимо решить относительной выходной величины (см. 6.5).

6.4 Разнообразные варианты применения [6] проиллюстрированы на примерах из разных областей метрологии. Кроме того, в этом документе приведено руководство по разным аспектам численного анализа в связи с рассматриваемыми примерами. Документ также включает в себя рассмотрение вопросов замены переменных таким образом, чтобы устранить или уменьшить корреляцию входящих в модель величин.

6.5 В GUM и JCGM 101:2008 рассматриваются, в основном, модели измерений в виде функций измерения, в которых есть только одна выходная величина Y. Однако существует множество измерительных задач, в которых необходимо рассматривать несколько выходных величин , ..., , зависящих от одних и тех же входных величин. Приведенные в [6] примеры включают в себя случаи, когда a) выходная величина является комплексной и представлена в виде действительной и мнимой частей (или амплитуды и фазы); b) выходные величины представляют собой параметры калибровочной характеристики; c) выходные величины описывают геометрию поверхности объекта. Хотя подобные вопросы затрагиваются в GUM при рассмотрении примеров одновременного измерения активного и реактивного сопротивления [JCGM 100:2008 (GUM) (раздел H.2)] и калибровки термометра [JCGM 100:2008 (GUM) (раздел H.3)], специальному анализу в GUM они не подвергаются.

6.6 Этап формулировки измерительной задачи при оценивании неопределенности для случая с более чем одной измеряемой величиной мало отличается от аналогичного этапа для модели измерения с единственной измеряемой величиной. Он включает в себя разработку модели и приписывание распределений вероятностей входным величинам на основе доступной информации. Как и для модели измерений с одной выходной величиной, существует оценка каждой входной величины и стандартной неопределенности, ассоциированные с этой оценкой (и возможные ковариации, ассоциированные с парами оценок). Но так как в общем случае каждая выходная величина зависит от всех входных величин, то в дополнение к определению оценок этих выходных величин и ассоциированных с ними стандартных неопределенностей необходимо будет оценивать ковариации, ассоциированные со всеми парами выходных оценок.

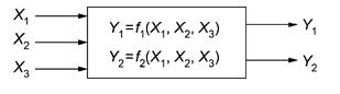
6.7 Эквивалентом функции измерения (1) для произвольного числа m выходных величин являются формулы

, , (5)

для m функций , ..., . Схематично формула (5) изображена рисунком 5.

Рисунок 5 - Функция измерения с тремя входными величинами , и и двумя выходными величинами и

6.8 В [6] рассматриваются также модели многоступенчатого измерения, в которых выходные величины предшествующих ступеней становятся входными величинами для последующих ступеней. Типичным примером модели многоступенчатого измерения может служить построение и применение калибровочной характеристики (JCGM 200:2008 (VIM), словарная статья 2.39) (см. рисунок 6):

a) параметры калибровочной характеристики оценивают, сравнивая размеры единицы измерения, переданные от эталонов, с соответствующими показаниями измерительной системы. Стандартные неопределенности, ассоциированные с полученными значениями измеряемой величины и значениями показаний, являются источниками стандартных неопределенностей для значений оценок параметров калибровочной характеристики и, в общем случае, ковариаций для оценок этих параметров;

b) полученное измерительной системой показание по калибровочной характеристике преобразуют в значение измеряемой величины. Для этого используется функция, обратная калибровочной характеристике. Стандартные неопределенности и ковариации, ассоциированные со значениями оценок параметров калибровочной характеристики, вместе со стандартной неопределенностью, ассоциированной со значением очередного показания, являются источниками для расчета стандартной неопределенности, ассоциированной с полученным значением измеряемой величины.

7. Трансформирование распределений и вычисление значений оценок

7.1 Общие положения

7.1.1 Этап вычислений включает в себя процедуру, известную как трансформирование распределений [см. JCGM 101:2008, (5.2)], которая может быть реализована следующими способами:

a) в виде используемого в GUM закона трансформирования неопределенностей с описанием случайной переменной, ассоциированной с выходной величиной Y, распределением Гаусса или t-распределением (см. 7.2);

Рисунок 6 - Модель двухступенчатого измерения, включающего построение калибровочной характеристики и ее применение к показаниям измерительной системы

b) в виде аналитического вывода формы распределения вероятностей для Y методами математического анализа (см. 7.3);

c) с помощью метода Монте-Карло, в котором приближенную функцию распределения для Y получают численным моделированием, генерируя случайные значения из распределений вероятностей для входных величин и преобразуя их в значения измеряемой величины посредством модели измерений (см. 7.4).

7.1.2 Для конкретной задачи оценивания неопределенности измерений может быть использован любой из способов, перечисленных в 7.1.1 (или какой-нибудь иной способ), причем способ a) является в большинстве случаев приближенным, способ b) - точным, а способ c) дает решение с числовой точностью, которую можно контролировать.

7.1.3 Применение способов a) и c) к функциям измерения для общеупотребительных моделей измерения с любым числом входных величин рассматривается в 7.5.

7.2 Способ расчета неопределенности по GUM

7.2.1 Способ оценивания неопределенности по GUM [см. JCGM 100:2008 (GUM) (3.4.8) и (5.1)] (схематично показанный на рисунке 7) для получения значения оценки y выходной величины Y и ассоциированной с ней стандартной неопределенности u(y) использует:

a) наилучшие значения оценок входных величин ;

b) стандартные неопределенности , ассоциированные с ;

c) коэффициенты чувствительности (см. 4.14).

7.2.2 Способ, указанный в 7.2.1, несколько видоизменяется [см. JCGM 100:2008 (GUM) (5.2)], если входные величины являются взаимозависимыми (на рисунке 7 такая модификация не показана). Если случайная переменная, ассоциированная с выходной величиной Y, имеет распределение Гаусса, то это позволяет построить интервал охвата для Y с заданной вероятностью охвата [см. JCGM 100:2008 (GUM) (раздел G.2)]. Если каждому соответствует конечное число степеней свободы [ISO 3534-1:2006, словарная статья 2.54], то по ним можно рассчитать число эффективных степеней свободы для u(y), а выходную величину Y ассоциировать с t-распределением.

7.2.3 Для многих измерительных ситуаций способ расчета неопределенности по GUM [см. JCGM 100:2008 (GUM) (раздел 5)] позволяет получить достоверные результаты. Если функция измерения линейна относительно входных величин и эти величины распределены по нормальному закону, то способ оценивания неопределенности по GUM дает точные результаты [см. JCGM 101:2008 (5.7)]. Но даже если указанные условия не соблюдаются, данный способ может достаточно хорошо работать на практике [см. JCGM 101:2008 (5.8)].

7.2.4 Однако существуют измерительные ситуации, при которых способ оценивания неопределенности по GUM нельзя считать удовлетворительным. Так будет, в том числе, если:

a) функция измерения нелинейна;

b) распределения вероятностей для входных величин асимметричны;

c) , ..., , дающие вклад в неопределенность (см. 4.14), не являются величинами приблизительно одного порядка [см. JCGM 100:2008 (GUM) (G.2.2)];

Рисунок 7 - Способ расчета неопределенности по GUM (левая часть рисунка, выделенная пунктирной линией, относится к получению значения оценки y и ассоциированной с ней стандартной неопределенности u(y), остальная - к получению интервала охвата для Y)

d) распределение вероятностей для выходной величины либо асимметрично, либо существенно отличается от нормального распределения или t-распределения.

Иногда заранее трудно решить, позволяет ли данная измерительная задача применять способ оценивания неопределенности по GUM.

7.2.5 Использование способа оценивания неопределенности по GUM усложняется при нахождении частных производных (или их численных приближений) для сложной модели измерений, что является необходимым для применения закона трансформирования неопределенностей, особенно, если необходимо рассчитывать производные высших порядков [см. JCGM 100:2008 (GUM) (раздел 5)]. В таких случаях более подходящим и удобным для применения является метод Монте-Карло (см. 7.4).

7.3 Аналитический вывод

7.3.1 Аналитические методы, с помощью которых может быть получена алгебраическая формула для распределения вероятностей выходной величины, не содержат никаких приближений, но могут быть применены только в сравнительно простых случаях. В [8], [12] показаны возможности применения таких методов. В число измерительных задач, для которых возможен аналитический вывод, входят те, где выходная величина является линейной функцией входных величин [см. формулу (3)], которые все распределены либо по нормальному закону, либо по прямоугольному закону в одних и тех же границах. Пример для двух входных величин (N = 2) с прямоугольными распределениями вероятности, которые дают трапецеидальное распределение выходной величины (см. [10]), показан на рисунке 3.

7.3.2 Часто аналитический вывод возможен для случаев, когда модель измерения включает в себя только одну входную величину (N = 1) (см. [25, с. 57 - 61]). Такие случаи возникают при преобразовании единиц измерения, например, из линейных в логарифмические (см. [10, с. 95 - 98]).

7.3.3 Преимуществом аналитического вывода является то, что он дает возможность понять суть измерения, показывая зависимость распределения вероятностей выходной величины от параметров распределений вероятностей входных величин.

7.4 Метод Монте-Карло

7.4.1 JCGM 101:2008 устанавливает подробное руководство по методу Монте-Карло как способу трансформирования распределений [см. JCGM 101:2008 (5.9)]. Для метода Монте-Карло существует меньше ограничений по применению, чем для способа оценивания неопределенности по GUM [см. JCGM 101:2008 (5.10)]. Схематично метод показан на рисунке 8. В JCGM 101:2008 приведены примеры сравнения метода Монте-Карло со способом оценивания неопределенности по GUM [см. JCGM:2008 101 (раздел 9)].

7.4.2 JCGM 101 устанавливает адаптивную процедуру для метода Монте-Карло, в которой число испытаний определяется автоматически с использованием меры сходимости всего процесса в целом [см. JCGM 101:2008 (7.9)].

Рисунок 8 - Оценивание неопределенности методом Монте-Карло (левая часть рисунка, выделенная пунктирной линией, относится к получению значения оценки y и ассоциированной с ней стандартной неопределенности u(y), остальная - к получению интервала охвата для Y)

7.4.3 В JCGM 101:2008 показано, как метод Монте-Карло может быть применен, чтобы решить, приемлемо ли применение способа оценивания неопределенности по GUM для каждого конкретного случая [см. JCGM 101:2008 (раздел 8)].

7.5 Модели измерения с произвольным числом выходных величин

7.5.1 В случае измерений с использованием моделей с произвольным числом выходных величин способы оценивания ассоциированных с ними неопределенностей и ковариаций, установленные как в GUM, так и в JCGM 101:2008, требуют соответствующего обобщения. Суть такой модификации показана в GUM на ряде примеров [см. JCGM 100:2008 (GUM) (F.1.2.3)].

7.5.2 В [5] установлено, что закон трансформирования неопределенностей, составляющий основное содержание способа оценивания неопределенности по GUM для модели измерения с одной выходной величиной, может быть кратко представлен в матричной форме. Преимущество матричного представления состоит в том, что оно удобно для программной реализации метода, а также легко допускает обобщение на другие модели измерения.

7.5.3 Указанное обобщение использовано в [5] для случая функции измерения с произвольным числом выходных величин. Аналогичное обобщение рассматривается в указанном документе и для случая модели измерения, представленной в общем виде (см. 3.16).

7.5.4 Документ [5] также рассматривает применение для модели измерения с произвольным числом выходных величин метода Монте-Карло. В нем дается вывод распределений вероятностей дискретного вида для выходных величин. На основе этих распределений получены формулы для значений оценок выходных величин, стандартных неопределенностей, ассоциированных с этими оценками, и ковариаций, ассоциированных с парами этих оценок.

7.5.5 Требования к представлению результата измерения могут включать в себя, помимо указания значений оценок выходных величин вместе с ассоциированными стандартными неопределенностями и ковариациями, указание области, содержащей выходные величины с заданной вероятностью (охвата). Такие области естественно было бы рассматривать как обобщения для вероятностно симметричного интервала охвата и наименьшего интервала охвата. Но если для наименьшего интервала охвата его пространственный аналог существует (хотя его построение и сопряжено со значительными трудностями), то этого нельзя сказать в отношении области, аналогичной вероятностно симметричному интервалу охвата, которая не может быть определена единственным образом.

7.5.6 В ряде случаев целесообразно указывать приближенную область охвата, имеющую простую геометрическую форму. С этой точки зрения рассматриваются две формы области охвата. Первая вытекает из ассоциирования выходных величин с совместным распределением Гаусса, например, на основе использования центральной предельной теоремы [см. JCGM 100:2008 (GUM) (раздел G.2)]. Тогда наименьшая область охвата будет иметь вид многомерного эллипсоида. Другой формой является многомерный параллелепипед. В [5] приведены способы построения наименьших областей охвата указанных двух форм.

8. Применение неопределенности измерения при оценке соответствия

8.1 Оценка соответствия - важный аспект управления качеством производства, метрологического надзора, проверки соответствия требованиям безопасности и санитарным нормам. Так при контроле качества деталей на производстве принимают решения о соответствии деталей техническим условиям. Аналогичные вопросы возникают при проверке соответствия законодательно установленным нормативам (например, по выбросам, уровню радиации, содержанию химических веществ, наличию следов допинга). Руководство, в котором рассматриваются подобные вопросы, приведено в [7] (см. также [18]).

8.2 Измерение является неотъемлемой частью оценки соответствия, когда необходимо решить, соответствует ли выходная (измеряемая) величина установленному требованию. Для единственной величины такое требование обычно принимает вид границ, определяющих интервал допустимых значений величины. При отсутствии неопределенности полученное значение измеряемой величины, лежащее в пределах границ, считают соответствующим требованиям, в противном случае - несоответствующим. Наличие неопределенности измерения влияет на процедуру контроля и делает необходимым установление баланса рисков производителя и потребителя.

8.3 Возможные значения контролируемой величины Y представляют распределением вероятностей. Можно рассчитать вероятность, с которой Y соответствует установленным требованиям при данном распределении вероятностей и заданных границах допустимых значений.

8.4 Из-за неполного знания величины Y (что отражает ее распределение вероятностей) существует риск ошибочного решения при определении соответствия установленным требованиям. Ошибочные решения бывают двух типов: когда значение величины признано соответствующим требованиям, но на самом деле им не является, и когда значение величины признано несоответствующим, но на самом деле установленным требованиям удовлетворяет. Связанные с этим риски относят, соответственно, к риску потребителя и риску производителя (см. [7]).

8.5 Риски ошибочного решения в части соответствия или несоответствия установленным требованиям можно уравновесить, выбирая интервал приемки для полученных значений измеряемой величины таким образом, чтобы минимизировать потери, связанные с ошибочными решениями [19]. В [7] рассматривается задача вычисления вероятности соответствия и вероятностей ошибочных решений указанных двух типов для заданных распределений вероятностей и заданных границ интервала приемки. Выбор границ интервала приемки зависит от последствий принятия ошибочных решений.

8.6 Хотя сказанное в 8.3 и 8.5 справедливо для любых распределений вероятностей, в [7], в основном, рассматривается случай нормального распределения как наиболее характерного для практики.

9. Применение метода наименьших квадратов

9.1 Руководство по применению метода наименьших квадратов (известного также как подгонка методом наименьших квадратов) для задач по оцениванию данных в метрологии представлено в [3]. В таких задачах часто используется некоторое теоретическое соотношение между независимой и зависимой переменными. Это соотношение составляет основу для подгонки кривой под имеющиеся данные посредством подбора параметров теоретической зависимости. Входные величины в соответствующей модели измерений - это зависимые и независимые переменные, для которых получены данные измерений. Выходные величины - это искомые параметры зависимости. Способ, которым выходные величины получают из входных величин посредством метода наименьших квадратов, определяет модель измерения.

9.2 Применительно к калибровке (см. 6.8) значение измеряемой величины независимой переменной в большинстве случаев получают от эталона. Значение зависимой переменной будет показанием, полученным измерительной системой для соответствующего значения независимой переменной. Установленная в [3] процедура подгонки кривой, частным случаем которой является калибровочная характеристика, получаемая в процессе калибровки, является обобщением обычного метода наименьших квадратов.

9.3 Измерительная задача состоит в том, чтобы оценить параметры (а иногда и число этих параметров) по данным, представляющим собой набор пар из полученного значения измеряемой величины и соответствующего показания. Эти пары вместе с ассоциированными стандартными неопределенностями и, когда уместно, ковариациями, составляют исходные данные для процедуры подгонки.

9.4 Типичные измерительные задачи, к которым может быть применено руководство [3], включают в себя: a) подгонку линейных и нелинейных зависимостей, включая случай неточно известных значений независимой переменной; b) выбор модели из некоторого класса для оценки параметров физического процесса. Применение [3] не ограничено в самом строгом смысле задачами подгонки кривой. Это руководство может также быть использовано для обработки данных, например, в задачах свертки [21], согласования фундаментальных констант [22] и оценивания данных ключевых сличений [9].

9.5 Задачи, указанные в 9.4, перечисление a), предполагают, что после оценивания методом наименьших квадратов параметров калибровочной характеристики и ассоциированных с ними стандартных неопределенностей и ковариаций измерительная система будет далее использоваться для проведения измерения, в ходе которого оценки параметров калибровочной характеристики вместе со значением полученного показания используют для оценивания измеряемой величины. Стандартную неопределенность, ассоциированную со значением оценки измеряемой величины, вычисляют с использованием стандартных неопределенностей и ковариаций для параметров калибровочной характеристики и стандартной неопределенностью, ассоциированной с показанием измерительной системы.

9.6 В [3] особо подчеркивается, что постановку и решение измерительной задачи методом наименьших квадратов следует осуществлять с учетом структуры неопределенности, т.е. с учетом стандартных неопределенностей для зависимых и независимых переменных и ковариаций для пар этих переменных.

9.7 Задачи, указанные в 9.4, перечисления a) и b), редко предполагают подгонку к значениям только одной выходной величины. Чаще случается так, что выходных величин несколько, поэтому соответствующие математические выражения удобнее представлять в матричной форме. В [3] матричный формализм использован максимально широко, что облегчает программирование алгоритма вычислений и соответствует потребностям практики измерений (см. также 7.5).

Приложение А
(справочное)

ИСПОЛЬЗУЕМЫЕ СОКРАЩЕНИЯ

В таблице А.1 представлены сокращения, используемые в настоящем документе.

Таблица А.1

Сокращение Расшифровка
МБМВ Международное бюро мер и весов
GUM Руководство по выражению неопределенности измерения
МЭК Международная электротехническая комиссия
МФКХ Международная федерация клинической химии и лабораторной медицины
ИЛАК Международное сотрудничество по аккредитации лабораторий
ИСО Международная организация по стандартизации
ИЮПАК Международный союз теоретической и прикладной химии
ИЮПАП Международный союз теоретической и прикладной физики
JCGM Объединенный комитет по руководствам в метрологии
ИСО/ТАГ 4 Техническая консультативная группа по метрологии ИСО
VIM Международный словарь по метрологии. Основные и общие понятия и связанные с ними термины

Приложение ДА
(справочное)

СВЕДЕНИЯ О СООТВЕТСТВИИ ССЫЛОЧНЫХ МЕЖДУНАРОДНЫХ СТАНДАРТОВ И ДОКУМЕНТОВ МЕЖГОСУДАРСТВЕННЫМ СТАНДАРТАМ

Таблица ДА.1

Обозначение ссылочного международного стандарта (документа) Степень соответствия Обозначение и наименование соответствующего межгосударственного стандарта
JCGM 100:2008 IDT ГОСТ 34.100.3-2017 "Неопределенность измерения. Часть 3. Руководство по выражению неопределенности измерения"
JCGM 101:2008 IDT ГОСТ 34.100.3.1-2017 "Неопределенность измерения. Часть 3. Руководство по выражению неопределенности измерения. Дополнение 1. Трансформирование распределений с использованием метода Монте-Карло"
JCGM 200:2008 - <*>
ISO 3534-1:2006 - <*>
ISO 3534-2:2006 - <*>
ISO 3534-3:1999 - <*> <1>

<*> Соответствующий межгосударственный стандарт отсутствует. До его принятия рекомендуется использовать перевод на русский язык данного международного стандарта (документа).

<1> В Российской Федерации данный международный стандарт был введен как Р 50.1.040-2002 "Статистические методы. Планирование экспериментов. Термины и определения".

Примечание - В настоящей таблице использовано следующее условное обозначение степени соответствия стандартов:

- IDT - идентичные стандарты.

Приложение ДБ
(справочное)

ДОПОЛНИТЕЛЬНЫЕ ЗАМЕЧАНИЯ К МЕЖГОСУДАРСТВЕННЫМ СТАНДАРТАМ, ВВОДЯЩИМ МЕЖДУНАРОДНЫЕ РУКОВОДСТВА В ОБЛАСТИ НЕОПРЕДЕЛЕННОСТИ ИЗМЕРЕНИЯ

ДБ.1 Общие замечания к серии межгосударственных стандартов ГОСТ 34.100

ДБ.1.1 Серия межгосударственных стандартов ГОСТ 34.100 вводит документы, разрабатываемые рабочей группой JCGM/WG 1 "Рабочая группа по выражению неопределенности измерения", входящей в состав объединенного комитета JCGM "Объединенный комитет по руководствам в метрологии" при Международном бюро мер и весов (см. "Предисловие к международному документу ISO/IEC Guide 98.1:2009" настоящего стандарта).

ДБ.1.2 Документы, разрабатываемые JCGM/WG 1, устанавливают общий единообразный подход к оценке точности измерений через концепцию неопределенности измерений и включают в себя как методы вычисления неопределенности измерения в разных измерительных задачах, так и учет неопределенности измерения при применении результатов измерения.

ДБ.1.3 Концепция неопределенности измерения разработана для выражения качества результата измерения взамен концепции погрешностей измерений с целью придания методической корректности используемым теоретико-вероятностным моделям.

В концепции погрешностей измерений результат измерения представляют в виде суммы истинного значения и погрешности, которая, в свою очередь, является суммой систематической и случайной составляющих. При этом для оценки точности измерения обычно используют один из двух способов: консервативный (оценка сверху) и теоретико-вероятностный. Выбор того или иного способа оценивания определяется конкретной измерительной задачей и дальнейшим использованием результата измерения. Каждый из этих подходов имеет ограничения в применении.

ДБ.1.4 При консервативном способе оценивания границы суммарной погрешности определяются арифметическим суммированием границ ее составляющих. Главный недостаток консервативного способа - слишком широкие границы суммарной погрешности, особенно в случае большого числа составляющих. Консервативный подход может найти применение в измерительных задачах, где необходимо обеспечить нахождение истинного значения измеряемой величины в установленных границах наверняка.

ДБ.1.5 При теоретико-вероятностном подходе для описания результата измерения используется случайная переменная, математическое ожидание которой совпадает с истинным значением измеряемой величины или смещено относительно него на величину систематической погрешности. Это дает возможность в условиях ограниченного числа повторных наблюдений измеряемой величины строить для нее точечные и интервальные оценки.

В теории погрешностей использована частотная интерпретация вероятности, наблюдения рассматриваются как выборка из заданной генеральной совокупности, оценки измеряемой величины и характеристик погрешности являются статистиками. В качестве интервальной оценки используется построенный на основе статистик доверительный интервал, соответствующий заданной доверительной вероятности.

Главным ограничением использования частотного подхода является невозможность его корректного распространения на задачу оценивания систематических погрешностей. Подход, основанный на "рандомизации" систематических погрешностей, применим лишь в отдельных случаях. В результате в рамках частотного подхода невозможно указать в общем виде правило построения доверительного интервала погрешности, особенно при наличии нескольких влияющих факторов, каждый из которых может описываться своей генеральной совокупностью и для которых могут быть получены свои выборки наблюдений. При отсутствии строгих математических методов метрологам часто приходилось обращаться к инженерным (эмпирическим) процедурам определения доверительных интервалов без оценки качества получаемых результатов <1>.

<1> Примером такой инженерной процедуры является способ оценивания доверительных границ погрешности в РМГ 43-2001 "Применение "Руководства по выражению неопределенности измерений".

ДБ.1.6 Введение в метрологическую практику концепции неопределенности измерения "Руководством по выражению неопределенности измерения (GUM)", опубликованным в 1993 г. (см. "Предисловие к международному документу ISO/IEC Guide 98.1:2009" настоящего стандарта), явилось попыткой дать математически строгий единый подход к оценке составляющих неопределенности, обусловленных как случайными, так и систематическими факторами, при заданных условиях измерительной задачи. Однако GUM не смог в полной мере решить эту задачу, он появился как внутренне противоречивый документ, использующий одновременно частотную и байесовскую концепции вероятности. Единая процедура вывода, наиболее корректно и последовательно описанная в JCGM 101:2008, основана на отказе от частотной интерпретации вероятности при оценке точности измерения в пользу субъективного представления о вероятности. Если в частотном подходе понятие случайной переменной использовано для описания результата/погрешности измерения, то в субъективном подходе случайная переменная использована для описания возможных значений измеряемой величины. При этом получение распределения вероятностей, ассоциированного с измеряемой величиной, осуществляется на основе:

- составления для данной измерительной задачи модели измерений, связывающей измеряемую величину (выходную величину) со всеми значимыми влияющими величинами (входными величинами модели);

- приписывания входным величинам распределений вероятностей (в общем случае, совместных), исходя из имеющейся информации об этих величинах и их наблюдений (при наличии);

- преобразования совместного распределения входных величин в распределение выходной величины согласно правилам преобразования случайных переменных.

В отличие от теории погрешностей (на основе частотного подхода) концепция неопределенности (на основе субъективной вероятности) не имеет принципиальных ограничений в получении окончательного результата измерения в виде функции распределения, ассоциированной с измеряемой величиной, что позволяет вычислить интервал вероятности (охвата) для любой заданной вероятности. Однако во многих измерительных задачах аналитическое решение задачи преобразования плотностей вероятностей невозможно. В этом случае точное решение (в пределах точности вычислений) всегда может быть получено числовым методом Монте-Карло (см. JCGM 101:2008).

ДБ.1.7 При наличии выборки наблюдений одной или нескольких входных величин (например, показываемой величины - см. JCGM 104:2009, пункт 3.2) входное распределение для этой величины получают применением теоремы Байеса. Поэтому переход от концепции погрешностей к концепции неопределенности может рассматриваться как переход от частотного (объективного) подхода в интерпретации вероятностей к байесовскому (субъективному).

Примечание - Существует широкий круг измерительных задач, в которых получают только одно наблюдение для входной величины. Однако и в этом случае возможно формальное применение теоремы Байеса, поэтому концепцию неопределенности измерения можно связывать с байесовским подходом без потери общности.

ДБ.1.8 Важными характеристиками результатов измерений в обоих подходах являются интервальные оценки, которые, однако, имеют разное содержание. В частотном подходе это доверительный интервал, неявно предполагающий возможность проведения неограниченной серии измерений и гарантирующий накрытие истинного значения измеряемой величины в заданной доле p таких измерений. В байесовском подходе это интервал охвата, содержащий с вероятностью q значение измеряемой величины.

Примечание 1 - Часто, задавая p = q, пытаются провести количественное сопоставление получаемого доверительного интервала с интервалом охвата. Однако необходимо иметь в виду, что подобные попытки некорректны ввиду сопоставления разных величин.

Примечание 2 - Встречающееся в литературе утверждение, что оба подхода дают одинаковые интервальные оценки, несмотря на их разную интерпретацию, в общем случае неверно. Равенство оценок имеет место только в отдельных измерительных задачах, хотя к ним, например, относится часто встречающийся случай, когда можно обоснованно предположить наличие одной доминирующей влияющей величины, распределенной по нормальному закону. Для данной задачи, действительно, доверительный интервал (наименьший) совпадет с интервалом охвата (наименьшим), поскольку центральная статистика, используемая для построения доверительного интервала, подчиняется тому же t-распределению, которое после операций сдвига и масштабирования дает апостериорное распределение для измеряемой величины (при условии задания неинформативных априорных распределений для математического ожидания и дисперсии нормального распределения) в байесовском подходе.

ДБ.1.9 Разница между частотным и байесовским подходами наглядно проявляется в том, насколько в рамках данного подхода легко получить ту или иную характеристику результата измерения. Частотный подход основан на получении оптимальных точечных оценок (статистик), по которым потом можно построить (не всегда) доверительный интервал. Распределение случайной погрешности, характеризующей качество измерений, может быть получено только в отдельных частных случаях. В байесовском подходе ситуация противоположная. В первую очередь, получают распределение вероятностей случайной величины, ассоциированной с измеряемой величиной. На его основе всегда есть возможность построить интервал охвата. Точечную оценку получают из распределения вероятностей после принятия каких-либо дополнительных допущений.

Примечание - В зависимости от целей измерений точечной оценкой могут служить разные параметры полученного распределения для измеряемой величины, такие как математическое ожидание, медиана или мода.

ДБ.1.10 Достоинством байесовского подхода, а значит и концепции неопределенности измерений, является наличие формализованной процедуры учета априорной информации разного рода (в том числе, о возможных или наиболее вероятных значениях измеряемой величины) при получении результата измерений.

Сопоставление концепций погрешности и неопределенности измерения проиллюстрировано на рисунке ДБ.1.

a) Частотный подход

b) Байесовский подход

Примечание - Вопросительные знаки на схеме частотного подхода показывают, что получение оценки данной характеристики затруднено или невозможно. Если особенности измерительной задачи позволяют получить распределение погрешности, то доверительный интервал может быть рассчитан. Обратное утверждение, вообще говоря, неверно.

Рисунок ДБ.1 - Обобщенная схема получения результата измерения в рамках частотного и байесовского подходов

ДБ.1.11 В рамках байесовского подхода решением измерительной задачи в общем случае является распределение, ассоциированное с измеряемой величиной, которое, в общем случае, индивидуально для каждой измерительной задачи и в наиболее полном виде описывает всю собранную при решении данной задачи информацию.

В целях сокращения объема передаваемых данных и удобства их хранения в документах, разрабатываемых JCGM/WG 1, основным способом представления результата измерения принят интервал охвата (или область охвата в случае многомерной измеряемой величины). При этом, однако, следует помнить, что за областью охвата всегда стоит распределение соответствующей случайной переменной и, главное, во многих практических приложениях результатов проведенного измерения необходимо знать не интервал охвата, а распределение, из которого оно получено. Поэтому, как правило, желательно сохранять результат измерения в виде распределения вероятностей случайной переменной, ассоциированной с измеряемой величиной.

ДБ.2 Дополнительные замечания к настоящему стандарту

ДБ.2.1 Настоящий стандарт является введением международного документа JCGM 104:2009, который, в свою очередь, основан на плане работ JCGM/WG 1. Следует иметь в виду, что хронологически документы, заявленные к разработке, разрабатываются и публикуются не в соответствии с их обозначениями. Так, на настоящий момент опубликовано пять таких документов: JCGM 100:2008, JCGM 101:2008, JCGM 102:2011, JCGM 104:2009 (настоящий стандарт) и JCGM 106:2012. Остальные запланированные документы еще не начали разрабатываться или их разработка находится на ранней стадии.

ДБ.2.2 В разделе 8 рассматривается документ JCGM 106:2012, который должен установить общий подход к использованию неопределенности измерения при оценке соответствия измеряемой величины установленному критерию. Особенностью концепции неопределенности измерения является использование теоретико-вероятностных методов на основе субъективной (байесовской) интерпретации вероятности в отличие от теории погрешностей измерений, где при описании результата измерения используется частотная интерпретация вероятности. Выбранный байесовский подход при вычислении неопределенности измерения позволил обосновать единые правила вычисления и суммирования составляющих неопределенности. Поэтому необходимо обратить внимание, что в документе JCGM 106:2012 наблюдается отход от методологии неопределенности измерения, решение о соответствии принимается не на основании распределения вероятностей, ассоциированного с измеряемой величиной, а на основе распределения показаний средства измерений, которое имеет частотную интерпретацию. Таким образом, результат измерения рассматривается не как индивидуализированное распределение, полученное для конкретного измерения (см. ДБ.1.11), а как выборочное значение из заданной генеральной совокупности, характеризующей измерительную систему (см. JCGM 106:2012, п. 6.2.4). Такая постановка задачи оценки соответствия может рассматриваться только как частный случай, а указанная интерпретация вероятностей соответствует не байесовскому, а частотному подходу.

БИБЛИОГРАФИЯ

[1] BELL, S. Measurement Good Practice Guide No. 11. A Beginner's Guide to Uncertainty of Measurement. Tech. rep., National Physical Laboratory, 1999
[2] BERNARDO, J., AND SMITH, A. Bayesian Theory. John Wiley & Sons, New York, USA, 2000
[3] BIPM, IEC, IFCC, ILAC, ISO, IUPAP, IUPAC, AND OIML. Evaluation of measurement data - Applications of the least-squares method. Joint Committee for Guides in Metrology, JCGM 107 <1>
[4] BIPM, IEC, IFCC, ILAC, ISO, IUPAP, IUPAC, AND OIML. Evaluation of measurement data - Concepts and basic principles. Joint Committee for Guides in Metrology, JCGM 105 <1>
[5] BIPM, IEC, IFCC, ILAC, ISO, IUPAP, IUPAC, AND OIML. Evaluation of measurement data - Supplement 2 to the "Guide to the expression of uncertainty in measurement" - Models with any number of output quantities. Joint Committee for Guides in Metrology, JCGM 102 <1>
[6] BIPM, IEC, IFCC, ILAC, ISO, IUPAP, IUPAC, AND OIML. Evaluation of measurement data - Supplement 3 to the "Guide to the expression of uncertainty in measurement" - Modelling. Joint Committee for Guides in Metrology, JCGM 103 <1>
[7] BIPM, IEC, IFCC, ILAC, ISO, IUPAP, IUPAC, AND OIML. Evaluation of measurement data - The role of measurement uncertainty in conformity assessment. Joint Committee for Guides in Metrology, JCGM 106 <1>
[8] CASELLA, G.C., AND BERGER, R.L. Statistical Inference. Duxbury Press, Pacific Grove, 2001. Second Edition
[9] COX, M.G. The evaluation of key comparison data. Metrologia 39 (2002), 589 - 595
[10] COX, M.G., AND HARRIS, P.M. SSfM Best Practice Guide No. 6, Uncertainty evaluation. Tech. Rep. DEM-ES-011, National Physical Laboratory, Teddington, UK, 2006
[11] COX, M.G., AND HARRIS, P.M. Software specifications for uncertainty evaluation. Tech. Rep. DEM-ES-010, National Physical Laboratory, Teddington, UK, 2006
[12] DIETRICH, C.F. Uncertainty, Calibration and Probability. Adam Hilger, Bristol, UK, 1991
[13] ELSTER, C. Calculation of uncertainty in the presence of prior knowledge. Metrologia 44 (2007), 111 - 116
[14] EURACHEM/CITAC. Quantifying uncertainty in analytical measurement. Tech. Rep. Guide CG4, EURACHEM/CITEC, [EURACHEM/CITAC Guide], 2000. Second Edition
[15] FELLER, W. An Introduction to Probability Theory and its Applications, Volume I. Wiley, 1968
[16] FELLER, W. An Introduction to Probability Theory and its Applications, Volume II. Wiley, 1971
[17] HIBBERT, D.B. Quality Assurance for the Analytical Chemistry Laboratory. Oxford University Press, Oxford, UK, 2007
[18] IEC Guide 115, Application of uncertainty of measurement to conformity assessment activities in the electrotechnical sector
[19] ISO 10576-1, Statistical methods - Guidelines for the evaluation of conformity with specified requirements - Part 1: General principles, 2003. International Standards Organization, Geneva
[20] ISO/IEC 17025, General requirements for the competence of testing and calibration laboratories
[21] KORCZYNSKI, M.J., COX, M.G., AND HARRIS, P.M. Convolution and uncertainty evaluation. In Advanced Mathematical Tools in Metrology VII (Singapore, 2006), P. Ciarlini, E. Felipe, A. B. Forbes, and F. Pavese, Eds., World Scientific, pp. 188 - 195
[22] MOHR, P.J., AND TAYLOR, B.N. CODATA recommended values of the fundamental physical constants: 2002. Rev. Mod. Phys. 76 (2004), 4
[23] TAYLOR, B.N., AND KUYATT C.E. Guidelines for Evaluating and Expressing the Uncertainty of NIST Measurement Results. NIST Technical Note 1297, 1994
[24] POSSOLO, A., AND TOMAN, B. Assessment of measurement uncertainty via observation equations. Metrologia 44 (2007), 464 - 475
[25] RICE, J.R. Mathematical Statistics and Data Analysis, second ed. Duxbury Press, Belmont, Ca., USA, 1995
[26] WEISE, K., AND W GER, W. A Bayesian theory of measurement uncertainty. Meas. Sci. Technol. 3 (1992), 1 - 11

<1> В стадии разработки.