Вибрация. Измерение локальной вибрации и оценка ее воздействия на человека. Часть 1. Общие требования. ГОСТ 31192.1-2004 (ИСО 5349-1:2001)

(утв. Приказом Ростехрегулирования от 12.12.2007 N 357-СТ)
Редакция от 12.12.2007 — Действует с 01.07.2008

МЕЖГОСУДАРСТВЕННЫЙ СТАНДАРТ

ВИБРАЦИЯ

ИЗМЕРЕНИЕ ЛОКАЛЬНОЙ ВИБРАЦИИ И ОЦЕНКА ЕЕ ВОЗДЕЙСТВИЯ НА ЧЕЛОВЕКА

ЧАСТЬ 1

ОБЩИЕ ТРЕБОВАНИЯ

VIBRATION. MEASUREMENT AND EVALUATION OF HUMAN EXPOSURE TO HAND-TRANSMITTED VIBRATION. PART 1. GENERAL REQUIREMENTS

MECHANICAL VIBRATION - MEASUREMENT AND EVALUATION OF HUMAN EXPOSURE TO HAND-TRANSMITTED VIBRATION - PART 1: GENERAL REQUIREMENTS (MOD)

ГОСТ 31192.1-2004 (ИСО 5349-1:2001)

Дата введения
1 июля 2008 года

Предисловие

Цели, основные принципы и основной порядок проведения работ по межгосударственной стандартизации установлены ГОСТ 1.0-92 "Межгосударственная система стандартизации. Основные положения" и ГОСТ 1.2-97 "Межгосударственная система стандартизации. Стандарты межгосударственные, правила и рекомендации по межгосударственной стандартизации. Порядок разработки, принятия, применения, обновления и отмены".

Сведения о стандарте

1. Подготовлен Открытым акционерным обществом "Научно-исследовательский центр контроля и диагностики технических систем" на основе собственного аутентичного перевода стандарта, указанного в пункте 4.

2. Внесен Госстандартом России.

3. Принят Межгосударственным советом по стандартизации, метрологии и сертификации по переписке (Протокол N 15 от 4 февраля 2004 г.).

За принятие проголосовали:

Краткое наименование страны по МК (ИСО 3166) 004-97 Код страны по МК (ИСО 3166) 004-97 Сокращенное наименование национального органа по стандартизации
Армения AM Армстандарт
Беларусь BY Госстандарт Республики Беларусь
Кыргызстан KG Кыргызстандарт
Молдова MD Молдова-Стандарт
Российская Федерация RU Госстандарт России
Таджикистан TJ Таджикстандарт
Туркменистан TM Главгосслужба "Туркменстандартлары "
Узбекистан UZ Агентство "Узстандарт"

4. Настоящий стандарт является модифицированным по отношению к международному стандарту ИСО 5349-1:2001 "Вибрация. Измерение локальной вибрации и оценка ее воздействия на человека. Часть 1. Общие требования" (ISO 5349-1:2001 "Mechanical vibration - Measurement and evaluation of human exposure to hand-transmitted vibration - Part 1: General requirements") путем внесения технических отклонений, объяснение которых приведено во введении к настоящему стандарту, и изменения его структуры.

Сравнение структуры настоящего стандарта со структурой указанного международного стандарта приведено в дополнительном Приложении G.

Степень соответствия - модифицированная (MOD).

5. Приказом Федерального агентства по техническому регулированию и метрологии от 12 декабря 2007 г. N 357-ст межгосударственный стандарт 31192.1-2004 (ИСО 5349-1:2001) введен в действие в качестве национального стандарта Российской Федерации с 1 июля 2008 г.

6. Введен впервые.

Информация о введении в действие (прекращении действия) настоящего стандарта публикуется в указателе "Национальные стандарты".

Информация об изменениях к настоящему стандарту публикуется в указателе "Национальные стандарты", а текст изменений - в информационных указателях "Национальные стандарты". В случае пересмотра или отмены настоящего стандарта соответствующая информация будет опубликована в информационном указателе "Национальные стандарты".

Введение

В процессе работы с ручными машинами любого типа и с приводом любого вида (электрическим, пневматическим, гидравлическим, от двигателя внутреннего сгорания), на машинах с ручным управлением, при обработке на станках вручную удерживаемых деталей на кисть и плечо оператора может передаваться значительная вибрация. В зависимости от вида и места проводимых работ эта вибрация может воздействовать как на одну руку, так и на обе руки сразу, являясь источником дискомфорта и снижая производительность труда. Кроме того, установлено, что регулярное длительное воздействие локальной вибрации может быть причиной заболеваний, затрагивающих разные органы человека: кровеносные сосуды, нервную систему, кости, суставы, мышцы, соединительную ткань кисти и предплечья.

Связь между параметрами вибрационного воздействия (его уровнем, длительностью, распределением по спектру частот) и развитием того или иного заболевания пока не считают точно установленной. Однако приведенные в настоящем стандарте методы оценки, основанные на международном опыте практических исследований и лабораторных экспериментах, должны способствовать снижению риска появления у рабочих профессиональных заболеваний, обусловленных действием локальной вибрации. Вместе с тем настоящий стандарт не устанавливает диапазон "безопасной" вибрации - требования гигиенического нормирования вибрации должны быть определены в соответствующих документах на национальном уровне.

Настоящий стандарт устанавливает общие требования по проведению измерений и оценке воздействия локальной вибрации на человека. Требования к измерению и оценке вибрации на рабочем месте оператора устанавливает ГОСТ 31192.2-2005.

По сравнению с примененным международным стандартом ИСО 5349-1:2001 в текст настоящего стандарта внесены следующие изменения:

- изменена структура стандарта, как указано в Приложении G. При этом исключены малоинформативные разделы E.5 "Дополнительная информация" и F.8 "Эпидемиологическая информация";

- в разделе 2 международные стандарты заменены соответствующими межгосударственными;

- диапазон частот (в разделе 1 и далее), в котором проводят оценку воздействия локальной вибрации, определен через последовательность третьоктавных, а не октавных полос, и, кроме того, указан полный диапазон измерений (5,6 - 1400 Гц);

- трудновыполнимое требование измерения силы обхвата в 5.3 заменено рекомендацией;

- в 5.4 приведена формула (1) для пояснения процесса вычисления среднеквадратичного значения корректированного виброускорения;

- в 6.3 оценка неопределенности определения значения A(8) в 10% заменена ссылкой на ГОСТ 31192.2-2005, чтобы исключить расхождение между этими двумя стандартами;

- из библиографии исключены ссылки на некоторые невведенные международные и региональные стандарты, а также зарубежные литературные источники, доступ к которым затруднен.

1. ОБЛАСТЬ ПРИМЕНЕНИЯ

Настоящий стандарт устанавливает общие требования по измерению и представлению результатов измерений локальной вибрации в трех взаимно ортогональных направлениях. Определены форма частотной коррекции (Приложение A), применяемая при оценке воздействия локальной вибрации, и основной параметр или A(8) (см. раздел 4), используемый для нормирования вибрации на национальном уровне. Получаемые оценки могут быть использованы для предсказания негативных эффектов воздействия локальной вибрации в диапазоне частот 5,6 - 1400 Гц (т.е. диапазоне, покрываемом последовательным набором третьоктавных полос с центральными частотами от 6,3 до 1250 Гц).

Настоящий стандарт распространяется на все виды вибрации: периодическую, случайную, переходные процессы <*>.

<*> Влияние на здоровье человека импульсной вибрации изучено недостаточно. При необходимости настоящий стандарт можно использовать и для оценки воздействия в форме повторяющихся ударов, но следует учитывать, что при одинаковых количественных оценках эффект воздействия локальной вибрации на состояние здоровья может быть разным в зависимости от вида вибрации. Кроме того, в случае импульсной вибрации (переходных процессов), как правило, возрастает неопределенность оценок параметров.

Приложение B содержит справочные сведения о характере влияния локальной вибрации на здоровье человека, а Приложение C - некоторые ориентировочные соотношения, определяющие это влияние. В Приложении D представлена информация о факторах, которые могут оказать влияние на восприятие человеком локальной вибрации, а в Приложении E даны некоторые рекомендации по профилактическим мероприятиям для ослабления неблагоприятного воздействия локальной вибрации. В Приложении F дано руководство по сбору информации о воздействии локальной вибрации, что может способствовать проведению дальнейших работ по стандартизации и нормированию в данной области.

2. НОРМАТИВНЫЕ ССЫЛКИ

В настоящем стандарте использованы нормативные ссылки на следующие межгосударственные стандарты:

ГОСТ 12.1.012-2004 Система стандартов безопасности труда. Вибрационная безопасность. Общие требования

ГОСТ ИСО 8041-2006 Вибрация. Воздействие вибрации на человека. Средства измерений (ИСО 8041:2005, IDT)

ГОСТ ИСО 5348-2002 Вибрация и удар. Механическое крепление акселерометров (ИСО 5348:1998, IDT).

ГОСТ ИСО 10819-2002 Вибрация и удар. Метод измерения и оценки передаточной функции перчаток в области ладони (ИСО 10819:1996, IDT)

ГОСТ 17168-82 Фильтры электронные октавные и третьоктавные. Общие технические требования и методы испытаний (МЭК 61260:1995, NEQ)

ГОСТ 24346-80 Вибрация. Термины и определения (ИСО 2041:1990, NEQ)

ГОСТ 31192.2-2005 (ИСО 5349-2:2001) Вибрация. Измерение локальной вибрации и оценка ее воздействия на человека. Часть 2. Требования к проведению измерений на рабочих местах (ИСО 5349-2:2001, MOD)

Примечание. При пользовании настоящим стандартом целесообразно проверить действие ссылочных стандартов на территории государства по соответствующему указателю стандартов, составленному по состоянию на 1 января текущего года, и по соответствующим информационным указателям, опубликованным в текущем году. Если ссылочный стандарт заменен (изменен), то при пользовании настоящим стандартом следует руководствоваться заменяющим (измененным) стандартом. Если ссылочный стандарт отменен без замены, то положение, в котором дана ссылка на него, применяется в части, не затрагивающей эту ссылку.

3. ТЕРМИНЫ И ОПРЕДЕЛЕНИЯ

В настоящем стандарте применены термины по ГОСТ 12.1.012, ГОСТ ИСО 8041 и ГОСТ 24346. Некоторые медицинские термины для удобства пользования приведены в Приложении B.

4. ОБОЗНАЧЕНИЯ

В настоящем стандарте применены следующие условные обозначения.

<1> - мгновенное значение корректированного виброускорения в одном направлении действия локальной вибрации в момент времени t, м/с2;

<1> Здесь и далее подстрочный индекс h (от английского hand - рука) используют с целью показать, что данный параметр относится к локальной вибрации.

- среднеквадратичное значение корректированного виброускорения в одном направлении действия локальной вибрации, м/с2;

, , - значение , м/с2, в направлении осей x, y и z соответственно;

- полное корректированное среднеквадратичное значение виброускорения, м/с2; эта величина представляет собой корень из суммы квадратов по всем трем направлениям измерения вибрации;

<2> - вибрационная экспозиция за смену (полная вибрация, энергия которой эквивалентна энергии 8-часового воздействия), м/с2;

<2> Часто вместо этого обозначения используют более краткую форму: A(8).

- стажевое время общего воздействия вибрации, лет;

T - общее время воздействия вибрации в течение суток;

- базовое значение временного интервала в 8 ч (28800 с);

- форма частотной коррекции для локальной вибрации.

5. ИЗМЕРЕНИЕ ЛОКАЛЬНОЙ ВИБРАЦИИ

5.1. Общие положения

Метод оценки, установленный в настоящем стандарте, учитывает следующие факторы, влияющие на восприятие человеком локальной вибрации в производственных условиях:

a) частотный спектр вибрации;

b) уровень вибрации;

c) длительность воздействия в течение рабочего дня;

d) суммарное воздействие вибрации, накопленное к определенному моменту времени в течение трудовой деятельности.

Другие факторы, которые могут оказать влияние на эффекты, связанные с воздействием вибрации, перечислены в Приложении D.

5.2. Измерительное оборудование

5.2.1. Общие положения

Измерение локальной вибрации проводят с помощью средств измерений, удовлетворяющих требованиям ГОСТ ИСО 8041. Работоспособность аппаратуры проверяют до и после проведения серии измерений. Средства измерений должны быть проверены в соответствии с национальной метрологической схемой.

5.2.2. Датчики вибрации

В качестве датчика вибрации может быть использован акселерометр общего назначения (при измерениях вибрации, создаваемой инструментами и машинами безударного действия) или акселерометр, специально предназначенный для измерения больших пиковых ускорений (создаваемых инструментами ударного действия).

Датчики вибрации должны выдерживать действие вибрации в широком диапазоне амплитуд, сохраняя при этом стабильность своих характеристик. Размеры и масса датчика должны быть такими, чтобы, с одной стороны, его установка не влияла на измеряемую вибрацию и на работу самой машины и, с другой, позволяли точно определить положение точки, в которой проводят измерения вибрации.

Более подробные рекомендации по выбору датчиков приведены в ГОСТ 31192.2.

5.2.3. Местоположение и ориентация датчиков

Локальную вибрацию следует измерять в направлении осей ортогональной системы координат, как показано на рисунке 1.

a) Положение "сжатая ладонь" (кисть обхватывает цилиндрическую рукоятку)

Обозначения:
- биодинамическая система координат;
- базицентрическая система координат.

b) Положение "плоская ладонь" (кисть нажимает на сферическую поверхность)

Рисунок 1. Система координат, связанная с кистью руки

Из практических соображений эту систему координат удобно задавать относительно соответствующей базицентрической системы координат (см. рисунок 1). В случае измерения локальной вибрации положение базицентрической системы координат определяется предметом - обрабатываемой деталью, рукояткой инструмента или рычагом устройства управления, - через который вибрация передается на сжатую кисть <*>) (см. также [1]).

<*> Центром биодинамической системы координат является головка третьей пястной кости. Ось определена как продольная ось третьей пястной кости с положительным направлением в сторону кончика пальца. Ось проходит через начало координат, перпендикулярна к оси и направлена вверх, когда кисть находится в нормальном анатомическом положении (ладонью вверх). Ось перпендикулярна к двум другим осям и положительно направлена в сторону большого пальца. На практике обычно используют базицентрическую систему координат, получаемую вращением системы координат в плоскости (y - z) таким образом, чтобы ось была параллельна оси предмета, удерживаемого кистью руки (например, рукоятки).

Желательно измерять вибрацию во всех трех направлениях одновременно. Допустимо проведение измерений вдоль каждой оси по очереди при условии, что рабочие условия от измерения к измерению остаются неизменными. Измерения следует проводить на вибрирующей поверхности по возможности ближе к центру области обхвата рукой машины, инструмента или обрабатываемой детали. Местоположение датчиков должно быть зафиксировано.

Примечание. В зависимости от местоположения точки измерения на вибрирующей поверхности уровень вибрации может изменяться весьма существенно.

Более подробное руководство по расположению датчиков дано в ГОСТ 31192.2.

5.2.4 Крепление датчиков

Крепление датчиков должно быть жестким. Более подробные требования к креплению акселерометра приведены в ГОСТ ИСО 5348 и ГОСТ 31192.2. Практическое руководство по креплению датчиков в сложных ситуациях (например, в случаях упругой вибрирующей поверхности или вибрации импульсного вида), а также по использованию адаптеров дано в ГОСТ 31192.2.

5.3. Контакт руки с источником вибрации

Измеренное значение вибрации зависит от способа приложения усилия к вибрирующей поверхности <**>). Измерения вибрации следует проводить при таких усилиях обхвата, которые характерны для контакта руки с вибрирующей поверхностью машины, рукоятки или обрабатываемой детали в типичных условиях применения инструмента или для типичного технологического процесса.

<**> Другим, не менее важным, фактором является то, что от характера приложения усилия зависит влияние вибрации на здоровье оператора. Это влияние может быть разным в зависимости от того, например, удерживается инструмент локальным усилием мышц или это усилие распределено по всей руке. Однако влияние данного фактора на оценку вибрации изучено еще недостаточно и в настоящем стандарте не рассмотрено.

По возможности, рекомендуется измерять и фиксировать силу, с которой рука действует на область контакта с вибрирующей поверхностью. Рекомендуется также дать описание позы оператора для конкретных условий измерения или для данного рабочего процесса (см. Приложения D и F).

5.4. Измеряемые величины

Основной величиной, используемой для описания уровня вибрации, является среднеквадратичное значение корректированного виброускорения, выражаемое в метрах на секунду в квадрате.

Измерения корректированного виброускорения требуют применения соответствующих полосовых и весовых фильтров. Применение частотной коррекции исходит из того, что вибрация на разных частотах по-разному влияет на степень получаемых повреждений. Характеристики частотной коррекции и полосовой фильтрации даны в Приложении A.

Среднеквадратичное значение получают в результате выполнения операции интегрирования без использования временных весовых функций <***>):

<***> Многие шумомеры, особенно старых моделей, часто применяемые при измерениях вибрации, используют для получения среднеквадратичного значения экспоненциальную весовую функцию (так называемое "экспоненциальное усреднение сигнала") (см. ГОСТ 12.1.012).

. (1)

Время интегрирования T должно быть выбрано таким образом, чтобы оно могло охватить характерный участок вибросигнала (см. ГОСТ 31192.2).

При проведении измерений для различных практических целей (например, исследования эффективности средств виброзащиты или способов снижения виброактивности инструмента с помощью разных технических средств) настоятельно рекомендуется измерять также частотный спектр вибрации (более подробно - см. Приложение F). Кроме того, знание частотного спектра позволяет более точно характеризовать получаемое в процессе воздействия локальной вибрации повреждение.

5.5. Трехкомпонентная вибрация

Установленный в настоящем стандарте метод оценки исходит из предположения, что вибрация в каждом из направлений оказывает одинаково вредное воздействие на оператора. Поэтому измерения необходимо проводить во всех трех направлениях. При этом отдельно должны быть зафиксированы среднеквадратичные значения корректированных виброускорений , , (см. Приложение F).

Полную вибрацию определяют как корень из суммы квадратов трех составляющих вибрации:

. (2)

Иногда осуществить измерения вибрации по всем трем направлениям не представляется возможным. Если измерения проводят только в одном или двух направлениях, в их число должно быть включено то, по которому вибрация максимальна (если это можно заранее установить). При этом полное значение вибрации получают исходя из имеющихся результатов измерений, особое внимание уделяя правильному выбору коэффициента перевода в полную вибрацию. Для получения полной вибрации измеренное значение вибрации по направлению, где она максимальна, должно быть умножено на коэффициент от 1,0 до 1,7 (рекомендации по выбору коэффициента даны в ГОСТ 31192.2). Значение коэффициента перевода в полную вибрацию и обоснование его выбора должны быть зафиксированы вместе с измеренной составляющей (или составляющими) вибрации.

6. ХАРАКТЕРИСТИКИ ВОЗДЕЙСТВИЯ ЛОКАЛЬНОЙ ВИБРАЦИИ

6.1. Общие положения

Эффект воздействия вибрации на организм человека зависит от ее уровня и продолжительности воздействия. Чтобы иметь возможность воспользоваться рекомендациями Приложения C по влиянию вибрации на состояние здоровья, результаты измерений вибрации должны быть представлены для величины .

6.2. Длительность вибрационной экспозиции

Длительность вибрационной экспозиции представляет собой время, в течение которого рука (или руки) подвергается воздействию вибрации в пределах рабочего дня. Время воздействия вибрации может быть меньше общего времени работы оператора с инструментом или контакта с обрабатываемыми деталями. Важно, чтобы оценки общей длительности вибрационной экспозиции основывались на соответствующих представительных выборках наблюдений для различных рабочих условий, периодов работы и перерывов между ними (более полное руководство дано в ГОСТ 31192.2).

6.3. Вибрационная экспозиция за смену

Вибрационную экспозицию за смену определяют на основе значений полной вибрации и длительности вибрационной экспозиции.

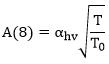
Чтобы облегчить сравнение между вибрационными экспозициями различной длительности, вибрационную экспозицию за смену выражают через полную корректированную вибрацию , энергия которой эквивалентна энергии вибрации непрерывного 8-часового воздействия (для удобства далее вместо обозначения используют A(8)):

, (3)

где T - общая длительность вибрационной экспозиции (при значении полной вибрации );

- базовое значение длительности, равное 8 ч (28800 с).

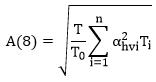
Если условия работы таковы, что, относительно воздействия вибрации, ее можно разбить на несколько операций с разными уровнями вибрации, вибрационная экспозиция за смену может быть получена по формуле

, (4)

где - полная вибрация для i-й операции;

n - общее число отдельных воздействий вибрации;

- длительность i-й операции.

Составляющие A(8) должны быть зафиксированы по отдельности.

Пример. Если значения полной вибрации для периодов воздействия 1; 3 и 0,5 ч (в пределах одного рабочего дня) равны соответственно 2; 3,5 и 10 м/с2, то

. (5)

Примечание. Результат вычисления в предыдущем примере округлен до двух значащих цифр. Это определяется не точностью измерений, а точностью вычислений. В реальных же условиях проведение измерений требует особой тщательности, чтобы погрешность определения A(8) не превышала установленного значения (см. ГОСТ 31192.2).

7. ДАННЫЕ О ПРОВЕДЕННЫХ ИЗМЕРЕНИЯХ

При оценке воздействия локальной вибрации в соответствии с настоящим стандартом необходимо зафиксировать следующие данные:

- субъект воздействия вибрации;

- операции, вызывающие воздействие вибрации;

- инструмент, вставной инструмент или обрабатываемая деталь, для которых проводили измерения;

- местоположение и ориентация датчиков вибрации;

- измеренные корректированные среднеквадратичные значения виброускорения по каждому направлению измерений;

- значение полной вибрации для каждой операции;

- полную длительность вибрационной экспозиции для каждой операции;

- вибрационную экспозицию за смену.

Если измерения по всем трем координатным осям не выполняли, должен быть указан коэффициент перевода в полную вибрацию с обоснованием его выбора.

Более полный перечень данных, которые должны быть зафиксированы, приведен в ГОСТ 31192.2 (см. также Приложения D и F).

Приложение A
(обязательное)

ЧАСТОТНАЯ КОРРЕКЦИЯ И ПОЛОСОВАЯ ФИЛЬТРАЦИЯ

A.1. Характеристики частотной коррекции и полосовой фильтрации

Измерение требует использования весовых и полосовых фильтров. Применение частотной коррекции исходит из того, что вибрация на разных частотах по-разному влияет на степень получаемых повреждений. Использование результатов измерений для предсказания возможного ущерба, связанного с вибрацией, ограничено диапазоном рабочих частот, покрываемых последовательным набором третьоктавных фильтров с центральными частотами от 6,3 до 1250 Гц (т.е. номинальным диапазоном частот 5,6 - 1400 Гц). Совместное действие фильтров нижних и верхних частот исключает из результата измерений влияние составляющих вне указанного диапазона, для которого характер и степень влияния действующей вибрации установлены еще недостаточно точно.

Для всех направлений измерений применяют один вид частотной коррекции. Хотя, возможно, реакция человека на вибрацию в разных направлениях неодинакова, в настоящее время нет достаточных оснований для определения для каждого направления действия вибрации своей частотной коррекции.

Весовые и полосовые фильтры, необходимые для реализации частотной коррекции, могут быть выполнены в аналоговом или цифровом виде. Математический вид фильтров указан в таблице A.1, а на рисунке A.1 схематично изображена кривая частотной коррекции. Более подробная информация о характеристиках фильтров и допусках на них дана в ГОСТ ИСО 8041.

Таблица A.1

Характеристики полосовых и весовых фильтров для частотной коррекции

Полосовой фильтр <а> Весовой фильтр <а>
K
6,310 1258,9 0,71 15,915 15,915 0,64 1
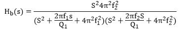
Полосовой фильтр определяется передаточной функцией :
,
где - переменная преобразования Лапласа.
Полосовой фильтр может быть реализован в виде двухполюсного фильтра.
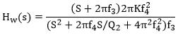
Весовой фильтр определяется передаточной функцией :
,
где - переменная преобразования Лапласа.
Весовой фильтр может быть реализован в виде двухполюсного фильтра.
Общая передаточная функция частотной коррекции имеет вид:
<a> изменяется от 1 до 4) обозначают резонансные частоты фильтров; изменяется от 1 до 2) - добротность фильтров; K - постоянный коэффициент усиления.

Рисунок A.1. Схематическое изображение кривой частотной коррекции для локальной вибрации

A.2. Преобразование результатов измерений вибрации в третьоктавных полосах в корректированное значение виброускорения

В качестве альтернативы применению фильтра с передаточной функцией для получения корректированного виброускорения можно использовать процедуру спектрального анализа и результаты измерения среднеквадратичных значений виброускорения в третьоктавных полосах частот (далее - третьоктавные полосы).

Тогда среднеквадратичное значение корректированного виброускорения может быть получено по формуле

, (А.1)

где - весовой коэффициент для i-й третьоктавной полосы (см. таблицу A.2);

- результат измерения среднеквадратичного значения виброускорения в i-й третьоктавной полосе, м/с2.

Основной диапазон частот для оценки локальной вибрации содержит третьоктавные полосы с центральными частотами от 6,3 до 1250 Гц, поэтому при расчете по формуле (A.1) необходимо использовать результаты измерений вибрации для каждой из третьоктавных полос этого диапазона. Частоты вне пределов основного диапазона (например, те, что в таблице A.2 выделены серым цветом) обычно не влияют существенно на значение , и, если известно, что в нижней и верхней части диапазона частот измерений не сосредоточено большой вибрационной энергии, ими при расчетах можно пренебречь.

В том случае, когда на значение существенно влияют составляющие на краях диапазона частот измерений, пользоваться руководством, данным в Приложении C, по предсказанию появления синдрома белых пальцев следует с большой осторожностью.

Примечание. Если в спектре частот имеются ярко выраженные дискретные составляющие, вышеописанная процедура расчета может привести к большим расхождениям между рассчитанным и непосредственно измеренным значениями корректированного виброускорения. Такое расхождение будет иметь место, если дискретные составляющие приходятся на частоты, достаточно далеко отстоящие от центральных частот третьоктавных полос. По этой причине более предпочтительным является использование фильтра или расчеты по результатам измерений в узких полосах частот. В последнем случае для некоторой дискретной частоты (или средней частоты узкополосного диапазона) f, которой соответствует виброускорение а(f), корректированное виброускорение может быть получено по формуле .

Таблица A.2

Весовые коэффициенты <a> для расчета корректированного значения ускорения локальной вибрации по результатам измерений в третьоктавных полосах частот

Номер полосы частот i <b> Номинальное значение центральной частоты, Гц Весовой коэффициент
6 4 0,375
7 5 0,545
8 6,3 0,727
9 8 0,873
10 10 0,951
11 12,5 0,958
12 16 0,896
13 20 0,782
14 25 0,647
15 31,5 0,519
16 40 0,411
17 50 0,324
18 63 0,256
19 80 0,202
20 100 0,160
21 125 0,127
22 160 0,101
23 200 0,0799
24 250 0,0634
25 315 0,0503
26 400 0,0398
27 500 0,0314
28 630 0,0245
29 800 0,0186
30 1000 0,0135
31 1250 0,00894
32 1600 0,00536
33 2000 0,00295
<a> Характеристики фильтров и допуски на них - по ГОСТ ИСО 8041.
<b> Номер i полосы частот - по ГОСТ 17168.

Приложение B
(справочное)

ВЛИЯНИЕ ЛОКАЛЬНОЙ ВИБРАЦИИ НА СОСТОЯНИЕ ЗДОРОВЬЯ ЧЕЛОВЕКА

B.1. Общие положения

Использование технологических процессов и механизированного инструмента, вызывающих воздействие локальной вибрации на руки оператора, широко распространено в ряде отраслей промышленности. Эта вибрация может являться следствием вращательного или ударного движения, производимого ручными машинами. Воздействие на руки может иметь место также вследствие вибрации обрабатываемой детали, которую оператор держит в руках, а также при ручном управлении машиной, например от руля мотоцикла или рулевого колеса автомобиля.

Повышенная локальная вибрация может приводить к нарушениям потоков крови в периферических сосудах рук, неврологических и локомоторных функций кисти и всей руки. По оценкам от 1,7% до 3,6% рабочих развитых стран подвергаются потенциально опасному воздействию локальной вибрации. Термин "синдром локальной вибрации" широко используют для определения нарушений деятельности периферических сосудов, неврологических и мышечно-скелетных повреждений, обусловленных воздействием локальной вибрации. Проявления неврологических или сосудистых нарушений у рабочих, подверженных воздействию такой вибрации, могут носить как индивидуальный, так и групповой характер. В некоторых странах болезни сосудов и суставов, вызванные действием локальной вибрации, причислены к профессиональным заболеваниям с соответствующим возмещением нанесенного здоровью ущерба.

B.2. Заболевания сосудистой системы

У рабочих, которые длительное время подвергались воздействию локальной вибрации, можно эпизодически наблюдать побеление пальцев, обычно возникающее под действием холода. Это так называемый феномен Рейно (по имени французского доктора Мориса Рейно, впервые описавшего данное явление в 1862 г.), который обусловлен временным прекращением циркуляции крови в пальцах рук. Предполагают, что вибрация может вносить нарушения в кровообращение в пальцах, делая их более чувствительными к сосудосуживающему действию холода. В качестве причины развития феномена Рейно у рабочих, подвергавшихся воздействию вибрации, рассматривают усиленный под длительным действием вредной вибрации центральный сосудосуживающий рефлекс, а также локальные изменения в сосудах пальцев. Для описания обусловленных вибрацией нарушений сосудистой системы применяют разные синонимы: омертвение или побеление пальцев, феномен Рейно, травматические сосудоспазматические нарушения и, в последнее время, синдром белых пальцев. Синдром белых пальцев - профессиональное заболевание, признанное во многих странах.

Первоначально это явление наблюдается на кончиках одного или нескольких пальцев, но если регулярное воздействие вибрации продолжается, побеление захватывает всю область пальца до его основания. Иногда процесс побеления пальцев сменяется их цианозом, т.е. появлением синюшной окраски пальцев вследствие уменьшенного содержания кислорода в застойных участках кровообращения. Возвращение в нормальное состояние, которое обычно можно ускорить прогревом или местным массажем, может сопровождаться покраснением пальцев (с сопутствующим покалыванием, зудом и болевыми ощущениями) как следствие возобновления потока крови в сосудах. Побеление пальцев чаще наблюдается зимой, чем летом, и продолжается от нескольких минут до часа и более. Длительность зависит от интенсивности провоцирующих факторов и силы спазма, процесс обычно заканчивается после прогрева всего тела. Если воздействия вибрации будут регулярно продолжаться, приступы будут возобновляться с возрастающей частотой и, в конечном счете, могут наблюдаться регулярно круглый год. В редких запущенных случаях повторяющиеся и сильные приступы могут привести к трофическим изменениям (появлению язв или гангрене) кожи кончиков пальцев рук. Во время приступа у рабочего может наблюдаться полная потеря осязательных и ухудшение манипуляционных способностей, что, в свою очередь, может повлиять на качество выполнения им рабочих операций, повысить риск получения опасных травм в результате несчастных случаев.

В медицине профзаболеваний разработаны различные системы классификации синдрома белых пальцев. Шкала, принятая на собрании Стокгольмской рабочей группы в 1986 г. (см. таблицу B.1), включает в себя четыре стадии, определяемые частотой, продолжительностью и силой приступов.

Таблица B.1

Шкала, принятая на собрании Стокгольмской рабочей группы в 1986 г.

Сосудистая составляющая
Стадия Степень Описание
0 - Приступы отсутствуют
Мягкая Случайные приступы, захватывающие только кончики одного или нескольких пальцев
Умеренная Случайные приступы, захватывающие дистальные и средние (редко проксимальные) фаланги одного или нескольких пальцев
Сильная Частые приступы, захватывающие все фаланги на большинстве пальцев
Очень сильная То же, что и на стадии 3, но с трофическими изменениями на кончиках пальцев
Сенсорно-нейронная составляющая
Стадия Описание
Воздействие вибрации симптомов не вызывает
Временная потеря чувствительности, может сопровождаться покалываниями
Временная или устойчивая потеря чувствительности, сниженное сенсорное восприятие
Временная или устойчивая потеря чувствительности, снижены тактильное восприятие и манипуляционная способность

В целях объективной диагностики синдрома белых пальцев используют результаты различных лабораторных тестов. Большинство из них включают в себя раздражение холодом пальцев рук и измерение кожной температуры или кровотока и давления пальцев рук до, во время и после охлаждения.

Эпидемиологические исследования продемонстрировали, что доля лиц с синдромом белых пальцев для групп рабочих, подвергавшихся воздействию вибрации, варьируется очень широко - от 0 до 100%. Это означает, что вероятность появления и степень развития синдрома белых пальцев определяется действием нескольких факторов, в число которых входят: характеристики действующей вибрации (частота, уровень, направление, характер, длительность), вид технологического процесса и тип применяемого инструмента, условия окружающей среды (температура, вентиляция воздуха, влажность, шум), некоторые биодинамические и эргономические факторы (сила обхвата, сила нажатия, положение руки работающего), а также индивидуальные особенности человека (восприимчивость к заболеваниям, наличие заболеваний, действие химических агентов, таких как никотин или принимаемые лекарства, нарушения периферического кровообращения). Таким образом, существует сложная связь между воздействием вибрации и развитием синдрома белых пальцев. Эпидемиологические исследования позволяют сделать предположение, что случаи синдрома белых пальцев возрастают с увеличением стажа работы в виброопасной профессии. Практически очевидно, что общее время воздействия до появления симптомов синдрома белых пальцев должно быть обратно пропорционально уровню вибрационного воздействия (т.е. при удвоении уровня вибрации тот же эффект будет наблюдаться за вдвое более короткий период времени).

B.3. Заболевания нервной системы

Рабочие, подвергающиеся воздействию локальной вибрации, могут временами ощущать покалывания или онемение пальцев рук и всей кисти в целом. Если воздействие вибрации регулярно повторяется, эти симптомы имеют тенденцию к нарастанию, что может привести к ограничениям в профессиональной деятельности рабочего и в его повседневной жизни. У таких рабочих может снижаться тактильная и температурная чувствительность, а во время клинических испытаний может быть выявлено ухудшение манипуляционных способностей. Другим эффектом воздействия локальной вибрации может быть снижение вибрационной чувствительности кожи на кончиках пальцев рук. Эпидемиологические наблюдения групп рабочих, подвергающихся воздействию локальной вибрации, показывают, что проявление периферических неврологических нарушений варьируется у членов группы от нескольких процентов до более 80% и что понижение сенсорной чувствительности характерно для рабочих, применяющих самые разнообразные ручные инструменты.

По-видимому, нейросенсорные нарушения могут развиваться независимо от других заболеваний, связанных с воздействием локальной вибрации, что, возможно, является отражением действия различных механизмов патогенеза. Классификация неврологической составляющей вибрационного синдрома, предложенная на собрании Стокгольмской рабочей группы в 1986 г., содержит три стадии в соответствии с зарегистрированными жалобами (симптомами заболевания), результатами клинического неврологического обследования и психофизических тестов, например на тактильную чувствительность, вибротактильное восприятие или точность манипулирования (см. таблицу B.1).

У рабочих, подвергающихся воздействию вибрации, иногда могут наблюдаться признаки и симптомы невропатий, таких как туннельный синдром запястного канала - заболевания, вызванного пережатием медиального нерва, проходящего через анатомический туннель запястья. По-видимому, туннельная невропатия является общим нарушением для ряда профессиональных групп, использующих при работе вибрирующие ручные машины, - сверловщиков, лудильщиков, работников лесной промышленности. Предполагают, что неблагоприятные эргономические факторы, воздействующие на кисти и запястья рабочих (повторяющиеся движения, сильное сжатие, неудобные позы), в сочетании с вибрацией могут быть причиной развития у операторов ручных машин туннельного синдрома запястного канала.

B.4. Заболевания опорно-двигательного аппарата

B.4.1. Влияние на скелетную систему

У горнорабочих, дорожных строителей и рабочих на операциях металлообработки, подвергающихся воздействию сильных ударов и низкочастотной вибрации (менее 50 Гц), с которыми связана работа пневматического ударного инструмента, выявлено повышение случаев остеоартроза запястного и локтевого суставов, а также окостенения в местах крепления сухожилий (в основном у локтевого сустава).

Некоторыми исследователями отмечалась также повышенная частота заболеваемости болезнью Киенбока и псевдоартрозом ладьевидной кости запястья. Есть несколько свидетельств повышения костной дегенерации и болезни суставов верхних конечностей у рабочих, занятых на операциях шлифовки или работающих с цепными пилами, что объясняется действием вибрации на средних и высоких частотах. Наличие больших физических усилий, значительных сил обхвата и действие различных биомеханических факторов могут объяснить повышенную степень травматизма скелетной системы, обнаруживаемую у операторов машин ударного действия. Местные болевые ощущения, появление опухолей, деформацию и ухудшение подвижности суставов можно связать с обнаруженной радиологическими методами дегенерацией костной ткани и суставов. Заболевания костей и суставов у рабочих, занятых на операциях с использованием виброопасного ручного инструмента, в ряде стран могут быть отнесены к профессиональным, подлежащим соответствующей компенсации.

B.4.2. Влияние на мышечную систему

Рабочие, имеющие длительный стаж контакта с локальной вибрацией, могут жаловаться на мышечную слабость, боли в руках и снижение мышечной силы. Обнаружено также, что воздействие вибрации может быть причиной уменьшения максимального усилия сжатия кисти. У некоторых лиц мускульная усталость может вызывать потерю трудоспособности. В качестве возможных этиологических факторов таких симптомов рассматриваются непосредственно механические травмы или повреждения в периферической нервной системе.

Кроме того, у рабочих, подвергающихся воздействию вибрации, были зарегистрированы такие заболевания, как тендинит и тендовагинит (т.е. воспаление сухожилий верхних конечностей и их оболочек) и контрактура Дюпюитрена - заболевание фасциальной ткани ладони руки. Эти заболевания, по-видимому, являются результатом общего неблагоприятного воздействия эргономических факторов, которые имеют место при тяжелом ручном труде, и их связь с действием локальной вибрации в настоящее время устанавливается.

B.5. Другие признаки нарушения здоровья

Некоторые исследования показывают, что у доли рабочих, у которых наблюдается синдром белых пальцев, потеря слуха выше, чем можно было ожидать из учета только возрастного фактора и шума, производимого работающим инструментом. Предполагают, что у лиц, страдающих синдромом белых пальцев, повышается риск потери слуха вследствие спазмов кровеносных сосудов, по которым кровь поступает к внутреннему уху. В дополнение к заболеваниям периферической нервной системы рядом исследователей были отмечены другие признаки нарушения здоровья лиц, работа которых связана с воздействием вибрации, включая заболевания эндокринной и центральной нервной систем. Клиническая картина, называемая вибрационной болезнью, включает в себя симптомы, связанные с нарушением функции высших отделов головного мозга (сюда входят постоянное чувство усталости, головная боль, раздражительность, расстройство сна, импотенция, отклонения в электроэнцефалограмме). Для более полного понимания связи между заболеваниями центральной нервной системы и воздействием локальной вибрации необходимо проведение дальнейших, хорошо спланированных эпидемиологических и клинических исследований.

B.6. Словарь терминов

Туннельный синдром запястного канала: симптомы онемения, покалывания или жжения в болезненной форме на ладонной поверхности большого, указательного, среднего и безымянного пальцев, наблюдающиеся преимущественно по ночам и вызванные сжатием или раздражением медиального нерва в области туннельного прохода, сформированного пястными костями. Могут развиваться признаки ослабления функций кисти и потери трудоспособности.

Цианоз: синюшное обесцвечивание кожи или других тканей вследствие обеднения кислородом крови в поверхностных капиллярах.

Контрактура Дюпюитрена: утолщение фиброзной ткани ладони, препятствующее полному выпрямлению пальцев, в основном безымянному и мизинцу.

Эпидемиология: изучение случаев заболеваний и нарушений здоровья - степени их развития и распространения - у определенной группы людей. Эпидемиология профзаболеваний исследует связь между воздействием факторов профессионального риска и их возможным влиянием на ухудшение состояния здоровья.

Синдром локальной вибрации: комплексные симптомы (неврологической, сосудистой и скелетно-мышечной систем), связанные с нарушением здоровья вследствие воздействия локальной вибрации.

Болезнь Киенбока: резорбция лунообразной кости запястья.

Рост заболеваемости: число новых случаев заболеваний или других нарушений здоровья у лиц определенной группы в течение заданного периода времени.

Остеоартроз: дегенерация костных и суставных тканей.

Заболеваемость: число случаев заболевания или другого нарушения здоровья у лиц определенной группы в определенный момент времени.

Феномен Рейно: побеление пальцев вследствие недостаточной циркуляции крови из-за спазма сосудов пальцев, обычно провоцируемого действием холода или проявлением эмоций. Различают первичное заболевание Рейно, когда симптом побеления пальцев нельзя связать с действием какой-то вполне определенной причины, и вторичный феномен Рейно, когда могут быть установлены некоторые причины болезни. Синдром белых пальцев - вторичная форма феномена Рейно, вызванная воздействием локальной вибрации.

Нейросенсорные нарушения: ухудшение тактильной, болевой, температурной чувствительности, нарушения в восприятии вибрации и глубинного давления, нарушение дискриминаторной сенсорной функции (двухточечного распознавания, оценки текстуры, размеров и форм).

Тендинит: воспаление сухожилия.

Тендовагинит: воспаление сухожилия и его оболочки.

Спазм сосудов: сужение просвета кровеносных сосудов, особенно в результате увеличенного сжатия мускульной стенки кровеносных сосудов.

Приложение C
(справочное)

СВЯЗЬ МЕЖДУ ВОЗДЕЙСТВИЕМ ВИБРАЦИИ И ЕЕ ВЛИЯНИЕМ НА ЗДОРОВЬЕ

C.1. Основы метода оценки

В настоящем Приложении в первом приближении рассмотрена относительная важность различных характеристик вибрационного воздействия с точки зрения его влияния на состояние здоровья. В нем не установлены какие-либо безопасные нормы вибрационного воздействия.

Функция частотной коррекции, установленная в настоящем стандарте, не отражает степень важности вибрации в том или ином диапазоне частот с точки зрения развития отдельных видов заболеваний: сосудистых, неврологических, скелетно-мышечных и т.д. Она предназначена для оценки общего биологического эффекта воздействия локальной вибрации.

Предполагают, что вибрация по каждому из трех направлений, определяемых координатными осями, которые изображены на рисунке 1, равноценна с точки зрения причиняемого здоровью ущерба и что для различных направлений действия вибрации может быть использован один и тот же вид частотной коррекции. Поэтому риск получения повреждений вследствие воздействия локальной вибрации оценивают на основе значения полной вибрации , рассчитываемого по результатам измерений трех составляющих (вдоль каждой координатной оси) корректированного виброускорения на поверхности в месте ее контакта с рукой, как это определено в настоящем стандарте.

Предполагают, что метод получения оценки эквивалентной вибрационной экспозиции за смену, изложенный в настоящем стандарте, приближенно отражает соотношение между различными уровнями вибрации и длительностями вибрационной экспозиции.

Примечания

1. Данный метод предполагает, что время воздействия, необходимое для появления симптомов синдрома локальной вибрации, обратно пропорционально квадрату корректированного виброускорения. Если, к примеру, уменьшить виброускорение наполовину, для создания того же эффекта время воздействия вибрации должно быть увеличено в четыре раза.

2. В настоящее время недостаточно данных, определяющих влияние длительности воздействия локальной вибрации на состояние здоровья. Выбранная зависимость исходит из эквивалентности воздействия вибрации с заданной энергией в течение рабочего дня.

3. Данная зависимость не должна быть экстраполирована на участки очень короткой длительности и больших виброускорений. Такие воздействия связаны с другими острыми травмами рук.

C.2. Общие факторы влияния на состояние здоровья

Вероятность развития симптомов синдрома локальной вибрации (см. Приложение B) у отдельного лица зависит от его чувствительности к вибрационному воздействию, перенесенных ранее заболеваний и условий жизни, а также от факторов, связанных с конкретной личностью, рабочими условиями и условиями внешней среды, как указано в 5.1 и Приложении D. Процент проявления симптомов заболевания в определенной группе людей, каждый из которых выполняет одинаковые работы с помощью аналогичного инструмента (инструментов) или занят в одинаковых технологических процессах, зависит также и от диапазона факторов воздействия в группе. Для групп, в которых люди не продолжают свою деятельность, связанную с определенным видом работ, процент проявления симптомов будет зависеть также от причин, по которым они покинули эту группу.

В результате исследований было выявлено, что симптомы синдрома локальной вибрации редко встречаются у лиц, для которых эквивалентная вибрационная экспозиция за смену A(8), по измерениям на поверхности в месте ее контакта с рукой, не превышает 2 м/с2, и не зарегистрированы вовсе, если это значение не превышает 1 м/с2.

C.3. Синдром белых пальцев

На рисунке C.1, являющемся обобщением результатов исследований по всему миру, показана оценка вибрационной экспозиции за смену A(8), при которой доля заболеваемости синдромом белых пальцев в группе рабочих составляла 10%. Приведенные значения относятся к среднему по группе общему времени воздействия вибрации от 1 года до 10 лет. Те же данные в числовом виде представлены в таблице C.1.

Рисунок C.1. Зависимость параметров вибрационного воздействия для 10-процентной заболеваемости синдромом белых пальцев рук в группе рабочих

Таблица C.1

Значения вибрационной экспозиции за смену A(8), для которых можно ожидать 10-процентной заболеваемости синдромом белых пальцев в группе рабочих, подвергающихся воздействию вибрации в течение заданного количества лет

, лет A(8), м/с2
1 26
2 14
4 7
8 3,7

Допускается интерполяция данных, приведенных в таблице C.1, для получения значений для промежуточных значений аргумента (общего времени воздействия). В этих целях может быть использовано следующее соотношение:

, (С.1)

где A(8) - эквивалентная вибрационная экспозиция за смену на поверхности в месте контакта с рукой, м/с2;

- среднее по группе время общего воздействия, лет.

Примечания

1. Данные настоящего Приложения основаны на эпидемиологических исследованиях, в которых применяли механизированный инструмент, создающий вибрацию преимущественно в диапазоне 30 - 50 Гц (цепные пилы, шлифовальные машины, перфораторы). Поэтому к результатам тех измерений, когда основное влияние на значение корректированного виброускорения оказывает вибрация на более низких частотах (ниже 20 Гц), следует относиться с осторожностью. В отношении операторов машин данного типа было зарегистрировано влияние вибрации на состояние костей и суставов верхних конечностей (см. Приложение B).

2. Соотношение (C.1) не позволяет предсказать риск появления синдрома белых пальцев, обусловленного вибрацией, для какого-либо конкретного члена группы.

3. Рисунок C.1 и таблица C.1 могут быть использованы для определения критерия вибрационного воздействия с точки зрения опасности причинения вреда здоровью вследствие действия локальной вибрации для профессиональных групп. Значения, указанные в таблице C.1 и на рисунке C.1, получены на основе наблюдений групп рабочих со стажем до 25 лет, применявших ручной инструмент, для которого виброускорение достигало 30 м/с2. Почти во всех таких исследованиях были рассмотрены группы, состоящие из рабочих, которые практически в течение всего рабочего дня использовали инструмент какого-то одного вида или были заняты в одном технологическом процессе, в течение которого вибрация передавалась им на руки. Значения для виброускорения получены по результатам исследований, в которых фиксировали корректированные значения составляющей виброускорения в каком-либо одном, доминирующем направлении действия вибрации.

4. Значения, приведенные в таблице C.1 и на рисунке C.1, могут оказаться неприменимы для инструментов и процессов, у которых отношение полной вибрации к вибрации в доминирующем направлении не попадает в диапазон 1,2 - 1,5. То же самое может иметь место в отношении профессиональных групп, у которых факторы, связанные с условиями труда и жизни, значительно отличаются от типичных.

Если для заданного времени общего воздействия вибрации значение вибрационной экспозиции за смену A(8) превышает приведенное для 10-процентного уровня заболеваемости синдромом белых пальцев, это служит основанием ожидать более высокого процента заболеваний для наблюдаемой группы.

Приложение D
(справочное)

ФАКТОРЫ, КОТОРЫЕ МОГУТ ОКАЗАТЬ ВЛИЯНИЕ НА ВОЗДЕЙСТВИЕ ЛОКАЛЬНОЙ ВИБРАЦИИ В РАБОЧИХ УСЛОВИЯХ

Установленный в настоящем стандарте метод оценки воздействия вибрации учитывает уровень вибрации в диапазоне частот, длительность ее воздействия в течение рабочего дня и кумулятивное (накапливающееся) действие на конкретный момент времени. На восприятие человеком вибрации в рабочих условиях могут оказать влияние также следующие факторы:

a) направление действия и частотный состав локальной вибрации;

b) выполняемая рабочая операция и квалификация оператора;

c) возраст рабочего, а также какая-либо предрасположенность к вибрационной болезни, обусловленная его конституцией или состоянием здоровья;

d) структура рабочего дня и метод работы, т.е. чередование периодов работы и отдыха, удерживает ли рабочий неработающий инструмент в руках или откладывает его в сторону и т.д.;

e) прилагаемые силы в месте контакта, такие как сила нажатия и сила обхвата, передаваемые оператором через рукоятку ручной машины или обрабатываемую деталь, давление на кожу руки;

f) положение кисти, всей руки и тела человека в процессе воздействия вибрации (угол наклона запястья, углы в локтевом и плечевом суставах);

g) тип и состояние вибрирующей машины, ручного инструмента и присоединенных элементов или обрабатываемой детали;

h) место и площадь той части руки, которая подвергается воздействию вибрации.

Нижеследующие факторы могут оказать особое влияние на изменение циркуляции крови, связанное с действием локальной вибрации:

i) климатические условия и другие факторы, влияющие на температуру рук или тела;

j) наличие заболеваний, связанных с кровообращением;

k) вещества, влияющие на периферийное кровообращение, такие как никотин, медицинские препараты или химические реагенты, сопутствующие конкретным рабочим условиям;

l) шум.

Хотя степень важности вышеперечисленных факторов с точки зрения провоцирования появления вибрационной болезни во всех подробностях еще не определена и к регистрации ряда факторов требования в настоящем стандарте не установлены, сбор полной информации о них был бы весьма желателен для накопления банка данных наблюдений (см. Приложение F).

Приложение E
(справочное)

ПРОФИЛАКТИЧЕСКИЕ МЕРОПРИЯТИЯ

E.1. Санитарные профилактические мероприятия, связанные с регулярным воздействием локальной вибрации

Рекомендуются следующие мероприятия:

a) Перед приемом на работу, при выполнении которой рабочий может быть подвергнут воздействию локальной вибрации, он должен:

- пройти медицинское обследование;

- иметь профмаршрут (историю предшествующих воздействий вибрации).

b) Каждый рабочий, применяющий виброопасный инструмент, должен быть предупрежден о риске для здоровья, связанном с воздействием локальной вибрации.

c) Более тщательное обследование перед применением виброопасного инструмента должны пройти лица со следующими заболеваниями:

- первичное заболевание Рейно;

- заболевания, вызванные нарушением кровообращения в кистях рук;

- травмы рук, повлекшие за собой нарушение кровообращения или деформацию костей и суставов;

- вторичный феномен Рейно с установленными причинами его появления;

- нарушения периферической нервной системы;

- заболевания опорно-двигательного аппарата.

d) Необходимо регистрировать все симптомы заболеваний и обеспечить периодический медицинский контроль лиц, подвергающихся риску развития вибрационной болезни.

В некоторых странах существуют ограничения на применение лицами моложе 18 лет виброопасных инструментов некоторых видов.

E.2. Технические мероприятия, направленные на снижение воздействия локальной вибрации

Рекомендуются следующие мероприятия:

a) При наличии выбора между различными технологическими процессами использовать тот, для которого вибрационное воздействие минимально.

b) При наличии выбора между различными инструментами (с дополнительными приспособлениями) использовать тот, который создает минимальную вибрацию.

c) Техническое обслуживание оборудования должно быть проведено в соответствии со всеми предписаниями изготовителя.

d) Следует предусмотреть меры, препятствующие попаданию жидкости или газа от работающего инструмента на руки оператора.

e) При работе на холоде по возможности следует обеспечить прогрев рукояток ручного инструмента.

f) Не следует применять инструменты с рукоятками такой формы, которая приводит к сильному натяжению кожи ладони в месте контакта.

g) При наличии выбора следует использовать те инструменты, которые требуют приложения минимальных сил (нажатия и обхвата) в месте контакта.

h) Масса ручного инструмента должна быть по возможности минимальна при условии, что это не приведет к росту других параметров, таких как уровень вибрации или прилагаемые силы в месте контакта.

Хотя антивибрационные перчатки обычно нельзя считать достаточным средством защиты, их применение рекомендуется, если установлено, что такие перчатки обеспечивают снижение передаваемых на руки оператора воздействий в диапазоне частот действия вибрации (см. ГОСТ ИСО 10819).

E.3. Административные решения, направленные на снижение воздействия локальной вибрации

Рекомендуются следующие мероприятия:

a) Обучение рабочих правильному обращению с оборудованием.

b) Планирование рабочего дня таким образом, чтобы в нем были предусмотрены периоды, когда рабочий не испытывает воздействия вибрации <*>.

<*> Предполагают, что риск появления вибрационной болезни уменьшается, если не допускать непрерывного воздействия вибрации в течение длительного периода времени.

c) Создание условий, препятствующих переохлаждению работающих.

E.4. Рекомендации для лиц, работающих с вибрирующими инструментами

Работающим с вибрирующим инструментом рекомендуется:

a) Позволить инструменту работать при минимально возможном усилии обхвата при условии, что это не ухудшит управляемость инструментом и не противоречит требованиям безопасности <**>.

<**> В некоторых случаях повышение сил обхвата и нажатия приводит к уменьшению измеряемого виброускорения, хотя с точки зрения вибрационной безопасности это не всегда может быть выгодным.

b) В случае появления повышенной вибрации сообщать об этом лицу, которое должно осуществлять контроль за выполнением работ.

c) Носить соответствующую одежду и перчатки, позволяющие сохранять телу тепло и держать руки сухими, особенно в процессе работы с виброопасным инструментом.

d) Избегать курения и употребления нюхательного табака или свести его до минимума как до, так и в процессе работы с виброопасным инструментом, поскольку никотин снижает кровообращение в кистях и пальцах рук.

e) В случае побеления или посинения пальцев рук, а также в случаях их продолжительного непрекращающегося покалывания или онемения обращаться к врачу.

Приложение F
(справочное)

РУКОВОДСТВО ПО ПРЕДСТАВЛЕНИЮ ДОПОЛНИТЕЛЬНОЙ ИНФОРМАЦИИ

F.1. Введение

В соответствии с настоящим стандартом основными величинами, используемыми для определения степени опасности воздействия локальной вибрации, являются и A(8). Однако еще не совсем ясно, как именно различные параметры вибрации связаны с нарушениями здоровья. Возможно, с ростом знаний в этой области метод оценки будет несколько изменен, например в отношении вида частотной коррекции, частотного диапазона измерений, зависимости от времени и обработки сигналов многокомпонентной вибрации. Возможно также, что потребуется определить разные методы анализа для разных видов воздействия локальной вибрации.

Для того чтобы обеспечить максимальную ценность дальнейших измерений с использованием настоящего стандарта и возможное пополнение знаний о влиянии локальной вибрации на человека, рекомендуется при проведении измерений и оценке воздействия вибрации регистрировать дополнительную информацию. Руководство по сбору и регистрации дополнительных сведений дано в настоящем Приложении.

F.2. Источники вибрации и работа инструмента

Рекомендуется давать точное описание инструмента, его типа, срока службы, массы, размеров и состояния. Вибрационные характеристики вибрирующего инструмента могут быть самыми разными. Поэтому важно сохранять информацию для всех возможных вибрационных состояний данного инструмента, определяемых разнообразием обрабатываемых деталей и материалов, рабочих условий, методов применения инструмента и характером его использования (чередование периодов работы и простоя).

Следует также регистрировать положение и ориентацию рук на вибрирующем инструменте или поверхности обрабатываемого изделия. Должна быть описана поза оператора, в частности положение его рук.

По-видимому, вибрационная энергия, передаваемая на кисти рук, должна зависеть от сил, действующих в области их контакта с поверхностью в месте обхвата, хотя вид этой зависимости точно не известен. Возможно, что в дальнейшем стандарты в области вибрации будут требовать измерения таких сил. Поэтому, по возможности, силы контакта должны быть измерены или оценены.

Следует регистрировать, где возможно, факторы внешних воздействий на рабочем месте, такие как шум, температура, действующие химические вещества.

F.3. Средства измерений

Настоящий стандарт предусматривает использование систем измерения и записи, удовлетворяющих требованиям ГОСТ ИСО 8041. Если требования настоящего стандарта превышены (например, по частотному диапазону), следует давать полное описание измерительной системы.

Следует подробно описывать положение и ориентацию датчиков на инструменте или детали, а также метод их крепления. Рекомендуется указывать общую массу датчика (датчиков) и крепежного приспособления.

Способ крепления акселерометра может оказать решающее влияние на частотную характеристику измерительной системы. Важно убедиться, что все резонансные частоты установленного датчика лежат существенно выше верхней границы диапазона частот измерений (см. ГОСТ 31192.2).

F.4. Направления действия вибрации

В соответствии с настоящим стандартом измерения должны быть проведены и зафиксированы отдельно по каждому из трех направлений x, y и z. Желательно сохранять записи результатов измерений по всем трем осям (включая среднеквадратичные значения корректированного виброускорения, спектры частот и временные записи сигнала, если такие измерения были проведены).

Примечание. Сохранение результатов измерений по каждому из направлений действия вибрации целесообразно по следующим причинам:

a) некоторые рекомендуемые методы оценивания основаны на значении полной вибрации, однако некоторые другие используют измерения вибрации в том направлении, где она максимальна;

b) зависимость влияния направления, в котором действует вибрация, на состояние здоровья еще полностью не изучена.

F.5. Запись вибросигналов

По возможности следует осуществить и сохранить записи сигналов виброускорения. Ценность таких записей будет ограничена, если при этом не указать диапазон измеряемой вибрации и характеристики полосовых фильтров.

Примечание. Сохранение записей сигналов виброускорения целесообразно по следующим причинам:

a) позволяет обнаружить некоторые недостатки измерений (например, сдвиг нуля, перегрузку измерительной аппаратуры);

b) к одним и тем же данным могут быть применены разные методы частотного анализа;

c) вычисление среднеквадратичного значения, как этого требует настоящий стандарт, может оказаться не самым оптимальным решением; если сохранена запись вибросигнала, это позволит получить значения других характеристик (например, пиковое значение виброускорения, усредненную характеристику четвертой степени виброускорения);

d) для оценки воздействия импульсной вибрации (вызываемой, например, инструментами ударного действия) могут оказаться более подходящими другие методы, включающие в себя, например, измерение пик-фактора <*>.

<*> Соглашение о стандартизации таких методов анализа пока не достигнуто.

F.6. Частотный анализ

Помимо получения корректированной по частоте характеристики желательно иметь исходные данные для среднеквадратичных значений (невзвешенных) виброускорения в третьоктавных полосах по всему диапазону частот измерительной системы.

Кроме того, полезным способом визуального контроля данных в целях оценки частотного состава и выявления различных недостатков измерений является измерение спектральных составляющих в полосах постоянной ширины (например, измерение спектральной плотности мощности). (При измерении спектра мощности важно указывать, какое разрешение по частоте было использовано.)

Примечание. Частотный анализ желателен по следующим причинам:

a) упрощает проведение последующего повторного анализа с использованием данных измерений в третьоктавных полосах и других форм кривой частотной коррекции. (Это особенно полезно, если не сохранена исходная запись вибросигнала);

b) спектральная информация (в частности, полученная при анализе в полосах постоянной ширины) может быть полезна для выявления недостатков измерений: перегрузки или сдвига нуля (хорошо видны по специфической форме низкочастотного участка спектра), а также проблем, связанных с креплением датчика (хорошо видны на высоких частотах);

c) узкополосный анализ поможет выявить причины возникновения вибрации и тем самым позволит инженерному персоналу устранить повышенную вибрацию на некоторых частотах.

F.7. Диапазон частот

Хотя кривая частотной коррекции определена только в заданном диапазоне частот, если в процессе измерений предполагается сохранять записи вибросигнала и данные частотного анализа, то рекомендуется, чтобы диапазон частот измерений был по возможности большим. Однако при этом могут возникнуть сложности на частотах свыше 1000 Гц, связанные с частотной характеристикой установленного датчика вибрации; это требует проверки достоверности результатов измерения высокочастотной вибрации.

Примечание. Представление данных в расширенном частотном диапазоне желательно, поскольку некоторые исследователи видят бОльшую важность составляющих на частотах свыше 1400 Гц, особенно для импульсной вибрации, чем это предполагается в настоящем стандарте.

Приложение G
(справочное)

ИЗМЕНЕНИЕ СТРУКТУРЫ НАСТОЯЩЕГО СТАНДАРТА ПО ОТНОШЕНИЮ К ИСО 5349-1:2001

Указанное в таблице G.1 изменение структуры межгосударственного стандарта относительно структуры примененного международного стандарта обусловлено приведением в соответствие с требованиями ГОСТ 1.5-2001.

Структура международного стандарта ИСО 5349-1:2001 Структура настоящего стандарта
Разделы Подразделы Разделы Подразделы
3 3.1 3
3.2 4
4 5
5 6
6 7
Приложение E E.5 Приложение E -
Приложение F F.8 Приложение F -
Примечание. Структурные элементы настоящего стандарта и международного стандарта ИСО 5349-1:2001, не указанные в данной таблице, идентичны.

Примечание. Структурные элементы настоящего стандарта и международного стандарта ИСО 5349-1:2001, не указанные в данной таблице, идентичны.

БИБЛИОГРАФИЯ

[1] ИСО 8727:1997 (ISO 8727:1997) Вибрация и удар. Воздействие на человека. Биодинамическая система координат (Mechanical vibration and shock - Human exposure - Biodynamic coordinate systems)