Постановление Правительства РФ от 01.08.2020 N 1161

"О внесении изменений в Правила предоставления субсидий российским некоммерческим организациям (за исключением бюджетных и автономных учреждений) на реализацию общеотраслевых проектов по развитию промышленности социально значимых товаров и признании утратившим силу абзаца второго подпункта "Б" пункта 3 изменений, которые вносятся в Правила предоставления субсидий российским некоммерческим организациям (за исключением бюджетных и автономных учреждений) на реализацию общеотраслевых проектов по развитию промышленности социально значимых товаров, утвержденных постановлением Правительства Российской Федерации от 28 августа 2019 г. N 1111"
Редакция от 01.08.2020 — Документ утратил силу, см. «Постановление Правительства РФ от 12.09.2025 N 1411»
Показать изменения

ПРАВИТЕЛЬСТВО РОССИЙСКОЙ ФЕДЕРАЦИИ

ПОСТАНОВЛЕНИЕ
от 1 августа 2020 г. N 1161

О ВНЕСЕНИИ ИЗМЕНЕНИЙ В ПРАВИЛА ПРЕДОСТАВЛЕНИЯ СУБСИДИЙ РОССИЙСКИМ НЕКОММЕРЧЕСКИМ ОРГАНИЗАЦИЯМ (ЗА ИСКЛЮЧЕНИЕМ БЮДЖЕТНЫХ И АВТОНОМНЫХ УЧРЕЖДЕНИЙ) НА РЕАЛИЗАЦИЮ ОБЩЕОТРАСЛЕВЫХ ПРОЕКТОВ ПО РАЗВИТИЮ ПРОМЫШЛЕННОСТИ СОЦИАЛЬНО ЗНАЧИМЫХ ТОВАРОВ И ПРИЗНАНИИ УТРАТИВШИМ СИЛУ АБЗАЦА ВТОРОГО ПОДПУНКТА "Б" ПУНКТА 3 ИЗМЕНЕНИЙ, КОТОРЫЕ ВНОСЯТСЯ В ПРАВИЛА ПРЕДОСТАВЛЕНИЯ СУБСИДИЙ РОССИЙСКИМ НЕКОММЕРЧЕСКИМ ОРГАНИЗАЦИЯМ (ЗА ИСКЛЮЧЕНИЕМ БЮДЖЕТНЫХ И АВТОНОМНЫХ УЧРЕЖДЕНИЙ) НА РЕАЛИЗАЦИЮ ОБЩЕОТРАСЛЕВЫХ ПРОЕКТОВ ПО РАЗВИТИЮ ПРОМЫШЛЕННОСТИ СОЦИАЛЬНО ЗНАЧИМЫХ ТОВАРОВ, УТВЕРЖДЕННЫХ ПОСТАНОВЛЕНИЕМ ПРАВИТЕЛЬСТВА РОССИЙСКОЙ ФЕДЕРАЦИИ ОТ 28 АВГУСТА 2019 Г. N 1111

Правительство Российской Федерации постановляет:

1. Утвердить прилагаемые изменения, которые вносятся в Правила предоставления субсидий российским некоммерческим организациям (за исключением бюджетных и автономных учреждений) на реализацию общеотраслевых проектов по развитию промышленности социально значимых товаров, утвержденные постановлением Правительства Российской Федерации от 18 января 2017 г. N 27 "Об утверждении Правил предоставления субсидий российским некоммерческим организациям (за исключением бюджетных и автономных учреждений) на реализацию общеотраслевых проектов по развитию промышленности социально значимых товаров" (Собрание законодательства Российской Федерации, 2017, N 4, ст. 672; 2018, N 37, ст. 5748; 2019, N 35, ст. 4976).

2. Установить, что пункт 11 изменений, утвержденных настоящим постановлением, распространяется на отношения, возникшие из договоров о предоставлении субсидий, заключенных до 1 марта 2020 г. между Министерством промышленности и торговли Российской Федерации и российскими некоммерческими организациями, реализующими общеотраслевые проекты по развитию промышленности социально значимых товаров.

3. Признать утратившим силу абзац второй подпункта "б" пункта 3 изменений, которые вносятся в Правила предоставления субсидий российским некоммерческим организациям (за исключением бюджетных и автономных учреждений) на реализацию общеотраслевых проектов по развитию промышленности социально значимых товаров, утвержденных постановлением Правительства Российской Федерации от 28 августа 2019 г. N 1111 "О внесении изменений в Правила предоставления субсидий российским некоммерческим организациям (за исключением бюджетных и автономных учреждений) на реализацию общеотраслевых проектов по развитию промышленности социально значимых товаров и признании утратившими силу пункта 11 и абзаца пятого пункта 12 изменений, которые вносятся в Правила предоставления субсидий российским некоммерческим организациям (за исключением бюджетных и автономных учреждений) на реализацию общеотраслевых проектов по развитию промышленности социально значимых товаров" (Собрание законодательства Российской Федерации, 2019, N 35, ст. 4976).

Председатель Правительства
Российской Федерации
М. МИШУСТИН

УТВЕРЖДЕНЫ
постановлением Правительства
Российской Федерации
от 1 августа 2020 г. N 1161

ИЗМЕНЕНИЯ, КОТОРЫЕ ВНОСЯТСЯ В ПРАВИЛА ПРЕДОСТАВЛЕНИЯ СУБСИДИЙ РОССИЙСКИМ НЕКОММЕРЧЕСКИМ ОРГАНИЗАЦИЯМ (ЗА ИСКЛЮЧЕНИЕМ БЮДЖЕТНЫХ И АВТОНОМНЫХ УЧРЕЖДЕНИЙ) НА РЕАЛИЗАЦИЮ ОБЩЕОТРАСЛЕВЫХ ПРОЕКТОВ ПО РАЗВИТИЮ ПРОМЫШЛЕННОСТИ СОЦИАЛЬНО ЗНАЧИМЫХ ТОВАРОВ

1. Дополнить пунктами 3.1 и 3.2 следующего содержания:

"3.1. Результатом предоставления субсидии является активное вовлечение некоммерческих организаций в совместную с Министерством промышленности и торговли Российской Федерации выработку решений, мероприятий и программ развития индустрии, увеличение спроса на производимую отечественную социально значимую продукцию.

3.2. Показатели, необходимые для достижения результата предоставления субсидии:

индекс производства по совокупности производителей, осуществляющих деятельность в рамках соответствующей отрасли, - членов некоммерческой организации;

индекс объема отгруженных товаров по совокупности производителей, осуществляющих деятельность в рамках соответствующей отрасли, - членов некоммерческой организации;

количество проведенных в рамках проекта мероприятий, направленных на продвижение продукции отрасли;

количество организаций отрасли, которые воспользуются льготным доступом к специализированному программному обеспечению и услугам в результате выполнения проекта.".

2. Абзац второй подпункта "б" пункта 6 признать утратившим силу.

3. В пункте 8:

а) подпункт "д" изложить в следующей редакции:

"д) справка, подтверждающая, что некоммерческая организация не находится в процессе реорганизации, ликвидации, в отношении ее не введена процедура банкротства, деятельность некоммерческой организации не приостановлена в порядке, предусмотренном законодательством Российской Федерации, подписанная руководителем некоммерческой организации;";

б) дополнить подпунктом "к" следующего содержания:

"к) бизнес-план с указанием заявляемых значений показателей, необходимых для достижения результата предоставления субсидии, указанных в пункте 3.2 настоящих Правил.".

4. В подпункте "б" пункта 10 слово "представленной" заменить словами "содержащейся в документах, представленных".

5. Подпункт "ж" пункта 16 изложить в следующей редакции:

"ж) некоммерческая организация не должна находиться в процессе реорганизации, ликвидации, в отношении ее не введена процедура банкротства, деятельность некоммерческой организации не должна быть приостановлена в порядке, предусмотренном законодательством Российской Федерации;".

6. В пункте 18:

а) подпункты "г" и "д" изложить в следующей редакции:

"г) бизнес-план с указанием заявленных некоммерческой организацией значений показателей, необходимых для достижения результата предоставления субсидии, а также структуры планируемых затрат, включая привлечение внебюджетных средств некоммерческой организацией, а также обязательство некоммерческой организации по достижению показателей, необходимых для достижения результата предоставления субсидии, указанных в договоре;

д) план-график реализации проекта;";

б) подпункт "з" изложить в следующей редакции:

"з) порядок и сроки возврата субсидии, перечисленной некоммерческой организации при установлении фактов отклонения от значений показателей, необходимых для достижения результата предоставления субсидии, установленных договором и относящихся к существенным условиям его выполнения;";

в) абзац второй подпункта "к" изложить в следующей редакции:

"о достижении результата предоставления субсидии и показателей, необходимых для достижения результата предоставления субсидии;".

7. В пункте 19:

а) в подпункте "в" слова "результативности реализации проекта" заменить словами ", необходимых для достижения результата предоставления субсидии";

б) подпункт "ж" изложить в следующей редакции:

"ж) отчетность о достижении результата предоставления субсидии и показателей, необходимых для достижения результата предоставления субсидии, указанных в подпункте "к" пункта 8 настоящих Правил, по форме согласно приложению N 4.".

8. В подпункте "б" пункта 22 слова "представленной некоммерческой организацией информации" заменить словами "информации, содержащейся в документах, представленных некоммерческой организацией".

9. В подпункте "б" пункта 23 слова "неполных и (или) недостоверных сведений" заменить словами "неполной и (или) недостоверной информации".

10. Пункт 25 изложить в следующей редакции:

"25. Министерство промышленности и торговли Российской Федерации обязано вести реестр проектов, на реализацию которых предоставляются субсидии. Порядок ведения указанного реестра определяется Министерством промышленности и торговли Российской Федерации.

Министерство промышленности и торговли Российской Федерации и уполномоченные органы государственного финансового контроля проводят обязательные проверки соблюдения получателем субсидии целей, условий и порядка предоставления субсидии, которые предусмотрены настоящими Правилами.

В случае установления по итогам проверок, проведенных Министерством промышленности и торговли Российской Федерации и (или) уполномоченными органами государственного финансового контроля, факта нарушения целей, условий и порядка, установленных при предоставлении субсидии, а также в случае недостижения результата предоставления субсидии соответствующие средства подлежат возврату в доход федерального бюджета:

на основании требования Министерства промышленности и торговли Российской Федерации - не позднее 10-го рабочего дня со дня получения некоммерческой организацией указанного требования;

на основании представления и (или) предписания уполномоченного органа государственного финансового контроля - в сроки, установленные в соответствии с бюджетным законодательством Российской Федерации.

Размер средств, подлежащих возврату в федеральный бюджет в случае недостижения результата предоставления субсидии и показателей, необходимых для достижения результата предоставления субсидии, указанных в пунктах 3.1 и 3.2 настоящих Правил, рассчитывается согласно приложению N 3.".

11. Дополнить пунктом 26 следующего содержания:

"26. Министерство промышленности и торговли Российской Федерации на основании заявлений некоммерческих организаций, с которыми заключен договор, вправе вносить изменения в договоры, предусматривающие реализацию проектов в 2020 году, в части продления срока реализации проекта на срок до 12 месяцев и изменения предусмотренных договором промежуточных показателей результативности, в случае, если при реализации проекта в связи с распространением новой коронавирусной инфекции на территории Российской Федерации возникли независящие от сторон обстоятельства, повлекшие невозможность исполнения обязательств в полном объеме.".

12. В приложении N 2 к указанным Правилам:

а) в пункте 2:

абзац второй изложить в следующей редакции:

",";

дополнить абзацами следующего содержания:

" - рейтинг, присуждаемый i-й заявке по критерию, касающемуся количества проведенных в рамках проекта мероприятий, направленных на продвижение продукции отрасли;

- удельный вес рейтинга, присуждаемого i-й заявке по критерию, касающемуся количества проведенных в рамках проекта мероприятий, направленных на продвижение продукции отрасли, значимость которого определяется конкурсной документацией;

- рейтинг, присуждаемый i-й заявке по критерию, касающемуся количества организаций отрасли, которые воспользуются льготным доступом к специализированному программному обеспечению и услугам в результате выполнения проекта;

- удельный вес рейтинга, присуждаемого i-й заявке по критерию, касающемуся количества организаций отрасли, которые воспользуются льготным доступом к специализированному программному обеспечению и услугам в результате выполнения проекта, значимость которого определяется конкурсной документацией.";

б) дополнить пунктами 4.1 и 4.2 следующего содержания:

"4.1. Рейтинг, присуждаемый i-й заявке по критерию, касающемуся количества проведенных в рамках проекта мероприятий, направленных на продвижение продукции отрасли (), определяется по формуле:

где:

- предложение i-й некоммерческой организации о количестве проведенных в рамках проекта мероприятий, направленных на развитие отрасли (единиц);

- минимальное количество проведенных в рамках проекта мероприятий, направленных на развитие отрасли, заявленное одной из некоммерческих организаций (единиц);

- максимальное количество проведенных в рамках проекта мероприятий, направленных на развитие отрасли, заявленное одной из некоммерческих организаций (единиц).

4.2. Рейтинг, присуждаемый i-й заявке по критерию, касающемуся количества организаций отрасли, которые воспользуются льготным доступом к специализированному программному обеспечению и услугам в результате выполнения проекта (), определяется по формуле:

где:

- предложение i-й некоммерческой организации о количестве организаций отрасли, которые воспользуются льготным доступом к специализированному программному обеспечению и услугам в результате выполнения проекта (единиц);

- минимальное количество организаций отрасли, которые воспользуются льготным доступом к специализированному программному обеспечению и услугам в результате выполнения проекта, заявленное одной из некоммерческих организаций (единиц);

- максимальное количество организаций отрасли, которые воспользуются льготным доступом к специализированному программному обеспечению и услугам в результате выполнения проекта, заявленное одной из некоммерческих организаций (единиц).".

13. Приложение N 3 к указанным Правилам изложить в следующей редакции:

"Приложение N 3
к Правилам предоставления субсидий
российским некоммерческим организациям
(за исключением бюджетных и автономных
учреждений) на реализацию общеотраслевых
проектов по развитию промышленности
социально значимых товаров
(в редакции постановления
Правительства Российской Федерации
от 1 августа 2020 г. N 1161)

РАСЧЕТ РАЗМЕРА СРЕДСТВ, ПОДЛЕЖАЩИХ ВОЗВРАТУ РОССИЙСКИМИ НЕКОММЕРЧЕСКИМИ ОРГАНИЗАЦИЯМИ (ЗА ИСКЛЮЧЕНИЕМ БЮДЖЕТНЫХ И АВТОНОМНЫХ УЧРЕЖДЕНИЙ), ПОЛУЧИВШИМИ СУБСИДИЮ НА РЕАЛИЗАЦИЮ ОБЩЕОТРАСЛЕВЫХ ПРОЕКТОВ ПО РАЗВИТИЮ ПРОМЫШЛЕННОСТИ СОЦИАЛЬНО ЗНАЧИМЫХ ТОВАРОВ В СЛУЧАЕ НЕДОСТИЖЕНИЯ ЗНАЧЕНИЙ ПОКАЗАТЕЛЕЙ, НЕОБХОДИМЫХ ДЛЯ ДОСТИЖЕНИЯ РЕЗУЛЬТАТА ПРЕДОСТАВЛЕНИЯ СУБСИДИИ

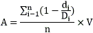
1. Размер средств, подлежащих возврату, в случае недостижения значений показателей, необходимых для достижения результата предоставления субсидии на реализацию общеотраслевых проектов по развитию промышленности социально значимых товаров (тыс. рублей) (A), определяется по формуле:

где:

- достигнутое значение i-го показателя, необходимого для достижения результата предоставления субсидии, указанного в договоре о предоставлении субсидии, на дату окончания срока реализации проекта;

- плановое значение i-го показателя, необходимого для достижения результата предоставления субсидии, указанного в договоре о предоставлении субсидии;

V - размер средств федерального бюджета, использованный некоммерческой организацией в рамках реализации проекта на дату окончания срока реализации проекта (тыс. рублей);

n - количество показателей, необходимых для достижения результата предоставления субсидии, заявленных в рамках реализации проекта;

i - порядковый номер показателя, необходимого для достижения результата предоставления субсидии, заявленного в рамках реализации проекта.

2. В случае если >, для расчета размера средств, подлежащих возврату при недостижении значений показателей, необходимых для достижения результата предоставления субсидии, показатель принимается равным .

3. Размер средств, подлежащих возврату при недостижении значений показателей, необходимых для достижения результата предоставления субсидии, пропорционален степени недостижения показателей, необходимых для достижения результата предоставления субсидии, в рамках подпрограммы "Содействие проведению научных исследований и опытных разработок в гражданских отраслях промышленности" государственной программы Российской Федерации "Развитие промышленности и повышение ее конкурентоспособности.".

14. Дополнить приложением N 4 к указанным Правилам следующего содержания:

"Приложение N 4
к Правилам предоставления субсидий
российским некоммерческим организациям
(за исключением бюджетных и автономных
учреждений) на реализацию общеотраслевых
проектов по развитию промышленности
социально значимых товаров

ОТЧЕТНОСТЬ О ДОСТИЖЕНИИ РЕЗУЛЬТАТА ПРЕДОСТАВЛЕНИЯ СУБСИДИИ И ПОКАЗАТЕЛЕЙ, НЕОБХОДИМЫХ ДЛЯ ДОСТИЖЕНИЯ РЕЗУЛЬТАТА ПРЕДОСТАВЛЕНИЯ СУБСИДИИ, ПО СОСТОЯНИЮ НА __ __________ 20__ Г.

Полное наименование некоммерческой организации

Полное наименование общеотраслевого проекта

N п/пНаименование показателяЕдиница измерения по ОКЕИПлановое значение показателяДостигнутое значение показателя по состоянию на отчетную датуПроцент выполнения планаПричина отклонения
наименованиекод
12345678
       

Руководитель Получателя (уполномоченное лицо)     
(должность) (подпись) (расшифровка подписи)

Исполнитель     
(должность) (ф.и.о.) (телефон)
"__" ____________ 20__ г. 
М.П.
(при наличии)".