Приказ Минфина РФ от 29.06.2020 N 125Н

"О внесении изменений в Приказ Министерства финансов Российской Федерации от 20 июня 2018 г. N 139Н "Об утверждении форм обоснований (расчетов) плановых сметных показателей, применяемых при составлении и ведении бюджетных смет федеральных казенных учреждений"
Редакция от 29.06.2020 — Документ утратил силу, см. «Приказ Минфина РФ от 17.06.2021 N 87Н»

Зарегистрировано в Минюсте России 22 сентября 2020 г. N 59983


МИНИСТЕРСТВО ФИНАНСОВ РОССИЙСКОЙ ФЕДЕРАЦИИ

ПРИКАЗ
от 29 июня 2020 г. N 125н

О ВНЕСЕНИИ ИЗМЕНЕНИЙ В ПРИКАЗ МИНИСТЕРСТВА ФИНАНСОВ РОССИЙСКОЙ ФЕДЕРАЦИИ ОТ 20 ИЮНЯ 2018 Г. N 139Н "ОБ УТВЕРЖДЕНИИ ФОРМ ОБОСНОВАНИЙ (РАСЧЕТОВ) ПЛАНОВЫХ СМЕТНЫХ ПОКАЗАТЕЛЕЙ, ПРИМЕНЯЕМЫХ ПРИ СОСТАВЛЕНИИ И ВЕДЕНИИ БЮДЖЕТНЫХ СМЕТ ФЕДЕРАЛЬНЫХ КАЗЕННЫХ УЧРЕЖДЕНИЙ"

В соответствии с абзацем девятнадцатым статьи 165 Бюджетного кодекса Российской Федерации (Собрание законодательства Российской Федерации, 1998, N 31, ст. 3823; 2019, N 30, ст. 4101) приказываю:

1. Утвердить прилагаемые изменения, которые вносятся в приказ Министерства финансов Российской Федерации от 20 июня 2018 г. N 139н "Об утверждении форм обоснований (расчетов) плановых сметных показателей, применяемых при составлении и ведении бюджетных смет федеральных казенных учреждений" (зарегистрирован Министерством юстиции Российской Федерации 18 июля 2018 г., регистрационный N 51624) с изменениями, внесенными приказами Министерства финансов Российской Федерации от 20 июня 2019 г. N 100н (зарегистрирован Министерством юстиции Российской Федерации 16 июля 2019 г., регистрационный N 55281), от 28 февраля 2020 г. N 31н (зарегистрирован Министерством юстиции Российской Федерации 2 апреля 2020 г., регистрационный N 57944).

2. Установить, что изменения, утверждаемые настоящим приказом, применяются при составлении и ведении бюджетной сметы федерального казенного учреждения, начиная с бюджетной сметы на 2021 год и плановый период 2022 и 2023 годов.

Министр
А.Г. СИЛУАНОВ

УТВЕРЖДЕНЫ
приказом Министерства финансов
Российской Федерации
от 29.06.2020 N 125н

ИЗМЕНЕНИЯ, КОТОРЫЕ ВНОСЯТСЯ В ПРИКАЗ МИНИСТЕРСТВА ФИНАНСОВ РОССИЙСКОЙ ФЕДЕРАЦИИ ОТ 20 ИЮНЯ 2018 Г. N 139Н "ОБ УТВЕРЖДЕНИИ ФОРМ ОБОСНОВАНИЙ (РАСЧЕТОВ) ПЛАНОВЫХ СМЕТНЫХ ПОКАЗАТЕЛЕЙ, ПРИМЕНЯЕМЫХ ПРИ СОСТАВЛЕНИИ И ВЕДЕНИИ БЮДЖЕТНЫХ СМЕТ ФЕДЕРАЛЬНЫХ КАЗЕННЫХ УЧРЕЖДЕНИЙ"

1. В пункте 1 слова "N 1 - 104" заменить словами "N 1 - 141".

2. Приложения N 25, 26, 42 признать утратившими силу.

3. Приложения N 23, 30, 34, 35, 37, 41, 55, 62, 79 изложить в редакции согласно приложению N 1 к настоящим изменениям.

4. Дополнить приложениями N 105 - 141 согласно приложению N 2 к настоящим изменениям.

Приложение N 1
к изменениям, которые
вносятся в приказ
Министерства финансов
Российской Федерации
от 20.06.2018 N 139н
"Об утверждении форм обоснований
(расчетов) плановых сметных
показателей, применяемых
при составлении и ведении
бюджетных смет федеральных
казенных учреждений",
утвержденным приказом
Министерства финансов
Российской Федерации
от 29.06.2020 N 125н

"Приложение N 23
к приказу Министерства финансов
Российской Федерации
от 20.06.2018 N 139н

ОБОСНОВАНИЯ (РАСЧЕТЫ) ПЛАНОВЫХ СМЕТНЫХ ПОКАЗАТЕЛЕЙ НА ЗАКУПКУ ТОВАРОВ, РАБОТ И УСЛУГ ДЛЯ ОБЕСПЕЧЕНИЯ ФЕДЕРАЛЬНЫХ НУЖД ПО ПРОЕКТАМ, РЕАЛИЗУЕМЫМ С УЧАСТИЕМ МЕЖДУНАРОДНЫХ ФИНАНСОВЫХ ОРГАНИЗАЦИЙ, В ЧАСТИ ИСПОЛЬЗОВАНИЯ СРЕДСТВ ЗАЙМОВ МЕЖДУНАРОДНЫХ ФИНАНСОВЫХ ОРГАНИЗАЦИЙ И СРЕДСТВ СОФИНАНСИРОВАНИЯ ИЗ ФЕДЕРАЛЬНОГО БЮДЖЕТА НА 20__ ГОД И НА ПЛАНОВЫЙ ПЕРИОД 20__ И 20__ ГОДОВ

Коды
  Форма по ОКУД 0505535
  от "__" ________ 20__ г. Дата  
Получатель бюджетных средств   по Перечню (Реестру)  
Распорядитель средств федерального бюджета   по Перечню (Реестру)  
Главный распорядитель средств федерального бюджета   Глава по БК  
Раздел   по БК  
Подраздел   по БК  
Целевая статья   по БК  
Вид расходов   по БК  
Вид документа      
  (основной документ - код 01; изменения к документу - код 02)    
Единица измерения: руб по ОКЕИ 383

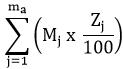
1. Расходы на закупку товаров, работ и услуг для обеспечения федеральных нужд

Наименование показателя Сумма
на 20__ год
(очередной финансовый год)
на 20__ год
(первый год планового периода)
на 20__ год
(второй год планового периода)
1 2 3 4
Закупки товаров, работ и услуг в рамках проектов, реализуемых с участием международных финансовых организаций, в части использования средств займов международных финансовых организаций и средств софинансирования из федерального бюджета      

1.1. Аналитическое распределение по КОСГУ <1>

Наименование показателя Код по КОСГУ Сумма
на 20__ год
(на очередной финансовый год)
на 20__ год
(на первый год планового периода)
на 20__ год
(на второй год планового периода)
1 2 3 4 5
         
         
         

<1> Раздел заполняется в соответствии с Порядком применения классификации операций сектора государственного управления, утвержденным приказом Министерства финансов Российской Федерации от 29 ноября 2017 г. N 209н (зарегистрирован Министерством юстиции Российской Федерации 12 февраля 2018 г., регистрационный N 50003), с изменениями, внесенными приказами Министерства финансов Российской Федерации от 30 ноября 2018 г. N 246н (зарегистрирован Министерством юстиции Российской Федерации 26 декабря 2018 г., регистрационный N 53186), от 13 мая 2019 г. N 69н (зарегистрирован Министерством юстиции Российской Федерации 24 июля 2019 г., регистрационный N 55372).

Форма 0505535 с. 2

2. Расчет объема затрат на закупку товаров, работ и услуг для обеспечения федеральных нужд

Код по КОС ГУ Код строки Наименование проекта, реализуемого с участием международных финансовых организаций Сумма
всего, руб в том числе:
в иностранной валюте в рублевом эквиваленте, руб
доллар США евро по курсу доллара США по курсу евро
на 20__ год
(очередной финансовый год)
на 20__ год
(первый год планового периода)
на 20__ год
(второй год планового периода)
на 20__ год
(очередной финансовый год)
на 20__ год
(первый год планового периода)
на 20__ год
(второй год планового периода)
на 20__ год
(очередной финансовый год)
на 20__ год
(первый год планового периода)
на 20__ год
(второй год планового периода)
на 20__ год
(очередной финансовый год)
на 20__ год
(первый год планового периода)
на 20__ год
(второй год планового периода)
на 20__ год
(очередной финансовый год)
на 20__ год
(первый год планового периода)
на 20__ год
(второй год планового периода)
1 2 3 4 5 6 7 8 9 10 11 12 13 14 15 16 17 18
  001                                
  002                                
                                   
  Итого по коду КОСГУ                              
                                   
                                   
                                   
  Итого по коду КОСГУ                              
  Всего                              

3. Сведения о нормативных правовых (правовых) актах Российской Федерации, на основании которых осуществляется закупка товаров, работ и услуг в целях реализации проектов с участием международных финансовых организаций

Нормативный правовой (правовой) акт
вид дата номер наименование статус предполагаемая дата изменения статуса <2>
1 2 3 4 5 6
           
           
           

<2> Для проектов нормативных правовых (правовых) актов указывается предполагаемый срок внесения в Правительство Российской Федерации (утверждения федеральным органом исполнительной власти); для действующих, подлежащих признанию утратившими силу (приостановлению) нормативных правовых (правовых) актов указывается дата прекращения (приостановления) их действия. В случае если срок действия нормативного правового (правового) акта не установлен, в данной графе ставится "01.01.2099".

4. СПРАВОЧНО: курс доллара США к рублю Российской Федерации, учтенный при расчете объема затрат

на 20__ год
(на очередной финансовый год)
на 20__ год
(на первый год планового периода)
на 20__ год
(на второй год планового периода)
1 2 3
     

5. СПРАВОЧНО: курс евро, учтенный при расчете объема бюджетных ассигнований, руб за 1 евро

на 20__ год
(на очередной финансовый год)
на 20__ год
(на первый год планового периода)
на 20__ год
(на второй год планового периода)
1 2 3
     
Руководитель              
(уполномоченное лицо) (должность)   (подпись)   (расшифровка подписи)
               
Исполнитель              
  (должность)   (фамилия, инициалы)   (телефон)

"__" ____________ 20__ г.

Приложение N 30
к приказу Министерства финансов
Российской Федерации
от 20.06.2018 N 139н

ОБОСНОВАНИЯ (РАСЧЕТЫ) ПЛАНОВЫХ СМЕТНЫХ ПОКАЗАТЕЛЕЙ ПО СОЦИАЛЬНОМУ ОБЕСПЕЧЕНИЮ И ИНЫМ ВЫПЛАТАМ НАСЕЛЕНИЮ В ЧАСТИ ПУБЛИЧНЫХ ОБЯЗАТЕЛЬСТВ РОССИЙСКОЙ ФЕДЕРАЦИИ ПО ПРИОБРЕТЕНИЮ ТОВАРОВ, РАБОТ, УСЛУГ В ПОЛЬЗУ ГРАЖДАН В ЦЕЛЯХ ИХ СОЦИАЛЬНОГО ОБЕСПЕЧЕНИЯ НА 20__ ГОД И НА ПЛАНОВЫЙ ПЕРИОД 20__ И 20__ ГОДОВ

Коды
  Форма по ОКУД 0505542
  от "__" ________ 20__ г. Дата  
Получатель бюджетных средств   по Перечню (Реестру)  
Распорядитель средств федерального бюджета   по Перечню (Реестру)  
Главный распорядитель средств федерального бюджета   Глава по БК  
Раздел   по БК  
Подраздел   по БК  
Целевая статья   по БК  
Вид расходов   по БК  
Вид документа      
  (основной документ - код 01; изменения к документу - код 02)    
Единица измерения: руб по ОКЕИ 383

1. Расходы на социальное обеспечение и иные выплаты населению и части публичных обязательств Российской Федерации

Наименование показателя Сумма
на 20__ год
(на очередной финансовый год)
на 20__ год
(на первый год планового периода)
на 20__ год
(на второй год планового периода)
1 2 3 4
Приобретение товаров, работ, услуг в пользу граждан в целях их социального обеспечения      

1.1. Аналитическое распределение по КОСГУ <1>

Наименование показателя Код по КОСГУ Сумма
на 20__ год
(на очередной финансовый год)
на 20__ год
(на первый год планового периода)
на 20__ год
(на второй год планового периода)
1 2 3 4 5
Расходы, всего -      
в том числе:        
пособия по социальной помощи населению в натуральной форме 263      
пособия по социальной помощи, выплачиваемые работодателями, нанимателями бывшим работникам в натуральной форме 265      

<1> Раздел заполняется в соответствии с Порядком применения классификации операций сектора государственного управления, утвержденным приказом Министерства финансов Российской Федерации от 29 ноября 2017 г. N 209н (зарегистрирован Министерством юстиции Российской Федерации 12 февраля 2018 г., регистрационный N 50003), с изменениями, внесенными приказами Министерства финансов Российской Федерации от 30 ноября 2018 г. N 246н (зарегистрирован Министерством юстиции Российской Федерации 26 декабря 2018 г., регистрационный N 53186), от 13 мая 2019 г. N 69н (зарегистрирован Министерством юстиции Российской Федерации 24 июля 2019 г., регистрационный N 55372).

Форма 0505542 с. 2

2. Расчет расходов на социальное обеспечение и иные выплаты населению в части публичных обязательств Российской Федерации

Наименование публичного обязательства Российской Федерации Категория получателей публичного обязательства Российской Федерации Наименование объекта закупки Подгруппа нормативных затрат Товары, работы, услуги по ОКПД2 Код по КОСГУ Дополнительный аналитический признак Год (планируемый год) размещения извещения об осуществлении закупки, направления приглашения принять участие в определении поставщика (подрядчика, исполнителя), заключения контракта с единственным поставщиком (подрядчиком, исполнителем) Код строки Сумма Объем принятых бюджетных обязательств, подлежащих исполнению за пределами планового периода
код
(класс, подкласс, группа)
наименование всего на закупки товаров, работ, услуг федерального казенного учреждения на закупки товаров, работ, услуг, осуществляемые в пользу третьих лиц
на 20__ год
(на очередной финансовый год)
(гр. 14 + гр. 17)
на 20__ год
(на первый год планового периода)
(гр. 15 + гр. 18)
на 20__ год
(на второй год планового периода)
(гр. 16 + гр. 19)
на 20__ год
(на очередной финансовый год)
на 20__ год
(на первый год планового периода)
на 20__ год
(на второй год планового периода)
на 20__ год
(на очередной финансовый год)
на 20__ год
(на первый год планового периода)
на 20__ год
(на второй год планового периода)
1 2 3 4 5 6 7 8 9 10 11 12 13 14 15 16 17 18 19 20
                  0000001                    
      0000002                    
                           
Итого по объекту закупки 0000900                    
Итого по категории получателей 0009000                    
Итого по публичному обязательству 0090000                    
Всего 0900000                    

3. Сведения о нормативных правовых (правовых) актах, устанавливающих требования к отдельным видам товаров, работ, услуг (в том числе предельные цены товаров, работ, услуг) и (или) к определению нормативных затрат на обеспечение функций, полномочий государственных органов, в том числе подведомственных указанным органам казенных учреждений

Наименование объекта закупки Подгруппа нормативных затрат Код строки Нормативный правовой (правовой) акт
вид дата номер наименование статус предполагаемая дата изменения статуса <2>
1 2 3 4 5 6 7 8 9
    000001            
             
                 
             

4. Сведения о нормативных правовых (правовых) актах, устанавливающих размер выплаты и (или) порядок расчета выплат

Наименование публичного обязательства Российской Федерации Категория получателей публичного обязательства Российской Федерации Код строки Нормативный правовой (правовой) акт
вид дата номер наименование статус предполагаемая дата изменения статуса <2>
1 2 3 4 5 6 7 8 9
    00001            
    00002            
                 

<3> Для проектов нормативных правовых (правовых) актов указывается предполагаемый срок внесения в Правительство Российской Федерации (утверждения федеральным органом исполнительной власти); для действующих, подлежащих признанию утратившими силу (приостановлению) нормативных правовых (правовых) актов указывается дата прекращения (приостановления) их действия. В случае если срок действия нормативного правового (правового) акта не установлен, в данной графе ставится "01.01.2099".

В электронном документе нумерация сносок соответствует официальному источнику.

Руководитель              
(уполномоченное лицо) (должность)   (подпись)   (расшифровка подписи)
               
Исполнитель              
  (должность)   (фамилия, инициалы)   (телефон)

"__" __________ 20__ г.

Приложение N 34
к приказу Министерства финансов
Российской Федерации
от 20.06.2018 N 139н

ОБОСНОВАНИЯ (РАСЧЕТЫ) ПЛАНОВЫХ СМЕТНЫХ ПОКАЗАТЕЛЕЙ НА ОСУЩЕСТВЛЕНИЕ БЮДЖЕТНЫХ ИНВЕСТИЦИЙ ИЛИ НА ПРЕДОСТАВЛЕНИЕ СУБСИДИЙ НА ОСУЩЕСТВЛЕНИЕ КАПИТАЛЬНЫХ ВЛОЖЕНИЙ В ОБЪЕКТЫ КАПИТАЛЬНОГО СТРОИТЕЛЬСТВА ГОСУДАРСТВЕННОЙ СОБСТВЕННОСТИ РОССИЙСКОЙ ФЕДЕРАЦИИ ИЛИ НА ПРИОБРЕТЕНИЕ ОБЪЕКТОВ НЕДВИЖИМОГО ИМУЩЕСТВА В ГОСУДАРСТВЕННУЮ СОБСТВЕННОСТЬ РОССИЙСКОЙ ФЕДЕРАЦИИ НА ТЕРРИТОРИИ РОССИЙСКОЙ ФЕДЕРАЦИИ НА 20__ ГОД И НА ПЛАНОВЫЙ ПЕРИОД 20__ И 20__ ГОДОВ

Коды
  Форма по ОКУД 0505546
  от "__" ________ 20__ г. Дата  
Получатель бюджетных средств   по Перечню (Реестру)  
Распорядитель средств федерального бюджета   по Перечню (Реестру)  
Главный распорядитель средств федерального бюджета   Глава по БК  
Раздел   по БК  
Подраздел   по БК  
Целевая статья   по БК  
Вид расходов   по БК  
Вид документа      
  (основной документ - код 01; изменения к документу - код 02)    
Единица измерения: руб по ОКЕИ 383

1. Расходы на осуществление капитальных вложений

Наименование застройщика/заказчика Код по Сводному реестру Наименование показателя Код строки Сумма Объем расходных обязательств, подлежащих исполнению за пределами планового периода
на 20__ год
(на очередной финансовый год)
на 20__ год
(на первый год планового периода)
на 20__ год
(на второй год планового периода)
1 2 3 4 5 6 7 8
    Расходы на объекты, всего 010        
в том числе:          
на объекты капитального строительства 011        
на объекты недвижимого имущества 012        
на мероприятия (укрупненные инвестиционные проекты), кроме мероприятий по обеспечению жильем военнослужащих 013        
на мероприятия по обеспечению жильем военнослужащих 014        
Итого по всем застройщикам/заказчикам 090        
в том числе:          
на объекты капитального строительства 091        
на объекты недвижимого имущества 092        
на мероприятия (укрупненные инвестиционные проекты), кроме мероприятий по обеспечению жильем военнослужащих 093        
на мероприятия по обеспечению жильем военнослужащих 094        

1.1. Аналитическое распределение по КОСГУ <1>

Наименование показателя Код по КОСГУ Сумма
на 20__ год
(на очередной финансовый год)
на 20__ год
(на первый год планового периода)
на 20__ год
(на второй год планового периода)
1 2 3 4 5
         
         
         

<1> Раздел заполняется в соответствии с Порядком применения классификации операций сектора государственного управления, утвержденным приказом Министерства финансов Российской Федерации от 29 ноября 2017 г. N 209н (зарегистрирован Министерством юстиции Российской Федерации 12 февраля 2018 г., регистрационный N 50003), с изменениями, внесенными приказами Министерства финансов Российской Федерации от 30 ноября 2018 г. N 246н (зарегистрирован Министерством юстиции Российской Федерации 26 декабря 2018 г., регистрационный N 53186), от 13 мая 2019 г. N 69н (зарегистрирован Министерством юстиции Российской Федерации 24 июля 2019 г., регистрационный N 55372).

2. Распределение объема затрат по объектам капитального строительства, объектам недвижимого имущества, мероприятиям (укрупненным инвестиционным проектам)

Застройщик/Заказчик Код строки Объект капитального строительства, объект недвижимого имущества, мероприятие (укрупненный инвестиционный проект) Сумма Объем расходных обязательств, подлежащих исполнению за пределами планового периода
наименование код по Сводному реестру наименование уникальный код на 20__ год
(на очередной финансовый год)
на 20__ год
(на первый год планового периода)
на 20__ год
(на второй год планового периода)
1 2 3 4 5 6 7 8 9
    0001            
             
             
Итого по застройщику/заказчику 0100 x x        
Всего 9000 x x        

Форма 0505546 с. 2

2.1. Сведения об объектах капитального строительства

2.1.1. Сведения об объектах капитального строительства и о распределении объемов затрат по направлениям инвестирования

Объект капитального строительства Код строки Сумма Объем расходных обязательств, подлежащих исполнению за пределами планового периода
уникальный код наименование застройщик местонахождение адрес в соответствии с федеральной информационной адресной системой
(далее - ФИАС)
(при наличии)
сметная или предполагаемая
(предельная) стоимость
наименование направления инвестирования код вида экономической деятельности по ОКВЭД срок ввода в эксплуатацию мощность (при наличии) на 20__ год
(на очередной финансовый год)
на 20__ год
(на первый год планового периода)
на 20__ год
(на второй год планового периода)
наименование код по Сводному реестру код по ОКТМО наименование единица измерения наименование количественное значение
код по ОКЕИ наименование
1 2 3 4 5 6 7 8 9 10 11 12 13 14 15 16 17 18 19 20
                              001        
       
                       
       
Итого по объекту 800        
Всего 900        

2.1.2. Сведения о проектной документации на объекты капитального строительства и о земельных участках под строительство

2.1.2.1. Сведения о проектной документации на объекты капитального строительства

Объект капитального строительства Проектная документация Заключение экспертизы проектной документации Заключение о достоверности сметной стоимости Пояснения
уникальный код наименование статус дата утверждения номер дата орган/учреждение, выдавший(ее) заключение номер дата орган/учреждение, выдавший(ее) заключение заключение контракта "под ключ"
(да/нет)
обоснование необходимости финансового обеспечения без наличия проектной документации причина отсутствия проектной документации планируемый срок утверждения проектной документации (ДД.ММ.ГГГГ)
1 2 3 4 5 6 7 8 9 10 11 12 13 14
                           
                       
                           
                       

2.1.2.2. Сведения о земельных участках под строительство

Объект капитального строительства Земельный участок Пояснения
(при необходимости)
уникальный код наименование статус реквизиты документа о праве собственности кадастровый номер
номер дата субъект права выдавший орган/учреждение
1 2 3 4 5 6 7 8 9
                 
           
                 
           

2.1.3. Сведения о нормативных правовых (правовых) актах и решениях координационных органов Правительства Российской Федерации и органов управления проектной деятельностью Правительства Российской Федерации

Объект капитального строительства Нормативный правовой (правовой) акт Решение координационного органа Правительства Российской Федерации или органа управления проектной деятельностью Правительства Российской Федерации
уникальный код наименование
вид дата номер наименование статус предполагаемая дата изменения статуса <2> наименование органа протокол
номер дата
1 2 3 4 5 6 7 8 9 10 11
                     
     
                 
     
                     
     
                 
     

Форма 0505546 с. 3

2.2. Сведения об объектах недвижимого имущества

2.2.1. Сведения об объектах недвижимого имущества и о распределении объема затрат

Объект недвижимого имущества Код строки Сумма Объем расходных обязательств, подлежащих исполнению за пределами планового периода
уникальный код наименование заказчик местонахождение адрес в соответствии с ФИАС (при наличии) стоимость приобретения наименование направления инвестирования код вида экономической деятельности по ОКВЭД срок приобретения мощность на 20__ год
(на очередной финансовый год)
на 20__ год
(на первый год планового периода)
на 20__ год
(на второй год планового периода)
наименование код по Сводному реестру код по ОКТМО наименование единица измерения наименование количественное значение
код по ОКЕИ наименование
1 2 3 4 5 6 7 8 9 10 11 12 13 14 15 16 17 18 19 20
                              001        
       
                                       
       
Итого 900      

2.2.2. Сведения о нормативных правовых (правовых) актах и решениях координационных органов Правительства Российской Федерации или органов управления проектной деятельностью Правительства Российской Федерации

Объект недвижимого имущества Нормативный правовой (правовой) акт Решение координационного органа Правительства Российской Федерации или органа управления проектной деятельностью Правительства Российской Федерации
уникальный код наименование вид дата номер наименование статус предполагаемая дата изменения статуса <2> наименование органа протокол
номер дата
1 2 3 4 5 6 7 8 9 10 11
                     
     
                 
     
                     
     
                 
     

2.3. Сведения о мероприятиях (укрупненных инвестиционных проектов), кроме мероприятий по обеспечению жильем военнослужащих

2.3.1. Сведения о мероприятиях (укрупненных инвестиционных проектах) и о распределении объема затрат

Мероприятие (укрупненный инвестиционный проект) Код строки Сумма Объем расходных обязательств, подлежащих исполнению за пределами планового периода
уникальный код наименование код вида экономической деятельности по ОКВЭД предполагаемая (предельная) стоимость (при наличии) срок ввода в эксплуатацию (при наличии) мощность
(при наличии)
на 20__ год
(на очередной финансовый год)
на 20__ год
(на первый год планового периода)
на 20__ год
(на второй год планового периода)
единица измерения наименование количественное значение
код по ОКЕИ наименование
1 2 3 4 5 6 7 8 9 10 11 12 13 14
                  001        
       
                           
       
Итого 900        

2.3.1.1. Сведения о нормативных правовых (правовых) актах и решениях координационных органов Правительства Российской Федерации или органов управления проектной деятельностью Правительства Российской Федерации

Мероприятие (укрупненный инвестиционный проект) Нормативный правовой (правовой) акт Решение координационного органа Правительства Российской Федерации или органа управления проектной деятельностью Правительства Российской Федерации
уникальный код наименование вид дата номер наименование статус предполагаемая дата изменения статуса <2> наименование органа протокол
номер дата
1 2 3 4 5 6 7 8 9 10 11
                     
     
                 
     
                     
     
                 
     

Форма 0505546 с. 4

2.3.2. Сведения о детализации мероприятий (укрупненных инвестиционных проектов) и о распределении объема затрат по направлениям инвестирования

Мероприятие (укрупненный инвестиционный проект) Объект капитального строительства, объект недвижимого имущества Код строки Сумма Объем расходных обязательств, подлежащих исполнению за пределами планового периода
уникальный код наименование уникальный код наименование застройщик/заказчик местонахождение адрес в соответствии с ФИАС
(при наличии)
сметная или предполагаемая (предельная) стоимость (стоимость приобретения) наименование направления инвестирования код вида экономической деятельности по ОКВЭД срок ввода в эксплуатацию
(срок приобретения)
мощность
(при наличии)
на 20__ год
(на очередной финансовый год)
на 20__ год
(на первый год планового периода)
на 20__ год
(на второй год планового периода)
наименование код по Сводному реестру код по ОКТМО наименование единица измерения наименование количественное значение
код по ОКЕИ наименование
1 2 3 4 5 6 7 8 9 10 11 12 13 14 15 16 17 18 19 20 21 22
                                  001        
       
                       
       
                                       
       
                       
       
Итого по объекту 600        
Итого по мероприятию (укрупненному инвестиционному проекту) 700        
Всего 900        

2.3.2.1. Сведения о проектной документации на объекты капитального строительства и о земельных участках под строительство

2.3.2.1.1. Сведения о проектной документации на объекты капитального строительства

Мероприятие (укрупненный инвестиционный проект) Объект капитального строительства Проектная документация Заключение экспертизы проектной документации Заключение о достоверности сметной стоимости
уникальный код наименование уникальный код наименование статус дата утверждения номер дата орган/учреждение, выдавший(ее) заключение номер дата орган/учреждение, выдавший(ее) заключение
1 2 3 4 5 6 7 8 9 10 11 12
                       
               
                   
               
                       
               
                   
               

2.3.2.1.2. Сведения о земельных участках под строительство

Мероприятие (укрупненный инвестиционный проект) Объект капитального строительства Земельный участок Пояснения
(при необходимости)
уникальный код наименование уникальный код наименование статус реквизиты документа о праве собственности кадастровый номер
номер дата субъект права выдавший орган/учреждение
1 2 3 4 5 6 7 8 9 10 11
                     
           
                 
           
                     
           
                 
           

Форма 0505546 с. 5

2.3.2.2. Сведения о нормативных правовых (правовых) актах и решениях координационных органов Правительства Российской Федерации или органов управления проектной деятельностью Правительства Российской Федерации

Мероприятие (укрупненный инвестиционный проект) Объект капитального строительства, объект недвижимого имущества Нормативный правовой (правовой) акт Решение координационного органа Правительства Российской Федерации или органа управления проектной деятельностью Правительства Российской Федерации
уникальный код наименование уникальный код наименование вид дата номер наименование статус предполагаемая дата изменения статуса <2> наименование органа протокол
номер дата
1 2 3 4 5 6 7 8 9 10 11 12 13
                         
     
                 
     
                     
     
                 
     
                         
     
                 
     
                     
     
                 
     

2.4. Сведения о мероприятиях по обеспечению жильем военнослужащих

2.4.1. Сведения о мероприятиях по обеспечению жильем военнослужащих и о распределении объема затрат

Мероприятие по обеспечению жильем военнослужащих Код строки Сумма Объем расходных обязательств, подлежащих исполнению за пределами
уникальный код наименование количество военнослужащих и лиц, имеющих специальное звание наименование направления инвестирования код вида экономической деятельности по ОКВЭД срок реализации мощность на 20__ год
(на очередной финансовый год)
на 20__ год
(на первый год планового периода)
на 20__ год
(на второй год планового периода)
единица измерения наименование количественное значение
код по ОКЕИ наименование
1 2 3 4 5 6 7 8 9 10 11 12 13 14 15
                    001        
       
                             
       
Итого по мероприятию 800        
Всего 900        

2.4.2. Сведения о нормативных правовых (правовых) актах и решениях координационных органов Правительства Российской Федерации или органов управления проектной деятельностью Правительства Российской Федерации

Мероприятие по обеспечению жильем военнослужащих Нормативный правовой (правовой) акт Решение координационного органа Правительства Российской Федерации или органа управления проектной деятельностью Правительства Российской Федерации
уникальный код наименование вид дата номер наименование статус предполагаемая дата изменения статуса <2> наименование органа протокол
номер дата
1 2 3 4 5 6 7 8 9 10 11
                     
     
                 
     
                     
     
                 
     

<2> Для проектов нормативных правовых (правовых) актов указывается предполагаемый срок внесения в Правительство Российской Федерации (утверждения федеральным органом исполнительной власти); для действующих, подлежащих признанию утратившими силу (приостановлению) нормативных правовых (правовых) актов указывается дата прекращения (приостановления) их действия. В случае если срок действия нормативного правового (правового) акта не установлен, в данной графе ставится "01.01.2099".

Руководитель              
(уполномоченное лицо) (должность)   (подпись)   (расшифровка подписи)
               
Исполнитель              
  (должность)   (фамилия, инициалы)   (телефон)

"__" __________ 20__ г.

Приложение N 35
к приказу Министерства финансов
Российской Федерации
от 20.06.2018 N 139н

ОБОСНОВАНИЯ (РАСЧЕТЫ) ПЛАНОВЫХ СМЕТНЫХ ПОКАЗАТЕЛЕЙ НА ОСУЩЕСТВЛЕНИЕ БЮДЖЕТНЫХ ИНВЕСТИЦИЙ ИЛИ НА ПРЕДОСТАВЛЕНИЕ СУБСИДИЙ НА ОСУЩЕСТВЛЕНИЕ КАПИТАЛЬНЫХ ВЛОЖЕНИЙ В ОБЪЕКТЫ КАПИТАЛЬНОГО СТРОИТЕЛЬСТВА ГОСУДАРСТВЕННОЙ СОБСТВЕННОСТИ РОССИЙСКОЙ ФЕДЕРАЦИИ ИЛИ НА ПРИОБРЕТЕНИЕ ОБЪЕКТОВ НЕДВИЖИМОГО ИМУЩЕСТВА В ГОСУДАРСТВЕННУЮ СОБСТВЕННОСТЬ РОССИЙСКОЙ ФЕДЕРАЦИИ ЗА ПРЕДЕЛАМИ ТЕРРИТОРИИ РОССИЙСКОЙ ФЕДЕРАЦИИ НА 20__ ГОД И НА ПЛАНОВЫЙ ПЕРИОД 20__ И 20__ ГОДОВ

Коды
  Форма по ОКУД 0505547
  от "__" ________ 20__ г. Дата  
Получатель бюджетных средств   по Перечню (Реестру)  
Распорядитель средств федерального бюджета   по Перечню (Реестру)  
Главный распорядитель средств федерального бюджета   Глава по БК  
Раздел   по БК  
Подраздел   по БК  
Целевая статья   по БК  
Вид расходов   по БК  
Вид документа      
  (основной документ - код 01; изменения к документу - код 02)    
Единица измерения: руб по ОКЕИ 383

1. Расходы на осуществление капитальных вложений

Наименование застройщика/заказчика код по Сводному реестру Наименование показателя Код строки Сумма Объем расходных обязательств, подлежащих исполнению за пределами планового периода
на 20__ год
(на очередной финансовый год)
на 20__ год
(на первый год планового периода)
на 20__ год (на второй год планового периода)
1 2 3 4 5 6 7 8
    Расходы на объекты, всего 010        
в том числе:          
на объекты капитального строительства 011        
на приобретение объектов недвижимого имущества 012        
Итого по всем застройщикам/заказчикам 090        
в том числе:          
на объекты капитального строительства 091        
на приобретение объектов недвижимого имущества 092        

1.1. Аналитическое распределение по КОСГУ <1>

Наименование показателя Код по КОСГУ Сумма
на 20__ год
(на очередной финансовый год)
на 20__ год
(на первый год планового периода)
а 20__ год
(на второй год планового периода)
1 2 3 4 5
         
         
         

<1> Раздел заполняется в соответствии с Порядком применения классификации операций сектора государственного управления, утвержденным приказом Министерства финансов Российской Федерации от 29 ноября 2017 г. N 209н (зарегистрирован Министерством юстиции Российской Федерации 12 февраля 2018 г., регистрационный N 50003), с изменениями, внесенными приказами Министерства финансов Российской Федерации от 30 ноября 2018 г. N 246н (зарегистрирован Министерством юстиции Российской Федерации 26 декабря 2018 г., регистрационный N 53186), от 13 мая 2019 г. N 69н (зарегистрирован Министерством юстиции Российской Федерации 24 июля 2019 г., регистрационный N 55372).

2. Распределение объема затрат по объектам капитального строительства, объектам недвижимого имущества

2.1. Расчет объема затрат

2.1.1. Расчет объема затрат в валюте Российской Федерации

Застройщик/Заказчик Код строки Объект капитального строительства, объект недвижимого имущества Сумма Объем расходных обязательств, подлежащих исполнению за пределами
наименование код по Сводному реестру наименование уникальный код на 20__ год
(на очередной финансовый год)
на 20__ год
(на первый год планового периода)
на 20__ год
(на второй год планового периода)
1 2 3 4 5 6 7 8 9
    0001            
             
             
Итого по застройщику/заказчику 0100 x x        
Всего 9000 x x        

2.2. Сведения об объектах капитального строительства

2.2.1. Сведения об объектах капитального строительства и о распределении объема затрат по направлениям инвестирования

Объект капитального строительства
уникальный наименование застройщик местонахождение сметная или предполагаемая (предельная) стоимость наименование направления инвестирования код вида экономической деятельности по ОКВЭД срок ввода в эксплуатацию мощность (при наличии)
наименование код по Сводному реестру код ОКСМ страна город в иностранной валюте, доллар США в рублевом эквиваленте иностранной валюты по курсу доллара США, руб в валюте Российской Федерации,
руб
всего
(гр. 9 + гр. 10)
единица измерения наименование количественное значение
код по ОКЕИ наименование
1 2 3 4 5 6 7 8 9 10 11 12 13 14 15 16 17 18
                                   
       
             
       
Итого по объекту 800
Всего 900
Код строки Сумма Объем расходных обязательств, подлежащих исполнению за пределами планового периода
на 20__ год
(на очередной финансовый год)
на 20__ год
(на первый год планового периода)
на 20__
(на второй год планового периода)
в иностранной валюте, доллар США в рублевом эквиваленте иностранной валюты по курсу доллара США, руб в валюте Российской Федерации,
руб
всего
(гр. 21 + гр. 22)
в иностранной валюте, доллар США в рублевом эквиваленте иностранной валюты по курсу доллара США, руб в валюте Российской Федерации,
руб
всего
(гр. 25 + гр. 26)
в иностранной валюте, доллар США в рублевом эквиваленте иностранной валюты по курсу доллара США, руб в валюте Российской Федерации,
руб
всего
(гр. 29 + гр. 30)
в иностранной валюте, доллар США в рублевом эквиваленте иностранной валюты по курсу доллара США, руб в валюте Российской Федерации,
руб
всего
(гр. 33 + гр. 34)
19 20 21 22 23 24 25 26 27 28 29 30 31 32 33 34 35
001                                
                                 
                                 
                                 

Форма 0505547 с. 2

2.2.2 Сведения о нормативных правовых (правовых) актах и решениях координационных органов Правительства Российской Федерации и органов управления проектной деятельностью Правительства Российской Федерации

Объект капитального строительства Нормативный правовой (правовой) акт
уникальный код наименование вид дата номер наименование статус предполагаемая дата изменения статуса <2>
1 2 3 4 5 6 7 8
               
           
               
           

2.3. Сведения об объектах недвижимого имущества

2.3.1. Сведения об объектах недвижимого имущества и о распределении объема затрат

Объект недвижимого имущества
уникальный наименование заказчик местонахождение стоимость приобретения наименование направления инвестирования код вида экономической деятельности по ОКВЭД срок ввода в эксплуатацию мощность
наименование код по Сводному реестру код ОКСМ страна город в иностранной валюте, доллар США в рублевом эквиваленте иностранной валюты по курсу доллара США, руб в валюте Российской Федерации,
руб
всего
(гр. 9 + гр. 10)
единица измерения наименование количественное значение
код по ОКЕИ наименование
1 2 3 4 5 6 7 8 9 10 11 12 13 14 15 16 17 18
                                   
       
                                   
       
Итого по объекту 800
Всего 900
Код строки Сумма Объем расходных обязательств, подлежащих исполнению за пределами планового периода
на 20__ год
(на очередной финансовый год)
на 20__ год
(на первый год планового периода)
на 20__ год
(на второй год планового периода)
в иностранной валюте,
доллар США
в рублевом эквиваленте иностранной валюты по курсу доллара США,
руб
в валюте Российской Федерации,
руб
всего
(гр. 21 + гр. 22)
в иностранной валюте,
доллар США
в рублевом эквиваленте иностранной валюты по курсу доллара США,
руб
в валюте Российской Федерации,
руб
всего
(гр. 25 + гр. 26)
в иностранной валюте,
доллар США
в рублевом эквиваленте иностранной валюты по курсу доллара США,
руб
в валюте Российской Федерации,
руб
всего
(гр. 29 + гр. 30)
в иностранной валюте,
доллар США
в рублевом эквиваленте иностранной валюты по курсу доллара США,
руб
в валюте Российской Федерации,
руб
всего
(гр. 33 + гр. 34)
19 20 21 22 23 24 25 26 27 28 29 30 31 32 33 34 35
001                                
                                 
                                 
                                 

2.3.2. Сведения о нормативных правовых (правовых) актах и решениях координационных органов Правительства Российской Федерации или органов управления проектной деятельностью Правительства Российской Федерации

Объект недвижимого имущества Нормативный правовой (правовой) акт
уникальный код наименование вид дата номер наименование статус предполагаемая дата изменения статуса <2>
1 2 3 4 5 6 7 8
               
           
               
           

<2> Для проектов нормативных правовых (правовых) актов указывается предполагаемый срок внесения в Правительство Российской Федерации (утверждения федеральным органом исполнительной власти); для действующих, подлежащих признанию утратившими силу (приостановлению) нормативных правовых (правовых) актов указывается дата прекращения (приостановления) их действия. В случае если срок действия нормативного правового (правового) акта не установлен, в данной графе ставится "01.01.2099".

2.4. Справочно: курс доллара США, учтенный при расчете объема затрат, руб за 1 доллар США

Сумма Объем расходных обязательств, подлежащих исполнению за пределами планового периода
на 20__ год
(на очередной финансовый год)
на 20__ год
(на первый год планового периода)
на 20__ год
(на второй год планового периода)
1 2 3 4
       
Руководитель              
(уполномоченное лицо) (должность)   (подпись)   (расшифровка подписи)
               
Исполнитель              
  (должность)   (фамилия, инициалы)   (телефон)

"__" __________ 20__ г.

Приложение N 37
к приказу Министерства финансов
Российской Федерации
от 20.06.2018 N 139н

ОБОСНОВАНИЯ (РАСЧЕТЫ) ПЛАНОВЫХ СМЕТНЫХ ПОКАЗАТЕЛЕЙ НА ПРЕДОСТАВЛЕНИЕ МЕЖБЮДЖЕТНЫХ ТРАНСФЕРТОВ, ЗА ИСКЛЮЧЕНИЕМ СУБВЕНЦИЙ, КОНСОЛИДИРОВАННЫХ СУБСИДИЙ, СУБСИДИЙ НА СОФИНАНСИРОВАНИЕ КАПИТАЛЬНЫХ ВЛОЖЕНИЙ В ОБЪЕКТЫ ГОСУДАРСТВЕННОЙ (МУНИЦИПАЛЬНОЙ) СОБСТВЕННОСТИ, А ТАКЖЕ СУБСИДИЙ НА СОФИНАНСИРОВАНИЕ РАСХОДНЫХ ОБЯЗАТЕЛЬСТВ СУБЪЕКТОВ РОССИЙСКОЙ ФЕДЕРАЦИИ, ВОЗНИКАЮЩИХ ПРИ РЕАЛИЗАЦИИ НАЦИОНАЛЬНЫХ ПРОЕКТОВ <1>, НА 20__ ГОД И НА ПЛАНОВЫЙ ПЕРИОД 20__ И 20__ ГОДОВ

Коды
  Форма по ОКУД 0505550
  от "__" ________ 20__ г. Дата  
Получатель бюджетных средств   по Перечню (Реестру)  
Распорядитель средств федерального бюджета   по Перечню (Реестру)  
Главный распорядитель средств федерального бюджета   Глава по БК  
Раздел   по БК  
Подраздел   по БК  
Целевая статья   по БК  
Вид расходов   по БК  
Вид документа      
  (основной документ - код 01; изменения к документу - код 02)    
Единица измерения: руб по ОКЕИ 383

1. Расходы на предоставление межбюджетных трансфертов

Наименование межбюджетного трансферта Сумма
на 20__ год
(на очередной финансовый год)
на 20__ год
(на первый год планового периода)
на 20__ год
(на второй год планового периода)
1 2 3 4
       

<1> Кроме субсидий, направленных на реализацию национальных проектов, источником финансового обеспечения которых являются бюджетные ассигнования резервных фондов Президента Российской Федерации и Правительства Российской Федерации, и (или) в части которых отсутствуют утвержденные правила предоставления и распределения субсидий.

Форма 0505550 с. 2

1.1. Аналитическое распределение по КОСГУ <2>

Наименование показателя Код по КОСГУ Сумма
на 20__ год
(на очередной финансовый год)
на 20__ год
(на первый год планового периода)
на 20__ год
(на второй год планового периода)
1 2 3 4 5
Расходы, всего -      
в том числе:        
перечисления другим бюджетам бюджетной системы Российской Федерации 251      

<2> Раздел заполняется в соответствии с Порядком применения классификации операций сектора государственного управления, утвержденным приказом Министерства финансов Российской Федерации от 29 ноября 2017 г. N 209н (зарегистрирован Министерством юстиции Российской Федерации 12 февраля 2018 г., регистрационный N 50003), с изменениями, внесенными приказами Министерства финансов Российской Федерации от 30 ноября 2018 г. N 246н (зарегистрирован Министерством юстиции Российской Федерации 26 декабря 2018 г., регистрационный N 53186), от 13 мая 2019 г. N 69н (зарегистрирован Министерством юстиции Российской Федерации 24 июля 2019 г., регистрационный N 55372).

2. Распределение общего объема межбюджетных трансфертов между субъектами Российской Федерации <3>

Наименование субъекта Российской Федерации/отдельных муниципальных образований Код строки Объемы предоставляемых межбюджетных трансфертов
на 20__ год
(на очередной финансовый год)
на 20__ год
(на первый год планового периода)
на 20__ год
(на второй год планового периода)
1 2 3 4 5
  001      
  002      
         
Нераспределенный резерв 800      
Всего 900      

<3> Раздел заполняется одновременно с представлением главным распорядителем средств федерального бюджета расчетов распределения межбюджетных трансфертов бюджетам субъектов Российской Федерации в сроки, установленные графиком подготовки и рассмотрения проектов федеральных законов, документов и материалов, разрабатываемых при составлении проекта федерального бюджета и проектов бюджетов государственных внебюджетных фондов Российской Федерации на очередной финансовый год и плановый период.

Форма 0505550 с. 3

3. Сведения о нормативных правовых (правовых) актах, устанавливающих правила предоставления межбюджетных трансфертов и (или) их распределения между субъектами Российской Федерации

Нормативный правовой (правовой) акт
вид дата номер наименование статус предполагаемая дата изменения статуса <4>
1 2 3 4 5 6
           
           
           

<4> Для проектов нормативных правовых (правовых) актов указывается предполагаемый срок внесения в Правительство Российской Федерации (утверждения федеральным органом исполнительной власти); для действующих, подлежащих признанию утратившими силу (приостановлению) нормативных правовых (правовых) актов указывается дата прекращения (приостановления) их действия. В случае если срок действия нормативного правового (правового) акта не установлен, в данной графе ставится "01.01.2099".

Руководитель              
(уполномоченное лицо) (должность)   (подпись)   (расшифровка подписи)
               
Исполнитель              
  (должность)   (фамилия, инициалы)   (телефон)

"__" __________ 20__ г.

Приложение N 41
к приказу Министерства финансов
Российской Федерации
от 20.06.2018 N 139н

ОБОСНОВАНИЯ (РАСЧЕТЫ) ПЛАНОВЫХ СМЕТНЫХ ПОКАЗАТЕЛЕЙ НА ПРЕДОСТАВЛЕНИЕ СУБСИДИЙ НА СОФИНАНСИРОВАНИЕ КАПИТАЛЬНЫХ ВЛОЖЕНИЙ В ОБЪЕКТЫ ГОСУДАРСТВЕННОЙ (МУНИЦИПАЛЬНОЙ) СОБСТВЕННОСТИ НА 20__ ГОД И НА ПЛАНОВЫЙ ПЕРИОД 20__ И 20__ ГОДОВ

Коды
  Форма по ОКУД 0505554
  от "__" ________ 20__ г. Дата  
Получатель бюджетных средств   по Перечню (Реестру)  
Распорядитель средств федерального бюджета   по Перечню (Реестру)  
Главный распорядитель средств федерального бюджета   Глава по БК  
Раздел   по БК  
Подраздел   по БК  
Целевая статья   по БК  
  (основной документ - код 01; изменения к документу - код 02)    
Вид расходов   по БК  
Вид документа      
Единица измерения: руб по ОКЕИ 383

1. Объем затрат на предоставление субсидий на софинансирование капитальных вложений в объекты государственной (муниципальной) собственности

Наименование показателя Код строки Сумма Объем расходных обязательств, подлежащих исполнению за пределами планового периода
на 20__ год
(на очередной финансовый год)
на 20__ год
(на первый год планового периода)
на 20__ год
(на второй год планового периода)
1 2 3 4 5 6
Расходы на объекты, всего 010        
в том числе:          
на объекты капитального строительства 011        
на объекты недвижимого имущества 012        
на мероприятия (укрупненные инвестиционные проекты), подлежащие детализации актами Правительства Российской Федерации 013        
на мероприятия (укрупненные инвестиционные проекты), подлежащие детализации в соглашениях 014        
на мероприятия по обеспечению жильем отдельных категорий граждан 015       x
Нераспределенный резерв 800        
Всего 900        

1.1. Аналитическое распределение по КОСГУ <1>

Наименование показателя Код по КОСГУ Сумма
на 20__ год
(на очередной финансовый год)
на 20__ год
(на первый год планового периода)
на 20__ год
(на второй год планового периода)
1 2 3 4 5
Расходы, всего -      
в том числе:        
перечисления другим бюджетам бюджетной системы Российской Федерации 251      

<1> Раздел заполняется в соответствии с Порядком применения классификации операций сектора государственного управления, утвержденным приказом Министерства финансов Российской Федерации от 29 ноября 2017 г. N 209н (зарегистрирован Министерством юстиции Российской Федерации 12 февраля 2018 г., регистрационный N 50003), с изменениями, внесенными приказами Министерства финансов Российской Федерации от 30 ноября 2018 г. N 246н (зарегистрирован Министерством юстиции Российской Федерации 26 декабря 2018 г., регистрационный N 53186), от 13 мая 2019 г. N 69н (зарегистрирован Министерством юстиции Российской Федерации 24 июля 2019 г., регистрационный N 55372).

2. Распределение объема затрат на предоставление субсидий на софинансирование капитальных вложений в объекты государственной (муниципальной) собственности между субъектами Российской Федерации <2>

Наименование субъекта Российской Федерации/отдельных муниципальных образований Код строки Сумма Объем расходных обязательств, подлежащих исполнению за пределами планового периода
на 20__ год
(на очередной финансовый год)
на 20__ год
(на первый год планового периода)
на 20__ год
(на второй год планового периода)
1 2 3 4 5 6
  001        
           
           
Нераспределенный резерв 800        
Всего 900        

Форма 0505554 с. 2

2.1. Распределение объема затрат на предоставление субсидий на софинансирование капитальных вложений в объекты государственной (муниципальной) собственности между бюджетами субъектов Российской Федерации и объектами капитального строительства, объектами недвижимого имущества, мероприятиями (укрупненными инвестиционными проектами)

Наименование субъекта Российской Федерации/отдельных муниципальных образований Наименование показателя Код строки Объем расходов на предоставление субсидий Объем расходных обязательств, подлежащих исполнению за пределами планового периода
на 20__ год
(на очередной финансовый год)
на 20__ год
(на первый год планового периода)
на 20__ год
(на второй год планового периода)
1 2 3 4 5 6 7
  объекты капитального строительства 010        
объекты недвижимого имущества 020        
мероприятия (укрупненные инвестиционные проекты), подлежащие детализации актами Правительства Российской Федерации 030        
мероприятия (укрупненные инвестиционные проекты), подлежащие детализации в соглашениях 040        
мероприятия по обеспечению жильем отдельных категорий граждан 050       x
Итого по субъекту Российской Федерации 500        
Нераспределенный резерв 800        
Всего 900        

3. Распределение объема затрат на предоставление субсидий на софинансирование капитальных вложений в объекты государственной (муниципальной) собственности между объектами капитального строительства, мероприятиями (укрупненными инвестиционными проектами), объектами недвижимого имущества <2>

Наименование субъекта Российской Федерации/отдельных муниципальных образований Код строки Объект капитального строительства, мероприятие (укрупненный инвестиционный проект), объект недвижимого имущества Объем расходов на предоставление субсидий Объем расходных обязательств, подлежащих исполнению за пределами планового периода
наименование уникальный код на 20__ год
(на очередной финансовый год)
на 20__ год
(на первый год планового периода)
на 20__ год
(на второй год планового периода)
1 2 3 4 5 6 7 8
  001            
           
           
Итого по субъекту Российской Федерации 100 x x        
Нераспределенный резерв 800 x x        
Всего 900 x x        

<2> Раздел заполняется одновременно с представлением главным распорядителем средств федерального бюджета расчетов распределения межбюджетных трансфертов бюджетам субъектов Российской Федерации в сроки, установленные графиком подготовки и рассмотрения проектов федеральных законов, документов и материалов, разрабатываемых при составлении проекта федерального бюджета и проектов бюджетов государственных внебюджетных фондов Российской Федерации на очередной финансовый год и плановый период.

3.1. Сведения об объектах капитального строительства

3.1.1. Сведения об объектах капитального строительства и о распределении затрат по направлениям инвестирования

Объект капитального строительства Код строки Объем расходов на предоставление субсидий Объем расходных обязательств, подлежащих исполнению за пределами планового периода
уникальный код наименование застройщик местонахождение адрес в соответствии с федеральной информационной адресной системой
(далее - ФИАС)
(при наличии)
сметная или предполагаемая (предельная) стоимость наименование направления инвестирования код вида экономической деятельности по ОКВЭД срок ввода в эксплуатацию мощность (при наличии) на 20__ год
(на очередной финансовый год)
на 20__ год
(на первый год планового периода)
на 20__ год
(на второй год планового периода)
наименование код по Сводному реестру код по ОКТМО наименование единица измерения наименование количественное значение
код по ОКЕИ наименование
1 2 3 4 5 6 7 8 9 10 11 12 13 14 15 16 17 18 19 20
                              001        
       
                       
       
Итого по объекту 800        
Всего 900        

3.1.2. Сведения о проектной документации на объекты капитального строительства и о земельных участках под строительство

3.1.2.1. Сведения о проектной документации на объекты капитального строительства

Объект капитального строительства Проектная документация Заключение экспертизы проектной документации Заключение о достоверности сметной стоимости Пояснения
уникальный код наименование статус дата утверждения номер дата орган/учреждение, выдавший(ее) заключение номер дата орган/учреждение, выдавший(ее) заключение заключение контракта "под ключ"
(да/нет)
обоснование необходимости финансового обеспечения без наличия проектной документации причина отсутствия проектной документации планируемый срок утверждения проектной документации
(ДД.ММ.ГГГГ)
1 2 3 4 5 6 7 8 9 10 11 12 13 14
                           
                       
                           
                       

Форма 0505554 с. 3

3.1.2.2. Сведения о земельных участках под строительство

Объект капитального строительства Земельный участок Пояснения
(при необходимости)
уникальный код наименование статус реквизиты документа о праве собственности кадастровый номер
номер дата субъект права выдавший орган/учреждение
1 2 3 4 5 6 7 8 9
                 
           
                 
           

3.1.3. Сведения о нормативных правовых (правовых) актах и решениях координационных органов Правительства Российской Федерации и органов управления проектной деятельностью Правительства Российской Федерации

Объект капитального строительства Нормативный правовой (правовой) акт Решение координационного органа Правительства Российской Федерации или органа управления проектной деятельностью Правительства Российской Федерации
уникальный код наименование
вид дата номер наименование статус предполагаемая дата изменения статуса <3> наименование органа протокол
номер дата
1 2 3 4 5 6 7 8 9 10 11
                     
     
                 
     
                     
     
                 
     

3.2. Сведения об объектах недвижимого имущества

3.2.1. Сведения об объектах недвижимого имущества и о распределении затрат

Объект недвижимого имущества Код строки Объем расходов на предоставление субсидий Объем расходных обязательств, подлежащих исполнению за пределами планового периода
уникальный код наименование заказчик местонахождение адрес в соответствии с ФИАС
(при наличии)
стоимость приобретения наименование направления инвестирования код вида экономической деятельности по ОКВЭД срок приобретения мощность на 20__ год
(на очередной финансовый год)
на 20__ год
(на первый год планового периода)
на 20__ год
(на второй год планового периода)
наименование код по Сводному реестру код по ОКТМО наименование единица измерения наименование количественное значение
код по ОКЕИ наименование
1 2 3 4 5 6 7 8 9 10 11 12 13 14 15 16 17 18 19 20
                              001        
       
                                       
       
Итого 900        

3.2.2. Сведения о нормативных правовых (правовых) актах и решениях координационных органов Правительства Российской Федерации или органов управления проектной деятельностью Правительства Российской Федерации

Объект недвижимого имущества Нормативный правовой (правовой) акт Решение координационного органа Правительства Российской Федерации или органа управления проектной деятельностью Правительства Российской Федерации
уникальный код наименование вид дата номер наименование статус предполагаемая дата изменения
статуса <3>
наименование органа протокол
номер дата
1 2 3 4 5 6 7 8 9 10 11
                     
     
                 
     
                     
     
                 
     

Форма 0505554 с. 4

3.3. Сведения о мероприятиях (укрупненных инвестиционных проектах), подлежащих детализации актами Правительства Российской Федерации

3.3.1. Сведения о мероприятиях (укрупненных инвестиционных проектах) и о распределении затрат

Мероприятие (укрупненный инвестиционный проект) Код строки Объем расходов на предоставление субсидий Объем расходных обязательств, подлежащих исполнению за пределами планового периода
уникальный код наименование код вида экономической деятельности по ОКВЭД предполагаемая (предельная) стоимость (при наличии) срок ввода в эксплуатацию
(при наличии)
мощность
(при наличии)
на 20__ год
(на очередной финансовый год)
на 20__ год
(на первый год планового периода)
на 20__ год
(на второй год планового периода)
единица измерения наименование количественное значение
код по ОКЕИ наименование
1 2 3 4 5 6 7 8 9 10 11 12 13 14
                  001        
       
                           
       
Итого 900        

3.3.1.1. Сведения о нормативных правовых (правовых) актах и решениях координационных органов Правительства Российской Федерации или органов управления проектной деятельностью Правительства Российской Федерации

Мероприятие (укрупненный инвестиционный проект) Нормативный правовой (правовой) акт Решение координационного органа Правительства Российской Федерации или органа управления проектной деятельностью Правительства Российской Федерации
уникальный код наименование вид дата номер наименование статус предполагаемая дата изменения статуса <3> наименование органа протокол
номер дата
1 2 3 4 5 6 7 8 9 10 11
                     
     
                 
     
                     
     
                 
     

3.3.2. Сведения о детализации мероприятий (укрупненных инвестиционных проектов) и о распределении затрат по направлениям инвестирования

Мероприятие (укрупненный инвестиционный проект) Объект капитального строительства, объект недвижимого имущества Код строки Объем расходов на предоставление субсидий Объем расходных обязательств, подлежащих исполнению за пределами планового периода
уникальный код наименование уникальный код наименование застройщик/заказчик местонахождение адрес в соответствии с ФИАС
(при наличии)
сметная или предполагаемая (предельная) стоимость (стоимость приобретения) наименование направления инвестирования код вида экономической деятельности по ОКВЭД срок ввода в эксплуатацию
(срок приобретения)
мощность (при наличии) на 20__ год
(на очередной финансовый год)
на 20__ год
(на первый год планового периода)
на 20_ год
(на второй год планового периода)
наименование код по Сводному реестру код по ОКТМО наименование единица измерения наименование количественное значение
код по ОКЕИ наименование
1 2 3 4 5 6 7 8 9 10 11 12 13 14 15 16 17 18 19 20 21 22
                                  001        
       
                       
       
                                       
       
                       
       
Итого по объекту 600        
Итого по мероприятию (укрупненному инвестиционному проекту) 700        
Всего 900        

Форма 0505554 с. 5

3.3.2.1. Сведения о проектной документации на объекты капитального строительства и о земельных участках под строительство

3.3.2.1.1. Сведения о проектной документации на объекты капитального строительства

Мероприятие (укрупненный инвестиционный Объект капитального строительства Проектная документация Заключение экспертизы проектной документации Заключение о достоверности сметной стоимости
уникальный код наименование уникальный код наименование статус дата утверждения номер дата орган/учреждение, выдавший(ее) заключение номер дата орган/учреждение, выдавший(ее) заключение
1 2 3 4 5 6 7 8 9 10 11 12
                       
               
                   
               
                       
               
                   
               

3.3.2.1.2. Сведения о земельном участке под строительство

Мероприятие (укрупненный инвестиционный проект) Объект капитального строительства Земельный участок Пояснения
(при необходимости)
уникальный код наименование уникальный код наименование статус реквизиты документа о праве собственности кадастровый номер
номер дата субъект права выдавший орган/учреждение
1 2 3 4 5 6 7 8 9 10 11
                     
           
                 
           
                     
           
                 
           

3.3.2.2. Сведения о нормативных правовых (правовых) актах и решениях координационных органов Правительства Российской Федерации или органов управления проектной деятельностью Правительства Российской Федерации

Мероприятие (укрупненный инвестиционный проект) Объект капитального строительства, объект недвижимого имущества Нормативный правовой (правовой) акт Решение координационного органа Правительства Российской Федерации или органа управления проектной деятельностью Правительства Российской Федерации
уникальный код наименование уникальный код наименование вид дата номер наименование статус предполагаемая дата изменения статуса <3> наименование органа протокол
номер дата
1 2 3 4 5 6 7 8 9 10 11 12 13
                         
     
                 
     
                     
     
                 
     
                         
     
                 
     
                     
     
                 
     

<3> Для проектов нормативных правовых (правовых) актов указывается предполагаемый срок внесения в Правительство Российской Федерации (утверждения федеральным органом исполнительной власти); для действующих, подлежащих признанию утратившими силу (приостановлению) нормативных правовых (правовых) актов указывается дата прекращения (приостановления) их действия. В случае если срок действия нормативного правового (правового) акта не установлен, в данной графе ставится "01.01.2099".

3.4. Сведения о мероприятиях (укрупненных инвестиционных проектах), подлежащих детализации в соглашениях, кроме мероприятий по обеспечению жильем отдельных категорий граждан

3.4.1. Сведения о мероприятиях (укрупненных инвестиционных проектах) и о распределении затрат

Мероприятие (укрупненный инвестиционный проект) Код строки Объем расходов на предоставление субсидий Объем расходных обязательств, подлежащих исполнению за пределами планового периода
уникальный код наименование код вида экономической деятельности по ОКВЭД предполагаемая (предельная) стоимость
(при наличии)
срок ввода в эксплуатацию
(при наличии)
мощность
(при наличии)
на 20__ год
(на очередной финансовый год)
на 20__ год
(на первый год планового периода)
на 20__ год
(на второй год планового периода)
единица измерения наименование количественное значение
код по ОКЕИ наименование
1 2 3 4 5 6 7 8 9 10 11 12 13 14
                  001        
       
                           
       
Итого по мероприятию 800        
Всего 900        

3.4.2. Распределение объема затрат между субъектами Российской Федерации

Мероприятие Наименование субъекта Российской Федерации/отдельных муниципальных образований Код строки Объем расходов на предоставление субсидий Объем расходных обязательств, подлежащих исполнению за пределами планового периода
уникальный код наименование на 20__ год
(на очередной финансовый год)
на 20__ год
(на первый год планового периода)
на 20__ год
(на второй год планового периода)
1 2 3 4 5 6 7 8
      001        
           
Итого по мероприятию 700        
Нераспределенный резерв 800        
Всего 900        

3.5. Сведения о мероприятиях по обеспечению жильем отдельных категорий граждан

3.5.1. Сведения о мероприятиях и о распределении затрат

Мероприятие Код строки Объем расходов на предоставление субсидий Объем расходных обязательств, подлежащих исполнению за пределами планового периода
уникальный код наименование количество получателей
(при наличии)
наименование направления инвестирования код вида экономической деятельности по ОКВЭД срок реализации
(при наличии)
мощность
(при наличии)
на 20__ год
(на очередной финансовый год)
на 20__ год
(на первый год планового периода)
на 20__ год
(на второй год планового периода)
единица измерения наименование количественное значение
код по ОКЕИ наименование
1 2 3 4 5 6 7 8 9 10 11 12 13 14 15
                    001        
       
               
       
Итого по мероприятию 800        
Всего 900        

3.5.2. Распределение объема затрат между субъектами Российской Федерации

Мероприятие Наименование субъекта Российской Федерации/отдельных муниципальных образований Код строки Объем расходов на предоставление субсидий Объем расходных обязательств, подлежащих исполнению за пределами планового периода
уникальный код наименование на 20__ год
(на очередной финансовый год)
на 20__ год
(на первый год планового периода)
на 20__ год
(на второй год планового периода)
1 2 3 4 5 6 7 8
      001        
           
Итого по мероприятию 700        
Нераспределенный резерв 800        
Всего 900        
Руководитель              
(уполномоченное лицо) (должность)   (подпись)   (расшифровка подписи)
               
Исполнитель              
  (должность)   (фамилия, инициалы)   (телефон)

"__" __________ 20__ г.

Приложение N 55
к приказу Министерства финансов
Российской Федерации
от 20.06.2018 N 139н

ОБОСНОВАНИЯ (РАСЧЕТЫ) ПЛАНОВЫХ СМЕТНЫХ ПОКАЗАТЕЛЕЙ НА ПРЕДОСТАВЛЕНИЕ СУБВЕНЦИЙ НА ВЫПЛАТУ ГОСУДАРСТВЕННЫХ ПОСОБИЙ ЛИЦАМ, НЕ ПОДЛЕЖАЩИМ ОБЯЗАТЕЛЬНОМУ СОЦИАЛЬНОМУ СТРАХОВАНИЮ НА СЛУЧАЙ ВРЕМЕННОЙ НЕТРУДОСПОСОБНОСТИ И В СВЯЗИ С МАТЕРИНСТВОМ, И ЛИЦАМ, УВОЛЕННЫМ В СВЯЗИ С ЛИКВИДАЦИЕЙ ОРГАНИЗАЦИЙ (ПРЕКРАЩЕНИЕМ ДЕЯТЕЛЬНОСТИ, ПОЛНОМОЧИЙ ФИЗИЧЕСКИМИ ЛИЦАМИ), В СООТВЕТСТВИИ С ФЕДЕРАЛЬНЫМ ЗАКОНОМ ОТ 19 МАЯ 1995 Г. N 81-ФЗ "О ГОСУДАРСТВЕННЫХ ПОСОБИЯХ ГРАЖДАНАМ, ИМЕЮЩИМ ДЕТЕЙ" <1> НА 20__ ГОД И НА ПЛАНОВЫЙ ПЕРИОД 20__ И 20__ ГОДОВ

Коды
  Форма по ОКУД 0505569
  от "__" ________ 20__ г. Дата  
Получатель бюджетных средств   по Перечню (Реестру)  
Распорядитель средств федерального бюджета   по Перечню (Реестру)  
Главный распорядитель средств федерального бюджета   Глава по БК  
Раздел   по БК  
Подраздел   по БК  
Целевая статья   по БК  
Вид расходов   по БК  
Вид документа      
  (основной документ - код 01; изменения к документу - код 02)    
Единица измерения: руб по ОКЕИ 383

<1> Собрание законодательства Российской Федерации, 1995, N 21, ст. 1929; официальный интернет-портал правовой информации (www.pravo.gov.ru), 8 июня 2020 года.

1. Расходы на предоставление субвенции

Наименование показателя   Сумма  
на 20__ год
(на очередной финансовый год)
на 20__ год
(на первый год планового периода)
на 20__ год
(на второй год планового периода)
1 2 3 4
Субвенция на выплату государственных пособий лицам, не подлежащим обязательному социальному страхованию на случай временной нетрудоспособности и в связи с материнством, и лицам, уволенным в связи с ликвидацией организаций (прекращением деятельности, полномочий физическими лицами), в соответствии с Федеральным законом от 19 мая 1995 г. N 81-ФЗ "О государственных пособиях гражданам, имеющим детей" (далее - Федеральный закон)      

1.1. Аналитическое распределение по КОСГУ <2>

Наименование показателя Код по КОСГУ   Сумма  
на 20__ год
(на очередной финансовый год)
на 20__ год
(на первый год планового периода)
на 20__ год
(на второй год планового периода)
1 2 3 4 5
Расходы, всего        
в том числе:        
перечисления другим бюджетам бюджетной системы Российской Федерации 251      

<2> Раздел заполняется в соответствии с Порядком применения классификации операций сектора государственного управления, утвержденным приказом Министерства финансов Российской Федерации от 29 ноября 2017 г. N 209н (зарегистрирован Министерством юстиции Российской Федерации 12 февраля 2018 г., регистрационный N 50003), с изменениями, внесенными приказами Министерства финансов Российской Федерации от 30 ноября 2018 г. N 246н (зарегистрирован Министерством юстиции Российской Федерации 26 декабря 2018 г., регистрационный N 53186), от 13 мая 2019 г. N 69н (зарегистрирован Министерством юстиции Российской Федерации 24 июля 2019 г., регистрационный N 55372).

Форма 0505569 с. 2

2. Распределение объема субвенции между субъектами Российской Федерации <3>

Наименование субъекта Российской Федерации/отдельного муниципального образования Код строки Объем предоставляемой субвенции
всего в том числе на осуществление переданных полномочий по назначению и выплате
на 20__ год
(на очередной финансовый год)
на 20__ год
(на первый год планового
периода)
на 20__ год
(на второй год планового
периода)
пособия по беременности и родам единовременного пособия женщинам, вставшим на учет в ранние сроки беременности единовременного пособия ребенка при рождении ребенка ежемесячного пособия ребенком по уходу за ребенком
на 20__ год
(на очередной финансовый год)
на 20__ год
(на первый год планового
периода)
на 20__ год
(на второй год планового
периода)
на 20__ год
(на очередной финансовый год)
на 20__ год
(на первый год планового
периода)
на 20__ год
(на второй год планового
периода)
на 20__ год
(на очередной финансовый год)
на 20__ год
(на первый год планового
периода)
на 20__ год
(на второй год планового
периода)
на 20__ год
(на очередной финансовый год)
на 20__ год
(на первый год планового
периода)
на 20__ год
(на второй год планового
периода)
1 2 3 4 5 6 7 8 9 10 11 12 13 14 15 16 17
  001                              
  002                              
                                 
Распределяемый объем 700                              
Нераспределенный резерв 800       x x x x x x x x x x x x
Итого 900       x x x x x x x x x x x x

<3> Раздел заполняется одновременно с представлением главным распорядителем средств федерального бюджета расчетов распределения межбюджетных трансфертов бюджетам субъектов Российской Федерации в сроки, установленные графиком подготовки и рассмотрения проектов федеральных законов, документов и материалов, разрабатываемых при составлении проекта федерального бюджета и проектов бюджетов государственных внебюджетных фондов Российской Федерации на очередной финансовый год и плановый период.

3. Показатели, устанавливаемые Федеральным законом для расчета объема затрат на предоставление субвенции

Наименование показателя Код строки   Сумма  
на 20__ год
(на очередной финансовый год)
на 20__ год
(на первый год планового периода)
на 20__ год
(на второй год планового периода)
1 2 3 4 5
Пособие по беременности и родам, определенное в соответствии со статьей 8 Федерального закона 01      
Единовременное пособие женщинам, вставшим на учет в ранние сроки беременности, определенное в соответствии со статьей 10 Федерального закона 02      
Единовременное пособие при рождении ребенка, определенное в соответствии со статьей 12 Федерального закона 03      
Максимальный размер ежемесячного пособия по уходу за ребенком, установленный в соответствии со статьей 15 Федерального закона 04      
Ежемесячное пособие по уходу за ребенком, установленное в соответствии со статьей 15 Федерального закона 05      

Форма 0505569 с. 3

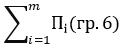
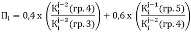
4. Расчет объема затрат на предоставление субвенции на осуществление переданных полномочий по назначению и выплате пособия по беременности и родам

4.1. Расчет объема затрат на 20__ год (на очередной финансовый год)

Наименование субъекта Российской Федерации/отдельного муниципального образования Код строки Прогнозная численность женщин, которые будут уволены в связи с ликвидацией организаций (прекращением деятельности, полномочий физическими лицами), имеющих право на получение пособия, чел Районный коэффициент к заработной плате Расходы на оплату услуг организаций федеральной почтовой связи по доставке и пересылке пособия Объем субсидии
(гр. 3 x гр. 3 стр. 01 (р. 3) x гр. 4 + гр. 5)
1 2 3 4 5 6
  001        
  002        
           
Итого 900 x x x  

4.2. Расчет объема затрат на 20__ год (на первый год планового периода)

Наименование субъекта Российской Федерации/отдельного муниципального образования Код строки Прогнозная численность женщин, которые будут уволены в связи с ликвидацией организаций (прекращением деятельности, полномочий физическими лицами), имеющих право на получение пособия, чел Районный коэффициент к заработной плате Расходы на оплату услуг организаций федеральной почтовой связи по доставке и пересылке пособия Объем субсидии
(гр. 3 x гр. 4 стр. 01 (р. 3) x гр. 4 + гр. 5)
1 2 3 4 5 6
  001        
  002        
           
Итого 900 x x x  

4.3. Расчет объема затрат на 20__ год (на второй год планового периода)

Наименование субъекта Российской Федерации/отдельного муниципального образования Код строки Прогнозная численность женщин, которые будут уволены в связи с ликвидацией организаций (прекращением деятельности, полномочий физическими лицами), имеющих право на получение пособия, чел Районный коэффициент к заработной плате Расходы на оплату услуг организаций федеральной почтовой связи по доставке и пересылке пособия Объем субсидии
(гр. 3 x гр. 5 стр. 01 (р. 3) x гр. 4 + гр. 5)
1 2 3 4 5 6
  001        
  002        
           
Итого 900 x x x  

5. Расчет объема затрат на предоставление субвенции на осуществление переданных полномочий по назначению и выплате единовременного пособия женщинам, вставшим на учет в ранние сроки беременности

5.1. Расчет объема затрат на 20__ год (на очередной финансовый год)

Наименование субъекта Российской Федерации/отдельного муниципального образования Код строки Прогнозная численность женщин, вставших на учет в ранние сроки беременности, которые будут уволены в связи с ликвидацией организаций (прекращением деятельности, полномочий физическими лицами), имеющих право на получение пособия, чел Районный коэффициент к заработной плате Расходы на оплату услуг организаций федеральной почтовой связи по доставке и пересылке пособия Объем субсидии
(гр. 3 x гр. 3 стр. 02 (р. 3) x гр. 4 + гр. 5)
1 2 3 4 5 6
  001        
  002        
           
Итого 900 x x x  

Форма 0505569 с. 4

5.2. Расчет объема затрат на 20__ год (на первый год планового периода)

Наименование субъекта Российской Федерации/отдельного муниципального образования Код строки Прогнозная численность женщин, вставших на учет в ранние сроки беременности, которые будут уволены в связи с ликвидацией организаций (прекращением деятельности, полномочий физическими лицами), имеющих право на получение пособия, чел Районный коэффициент к заработной плате Расходы на оплату услуг организаций федеральной почтовой связи по доставке и пересылке пособия Объем субсидии
(гр. 3 x гр. 4 стр. 02 (р. 3) x гр. 4 + гр. 5)
1 2 3 4 5 6
  001        
  002        
           
Итого 900 x x x  

5.3. Расчет объема затрат на 20__ год (на второй год планового периода)

Наименование субъекта Российской Федерации/отдельного муниципального образования Код строки Прогнозная численность женщин, вставших на учет в ранние сроки беременности, которые будут уволены в связи с ликвидацией организаций (прекращением деятельности, полномочий физическими лицами), имеющих право на получение пособия, чел Районный коэффициент к заработной плате Расходы на оплату услуг организаций федеральной почтовой связи по доставке и пересылке пособия Объем субсидии
(гр. 3 x гр. 5 стр. 02 (р. 3) x гр. 4 + гр. 5)
1 2 3 4 5 6
  001        
  002        
           
Итого 900 x x x  

6. Расчет объема затрат на предоставление субвенции на осуществление переданных полномочий по назначению и выплате единовременного пособия при рождении ребенка

6.1. Расчет объема затрат на 20__ год (на очередной финансовый год)

Наименование субъекта Российской Федерации/отдельного муниципального образования Код строки Прогнозная численность лиц, имеющих право на получение пособия, не подлежащих обязательному социальному страхованию на случай временной нетрудоспособности и в связи с материнством, чел Районный коэффициент к заработной плате Расходы на оплату услуг организаций федеральной почтовой связи по доставке и пересылке пособия Объем субсидии
(гр. 3 x гр. 3 стр. 03 (р. 3) x гр. 4 + гр. 5)
1 2 3 4 5 6
  001        
  002        
           
Итого 900 x x x  

6.2. Расчет объема затрат на 20__ год (на первый год планового периода)

Наименование субъекта Российской Федерации/отдельного муниципального образования Код строки Прогнозная численность лиц, имеющих право на получение пособия, не подлежащих обязательному социальному страхованию на случай временной нетрудоспособности и в связи с материнством, чел Районный коэффициент к заработной плате Расходы на оплату услуг организаций федеральной почтовой связи по доставке и пересылке пособия Объем субсидии
(гр. 3 x гр. 4 стр. 03 (р. 3) x гр. 4 + гр. 5)
1 2 3 4 5 6
  001        
  002        
           
Итого 900 x x x  

Форма 0505569 с. 5

6.3. Расчет объема затрат на 20__ год (на второй год планового периода)

Наименование субъекта Российской Федерации/отдельного муниципального образования Код строки Прогнозная численность лиц, имеющих право на получение пособия, не подлежащих обязательному социальному страхованию на случай временной нетрудоспособности и в связи с материнством, чел Районный коэффициент к заработной плате Расходы на оплату услуг организаций федеральной почтовой связи по доставке и пересылке пособия Объем субсидии
(гр. 3 x гр. 5 стр. 03 (р. 3) x гр. 4 + гр. 5)
1 2 3 4 5 6
  001        
  002        
           
Итого 900 x x x  

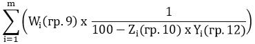
7. Расчет объема затрат на предоставление субвенции на осуществление переданных полномочий по назначению и выплате ежемесячного пособия по уходу за ребенком

7.1. Расчет объема затрат на 20__ год (на очередной финансовый год)

Наименование субъекта Российской Федерации/отдельного муниципального образования Код строки Прогнозное количество выплат пособия в месяц, ед Районный коэффициент к заработной плате Расходы на оплату услуг организаций федеральной почтовой связи по доставке и пересылке пособия Объем субсидии
(гр. 3 x гр. 3 стр. 04 (р. 3) x гр. 5 + гр. 4 x гр. 3 стр. 05 (р. 3) x гр. 5) x 12 + гр. 6)
в максимальном размере по уходу за ребенком
1 2 3 4 5 6 7
  001          
  002          
             
Итого 900 x x x x  

7.2. Расчет объема затрат на 20__ год (на первый год планового периода)

Наименование субъекта Российской Федерации/отдельного муниципального образования Код строки Прогнозное количество выплат пособия в месяц, ед Районный коэффициент к заработной плате Расходы на оплату услуг организаций федеральной почтовой связи по доставке и пересылке пособия Объем субсидии
(гр. 3 x гр. 4 стр. 04 (р. 3) x гр. 5 + гр. 4 x гр. 4 стр. 05 (р. 3) x гр. 5) x 12 + гр. 6)
в максимальном размере по уходу за ребенком
1 2 3 4 5 6 7
  001          
  002          
             
Итого 900 x x x x  

7.3. Расчет объема затрат на 20__ год (на второй год планового периода)

Наименование субъекта Российской Федерации/отдельного муниципального образования Код строки Прогнозное количество выплат пособия в месяц, ед Районный коэффициент к заработной плате Расходы на оплату услуг организаций федеральной почтовой связи по доставке и пересылке пособия Объем субсидии
(гр. 3 x гр. 5 стр. 04 (р. 3) x гр. 5 + гр. 4 x гр. 5 стр. 05 (р. 3) x гр. 5) x 12 + гр. 6)
в максимальном размере по уходу за ребенком
1 2 3 4 5 6 7
  001          
  002          
             
Итого 900 x x x x  

Форма 0505569 с. 6

8. Сведения о нормативных правовых (правовых) актах, устанавливающих порядок расчета объема затрат на предоставление субвенции

Нормативный правовой (правовой) акт
вид дата номер наименование статус предполагаемая дата изменения статуса <4>
1 2 3 4 5 6
           
           
           

<4> Для проектов нормативных правовых (правовых) актов указывается предполагаемый срок внесения в Правительство Российской Федерации (утверждения федеральным органом исполнительной власти); для действующих, подлежащих признанию утратившими силу (приостановлению) нормативных правовых (правовых) актов указывается дата прекращения (приостановления) их действия. В случае если срок действия нормативного правового (правового) акта не установлен, в данной графе ставится "01.01.2099".

Руководитель              
(уполномоченное лицо) (должность)   (подпись)   (расшифровка подписи)
               
Исполнитель              
  (должность)   (фамилия, инициалы)   (телефон)

"__" __________ 20__ г.

Приложение N 62
к приказу Министерства финансов
Российской Федерации
от 20.06.2018 N 139н

ОБОСНОВАНИЯ (РАСЧЕТЫ) ПЛАНОВЫХ СМЕТНЫХ ПОКАЗАТЕЛЕЙ НА ПРЕДОСТАВЛЕНИЕ СУБВЕНЦИЙ НА ОКАЗАНИЕ ГОСУДАРСТВЕННОЙ СОЦИАЛЬНОЙ ПОМОЩИ ОТДЕЛЬНЫМ КАТЕГОРИЯМ ГРАЖДАН В ЧАСТИ ОПЛАТЫ САНАТОРНО-КУРОРТНОГО ЛЕЧЕНИЯ, А ТАКЖЕ ПРОЕЗДА НА МЕЖДУГОРОДНОМ ТРАНСПОРТЕ К МЕСТУ ЛЕЧЕНИЯ И ОБРАТНО НА 20__ ГОД И НА ПЛАНОВЫЙ ПЕРИОД 20__ И 20__ ГОДОВ

Коды
  Форма по ОКУД 0505576
  от "__" ________ 20__ г. Дата  
Получатель бюджетных средств   по Перечню (Реестру)  
Распорядитель средств федерального бюджета   по Перечню (Реестру)  
Главный распорядитель средств федерального бюджета   Глава по БК  
Раздел   по БК  
Подраздел   по БК  
Целевая статья   по БК  
Вид расходов   по БК  
Вид документа      
  (основной документ - код 01; изменения к документу - код 02)    
Единица измерения: руб по ОКЕИ 383

1. Расходы на предоставление субвенции

Наименование показателя Сумма
на 20__ год
(на очередной финансовый год)
на 20__ год
(на первый год планового периода)
на 20__ год
(на второй год планового периода)
1 2 3 4
Субвенция на оказание государственной социальной помощи отдельным категориям граждан в части оплаты санаторно-курортного лечения, а также проезда на междугородном транспорте к месту лечения и обратно      

1.1. Аналитическое распределение по КОСГУ <1>

Наименование показателя Код по КОС ГУ Сумма
на 20__ год
(на очередной финансовый год)
на 20__ год
(на первый год планового периода)
на 20__ год
(на второй год планового периода)
1 2 3 4 5
Расходы, всего -      
в том числе:        
перечисления другим бюджетам бюджетной системы Российской Федерации 251      

<1> Раздел заполняется в соответствии с Порядком применения классификации операций сектора государственного управления, утвержденным приказом Министерства финансов Российской Федерации от 29 ноября 2017 г. N 209н (зарегистрирован Министерством юстиции Российской Федерации 12 февраля 2018 г., регистрационный N 50003), с изменениями, внесенными приказами Министерства финансов Российской Федерации от 30 ноября 2018 г. N 246н (зарегистрирован Министерством юстиции Российской Федерации 26 декабря 2018 г., регистрационный N 53186), от 13 мая 2019 г. N 69н (зарегистрирован Министерством юстиции Российской Федерации 24 июля 2019 г., регистрационный N 55372).

Форма 0505576 с. 2

2. Распределение объема затрат на предоставление субвенции между субъектами Российской Федерации <2>

Наименование субъекта Российской Федерации/отдельного муниципального образования Код строки Объем предоставляемой субвенции на финансирование расходов
всего в том числе по предоставлению гражданам:
на 20__ год
(на очередной финансовый год)
на 20__ год
(на первый год планового периода)
на 20__ год
(на второй год планового периода)
путевок на санаторно-курортное лечение проезда на междугородном транспорте к месту лечения и обратно
на 20__ год
(на очередной финансовый год)
на 20__ год
(на первый год планового периода)
на 20__ год
(на второй год планового периода)
на 20__ год
(на очередной финансовый год)
на 20__ год
(на первый год планового периода)
на 20__ год
(на второй год планового периода)
1 2 3 4 5 6 7 8 9 10 11
  001                  
  002                  
                     
Распределяемый объем 700                  
Нераспределенный резерв 800       x x x x x x
Итого 900       x x x x x x

<2> Раздел заполняется одновременно с представлением главным распорядителем средств федерального бюджета расчетов распределения межбюджетных трансфертов бюджетам субъектов Российской Федерации в сроки, установленные графиком подготовки и рассмотрения проектов федеральных законов, документов и материалов, разрабатываемых при составлении проекта федерального бюджета и проектов бюджетов государственных внебюджетных фондов Российской Федерации на очередной финансовый год и плановый период.

3. Показатели, учитываемые в расчете объема затрат на предоставление субвенции

Наименование показателя Код строки Размер показателя
на 20__ год
(на очередной финансовый год)
на 20__ год
(на первый год планового периода)
на 20__ год
(на второй год планового периода)
1 2 3 4 5
Норматив финансовых затрат в месяц на одного гражданина, получающего государственную социальную помощь в виде социальной услуги по санаторно-курортному лечению 01      
Норматив финансовых затрат в месяц на одного гражданина, получающего государственную социальную помощь в виде социальной услуги по предоставлению проезда на междугородном транспорте к месту лечения и обратно 02      

4. Расчет объема финансирования расходов по предоставлению гражданам путевок на санаторно-курортное лечение

Наименование субъекта Российской Федерации/отдельного муниципального образования Код строки Численность граждан из числа лиц, включенных в Федеральный регистр лиц, имеющих право на получение государственной социальной помощи, которые по состоянию на 1 июля текущего года имеют право на получение набора социальных услуг в виде социальной услуги по санаторно-курортному лечению, чел Объем финансирования расходов по предоставлению гражданам путевок на санаторно-курортное лечение
на 20__ год
(на очередной финансовый год)
на 20__ год
(на первый год планового периода)
на 20__ год
(на второй год планового периода)
на 20__ год
(на очередной финансовый год)
(гр. 3 разд. 3 (01) x гр. 3 x 12)
на 20__ год
(на первый год планового периода)
(гр. 4 разд. 3 (01) x гр. 4 x 12)
на 20__ год
(на второй год планового периода)
(гр. 5 разд. 3 (01) x гр. 5 x 12)
1 2 3 4 5 6 7 8
  001            
  002            
               
Итого 900            

Форма 0505576 с. 3

5. Расчет объема финансирования расходов по предоставлению гражданам проезда на междугородном транспорте к месту лечения и обратно

Наименование субъекта Российской Федерации / отдельного муниципального образования Код строки Численность граждан из числа лиц, включенных в Федеральный регистр лиц, имеющих право на получение государственной социальной помощи, которые по состоянию на 1 июля текущего года имеют право на получение набора социальных услуг в виде социальной услуги по предоставлению проезда на междугородном транспорте к месту лечения и обратно, чел Объем финансирования расходов по предоставлению гражданам проезда на междугородном транспорте к месту лечения и обратно
на 20__ год
(на очередной финансовый год)
на 20__ год
(на первый год планового периода)
на 20__ год
(на второй год планового периода)
на 20__ год
(на очередной финансовый год)
(гр. 3 разд. 3 (02) x гр. 3 x 12)
на 20__ год
(на первый год планового периода)
(гр. 4 разд. 3 (02) x гр. 4 x 12)
на 20__ год
(на второй год планового периода)
(гр. 5 разд. 3 (02) x гр. 5 x 12)
1 2 3 4 5 6 7 8
  001            
  002            
               
Итого 900            

6. Сведения о нормативных правовых (правовых) актах, устанавливающих порядок расчета

Нормативный правовой (правовой) акт
вид дата номер наименование статус предполагаемая дата изменения статуса <3>
1 2 3 4 5 6
           
           
           

<3> Для проектов нормативных правовых (правовых) актов указывается предполагаемый срок внесения в Правительство Российской Федерации (утверждения федеральным органом исполнительной власти); для действующих, подлежащих признанию утратившими силу (приостановлению) нормативных правовых (правовых) актов указывается дата прекращения (приостановления) их действия. В случае если срок действия нормативного правового (правового) акта не установлен, в данной графе ставится "01.01.2099".

Руководитель              
(уполномоченное лицо) (должность)   (подпись)   (расшифровка подписи)
               
Исполнитель              
  (должность)   (фамилия, инициалы)   (телефон)

"__" __________ 20__ г.

Приложение N 79
к приказу Министерства финансов
Российской Федерации
от 20.06.2018 N 139н

ОБОСНОВАНИЯ (РАСЧЕТЫ) ПЛАНОВЫХ СМЕТНЫХ ПОКАЗАТЕЛЕЙ НА ПРЕДОСТАВЛЕНИЕ СУБСИДИЙ И БЮДЖЕТНЫХ ИНВЕСТИЦИЙ ЮРИДИЧЕСКИМ ЛИЦАМ, НЕ ЯВЛЯЮЩИМСЯ ГОСУДАРСТВЕННЫМИ ИЛИ МУНИЦИПАЛЬНЫМИ УЧРЕЖДЕНИЯМИ И ГОСУДАРСТВЕННЫМИ ИЛИ МУНИЦИПАЛЬНЫМИ УНИТАРНЫМИ ПРЕДПРИЯТИЯМИ, НА ОСУЩЕСТВЛЕНИЕ КАПИТАЛЬНЫХ ВЛОЖЕНИЙ В ОБЪЕКТЫ КАПИТАЛЬНОГО СТРОИТЕЛЬСТВА И (ИЛИ) НА ПРИОБРЕТЕНИЕ ОБЪЕКТОВ НЕДВИЖИМОГО ИМУЩЕСТВА НА 20__ ГОД И НА ПЛАНОВЫЙ ПЕРИОД 20__ И 20__ ГОДОВ

Коды
  Форма по ОКУД 0505595
  от "__" ________ 20__ г. Дата  
Получатель бюджетных средств   по Перечню (Реестру)  
Распорядитель средств федерального бюджета   по Перечню (Реестру)  
Главный распорядитель средств федерального бюджета   Глава по БК  
Раздел   по БК  
Подраздел   по БК  
Целевая статья   по БК  
Вид расходов   по БК  
Вид документа      
  (основной документ - код 01; изменения к документу - код 02)    
Единица измерения: руб по ОКЕИ 383

1. Объем затрат на предоставление субсидий и бюджетных инвестиций юридическим лицам, не являющимся государственными или муниципальными учреждениями и государственными или муниципальными унитарными предприятиями на осуществление капитальных вложений в объекты капитального строительства, находящиеся в собственности указанных юридических лиц, и (или) на приобретение ими объектов недвижимого имущества

Наименование показателя Код строки Сумма Объем расходных обязательств, подлежащих исполнению за пределами планового периода
на 20__ год
(на очередной финансовый год)
на 20__ год
(на первый год планового периода)
на 20__ год
(на второй год планового периода)
1 2 3 4 5 6
Расходы на объекты, всего 010        
в том числе:          
на объекты капитального строительства 011        
на объекты недвижимого имущества 012        
на мероприятия (укрупненные инвестиционные проекты) 013        

1.1. Аналитическое распределение по КОСГУ <1>

Наименование показателя Код по КОСГУ Сумма
на 20__ год
(на очередной финансовый год)
на 20__ год
(на первый год планового периода)
на 20__ год
(на второй год планового периода)
1 2 3 4 5
         
         

<1> Раздел заполняется в соответствии с Порядком применения классификации операций сектора государственного управления, утвержденным приказом Министерства финансов Российской Федерации от 29 ноября 2017 г. N 209н (зарегистрирован Министерством юстиции Российской Федерации 12 февраля 2018 г., регистрационный N 50003), с изменениями, внесенными приказами Министерства финансов Российской Федерации от 30 ноября 2018 г. N 246н (зарегистрирован Министерством юстиции Российской Федерации 26 декабря 2018 г., регистрационный N 53186), от 13 мая 2019 г. N 69н (зарегистрирован Министерством юстиции Российской Федерации 24 июля 2019 г., регистрационный N 55372).

2. Распределение затрат по объектам капитального строительства, объектам недвижимого имущества, мероприятиям (укрупненным инвестиционным проектам)

Получатель субсидии (бюджетных инвестиций) Дочернее общество получателя субсидии (бюджетных инвестиций) Дочернее общество второго порядка получателя субсидии (бюджетных инвестиций) Код строки Объект капитального строительства, мероприятие (укрупненный инвестиционный проект), объект недвижимого имущества Сумма Объем расходных обязательств, подлежащих исполнению за пределами планового периода
наименование код по Сводному реестру наименование код по Сводному реестру наименование код по Сводному реестру наименование уникальный код на 20__ год
(на очередной финансовый год)
на 20__ год
(на первый год планового периода)
на 20__ год
(на второй год планового периода)
1 2 3 4 5 6 7 8 9 10 11 12 13
            0001            
                 
                     
                 
          Итого 9000 x x        

Форма 0505595 с. 2

2.1. Сведения об объектах капитального строительства

2.1.1. Сведения об объектах капитального строительства и о распределении затрат по направлениям инвестирования

Объект капитального строительства Код строки Сумма Объем расходных обязательств, подлежащих исполнению за пределами планового периода
уникальный код наименование застройщик местонахождение адрес в соответствии с федеральной информационной адресной системой (далее - ФИАС) (при наличии) сметная или предполагаемая (предельная) стоимость наименование направления инвестирования код вида экономической деятельности по ОКВЭД срок ввода в эксплуатацию мощность (при наличии) на 20__ год
(на очередной финансовый год)
на 20__ год
(на первый год планового периода)
на 20__ год
(на второй год планового периода)
наименование код по Сводному реестру код по ОКТМО наименование единица измерения наименование количественное значение
код по ОКЕИ наименование
1 2 3 4 5 6 7 8 9 10 11 12 13 14 15 16 17 18 19 20
                              001        
       
                       
       
Итого по объекту 800        
Всего 900        

2.1.2. Сведения о проектной документации на объекты капитального строительства и о земельных участках под строительство

2.1.2.1. Сведения о проектной документации на объекты капитального строительства

Объект капитального строительства Проектная документация Заключение экспертизы проектной документации Заключение о достоверности сметной стоимости Пояснения
уникальный код наименование статус дата утверждения номер дата орган/учреждение, выдавший(ее) заключение номер дата орган/учреждение, выдавший(ее) заключение заключение контракта "под ключ" (да/нет) обоснование необходимости финансового обеспечения без наличия проектной документации причина отсутствия проектной документации планируемый срок утверждения проектной документации (ДД.ММ.ГГГГ)
1 2 3 4 5 6 7 8 9 10 11 12 13 14
                           
                       
                           
                       

2.1.2.2. Сведения о земельных участках под строительство

Объект капитального строительства Земельный участок Пояснения (при необходимости)
уникальный код наименование статус реквизиты документа о праве собственности кадастровый номер
номер дата субъект права выдавший орган/учреждение
1 2 3 4 5 6 7 8 9
                 
           
                 
           

2.1.3. Сведения о нормативных правовых (правовых) актах и решениях координационных органов Правительства Российской Федерации и органов управления проектной деятельностью Правительства Российской Федерации

Объект капитального строительства Нормативный правовой (правовой) акт Решение координационного органа Правительства Российской Федерации или органа управления проектной деятельностью Правительства Российской Федерации
    вид дата номер наименование статус предполагаемая дата изменения статуса <2> наименование органа протокол
номер дата
1 2 3 4 5 6 7 8 9 10 11
                     
     
                 
     
                     
     
             
     

2.2. Сведения об объектах недвижимого имущества

2.2.1. Сведения об объектах недвижимого имущества и о распределении затрат

Объект недвижимого имущества Код строки Сумма Объем расходных обязательств, подлежащих исполнению за пределами планового периода
уникальный код наименование заказчик местонахождение адрес в соответствии с ФИАС (при наличии) стоимость приобретения наименование направления инвестирования код вида экономической деятельности по ОКВЭД срок приобретения мощность на 20__ год
(на очередной финансовый год)
на 20__ год
(на первый год планового периода)
на 20__ год
(на второй год планового периода)
наименование код по Сводному реестру код по ОКТМО наименование единица измерения наименование количественное значение
код по ОКЕИ наименование
1 2 3 4 5 6 7 8 9 10 11 12 13 14 15 16 17 18 19 20
                              001        
       
                                       
       
                          Итого 900        

Форма 0505595 с. 3

2.2.2. Сведения о нормативных правовых (правовых) актах и решениях координационных органов Правительства Российской Федерации или органов управления проектной деятельностью Правительства Российской Федерации

Объект недвижимого имущества Нормативный правовой (правовой) акт Решение координационного органа Правительства Российской Федерации или органа управления проектной деятельностью Правительства Российской Федерации
уникальный код наименование вид дата номер наименование статус предполагаемая дата изменения статуса <2> наименование органа протокол
номер дата
1 2 3 4 5 6 7 8 9 10 11
                     
     
                 
     
                     
     
                 
     

2.3. Сведения о мероприятиях (укрупненных инвестиционных проектов)

2.3.1. Сведения о мероприятиях (укрупненных инвестиционных проектах) и о распределении затрат

Мероприятие (укрупненный инвестиционный проект) Код строки Сумма Объем расходных обязательств, подлежащих исполнению за пределами
уникальный код наименование код вида экономической деятельности по ОКВЭД предполагаемая (предельная) стоимость (при наличии) срок ввода в эксплуатацию (при наличии) мощность (при наличии) на 20__ год
(на очередной финансовый год)
на 20__ год
(на первый год планового периода)
на 20__ год
(на второй год планового периода)
единица измерения наименование количественное значение
код по ОКЕИ наименование
1 2 3 4 5 6 7 8 9 10 11 12 13 14
                  001        
       
                           
       
                Итого 900        

2.3.1.1. Сведения о нормативных правовых (правовых) актах и решениях координационных органов Правительства Российской Федерации или органов управления проектной деятельностью Правительства Российской Федерации

Мероприятие (укрупненный инвестиционный проект) Нормативный правовой (правовой) акт Решение координационного органа Правительства Российской Федерации или органа управления проектной деятельностью Правительства Российской Федерации
уникальный код наименование вид дата номер наименование статус предполагаемая дата изменения статуса <2> наименование органа протокол
номер дата
1 2 3 4 5 6 7 8 9 10 11
                     
     
                 
     
                     
     
                 
     

2.3.2. Сведения о детализации мероприятий (укрупненных инвестиционных проектов) и о распределении затрат по направлениям инвестирования

Мероприятие (укрупненный инвестиционный проект) Объект капитального строительства, объект недвижимого имущества Код строки Сумма Объем расходных обязательств, подлежащих исполнению за пределами планового периода
уникальный код наименование уникальный код наименование застройщик/заказчик местонахождение адрес в соответствии с ФИАС (при наличии) сметная или предполагаемая (предельная) стоимость (стоимость приобретения) наименование направления инвестирования код вида экономической деятельности по ОКВЭД срок ввода в эксплуатацию (срок приобретения) мощность на 20__ год
(на очередной финансовый год)
на 20__ год
(на первый год планового периода)
на 20__ год
(на второй год планового периода)
наименование код по Сводному реестру код по ОКТМО наименование единица измерения наименование количественное значение
код по ОКЕИ наименование
1 2 3 4 5 6 7 8 9 10 11 12 13 14 15 16 17 18 19 20 21 22
                                  001        
       
                       
       
                                       
       
                       
       
Итого по объекту 600        
Итого по мероприятию (укрупненному инвестиционному 700        
Всего 900        

Форма 0505595 с. 4

2.3.2.1. Сведения о проектной документации на объекты капитального строительства и о земельных участках под строительство

2.3.2.1.1. Сведения о проектной документации на объекты капитального строительства

Мероприятие (укрупненный инвестиционный проект) Объект капитального строительства Проектная документация Заключение экспертизы проектной документации Заключение о достоверности сметной стоимости
уникальный код наименование уникальный код наименование статус дата утверждения номер дата орган/учреждение, выдавший(ее) заключение номер дата орган/учреждение, выдавший(ее) заключение
1 2 3 4 5 6 7 8 9 10 11 12
                       
               
                   
               
                       
               
                   
               

2.3.2.1.2. Сведения о земельных участках под строительство

Мероприятие (укрупненный инвестиционный проект) Объект капитального строительства Земельный участок Пояснения (при необходимости)
уникальный код наименование уникальный код наименование статус реквизиты документа о праве собственности кадастровый номер
номер дата субъект права выдавший орган/учреждение
1 2 3 4 5 6 7 8 9 10 11
                     
           
                 
           
                     
           
                 
           

2.3.2.2. Сведения о нормативных правовых (правовых) актах и решениях координационных органов Правительства Российской Федерации или органов управления проектной деятельностью Правительства Российской Федерации

Мероприятие (укрупненный инвестиционный проект) Объект капитального строительства, объект недвижимого имущества Нормативный правовой (правовой) акт Решение координационного органа Правительства Российской Федерации или органа управления проектной деятельностью Правительства Российской Федерации
уникальный код наименование уникальный код наименование вид дата номер наименование статус предполагаемая дата изменения статуса <2> наименование органа протокол
номер дата
1 2 3 4 5 6 7 8 9 10 11 12 13
                         
     
                 
     
                     
     
                 
     
                         
     
                 
     
                     
     
                 
     

<2> Для проектов нормативных правовых (правовых) актов указывается предполагаемый срок внесения в Правительство Российской Федерации (утверждения федеральным органом исполнительной власти); для действующих, подлежащих признанию утратившими силу (приостановлению) нормативных правовых (правовых) актов указывается дата прекращения (приостановления) их действия. В случае если срок действия нормативного правового (правового) акта не установлен, в данной графе ставится "01.01.2099".

Руководитель              
(уполномоченное лицо) (должность)   (подпись)   (расшифровка подписи)
               
Исполнитель              
  (должность)   (фамилия, инициалы)   (телефон)

"__" __________ 20__ г.

Приложение N 2
к изменениям, которые
вносятся в приказ
Министерства финансов
Российской Федерации
от 20.06.2018 N 139н
"Об утверждении форм обоснований
(расчетов) плановых сметных
показателей, применяемых
при составлении и ведении
бюджетных смет федеральных
казенных учреждений",
утвержденным приказом
Министерства финансов
Российской Федерации
от 29.06.2020 N 125н

"Приложение N 105
к приказу Министерства финансов
Российской Федерации
от 20.06.2018 N 139н

ОБОСНОВАНИЯ (РАСЧЕТЫ) ПЛАНОВЫХ СМЕТНЫХ ПОКАЗАТЕЛЕЙ ПО СОЦИАЛЬНОМУ ОБЕСПЕЧЕНИЮ И ИНЫМ ВЫПЛАТАМ НАСЕЛЕНИЮ В ЧАСТИ ПУБЛИЧНЫХ НОРМАТИВНЫХ ОБЯЗАТЕЛЬСТВ РОССИЙСКОЙ ФЕДЕРАЦИИ НА 20_ ГОД И НА ПЛАНОВЫЙ ПЕРИОД 20_ И 20_ ГОДОВ

Коды
  Форма по ОКУД 0505801
  от "__" ________ 20__ г. Дата  
Получатель бюджетных средств   по Перечню (Реестру)  
Распорядитель средств федерального бюджета   по Перечню (Реестру)  
Главный распорядитель средств федерального бюджета   Глава по БК  
Раздел   по БК  
Подраздел   по БК  
Целевая статья   по БК  
Вид расходов   по БК  
Вид документа      
  (основной документ - код 01; изменения к документу - код 02)    
Единица измерения: руб по ОКЕИ 383

1. Расходы на социальное обеспечение и иные выплаты населению в части публичных нормативных обязательств Российской Федерации

Наименование публичного нормативного обязательства Российской Федерации Код строки Сумма
на 20__ год
(на очередной финансовый год)
на 20__ год
(на первый год планового периода)
на 20__ год
(на второй год планового периода)
1 2 3 4 5
         

1.1. Аналитическое распределение по КОСГУ <1>

Наименование показателя Код по КОСГУ Сумма
на 20__ год
(на очередной финансовый год)
на 20__ год
(на первый год планового периода)
на 20__ год
(на второй год планового периода)
1 2 3 4 5
Расходы, всего -      
в том числе:        
пенсии, пособия и выплаты по пенсионному, социальному и медицинскому страхованию населения 261      
пособия по социальной помощи населению в денежной форме 262      
пенсии, пособия, выплачиваемые работодателями, нанимателями бывшим работникам 264      
пособия по социальной помощи, выплачиваемые работодателями, нанимателями бывшим работникам в натуральной форме 265      
иные выплаты текущего характера физическим лицам 296      

<1> Раздел заполняется в соответствии с Порядком применения классификации операций сектора государственного управления, утвержденным приказом Министерства финансов Российской Федерации от 29 ноября 2017 г. N 209н (зарегистрирован Министерством юстиции Российской Федерации 12 февраля 2018 г., регистрационный N 50003), с изменениями, внесенными приказами Министерства финансов Российской Федерации от 30 ноября 2018 г. N 246н (зарегистрирован Министерством юстиции Российской Федерации 26 декабря 2018 г., регистрационный N 53186), от 13 мая 2019 г. N 69н (зарегистрирован Министерством юстиции Российской Федерации 24 июля 2019 г., регистрационный N 55372).

Форма 0505801 с. 2

2. Расчет расходов по социальному обеспечению в части публичных нормативных обязательств Российской Федерации, подлежащих индексации

2.1. Расчет расходов по публичным нормативным обязательствам Российской Федерации в части ежемесячных социальных выплат, пособий и компенсаций населению, подлежащих индексации

2.1.1. Расчет расходов по публичным нормативным обязательствам Российской Федерации в части ежемесячных социальных выплат, пособий и компенсаций населению, подлежащих индексации, на 20__ год (на очередной финансовый год)

Состав публичного нормативного обязательства Российской Федерации Категория получателей публичного нормативного обязательства Российской Федерации Справочно: размер выплаты установленный правовым актом <2> Код строки Среднемесячная получателей публичного нормативного обязательства Российской Федерации, чел Размер выплаты, применяемый в текущем финансовом году, руб/чел Размер выплаты, учитывающий индексацию Расходы на исполнение публичных нормативных обязательств Российской Федерации с учетом индексации Расходы на исполнение исковых требований граждан на основании решений суда Всего
(гр. 9 + гр. 10 + гр. 11)
с 1 января 20__ года
(очередного финансового года), руб/чел (гр. 6 x гр. 1 подр. 5.1)
с 1 февраля 20__ года
(очередного финансового года), руб/чел (гр. 6 x гр. 1 подр. 5.2)
с 1 января 20__ года
(очередного финансового года)
(гр. 5 x гр. 7 х 12)
с 1 февраля 20__ года
(очередного финансового года)
(гр. 5 x гр. 8 x 11 + гр. 5 x гр. 6)
сумма справочно: численность получателей выплат
1 2 3 4 5 6 7 8 9 10 11 12 13
      00001                  
    00002                  
                       
                       
    Всего 90100   x x x          

2.1.2. Расчет расходов по публичным нормативным обязательствам Российской Федерации в части ежемесячных социальных выплат, пособий и компенсаций населению, подлежащих индексации, на 20 год (на первый год планового периода)

Состав публичного нормативного обязательства Российской Федерации Категория получателей публичного нормативного обязательства Российской Федерации Справочно: размер выплаты установленный нормативным правовым актом <2> Код строки Среднемесячная численность получателей публичного нормативного обязательства Российской Федерации Размер выплаты, применяемый в текущем финансовом году, руб/чел Размер выплаты, учитывающий индексацию Расходы на исполнение публичных нормативных обязательств Российской Федерации с учетом индексации Расходы на исполнение исковых требований граждан на основании решений суда Всего
(гр. 9 + гр. 10 + гр. 11)
с 1 января 20__ года
(первого года планового периода), руб/чел (гр. 6 x гр. 1 подр. 5.1 x гр. 2 подр. 5.1)
с 1 февраля 20__ года
(первого года планового периода), (гр. 6 x гр. 1 подр. 5.2 x гр. 2 подр. 5.2)
с 1 января 20__ года
(первого года планового периода) (гр. 5 x гр. 7 x 12)
с 1 февраля 20__ года
(первого года планового периода)
(гр. 5 x гр. 8 x 11 +
гр. 5 x гр. 6)
сумма справочно: численность получателей выплат
1 2 3 4 5 6 7 8 9 10 11 12 13
      00001                  
    00002                  
                       
                       
    Всего 90100   x x x          

Форма 0505801 с. 3

2.1.3. Расчет расходов по публичным нормативным обязательствам Российской Федерации в части ежемесячных социальных выплат, пособий и компенсаций населению, подлежащих индексации, на 20__ год (на второй год планового периода)

Состав публичного нормативного обязательства Российской Федерации Категория получателей публичного нормативного обязательства Российской Федерации Справочно: размер выплаты, установленный нормативным правовым актом <2> Код строки Среднемесячная численность получателей публичного нормативного обязательства Российской Федерации, чел Размер выплаты, применяемый в текущем финансовом году, руб/чел Размер выплаты, учитывающий индексацию Расходы на исполнение публичных нормативных обязательств Российской Федерации с учетом индексации Расходы на исполнение исковых требований граждан на основании решений суда Всего
(гр. 9 + гр. 10 + гр. 11)
с 1 января 20__ года
(второго года планового периода), руб/чел (гр. 6 x гр. 1 подр. 5.1 x гр. 2 подр. 5.1 x гр. 3 подр. 5.1)
с 1 февраля 20__ года
(второго года планового периода), руб/чел (гр. 6 x гр. 1 подр. 5.2 x гр. 2 подр. 5.2 x гр. 3 подр. 5.2)
с 1 января 20__ года
(второго года планового периода) (гр. 5 x гр. 7 x 12)
с 1 февраля 20__ года
(второго года планового периода) (гр. 5 x гр. 8 x 11 +
гр. 5 x гр. 6)
сумма справочно: численность получателей выплат
1 2 3 4 5 6 7 8 9 10 11 12 13
      00001                  
    00002                  
                       
                       
    Всего 90100   x x x          

2.2. Расчет расходов по публичным нормативным обязательствам Российской Федерации в части единовременных (ежегодных) социальных выплат, пособий и компенсаций населению, подлежащих индексации

2.2.1. Расчет расходов по публичным нормативным обязательствам Российской Федерации в части единовременных (ежегодных) социальных выплат, пособий и компенсаций населению, подлежащих индексации, на 20__ год (на очередной финансовый год)

Состав публичного нормативного обязательства Российской Федерации Категория получателей публичного нормативного обязательства Российской Федерации Справочно: размер выплаты, установленный нормативным правовым актом <2> Код строки Численность получателей публичного нормативного обязательства Российской Федерации, чел Размер выплаты, применяемый в текущем финансовом году, руб/чел Размер выплаты, учитывающий индексацию Расходы на исполнение публичных нормативных обязательств Российской Федерации с учетом индексации Расходы на исполнение исковых требований граждан на основании решений суда Всего
(гр. 9 + гр. 10 + гр. 11)
с 1 января 20__ года
(очередного финансового года), руб/чел
(гр. 6 x гр. 1 подр. 5.1)
с 1 февраля 20__ года
(очередного финансового года), руб/чел
(гр. 6 x гр. 1 подр. 5.2)
с 1 января 20__ года
(очередного финансового года)
(гр. 5 x гр. 7)
с 1 февраля 20__ года
(очередного финансового года)
(гр. 5 x гр. 8)
сумма справочно: численность получателей выплат
1 2 3 4 5 6 7 8 9 10 11 12 13
      00001                  
    00002                  
                       
                       
    Всего 90100     x x          

Форма 0505801 с. 4

2.2.2. Расчет расходов по публичным нормативным обязательствам Российской Федерации в части единовременных (ежегодных) социальных выплат, пособий и компенсаций населению, подлежащих индексации, на 20__ год (на первый год планового периода)

Состав публичного нормативного обязательства Российской Федерации Категория получателей публичного нормативного обязательства Российской Федерации Справочно: размер выплаты, установленный нормативным правовым актом <2> Код строки Численность получателей публичного нормативного обязательства Российской Федерации, чел Размер выплаты, применяемый в текущем финансовом году руб/чел Размер выплаты, учитывающий индексацию Расходы на исполнение публичных нормативных обязательств Российской Федерации с учетом индексации Расходы на исполнение исковых требований граждан на основании решений суда Всего
(гр. 9 + гр. 10 + гр. 11)
с 1 января 20__ года
(первого года планового периода), руб/чел (гр. 6 x гр. 1 подр. 5.1 x гр. 2 подр. 5.1)
с 1 февраля 20__ года
(первого года планового периода), (гр. 6 x гр. 1 подр. 5.2 x гр. 2 подр. 5.2)
с 1 января 20__ года
(первого года планового периода) (гр. 5 x гр. 7)
с 1 февраля 20__ года
(первого года планового периода)
(гр. 5 x гр. 8)
сумма справочно: численность получателей выплат
1 2 3 4 5 6 7 8 9 10 11 12 13
      00001                  
    00002                  
                       
                       
    Всего 90100     x x          

2.2.3. Расчет расходов по публичным нормативным обязательствам Российской Федерации в части единовременных (ежегодных) социальных выплат, пособий и компенсаций населению, подлежащих индексации, на 20__ год (на второй год планового периода)

Состав публичного нормативного обязательства Российской Федерации Категория получателей публичного нормативного обязательства Российской Федерации Справочно: размер выплаты, установленный нормативным правовым актом <2> Код строки Численность получателей публичного нормативного обязательства Российской Федерации, чел Размер выплаты, применяемый в текущем финансовом году, руб/чел Размер выплаты, учитывающий индексацию Расходы на исполнение публичных нормативных обязательств Российской Федерации с учетом индексации Расходы на исполнение исковых требований граждан на основании решений суда Всего
(гр. 9 + гр. 10 + гр. 11)
с 1 января 20__ года
(второго года планового периода), руб/чел (гр. 6 x гр. 1 подр. 5.1 x гр. 2 подр. 5.1 x гр. 3 подр. 5.1)
с 1 февраля 20__ года
(второго года планового периода), руб/чел (гр. 6 x гр. 1 подр. 5.2 x гр. 2 подр. 5.2 x гр. 3 подр. 5.2)
с 1 января 20__ года
(второго года планового периода) (гр. 5 x гр. 7)
с 1 февраля 20__ года
(второго года планового периода) (гр. 5 x гр. 8)
сумма справочно: численность получателей выплат
1 2 3 4 5 6 7 8 9 10 11 12 13
      00001                  
    00002                  
                       
                       
    Всего 90100     x x          

<2> Информация о нормативном правовом акте, устанавливающем размер выплаты по публичному нормативному обязательству Российской Федерации, подлежит отражению в разделе 4.

Форма 0505801 с. 5

3. Расчет расходов по иным публичным нормативным обязательствам Российской Федерации

3.1. Расчет расходов по иным публичным нормативным обязательствам Российской Федерации на 20__ год (на очередной финансовый год)

Состав публичного нормативного обязательства Российской Федерации Категория получателей публичного нормативного обязательства Российской Федерации Код строки Численность получателей публичного нормативного обязательства Российской Федерации, чел Размер выплаты руб/чел в год Расходы на исполнение публичных нормативных обязательств Российской Федерации
(гр. 4 x гр. 5)
1 2 3 4 5 6
    00001      
  00002      
         
      x  
  Всего 90100   x  

3.2. Расчет расходов по иным публичным нормативным обязательствам Российской Федерации на 20__ год (на первый год планового периода)

Состав публичного нормативного обязательства Российской Федерации Категория получателей публичного нормативного обязательства Российской Федерации Код строки Численность получателей публичного нормативного обязательства Российской Федерации, чел Размер выплаты, руб/чел в год Расходы на исполнение публичных нормативных обязательств Российской Федерации
(гр. 4 x гр. 5)
1 2 3 4 5 6
    00001      
  00002      
         
      x  
  Всего 90100   x  

3.3. Расчет расходов по иным публичным нормативным обязательствам Российской Федерации на 20__ год (на второй год планового периода)

Состав публичного нормативного обязательства Российской Федерации Категория получателей публичного нормативного обязательства Российской Федерации Код строки Численность получателей публичного нормативного обязательства Российской Федерации, чел Размер выплаты, руб/чел в год Расходы на исполнение публичных нормативных обязательств Российской Федерации
(гр. 4 x гр. 5)
1 2 3 4 5 6
    00001      
  00002      
         
      x  
  Всего 90100   x  

Форма 0505801 с. 6

4. Сведения о нормативных правовых (правовых) актах, устанавливающих порядок расчета выплат по публичным нормативным обязательствам Российской Федерации

Состав публичного нормативного обязательства Российской Федерации Категория получателей публичного нормативного обязательства Российской Федерации Код строки Нормативный правовой (правовой) акт
вид дата номер наименование статус предполагаемая дата наименования статуса <3> ссылка
раздел/глава статья часть/пункт подпункт абзац
1 2 3 4 5 6 7 8 9 10 11 12 13 14
    00001                      
  00002                      
                         

<3> Для проектов нормативных правовых (правовых) актов указывается предполагаемый срок внесения в Правительство Российской Федерации (утверждения федеральным органом исполнительной власти); для действующих, подлежащих признанию утратившими силу (приостановлению) нормативных правовых (правовых) актов указывается дата прекращения (приостановления) их действия. В случае если срок действия нормативного правового (правового) акта не установлен, в данной графе ставится "01.01.2099".

5. Справочно: коэффициент индексации выплат, пособий и компенсаций

5.1. Коэффициент индексации выплат, пособий и компенсаций в соответствии с федеральным законом о федеральном бюджете на соответствующий финансовый год и плановый период

на 20__ год
(на очередной финансовый год)
на 20__ год
(на первый год планового периода)
на 20__ год
(на второй год планового периода)
1 2 3
     

5.2. Коэффициент индексации выплат, пособий и компенсаций исходя из индекса роста потребительских цен за предыдущий год

на 20__ год
(на очередной финансовый год)
на 20__ год
(на первый год планового периода)
на 20__ год
(на второй год планового периода)
1 2 3
     
Руководитель              
(уполномоченное лицо) (должность)   (подпись)   (расшифровка подписи)
               
Исполнитель              
  (должность)   (фамилия, инициалы)   (телефон)

"__" __________ 20__ г.

Приложение N 106
к приказу Министерства финансов
Российской Федерации
от 20.06.2018 N 139н

ОБОСНОВАНИЯ (РАСЧЕТЫ) ПЛАНОВЫХ СМЕТНЫХ ПОКАЗАТЕЛЕЙ НА ПРЕДОСТАВЛЕНИЕ КОНСОЛИДИРОВАННЫХ СУБСИДИЙ БЮДЖЕТАМ СУБЪЕКТОВ РОССИЙСКОЙ ФЕДЕРАЦИИ НА СОФИНАНСИРОВАНИЕ РАСХОДНЫХ ОБЯЗАТЕЛЬСТВ СУБЪЕКТОВ РОССИЙСКОЙ ФЕДЕРАЦИИ (МУНИЦИПАЛЬНЫХ ОБРАЗОВАНИЙ) НА 20__ ГОД И НА ПЛАНОВЫЙ ПЕРИОД 20__ И 20__ ГОДОВ

Коды
  Форма по ОКУД 0505741
  от "__" ________ 20__ г. Дата  
Получатель бюджетных средств   по Перечню (Реестру)  
Распорядитель средств федерального бюджета   по Перечню (Реестру)  
Главный распорядитель средств федерального бюджета   Глава по БК  
Раздел   по БК  
Подраздел   по БК  
Целевая статья   по БК  
Вид расходов   по БК  
Вид документа      
  (основной документ - код 01; изменения к документу - код 02)    
Единица измерения: руб по ОКЕИ 383

1. Объем затрат на предоставление консолидированных субсидий бюджетам субъектов Российской Федерации

Наименование показателя Код строки Сумма Объем расходных обязательств, подлежащих исполнению за пределами планового периода
на 20__ год
(на очередной финансовый год)
на 20__ год
(на первый год планового периода)
на 20__ год
(на второй год планового периода)
1 2 3 4 5 6
Объем затрат на предоставление консолидированных субсидий бюджетам субъектов Российской Федерации на софинансирование расходных обязательств субъектов Российской Федерации (муниципальных образований): 010        
в том числе:          
на софинансирование расходных обязательств, не относящихся к капитальным вложениям в объекты государственной (муниципальной) собственности 011        
на софинансирование расходных обязательств, возникающих при осуществлении капитальных вложений в объекты государственной (муниципальной) собственности 012        

1.1. Аналитическое распределение по КОСГУ <1>

Наименование показателя Код по КОСГУ Сумма
на 20__ год
(на очередной финансовый год)
на 20__ год
(на первый год планового периода)
на 20__ год
(на второй год планового периода)
1 2 3 4 5
Расходы, всего -      
в том числе:        
перечисления другим бюджетам бюджетной системы Российской Федерации 251      

<1> Раздел заполняется в соответствии с Порядком применения классификации операций сектора государственного управления, утвержденным приказом Министерства финансов Российской Федерации от 29 ноября 2017 г. N 209н (зарегистрирован в Министерстве юстиции Российской Федерации 12 февраля 2018 г., регистрационный N 50003), с изменениями, внесенными приказами Министерства финансов Российской Федерации от 30 ноября 2018 г. N 246н (зарегистрирован Министерством юстиции Российской Федерации 26 декабря 2018 г., регистрационный N 53186), от 13 мая 2019 г. N 69н (зарегистрирован Министерством юстиции Российской Федерации 24 июля 2019 г., регистрационный N 55372).

1.2. Распределение объема затрат на предоставление консолидированных субсидий между субъектами Российской Федерации <2>

Наименование субъекта Российской Федерации/отдельных муниципальных образований Код строки Объем расходов на предоставление субсидий Объем расходных обязательств, за пределами планового периода
на 20__ год
(на очередной финансовый год)
на 20__ год
(на первый год планового периода)
на 20__ год
(на второй год планового периода)
1 2 3 4 5 6
  001        
  002        
           
Нераспределенный резерв 800        
Всего 900        

Форма 0505741 с. 2

2. Расчет объема затрат на предоставление бюджетам бюджетной системы Российской Федерации консолидированных субсидий на софинансирование расходных обязательств, не относящихся к капитальным вложениям в объекты государственной (муниципальной) собственности

2.1. Расчет объема затрат

Наименование показателя Сумма Код строки Нормативный правовой (правовой) акт, устанавливающий правила предоставления консолидированных субсидий и (или) их распределения между субъектами Российской Федерации
на 20__ год
(на очередной финансовый год)
на 20__ год
(на первый год планового периода)
на 20__ год
(на второй год планового периода)
вид дата номер наименование статус предполагаемая дата изменения статуса <3>
1 2 3 4 5 6 7 8 9 10 11
        001            
             

3. Распределение объема затрат на предоставление субсидий на софинансирование капитальных вложений в объекты государственной (муниципальной) собственности между объектами капитального строительства, мероприятиями (укрупненными инвестиционными проектами), объектами недвижимого имущества <2>

Наименование субъекта Российской Федерации/отдельных муниципальных образований Код строки Объект, мероприятие (укрупненный инвестиционный проект),
объект недвижимого имущества
Объем расходов на предоставление субсидий Объем расходных обязательств, подлежащих исполнению за пределами планового периода
наименование уникальный код на 20__ год
(на очередной финансовый год)
на 20__ год
(на первый год планового периода)
на 20__ год
(на второй год планового периода)
1 2 3 4 5 6 7 8
  001            
             
             
Итого по субъекту Российской Федерации 100 x x        
Нераспределенный резерв 800 x x        
Всего 900 x x        

<2> Раздел заполняется одновременно с представлением главным распорядителем средств федерального бюджета расчетов распределения межбюджетных трансфертов бюджетам субъектов Российской Федерации в сроки, установленные графиком подготовки и рассмотрения проектов федеральных законов, документов и материалов, разрабатываемых при составлении проекта федерального бюджета и проектов бюджетов государственных внебюджетных фондов Российской Федерации на очередной финансовый год и плановый период.

3.1. Сведения об объектах капитального строительства

3.1.1. Сведения об объектах капитального строительства и о распределении затрат по направлениям инвестирования

Объект капитального строительства Код строки Объем расходов на предоставление субсидий Объем расходных обязательств, подлежащих исполнению за пределами планового периода
уникальный код наименование застройщик местонахождение адрес в соответствии с федеральной информационной адресной системой (далее - ФИАС) (при наличии) сметная или предполагаемая (предельная) стоимость наименование направления инвестирования код вида экономической деятельности по ОКВЭД срок ввода в эксплуатацию мощность (при наличии) на 20__ год
(на очередной финансовый год)
на 20__ год
(на первый год планового периода)
на 20__ год
(на второй год планового периода)
наименование код по Сводному реестру код по ОКТМО наименование единица измерения наименование количественное значение
код по ОКЕИ наименование
1 2 3 4 5 6 7 8 9 10 11 12 13 14 15 16 17 18 19 20
                              001        
       
                                       
       
              Итого по объекту 800        
  Всего 900        

3.1.2. Сведения о проектной документации на объекты капитального строительства и о земельных участках под строительство

3.1.2.1. Сведения о проектной документации на объекты капитального строительства

Объект капитального строительства Проектная документация Заключение экспертизы проектной документации Заключение о достоверности сметной стоимости Пояснения
уникальный код наименование статус дата утверждения номер дата орган/учреждение, выдавший(ее) заключение номер дата орган/учреждение, выдавший(ее) заключение заключение контракта "под ключ" (да/нет) обоснование необходимости финансового обеспечения без наличия проектной документации причина отсутствия проектной документации планируемый срок утверждения проектной документации (ДД.ММ.ГГГГ)
1 2 3 4 5 6 7 8 9 10 11 12 13 14
                           
                       
                           
                       

Форма 0505741 с. 3

3.1.2.2. Сведения о земельных участках под строительство

Объект капитального строительства Земельный участок Пояснения (при необходимости)
уникальный код наименование статус реквизиты документа о праве собственности кадастровый номер
номер дата субъект права выдавший орган/учреждение
1 2 3 4 5 6 7 8 9
                 
           
                 
           

3.1.3. Сведения о нормативных правовых (правовых) актах и решениях координационных органов Правительства Российской Федерации и органов управления проектной деятельностью Правительства Российской Федерации

Объект капитального строительства Нормативный правовой (правовой) акт Решение координационного органа Правительства Российской Федерации или органа управления проектной деятельностью Правительства Российской Федерации
    вид дата номер наименование статус предполагаемая дата изменения статуса <3> наименование органа протокол
номер дата
1 2 3 4 5 6 7 8 9 10 11
                     
     
                 
     
                     
     
                 
     

3.2. Сведения об объектах недвижимого имущества

3.2.1. Сведения об объектах недвижимого имущества и о распределении затрат

Объект недвижимого имущества Код строки Объем расходов на предоставление субсидий Объем расходных обязательств, подлежащих исполнению за пределами планового периода
уникальный код наименование заказчик местонахождение адрес в соответствии с ФИАС (при наличии) стоимость приобретения наименование направления инвестирования код вида экономической деятельности по ОКВЭД срок приобретения мощность на 20__ год
(на очередной финансовый год)
на 20__ год
(на первый год планового периода)
на 20__ год
(на второй год планового периода)
наименование код по Сводному реестру код по ОКТМО наименование единица измерения наименование количественное значение
код по ОКЕИ наименование
1 2 3 4 5 6 7 8 9 10 11 12 13 14 15 16 17 18 19 20
                              001        
       
                                     
       
                            Итого 900        

3.2.2. Сведения о нормативных правовых (правовых) актах и решениях координационных органов Правительства Российской Федерации или органов управления проектной деятельностью Правительства Российской Федерации

Объект недвижимого имущества Нормативный правовой (правовой) акт Решение координационного органа Правительства Российской Федерации или органа управления проектной деятельностью Правительства Российской Федерации
уникальный код наименование вид дата номер наименование статус предполагаемая дата изменения статуса <3> наименование органа протокол
номер дата
1 2 3 4 5 6 7 8 9 10 11
                     
     
                 
     
                     
     
                 
     

Форма 0505741 с. 4

3.3. Сведения о мероприятиях (укрупненных инвестиционных проектах), подлежащих детализации актами Правительства Российской Федерации 3.3.1. Сведения о мероприятиях (укрупненных инвестиционных проектах) и о распределении затрат

Мероприятие (укрупненный инвестиционный проект) Код строки Объем расходов на предоставление субсидий Объем расходных обязательств, подлежащих исполнению за пределами планового периода
уникальный код наименование код вида экономической деятельности по ОКВЭД предполагаемая (предельная) стоимость (при наличии) срок ввода в эксплуатацию (при наличии) мощность (при наличии) на 20__ год
(на очередной финансовый год)
на 20__ год
(на первый год планового периода)
на 20__ год
(на второй год планового периода)
единица измерения наименование количественное значение
код по ОКЕИ наименование
1 2 3 4 5 6 7 8 9 10 11 12 13 14
                  001        
       
                           
       
                Итого 900        

3.3.1.1. Сведения о нормативных правовых (правовых) актах и решениях координационных органов Правительства Российской Федерации или органов управления проектной деятельностью Правительства Российской Федерации

Мероприятие (укрупненный инвестиционный проект) Нормативный правовой (правовой) акт Решение координационного органа Правительства Российской Федерации или органа управления проектной деятельностью Правительства Российской Федерации
уникальный код наименование вид дата номер наименование статус предполагаемая дата изменения статуса <3> наименование органа протокол
номер дата
1 2 3 4 5 6 7 8 9 10 11
                     
     
                 
     
                     
     
                 
     

3.3.2. Сведения о детализации мероприятий (укрупненных инвестиционных проектов) и о распределении затрат по направлениям инвестирования

Мероприятие (укрупненный инвестиционный проект) Объект капитального строительства, объект недвижимого имущества Код строки Объем расходов на предоставление субсидий Объем расходных обязательств, подлежащих исполнению за пределами планового периода
уникальный код наименование уникальный код наименование застройщик/заказчик местонахождение адрес в соответствии с ФИАС (при наличии) сметная или предполагаемая (предельная) стоимость (стоимость приобретения) наименование направления инвестирования код вида экономической деятельности по ОКВЭД срок ввода в эксплуатацию (срок приобретения) мощность (при наличии) на 20__ год
(на очередной финансовый год)
на 20__ год
(на первый год планового периода)
на 20__ год
(на второй год планового периода)
наименование код по Сводному реестру код по ОКТМО наименование единица измерения наименование количественное значение
код по ОКЕИ наименование
1 2 3 4 5 6 7 8 9 10 11 12 13 14 15 16 17 18 19 20 21 22
                                  001        
       
                       
       
                                       
       
                       
       
Итого по объекту 600        
Итого по мероприятию (укрупненному инвестиционному проекту) 700        
Всего 900        

Форма 0505741 с. 5

3.3.2.1. Сведения о проектной документации на объекты капитального строительства и о земельных участках под строительство

3.3.2.1.1. Сведения о проектной документации на объекты капитального строительства

Мероприятие (укрупненный инвестиционный проект) Объект капитального строительства Проектная документация Заключение экспертизы проектной документации Заключение о достоверности сметной стоимости
уникальный код наименование уникальный код наименование статус дата утверждения номер дата орган/учреждение, выдавший(ее) заключение номер дата орган/учреждение, выдавший(ее) заключение
1 2 3 4 5 6 7 8 9 10 11 12
                       
               
                   
               
                       
               
                   
               

3.3.2.1.2. Сведения о земельном участке под строительство

Мероприятие (укрупненный инвестиционный проект) Объект капитального строительства Земельный участок Пояснения (при необходимости)
уникальный код наименование уникальный код наименование статус реквизиты документа о праве собственности кадастровый номер
номер дата субъект права выдавший орган/учреждение
1 2 3 4 5 6 7 8 9 10 11
                     
           
                 
           
                     
           
                 
           

3.3.2.2. Сведения о нормативных правовых (правовых) актах и решениях координационных органов Правительства Российской Федерации или органов управления проектной деятельностью Правительства Российской Федерации

Мероприятие (укрупненный инвестиционный проект) Объект капитального строительства, объект недвижимого имущества Нормативный правовой (правовой) акт Решение координационного органа Правительства Российской Федерации или органа управления проектной деятельностью' Правительства Российской Федерации
уникальный код наименование уникальный код наименование вид дата номер наименование статус предполагаемая дата изменения статуса <3> наименование органа протокол
номер дата
1 2 3 4 5 6 7 8 9 10 11 12 13
                         
     
                 
     
                     
     
                 
     
                         
     
                 
     
                     
     
                 
     

<3> Для проектов нормативных правовых (правовых) актов указывается предполагаемый срок внесения в Правительство Российской Федерации (утверждения федеральным органом исполнительной власти); для действующих, подлежащих признанию утратившими силу (приостановлению) нормативных правовых (правовых) актов указывается дата прекращения (приостановления) их действия. В случае если срок действия нормативного правового (правового) акта не установлен, в данной графе ставится "01.01.2099".

Форма 0505741 с. 6

3.4. Сведения о мероприятиях (укрупненных инвестиционных проектах), подлежащих детализации в соглашениях, кроме мероприятий по обеспечению жильем отдельных категорий граждан

3.4.1. Сведения о мероприятиях (укрупненных инвестиционных проектах) и о распределении затрат

Мероприятие (укрупненный инвестиционный проект) Код строки Объем расходов на предоставление субсидий Объем расходных обязательств, подлежащих исполнению за пределами планового периода
уникальный код наименование код вида экономической деятельности по ОКВЭД предполагаемая (предельная) стоимость (при наличии) срок ввода в эксплуатацию (при наличии) мощность (при наличии) на 20__ год
(на очередной финансовый год)
на 20__ год
(на первый год планового периода)
на 20__ год
(на второй год планового периода)
единица измерения наименование количественное значение
код по ОКЕИ наименование
1 2 3 4 5 6 7 8 9 10 11 12 13 14
                  001        
       
                           
       
Итого по мероприятию 800        
Всего 900        

3.4.2. Распределение объема затрат между субъектами Российской Федерации

Мероприятие Наименование субъекта Российской Федерации/отдельных муниципальных образований Код строки Объем расходов на предоставление субсидий Объем расходных обязательств, подлежащих исполнению за пределами планового периода
уникальный код наименование на 20__ год
(на очередной финансовый год)
на 20__ год
(на первый год планового периода)
на 20__ год
(на второй год планового периода)
1 2 3 4 5 6 7 8
      001        
             
    Итого по мероприятию 700        
  Нераспределенный резерв 800        
  Всего 900        

3.5. Сведения о мероприятиях по обеспечению жильем отдельных категорий граждан

3.5.1. Сведения о мероприятиях и о распределении затрат

Мероприятие Код строки Объем расходов на предоставление субсидий Объем расходных обязательств, подлежащих исполнению за пределами планового периода
уникальный код наименование количество получателей наименование направления инвестирования код вида экономической деятельности по ОКВЭД срок реализации мощность (при наличии) на 20__ год
(на очередной финансовый год)
на 20__ год
(на первый год планового периода)
на 20__ год
(на второй год планового периода)
единица измерения наименование количественное значение
код по ОКЕИ наименование
1 2 3 4 5 6 7 8 9 10 11 12 13 14 15
                    001        
       
                       
       
Итого по мероприятию 800        
Всего 900        

3.5.2. Распределение объема затрат между субъектами Российской Федерации

Мероприятие Наименование субъекта Российской Федерации/отдельных муниципальных образований Код строки Объем расходов на предоставление субсидий Объем расходных обязательств, подлежащих исполнению за пределами планового периода
уникальный код наименование на 20__ год
(на очередной финансовый год)
на 20__ год
(на первый год планового периода)
на 20__ год
(на второй год планового периода)
1 2 3 4 5 6 7 8
      001        
           
    Итого по мероприятию 700        
  Нераспределенный резерв 800        
  Всего 900        
Руководитель              
(уполномоченное лицо) (должность)   (подпись)   (расшифровка подписи)
               
Исполнитель              
  (должность)   (фамилия, инициалы)   (телефон)

"__" __________ 20__ г.

Приложение N 107
к приказу Министерства финансов
Российской Федерации
от 20.06.2018 N 139н

ОБОСНОВАНИЯ (РАСЧЕТЫ) ПЛАНОВЫХ СМЕТНЫХ ПОКАЗАТЕЛЕЙ НА ПРЕДОСТАВЛЕНИЕ СУБСИДИЙ ИЗ ФЕДЕРАЛЬНОГО БЮДЖЕТА БЮДЖЕТАМ СУБЪЕКТОВ РОССИЙСКОЙ ФЕДЕРАЦИИ НА СОФИНАНСИРОВАНИЕ РАСХОДНЫХ ОБЯЗАТЕЛЬСТВ СУБЪЕКТОВ РОССИЙСКОЙ ФЕДЕРАЦИИ, ВОЗНИКАЮЩИХ ПРИ РЕАЛИЗАЦИИ НАЦИОНАЛЬНОГО ПРОЕКТА "КУЛЬТУРА", НА МОДЕРНИЗАЦИЮ ТЕАТРОВ ЮНОГО ЗРИТЕЛЯ И ТЕАТРОВ КУКОЛ НА 20__ ГОД И НА ПЛАНОВЫЙ ПЕРИОД 20__ И 20__ ГОДОВ

Коды
  Форма по ОКУД 0505802
  от "__" ________ 20__ г. Дата  
Получатель бюджетных средств   по Перечню (Реестру)  
Распорядитель средств федерального бюджета   по Перечню (Реестру)  
Главный распорядитель средств федерального бюджета   Глава по БК  
Раздел   по БК  
Подраздел   по БК  
Целевая статья   по БК  
Вид расходов   по БК  
Вид документа      
  (основной документ - код 01; изменения к документу - код 02)    
Единица измерения: руб по ОКЕИ 383

1. Расходы на предоставление субсидий

Наименование субсидии Сумма
на 20__ год
(на очередной финансовый год)
на 20__ год
(на первый год планового периода)
на 20__ год
(на второй год планового периода)
1 2 3 4
       

1.1 Аналитическое распределение по КОСГУ <1>

Наименование показателя Код по КОСГУ Сумма
на 20__ год
(на очередной финансовый год)
на 20__ год
(на первый год планового периода)
на 20__ год
(на второй год планового периода)
1 2 3 4 5
Расходы, всего -      
в том числе:        
перечисления другим бюджетам бюджетной системы Российской Федерации 251      

<1> Раздел заполняется в соответствии с Порядком применения классификации операций сектора государственного управления, утвержденным приказом Министерства финансов Российской Федерации от 29 ноября 2017 г. N 209н (зарегистрирован Министерством юстиции Российской Федерации 12 февраля 2018 г., регистрационный N 50003), с изменениями, внесенными приказами Министерства финансов Российской Федерации от 30 ноября 2018 г. N 246н (зарегистрирован Министерством юстиции Российской Федерации 26 декабря 2018 г., регистрационный N 53186), от 13 мая 2019 г. N 69н (зарегистрирован Министерством юстиции Российской Федерации 24 июля 2019 г., регистрационный N 55372).

2. Распределение общего объема субсидий между субъектами Российской Федерации <2>

Наименование субъекта Российской Федерации Код строки Объем предоставляемых субсидий
на 20__ год
(на очередной финансовый год)
на 20__ год
(на первый год планового периода)
на 20__ год
(на второй год планового периода)
1 2 3 4 5
  001      
  002      
         
Распределяемый объем 700      
Нераспределенный резерв 800      
Итого 900      

Форма 0505802 с. 2

3. Расчет распределения общего объема субсидий на софинансирование расходных обязательств субъектов Российской Федерации между субъектами Российской Федерации <2>

3.1 Алгоритм расчета распределения общего объема субсидий на софинансирование расходных обязательств субъектов Российской Федерации между субъектами Российской Федерации в соответствии с правилами предоставления и распределения субсидий бюджетам субъектов Российской Федерации

 

3.1.1 Показатели, применяемые для расчета распределения общего объема субсидий на софинансирование расходных обязательств субъектов Российской Федерации между субъектами Российской Федерации, в соответствии с правилами предоставления и распределения субсидий бюджетам субъектов Российской Федерации

3.1.1.1 Показатели, применяемые для расчета распределения общего объема субсидий на софинансирование расходных обязательств субъектов Российской Федерации между субъектами Российской Федерации, в соответствии с правилами предоставления и распределения субсидий бюджетам субъектов Российской Федерации на 20__ год (на очередной финансовый год)

Наименование субъекта Российской Федерации Код строки Показатели по субъектам Российской Федерации Единые показатели для всех субъектов Российской Федерации Объем субсидии
()
предельный уровень софинансирования расходного обязательства субъекта Российской Федерации
()
региональный коэффициент
()
уровень обеспеченности субъекта Российской Федерации объектами строительства
()
коэффициент, характеризующий отклонение уровня обеспеченности субъекта Российской Федерации объектами капитального строительства от среднего по Российской Федерации
()
сметная стоимость объектов капитального строительства (остаток сметной стоимости объектов капитального строительства - для продолжающихся объектов капитального строительства) в субъекте Российской Федерации
()
средний уровень обеспеченности объектами капитального строительства по Российской Федерации
()
общий объем затрат, предусмотренный на предоставление субсидий
()
1 2 3 4 5 6 7 8 9 10 11 12
  001             x x x  
  002              
                 
                 
Итого 900 x x x x x x        

3.1.1.2 Показатели, применяемые для расчета распределения общего объема субсидий на софинансирование расходных обязательств субъектов Российской Федерации между субъектами Российской Федерации, в соответствии с правилами предоставления и распределения субсидий бюджетам субъектов Российской Федерации на 20__ год (на первый год планового периода)

Наименование субъекта Российской Федерации Код строки Показатели по субъектам Российской Федерации Единые показатели для всех субъектов Российской Федерации Объем субсидии
()
предельный уровень софинансирования расходного обязательства субъекта Российской Федерации
()
региональный коэффициент
()
уровень обеспеченности субъекта Российской Федерации объектами строительства
()
коэффициент, характеризующий отклонение уровня обеспеченности субъекта Российской Федерации объектами капитального строительства от среднего по Российской Федерации
()
сметная стоимость объектов капитального строительства (остаток сметной стоимости объектов капитального строительства - для продолжающихся объектов капитального строительства) в субъекте Российской Федерации
()
средний уровень обеспеченности объектами капитального строительства по Российской Федерации
()
общий объем затрат, предусмотренный на предоставление субсидий
()
1 2 3 4 5 6 7 8 9 10 11 12
  001             x x x  
  002              
                 
                 
Итого 900 x x x x x x        

Форма 0505802 с. 3

3.1.1.3 Показатели, применяемые для расчета распределения общего объема субсидий на софинансирование расходных обязательств субъектов Российской Федерации между субъектами Российской Федерации, в соответствии с правилами предоставления и распределения субсидий бюджетам субъектов Российской Федерации на 20__ год (на второй год планового периода)

Наименование субъекта Российской Федерации Код строки Показатели по субъектам Российской Федерации Единые показатели для всех субъектов Российской Федерации Объем субсидии
()
предельный уровень софинансирования расходного обязательства субъекта Российской Федерации
()
региональный коэффициент
()
уровень обеспеченности субъекта Российской Федерации объектами строительства
()
коэффициент, характеризующий отклонение уровня обеспеченности субъекта Российской Федерации объектами капитального строительства от среднего по Российской Федерации
()
сметная стоимость объектов капитального строительства (остаток сметной стоимости объектов капитального строительства - для продолжающихся объектов капитального строительства) в субъекте Российской Федерации
()
средний уровень обеспеченности объектами капитального строительства по Российской Федерации
()
общий объем затрат, предусмотренный на предоставление субсидий
()
1 2 3 4 5 6 7 8 9 10 11 12
  001             x x x  
  002              
                 
                 
Итого 900 x x x x x x        

<2> Раздел заполняется одновременно с представлением главным распорядителем средств федерального бюджета расчетов распределения межбюджетных трансфертов бюджетам субъектов Российской Федерации в сроки, установленные графиком подготовки и рассмотрения проектов федеральных законов, документов и материалов, разрабатываемых при составлении проекта федерального бюджета и проектов бюджетов государственных внебюджетных фондов Российской Федерации на очередной финансовый год и плановый период.

4. Сведения о нормативных правовых (правовых) актах, устанавливающих правила предоставления субсидий из федерального бюджета бюджетам субъектов Российской Федерации и (или) их распределения между субъектами Российской Федерации

Нормативный правовой (правовой) акт
вид дата номер наименование статус предполагаемая дата изменения статуса <3>
1 2 3 4 5 6
           
           
           

<3> Для проектов нормативных правовых (правовых) актов указывается предполагаемый срок внесения в Правительство Российской Федерации (утверждения федеральным органом исполнительной власти); для действующих, подлежащих признанию утратившими силу (приостановлению) нормативных правовых (правовых) актов указывается дата прекращения (приостановления) их действия. В случае если срок действия нормативного правового (правового) акта не установлен, в данной графе ставится "01.01.2099".

Руководитель              
(уполномоченное лицо) (должность)   (подпись)   (расшифровка подписи)
               
Исполнитель              
  (должность)   (фамилия, инициалы)   (телефон)

"__" __________ 20__ г.

Приложение N 108
к приказу Министерства финансов
Российской Федерации
от 20.06.2018 N 139н

ОБОСНОВАНИЯ (РАСЧЕТЫ) ПЛАНОВЫХ СМЕТНЫХ ПОКАЗАТЕЛЕЙ А ПРЕДОСТАВЛЕНИЕ СУБСИДИЙ ИЗ ФЕДЕРАЛЬНОГО БЮДЖЕТА БЮДЖЕТАМ СУБЪЕКТОВ РОССИЙСКОЙ ФЕДЕРАЦИИ НА СОФИНАНСИРОВАНИЕ РАСХОДНЫХ ОБЯЗАТЕЛЬСТВ СУБЪЕКТОВ РОССИЙСКОЙ ФЕДЕРАЦИИ, ВОЗНИКАЮЩИХ ПРИ РЕАЛИЗАЦИИ НАЦИОНАЛЬНОГО ПРОЕКТА "ЦИФРОВАЯ ЭКОНОМИКА", НА ДОВЕДЕНИЕ УРОВНЯ БЕЗОПАСНОСТИ ОБЪЕКТОВ КРИТИЧЕСКОЙ ИНФОРМАЦИОННОЙ ИНФРАСТРУКТУРЫ ДО УСТАНОВЛЕННЫХ ЗАКОНОДАТЕЛЬСТВОМ РОССИЙСКОЙ ФЕДЕРАЦИИ ТРЕБОВАНИЙ НА 20__ ГОД И НА ПЛАНОВЫЙ ПЕРИОД 20__ И 20__ ГОДОВ

Коды
  Форма по ОКУД 0505803
  от "__" ________ 20__ г. Дата  
Получатель бюджетных средств   по Перечню (Реестру)  
Распорядитель средств федерального бюджета   по Перечню (Реестру)  
Главный распорядитель средств федерального бюджета   Глава по БК  
Раздел   по БК  
Подраздел   по БК  
Целевая статья   по БК  
Вид расходов   по БК  
Вид документа      
  (основной документ - код 01; изменения к документу - код 02)    
Единица измерения: руб по ОКЕИ 383

1. Расходы на предоставление субсидий

Наименование субсидии Сумма
на 20__ год
(на очередной финансовый год)
на 20__ год
(на первый год планового периода)
на 20__ год
(на второй год планового периода)
1 2 3 4
       

1.1 Аналитическое распределение по КОСГУ <1>

Наименование показателя Код по КОСГУ Сумма
на 20__ год
(на очередной финансовый год)
на 20__ год
(на первый год планового периода)
на 20__ год
(на второй год планового периода)
1 2 3 4 5
Расходы, всего -      
в том числе:        
перечисления другим бюджетам бюджетной системы Российской Федерации 251      

<1> Раздел заполняется в соответствии с Порядком применения классификации операций сектора государственного управления, утвержденным приказом Министерства финансов Российской Федерации от 29 ноября 2017 г. N 209н (зарегистрирован Министерством юстиции Российской Федерации 12 февраля 2018 г., регистрационный N 50003), с изменениями, внесенными приказами Министерства финансов Российской Федерации от 30 ноября 2018 г. N 246н (зарегистрирован Министерством юстиции Российской Федерации 26 декабря 2018 г., регистрационный N 53186), от 13 мая 2019 г. N 69н (зарегистрирован Министерством юстиции Российской Федерации 24 июля 2019 г., регистрационный N 55372).

2. Распределение общего объема субсидий между субъектами Российской Федерации <2>

Наименование субъекта Российской Федерации Код строки Объем предоставляемых субсидий
на 20__ год
(на очередной финансовый год)
на 20__ год
(на первый год планового периода)
на 20__ год
(на второй год планового периода)
1 2 3 4 5
  001      
  002      
         
Распределяемый объем 700      
Нераспределенный резерв 800      
Итого 900      

3. Расчет распределения общего объема субсидий на софинансирование расходных обязательств субъектов Российской Федерации между субъектами Российской Федерации <2>

3.1 Алгоритм расчета распределения общего объема субсидий на софинансирование расходных обязательств субъектов Российской Федерации между субъектами Российской Федерации в соответствии с правилами предоставления и распределения субсидий бюджетам субъектов Российской Федерации

 

Форма 0505803 с. 2

3.1.1 Показатели, применяемые для расчета распределения общего объема субсидий на "финансирование расходных обязательств субъектов Российской Федерации между субъектами Российской Федерации, в соответствии с правилами предоставления и распределения субсидий бюджетам субъектов Российской Федерации

3.1.1.1 Показатели, применяемые для расчета распределения общего объема субсидий на софинансирование расходных обязательств субъектов Российской Федерации между субъектами Российской Федерации, в соответствии с правилами предоставления и распределения субсидий бюджетам субъектов Российской Федерации на 20__ год (на очередной финансовый год)

Наименование субъекта Российской Федерации Код строки Показатели по субъектам Российской Федерации Единые показатели для всех субъектов Российской Федерации Объем субсидии
()
общая стоимость реализации субъектом Российской Федерации проектов, победивших в конкурсном отборе, до установленных законодательством Российской Федерации требований
()
предельный уровень софинансирования расходного обязательства субъекта Российской Федерации, %
()
общий объем затрат, предусмотренный на предоставление субсидий
()
1 2 3 4 5 6 7
  001     x x  
  002      
         
         
Итого 900 x x      

3.1.1.2 Показатели, применяемые для расчета распределения общего объема субсидий на софинансирование расходных обязательств субъектов Российской Федерации между субъектами Российской Федерации, в соответствии с правилами предоставления и распределения субсидий бюджетам субъектов Российской Федерации на 20__ год (на первый год планового периода)

Наименование субъекта Российской Федерации Код строки Показатели по субъектам Российской Федерации Единые показатели для всех субъектов Российской Федерации Объем субсидии
()
общая стоимость реализации субъектом Российской Федерации проектов, победивших в конкурсном отборе, до установленных законодательством Российской Федерации требований
()
предельный уровень софинансирования расходного обязательства субъекта Российской Федерации, %
()
общий объем затрат, предусмотренный на предоставление субсидий
()
1 2 3 4 5 6 7
  001     x x  
  002      
         
         
Итого 900 x x      

3.1.1.3 Показатели, применяемые для расчета распределения общего объема субсидий на софинансирование расходных обязательств субъектов Российской Федерации между субъектами Российской Федерации, в соответствии с правилами предоставления и распределения субсидий бюджетам субъектов Российской Федерации на 20__ год (на второй год планового периода)

Наименование субъекта Российской Федерации Код строки Показатели по субъектам Российской Федерации Единые показатели для всех субъектов Российской Федерации Объем субсидии
()
общая стоимость реализации субъектом Российской Федерации проектов, победивших в конкурсном отборе, до установленных законодательством Российской Федерации требований
()
предельный уровень софинансирования расходного обязательства субъекта Российской Федерации, %
()
общий объем затрат, предусмотренный на предоставление субсидий
()
1 2 3 4 5 6 7
  001     x x  
  002      
         
         
Итого 900 x x      

<2> Раздел заполняется одновременно с представлением главным распорядителем средств федерального бюджета расчетов распределения межбюджетных трансфертов бюджетам субъектов Российской Федерации в сроки, установленные графиком подготовки и рассмотрения проектов федеральных законов, документов и материалов, разрабатываемых при составлении проекта федерального бюджета и проектов бюджетов государственных внебюджетных фондов Российской Федерации на очередной финансовый год и плановый период.

4. Сведения о нормативных правовых (правовых) актах, устанавливающих правила предоставления субсидий из федерального бюджета бюджетам субъектов Российской Федерации и (или) их распределения между субъектами Российской Федерации

Нормативный правовой (правовой) акт
вид дата номер наименование статус предполагаемая дата изменения статуса <3>
1 2 3 4 5 6
           
           
           

<3> Для проектов нормативных правовых (правовых) актов указывается предполагаемый срок внесения в Правительство Российской Федерации (утверждения федеральным органом исполнительной власти); для действующих, подлежащих признанию утратившими силу (приостановлению) нормативных правовых (правовых) актов указывается дата прекращения (приостановления) их действия. В случае если срок действия нормативного правового (правового) акта не установлен, в данной графе ставится "01.01.2099".

Руководитель              
(уполномоченное лицо) (должность)   (подпись)   (расшифровка подписи)
               
Исполнитель              
  (должность)   (фамилия, инициалы)   (телефон)

"__" __________ 20__ г.

Приложение N 109
к приказу Министерства финансов
Российской Федерации
от 20.06.2018 N 139н

ОБОСНОВАНИЯ (РАСЧЕТЫ) ПЛАНОВЫХ СМЕТНЫХ ПОКАЗАТЕЛЕЙ НА ПРЕДОСТАВЛЕНИЕ СУБСИДИЙ ИЗ ФЕДЕРАЛЬНОГО БЮДЖЕТА БЮДЖЕТАМ СУБЪЕКТОВ РОССИЙСКОЙ ФЕДЕРАЦИИ НА СОФИНАНСИРОВАНИЕ РАСХОДНЫХ ОБЯЗАТЕЛЬСТВ СУБЪЕКТОВ РОССИЙСКОЙ ФЕДЕРАЦИИ, ВОЗНИКАЮЩИХ ПРИ РЕАЛИЗАЦИИ НАЦИОНАЛЬНОГО ПРОЕКТА "ОБРАЗОВАНИЕ", НА СОЗДАНИЕ (ОБНОВЛЕНИЕ) МАТЕРИАЛЬНО-ТЕХНИЧЕСКОЙ БАЗЫ ДЛЯ РЕАЛИЗАЦИИ ОСНОВНЫХ И ДОПОЛНИТЕЛЬНЫХ ОБЩЕОБРАЗОВАТЕЛЬНЫХ ПРОГРАММ ЦИФРОВОГО И ГУМАНИТАРНОГО ПРОФИЛЕЙ В ОБЩЕОБРАЗОВАТЕЛЬНЫХ ОРГАНИЗАЦИЯХ, РАСПОЛОЖЕННЫХ В СЕЛЬСКОЙ МЕСТНОСТИ И МАЛЫХ ГОРОДАХ, НА 20__ ГОД И НА ПЛАНОВЫЙ ПЕРИОД 20__ И 20__ ГОДОВ

Коды
  Форма по ОКУД 0505804
  от "__" ________ 20__ г. Дата  
Получатель бюджетных средств   по Перечню (Реестру)  
Распорядитель средств федерального бюджета   по Перечню (Реестру)  
Главный распорядитель средств федерального бюджета   Глава по БК  
Раздел   по БК  
Подраздел   по БК  
Целевая статья   по БК  
Вид расходов   по БК  
Вид документа      
  (основной документ - код 01; изменения к документу - код 02)    
Единица измерения: руб по ОКЕИ 383

1. Расходы на предоставление субсидий

Наименование субсидии Сумма
на 20__ год
(на очередной финансовый год)
на 20__ год
(на первый год планового периода)
на 20__ год
(на второй год планового периода)
1 2 3 4
       

1.1 Аналитическое распределение по КОСГУ <1>

Наименование показателя Код по КОСГУ Сумма
на 20__ год
(на очередной финансовый год)
на 20__ год
(на первый год планового периода)
на 20__ год
(на второй год планового периода)
1 2 3 4 5
Расходы, всего -      
в том числе:        
перечисления другим бюджетам бюджетной системы Российской Федерации 251      

<1> Раздел заполняется в соответствии с Порядком применения классификации операций сектора государственного управления, утвержденным приказом Министерства финансов Российской Федерации от 29 ноября 2017 г. N 209н (зарегистрирован Министерством юстиции Российской Федерации 12 февраля 2018 г., регистрационный N 50003), с изменениями, внесенными приказами Министерства финансов Российской Федерации от 30 ноября 2018 г. N 246н (зарегистрирован Министерством юстиции Российской Федерации 26 декабря 2018 г., регистрационный N 53186), от 13 мая 2019 г. N 69н (зарегистрирован Министерством юстиции Российской Федерации 24 июля 2019 г., регистрационный N 55372).

2. Распределение общего объема субсидий между субъектами Российской Федерации <2>

Наименование субъекта Российской Федерации Код строки Объем предоставляемых субсидий
на 20__ год
(на очередной финансовый год)
на 20__ год
(на первый год планового периода)
на 20__ год
(на второй год планового периода)
1 2 3 4 5
  001      
  002      
         
Распределяемый объем 700      
Нераспределенный резерв 800      
Итого 900      

3. Расчет распределения общего объема субсидий на софинансирование расходных обязательств субъектов Российской Федерации между субъектами Российской Федерации <2>

3.1 Алгоритм расчета распределения общего объема субсидий на софинансирование расходных обязательств субъектов Российской Федерации между субъектами Российской Федерации в соответствии с правилами предоставления и распределения субсидий бюджетам субъектов Российской Федерации

 

Форма 0505804 с. 2

3.1.1 Показатели, применяемые для расчета распределения общего объема субсидий на софинансирование расходных обязательств субъектов Российской Федерации между субъектами Российской Федерации, в соответствии с правилами предоставления и распределения субсидий бюджетам субъектов Российской Федерации

3.1.1.1 Показатели, применяемые для расчета распределения общего объема субсидий на софинансирование расходных обязательств субъектов Российской Федерации между субъектами Российской Федерации, в соответствии с правилами предоставления и распределения субсидий бюджетам субъектов Российской Федерации на 20__ год (на очередной финансовый год)

Наименование субъекта Российской Федерации Код строки Показатели по субъектам Российской Федерации Единые показатели для всех субъектов Российской Федерации Объем субсидии
()
количество общеобразовательных организаций субъекта Российской Федерации, расположенных в сельской местности и малых городах, в которых запланировано создание (обновление) материально-технической базы для формирования у обучающихся современных технологических и гуманитарных навыков при реализации основных и дополнительных общеобразовательных программ цифрового и гуманитарного профилей
()
предельный уровень софинансирования расходного обязательства субъекта Российской Федерации, %
()
общий объем затрат, предусмотренный на предоставление субсидий
()
1 2 3 4 5 6 7
  001     x x  
  002      
         
         
Итого 900 x x      

3.1.1.2 Показатели, применяемые для расчета распределения общего объема субсидий на софинансирование расходных обязательств субъектов Российской Федерации между субъектами Российской Федерации, в соответствии с правилами предоставления и распределения субсидий бюджетам субъектов Российской Федерации на 20__ год (на первый год планового периода)

Наименование субъекта Российской Федерации Код строки Показатели по субъектам Российской Федерации Единые показатели для всех субъектов Российской Федерации Объем субсидии
()
количество общеобразовательных организаций субъекта Российской Федерации, расположенных в сельской местности и малых городах, в которых запланировано создание (обновление) материально-технической базы для формирования у обучающихся современных технологических и гуманитарных навыков при реализации основных и дополнительных общеобразовательных программ цифрового и гуманитарного профилей
()
предельный уровень софинансирования расходного обязательства субъекта Российской Федерации, %
()
общий объем затрат, предусмотренный на предоставление субсидий
()
1 2 3 4 5 6 7
  001     x x  
  002      
         
         
Итого 900 x x      

3.1.1.3 Показатели, применяемые для расчета распределения общего объема субсидий на софинансирование расходных обязательств субъектов Российской Федерации между субъектами Российской Федерации, в соответствии с правилами предоставления и распределения субсидий бюджетам субъектов Российской Федерации на 20__ год (на второй год планового периода)

Наименование субъекта Российской Федерации Код строки Показатели по субъектам Российской Федерации Единые показатели для всех субъектов Российской Федерации Объем субсидии
()
количество общеобразовательных организаций субъекта Российской Федерации, расположенных в сельской местности и малых городах, в которых запланировано создание (обновление) материально-технической базы для формирования у обучающихся современных технологических и гуманитарных навыков при реализации основных и дополнительных общеобразовательных программ цифрового и гуманитарного профилей
()
предельный уровень софинансирования расходного обязательства субъекта Российской Федерации, %
()
общий объем затрат, предусмотренный на предоставление субсидий
()
1 2 3 4 5 6 7
  001     x x  
  002      
         
         
Итого 900 x x      

<2> Раздел заполняется одновременно с представлением главным распорядителем средств федерального бюджета расчетов распределения межбюджетных трансфертов бюджетам субъектов Российской Федерации в сроки, установленные графиком подготовки и рассмотрения проектов федеральных законов, документов и материалов, разрабатываемых при составлении проекта федерального бюджета и проектов бюджетов государственных внебюджетных фондов Российской Федерации на очередной финансовый год и плановый период.

4. Сведения о нормативных правовых (правовых) актах, устанавливающих правила предоставления субсидий из федерального бюджета бюджетам субъектов Российской Федерации и (или) их распределения между субъектами Российской Федерации

Нормативный правовой (правовой) акт
вид дата номер наименование статус предполагаемая дата изменения статуса <3>
1 2 3 4 5 6
           
           
           

<3> Для проектов нормативных правовых (правовых) актов указывается предполагаемый срок внесения в Правительство Российской Федерации (утверждения федеральным органом исполнительной власти); для действующих, подлежащих признанию утратившими силу (приостановлению) нормативных правовых (правовых) актов указывается дата прекращения (приостановления) их действия. В случае если срок действия нормативных правовых (правовых) актов не установлен, в данной графе ставится "01.01.2099".

Руководитель              
(уполномоченное лицо) (должность)   (подпись)   (расшифровка подписи)
               
Исполнитель              
  (должность)   (фамилия, инициалы)   (телефон)

"__" __________ 20__ г.

Приложение N 110
к приказу Министерства финансов
Российской Федерации
от 20.06.2018 N 139н

ОБОСНОВАНИЯ (РАСЧЕТЫ) ПЛАНОВЫХ СМЕТНЫХ ПОКАЗАТЕЛЕЙ НА ПРЕДОСТАВЛЕНИЕ СУБСИДИЙ ИЗ ФЕДЕРАЛЬНОГО БЮДЖЕТА БЮДЖЕТАМ СУБЪЕКТОВ РОССИЙСКОЙ ФЕДЕРАЦИИ НА СОФИНАНСИРОВАНИЕ РАСХОДНЫХ ОБЯЗАТЕЛЬСТВ СУБЪЕКТОВ РОССИЙСКОЙ ФЕДЕРАЦИИ, ВОЗНИКАЮЩИХ ПРИ РЕАЛИЗАЦИИ НАЦИОНАЛЬНОГО ПРОЕКТА "ОБРАЗОВАНИЕ", НА ОБНОВЛЕНИЕ МАТЕРИАЛЬНО-ТЕХНИЧЕСКОЙ БАЗЫ В ОРГАНИЗАЦИЯХ, ОСУЩЕСТВЛЯЮЩИХ ОБРАЗОВАТЕЛЬНУЮ ДЕЯТЕЛЬНОСТЬ ИСКЛЮЧИТЕЛЬНО ПО АДАПТИРОВАННЫМ ОСНОВНЫМ ОБЩЕОБРАЗОВАТЕЛЬНЫМ ПРОГРАММАМ, НА 20__ ГОД И НА ПЛАНОВЫЙ ПЕРИОД 20__ И 20__ ГОДОВ

Коды
  Форма по ОКУД 0505805
  от "__" ________ 20__ г. Дата  
Получатель бюджетных средств   по Перечню (Реестру)  
Распорядитель средств федерального бюджета   по Перечню (Реестру)  
Главный распорядитель средств федерального бюджета   Глава по БК  
Раздел   по БК  
Подраздел   по БК  
Целевая статья   по БК  
Вид расходов   по БК  
Вид документа      
  (основной документ - код 01; изменения к документу - код 02)    
Единица измерения: руб по ОКЕИ 383

1. Расходы на предоставление субсидий

Наименование субсидии Сумма
на 20__ год
(на очередной финансовый год)
на 20__ год
(на первый год планового периода)
на 20__ год
(на второй год планового периода)
1 2 3 4
       

1.1 Аналитическое распределение по КОСГУ <1>

Наименование показателя Код по КОСГУ Сумма
на 20__ год
(на очередной финансовый год)
на 20__ год
(на первый год планового периода)
на 20__ год
(на второй год планового периода)
1 2 3 4 5
Расходы, всего -      
в том числе:        
перечисления другим бюджетам бюджетной системы Российской Федерации 251      

<1> Раздел заполняется в соответствии с Порядком применения классификации операций сектора государственного управления, утвержденным приказом Министерства финансов Российской Федерации от 29 ноября 2017 г. N 209н (зарегистрирован Министерством юстиции Российской Федерации 12 февраля 2018 г., регистрационный N 50003), с изменениями, внесенными приказами Министерства финансов Российской Федерации от 30 ноября 2018 г. N 246н (зарегистрирован Министерством юстиции Российской Федерации 26 декабря 2018 г., регистрационный N 53186), от 13 мая 2019 г. N 69н (зарегистрирован Министерством юстиции Российской Федерации 24 июля 2019 г., регистрационный N 55372).

2. Распределение общего объема субсидий между субъектами Российской Федерации

Наименование субъекта Российской Федерации Код строки Объем предоставляемых субсидий
на 20__ год
(на очередной финансовый год)
на 20__ год
(на первый год планового периода)
на 20__ год
(на второй год планового периода)
1 2 3 4 5
  001      
  002      
         
Распределяемый объем 700      
Нераспределенный резерв 800      
Итого 900      

3. Расчет распределения общего объема субсидий на софинансирование расходных обязательств субъектов Российской Федерации между субъектами Российской Федерации <2>

3.1 Алгоритм расчета распределения общего объема субсидий на софинансирование расходных обязательств субъектов Российской Федерации между субъектами Российской Федерации в соответствии с правилами предоставления и распределения субсидий бюджетам субъектов Российской Федерации

 

Форма 0505805 с. 2

3.1.1 Показатели, применяемые для расчета распределения общего объема субсидий на софинансирование расходных обязательств субъектов Российской Федерации между субъектами Российской Федерации, в соответствии с правилами предоставления и распределения субсидий бюджетам субъектов Российской Федерации

3.1.1.1 Показатели, применяемые для расчета распределения общего объема субсидий на софинансирование расходных обязательств субъектов Российской Федерации между субъектами Российской Федерации, в соответствии с правилами предоставления и распределения субсидий бюджетам субъектов Российской Федерации на 20__ год (на очередной финансовый год)

Наименование субъекта Российской Федерации Код строки Показатели по субъектам Российской Федерации Единые показатели и для всех субъектов Российской Федерации Объем субсидии
()
количество организаций, осуществляющих образовательную деятельность исключительно по адаптированным основным общеобразовательным программам в субъекте Российской Федерации, оснащение которых запланировано, ед
()
предельный уровень софинансирования расходного обязательства субъекта Российской Федерации, %
()
общий объем затрат, предусмотренный на предоставление субсидий
()
1 2 3 4 5 6 7
  001     x x  
  002      
         
         
Итого 900 x x      

3.1.1.2 Показатели, применяемые для расчета распределения общего объема субсидий на софинансирование расходных обязательств субъектов Российской Федерации между субъектами Российской Федерации, в соответствии с правилами предоставления и распределения субсидий бюджетам субъектов Российской Федерации на 20__ год (на первый год планового периода)

Наименование субъекта Российской Федерации Код строки Показатели по субъектам Российской Федерации Единые показатели и для всех субъектов Российской Федерации Объем субсидии
()
количество организаций, осуществляющих образовательную деятельность исключительно по адаптированным основным общеобразовательным программам в субъекте Российской Федерации, оснащение которых запланировано, ед
()
предельный уровень софинансирования расходного обязательства субъекта Российской Федерации, %
()
общий объем затрат, предусмотренный на предоставление субсидий
()
1 2 3 4 5 6 7
  001     x x  
  002      
         
         
Итого 900 x x      

3.1.1.3 Показатели, применяемые для расчета распределения общего объема субсидий на софинансирование расходных обязательств субъектов Российской Федерации между субъектами Российской Федерации, в соответствии с правилами предоставления и распределения субсидий бюджетам субъектов Российской Федерации на 20__ год (на второй год планового периода)

Наименование субъекта Российской Федерации Код строки Показатели по субъектам Российской Федерации Единые показатели и для всех субъектов Российской Федерации Объем субсидии
()
количество организаций, осуществляющих образовательную деятельность исключительно по адаптированным основным общеобразовательным программам в субъекте Российской Федерации, оснащение которых запланировано, ед
()
предельный уровень софинансирования расходного обязательства субъекта Российской Федерации, %
()
общий объем затрат, предусмотренный на предоставление субсидий
()
1 2 3 4 5 6 7
  001     x x  
  002      
         
         
Итого 900 x x      

<2> Раздел заполняется одновременно с представлением главным распорядителем средств федерального бюджета расчетов распределения межбюджетных трансфертов бюджетам субъектов Российской Федерации в сроки, установленные графиком подготовки и рассмотрения проектов федеральных законов, документов и материалов, разрабатываемых при составлении проекта федерального бюджета и проектов бюджетов государственных внебюджетных фондов Российской Федерации на очередной финансовый год и плановый период.

4. Сведения о нормативных правовых (правовых) актах, устанавливающих правила предоставления субсидий из федерального бюджета бюджетам субъектов Российской Федерации и (или) их распределения между субъектами Российской Федерации

Нормативный правовой (правовой) акт
вид дата номер наименование статус предполагаемая дата изменения статуса <3>
1 2 3 4 5 6
           
           
           

<3> Для проектов нормативных правовых (правовых) актов указывается предполагаемый срок внесения в Правительство Российской Федерации (утверждения федеральным органом исполнительной власти); для действующих, подлежащих признанию утратившими силу (приостановлению) нормативных правовых (правовых) актов указывается дата прекращения (приостановления) их действия. В случае если срок действия нормативных правовых (правовых) актов не установлен, в данной графе ставится "01.01.2099".

Руководитель              
(уполномоченное лицо) (должность)   (подпись)   (расшифровка подписи)
               
Исполнитель              
  (должность)   (фамилия, инициалы)   (телефон)

"__" __________ 20__ г.

Приложение N 111
к приказу Министерства финансов
Российской Федерации
от 20.06.2018 N 139н

ОБОСНОВАНИЯ (РАСЧЕТЫ) ПЛАНОВЫХ СМЕТНЫХ ПОКАЗАТЕЛЕЙ НА ПРЕДОСТАВЛЕНИЕ СУБСИДИЙ ИЗ ФЕДЕРАЛЬНОГО БЮДЖЕТА БЮДЖЕТАМ СУБЪЕКТОВ РОССИЙСКОЙ ФЕДЕРАЦИИ НА СОФИНАНСИРОВАНИЕ РАСХОДНЫХ ОБЯЗАТЕЛЬСТВ СУБЪЕКТОВ РОССИЙСКОЙ ФЕДЕРАЦИИ, ВОЗНИКАЮЩИХ ПРИ РЕАЛИЗАЦИИ НАЦИОНАЛЬНОГО ПРОЕКТА "ОБРАЗОВАНИЕ", НА СОЗДАНИЕ В ОБЩЕОБРАЗОВАТЕЛЬНЫХ ОРГАНИЗАЦИЯХ, РАСПОЛОЖЕННЫХ В СЕЛЬСКОЙ МЕСТНОСТИ И МАЛЫХ ГОРОДАХ, УСЛОВИЙ ДЛЯ ЗАНЯТИЙ ФИЗИЧЕСКОЙ КУЛЬТУРОЙ И СПОРТОМ НА 20__ ГОД И НА ПЛАНОВЫЙ ПЕРИОД 20__ И 20__ ГОДОВ

Коды
  Форма по ОКУД 0505806
  от "__" ________ 20__ г. Дата  
Получатель бюджетных средств   по Перечню (Реестру)  
Распорядитель средств федерального бюджета   по Перечню (Реестру)  
Главный распорядитель средств федерального бюджета   Глава по БК  
Раздел   по БК  
Подраздел   по БК  
Целевая статья   по БК  
Вид расходов   по БК  
Вид документа      
  (основной документ - код 01; изменения к документу - код 02)    
Единица измерения: руб по ОКЕИ 383

1. Расходы на предоставление субсидий

Наименование субсидии Сумма
на 20__ год
(на очередной финансовый год)
на 20__ год
(на первый год планового периода)
на 20__ год
(на второй год планового периода)
1 2 3 4
       

1.1 Аналитическое распределение по КОСГУ <1>

Наименование показателя Код по КОСГУ Сумма
на 20__ год
(на очередной финансовый год)
на 20__ год
(на первый год планового периода)
на 20__ год
(на второй год планового периода)
1 2 3 4 5
Расходы, всего -      
в том числе:        
перечисления другим бюджетам бюджетной системы Российской Федерации 251      

<1> Раздел заполняется в соответствии с Порядком применения классификации операций сектора государственного управления, утвержденным приказом Министерства финансов Российской Федерации от 29 ноября 2017 г. N 209н (зарегистрирован Министерством юстиции Российской Федерации 12 февраля 2018 г., регистрационный N 50003), с изменениями, внесенными приказами Министерства финансов Российской Федерации от 30 ноября 2018 г. N 246н (зарегистрирован Министерством юстиции Российской Федерации 26 декабря 2018 г., регистрационный N 53186), от 13 мая 2019 г. N 69н (зарегистрирован Министерством юстиции Российской Федерации 24 июля 2019 г., регистрационный N 55372).

2. Распределение общего объема субсидий между субъектами Российской Федерации <2>

Наименование субъекта Российской Федерации Код строки Объем предоставляемых субсидий
на 20__ год
(на очередной финансовый год)
на 20__ год
(на первый год планового периода)
на 20__ год
(на второй год планового периода)
1 2 3 4 5
  001      
  002      
         
Распределяемый объем 700      
Нераспределенный резерв 800      
Итого 900      

3. Расчет распределения общего объема субсидий на софинансирование расходных обязательств субъектов Российской Федерации между субъектами Российской Федерации <2>

3.1 Алгоритм расчета распределения общего объема субсидий на софинансирование расходных обязательств субъектов Российской Федерации между субъектами Российской Федерации в соответствии с правилами предоставления и распределения субсидий бюджетам субъектов Российской Федерации

 

Форма 0505806 с. 2

3.1.1 Показатели, применяемые для расчета распределения общего объема субсидий на софинансирование расходных обязательств субъектов Российской Федерации между субъектами Российской Федерации, в соответствии с правилами предоставления и распределения субсидий бюджетам субъектов Российской Федерации

3.1.1.1 Показатели, применяемые для расчета распределения общего объема субсидий на софинансирование расходных обязательств субъектов Российской Федерации между субъектами Российской Федерации, в соответствии с правилами предоставления и распределения субсидий бюджетам субъектов Российской Федерации на 20__ год (на очередной финансовый год)

Наименование субъекта Российской Федерации Код строки Показатели по субъектам Российской Федерации Единые показатели для всех субъектов Российской Федерации Объем субсидии
()
численность обучающихся по дополнительным общеразвивающим программам, дополнительным предпрофессиональным программам для детей в области физической культуры и спорта в субъекте Российской Федерации, чел рост численности обучающихся, занимающихся физической культурой и спортом в субъекте Российской Федерации
()
вклад субъекта Российской Федерации в увеличение обучающихся, занимающихся физической культурой и спортом в общеобразовательных организациях в целом в субъектах Российской Федерации
()
численность обучающихся по основным общеобразовательным программам в сельской местности и малых городах в субъекте Российской Федерации на начало учебного года, предшествующего текущему финансовому году, чел
()
показатель созданных в общеобразовательных организациях субъекта Российской Федерации условий для занятия физической культурой и спортом
()
предельный уровень софинансирования расходного обязательства субъекта Российской Федерации
()
предельный уровень софинансирования расходного обязательства субъекта Российской Федерации в отношении субсидий, предоставляемых в целях софинансирования расходных обязательств субъекта Российской Федерации, возникших при реализации региональных проектов, направленных на реализацию федеральных проектов, входящих в состав соответствующего национального проекта
()
коэффициент, применяемый для субъектов Российской Федерации, в отношении которых в соответствии с поручением Председателя Правительства Российской Федерации разрабатываются индивидуальные программы социально-экономического развития
()
поправочный коэффициент, применяемый для субъектов Российской Федерации, входящих в состав Дальневосточного федерального округа
()
численность обучающихся по основным общеобразовательным программам в сельской местности и малых городах на начало учебного года, предшествующего текущему финансовому году, чел (n) общий рост численности обучающихся, занимающихся физической культурой и спортом в целом в субъектах Российской Федерации общий объем затрат, предусмотренный на предоставление субсидий
(S)
за 20__ год
(3-й год, предшествующий текущему)
за 20__ год (2-й год, предшествующий текущему) за 20__ год
(1-й год, предшествующий текущему)
() () ()
1 2 3 4 5 6 7 8 9 10 11 12 13 14 15 16 17 18 19
  001                       x x x x x  
  002                        
                           
                           
Итого 900 x x x x x x x x x x x            

3.1.1.2 Показатели, применяемые для расчета распределения общего объема субсидий на софинансирование расходных обязательств субъектов Российской Федерации между субъектами Российской Федерации, в соответствии с правилами предоставления и распределения субсидий бюджетам субъектов Российской Федерации на 20__ год (на первый год планового периода)

Наименование субъекта Российской Федерации Код строки Показатели по субъектам Российской Федерации Единые показатели для всех субъектов Российской Федерации Объем субсидии
()
численность обучающихся по дополнительным общеразвивающим программам, дополнительным предпрофессиональным программам для детей в области физической культуры и спорта в субъекте Российской Федерации, чел рост численности обучающихся, занимающихся физической культурой и спортом в субъекте Российской Федерации
()
вклад субъекта Российской Федерации в увеличение обучающихся, занимающихся физической культурой и спортом в общеобразовательных организациях в целом в субъектах Российской Федерации () численность обучающихся по основным общеобразовательным программам в сельской местности и малых городах в субъектах Российской Федерации на начало учебного года, предшествующего текущему финансовому году, чел
()
показатель созданных в общеобразовательных организациях субъекта Российской Федерации условий для занятия физической культурой и спортом () предельный уровень софинансирования расходного обязательства субъекта Российской Федерации
()
предельный уровень софинансирования расходного обязательства субъекта Российской Федерации в отношении субсидий, предоставляемых в целях софинансирования расходных обязательств субъекта Российской Федерации, возникших при реализации региональных проектов, направленных на реализацию федеральных проектов, входящих в состав соответствующего национального проекта
()
коэффициент, применяемый для субъектов Российской Федерации, в отношении которых в соответствии с поручением Председателя Правительства Российской Федерации разрабатываются индивидуальные программы социально-экономического развития
()
поправочный коэффициент, применяемый для субъектов Российской Федерации, входящих в состав Дальневосточного федерального округа
()
численность обучающихся по основным общеобразовательным программам в сельской местности и малых городах на начало учебного года, предшествующего текущему финансовому году, чел
(n)
общий рост численности обучающихся, занимающихся физической культурой и спортом в целом в субъектах Российской Федерации общий объем затрат, предусмотренный на предоставление субсидий
(S)
за 20__ год
(3-й год, предшествующий текущему)
за 20__ год (2-й год, предшествующий текущему) за 20__ год
(1-й год, предшествующий текущему)
() () ()
1 2 3 4 5 6 7 8 9 10 11 12 13 14 15 16 17 18 19
  001                       x x x x x  
  002                        
                           
                           
Итого 900 x x x x x x x x x x x            

Форма 0505806 с. 3

3.1.1.3 Показатели, применяемые для расчета распределения общего объема субсидий на софинансирование расходных обязательств субъектов Российской Федерации между субъектами Российской Федерации, в соответствии с правилами предоставления и распределения субсидий бюджетам субъектов Российской Федерации на 20__ год (на второй год планового периода)

Наименование субъекта Российской Федерации Код строки Показатели по субъектам Российской Федерации Единые показатели для всех субъектов Российской Федерации Объем субсидии
()
численность обучающихся по дополнительным общеразвивающим программам, дополнительным предпрофессиональным программам для детей в области физической культуры и спорта в субъекте Российской Федерации, чел рост численности обучающихся, занимающихся физической культурой и спортом в субъекте Российской Федерации
()
вклад субъекта Российской Федерации в увеличение обучающихся, занимающихся физической культурой и спортом в общеобразовательных организациях в целом в субъектах Российской Федерации
()
численность обучающихся по основным общеобразовательным программам в сельской местности и малых городах в субъектах Российской Федерации на начало учебного года, предшествующего текущему финансовому году, чел () показатель созданных в общеобразовательных организациях субъекта Российской Федерации условий для занятия физической культурой и спортом
()
предельный уровень софинансирования расходного обязательства субъекта Российской Федерации
()
предельный уровень софинансирования расходного обязательства субъекта Российской Федерации в отношении субсидий, предоставляемых в целях софинансирования расходных обязательств субъекта Российской Федерации, возникших при реализации региональных проектов, направленных на реализацию федеральных проектов, входящих в состав соответствующего национального проекта
()
коэффициент, применяемый для субъектов Российской Федерации, в отношении которых в соответствии с поручением Председателя Правительства Российской Федерации разрабатываются индивидуальные программы социально-экономического развития
()
поправочный коэффициент, применяемый для субъектов Российской Федерации, входящих в состав Дальневосточного федерального округа
()
численность обучающихся по основным общеобразовательным программам в сельской местности и малых городах на начало учебного года, предшествующего текущему финансовому году, чел
(n)
общий рост численности обучающихся, занимающихся физической культурой и спортом в целом в субъектах Российской Федерации общий объем затрат, предусмотренный на предоставление субсидий
(S)
за 20__ год
(3-й год, предшествующий текущему)
за 20__ год (2-й год, предшествующий текущему) за 20__ год
(1-й год, предшествующий текущему)
() () ()
1 2 3 4 5 6 7 8 9 10 11 12 13 14 15 16 17 18 19
  001                       x x x x x  
  002                        
                           
                           
Итого 900 x x x x x x x x x x x            

<2> Раздел заполняется одновременно с представлением главным распорядителем средств федерального бюджета расчетов распределения межбюджетных трансфертов бюджетам субъектов Российской Федерации в сроки, установленные графиком подготовки и рассмотрения проектов федеральных законов, документов и материалов, разрабатываемых при составлении проекта федерального бюджета и проектов бюджетов государственных внебюджетных фондов Российской Федерации на очередной финансовый год и плановый период.

4. Сведения о нормативных правовых (правовых) актах, устанавливающих правила предоставления субсидий из федерального бюджета бюджетам субъектов Российской Федерации и (или) их распределения между субъектами Российской Федерации

Нормативный правовой (правовой) акт
вид дата номер наименование статус предполагаемая дата изменения статуса <3>
1 2 3 4 5 6
           
           
           

<3> Для проектов нормативных правовых (правовых) актов указывается предполагаемый срок внесения в Правительство Российской Федерации (утверждения федеральным органом исполнительной власти); для действующих, подлежащих признанию утратившими силу (приостановлению) нормативных правовых (правовых) актов указывается дата прекращения (приостановления) их действия. В случае если срок действия нормативных правовых (правовых) актов не установлен, в данной графе ставится "01.01.2099".

Руководитель              
(уполномоченное лицо) (должность)   (подпись)   (расшифровка подписи)
               
Исполнитель              
  (должность)   (фамилия, инициалы)   (телефон)

"__" __________ 20__ г.

Приложение N 112
к приказу Министерства финансов
Российской Федерации
от 20.06.2018 N 139н

ОБОСНОВАНИЯ (РАСЧЕТЫ) ПЛАНОВЫХ СМЕТНЫХ ПОКАЗАТЕЛЕЙ НА ПРЕДОСТАВЛЕНИЕ СУБСИДИЙ ИЗ ФЕДЕРАЛЬНОГО БЮДЖЕТА БЮДЖЕТАМ СУБЪЕКТОВ РОССИЙСКОЙ ФЕДЕРАЦИИ НА СОФИНАНСИРОВАНИЕ РАСХОДНЫХ ОБЯЗАТЕЛЬСТВ СУБЪЕКТОВ РОССИЙСКОЙ ФЕДЕРАЦИИ, ВОЗНИКАЮЩИХ ПРИ РЕАЛИЗАЦИИ НАЦИОНАЛЬНОГО ПРОЕКТА "ОБРАЗОВАНИЕ", НА СОЗДАНИЕ ДЕТСКИХ ТЕХНОПАРКОВ "КВАНТОРИУМ" НА 20__ ГОД И НА ПЛАНОВЫЙ ПЕРИОД 20__ И 20__ ГОДОВ

Коды
  Форма по ОКУД 0505807
  от "__" ________ 20__ г. Дата  
Получатель бюджетных средств   по Перечню (Реестру)  
Распорядитель средств федерального бюджета   по Перечню (Реестру)  
Главный распорядитель средств федерального бюджета   Глава по БК  
Раздел   по БК  
Подраздел   по БК  
Целевая статья   по БК  
Вид расходов   по БК  
Вид документа      
  (основной документ - код 01; изменения к документу - код 02)    
Единица измерения: руб по ОКЕИ 383

1. Расходы на предоставление субсидий

Наименование субсидии Сумма
на 20__ год
(на очередной финансовый год)
на 20__ год
(на первый год планового периода)
на 20__ год
(на второй год планового периода)
1 2 3 4
       

1.1 Аналитическое распределение по КОСГУ <1>

Наименование показателя Код по КОСГУ Сумма
на 20__ год
(на очередной финансовый год)
на 20__ год
(на первый год планового периода)
на 20__ год
(на второй год планового периода)
1 2 3 4 5
Расходы, всего -      
в том числе:        
перечисления другим бюджетам бюджетной системы Российской Федерации 251      

<1> Раздел заполняется в соответствии с Порядком применения классификации операций сектора государственного управления, утвержденным приказом Министерства финансов Российской Федерации от 29 ноября 2017 г. N 209н (зарегистрирован Министерством юстиции Российской Федерации 12 февраля 2018 г. регистрационный N 50003), с изменениями, внесенными приказами Министерства финансов Российской Федерации от 30 ноября 2018 г. N 246н (зарегистрирован Министерством юстиции Российской Федерации 26 декабря 2018 г., регистрационный N 53186), от 13 мая 2019 г. N 69н (зарегистрирован Министерством юстиции Российской Федерации 24 июля 2019 г., регистрационный N 55372).

2. Распределение общего объема субсидий между субъектами Российской Федерации <2>

Наименование субъекта Российской Федерации Код строки Объем предоставляемых субсидий
на 20__ год
(на очередной финансовый год)
на 20__ год
(на первый год планового периода)
на 20__ год
(на второй год планового периода)
1 2 3 4 5
  001      
  002      
         
Распределяемый объем 700      
Нераспределенный резерв 800      
Итого 900      

3. Расчет распределения общего объема субсидий на софинансирование расходных обязательств субъектов Российской Федерации между субъектами Российской Федерации <2>

3.1 Алгоритм расчета распределения общего объема субсидий на софинансирование расходных обязательств субъектов Российской Федерации между субъектами Российской Федерации в соответствии с правилами предоставления и распределения субсидий бюджетам субъектов Российской Федерации

 

Форма 0505807 с. 2

3.1.1 Показатели, применяемые для расчета распределения общего объема субсидий на софинансирование расходных обязательств субъектов Российской Федерации между субъектами Российской Федерации, в соответствии с правилами предоставления и распределения субсидий бюджетам субъектов Российской Федерации

3.1.1.1 Показатели, применяемые для расчета распределения общего объема субсидий на софинансирование расходных обязательств субъектов Российской Федерации между субъектами Российской Федерации, в соответствии с правилами предоставления и распределения субсидий бюджетам субъектов Российской Федерации на 20__ год (на очередной финансовый год)

Наименование субъекта Российской Федерации Код строки Показатели по субъектам Российской Федерации Единые показатели для всех субъектов Российской Федерации Объем субсидии
()
количество детских технопарков "Кванториум", запланированных к созданию в субъекте Российской Федерации, ед
()
предельный уровень софинансирования расходного обязательства субъекта Российской Федерации, %
()
общий объем затрат, предусмотренный на предоставление субсидий
()
1 2 3 4 5 6 7
  001     x x  
  002      
         
         
Итого 900 x x      

3.1.1.2 Показатели, применяемые для расчета распределения общего объема субсидий на софинансирование расходных обязательств субъектов Российской Федерации между субъектами Российской Федерации, в соответствии с правилами предоставления и распределения субсидий бюджетам субъектов Российской Федерации на 20__ год (на первый год планового периода)

Наименование субъекта Российской Федерации Код строки Показатели по субъектам Российской Федерации Единые показатели для всех субъектов Российской Федерации Объем субсидии
()
количество детских технопарков "Кванториум", запланированных к созданию в субъекте Российской Федерации, ед
()
предельный уровень софинансирования расходного обязательства субъекта Российской Федерации, %
()
общий объем затрат, предусмотренный на предоставление субсидий
()
1 2 3 4 5 6 7
  001     x x  
  002      
         
         
Итого 900 x x      

3.1.1.3 Показатели, применяемые для расчета распределения общего объема субсидий на софинансирование расходных обязательств субъектов Российской Федерации между субъектами Российской Федерации, в соответствии с правилами предоставления и распределения субсидий бюджетам субъектов Российской Федерации на 20__ год (на второй год планового периода)

Наименование субъекта Российской Федерации Код строки Показатели по субъектам Российской Федерации Единые показатели для всех субъектов Российской Федерации Объем субсидии
()
количество детских технопарков "Кванториум", запланированных к созданию в субъекте Российской Федерации, ед
()
предельный уровень софинансирования расходного обязательства субъекта Российской Федерации, %
()
общий объем затрат, предусмотренный на предоставление субсидий
()
1 2 3 4 5 6 7
  001     x x  
  002      
         
         
Итого 900 x x      

<2> Раздел заполняется одновременно с представлением главным распорядителем средств федерального бюджета расчетов распределения межбюджетных трансфертов бюджетам субъектов Российской Федерации в сроки, установленные графиком подготовки и рассмотрения проектов федеральных законов, документов и материалов, разрабатываемых при составлении проекта федерального бюджета и проектов бюджетов государственных внебюджетных фондов Российской Федерации на очередной финансовый год и плановый период.

4. Сведения о нормативных правовых (правовых) актах, устанавливающих правила предоставления субсидий из федерального бюджета бюджетам субъектов Российской Федерации и (или) их распределения между субъектами Российской Федерации

Нормативный правовой (правовой) акт
вид дата номер наименование статус предполагаемая дата изменения статуса <3>
1 2 3 4 5 6
           
           
           

<3> Для проектов нормативных правовых (правовых) актов указывается предполагаемый срок внесения в Правительство Российской Федерации (утверждения федеральным органом исполнительной власти); для действующих, подлежащих признанию утратившими силу (приостановлению) нормативных правовых (правовых) актов указывается дата прекращения (приостановления) их действия. В случае если срок действия нормативных правовых (правовых) актов не установлен, в данной графе ставится "01.01.2099".

Руководитель              
(уполномоченное лицо) (должность)   (подпись)   (расшифровка подписи)
               
Исполнитель              
  (должность)   (фамилия, инициалы)   (телефон)

"__" __________ 20__ г.

Приложение N 113
к приказу Министерства финансов
Российской Федерации
от 20.06.2018 N 139н

ОБОСНОВАНИЯ (РАСЧЕТЫ) ПЛАНОВЫХ СМЕТНЫХ ПОКАЗАТЕЛЕЙ НА ПРЕДОСТАВЛЕНИЕ СУБСИДИЙ ИЗ ФЕДЕРАЛЬНОГО БЮДЖЕТА БЮДЖЕТАМ СУБЪЕКТОВ РОССИЙСКОЙ ФЕДЕРАЦИИ НА СОФИНАНСИРОВАНИЕ РАСХОДНЫХ ОБЯЗАТЕЛЬСТВ СУБЪЕКТОВ РОССИЙСКОЙ ФЕДЕРАЦИИ, ВОЗНИКАЮЩИХ ПРИ РЕАЛИЗАЦИИ НАЦИОНАЛЬНОГО ПРОЕКТА "ОБРАЗОВАНИЕ", НА СОЗДАНИЕ КЛЮЧЕВЫХ ЦЕНТРОВ РАЗВИТИЯ ДЕТЕЙ НА 20__ ГОД И НА ПЛАНОВЫЙ ПЕРИОД 20__ И 20__ ГОДОВ

Коды
  Форма по ОКУД 0505808
  от "__" ________ 20__ г. Дата  
Получатель бюджетных средств   по Перечню (Реестру)  
Распорядитель средств федерального бюджета   по Перечню (Реестру)  
Главный распорядитель средств федерального бюджета   Глава по БК  
Раздел   по БК  
Подраздел   по БК  
Целевая статья   по БК  
Вид расходов   по БК  
Вид документа      
  (основной документ - код 01; изменения к документу - код 02)    
Единица измерения: руб по ОКЕИ 383

1. Расходы на предоставление субсидий

Наименование субсидии Сумма
на 20__ год
(на очередной финансовый год)
на 20__ год
(на первый год планового периода)
на 20__ год
(на второй год планового периода)
1 2 3 4
       

1.1 Аналитическое распределение по КОСГУ <1>

Наименование показателя Код по КОСГУ Сумма
на 20__ год
(на очередной финансовый год)
на 20__ год
(на первый год планового периода)
на 20__ год
(на второй год планового периода)
1 2 3 4 5
Расходы, всего -      
в том числе:        
перечисления другим бюджетам бюджетной системы Российской Федерации 251      

<1> Раздел заполняется в соответствии с Порядком применения классификации операций сектора государственного управления, утвержденным приказом Министерства финансов Российской Федерации от 29 ноября 2017 г. N 209н (зарегистрирован Министерством юстиции Российской Федерации 12 февраля 2018 г., регистрационный N 50003), с изменениями, внесенными приказами Министерства финансов Российской Федерации от 30 ноября 2018 г. N 246н (зарегистрирован Министерством юстиции Российской Федерации 26 декабря 2018 г., регистрационный N 53186), от 13 мая 2019 г. N 69н (зарегистрирован Министерством юстиции Российской Федерации 24 июля 2019 г., регистрационный N 55372).

2. Распределение общего объема субсидий между субъектами Российской Федерации <2>

Наименование субъекта Российской Федерации Код строки Объем предоставляемых субсидий
на 20__ год
(на очередной финансовый год)
на 20__ год
(на первый год планового периода)
на 20__ год
(на второй год планового периода)
1 2 3 4 5
  001      
  002      
         
Распределяемый объем 700      
Нераспределенный резерв 800      
Итого 900      

3. Расчет распределения общего объема субсидий на софинансирование расходных обязательств субъектов Российской Федерации между субъектами Российской Федерации <2>

3.1 Алгоритм расчета распределения общего объема субсидий на софинансирование расходных обязательств субъектов Российской Федерации между субъектами Российской Федерации в соответствии с правилами предоставления и распределения субсидий бюджетам субъектов Российской Федерации

 

Форма 0505808 с. 2

3.1.1 Показатели, применяемые для расчета распределения общего объема субсидий на софинансирование расходных обязательств субъектов Российской Федерации между субъектами Российской Федерации, в соответствии с правилами предоставления и распределения субсидий бюджетам субъектов Российской Федерации

3.1.1.1 Показатели, применяемые для расчета распределения общего объема субсидий на софинансирование расходных обязательств субъектов Российской Федерации между субъектами Российской Федерации, в соответствии с правилами предоставления и распределения субсидий бюджетам субъектов Российской Федерации на 20__ год (на очередной финансовый год)

Наименование субъекта Российской Федерации Код строки Показатели по субъектам Российской Федерации Единые показатели для всех субъектов Российской Федерации Объем субсидии
()
количество ключевых центров дополнительного образования детей, реализующих дополнительные общеобразовательные программы в организациях, осуществляющих образовательную деятельность по образовательным программам высшего образования, в том числе участвующих в создании научных и научно-образовательных центров мирового уровня или обеспечивающих деятельность центров компетенций Национальной технологической инициативы, запланированных к созданию в субъекте Российской Федерации, ед
()
предельный уровень софинансирования расходного обязательства субъекта Российской Федерации, %
()
общий объем затрат, предусмотренный на предоставление субсидий
()
1 2 3 4 5 6 7
  001     x x  
  002      
         
         
Итого 900 x x x x  

3.1.1.2 Показатели, применяемые для расчета распределения общего объема субсидий на софинансирование расходных обязательств субъектов Российской Федерации между субъектами Российской Федерации, в соответствии с правилами предоставления и распределения субсидий бюджетам субъектов Российской Федерации на 20__ год (на первый год планового периода)

Наименование субъекта Российской Федерации Код строки Показатели по субъектам Российской Федерации Единые показатели для всех субъектов Российской Федерации Объем субсидии
()
количество ключевых центров дополнительного образования детей, реализующих дополнительные общеобразовательные программы в организациях, осуществляющих образовательную деятельность по образовательным программам высшего образования, в том числе участвующих в создании научных и научно-образовательных центров мирового уровня или обеспечивающих деятельность центров компетенций Национальной технологической инициативы, запланированных к созданию в субъекте Российской Федерации, ед
()
предельный уровень софинансирования расходного обязательства субъекта Российской Федерации, %
()
общий объем затрат, предусмотренный на предоставление субсидий
()
1 2 3 4 5 6 7
  001     x x  
  002      
         
         
Итого 900 x x x x  

3.1.1.3 Показатели, применяемые для расчета распределения общего объема субсидий на софинансирование расходных обязательств субъектов Российской Федерации между субъектами Российской Федерации, в соответствии с правилами предоставления и распределения субсидий бюджетам субъектов Российской Федерации на 20__ год (на второй год планового периода)

Наименование субъекта Российской Федерации Код строки Показатели по субъектам Российской Федерации Единые показатели для всех субъектов Российской Федерации Объем субсидии
()
количество ключевых центров дополнительного образования детей, реализующих дополнительные общеобразовательные программы в организациях, осуществляющих образовательную деятельность по образовательным программам высшего образования, в том числе участвующих в создании научных и научно-образовательных центров мирового уровня или обеспечивающих деятельность центров компетенций Национальной технологической инициативы, запланированных к созданию в субъекте Российской Федерации, ед
()
предельный уровень софинансирования расходного обязательства субъекта Российской Федерации, %
()
общий объем затрат, предусмотренный на предоставление субсидий
()
1 2 3 4 5 6 7
  001     x x  
  002      
         
         
Итого 900 x x x x  

<2> Раздел заполняется одновременно с представлением главным распорядителем средств федерального бюджета расчетов распределения межбюджетных трансфертов бюджетам субъектов Российской Федерации в сроки, установленные графиком подготовки и рассмотрения проектов федеральных законов, документов и материалов, разрабатываемых при составлении проекта федерального бюджета и проектов бюджетов государственных внебюджетных фондов Российской Федерации на очередной финансовый год и плановый период.

4. Сведения о нормативных правовых (правовых) актах, устанавливающих правила предоставления субсидий из федерального бюджета бюджетам субъектов Российской Федерации и (или) их распределения между субъектами Российской Федерации

Нормативный правовой (правовой) акт
вид дата номер наименование статус предполагаемая дата изменения статуса <3>
1 2 3 4 5 6
           
           
           

<3> Для проектов нормативных правовых (правовых) актов указывается предполагаемый срок внесения в Правительство Российской Федерации (утверждения федеральным органом исполнительной власти); для действующих, подлежащих признанию утратившими силу (приостановлению) нормативных правовых (правовых) актов указывается дата прекращения (приостановления) их действия. В случае если срок действия нормативных правовых (правовых) актов не установлен, в данной графе ставится "01.01.2099".

Руководитель              
(уполномоченное лицо) (должность)   (подпись)   (расшифровка подписи)
               
Исполнитель              
  (должность)   (фамилия, инициалы)   (телефон)

"__" __________ 20__ г.

Приложение N 114
к приказу Министерства финансов
Российской Федерации
от 20.06 2018 N 139н

ОБОСНОВАНИЯ (РАСЧЕТЫ) ПЛАНОВЫХ СМЕТНЫХ ПОКАЗАТЕЛЕЙ НА ПРЕДОСТАВЛЕНИЕ СУБСИДИЙ ИЗ ФЕДЕРАЛЬНОГО БЮДЖЕТА БЮДЖЕТАМ СУБЪЕКТОВ РОССИЙСКОЙ ФЕДЕРАЦИИ НА СОФИНАНСИРОВАНИЕ РАСХОДНЫХ ОБЯЗАТЕЛЬСТВ СУБЪЕКТОВ РОССИЙСКОЙ ФЕДЕРАЦИИ, ВОЗНИКАЮЩИХ ПРИ РЕАЛИЗАЦИИ НАЦИОНАЛЬНОГО ПРОЕКТА "ОБРАЗОВАНИЕ", НА СОЗДАНИЕ ЦЕНТРОВ ВЫЯВЛЕНИЯ И ПОДДЕРЖКИ ОДАРЕННЫХ ДЕТЕЙ НА 20__ ГОД И НА ПЛАНОВЫЙ ПЕРИОД 20__ И 20__ ГОДОВ

Коды
  Форма по ОКУД 0505809
  от "__" ________ 20__ г. Дата  
Получатель бюджетных средств   по Перечню (Реестру)  
Распорядитель средств федерального бюджета   по Перечню (Реестру)  
Главный распорядитель средств федерального бюджета   Глава по БК  
Раздел   по БК  
Подраздел   по БК  
Целевая статья   по БК  
Вид расходов   по БК  
Вид документа      
  (основной документ - код 01; изменения к документу - код 02)    
Единица измерения: руб по ОКЕИ 383

1. Расходы на предоставление субсидий

Наименование субсидии Сумма
на 20__ год
(на очередной финансовый год)
на 20__ год
(на первый год планового периода)
на 20__ год
(на второй год планового периода)
1 2 3 4
       

1.1 Аналитическое распределение по КОСГУ <1>

Наименование показателя Код по КОСГУ Сумма
на 20__ год
(на очередной финансовый год)
на 20__ год
(на первый год планового периода)
на 20__ год
(на второй год планового периода)
1 2 3 4 5
Расходы, всего -      
в том числе:        
перечисления другим бюджетам бюджетной системы Российской Федерации 251      

<1> Раздел заполняется в соответствии с Порядком применения классификации операций сектора государственного управления, утвержденным приказом Министерства финансов Российской Федерации от 29 ноября 2017 г. N 209н (зарегистрирован Министерством юстиции Российской Федерации 12 февраля 2018 г., регистрационный N 50003), с изменениями, внесенными приказами Министерства финансов Российской Федерации от 30 ноября 2018 г. N 246н (зарегистрирован Министерством юстиции Российской Федерации 26 декабря 2018 г., регистрационный N 53186), от 13 мая 2019 г. N 69н (зарегистрирован Министерством юстиции Российской Федерации 24 июля 2019 г., регистрационный N 55372).

2. Распределение общего объема субсидий между субъектами Российской Федерации <2>

Наименование субъекта Российской Федерации Код строки Объем предоставляемых субсидий
на 20__ год
(на очередной финансовый год)
на 20__ год
(на первый год планового периода)
на 20__ год
(на второй год планового периода)
1 2 3 4 5
  001      
  002      
         
Распределяемый объем 700      
Нераспределенный резерв 800      
Итого 900      

3. Расчет распределения общего объема субсидий на софинансирование расходных обязательств субъектов Российской Федерации между субъектами Российской Федерации <2>

3.1 Алгоритм расчета распределения общего объема субсидий на софинансирование расходных обязательств субъектов Российской Федерации между субъектами Российской Федерации в соответствии с правилами предоставления и распределения субсидий бюджетам субъектов Российской Федерации

 

Форма 0505809 с. 2

3.1.1 Показатели, применяемые для расчета распределения общего объема субсидий на софинансирование расходных обязательств субъектов Российской Федерации между субъектами Российской Федерации, в соответствии правилами предоставления и распределения субсидий бюджетам субъектов Российской Федерации

3.1.1.1 Показатели, применяемые для расчета распределения общего объема субсидий на софинансирование расходных обязательств субъектов Российской Федерации между субъектами Российской Федерации, в соответствии с правилами предоставления и распределения субсидий бюджетам субъектов Российской Федерации на 20__ год (на очередной финансовый год)

Наименование субъекта Российской Федерации Код строки Показатели по субъектам Российской Федерации Единые показатели для всех субъектов Российской Федерации Объем субсидии
()
количество региональных центров выявления, поддержки и развития способностей и талантов у детей и молодежи, запланированных к созданию в субъекте Российской Федерации, ед
()
предельный уровень софинансирования расходного обязательства субъекта Российской Федерации, %
()
общий объем затрат, предусмотренный на предоставление субсидий
()
1 2 3 4 5 6 7
  001     x x  
  002      
         
         
Итого 900 x x      

3.1.1.2 Показатели, применяемые для расчета распределения общего объема субсидий на софинансирование расходных обязательств субъектов Российской Федерации между субъектами Российской Федерации, в соответствии с правилами предоставления и распределения субсидий бюджетам субъектов Российской Федерации на 20__ год (на первый год планового периода)

Наименование субъекта Российской Федерации Код строки Показатели по субъектам Российской Федерации Единые показатели для всех субъектов Российской Федерации Объем субсидии
()
количество региональных центров выявления, поддержки и развития способностей и талантов у детей и молодежи, запланированных к созданию в субъекте Российской Федерации, ед
()
предельный уровень софинансирования расходного обязательства субъекта Российской Федерации, %
()
общий объем затрат, предусмотренный на предоставление субсидий
()
1 2 3 4 5 6 7
  001     x x  
  002      
         
         
Итого 900 x x      

3.1.1.3 Показатели, применяемые для расчета распределения общего объема субсидий на софинансирование расходных обязательств субъектов Российской Федерации между субъектами Российской Федерации, в соответствии с правилами предоставления и распределения субсидий бюджетам субъектов Российской Федерации на 20__ год (на второй год планового периода)

Наименование субъекта Российской Федерации Код строки Показатели по субъектам Российской Федерации Единые показатели для всех субъектов Российской Федерации Объем субсидии
()
количество региональных центров выявления, поддержки и развития способностей и талантов у детей и молодежи, запланированных к созданию в субъекте Российской Федерации, ед
()
предельный уровень софинансирования расходного обязательства субъекта Российской Федерации, %
()
общий объем затрат, предусмотренный на предоставление субсидий
()
1 2 3 4 5 6 7
  001     x x  
  002      
         
         
Итого 900 x x      

<2> Раздел заполняется одновременно с представлением главным распорядителем средств федерального бюджета расчетов распределения межбюджетных трансфертов бюджетам субъектов Российской Федерации в сроки, установленные графиком подготовки и рассмотрения проектов федеральных законов, документов и материалов, разрабатываемых при составлении проекта федерального бюджета и проектов бюджетов государственных внебюджетных фондов Российской Федерации на очередной финансовый год и плановый период.

4. Сведения о нормативных правовых (правовых) актах, устанавливающих правила предоставления субсидий из федерального бюджета бюджетам субъектов Российской Федерации и (или) их распределения между субъектами Российской Федерации

Нормативный правовой (правовой) акт
вид дата номер наименование статус предполагаемая дата изменения статуса <3>
1 2 3 4 5 6
           
           
           

<3> Для проектов нормативных правовых (правовых) актов указывается предполагаемый срок внесения в Правительство Российской Федерации (утверждения федеральным органом исполнительной власти); для действующих, подлежащих признанию утратившими силу (приостановлению) нормативных правовых (правовых) актов указывается дата прекращения (приостановления) их действия. В случае если срок действия нормативных правовых (правовых) актов не установлен, в данной графе ставится "01.01.2099".

Руководитель              
(уполномоченное лицо) (должность)   (подпись)   (расшифровка подписи)
               
Исполнитель              
  (должность)   (фамилия, инициалы)   (телефон)

"__" __________ 20__ г.

Приложение N 115
к приказу Министерства финансов
Российской Федерации
от 20.06.2018 N 139н

ОБОСНОВАНИЯ (РАСЧЕТЫ) ПЛАНОВЫХ СМЕТНЫХ ПОКАЗАТЕЛЕЙ НА ПРЕДОСТАВЛЕНИЕ СУБСИДИЙ ИЗ ФЕДЕРАЛЬНОГО БЮДЖЕТА БЮДЖЕТАМ СУБЪЕКТОВ РОССИЙСКОЙ ФЕДЕРАЦИИ НА СОФИНАНСИРОВАНИЕ РАСХОДНЫХ ОБЯЗАТЕЛЬСТВ СУБЪЕКТОВ РОССИЙСКОЙ ФЕДЕРАЦИИ, ВОЗНИКАЮЩИХ ПРИ РЕАЛИЗАЦИИ НАЦИОНАЛЬНОГО ПРОЕКТА "ОБРАЗОВАНИЕ", НА СОЗДАНИЕ МОБИЛЬНЫХ ТЕХНОПАРКОВ "КВАНТОРИУМ" НА 20__ ГОД И НА ПЛАНОВЫЙ ПЕРИОД 20__ И 20__ ГОДОВ

Коды
  Форма по ОКУД 0505811
  от "__" ________ 20__ г. Дата  
Получатель бюджетных средств   по Перечню (Реестру)  
Распорядитель средств федерального бюджета   по Перечню (Реестру)  
Главный распорядитель средств федерального бюджета   Глава по БК  
Раздел   по БК  
Подраздел   по БК  
Целевая статья   по БК  
Вид расходов   по БК  
Вид документа      
  (основной документ - код 01; изменения к документу - код 02)    
Единица измерения: руб по ОКЕИ 383

1. Расходы на предоставление субсидий

Наименование субсидии Сумма
на 20__ год
(на очередной финансовый год)
на 20__ год
(на первый год планового периода)
на 20__ год
(на второй год планового периода)
1 2 3 4
       

1.1 Аналитическое распределение по КОСГУ <1>

Наименование показателя Код по КОСГУ Сумма
на 20__ год
(на очередной финансовый год)
на 20__ год
(на первый год планового периода)
на 20__ год
(на второй год планового периода)
1 2 3 4 5
Расходы, всего -      
в том числе:        
перечисления другим бюджетам бюджетной системы Российской Федерации 251      

<1> Раздел заполняется в соответствии с Порядком применения классификации операций сектора государственного управления, утвержденным приказом Министерства финансов Российской Федерации от 29 ноября 2017 г. N 209н (зарегистрирован Министерством юстиции Российской Федерации 12 февраля 2018 г., регистрационный N 50003), с изменениями, внесенными приказами Министерства финансов Российской Федерации от 30 ноября 2018 г. N 246н (зарегистрирован Министерством юстиции Российской Федерации 26 декабря 2018 г., регистрационный N 53186), от 13 мая 2019 г. N 69н (зарегистрирован Министерством юстиции Российской Федерации 24 июля 2019 г., регистрационный N 55372).

2. Распределение общего объема субсидий между субъектами Российской Федерации <2>

Наименование субъекта Российской Федерации Код строки Объем предоставляемых субсидий
на 20__ год
(на очередной финансовый год)
на 20__ год
(на первый год планового периода)
на 20__ год
(на второй год планового периода)
1 2 3 4 5
  001      
  002      
         
Распределяемый объем 700      
Нераспределенный резерв 800      
Итого 900      

3. Расчет распределения общего объема субсидий на софинансирование расходных обязательств субъектов Российской Федерации между субъектами Российской Федерации <2>

3.1 Алгоритм расчета распределения общего объема субсидий на софинансирование расходных обязательств субъектов Российской Федерации между субъектами Российской Федерации в соответствии с правилами предоставления и распределения субсидий бюджетам субъектов Российской Федерации

 

Форма 0505811 с. 2

3.1.1 Показатели, применяемые для расчета распределения общего объема субсидий на софинансирование расходных обязательств субъектов Российской Федерации между субъектами Российской Федерации, в соответствии с правилами предоставления и распределения субсидий бюджетам субъектов Российской Федерации

3.1.1.1 Показатели, применяемые для расчета распределения общего объема субсидий на софинансирование расходных обязательств субъектов Российской Федерации между субъектами Российской Федерации, в соответствии с правилами предоставления и распределения субсидий бюджетам субъектов Российской Федерации на 20__ год (на очередной финансовый год)

Наименование субъекта Российской Федерации Код строки Показатели по субъектам Российской Федерации Единые показатели для всех субъектов Российской Федерации Объем субсидии
()
количество мобильных технопарков "Кванториум", запланированных к созданию в субъекте Российской Федерации, ед
()
предельный уровень софинансирования расходного обязательства субъекта Российской Федерации, %
()
общий объем затрат, предусмотренный на предоставление субсидий
()
1 2 3 4 5 6 7
  001     x x  
  002      
         
         
Итого 900 x x      

3.1.1.2 Показатели, применяемые для расчета распределения общего объема субсидий на софинансирование расходных обязательств субъектов Российской Федерации между субъектами Российской Федерации, в соответствии с правилами предоставления и распределения субсидий бюджетам субъектов Российской Федерации на 20__ год (на первый год планового периода)

Наименование субъекта Российской Федерации Код строки Показатели по субъектам Российской Федерации Единые показатели для всех субъектов Российской Федерации Объем субсидии
()
количество мобильных технопарков "Кванториум", запланированных к созданию в субъекте Российской Федерации, ед
()
предельный уровень софинансирования расходного обязательства субъекта Российской Федерации, %
()
общий объем затрат, предусмотренный на предоставление субсидий
()
1 2 3 4 5 6 7
  001     x x  
  002      
         
         
Итого 900 x x      

3.1.1.3 Показатели, применяемые для расчета распределения общего объема субсидий на софинансирование расходных обязательств субъектов Российской Федерации между субъектами Российской Федерации, в соответствии с правилами предоставления и распределения субсидий бюджетам субъектов Российской Федерации на 20__ год (на второй год планового периода)

Наименование субъекта Российской Федерации Код строки Показатели по субъектам Российской Федерации Единые показатели для всех субъектов Российской Федерации Объем субсидии
()
количество мобильных технопарков "Кванториум", запланированных к созданию в субъекте Российской Федерации, ед
()
предельный уровень софинансирования расходного обязательства субъекта Российской Федерации, %
()
общий объем затрат, предусмотренный на предоставление субсидий
()
1 2 3 4 5 6 7
  001     x x  
  002      
         
         
Итого 900 x x      

<2> Раздел заполняется одновременно с представлением главным распорядителем средств федерального бюджета расчетов распределения межбюджетных трансфертов бюджетам субъектов Российской Федерации в сроки, установленные графиком подготовки и рассмотрения проектов федеральных законов, документов к материалов, разрабатываемых при составлении проекта федерального бюджета и проектов бюджетов государственных внебюджетных фондов Российской Федерации на очередной финансовый год и плановый период.

4. Сведения о нормативных правовых (правовых) актах, устанавливающих правила предоставления субсидий из федерального бюджета бюджетам субъектов Российской Федерации и (или) их распределения между субъектами Российской Федерации

Нормативный правовой (правовой) акт
вид дата номер наименование статус предполагаемая дата изменения статуса <3>
1 2 3 4 5 6
           
           
           

<3> Для проектов нормативных правовых (правовых) актов указывается предполагаемый срок внесения в Правительство Российской Федерации (утверждения федеральным органом исполнительной власти); для действующих, подлежащих признанию утратившими силу (приостановлению) нормативных правовых (правовых) актов указывается дата прекращения (приостановления) их действия. В случае если срок действия нормативных правовых (правовых) актов не установлен, в данной графе ставится "01.01.2099".

Руководитель              
(уполномоченное лицо) (должность)   (подпись)   (расшифровка подписи)
               
Исполнитель              
  (должность)   (фамилия, инициалы)   (телефон)

"__" __________ 20__ г.

Приложение N 116
к приказу Министерства финансов
Российской Федерации
от 20.06.2018 N 139н

ОБОСНОВАНИЯ (РАСЧЕТЫ) ПЛАНОВЫХ СМЕТНЫХ ПОКАЗАТЕЛЕЙ НА ПРЕДОСТАВЛЕНИЕ СУБСИДИЙ ИЗ ФЕДЕРАЛЬНОГО БЮДЖЕТА БЮДЖЕТАМ СУБЪЕКТОВ РОССИЙСКОЙ ФЕДЕРАЦИИ НА СОФИНАНСИРОВАНИЕ РАСХОДНЫХ ОБЯЗАТЕЛЬСТВ СУБЪЕКТОВ РОССИЙСКОЙ ФЕДЕРАЦИИ, ВОЗНИКАЮЩИХ ПРИ РЕАЛИЗАЦИИ НАЦИОНАЛЬНОГО ПРОЕКТА "ОБРАЗОВАНИЕ", НА СОЗДАНИЕ НОВЫХ МЕСТ В ОБРАЗОВАТЕЛЬНЫХ ОРГАНИЗАЦИЯХ РАЗЛИЧНЫХ ТИПОВ ДЛЯ РЕАЛИЗАЦИИ ДОПОЛНИТЕЛЬНЫХ ОБЩЕРАЗВИВАЮЩИХ ПРОГРАММ ВСЕХ НАПРАВЛЕННОСТЕЙ НА 20__ ГОД И НА ПЛАНОВЫЙ ПЕРИОД 20__ И 20__ ГОДОВ

Коды
  Форма по ОКУД 0505812
  от "__" ________ 20__ г. Дата  
Получатель бюджетных средств   по Перечню (Реестру)  
Распорядитель средств федерального бюджета   по Перечню (Реестру)  
Главный распорядитель средств федерального бюджета   Глава по БК  
Раздел   по БК  
Подраздел   по БК  
Целевая статья   по БК  
Вид расходов   по БК  
Вид документа      
  (основной документ - код 01; изменения к документу - код 02)    
Единица измерения: руб по ОКЕИ 383

1. Расходы на предоставление субсидий

Наименование субсидии Сумма
на 20__ год
(на очередной финансовый год)
на 20__ год
(на первый год планового периода)
на 20__ год
(на второй год планового периода)
1 2 3 4
       

1.1 Аналитическое распределение по КОСГУ <1>

Наименование показателя Код по КОСГУ Сумма
на 20__ год
(на очередной финансовый год)
на 20__ год
(на первый год планового периода)
на 20__ год
(на второй год планового периода)
1 2 3 4 5
Расходы, всего -      
в том числе:        
перечисления другим бюджетам бюджетной системы Российской Федерации 251      

<1> Раздел заполняется в соответствии с Порядком применения классификации операций сектора государственного управления, утвержденным приказом Министерства финансов Российской Федерации от 29 ноября 2017 г. N 209н (зарегистрирован Министерством юстиции Российской Федерации 12 февраля 2018 г., регистрационный N 50003), с изменениями, внесенными приказами Министерства финансов Российской Федерации от 30 ноября 2018 г. N 246н (зарегистрирован Министерством юстиции Российской Федерации 26 декабря 2018 г., регистрационный N 53186), от 13 мая 2019 г. N 69н (зарегистрирован Министерством юстиции Российской Федерации 24 июля 2019 г., регистрационный N 55372).

2. Распределение общего объема субсидий между субъектами Российской Федерации <2>

Наименование субъекта Российской Федерации Код строки Объем предоставляемых субсидий
на 20__ год
(на очередной финансовый год)
на 20__ год
(на первый год планового периода)
на 20__ год
(на второй год планового периода)
1 2 3 4 5
  001      
  002      
         
Распределяемый объем 700      
Нераспределенный резерв 800      
Итого 900      

3. Расчет распределения общего объема субсидий на софинансирование расходных обязательств субъектов Российской Федерации между субъектами Российской Федерации <2>

3.1 Алгоритм расчета распределения общего объема субсидий на софинансирование расходных обязательств субъектов Российской Федерации между субъектами Российской Федерации в соответствии с правилами предоставления и распределения субсидий бюджетам субъектов Российской Федерации

 

Форма 0505812 с. 2

3.1.1 Показатели, применяемые для расчета распределения общего объема субсидий на софинансирование расходных обязательств субъектов Российской Федерации между субъектами Российской Федерации в соответствии с правилами предоставления и распределения субсидий бюджетам субъектов Российской Федерации

3.1.1.1 Показатели, применяемые для расчета распределения общего объема субсидий на софинансирование расходных обязательств субъектов Российской Федерации между субъектами Российской Федерации, в соответствии с правилами предоставления и распределения субсидий бюджетам субъектов Российской Федерации на 20__ год (на очередной финансовый год)

Наименование субъекта Российской Федерации Код строки Показатели по субъектам Российской Федерации Единые показатели для всех субъектов Российской Федерации Объем субсидии
()
количество новых мест в образовательных организациях различных типов для реализации дополнительных общеразвивающих программ всех направленностей, запланированных к созданию в субъекте Российской Федерации, ед
()
предельный уровень софинансирования расходного обязательства субъекта Российской Федерации, %
()
общий объем затрат, предусмотренный на предоставление субсидий
()
1 2 3 4 5 6 7
  001     x x  
  002      
         
         
Итого 900 x x      

3.1.1.2 Показатели, применяемые для расчета распределения общего объема субсидий на софинансирование расходных обязательств субъектов Российской Федерации между субъектами Российской Федерации, в соответствии с правилами предоставления и распределения субсидий бюджетам субъектов Российской Федерации на 20__ год (на первый год планового периода)

Наименование субъекта Российской Федерации Код строки Показатели по субъектам Российской Федерации Единые показатели для всех субъектов Российской Федерации Объем субсидии
()
количество новых мест в образовательных организациях различных типов для реализации дополнительных общеразвивающих программ всех направленностей, запланированных к созданию в субъекте Российской Федерации, ед
()
предельный уровень софинансирования расходного обязательства субъекта Российской Федерации, %
()
общий объем затрат, предусмотренный на предоставление субсидий
()
1 2 3 4 5 6 7
  001     x x  
  002      
         
         
Итого 900 x x      

3.1.1.3 Показатели, применяемые для расчета распределения общего объема субсидий на софинансирование расходных обязательств субъектов Российской Федерации между субъектами Российской Федерации, в соответствии с правилами предоставления и распределения субсидий бюджетам субъектов Российской Федерации на 20__ год (на второй год планового периода)

Наименование субъекта Российской Федерации Код строки Показатели по субъектам Российской Федерации Единые показатели для всех субъектов Российской Федерации Объем субсидии
()
количество новых мест в образовательных организациях различных типов для реализации дополнительных общеразвивающих программ всех направленностей, запланированных к созданию в субъекте Российской Федерации, ед
()
предельный уровень софинансирования расходного обязательства субъекта Российской Федерации, %
()
общий объем затрат, предусмотренный на предоставление субсидий
()
1 2 3 4 5 6 7
  001     x x  
  002      
         
         
Итого 900 x x      

<2> Раздел заполняется одновременно с представлением главным распорядителем средств федерального бюджета расчетов распределения межбюджетных трансфертов бюджетам субъектов Российской Федерации в сроки, установленные графиком подготовки и рассмотрения проектов федеральных законов, документов и материалов, разрабатываемых при составлении проекта федерального бюджета и проектов бюджетов государственных внебюджетных фондов Российской Федерации на очередной финансовый год и плановый период.

4. Сведения о нормативных правовых (правовых) актах, устанавливающих правила предоставления субсидий из федерального бюджета бюджетам субъектов Российской Федерации и (или) их распределения между субъектами Российской Федерации

Нормативный правовой (правовой) акт
вид дата номер наименование статус предполагаемая дата изменения статуса <3>
1 2 3 4 5 6
           
           
           

<3> Для проектов нормативных правовых (правовых) актов указывается предполагаемый срок внесения в Правительство Российской Федерации (утверждения федеральным органом исполнительной власти); для действующих, подлежащих признанию утратившими силу (приостановлению) нормативных правовых (правовых) актов указывается дата прекращения (приостановления) их действия. В случае если срок действия нормативных правовых (правовых) актов не установлен, в данной графе ставится "01.01.2099".

Руководитель              
(уполномоченное лицо) (должность)   (подпись)   (расшифровка подписи)
               
Исполнитель              
  (должность)   (фамилия, инициалы)   (телефон)

"__" __________ 20__ г.

Приложение N 117
к приказу Министерства финансов
Российской Федерации
от 20.06.2018 N 139н

ОБОСНОВАНИЯ (РАСЧЕТЫ) ПЛАНОВЫХ СМЕТНЫХ ПОКАЗАТЕЛЕЙ НА ПРЕДОСТАВЛЕНИЕ СУБСИДИЙ ИЗ ФЕДЕРАЛЬНОГО БЮДЖЕТА БЮДЖЕТАМ СУБЪЕКТОВ РОССИЙСКОЙ ФЕДЕРАЦИИ НА СОФИНАНСИРОВАНИЕ РАСХОДНЫХ ОБЯЗАТЕЛЬСТВ СУБЪЕКТОВ РОССИЙСКОЙ ФЕДЕРАЦИИ, ВОЗНИКАЮЩИХ ПРИ РЕАЛИЗАЦИИ НАЦИОНАЛЬНОГО ПРОЕКТА "ОБРАЗОВАНИЕ" НА ФОРМИРОВАНИЕ СОВРЕМЕННЫХ УПРАВЛЕНЧЕСКИХ И ОРГАНИЗАЦИОННО-ЭКОНОМИЧЕСКИХ МЕХАНИЗМОВ В СИСТЕМЕ ДОПОЛНИТЕЛЬНОГО ОБРАЗОВАНИЯ ДЕТЕЙ В СУБЪЕКТАХ РОССИЙСКОЙ ФЕДЕРАЦИИ НА 20__ ГОД И НА ПЛАНОВЫЙ ПЕРИОД 20__ И 20__ ГОДОВ

Коды
  Форма по ОКУД 0505813
  от "__" ________ 20__ г. Дата  
Получатель бюджетных средств   по Перечню (Реестру)  
Распорядитель средств федерального бюджета   по Перечню (Реестру)  
Главный распорядитель средств федерального бюджета   Глава по БК  
Раздел   по БК  
Подраздел   по БК  
Целевая статья   по БК  
Вид расходов   по БК  
Вид документа      
  (основной документ - код 01; изменения к документу - код 02)    
Единица измерения: руб по ОКЕИ 383

1. Расходы на предоставление субсидий

Наименование субсидии Сумма
на 20__ год
(на очередной финансовый год)
на 20__ год
(на первый год планового периода)
на 20__ год
(на второй год планового периода)
1 2 3 4
       

1.1 Аналитическое распределение по КОСГУ <1>

Наименование показателя Код по КОСГУ Сумма
на 20__ год
(на очередной финансовый год)
на 20__ год
(на первый год планового периода)
на 20__ год
(на второй год планового периода)
1 2 3 4 5
Расходы, всего -      
в том числе:        
перечисления другим бюджетам бюджетной системы Российской Федерации 251      

<1> Раздел заполняется в соответствии с Порядком применения классификации операций сектора государственного управления, утвержденным приказом Министерства финансов Российской Федерации от 29 ноября 2017 г. N 209н (зарегистрирован Министерством юстиции Российской Федерации 12 февраля 2018 г., регистрационный N 50003), с изменениями, внесенными приказами Министерства финансов Российской Федерации от 30 ноября 2018 г. N 246н (зарегистрирован Министерством юстиции Российской Федерации 26 декабря 2018 г., регистрационный N 53186), от 13 мая 2019 г. N 69н (зарегистрирован Министерством юстиции Российской Федерации 24 июля 2019 г., регистрационный N 55372).

2. Распределение общего объема субсидий между субъектами Российской Федерации <2>

Наименование субъекта Российской Федерации Код строки Объем предоставляемых субсидий
на 20__ год
(на очередной финансовый год)
на 20__ год
(на первый год планового периода)
на 20__ год
(на второй год планового периода)
1 2 3 4 5
  001      
  002      
         
Распределяемый объем 700      
Нераспределенный резерв 800      
Итого 900      

3. Расчет распределения общего объема субсидий на софинансирование расходных обязательств субъектов Российской Федерации между субъектами Российской Федерации <2>

<2> Раздел заполняется одновременно с представлением главным распорядителем средств федерального бюджета расчетов распределения межбюджетных трансфертов бюджетам субъектов Российской Федерации в сроки, установленные графиком подготовки и рассмотрения проектов федеральных законов, документов и материалов, разрабатываемых при составлении проекта федерального бюджета и проектов бюджетов государственных внебюджетных фондов Российской Федерации на очередной финансовый год и плановый период.

3.1 Алгоритм расчета распределения общего объема субсидий на софинансирование расходных обязательств субъектов Российской Федерации между субъектами Российской Федерации в соответствии с правилами предоставления и распределения субсидий бюджетам субъектов Российской Федерации

 

Форма 0505813 с. 2

3.1.1 Показатели, применяемые для расчета распределения общего объема субсидий на софинансирование расходных обязательств субъектов Российской Федерации между субъектами Российской Федерации, в соответствии с правилами предоставления и распределения субсидий бюджетам субъектов Российской Федерации

3.1.1.1 Показатели, применяемые для расчета распределения общего объема субсидий на софинансирование расходных обязательств субъектов Российской Федерации между субъектами Российской Федерации, в соответствии с правилами предоставления и распределения субсидий бюджетам субъектов Российской Федерации на 20__ год (на очередной финансовый год)

Наименование субъекта Российской Федерации Код строки Показатели по субъектам Российской Федерации Единые показатели для всех субъектов Российской Федерации Объем субсидии
()
коэффициент ресурсозатратности реализации обязательств субъекта Российской Федерации по внедрению целевой модели развития региональных систем дополнительного образования детей
()
предельный уровень софинансирования расходного обязательства субъекта Российской Федерации, %
()
общий объем затрат, предусмотренный на предоставление субсидий
()
1 2 3 4 5 6 7
  001     x x  
  002      
         
         
Итого 900 x x      

3.1.1.2 Показатели, применяемые для расчета распределения общего объема субсидий на софинансирование расходных обязательств субъектов Российской Федерации между субъектами Российской Федерации, в соответствии с правилами предоставления и распределения субсидий бюджетам субъектов Российской Федерации на 20__ год (на первый год планового периода)

Наименование субъекта Российской Федерации Код строки Показатели по субъектам Российской Федерации Единые показатели для всех субъектов Российской Федерации Объем субсидии
()
коэффициент ресурсозатратности реализации обязательств субъекта Российской Федерации по внедрению целевой модели развития региональных систем дополнительного образования детей
()
предельный уровень софинансирования расходного обязательства субъекта Российской Федерации, %
()
общий объем затрат, предусмотренный на предоставление субсидий
()
1 2 3 4 5 6 7
  001     x x  
  002      
         
         
Итого 900 x x      

3.1.1.3 Показатели, применяемые для расчета распределения общего объема субсидий на софинансирование расходных обязательств субъектов Российской Федерации между субъектами Российской Федерации, в соответствии с правилами предоставления и распределения субсидий бюджетам субъектов Российской Федерации на 20__ год (на второй год планового периода)

Наименование субъекта Российской Федерации Код строки Показатели по субъектам Российской Федерации Единые показатели для всех субъектов Российской Федерации Объем субсидии
()
коэффициент ресурсозатратности реализации обязательств субъекта Российской Федерации по внедрению целевой модели развития региональных систем дополнительного образования детей
()
предельный уровень софинансирования расходного обязательства субъекта Российской Федерации, %
()
общий объем затрат, предусмотренный на предоставление субсидий
()
1 2 3 4 5 6 7
  001     x x  
  002      
         
         
Итого 900 x x      

4. Сведения о нормативных правовых (правовых) актах, устанавливающих правила предоставления субсидий из федерального бюджета бюджетам субъектов Российской Федерации и (или) их распределения между субъектами Российской Федерации

Нормативный правовой (правовой) акт
вид дата номер наименование статус предполагаемая дата изменения статуса <3>
1 2 3 4 5 6
           
           
           

<3> Для проектов нормативных правовых (правовых) актов указывается предполагаемый срок внесения в Правительство Российской Федерации (утверждения федеральным органом исполнительной власти); для действующих, подлежащих признанию утратившими силу (приостановлению) нормативных правовых (правовых) актов указывается дата прекращения (приостановления) их действия. В случае если срок действия нормативных правовых (правовых) актов не установлен, в данной графе ставится "01.01.2099".

Руководитель              
(уполномоченное лицо) (должность)   (подпись)   (расшифровка подписи)
               
Исполнитель              
  (должность)   (фамилия, инициалы)   (телефон)

"__" __________ 20__ г.

Приложение N 118
к приказу Министерства финансов
Российской Федерации
от 20.06.2018 N 139н

ОБОСНОВАНИЯ (РАСЧЕТЫ) ПЛАНОВЫХ СМЕТНЫХ ПОКАЗАТЕЛЕЙ НА ПРЕДОСТАВЛЕНИЕ СУБСИДИЙ ИЗ ФЕДЕРАЛЬНОГО БЮДЖЕТА БЮДЖЕТАМ СУБЪЕКТОВ РОССИЙСКОЙ ФЕДЕРАЦИИ НА СОФИНАНСИРОВАНИЕ РАСХОДНЫХ ОБЯЗАТЕЛЬСТВ СУБЪЕКТОВ РОССИЙСКОЙ ФЕДЕРАЦИИ, ВОЗНИКАЮЩИХ ПРИ РЕАЛИЗАЦИИ НАЦИОНАЛЬНОГО ПРОЕКТА "ОБРАЗОВАНИЕ", НА ВНЕДРЕНИЕ ЦЕЛЕВОЙ МОДЕЛИ ЦИФРОВОЙ ОБРАЗОВАТЕЛЬНОЙ СРЕДЫ В ОБЩЕОБРАЗОВАТЕЛЬНЫХ ОРГАНИЗАЦИЯХ И ПРОФЕССИОНАЛЬНЫХ ОБРАЗОВАТЕЛЬНЫХ ОРГАНИЗАЦИЯХ НА 20__ ГОД И НА ПЛАНОВЫЙ ПЕРИОД 20__ И 20__ ГОДОВ

Коды
  Форма по ОКУД 0505814
  от "__" ________ 20__ г. Дата  
Получатель бюджетных средств   по Перечню (Реестру)  
Распорядитель средств федерального бюджета   по Перечню (Реестру)  
Главный распорядитель средств федерального бюджета   Глава по БК  
Раздел   по БК  
Подраздел   по БК  
Целевая статья   по БК  
Вид расходов   по БК  
Вид документа      
  (основной документ - код 01; изменения к документу - код 02)    
Единица измерения: руб по ОКЕИ 383

1. Расходы на предоставление субсидий

Наименование субсидии Сумма
на 20__ год
(на очередной финансовый год)
на 20__ год
(на первый год планового периода)
на 20__ год
(на второй год планового периода)
1 2 3 4
       

1.1 Аналитическое распределение по КОСГУ <1>

Наименование показателя Код по КОСГУ Сумма
на 20__ год
(на очередной финансовый год)
на 20__ год
(на первый год планового периода)
на 20__ год
(на второй год планового периода)
1 2 3 4 5
Расходы, всего -      
в том числе:        
перечисления другим бюджетам бюджетной системы Российской Федерации 251      

<1> Раздел заполняется в соответствии с Порядком применения классификации операций сектора государственного управления, утвержденным приказом Министерства финансов Российской Федерации от 29 ноября 2017 г. N 209н (зарегистрирован Министерством юстиции Российской Федерации 12 февраля 2018 г., регистрационный N 50003), с изменениями, внесенными приказами Министерства финансов Российской Федерации от 30 ноября 2018 г. N 246н (зарегистрирован Министерством юстиции Российской Федерации 26 декабря 2018 г., регистрационный N 53186), от 13 мая 2019 г. N 69н (зарегистрирован Министерством юстиции Российской Федерации 24 июля 2019 г., регистрационный N 55372).

2. Распределение общего объема субсидий между субъектами Российской Федерации <2>

Наименование субъекта Российской Федерации Код строки Объем предоставляемых субсидий
на 20__ год
(на очередной финансовый год)
на 20__ год
(на первый год планового периода)
на 20__ год
(на второй год планового периода)
1 2 3 4 5
  001      
  002      
         
Распределяемый объем 700      
Нераспределенный резерв 800      
Итого 900      

3. Расчет распределения общего объема субсидий на софинансирование расходных обязательств субъектов Российской Федерации между субъектами Российской Федерации <2>

<2> Раздел заполняется одновременно с представлением главным распорядителем средств федерального бюджета расчетов распределения межбюджетных трансфертов бюджетам субъектов Российской Федерации в сроки, установленные графиком подготовки и рассмотрения проектов федеральных законов, документов и материалов, разрабатываемых при составлении проекта федерального бюджета и проектов бюджетов государственных внебюджетных фондов Российской Федерации на очередной финансовый год и плановый период.

3.1 Алгоритм расчета распределения общего объема субсидий на софинансирование расходных обязательств субъектов Российской Федерации между субъектами Российской Федерации в соответствии с правилами предоставления и распределения субсидий бюджетам субъектов Российской Федерации

 

Форма 0505814 с. 2

3.1.1 Показатели, применяемые для расчета распределения общего объема субсидий на софинансирование расходных обязательств субъектов Российской Федерации между субъектами Российской Федерации, в соответствии с правилами предоставления и распределения субсидий бюджетам субъектов Российской Федерации

3.1.1.1 Показатели, применяемые для расчета распределения общего объема субсидий на софинансирование расходных обязательств субъектов Российской Федерации между субъектами Российской Федерации, в соответствии с правилами предоставления и распределения субсидий бюджетам субъектов Российской Федерации на 20__ год (на очередной финансовый год)

Наименование субъекта Российской Федерации Код строки Показатели по субъектам Российской Федерации Единые показатели для всех субъектов Российской Федерации Объем субсидии
()
количество общеобразовательных организаций и профессиональных образовательных организаций субъекта Российской Федерации, в которых запланировано обновление материально-технической базы для внедрения целевой модели цифровой образовательной среды в общеобразовательных организациях и профессиональных образовательных организациях, ед
()
предельный уровень софинансирования расходного обязательства субъекта Российской Федерации, %
()
общий объем затрат, предусмотренный на предоставление субсидий
()
1 2 3 4 5 6 7
  001     x x  
  002      
         
         
Итого 900          

3.1.1.2 Показатели, применяемые для расчета распределения общего объема субсидий на софинансирование расходных обязательств субъектов Российской Федерации между субъектами Российской Федерации, в соответствии с правилами предоставления и распределения субсидий бюджетам субъектов Российской Федерации на 20__ год (на первый год планового периода)

Наименование субъекта Российской Федерации Код строки Показатели по субъектам Российской Федерации Единые показатели для всех субъектов Российской Федерации Объем субсидии
()
количество общеобразовательных организаций и профессиональных образовательных организаций субъекта Российской Федерации, в которых запланировано обновление материально-технической базы для внедрения целевой модели цифровой образовательной среды в общеобразовательных организациях и профессиональных образовательных организациях, ед
()
предельный уровень софинансирования расходного обязательства субъекта Российской Федерации, %
()
общий объем затрат, предусмотренный на предоставление субсидий
()
1 2 3 4 5 6 7
  001     x x  
  002      
         
         
Итого 900          

3.1.1.3 Показатели, применяемые для расчета распределения общего объема субсидий на софинансирование расходных обязательств субъектов Российской Федерации между субъектами Российской Федерации, в соответствии с правилами предоставления и распределения субсидий бюджетам субъектов Российской Федерации на 20__ год (на второй год планового периода)

Наименование субъекта Российской Федерации Код строки Показатели по субъектам Российской Федерации Единые показатели для всех субъектов Российской Федерации Объем субсидии
()
количество общеобразовательных организаций и профессиональных образовательных организаций субъекта Российской Федерации, в которых запланировано обновление материально-технической базы для внедрения целевой модели цифровой образовательной среды в общеобразовательных организациях и профессиональных образовательных организациях, ед
()
предельный уровень софинансирования расходного обязательства субъекта Российской Федерации, %
()
общий объем затрат, предусмотренный на предоставление субсидий
()
1 2 3 4 5 6 7
  001     x x  
  002      
         
         
Итого 900          

4. Сведения о нормативных правовых (правовых) актах, устанавливающих правила предоставления субсидий из федерального бюджета бюджетам субъектов Российской Федерации и (или) их распределения между субъектами Российской Федерации

Нормативный правовой (правовой) акт
вид дата номер наименование статус предполагаемая дата изменения статуса <3>
1 2 3 4 5 6
           
           
           

<3> Для проектов нормативных правовых (правовых) актов указывается предполагаемый срок внесения в Правительство Российской Федерации (утверждения федеральным органом исполнительной власти); для действующих, подлежащих признанию утратившими силу (приостановлению) нормативных правовых (правовых) актов указывается дата прекращения (приостановления) их действия. В случае если срок действия нормативных правовых (правовых) актов не установлен, в данной графе ставится "01.01.2099".

Руководитель              
(уполномоченное лицо) (должность)   (подпись)   (расшифровка подписи)
               
Исполнитель              
  (должность)   (фамилия, инициалы)   (телефон)

"__" __________ 20__ г.

Приложение N 119
к приказу Министерства финансов
Российской Федерации
от 20.06.2018 N 139н

ОБОСНОВАНИЯ (РАСХОДЫ) ПЛАНОВЫХ СМЕТНЫХ ПОКАЗАТЕЛЕЙ НА ПРЕДОСТАВЛЕНИЕ СУБСИДИЙ ИЗ ФЕДЕРАЛЬНОГО БЮДЖЕТА БЮДЖЕТАМ СУБЪЕКТОВ РОССИЙСКОЙ ФЕДЕРАЦИИ НА СОФИНАНСИРОВАНИЕ РАСХОДНЫХ ОБЯЗАТЕЛЬСТВ СУБЪЕКТОВ РОССИЙСКОЙ ФЕДЕРАЦИИ, ВОЗНИКАЮЩИХ ПРИ РЕАЛИЗАЦИИ НАЦИОНАЛЬНОГО ПРОЕКТА "ОБРАЗОВАНИЕ", НА СОЗДАНИЕ ЦЕНТРОВ ЦИФРОВОГО ОБРАЗОВАНИЯ ДЕТЕЙ НА 20__ ГОД И НА ПЛАНОВЫЙ ПЕРИОД 20__ И 20__ ГОДОВ

Коды
  Форма по ОКУД 0505815
  от "__" ________ 20__ г. Дата  
Получатель бюджетных средств   по Перечню (Реестру)  
Распорядитель средств федерального бюджета   по Перечню (Реестру)  
Главный распорядитель средств федерального бюджета   Глава по БК  
Раздел   по БК  
Подраздел   по БК  
Целевая статья   по БК  
Вид расходов   по БК  
Вид документа      
  (основной документ - код 01; изменения к документу - код 02)    
Единица измерения: руб по ОКЕИ 383

1. Расходы на предоставление субсидий

Наименование субсидии Сумма
на 20__ год
(на очередной финансовый год)
на 20__ год
(на первый год планового периода)
на 20__ год
(на второй год планового периода)
1 2 3 4
       

1.1 Аналитическое распределение по КОСГУ <1>

Наименование показателя Код по КОСГУ Сумма
на 20__ год
(на очередной финансовый год)
на 20__ год
(на первый год планового периода)
на 20__ год
(на второй год планового периода)
1 2 3 4 5
Расходы, всего -      
в том числе:        
перечисления другим бюджетам бюджетной системы Российской Федерации 251      

<1> Раздел заполняется в соответствии с Порядком применения классификации операций сектора государственного управления, утвержденным приказом Министерства финансов Российской Федерации от 29 ноября 2017 г. N 209н (зарегистрирован Министерством юстиции Российской Федерации 12 февраля 2018 г., регистрационный N 50003), с изменениями, внесенными приказами Министерства финансов Российской Федерации от 30 ноября 2018 г. N 246н (зарегистрирован Министерством юстиции Российской Федерации 26 декабря 2018 г., регистрационный N 53186), от 13 мая 2019 г. N 69н (зарегистрирован Министерством юстиции Российской Федерации 24 июля 2019 г., регистрационный N 55372).

2. Распределение общего объема субсидий между субъектами Российской Федерации <2>

<2> Раздел заполняется одновременно с представлением главным распорядителем средств федерального бюджета расчетов распределения межбюджетных трансфертов бюджетам субъектов Российской Федерации в сроки, установленные графиком подготовки и рассмотрения проектов федеральных законов, документов и материалов, разрабатываемых при составлении проекта федерального бюджета государственных внебюджетных фондов Российской Федерации на очередной финансовый год и плановый период.

Наименование субъекта Российской Федерации Код строки Объем предоставляемых субсидий
на 20__ год
(на очередной финансовый год)
на 20__ год
(на первый год планового периода)
на 20__ год
(на второй год планового периода)
1 2 3 4 5
  001      
  002      
         
Распределяемый объем 700      
Нераспределенный резерв 800      
Итого 900      

3. Расчет распределения общего объема субсидий на софинансирование расходных обязательств субъектов Российской Федерации между субъектами Российской Федерации <2>

<2> Раздел заполняется одновременно с представлением главным распорядителем средств федерального бюджета расчетов распределения межбюджетных трансфертов бюджетам субъектов Российской Федерации в сроки, установленные графиком подготовки и рассмотрения проектов федеральных законов, документов и материалов, разрабатываемых при составлении проекта федерального бюджета государственных внебюджетных фондов Российской Федерации на очередной финансовый год и плановый период.

3.1 Алгоритм расчета распределения общего объема субсидий на софинансирование расходных обязательств субъектов Российской Федерации между субъектами Российской Федерации в соответствии с правилами предоставления и распределения субсидий бюджетам субъектов Российской Федерации

 

Форма 0505815 с. 2

3.1.1 Показатели, применяемые для расчета распределения общего объема субсидий на софинансирование расходных обязательств субъектов Российской Федерации между субъектами Российской Федерации, в соответствии с правилами предоставления и распределения субсидий бюджетам субъектов Российской Федерации

3.1.1.1 Показатели, применяемые для расчета распределения общего объема субсидий на софинансирование расходных обязательств субъектов Российской Федерации между субъектами Российской Федерации, в соответствии с правилами предоставления и распределения субсидий бюджетам субъектов Российской Федерации на 20__ год (на очередной финансовый год)

Наименование субъекта Российской Федерации Код строки Показатели по субъектам Российской Федерации Единые показатели для всех субъектов Российской Федерации Объем субсидии
()
количество центров цифрового развития детей "IT-куб", запланированных к созданию в субъекте Российской Федерации, ед
()
предельный уровень софинансирования расходного обязательства субъекта Российской Федерации, %
()
общий объем затрат, предусмотренный на предоставление субсидий
()
1 2 3 4 5 6 7
  001     x x  
  002      
         
         
Итого 900 x x      

3.1.1.2 Показатели, применяемые для расчета распределения общего объема субсидий на софинансирование расходных обязательств субъектов Российской Федерации между субъектами Российской Федерации, в соответствии с правилами предоставления и распределения субсидий бюджетам субъектов Российской Федерации на 20__ год (на первый год планового периода)

Наименование субъекта Российской Федерации Код строки Показатели по субъектам Российской Федерации Единые показатели для всех субъектов Российской Федерации Объем субсидии
()
количество центров цифрового развития детей "IT-куб", запланированных к созданию в субъекте Российской Федерации, ед
()
предельный уровень софинансирования расходного обязательства субъекта Российской Федерации, %
()
общий объем затрат, предусмотренный на предоставление субсидий
()
1 2 3 4 5 6 7
  001     x x  
  002      
         
         
Итого 900 x x      

3.1.1.3 Показатели, применяемые для расчета распределения общего объема субсидий на софинансирование расходных обязательств субъектов Российской Федерации между субъектами Российской Федерации, в соответствии с правилами предоставления и распределения субсидий бюджетам субъектов Российской Федерации на 20__ год (на второй год планового периода)

Наименование субъекта Российской Федерации Код строки Показатели по субъектам Российской Федерации Единые показатели для всех субъектов Российской Федерации Объем субсидии
()
количество центров цифрового развития детей "IT-куб", запланированных к созданию в субъекте Российской Федерации, ед
()
предельный уровень софинансирования расходного обязательства субъекта Российской Федерации, %
()
общий объем затрат, предусмотренный на предоставление субсидий
()
1 2 3 4 5 6 7
  001     x x  
  002      
         
         
Итого 900 x x      

4. Сведения о нормативных правовых (правовых) актах, устанавливающих правила предоставления субсидий из федерального бюджета бюджетам субъектов Российской Федерации и (или) их распределения между субъектами Российской Федерации

Нормативный правовой (правовой) акт
вид дата номер наименование статус предполагаемая дата изменения статуса <3>
1 2 3 4 5 6
           
           
           

<3> Для проектов нормативных правовых (правовых) актов указывается предполагаемый срок внесения в Правительство Российской Федерации (утверждения федеральным органом исполнительной власти); для действующих, подлежащих признанию утратившими силу (приостановлению) нормативных правовых (правовых) актов указывается дата прекращения (приостановления) их действия. В случае если срок действия нормативных правовых (правовых) актов не установлен, в данной графе ставится "01.01.2099".

Руководитель              
(уполномоченное лицо) (должность)   (подпись)   (расшифровка подписи)
               
Исполнитель              
  (должность)   (фамилия, инициалы)   (телефон)

"__" __________ 20__ г.

Приложение N 120
к приказу Министерства финансов
Российской Федерации
от 20.06.2018 N 139н

ОБОСНОВАНИЯ (РАСЧЕТЫ) ПЛАНОВЫХ СМЕТНЫХ ПОКАЗАТЕЛЕЙ НА ПРЕДОСТАВЛЕНИЕ СУБСИДИЙ ИЗ ФЕДЕРАЛЬНОГО БЮДЖЕТА БЮДЖЕТАМ СУБЪЕКТОВ РОССИЙСКОЙ ФЕДЕРАЦИИ НА СОФИНАНСИРОВАНИЕ РАСХОДНЫХ ОБЯЗАТЕЛЬСТВ СУБЪЕКТОВ РОССИЙСКОЙ ФЕДЕРАЦИИ, ВОЗНИКАЮЩИХ ПРИ РЕАЛИЗАЦИИ НАЦИОНАЛЬНОГО ПРОЕКТА "ОБРАЗОВАНИЕ", НА СОЗДАНИЕ ЦЕНТРОВ НЕПРЕРЫВНОГО ПОВЫШЕНИЯ ПРОФЕССИОНАЛЬНОГО МАСТЕРСТВА ПЕДАГОГИЧЕСКИХ РАБОТНИКОВ И ЦЕНТРОВ ОЦЕНКИ ПРОФЕССИОНАЛЬНОГО МАСТЕРСТВА И КВАЛИФИКАЦИИ ПЕДАГОГОВ НА 20__ ГОД И НА ПЛАНОВЫЙ ПЕРИОД 20__ И 20__ ГОДОВ

Коды
  Форма по ОКУД 0505816
  от "__" ________ 20__ г. Дата  
Получатель бюджетных средств   по Перечню (Реестру)  
Распорядитель средств федерального бюджета   по Перечню (Реестру)  
Главный распорядитель средств федерального бюджета   Глава по БК  
Раздел   по БК  
Подраздел   по БК  
Целевая статья   по БК  
Вид расходов   по БК  
Вид документа      
  (основной документ - код 01; изменения к документу - код 02)    
Единица измерения: руб по ОКЕИ 383

1. Расходы на предоставление субсидий

Наименование субсидии Сумма
на 20__ год
(на очередной финансовый год)
на 20__ год
(на первый год планового периода)
на 20__ год
(на второй год планового периода)
1 2 3 4
       

1.1 Аналитическое распределение по КОСГУ <1>

Наименование показателя Код по КОСГУ Сумма
на 20__ год
(на очередной финансовый год)
на 20__ год
(на первый год планового периода)
на 20__ год
(на второй год планового периода)
1 2 3 4 5
Расходы, всего -      
в том числе:        
перечисления другим бюджетам бюджетной системы Российской Федерации 251      

<1> Раздел заполняется в соответствии с Порядком применения классификации операций сектора государственного управления, утвержденным приказом Министерства финансов Российской Федерации от 29 ноября 2017 г. N 209н (зарегистрирован Министерством юстиции Российской Федерации 12 февраля 2018 г., регистрационный N 50003), с изменениями, внесенными приказами Министерства финансов Российской Федерации от 30 ноября 2018 г. N 246н (зарегистрирован Министерством юстиции Российской Федерации 26 декабря 2018 г., регистрационный N 53186), от 13 мая 2019 г. N 69н (зарегистрирован Министерством юстиции Российской Федерации 24 июля 2019 г., регистрационный N 55372).

2. Распределение общего объема субсидий между субъектами Российской Федерации <2>

Наименование субъекта Российской Федерации Код строки Объем предоставляемых субсидий
на 20__ год
(на очередной финансовый год)
на 20__ год
(на первый год планового периода)
на 20__ год
(на второй год планового периода)
1 2 3 4 5
  001      
  002      
         
Распределяемый объем 700      
Нераспределенный резерв 800      
Итого 900      

3. Расчет распределения общего объема субсидий на софинансирование расходных обязательств субъектов Российской Федерации между субъектами Российской Федерации <2>

<2> Раздел заполняется одновременно с представлением главным распорядителем средств федерального бюджета расчетов распределения межбюджетных трансфертов бюджетам субъектов Российской Федерации в сроки, установленные графиком подготовки и рассмотрения проектов федеральных законов, документов и материалов, разрабатываемых при составлении проекта федерального бюджета и проектов бюджетов государственных внебюджетных фондов Российской Федерации на очередной финансовый год и плановый период.

3.1 Алгоритм расчета распределения общего объема субсидий на софинансирование расходных обязательств субъектов Российской Федерации между субъектами Российской Федерации в соответствии с правилами предоставления и распределения субсидий бюджетам субъектов Российской Федерации

 

Форма 0505816 с. 2

3.1.1 Показатели, применяемые для расчета распределения общего объема субсидий на софинансирование расходных обязательств субъектов Российской Федерации между субъектами Российской Федерации, в соответствии с правилами предоставления и распределения субсидий бюджетам субъектов Российской Федерации

3.1.1.1 Показатели, применяемые для расчета распределения общего объема субсидий на софинансирование расходных обязательств субъектов Российской Федерации между субъектами Российской Федерации, в соответствии с правилами предоставления и распределения субсидий бюджетам субъектов Российской Федерации на 20__ год (на очередной финансовый год)

Наименование субъекта Российской Федерации Код строки Показатели по субъектам Российской Федерации Единые показатели для всех субъектов Российской Федерации Объем субсидии
()
предельный уровень софинансирования расходного обязательства субъекта Российской Федерации, %
()
количество центров непрерывного повышения профессионального мастерства педагогических работников, запланированных к созданию в субъекте Российской Федерации, ед
()
количество центров оценки профессионального мастерства и квалификации педагогов, запланированных к созданию в субъекте Российской Федерации, ед
()
показатель относительного количества созданных центров непрерывного повышения профессионального мастерства педагогических работников и центров оценки профессионального мастерства и квалификации педагогов в субъекте Российской Федерации,
()
коэффициент ресурсозатратности реализации обязательств субъектов Российской Федерации по созданию центров непрерывного повышения профессионального мастерства педагогических работников и центров оценки профессионального мастерства и квалификации педагогов,
(K)
общий объем затрат, предусмотренный на предоставление субсидий
()
1 2 3 4 5 6 7 8 9 10 11 12
  001                    
  002                    
            x x x x x  
                       
Итого 900 x x x x            

3.1.1.2 Показатели, применяемые для расчета распределения общего объема субсидий на софинансирование расходных обязательств субъектов Российской Федерации между субъектами Российской Федерации, в соответствии с правилами предоставления и распределения субсидий бюджетам субъектов Российской Федерации на 20__ год (на первый год планового периода)

Наименование субъекта Российской Федерации Код строки Показатели по субъектам Российской Федерации Единые показатели для всех субъектов Российской Федерации Объем субсидии
()
предельный уровень софинансирования расходного обязательства субъекта Российской Федерации, %
()
количество центров непрерывного повышения профессионального мастерства педагогических работников, запланированных к созданию в субъекте Российской Федерации, ед
()
количество центров оценки профессионального мастерства и квалификации педагогов, запланированных к созданию в субъекте Российской Федерации, ед
()
показатель относительного количества созданных центров непрерывного повышения профессионального мастерства педагогических работников и центров оценки профессионального мастерства и квалификации педагогов в субъекте Российской Федерации,
()
коэффициент ресурсозатратности реализации обязательств субъектов Российской Федерации по созданию центров непрерывного повышения профессионального мастерства педагогических работников и центров оценки профессионального мастерства и квалификации педагогов,
(K)
общий объем затрат, предусмотренный на предоставление субсидий
()
1 2 3 4 5 6 7 8 9 10 11 12
  001         x x x x x  
  002          
             
             
Итого 900 x x x x            

Форма 0505816 с. 3

3.1.1.3 Показатели, применяемые для расчета распределения общего объема субсидий на софинансирование расходных обязательств субъектов Российской Федерации между субъектами Российской Федерации, в соответствии с правилами предоставления и распределения субсидий бюджетам субъектов Российской Федерации на 20__ год (на второй год планового периода)

Наименование субъекта Российской Федерации Код строки Показатели по субъектам Российской Федерации Единые показатели для всех субъектов Российской Федерации Объем субсидии
()
предельный уровень софинансирования расходного обязательства субъекта Российской Федерации, %
()
количество центров непрерывного повышения профессионального мастерства педагогических работников, запланированных к созданию в субъекте Российской Федерации, ед
()
количество центров оценки профессионального мастерства и квалификации педагогов, запланированных к созданию в субъекте Российской Федерации, ед
()
показатель относительного количества созданных центров непрерывного повышения профессионального мастерства педагогических работников и центров оценки профессионального мастерства и квалификации педагогов в субъекте Российской Федерации,
()
коэффициент ресурсозатратности реализации обязательств субъектов Российской Федерации по созданию центров непрерывного повышения профессионального мастерства педагогических работников и центров оценки профессионального мастерства и квалификации педагогов,
(K)
общий объем затрат, предусмотренный на предоставление субсидий
()
1 2 3 4 5 6 7 8 9 10 11 12
  001         x x x x x  
  002          
             
             
Итого 900 x x x x            

4. Сведения о нормативных правовых (правовых) актах, устанавливающих правила предоставления субсидий из федерального бюджета бюджетам субъектов Российской Федерации и (или) их распределения между субъектами Российской Федерации

Нормативный правовой (правовой) акт
вид дата номер наименование статус предполагаемая дата изменения статуса <3>
1 2 3 4 5 6
           
           
           

<3> Для проектов нормативных правовых (правовых) актов указывается предполагаемый срок внесения в Правительство Российской Федерации (утверждения федеральным органом исполнительной власти); для действующих, подлежащих признанию утратившими силу (приостановлению) нормативных правовых (правовых) актов указывается дата прекращения (приостановления) их действия. В случае если срок действия нормативных правовых (правовых) актов не установлен, в данной графе ставится "01.01.2099".

Руководитель              
(уполномоченное лицо) (должность)   (подпись)   (расшифровка подписи)
               
Исполнитель              
  (должность)   (фамилия, инициалы)   (телефон)

"__" __________ 20__ г.

Приложение N 121
к приказу Министерства финансов
Российской Федерации
от 20.06.2018 N 139н

ОБОСНОВАНИЯ (РАСЧЕТЫ) ПЛАНОВЫХ СМЕТНЫХ ПОКАЗАТЕЛЕЙ НА ПРЕДОСТАВЛЕНИЕ СУБСИДИЙ ИЗ ФЕДЕРАЛЬНОГО БЮДЖЕТА БЮДЖЕТАМ СУБЪЕКТОВ РОССИЙСКОЙ ФЕДЕРАЦИИ НА СОФИНАНСИРОВАНИЕ РАСХОДНЫХ ОБЯЗАТЕЛЬСТВ СУБЪЕКТОВ РОССИЙСКОЙ ФЕДЕРАЦИИ, ВОЗНИКАЮЩИХ ПРИ РЕАЛИЗАЦИИ НАЦИОНАЛЬНОГО ПРОЕКТА "ОБРАЗОВАНИЕ", НА РАЗРАБОТКУ И РАСПРОСТРАНЕНИЕ В СИСТЕМЕ СРЕДНЕГО ПРОФЕССИОНАЛЬНОГО ОБРАЗОВАНИЯ НОВЫХ ОБРАЗОВАТЕЛЬНЫХ ТЕХНОЛОГИЙ И ФОРМЫ ОПЕРЕЖАЮЩЕЙ ПРОФЕССИОНАЛЬНОЙ ПОДГОТОВКИ НА 20__ ГОД И НА ПЛАНОВЫЙ ПЕРИОД 20__ И 20__ ГОДОВ

Коды
  Форма по ОКУД 0505817
  от "__" ________ 20__ г. Дата  
Получатель бюджетных средств   по Перечню (Реестру)  
Распорядитель средств федерального бюджета   по Перечню (Реестру)  
Главный распорядитель средств федерального бюджета   Глава по БК  
Раздел   по БК  
Подраздел   по БК  
Целевая статья   по БК  
Вид расходов   по БК  
Вид документа      
  (основной документ - код 01; изменения к документу - код 02)    
Единица измерения: руб по ОКЕИ 383

1. Расходы на предоставление субсидий

Наименование субсидии Сумма
на 20__ год
(на очередной финансовый год)
на 20__ год
(на первый год планового периода)
на 20__ год
(на второй год планового периода)
1 2 3 4
       

1.1 Аналитическое распределение по КОСГУ <1>

Наименование показателя Код по КОСГУ Сумма
на 20__ год
(на очередной финансовый год)
на 20__ год
(на первый год планового периода)
на 20__ год
(на второй год планового периода)
1 2 3 4 5
Расходы, всего -      
в том числе:        
перечисления другим бюджетам бюджетной системы Российской Федерации 251      

<1> Раздел заполняется в соответствии с Порядком применения классификации операций сектора государственного управления, утвержденным приказом Министерства финансов Российской Федерации от 29 ноября 2017 г. N 209н (зарегистрирован Министерством юстиции Российской Федерации 12 февраля 2018 г., регистрационный N 50003), с изменениями, внесенными приказами Министерства финансов Российской Федерации от 30 ноября 2018 г. N 246н (зарегистрирован Министерством юстиции Российской Федерации 26 декабря 2018 г., регистрационный N 53186), от 13 мая 2019 г. N 69н (зарегистрирован Министерством юстиции Российской Федерации 24 июля 2019 г., регистрационный N 55372).

2. Распределение общего объема субсидий между субъектами Российской Федерации <2>

Наименование субъекта Российской Федерации Код строки Объем предоставляемых субсидий
на 20__ год
(на очередной финансовый год)
на 20__ год
(на первый год планового периода)
на 20__ год
(на второй год планового периода)
1 2 3 4 5
  001      
  002      
         
Распределяемый объем 700      
Нераспределенный резерв 800      
Итого 900      

3. Расчет распределения общего объема субсидий на софинансирование расходных обязательств субъектов Российской Федерации между субъектами Российской Федерации <2>

<2> Раздел заполняется одновременно с представлением главным распорядителем средств федерального бюджета расчетов распределения межбюджетных трансфертов бюджетам субъектов Российской Федерации в сроки, установленные графиком подготовки и рассмотрения проектов федеральных законов, документов и материалов, разрабатываемых при составлении проекта федерального бюджета и проектов бюджетов государственных внебюджетных фондов Российской Федерации на очередной финансовый год и плановый период.

3.1 Алгоритм расчета распределения общего объема субсидий на софинансирование расходных обязательств субъектов Российской Федерации между субъектами Российской Федерации в соответствии с правилами предоставления и распределения субсидий бюджетам субъектов Российской Федерации

 

Форма 0505817 с. 2

3.1.1 Показатели, применяемые для расчета распределения общего объема субсидий на софинансирование расходных обязательств субъектов Российской Федерации между субъектами Российской Федерации, в соответствии с правилами предоставления и распределения субсидий бюджетам субъектов Российской Федерации

3.1.1.1 Показатели, применяемые для расчета распределения общего объема субсидий на софинансирование расходных обязательств субъектов Российской Федерации между субъектами Российской Федерации, в соответствии с правилами предоставления и распределения субсидий бюджетам субъектов Российской Федерации на 20__ год (на очередной финансовый год)

Наименование субъекта Российской Федерации Код строки Показатели по субъектам Российской Федерации Единые показатели для всех субъектов Российской Федерации Объем субсидии
()
количество центров опережающей профессиональной подготовки, запланированных к созданию в субъекте Российской Федерации, ед
()
предельный уровень софинансирования расходного обязательства субъекта Российской Федерации, %
()
общий объем затрат, предусмотренный на предоставление субсидий
()
1 2 3 4 5 6 7
  001     x x  
  002      
         
         
Итого 900 x x      

3.1.1.2 Показатели, применяемые для расчета распределения общего объема субсидий на софинансирование расходных обязательств субъектов Российской Федерации между субъектами Российской Федерации, в соответствии с правилами предоставления и распределения субсидий бюджетам субъектов Российской Федерации на 20__ год (на первый год планового периода)

Наименование субъекта Российской Федерации Код строки Показатели по субъектам Российской Федерации Единые показатели для всех субъектов Российской Федерации Объем субсидии
()
количество центров опережающей профессиональной подготовки, запланированных к созданию в субъекте Российской Федерации, ед
()
предельный уровень софинансирования расходного обязательства субъекта Российской Федерации, %
()
общий объем затрат, предусмотренный на предоставление субсидий
()
1 2 3 4 5 6 7
  001     x x  
  002      
         
         
Итого 900 x x      

3.1.1.3 Показатели, применяемые для расчета распределения общего объема субсидий на софинансирование расходных обязательств субъектов Российской Федерации между субъектами Российской Федерации, в соответствии с правилами предоставления и распределения субсидий бюджетам субъектов Российской Федерации на 20__ год (на второй год планового периода)

Наименование субъекта Российской Федерации Код строки Показатели по субъектам Российской Федерации Единые показатели для всех субъектов Российской Федерации Объем субсидии
()
количество центров опережающей профессиональной подготовки, запланированных к созданию в субъекте Российской Федерации, ед
()
предельный уровень софинансирования расходного обязательства субъекта Российской Федерации, %
()
общий объем затрат, предусмотренный на предоставление субсидий
()
1 2 3 4 5 6 7
  001     x x  
  002      
         
         
Итого 900 x x      

4. Сведения о нормативных правовых (правовых) актах, устанавливающих правила предоставления субсидий из федерального бюджета бюджетам субъектов Российской Федерации и (или) их распределения между субъектами Российской Федерации

Нормативный правовой (правовой) акт
вид дата номер наименование статус предполагаемая дата изменения статуса <3>
1 2 3 4 5 6
           
           
           

<3> Для проектов нормативных правовых (правовых) актов указывается предполагаемый срок внесения в Правительство Российской Федерации (утверждения федеральным органом исполнительной власти); для действующих, подлежащих признанию утратившими силу (приостановлению) нормативных правовых (правовых) актов указывается дата прекращения (приостановления) их действия. В случае если срок действия нормативных правовых (правовых) актов не установлен, в данной графе ставится "01.01.2099".

Руководитель              
(уполномоченное лицо) (должность)   (подпись)   (расшифровка подписи)
               
Исполнитель              
  (должность)   (фамилия, инициалы)   (телефон)

"__" __________ 20__ г.

Приложение N 122
к приказу Министерства финансов
Российской Федерации
от 20.06.2018 N 139н

ОБОСНОВАНИЯ (РАСЧЕТЫ) ПЛАНОВЫХ СМЕТНЫХ ПОКАЗАТЕЛЕЙ НА ПРЕДОСТАВЛЕНИЕ СУБСИДИЙ ИЗ ФЕДЕРАЛЬНОГО БЮДЖЕТА БЮДЖЕТАМ СУБЪЕКТОВ РОССИЙСКОЙ ФЕДЕРАЦИИ НА СОФИНАНСИРОВАНИЕ РАСХОДНЫХ ОБЯЗАТЕЛЬСТВ СУБЪЕКТОВ РОССИЙСКОЙ ФЕДЕРАЦИИ, ВОЗНИКАЮЩИХ ПРИ РЕАЛИЗАЦИИ НАЦИОНАЛЬНОГО ПРОЕКТА "ОБРАЗОВАНИЕ", НА ПРОВЕДЕНИЕ ВСЕРОССИЙСКОГО КОНКУРСА ЛУЧШИХ РЕГИОНАЛЬНЫХ ПРАКТИК ПОДДЕРЖКИ ВОЛОНТЕРСТВА "РЕГИОН ДОБРЫХ ДЕЛ" НА 20__ ГОД И НА ПЛАНОВЫЙ ПЕРИОД 20__ И 20__ ГОДОВ

Коды
  Форма по ОКУД 0505818
  от "__" ________ 20__ г. Дата  
Получатель бюджетных средств   по Перечню (Реестру)  
Распорядитель средств федерального бюджета   по Перечню (Реестру)  
Главный распорядитель средств федерального бюджета   Глава по БК  
Раздел   по БК  
Подраздел   по БК  
Целевая статья   по БК  
Вид расходов   по БК  
Вид документа      
  (основной документ - код 01; изменения к документу - код 02)    
Единица измерения: руб по ОКЕИ 383

1. Расходы на предоставление субсидий

Наименование субсидии Сумма
на 20__ год
(на очередной финансовый год)
на 20__ год
(на первый год планового периода)
на 20__ год
(на второй год планового периода)
1 2 3 4
       

1.1 Аналитическое распределение по КОСГУ <1>

Наименование показателя Код по КОСГУ Сумма
на 20__ год
(на очередной финансовый год)
на 20__ год
(на первый год планового периода)
на 20__ год
(на второй год планового периода)
1 2 3 4 5
Расходы, всего -      
в том числе:        
перечисления другим бюджетам бюджетной системы Российской Федерации 251      

<1> Раздел заполняется в соответствии с Порядком применения классификации операций сектора государственного управления, утвержденным приказом Министерства финансов Российской Федерации от 29 ноября 2017 г. N 209н (зарегистрирован Министерством юстиции Российской Федерации 12 февраля 2018 г., регистрационный N 50003), с изменениями, внесенными приказами Министерства финансов Российской Федерации от 30 ноября 2018 г. N 246н (зарегистрирован Министерством юстиции Российской Федерации 26 декабря 2018 г., регистрационный N 53186), от 13 мая 2019 г. N 69н (зарегистрирован Министерством юстиции Российской Федерации 24 июля 2019 г., регистрационный N 55372).

2. Распределение общего объема субсидий между субъектами Российской Федерации <2>

Наименование субъекта Российской Федерации Код строки Объем предоставляемых субсидий
на 20__ год
(на очередной финансовый год)
на 20__ год
(на первый год планового периода)
на 20__ год
(на второй год планового периода)
1 2 3 4 5
  001      
  002      
         
Распределяемый объем 700      
Нераспределенный резерв 800      
Итоге 900      

3. Расчет распределения общего объема субсидий на софинансирование расходных обязательств субъектов Российской Федерации между субъектами Российской Федерации <2>

<2> Раздел заполняется одновременно с представлением главным распорядителем средств федерального бюджета расчетов распределения межбюджетных трансфертов бюджетам субъектов Российской Федерации в сроки, установленные графиком подготовки и рассмотрения проектов федеральных законов, документов и материалов, разрабатываемых при составлении проекта федерального бюджета и проектов бюджетов государственных внебюджетных фондов Российской Федерации на очередной финансовый год и плановый период.

3.1 Алгоритм расчета распределения общего объема субсидий на софинансирование расходных обязательств субъектов Российской Федерации между субъектами Российской Федерации в соответствии с правилами предоставления и распределения субсидий бюджетам субъектов Российской Федерации

 

Форма 0505818 с. 2

3.1.1 Показатели, применяемые для расчета распределения общего объема субсидий на софинансирование расходных обязательств субъектов Российской Федерации между субъектами Российской Федерации, в соответствии с правилами предоставления и распределения субсидий бюджетам субъектов Российской Федерации

3.1.1.1 Показатели, применяемые для расчета распределения общего объема субсидий на софинансирование расходных обязательств субъектов Российской Федерации между субъектами Российской Федерации, в соответствии с правилами предоставления и распределения субсидий бюджетам субъектов Российской Федерации на 20__ год (на очередной финансовый год)

Наименование субъекта Российской Федерации Код строки Показатели по субъектам Российской Федерации Единые показатели для всех субъектов Российской Федерации Объем субсидии
()
численность граждан, планируемых к вовлечению в волонтерскую деятельность в субъекте Российской Федерации в соответствии с заявкой субъекта Российской Федерации, чел
()
численность граждан, вовлеченных в волонтерскую деятельность в субъекте Российской Федерации согласно ведомственной статистике, чел
()
численность молодежи, вовлеченной в волонтерскую деятельность в субъекте Российской Федерации согласно федеральному статистическому наблюдению, чел
()
численность молодежи в субъекте Российской Федерации согласно федеральному статистическому наблюдению, чел
()
коэффициент потребности субъекта Российской Федерации в реализации лучших практик в сфере добровольчества (волонтерства)
()
предельный уровень софинансирования расходного обязательства субъекта Российской Федерации, %
()
общий объем затрат, предусмотренный на предоставление субсидий
()
1 2 3 4 5 6 7 8 9 10 11
  001             x x  
  002              
                 
                 
Итого 900 x x x x x x      

3.1.1.2 Показатели, применяемые для расчета распределения общего объема субсидий на софинансирование расходных обязательств субъектов Российской Федерации между субъектами Российской Федерации, в соответствии с правилами предоставления и распределения субсидий бюджетам субъектов Российской Федерации на 20__ год (на первый год планового периода)

Наименование субъекта Российской Федерации Код строки Показатели по субъектам Российской Федерации Единые показатели для всех субъектов Российской Федерации Объем субсидии
()
численность граждан, планируемых к вовлечению в волонтерскую деятельность в субъекте Российской Федерации в соответствии с заявкой субъекта Российской Федерации, чел
()
численность граждан, вовлеченных в волонтерскую деятельность в субъекте Российской Федерации согласно ведомственной статистике, чел
()
численность молодежи, вовлеченной в волонтерскую деятельность в субъекте Российской Федерации согласно федеральному статистическому наблюдению, чел
()
численность молодежи в субъекте Российской Федерации согласно федеральному статистическому наблюдению, чел
()
коэффициент потребности субъекта Российской Федерации в реализации лучших практик в сфере добровольчества (волонтерства)
()
предельный уровень софинансирования расходного обязательства субъекта Российской Федерации, %
()
общий объем затрат, предусмотренный на предоставление субсидий
()
1 2 3 4 5 6 7 8 9 10 11
  001             x x  
  002              
                 
                 
Итого 900 x x x x x x      

3.1.1.3 Показатели, применяемые для расчета распределения общего объема субсидий на софинансирование расходных обязательств субъектов Российской Федерации между субъектами Российской Федерации, в соответствии с правилами предоставления и распределения субсидий бюджетам субъектов Российской Федерации на 20__ год (на второй год планового периода)

Наименование субъекта Российской Федерации Код строки Показатели по субъектам Российской Федерации Единые показатели для всех субъектов Российской Федерации Объем субсидии
()
численность граждан, планируемых к вовлечению в волонтерскую деятельность в субъекте Российской Федерации в соответствии с заявкой субъекта Российской Федерации, чел
()
численность граждан, вовлеченных в волонтерскую деятельность в субъекте Российской Федерации согласно ведомственной статистике, чел
()
численность молодежи, вовлеченной в волонтерскую деятельность в субъекте Российской Федерации согласно федеральному статистическому наблюдению, чел
()
численность молодежи в субъекте Российской Федерации согласно федеральному статистическому наблюдению, чел
()
коэффициент потребности субъекта Российской Федерации в реализации лучших практик в сфере добровольчества (волонтерства)
()
предельный уровень софинансирования расходного обязательства субъекта Российской Федерации, %
()
общий объем затрат, предусмотренный на предоставление субсидий
()
1 2 3 4 5 6 7 8 9 10 11
  001             x x  
  002              
                 
                 
Итого 900 x x x x x x      

Форма 0505818 с. 3

4. Сведения о нормативных правовых (правовых) актах, устанавливающих правила предоставления субсидий из федерального бюджета бюджетам субъектов Российской Федерации и (или) их распределения между субъектами Российской Федерации

Нормативный правовой (правовой) акт
вид дата номер наименование статус предполагаемая дата изменения статуса <3>
1 2 3 4 5 6
           
           
           

<3> Для проектов нормативных правовых (правовых) актов указывается предполагаемый срок внесения в Правительство Российской Федерации (утверждения федеральным органом исполнительной власти); для действующих, подлежащих признанию утратившими силу (приостановлению) нормативных правовых (правовых) актов указывается дата прекращения (приостановления) их действия. В случае если срок действия нормативных правовых (правовых) актов не установлен, в данной графе ставится "01.01.2099".

Руководитель              
(уполномоченное лицо) (должность)   (подпись)   (расшифровка подписи)
               
Исполнитель              
  (должность)   (фамилия, инициалы)   (телефон)

"__" __________ 20__ г.

Приложение N 123
к приказу Министерства финансов
Российской Федерации
от 20.06.2018 N 139н

ОБОСНОВАНИЯ (РАСЧЕТЫ) ПЛАНОВЫХ СМЕТНЫХ ПОКАЗАТЕЛЕЙ НА ПРЕДОСТАВЛЕНИЕ СУБСИДИЙ ИЗ ФЕДЕРАЛЬНОГО БЮДЖЕТА БЮДЖЕТАМ СУБЪЕКТОВ РОССИЙСКОЙ ФЕДЕРАЦИИ НА СОФИНАНСИРОВАНИЕ РАСХОДНЫХ ОБЯЗАТЕЛЬСТВ СУБЪЕКТОВ РОССИЙСКОЙ ФЕДЕРАЦИИ, ВОЗНИКАЮЩИХ ПРИ РЕАЛИЗАЦИИ НАЦИОНАЛЬНОГО ПРОЕКТА "ЭКОЛОГИЯ", НА ЛИКВИДАЦИЮ (РЕКУЛЬТИВАЦИЮ) ОБЪЕКТОВ НАКОПЛЕННОГО ЭКОЛОГИЧЕСКОГО ВРЕДА, ПРЕДСТАВЛЯЮЩИХ УГРОЗУ РЕКЕ ВОЛГЕ, НА 20__ ГОД И НА ПЛАНОВЫЙ ПЕРИОД 20__ И 20__ ГОДОВ

Коды
  Форма по ОКУД 0505819
  от "__" ________ 20__ г. Дата  
Получатель бюджетных средств   по Перечню (Реестру)  
Распорядитель средств федерального бюджета   по Перечню (Реестру)  
Главный распорядитель средств федерального бюджета   Глава по БК  
Раздел   по БК  
Подраздел   по БК  
Целевая статья   по БК  
Вид расходов   по БК  
Вид документа      
  (основной документ - код 01; изменения к документу - код 02)    
Единица измерения: руб по ОКЕИ 383

1. Расходы на предоставление субсидий

Наименование субсидии Сумма
на 20__ год
(на очередной финансовый год)
на 20__ год
(на первый год планового периода)
на 20__ год
(на второй год планового периода)
1 2 3 4
       

1.1 Аналитическое распределение по КОСГУ <1>

Наименование показателя Код по КОСГУ Сумма
на 20__ год
(на очередной финансовый год)
на 20__ год
(на первый год планового периода)
на 20__ год
(на второй год планового периода)
1 2 3 4 5
Расходы, всего -      
в том числе:        
перечисления другим бюджетам бюджетной системы Российской Федерации 251      

<1> Раздел заполняется в соответствии с Порядком применения классификации операций сектора государственного управления, утвержденным приказом Министерства финансов Российской Федерации от 29 ноября 2017 г. N 209н (зарегистрирован Министерством юстиции Российской Федерации 12 февраля 2018 г., регистрационный N 50003), с изменениями, внесенными приказами Министерства финансов Российской Федерации от 30 ноября 2018 г. N 246н (зарегистрирован Министерством юстиции Российской Федерации 26 декабря 2018 г., регистрационный N 53186), от 13 мая 2019 г. N 69н (зарегистрирован Министерством юстиции Российской Федерации 24 июля 2019 г., регистрационный N 55372).

2. Распределение общего объема субсидий между субъектами Российской Федерации <2>

<2> Раздел заполняется одновременно с представлением главным распорядителем средств федерального бюджета расчетов распределения межбюджетных трансфертов бюджетам субъектов Российской Федерации в сроки, установленные графиком подготовки и рассмотрения проектов федеральных законов, документов и материалов, разрабатываемых при составлении проекта федерального бюджета и проектов бюджетов государственных внебюджетных фондов Российской Федерации на очередной финансовый год и плановый период.

Наименование субъекта Российской Федерации Код строки Объем предоставляемых субсидий
на 20__ год
(на очередной финансовый год)
на 20__ год
(на первый год планового периода)
на 20__ год
(на второй год планового периода)
1 2 3 4 5
  001      
  002      
         
Распределяемый объем 700      
Нераспределенный резерв 800      
Итого 900      

3. Расчет распределения общего объема субсидий на софинансирование расходных обязательств субъектов Российской Федерации между субъектами Российской Федерации

3.1. Алгоритм расчета распределения общего объема субсидий на софинансирование расходных обязательств субъектов Российской Федерации между субъектами Российской Федерации в соответствии с правилами предоставления и распределения субсидий бюджетам субъектов Российской Федерации

 

Форма 0505819 с. 2

3.1.1 Показатели, применяемые для расчета распределения общего объема субсидий на софинансирование расходных обязательств субъектов Российской Федерации между субъектами Российской Федерации, в соответствии с правилами предоставления и распределения субсидий бюджетам субъектов Российской Федерации

3.1.1.1 Показатели, применяемые для расчета распределения общего объема субсидий на софинансирование расходных обязательств субъектов Российской Федерации между субъектами Российской Федерации, в соответствии с правилами предоставления и распределения субсидий бюджетам субъектов Российской Федерации на 20__ год (на очередной финансовый год)

Наименование субъекта Российской Федерации Код строки Показатели по субъектам Российской Федерации Единые показатели для всех субъектов Российской Федерации Объем субсидии
()
общий объем затрат на реализацию мероприятий регионального проекта субъекта Российской Федерации
()
предельный уровень софинансирования расходного обязательства субъекта Российской Федерации
()
общий объем затрат, предусмотренный на предоставление субсидий
()
1 2 3 4 5 6 7
  001     x x  
  002      
         
         
Итого 900 x x      

3.1.1.2 Показатели, применяемые для расчета распределения общего объема субсидий на софинансирование расходных обязательств субъектов Российской Федерации между субъектами Российской Федерации, в соответствии с правилами предоставления и распределения субсидий бюджетам субъектов Российской Федерации на 20__ год (на первый год планового периода)

Наименование субъекта Российской Федерации Код строки Показатели по субъектам Российской Федерации Единые показатели для всех субъектов Российской Федерации Объем субсидии
()
общий объем затрат на реализацию мероприятий регионального проекта субъекта Российской Федерации
()
предельный уровень софинансирования расходного обязательства субъекта Российской Федерации
()
общий объем затрат, предусмотренный на предоставление субсидий
()
1 2 3 4 5 6 7
  001     x x  
  002      
         
         
Итого 900 x x      

3.1.1.3 Показатели, применяемые для расчета распределения общего объема субсидий на софинансирование расходных обязательств субъектов Российской Федерации между субъектами Российской Федерации, в соответствии с правилами предоставления и распределения субсидий бюджетам субъектов Российской Федерации на 20__ год (на второй год планового периода)

Наименование субъекта Российской Федерации Код строки Показатели по субъектам Российской Федерации Единые показатели для всех субъектов Российской Федерации Объем субсидии
()
общий объем затрат на реализацию мероприятий регионального проекта субъекта Российской Федерации
()
предельный уровень софинансирования расходного обязательства субъекта Российской Федерации
()
общий объем затрат, предусмотренный на предоставление субсидий
()
1 2 3 4 5 6 7
  001     x x  
  002      
         
         
Итого 900 x x      

4. Сведения о нормативных правовых (правовых) актах, устанавливающих правила предоставления субсидий из федерального бюджета бюджетам субъектов Российской Федерации и (или) их распределения между субъектами Российской Федерации

Нормативный правовой (правовой) акт
вид дата номер наименование статус предполагаемая дата изменения статуса <3>
1 2 3 4 5 6
           
           
           

<3> Для проектов нормативных правовых (правовых) актов указывается предполагаемый срок внесения в Правительство Российской Федерации (утверждения федеральным органом исполнительной власти); для действующих, подлежащих признанию утратившими силу (приостановлению) нормативных правовых (правовых) актов указывается дата прекращения (приостановления) их действия. В случае если срок действия нормативных правовых (правовых) актов не установлен, в данной графе ставится "01.01.2099".

Руководитель              
(уполномоченное лицо) (должность)   (подпись)   (расшифровка подписи)
               
Исполнитель              
  (должность)   (фамилия, инициалы)   (телефон)

"__" __________ 20__ г.

Приложение N 124
к приказу Министерства финансов
Российской Федерации
от 20.06.2018 N 139н

ОБОСНОВАНИЯ (РАСЧЕТЫ) ПЛАНОВЫХ СМЕТНЫХ ПОКАЗАТЕЛЕЙ НА ПРЕДОСТАВЛЕНИЕ СУБСИДИЙ ИЗ ФЕДЕРАЛЬНОГО БЮДЖЕТА БЮДЖЕТАМ СУБЪЕКТОВ РОССИЙСКОЙ ФЕДЕРАЦИИ НА СОФИНАНСИРОВАНИЕ РАСХОДНЫХ ОБЯЗАТЕЛЬСТВ СУБЪЕКТОВ РОССИЙСКОЙ ФЕДЕРАЦИИ, ВОЗНИКАЮЩИХ ПРИ РЕАЛИЗАЦИИ НАЦИОНАЛЬНОГО ПРОЕКТА "ПРОИЗВОДИТЕЛЬНОСТЬ ТРУДА И ПОДДЕРЖКА ЗАНЯТОСТИ", НА ПОВЫШЕНИЕ ЭФФЕКТИВНОСТИ СЛУЖБЫ ЗАНЯТОСТИ НА 20__ ГОД И НА ПЛАНОВЫЙ ПЕРИОД 20__ И 20__ ГОДОВ

Коды
  Форма по ОКУД 0505820
  от "__" ________ 20__ г. Дата  
Получатель бюджетных средств   по Перечню (Реестру)  
Распорядитель средств федерального бюджета   по Перечню (Реестру)  
Главный распорядитель средств федерального бюджета   Глава по БК  
Раздел   по БК  
Подраздел   по БК  
Целевая статья   по БК  
Вид расходов   по БК  
Вид документа      
  (основной документ - код 01; изменения к документу - код 02)    
Единица измерения: руб по ОКЕИ 383

1. Расходы на предоставление субсидий

Наименование субсидии Сумма
на 20__ год
(на очередной финансовый год)
на 20__ год
(на первый год планового периода)
на 20__ год
(на второй год планового периода)
1 2 3 4
       

1.1 Аналитическое распределение по КОСГУ <1>

Наименование показателя Код по КОСГУ Сумма
на 20__ год
(на очередной финансовый год)
на 20__ год
(на первый год планового периода)
на 20__ год
(на второй год планового периода)
1 2 3 4 5
Расходы, всего -      
в том числе:        
перечисления другим бюджетам бюджетной системы Российской Федерации 251      

<1> Раздел заполняется в соответствии с Порядком применения классификации операций сектора государственного управления, утвержденным приказом Министерства финансов Российской Федерации от 29 ноября 2017 г. N 209н (зарегистрирован Министерством юстиции Российской Федерации 12 февраля 2018 г., регистрационный N 50003), с изменениями, внесенными приказами Министерства финансов Российской Федерации от 30 ноября 2018 г. N 246н (зарегистрирован Министерством юстиции Российской Федерации 26 декабря 2018 г., регистрационный N 53186), от 13 мая 2019 г. N 69н (зарегистрирован Министерством юстиции Российской Федерации 24 июля 2019 г., регистрационный N 55372).

2. Распределение общего объема субсидий между субъектами Российской Федерации <2>

Наименование субъекта Российской Федерации Код строки Объем предоставляемых субсидий
на 20__ год
(на очередной финансовый год)
на 20__ год
(на первый год планового периода)
на 20__ год
(на второй год планового периода)
1 2 3 4 5
  001      
  002      
         
Распределяемый объем 700      
Нераспределенный резерв 800      
Итого 900      

<2> Раздел заполняется одновременно с представлением главным распорядителем средств федерального бюджета расчетов распределения межбюджетных трансфертов бюджетам субъектов Российской Федерации в сроки, установленные графиком подготовки и рассмотрения проектов федеральных законов, документов и материалов, разрабатываемых при составлении проекта федерального бюджета и проектов бюджетов государственных внебюджетных фондов Российской Федерации на очередной финансовый год и плановый период.

3. Расчет распределения общего объема субсидий на софинансирование расходных обязательств субъектов Российской Федерации между субъектами Российской Федерации

3.1 Алгоритм расчета распределения общего объема субсидий на софинансирование расходных обязательств субъектов Российской Федерации между субъектами Российской Федерации в соответствии с правилами предоставления и распределения субсидий бюджетам субъектов Российской Федерации

 

Форма 0505820 с. 2

3.1.1 Показатели, применяемые для расчета распределения общего объема субсидий на софинансирование расходных обязательств субъектов Российской Федерации между субъектами Российской Федерации, в соответствии с правилами предоставления и распределения субсидий бюджетам субъектов Российской Федерации

3.1.1.1 Показатели, применяемые для расчета распределения общего объема субсидий на софинансирование расходных обязательств субъектов Российской Федерации между субъектами Российской Федерации, в соответствии с правилами предоставления и распределения субсидий бюджетам субъектов Российской Федерации на 20__ год (на очередной финансовый год)

Наименование субъекта Российской Федерации Код строки Показатели по субъектам Российской Федерации Общий объем затрат, предусмотренный на предоставление субсидий
(C)
Объем субсидии
()
размер средств, необходимых бюджету субъекта Российской Федерации на исполнение расходных обязательств
()
предельный уровень софинансирования расходного обязательства субъекта Российской Федерации
()
потребность субъекта Российской Федерации в субсидии с учетом предельного уровня софинансирования расходных обязательств субъекта Российской Федерации
()
1 2 3 4 5 6 7
  001       x  
  002        
           
           
Итого 900 x x      

3.1.1.2 Показатели, применяемые для расчета распределения общего объема субсидий на софинансирование расходных обязательств субъектов Российской Федерации между субъектами Российской Федерации, в соответствии с правилами предоставления и распределения субсидий бюджетам субъектов Российской Федерации на 20__ год (на первый год планового периода)

Наименование субъекта Российской Федерации Код строки Показатели по субъектам Российской Федерации Общий объем затрат, предусмотренный на предоставление субсидий
(C)
Объем субсидии
()
размер средств, необходимых бюджету субъекта Российской Федерации на исполнение расходных обязательств
()
предельный уровень софинансирования расходного обязательства субъекта Российской Федерации
()
потребность субъекта Российской Федерации в субсидии с учетом предельного уровня софинансирования расходных обязательств субъекта Российской Федерации
()
1 2 3 4 5 6 7
  001       x  
  002        
           
           
Итого 900 x x      

3.1.1.3 Показатели, применяемые для расчета распределения общего объема субсидий на софинансирование расходных обязательств субъектов Российской Федерации между субъектами Российской Федерации, в соответствии с правилами предоставления и распределения субсидий бюджетам субъектов Российской Федерации на 20__ год (на второй год планового периода)

Наименование субъекта Российской Федерации Код строки Показатели по субъектам Российской Федерации Общий объем затрат, предусмотренный на предоставление субсидий
(C)
Объем субсидии
()
размер средств, необходимых бюджету субъекта Российской Федерации на исполнение расходных обязательств
()
предельный уровень софинансирования расходного обязательства субъекта Российской Федерации
()
потребность субъекта Российской Федерации в субсидии с учетом предельного уровня софинансирования расходных обязательств субъекта Российской Федерации
()
1 2 3 4 5 6 7
  001       x  
  002        
           
           
Итого 900 x x      

4. Сведения о нормативных правовых (правовых) актах, устанавливающих правила предоставления субсидий из федерального бюджета бюджетам субъектов Российской Федерации и (или) их распределения между субъектами Российской Федерации

Нормативный правовой (правовой) акт
вид дата номер наименование статус предполагаемая дата изменения статуса <2>
1 2 3 4 5 6
           
           
           

<3> Для проектов нормативных правовых (правовых) актов указывается предполагаемый срок внесения в Правительство Российской Федерации (утверждения федеральным органом исполнительной власти); для действующих, подлежащих признанию утратившими силу (приостановлению) нормативных правовых (правовых) актов указывается дата прекращения (приостановления) их действия. В случае если срок действия нормативных правовых (правовых) актов не установлен, в данной графе ставится "01.01.2099".

Руководитель              
(уполномоченное лицо) (должность)   (подпись)   (расшифровка подписи)
               
Исполнитель              
  (должность)   (фамилия, инициалы)   (телефон)

"__" __________ 20__ г.

Приложение N 125
к приказу Министерства финансов
Российской Федерации
от 20.06.2018 N 139н

ОБОСНОВАНИЯ (РАСЧЕТЫ) ПЛАНОВЫХ СМЕТНЫХ ПОКАЗАТЕЛЕЙ НА ПРЕДОСТАВЛЕНИЕ СУБСИДИЙ ИЗ ФЕДЕРАЛЬНОГО БЮДЖЕТА БЮДЖЕТАМ СУБЪЕКТОВ РОССИЙСКОЙ ФЕДЕРАЦИИ НА СОФИНАНСИРОВАНИЕ РАСХОДНЫХ ОБЯЗАТЕЛЬСТВ СУБЪЕКТОВ РОССИЙСКОЙ ФЕДЕРАЦИИ, ВОЗНИКАЮЩИХ ПРИ РЕАЛИЗАЦИИ НАЦИОНАЛЬНОГО ПРОЕКТА "ПРОИЗВОДИТЕЛЬНОСТЬ ТРУДА И ПОДДЕРЖКА ЗАНЯТОСТИ", НА ПЕРЕОБУЧЕНИЕ, ПОВЫШЕНИЕ КВАЛИФИКАЦИИ РАБОТНИКОВ ПРЕДПРИЯТИЙ В ЦЕЛЯХ ПОДДЕРЖКИ ЗАНЯТОСТИ И ПОВЫШЕНИЯ ЭФФЕКТИВНОСТИ РЫНКА ТРУДА НА 20__ ГОД И НА ПЛАНОВЫЙ ПЕРИОД 20__ И 20__ ГОДОВ

Коды
  Форма по ОКУД 0505821
  от "__" ________ 20__ г. Дата  
Получатель бюджетных средств   по Перечню (Реестру)  
Распорядитель средств федерального бюджета   по Перечню (Реестру)  
Главный распорядитель средств федерального бюджета   Глава по БК  
Раздел   по БК  
Подраздел   по БК  
Целевая статья   по БК  
Вид расходов   по БК  
Вид документа      
  (основной документ - код 01; изменения к документу - код 02)    
Единица измерения: руб по ОКЕИ 383

1. Расходы на предоставление субсидий

Наименование субсидии Сумма
на 20__ год
(на очередной финансовый год)
на 20__ год
(на первый год планового периода)
на 20__ год
(на второй год планового периода)
1 2 3 4
       

1.1 Аналитическое распределение по КОСГУ <1>

Наименование показателя Код по КОСГУ Сумма
на 20__ год
(на очередной финансовый год)
на 20__ год
(на первый год планового периода)
на 20__ год
(на второй год планового периода)
1 2 3 4 5
Расходы, всего -      
в том числе:        
перечисления другим бюджетам бюджетной системы Российской Федерации 251      

<1> Раздел заполняется в соответствии с Порядком применения классификации операций сектора государственного управления, утвержденным приказом Министерства финансов Российской Федерации от 29 ноября 2017 г. N 209н (зарегистрирован Министерством юстиции Российской Федерации 12 февраля 2018 г., регистрационный N 50003), с изменениями, внесенными приказами Министерства финансов Российской Федерации от 30 ноября 2018 г. N 246н (зарегистрирован Министерством юстиции Российской Федерации 26 декабря 2018 г, регистрационный N 53186), от 13 мая 2019 г. N 69н (зарегистрирован Министерством юстиции Российской Федерации 24 июля 2019 г., регистрационный N 55372).

2. Распределение общего объема субсидий между субъектами Российской Федерации <2>

Наименование субъекта Российской Федерации Код строки Объем предоставляемых субсидий
на 20__ год
(на очередной финансовый год)
на 20__ год
(на первый год планового периода)
на 20__ год
(на второй год планового периода)
1 2 3 4 5
  001      
  002      
         
Распределяемый объем 700      
Нераспределенный резерв 800      
Итого 900      

3. Расчет распределения общего объема субсидий на софинансирование расходных обязательств субъектов Российской Федерации между субъектами Российской Федерации <2>

<2> Раздел заполняется одновременно с представлением главным распорядителем средств федерального бюджета расчетов распределения межбюджетных трансфертов бюджетам субъектов Российской Федерации в сроки, установленные графиком подготовки и рассмотрения проектов федеральных законов, документов и материалов, разрабатываемых при составлении проекта федерального бюджета и проектов бюджетов государственных внебюджетных фондов Российской Федерации на очередной финансовый год и плановый период.

3.1 Алгоритм расчета распределения общего объема субсидий на софинансирование расходных обязательств субъектов Российской Федерации между субъектами Российской Федерации в соответствии с правилами предоставления и распределения субсидий бюджетам субъектов Российской Федерации

 

Форма 0505821 с. 2

3.1.1 Показатели, применяемые для расчета распределения общего объема субсидий на софинансирование расходных обязательств субъектов Российской Федерации между субъектами Российской Федерации, в соответствии с правилами предоставления и распределения субсидий бюджетам субъектов Российской Федерации

3.1.1.1 Показатели, применяемые для расчета распределения общего объема субсидий на софинансирование расходных обязательств субъектов Российской Федерации между субъектами Российской Федерации, в соответствии с правилами предоставления и распределения субсидий бюджетам субъектов Российской Федерации на 20__ год (на очередной финансовый год)

Наименование субъекта Российской Федерации Код строки Показатели по субъектам Российской Федерации Единые показатели для всех субъектов Российской Федерации Объем субсидии
()
прогнозируемая в субъекте Российской Федерации численность граждан, предполагаемых к обучению, чел средняя стоимость курса обучения одного человека
()
размер стипендии, выплачиваемой в период обучения
()
расходы на компенсацию стоимости проезда к месту обучения в другую местность и обратно и стоимости провоза багажа
()
расходы по найму жилого помещения за время пребывания в другой местности
()
размер средств, необходимых бюджету субъекта Российской Федерации на исполнение расходных обязательств субъекта Российской Федерации () предельный уровень софинансирования расходного обязательства субъекта Российской Федерации
()
потребность субъекта Российской Федерации в субсидии с учетом предельного уровня софинансирования расходных обязательств субъектов Российской Федерации () расходы на выплату суточных за один месяц обучения в другой местности
()
средний период обучения, мес
()
общий объем затрат, предусмотренный на предоставление субсидий
(S)
в регионе проживания без выплаты стипендии
()
в регионе проживания с выплатой стипендии
()
в другой местности
()
1 2 3 4 5 6 7 8 9 10 11 12 13 14 15 16
  001                     x x x  
  002                      
                         
                         
Итого 900 x x x x x x x x x          

3.1.1.2 Показатели, применяемые для расчета распределения общего объема субсидий на софинансирование расходных обязательств субъектов Российской Федерации между субъектами Российской Федерации, в соответствии с правилами предоставления и распределения субсидий бюджетам субъектов Российской Федерации на 20__ год (на первый год планового периода)

Наименование субъекта Российской Федерации Код строки Показатели по субъектам Российской Федерации Единые показатели для всех субъектов Российской Федерации Объем субсидии
()
прогнозируемая в субъекте Российской Федерации численность граждан, предполагаемых к обучению, чел средняя стоимость курса обучения одного человека
()
размер стипендии, выплачиваемой в период обучения
()
расходы на компенсацию стоимости проезда к месту обучения в другую местность и обратно и стоимости провоза багажа
()
расходы по найму жилого помещения за время пребывания в другой местности
()
размер средств, необходимых бюджету субъекта Российской Федерации на исполнение расходных обязательств субъекта Российской Федерации
()
предельный уровень софинансирования расходного обязательства субъекта Российской Федерации
()
потребность субъекта Российской Федерации в субсидии с учетом предельного уровня софинансирования расходных обязательств субъектов Российской Федерации
()
расходы на выплату суточных за один месяц обучения в другой местности
()
средний период обучения, мес
()
общий объем затрат, предусмотренный на предоставление субсидий
(S)
в регионе проживания без выплаты стипендии
()
в регионе проживания с выплатой стипендии
()
в другой местности
()
1 2 3 4 5 6 7 8 9 10 11 12 13 14 15 16
  001                     x x x  
  002                      
                         
                         
Итого 900 x x x x x x x x x          

3.1.1.3 Показатели, применяемые для расчета распределения общего объема субсидий на софинансирование расходных обязательств субъектов Российской Федерации между субъектами Российской Федерации, в соответствии с правилами предоставления и распределения субсидий бюджетам субъектов Российской Федерации на 20__ год (на второй год планового периода)

Наименование субъекта Российской Федерации Код строки Показатели по субъектам Российской Федерации Единые показатели для всех субъектов Российской Федерации Объем субсидии
()
прогнозируемая в субъекте Российской Федерации численность граждан, предполагаемых к обучению, чел средняя стоимость курса обучения одного человека
()
размер стипендии, выплачиваемой в период обучения
()
расходы на компенсацию стоимости проезда к месту обучения в другую местность и обратно и стоимости провоза багажа
()
расходы по найму жилого помещения за время пребывания в другой местности
()
размер средств, необходимых бюджету субъекта Российской Федерации на исполнение расходных обязательств субъекта Российской Федерации
()
предельный уровень софинансирования расходного обязательства субъекта Российской Федерации
()
потребность субъекта Российской Федерации в субсидии с учетом предельного уровня софинансирования расходных обязательств субъектов Российской Федерации
()
расходы на выплату суточных за один месяц обучения в другой местности
()
средний период обучения, мес
()
общий объем затрат, предусмотренный на предоставление субсидий
(S)
в регионе проживания без выплаты стипендии
()
в регионе проживания с выплатой стипендии
()
в другой местности
()
1 2 3 4 5 6 7 8 9 10 11 12 13 14 15 16
  001                     x x x  
  002                      
                         
                         
Итого 900 x x x x x x x x x          

Форма 0505821 с. 3

4. Сведения о нормативных правовых (правовых) актах, устанавливающих правила предоставления субсидий из федерального бюджета бюджетам субъектов Российской Федерации и (или) их распределения между субъектами Российской Федерации

Нормативный правовой (правовой) акт
вид дата номер наименование статус предполагаемая дата изменения статуса <3>
1 2 3 4 5 6
           
           
           

<3> Для проектов нормативных правовых (правовых) актов указывается предполагаемый срок внесения в Правительство Российской Федерации (утверждения федеральным органом исполнительной власти); для действующих, подлежащих признанию утратившими силу (приостановлению) нормативных правовых (правовых) актов указывается дата прекращения (приостановления) их действия. В случае если срок действия нормативных правовых (правовых) актов не установлен, в данной графе ставится "01.01.2099".

Руководитель              
(уполномоченное лицо) (должность)   (подпись)   (расшифровка подписи)
               
Исполнитель              
  (должность)   (фамилия, инициалы)   (телефон)

"__" __________ 20__ г.

Приложение N 126
к приказу Министерства финансов
Российской Федерации
от 20.06.2018 N 139н

ОБОСНОВАНИЯ (РАСЧЕТЫ) ПЛАНОВЫХ СМЕТНЫХ ПОКАЗАТЕЛЕЙ НА ПРЕДОСТАВЛЕНИЕ СУБСИДИЙ ИЗ ФЕДЕРАЛЬНОГО БЮДЖЕТА БЮДЖЕТАМ СУБЪЕКТОВ РОССИЙСКОЙ ФЕДЕРАЦИИ НА СОФИНАНСИРОВАНИЕ РАСХОДНЫХ ОБЯЗАТЕЛЬСТВ СУБЪЕКТОВ РОССИЙСКОЙ ФЕДЕРАЦИИ, ВОЗНИКАЮЩИХ ПРИ РЕАЛИЗАЦИИ НАЦИОНАЛЬНОГО ПРОЕКТА "ЗДРАВООХРАНЕНИЕ", НА ОБЕСПЕЧЕНИЕ ЗАКУПКИ АВИАЦИОННЫХ РАБОТ В ЦЕЛЯХ ОКАЗАНИЯ МЕДИЦИНСКОЙ ПОМОЩИ НА 20__ ГОД И НА ПЛАНОВЫЙ ПЕРИОД 20__ И 20__ ГОДОВ

Коды
  Форма по ОКУД 0505822
  от "__" ________ 20__ г. Дата  
Получатель бюджетных средств   по Перечню (Реестру)  
Распорядитель средств федерального бюджета   по Перечню (Реестру)  
Главный распорядитель средств федерального бюджета   Глава по БК  
Раздел   по БК  
Подраздел   по БК  
Целевая статья   по БК  
Вид расходов   по БК  
Вид документа      
  (основной документ - код 01; изменения к документу - код 02)    
Единица измерения: руб по ОКЕИ 383

1. Расходы на предоставление субсидий

Наименование субсидии Сумма
на 20__ год
(на очередной финансовый год)
на 20__ год
(на первый год планового периода)
на 20__ год
(на второй год планового периода)
1 2 3 4
       

1.1 Аналитическое распределение по КОСГУ <1>

Наименование показателя Код по КОСГУ Сумма
на 20__ год
(на очередной финансовый год)
на 20__ год
(на первый год планового периода)
на 20__ год
(на второй год планового периода)
1 2 3 4 5
Расходы, всего -      
в том числе:        
перечисления другим бюджетам бюджетной системы Российской Федерации 251      

<1> Раздел заполняется в соответствии с Порядком применения классификации операций сектора государственного управления, утвержденным приказом Министерства финансов Российской Федерации от 29 ноября 2017 г. N 209н (зарегистрирован Министерством юстиции Российской Федерации 12 февраля 2018 г., регистрационный N 50003), с изменениями, внесенными приказами Министерства финансов Российской Федерации от 30 ноября 2018 г. N 246н (зарегистрирован Министерством юстиции Российской Федерации 26 декабря 2018 г., регистрационный N 53186), от 13 мая 2019 г. N 69н (зарегистрирован Министерством юстиции Российской Федерации 24 июля 2019 г., регистрационный N 55372).

2. Распределение общего объема субсидий между субъектами Российской Федерации <2>

Наименование субъекта Российской Федерации Код строки Объем предоставляемых субсидий
на 20__ год
(на очередной финансовый год)
на 20__ год
(на первый год планового периода)
на 20__ год
(на второй год планового периода)
1 2 3 4 5
  001      
  002      
         
Распределяемый объем 700      
Нераспределенный резерв 800      
Итого 900      

3. Расчет распределения общего объема субсидий на софинансирование расходных обязательств субъектов Российской Федерации между субъектами Российской Федерации <2>

<2> Раздел заполняется одновременно с представлением главным распорядителем средств федерального бюджета расчетов распределения межбюджетных трансфертов бюджетам субъектов Российской Федерации в сроки, установленные графиком подготовки и рассмотрения проектов федеральных законов, документов и материалов, разрабатываемых при составлении проекта федерального бюджета и проектов бюджетов государственных внебюджетных фондов Российской Федерации на очередной финансовый год и плановый период.

3.1 Алгоритм расчета распределения общего объема субсидий на софинансирование расходных обязательств субъектов Российской Федерации между субъектами Российской Федерации в соответствии с правилами предоставления и распределения субсидий бюджетам субъектов Российской Федерации

Размер субсидии для субъектов Российской Федерации, входящих в состав Дальневосточного федерального округа определяется по формуле:
Размер субсидии для субъектов Российской Федерации, в отношении которых разрабатываются в соответствии с поручением Председателя Правительства Российской Федерации индивидуальные программы социально-экономического развития, определяется по формуле:
Размер субсидии для субъектов Российской Федерации, не входящих в состав Дальневосточного федерального округа и не входящих в число субъектов Российской Федерации, в отношении которых в соответствии с поручением Председателя Правительства Российской Федерации разрабатываются индивидуальные программы социально-экономического развития, определяется по формуле:

Форма 0505822 с. 2

3.1.1 Показатели, применяемые для расчета распределения общего объема субсидий на софинансирование расходных обязательств субъектов Российской Федерации между субъектами Российской Федерации, в соответствии с правилами предоставления и распределения субсидий бюджетам субъектов Российской Федерации

3.1.1.1 Показатели, применяемые для расчета распределения общего объема субсидий на софинансирование расходных обязательств субъектов Российской Федерации между субъектами Российской Федерации, в соответствии с правилами предоставления и распределения субсидий бюджетам субъектов Российской Федерации на 20__ год (на очередной финансовый год)

Наименование субъекта Российской Федерации Код строки Показатели по субъектам Российской Федерации Единые показатели для всех субъектов Российской Федерации Объем субсидии для субъектов Российской Федерации
размер средств, необходимых бюджету субъекта Российской Федерации для оказания скорой, в том числе скорой специализированной, медицинской помощи гражданам с применением воздушного судна в соответствии с заявкой
()
предельный уровень софинансирования расходного обязательства субъекта Российской Федерации
()
поправочный коэффициент, применяемый в целях достижения объемов вылетов санитарной авиации, совершаемых в дополнение к вылетам санитарной авиации, финансируемым из бюджетов субъектов Российской Федерации, входящих в состав Дальневосточного федерального округа
()
общий объем затрат, предусмотренный на предоставление субсидий
(V)
размер субсидии, предоставляемой бюджетам субъектов Российской Федерации, входящих в состав Дальневосточного федерального округа
()
размер субсидии, предоставляемой бюджетам субъектов Российской Федерации, в отношении которых разрабатываются и реализуются индивидуальные программы социально-экономического развития
()
входящих в состав Дальневосточного федерального округа
()
в отношении которых разрабатываются в соответствии с поручением Председателя Правительства Российской Федерации индивидуальные программы социально-экономического развития
()
не входящих в состав Дальневосточного федерального округа и не входящих в число субъектов Российской Федерации, в отношении которых в соответствии с поручением Председателя Правительства Российской Федерации разрабатываются индивидуальные программы социально-экономического развития
()
всего
1 2 3 4 5 6 7 8 9 10 11 12
  001     x x x x        
  002            
               
               
Итого 900 x x                

3.1.1.2 Показатели, применяемые для расчета распределения общего объема субсидий на софинансирование расходных обязательств субъектов Российской Федерации между субъектами Российской Федерации, в соответствии с правилами предоставления и распределения субсидий бюджетам субъектов Российской Федерации на 20__ год (на первый год планового периода)

Наименование субъекта Российской Федерации Код строки Показатели по субъектам Российской Федерации Единые показатели для всех субъектов Российской Федерации Объем субсидии для субъектов Российской Федерации
размер средств, необходимых бюджету субъекта Российской Федерации для оказания скорой, в том числе скорой специализированной, медицинской помощи гражданам с применением воздушного судна в соответствии с заявкой
()
предельный уровень софинансирования расходного обязательства субъекта Российской Федерации
()
поправочный коэффициент, применяемый в целях достижения объемов вылетов санитарной авиации, совершаемых в дополнение к вылетам санитарной авиации, финансируемым из бюджетов субъектов Российской Федерации, входящих в состав Дальневосточного федерального округа
()
общий объем затрат, предусмотренный на предоставление субсидий
(V)
размер субсидии, предоставляемой бюджетам субъектов Российской Федерации, входящих в состав Дальневосточного федерального округа
()
размер субсидии, предоставляемой бюджетам субъектов Российской Федерации, в отношении которых разрабатываются и реализуются индивидуальные программы социально-экономического развития
()
входящих в состав Дальневосточного федерального округа
()
в отношении которых разрабатываются в соответствии с поручением Председателя Правительства Российской Федерации индивидуальные программы социально-экономического развития
()
не входящих в состав Дальневосточного федерального округа и не входящих в число субъектов Российской Федерации, в отношении которых в соответствии с поручением Председателя Правительства Российской Федерации разрабатываются индивидуальные программы социально-экономического развития
()
всего
1 2 3 4 5 6 7 8 9 10 11 12
  001     x x x x        
  002            
               
               
Итого 900 x x                

3.1.1.3 Показатели, применяемые для расчета распределения общего объема субсидий на софинансирование расходных обязательств субъектов Российской Федерации между субъектами Российской Федерации, в соответствии с правилами предоставления и распределения субсидий бюджетам субъектов Российской Федерации на 20__ год (на второй год планового периода)

Наименование субъекта Российской Федерации Код строки Показатели по субъектам Российской Федерации Единые показатели для всех субъектов Российской Федерации Объем субсидии для субъектов Российской Федерации
размер средств, необходимых бюджету субъекта Российской Федерации для оказания скорой, в том числе скорой специализированной, медицинской помощи гражданам с применением воздушного судна в соответствии с заявкой
()
предельный уровень софинансирования расходного обязательства субъекта Российской Федерации
()
поправочный коэффициент, применяемый в целях достижения объемов вылетов санитарной авиации, совершаемых в дополнение к вылетам санитарной авиации, финансируемым из бюджетов субъектов Российской Федерации, входящих в состав Дальневосточного федерального округа
()
общий объем затрат, предусмотренный на предоставление субсидий
(V)
размер субсидии, предоставляемой бюджетам субъектов Российской Федерации, входящих в состав Дальневосточного федерального округа
()
размер субсидии, предоставляемой бюджетам субъектов Российской Федерации, в отношении которых разрабатываются и реализуются индивидуальные программы социально-экономического развития
()
входящих в состав Дальневосточного федерального округа
()
в отношении которых разрабатываются в соответствии с поручением Председателя Правительства Российской Федерации индивидуальные программы социально-экономического развития
()
не входящих в состав Дальневосточного федерального округа и не входящих в число субъектов Российской Федерации, в отношении которых в соответствии с поручением Председателя Правительства Российской Федерации разрабатываются индивидуальные программы социально-экономического развития
()
всего
1 2 3 4 5 6 7 8 9 10 11 12
  001     x x x x        
  002            
               
               
Итого 900 x x                

Форма 0505822 с. 3

4. Сведения о нормативных правовых (правовых) актах, устанавливающих правила предоставления субсидий из федерального бюджета бюджетам субъектов Российской Федерации и (или) их распределения между субъектами Российской Федерации

Нормативный правовой (правовой) акт
вид дата номер наименование статус предполагаемая дата изменения статуса <3>
1 2 3 4 5 6
           
           
           

<3> Для проектов нормативных правовых (правовых) актов указывается предполагаемый срок внесения в Правительство Российской Федерации (утверждения федеральным органом исполнительной власти); для действующих, подлежащих признанию утратившими силу (приостановлению) нормативных правовых (правовых) актов указывается дата прекращения (приостановления) их действия. В случае если срок действия нормативных правовых (правовых) актов не установлен, в данной графе ставится "01.01.2099".

Руководитель              
(уполномоченное лицо) (должность)   (подпись)   (расшифровка подписи)
               
Исполнитель              
  (должность)   (фамилия, инициалы)   (телефон)

"__" __________ 20__ г.

Приложение N 127
к приказу Министерства финансов
Российской Федерации
от 20.06.2018 N 139н

ОБОСНОВАНИЯ (РАСЧЕТЫ) ПЛАНОВЫХ СМЕТНЫХ ПОКАЗАТЕЛЕЙ НА ПРЕДОСТАВЛЕНИЕ СУБСИДИЙ ИЗ ФЕДЕРАЛЬНОГО БЮДЖЕТА БЮДЖЕТАМ СУБЪЕКТОВ РОССИЙСКОЙ ФЕДЕРАЦИИ НА СОФИНАНСИРОВАНИЕ РАСХОДНЫХ ОБЯЗАТЕЛЬСТВ СУБЪЕКТОВ РОССИЙСКОЙ ФЕДЕРАЦИИ, ВОЗНИКАЮЩИХ ПРИ РЕАЛИЗАЦИИ НАЦИОНАЛЬНОГО ПРОЕКТА "ЗДРАВООХРАНЕНИЕ", НА ОБЕСПЕЧЕНИЕ ПРОФИЛАКТИКИ РАЗВИТИЯ СЕРДЕЧНО-СОСУДИСТЫХ ЗАБОЛЕВАНИЙ И СЕРДЕЧНО-СОСУДИСТЫХ ОСЛОЖНЕНИЙ У ПАЦИЕНТОВ ВЫСОКОГО РИСКА, НАХОДЯЩИХСЯ НА ДИСПАНСЕРНОМ НАБЛЮДЕНИИ, НА 20__ ГОД И НА ПЛАНОВЫЙ ПЕРИОД 20__ И 20__ ГОДОВ

Коды
  Форма по ОКУД 0505823
  от "__" ________ 20__ г. Дата  
Получатель бюджетных средств   по Перечню (Реестру)  
Распорядитель средств федерального бюджета   по Перечню (Реестру)  
Главный распорядитель средств федерального бюджета   Глава по БК  
Раздел   по БК  
Подраздел   по БК  
Целевая статья   по БК  
Вид расходов   по БК  
Вид документа      
  (основной документ - код 01; изменения к документу - код 02)    
Единица измерения: руб по ОКЕИ 383

1. Расходы на предоставление субсидий

Наименование субсидии Сумма
на 20__ год
(на очередной финансовый год)
на 20__ год
(на первый год планового периода)
на 20__ год
(на второй год планового периода)
1 2 3 4
       

1.1 Аналитическое распределение по КОСГУ <1>

Наименование показателя Код по КОСГУ Сумма
на 20__ год
(на очередной финансовый год)
на 20__ год
(на первый год планового периода)
на 20__ год
(на второй год планового периода)
1 2 3 4 5
Расходы, всего -      
в том числе:        
перечисления другим бюджетам бюджетной системы Российской Федерации 251      

<1> Раздел заполняется в соответствии с Порядком применения классификации операций сектора государственного управления, утвержденным приказом Министерства финансов Российской Федерации от 29 ноября 2017 г. N 209н (зарегистрирован Министерством юстиции Российской Федерации 12 февраля 2018 г., регистрационный N 50003), с изменениями, внесенными приказами Министерства финансов Российской Федерации от 30 ноября 2018 г. N 246н (зарегистрирован Министерством юстиции Российской Федерации 26 декабря 2018 г., регистрационный N 53186), от 13 мая 2019 г. N 69н (зарегистрирован Министерством юстиции Российской Федерации 24 июля 2019 г., регистрационный N 55372).

2. Распределение общего объема субсидий между субъектами Российской Федерации <2>

Наименование субъекта Российской Федерации Код строки Объем предоставляемых субсидий
на 20__ год
(на очередной финансовый год)
на 20__ год
(на первый год планового периода)
на 20__ год
(на второй год планового периода)
1 2 3 4 5
  001      
  002      
         
Распределяемый объем 700      
Нераспределенный резерв 800      
Итого 900      

3. Расчет распределения общего объема субсидий на софинансирование расходных обязательств субъектов Российской Федерации между субъектами Российской Федерации <2>

3.1 Алгоритм расчета распределения общего объема субсидий на софинансирование расходных обязательств субъектов Российской Федерации между субъектами Российской Федерации в соответствии с правилами предоставления и распределения субсидий бюджетам субъектов Российской Федерации

 

Форма 0505823 с. 2

3.1.1 Показатели, применяемые для расчета распределения общего объема субсидий на софинансирование расходных обязательств субъектов Российской Федерации между субъектами Российской Федерации, в соответствии с правилами предоставления и распределения субсидий бюджетам субъектов Российской Федерации

3.1.1.1 Показатели, применяемые для расчета распределения общего объема субсидий на софинансирование расходных обязательств субъектов Российской Федерации между субъектами Российской Федерации, в соответствии с правилами предоставления и распределения субсидий бюджетам субъектов Российской Федерации на 20__ год (на очередной финансовый год)

Наименование субъекта Российской Федерации Код строки Показатели по субъектам Российской Федерации Единые показатели для всех субъектов Российской Федерации Объем субсидии
()
предельный уровень софинансирования расходного обязательства субъекта Российской Федерации
()
количество впервые зарегистрированных в отчетном году в субъекте Российской Федерации, ед коэффициент стоимости лекарственного обеспечения лиц, перенесших общий объем затрат, предусмотренный на предоставление субсидий
(L)
инфарктов
()
инсультов
()
острый инфаркт миокарда острое нарушение мозгового кровообращения
1 2 3 4 5 6 7 8 9 10
  001       x x x x  
  002        
           
           
Итого 900       0,6 0,4      

3.1.1.2 Показатели, применяемые для расчета распределения общего объема субсидий на софинансирование расходных обязательств субъектов Российской Федерации между субъектами Российской Федерации, в соответствии с правилами предоставления и распределения субсидий бюджетам субъектов Российской Федерации на 20__ год (на первый год планового периода)

Наименование субъекта Российской Федерации Код строки Показатели по субъектам Российской Федерации Единые показатели для всех субъектов Российской Федерации Объем субсидии
()
предельный уровень софинансирования расходного обязательства субъекта Российской Федерации
()
количество впервые зарегистрированных в отчетном году в субъекте Российской Федерации, ед коэффициент стоимости лекарственного обеспечения лиц, перенесших общий объем затрат, предусмотренный на предоставление субсидий (L)
инфарктов
()
инсультов
()
острый инфаркт миокарда острое нарушение мозгового кровообращения
1 2 3 4 5 6 7 8 9 10
  001       x x x x  
  002        
           
           
Итого 900       0,6 0,4      

3.1.1.3 Показатели, применяемые для расчета распределения общего объема субсидий на софинансирование расходных обязательств субъектов Российской Федерации между субъектами Российской Федерации, в соответствии с правилами предоставления и распределения субсидий бюджетам субъектов Российской Федерации на 20__ год (на второй год планового периода)

Наименование субъекта Российской Федерации Код строки Показатели по субъектам Российской Федерации Единые показатели для всех субъектов Российской Федерации Объем субсидии
()
предельный уровень софинансирования расходного обязательства субъекта Российской Федерации () количество впервые зарегистрированных в отчетном году в субъекте Российской Федерации, ед коэффициент стоимости лекарственного обеспечения лиц, перенесших общий объем затрат, предусмотренный на предоставление субсидий (L)
инфарктов
()
инсультов
()
острый инфаркт миокарда острое нарушение мозгового кровообращения
1 2 3 4 5 6 7 8 9 10
  001       x x x x  
  002        
           
           
Итого 900       0,6 0,4      

<2> Раздел заполняется одновременно с представлением главным распорядителем средств федерального бюджета расчетов распределения межбюджетных трансфертов бюджетам субъектов Российской Федерации в сроки, установленные графиком подготовки и рассмотрения проектов федеральных законов, документов и материалов, разрабатываемых при составлении проекта федерального бюджета и проектов бюджетов государственных внебюджетных фондов Российской Федерации на очередной финансовый год и плановый период.

4. Сведения о нормативных правовых (правовых) актах, устанавливающих правила предоставления субсидий из федерального бюджета бюджетам субъектов Российской Федерации и (или) их распределения между субъектами Российской Федерации

Нормативный правовой (правовой) акт
вид дата номер наименование статус предполагаемая дата изменения статуса <3>
1 2 3 4 5 6
           
           
           

<3> Для проектов нормативных правовых (правовых) актов указывается предполагаемый срок внесения в Правительство Российской Федерации (утверждения федеральным органом исполнительной власти); для действующих, подлежащих признанию утратившими силу (приостановлению) нормативных правовых (правовых) актов указывается дата прекращения (приостановления) их действия. В случае если срок действия нормативного правового (правового) акта не установлен, в данной графе ставится "01.01.2099".

Руководитель              
(уполномоченное лицо) (должность)   (подпись)   (расшифровка подписи)
               
Исполнитель              
  (должность)   (фамилия, инициалы)   (телефон)

"__" __________ 20__ г.

Приложение N 128
к приказу Министерства финансов
Российской Федерации
от 20.06.2018 N 139н

ОБОСНОВАНИЯ (РАСЧЕТЫ) ПЛАНОВЫХ СМЕТНЫХ ПОКАЗАТЕЛЕЙ НА ПРЕДОСТАВЛЕНИЕ СУБСИДИЙ ИЗ ФЕДЕРАЛЬНОГО БЮДЖЕТА БЮДЖЕТАМ СУБЪЕКТОВ РОССИЙСКОЙ ФЕДЕРАЦИИ НА СОФИНАНСИРОВАНИЕ РАСХОДНЫХ ОБЯЗАТЕЛЬСТВ СУБЪЕКТОВ РОССИЙСКОЙ ФЕДЕРАЦИИ, ВОЗНИКАЮЩИХ ПРИ РЕАЛИЗАЦИИ НАЦИОНАЛЬНОГО ПРОЕКТА "ЗДРАВООХРАНЕНИЕ", НА РЕАЛИЗАЦИЮ РЕГИОНАЛЬНЫХ ПРОЕКТОВ "СОЗДАНИЕ ЕДИНОГО ЦИФРОВОГО КОНТУРА В ЗДРАВООХРАНЕНИИ НА ОСНОВЕ ЕДИНОЙ ГОСУДАРСТВЕННОЙ ИНФОРМАЦИОННОЙ СИСТЕМЫ ЗДРАВООХРАНЕНИЯ (ЕГИСЗ)" НА 20__ ГОД И НА ПЛАНОВЫЙ ПЕРИОД 20__ И 20__ ГОДОВ

Коды
  Форма по ОКУД 0505824
  от "__" ________ 20__ г. Дата  
Получатель бюджетных средств   по Перечню (Реестру)  
Распорядитель средств федерального бюджета   по Перечню (Реестру)  
Главный распорядитель средств федерального бюджета   Глава по БК  
Раздел   по БК  
Подраздел   по БК  
Целевая статья   по БК  
Вид расходов   по БК  
Вид документа      
  (основной документ - код 01; изменения к документу - код 02)    
Единица измерения: руб по ОКЕИ 383

1. Расходы на предоставление субсидий

Наименование субсидии Сумма
на 20__ год
(на очередной финансовый год)
на 20__ год
(на первый год планового периода)
на 20__ год
(на второй год планового периода)
1 2 3 4
       

1.1 Аналитическое распределение по КОСГУ <1>

Наименование показателя Код по КОСГУ Сумма
на 20__ год
(на очередной финансовый год)
на 20__ год
(на первый год планового периода)
на 20__ год
(на второй год планового периода)
1 2 3 4 5
Расходы, всего -      
в том числе:        
перечисления другим бюджетам бюджетной системы Российской Федерации 251      

<1> Раздел заполняется в соответствии с Порядком применения классификации операций сектора государственного управления, утвержденным приказом Министерства финансов Российской Федерации от 29 ноября 2017 г. N 209н (зарегистрирован Министерством юстиции Российской Федерации 12 февраля 2018 г., регистрационный N 50003), с изменениями, внесенными приказами Министерства финансов Российской Федерации от 30 ноября 2018 г. N 246н (зарегистрирован Министерством юстиции Российской Федерации 26 декабря 2018 г., регистрационный N 53186), от 13 мая 2019 г. N 69н (зарегистрирован Министерством юстиции Российской Федерации 24 июля 2019 г., регистрационный N 55372).

2. Распределение общего объема субсидий между субъектами Российской Федерации <2>

Наименование субъекта Российской Федерации Код строки Объем предоставляемых субсидий
на 20__ год
(на очередной финансовый год)
на 20__ год
(на первый год планового периода)
на 20__ год
(на второй год планового периода)
1 2 3 4 5
  001      
  002      
         
Распределяемый объем 700      
Нераспределенный резерв 800      
Итого 900      

3. Расчет распределения общего объема субсидий на софинансирование расходных обязательств субъектов Российской Федерации между субъектами Российской Федерации <3>

3.1 Алгоритм расчета распределения общего объема субсидий на софинансирование расходных обязательств субъектов Российской Федерации между субъектами Российской Федерации в соответствии с правилами предоставления и распределения субсидий бюджетам субъектов Российской Федерации

 

Форма 0505824 с. 2

3.1.1 Показатели, применяемые для расчета распределения общего объема субсидий на софинансирование расходных обязательств субъектов Российской Федерации между субъектами Российской Федерации, в соответствии с правилами предоставления и распределения субсидий бюджетам субъектов Российской Федерации

3.1.1.1 Показатели, применяемые для расчета распределения общего объема субсидий на софинансирование расходных обязательств субъектов Российской Федерации между субъектами Российской Федерации, в соответствии с правилами предоставления и распределения субсидий бюджетам субъектов Российской Федерации на 20__ год (на очередной финансовый год)

Наименование субъекта Российской Федерации Код строки Показатели по субъектам Российской Федерации Единые показатели для всех субъектов Российской Федерации Объем субсидии
()
объем финансового обеспечения регионального проекта, включающий размер субсидии из федерального бюджета бюджету субъекта Российской Федерации, предусмотренный паспортом регионального проекта субъекта Российской Федерации
()
предельный уровень софинансирования расходного обязательства субъекта Российской Федерации
()
общий объем затрат, предусмотренный на предоставление субсидий
()
1 2 3 4 5 6 7
  001     x x  
  002      
         
         
Итого 900 x x      

3.1.1.2 Показатели, применяемые для расчета распределения общего объема субсидий на софинансирование расходных обязательств субъектов Российской Федерации между субъектами Российской Федерации, в соответствии с правилами предоставления и распределения субсидий бюджетам субъектов Российской Федерации на 20__ год (на первый год планового периода)

Наименование субъекта Российской Федерации Код строки Показатели по субъектам Российской Федерации Единые показатели для всех субъектов Российской Федерации Объем субсидии
()
объем финансового обеспечения регионального проекта, включающий размер субсидии из федерального бюджета бюджету субъекта Российской Федерации, предусмотренный паспортом регионального проекта субъекта Российской Федерации
()
предельный уровень софинансирования расходного обязательства субъекта Российской Федерации
()
общий объем затрат, предусмотренный на предоставление субсидий
()
1 2 3 4 5 6 7
  001     x x  
  002      
         
         
Итого 900 x x      

3.1.1.3 Показатели, применяемые для расчета распределения общего объема субсидий на софинансирование расходных обязательств субъектов Российской Федерации между субъектами Российской Федерации, в соответствии с правилами предоставления и распределения субсидий бюджетам субъектов Российской Федерации на 20__ год (на второй год планового периода)

Наименование субъекта Российской Федерации Код строки Показатели по субъектам Российской Федерации Единые показатели для всех субъектов Российской Федерации Объем субсидии
()
объем финансового обеспечения регионального проекта, включающий размер субсидии из федерального бюджета бюджету субъекта Российской Федерации, предусмотренный паспортом регионального проекта субъекта Российской Федерации
()
предельный уровень софинансирования расходного обязательства субъекта Российской Федерации
()
общий объем затрат, предусмотренный на предоставление субсидий
()
1 2 3 4 5 6 7
  001     x x  
  002      
         
         
Итого 900 x x      

<2> Раздел заполняется одновременно с представлением главным распорядителем средств федерального бюджета расчетов распределения межбюджетных трансфертов бюджетам субъектов Российской Федерации в сроки, установленные графиком подготовки и рассмотрения проектов федеральных законов, документов и материалов, разрабатываемых при составлении проекта федерального бюджета и проектов бюджетов государственных внебюджетных фондов Российской Федерации на очередной финансовый год и плановый период.

4. Сведения о нормативных правовых (правовых) актах, устанавливающих правила предоставления субсидий из федерального бюджета бюджетам субъектов Российской Федерации и (или) их распределения между субъектами Российской Федерации

Нормативный правовой (правовой) акт
вид дата номер наименование статус предполагаемая дата изменения статуса <3>
1 2 3 4 5 6
           
           
           

<3> Для проектов нормативных правовых (правовых) актов указывается предполагаемый срок внесения в Правительство Российской Федерации (утверждения федеральным органом исполнительной власти); для действующих, подлежащих признанию утратившими силу (приостановлению) нормативных правовых (правовых) актов указывается дата прекращения (приостановления) их действия. В случае если срок действия нормативного правового (правового) акта не установлен, в данной графе ставится "01.01.2099".

Руководитель              
(уполномоченное лицо) (должность)   (подпись)   (расшифровка подписи)
               
Исполнитель              
  (должность)   (фамилия, инициалы)   (телефон)

"__" __________ 20__ г.

Приложение N 129
к приказу Министерства финансов
Российской Федерации
от 20.06.2018 N 139н

ОБОСНОВАНИЯ (РАСЧЕТЫ) ПЛАНОВЫХ СМЕТНЫХ ПОКАЗАТЕЛЕЙ НА ПРЕДОСТАВЛЕНИЕ СУБСИДИЙ ИЗ ФЕДЕРАЛЬНОГО БЮДЖЕТА БЮДЖЕТАМ СУБЪЕКТОВ РОССИЙСКОЙ ФЕДЕРАЦИИ НА СОФИНАНСИРОВАНИЕ РАСХОДНЫХ ОБЯЗАТЕЛЬСТВ СУБЪЕКТОВ РОССИЙСКОЙ ФЕДЕРАЦИИ, ВОЗНИКАЮЩИХ ПРИ РЕАЛИЗАЦИИ НАЦИОНАЛЬНОГО ПРОЕКТА "ДЕМОГРАФИЯ", НА ОСУЩЕСТВЛЕНИЕ ЕДИНОВРЕМЕННОЙ ВЫПЛАТЫ ПРИ РОЖДЕНИИ ПЕРВОГО РЕБЕНКА, А ТАКЖЕ ПРЕДОСТАВЛЕНИЕ РЕГИОНАЛЬНОГО МАТЕРИНСКОГО (СЕМЕЙНОГО) КАПИТАЛА ПРИ РОЖДЕНИИ ВТОРОГО РЕБЕНКА В СУБЪЕКТАХ РОССИЙСКОЙ ФЕДЕРАЦИИ, ВХОДЯЩИХ В СОСТАВ ДАЛЬНЕВОСТОЧНОГО ФЕДЕРАЛЬНОГО ОКРУГА, НА 20__ ГОД И НА ПЛАНОВЫЙ ПЕРИОД 20__ И 20__ ГОДОВ

Коды
  Форма по ОКУД 0505825
  от "__" ________ 20__ г. Дата  
Получатель бюджетных средств   по Перечню (Реестру)  
Распорядитель средств федерального бюджета   по Перечню (Реестру)  
Главный распорядитель средств федерального бюджета   Глава по БК  
Раздел   по БК  
Подраздел   по БК  
Целевая статья   по БК  
Вид расходов   по БК  
Вид документа      
  (основной документ - код 01; изменения к документу - код 02)    
Единица измерения: руб по ОКЕИ 383

1. Расходы на предоставление субсидий

Наименование субсидии Сумма
на 20__ год
(на очередной финансовый год)
на 20__ год
(на первый год планового периода)
на 20__ год
(на второй год планового периода)
1 2 3 4
       

1.1 Аналитическое распределение по КОСГУ <1>

Наименование показателя Код по КОСГУ Сумма
на 20__ год
(на очередной финансовый год)
на 20__ год
(на первый год планового периода)
на 20__ год
(на второй год планового периода)
1 2 3 4 5
Расходы, всего -      
в том числе:        
перечисления другим бюджетам бюджетной системы Российской Федерации 251      

<1> Раздел заполняется в соответствии с Порядком применения классификации операций сектора государственного управления, утвержденным приказом Министерства финансов Российской Федерации от 29 ноября 2017 г. N 209н (зарегистрирован Министерством юстиции Российской Федерации 12 февраля 2018 г., регистрационный N 50003), с изменениями, внесенными приказами Министерства финансов Российской Федерации от 30 ноября 2018 г. N 246н (зарегистрирован Министерством юстиции Российской Федерации 26 декабря 2018 г., регистрационный N 53186), от 13 мая 2019 г. N 69н (зарегистрирован Министерством юстиции Российской Федерации 24 июля 2019 г., регистрационный N 55372).

2. Распределение общего объема субсидий между субъектами Российской Федерации <2>

Наименование субъекта Российской Федерации Код строки Объем предоставляемых субсидий
на 20__ год
(на очередной финансовый год)
на 20__ год
(на первый год планового периода)
на 20__ год
(на второй год планового периода)
1 2 3 4 5
  001      
  002      
         
Распределяемый объем 700      
Нераспределенный резерв 800      
Итого 900      

3. Расчет распределения общего объема субсидий на софинансирование расходных обязательств субъектов Российской Федерации между субъектами Российской Федерации <2>

3.1 Алгоритм расчета распределения общего объема субсидий на софинансирование расходных обязательств субъектов Российской Федерации между субъектами Российской Федерации в соответствии с правилами предоставления и распределения субсидий бюджетам субъектов Российской Федерации

 

Форма 0505825 с. 2

3.1.1 Показатели, применяемые для расчета распределения общего объема субсидий на софинансирование расходных обязательств субъектов Российской Федерации между субъектами Российской Федерации, в соответствии с правилами предоставления и распределения субсидий бюджетам субъектов Российской Федерации

3.1.1.1 Показатели, применяемые для расчета распределения общего объема субсидий на софинансирование расходных обязательств субъектов Российской Федерации между субъектами Российской Федерации, в соответствии с правилами предоставления и распределения субсидий бюджетам субъектов Российской Федерации на 20__ год (на очередной финансовый год)

Наименование субъекта Российской Федерации Код строки Показатели по субъектам Российской Федерации Единые показатели для всех субъектов Российской Федерации Объем субсидии
()
прогнозная численность рожденных первых детей в субъекте Российской Федерации, на которых предусмотрено предоставление единовременной выплаты, чел
()
размер единовременной выплаты при рождении первого ребенка, установленный в субъекте Российской Федерации
()
прогнозная численность рожденных вторых детей в субъекте Российской Федерации, в связи с рождением которых предусмотрено предоставление регионального материнского (семейного) капитала, чел
()
размер регионального материнского (семейного) капитала при рождении второго ребенка
()
предельный уровень софинансирования расходного обязательства субъекта Российской Федерации
()
потребность субъекта Российской Федерации в субсидии, необходимой для осуществления единовременной выплаты при рождении первого ребенка
()
потребность субъекта Российской Федерации в субсидии, необходимой для предоставления регионального материнского (семейного) капитала при рождении второго ребенка
()
потребность субъекта Российской Федерации в субсидии, необходимой для осуществления единовременной выплаты при рождении первого ребенка, а также предоставления регионального материнского (семейного) капитала при рождении второго ребенка
()
общий объем затрат, предусмотренный на предоставление субсидий
(О)
1 2 3 4 5 6 7 8 9 10 11 12 13
  001                 x x  
  002                  
                     
                     
Итого 900 x x x x x x x x      

3.1.1.2 Показатели, применяемые для расчета распределения общего объема субсидий на софинансирование расходных обязательств субъектов Российской Федерации между субъектами Российской Федерации, в соответствии с правилами предоставления и распределения субсидий бюджетам субъектов Российской Федерации на 20__ год (на первый год планового периода)

Наименование субъекта Российской Федерации Код строки Показатели по субъектам Российской Федерации Единые показатели для всех субъектов Российской Федерации Объем субсидии
()
прогнозная численность рожденных первых детей в субъекте Российской Федерации, на которых предусмотрено предоставление единовременной выплаты, чел
()
размер единовременной выплаты при рождении первого ребенка, установленный в субъекте Российской Федерации
()
прогнозная численность рожденных вторых детей в субъекте Российской Федерации, в связи с рождением которых предусмотрено предоставление регионального материнского (семейного) капитала, чел
()
размер регионального материнского (семейного) капитала при рождении второго ребенка
()
предельный уровень софинансирования расходного обязательства субъекта Российской Федерации
()
потребность субъекта Российской Федерации в субсидии, необходимой для осуществления единовременной выплаты при рождении первого ребенка
()
потребность субъекта Российской Федерации в субсидии, необходимой для предоставления регионального материнского (семейного) капитала при рождении второго ребенка
()
потребность субъекта Российской Федерации в субсидии, необходимой для осуществления единовременной выплаты при рождении первого ребенка, а также предоставления регионального материнского (семейного) капитала при рождении второго ребенка
()
общий объем затрат, предусмотренный на предоставление субсидий
(О)
1 2 3 4 5 6 7 8 9 10 11 12 13
  001                 x x  
  002                  
                     
                     
Итого 900 x x x x x x x x      

3.1.13 Показатели, применяемые для расчета распределения общего объема субсидий на софинансирование расходных обязательств субъектов Российской Федерации между субъектами Российской Федерации, в соответствии с правилами предоставления и распределения субсидий бюджетам субъектов Российской Федерации на 20__ год (на второй год планового периода)

Наименование субъекта Российской Федерации Код строки Показатели по субъектам Российской Федерации Единые показатели для всех субъектов Российской Федерации Объем субсидии
()
прогнозная численность рожденных первых детей в субъекте Российской Федерации, на которых предусмотрено предоставление единовременной выплаты, чел
()
размер единовременной выплаты при рождении первого ребенка, установленный в субъекте Российской Федерации
()
прогнозная численность рожденных вторых детей в субъекте Российской Федерации, в связи с рождением которых предусмотрено предоставление регионального материнского (семейного) капитала, чел
()
размер регионального материнского (семейного) капитала при рождении второго ребенка
()
предельный уровень софинансирования расходного обязательства субъекта Российской Федерации
()
потребность субъекта Российской Федерации в субсидии, необходимой для осуществления единовременной выплаты при рождении первого ребенка
()
потребность субъекта Российской Федерации в субсидии, необходимой для предоставления регионального материнского (семейного) капитала при рождении второго ребенка
()
потребность субъекта Российской Федерации в субсидии, необходимой для осуществления единовременной выплаты при рождении первого ребенка, а также предоставления регионального материнского (семейного) капитала при рождении второго ребенка
()
общий объем затрат, предусмотренный на предоставление субсидий
(О)
1 2 3 4 5 6 7 8 9 10 11 12 13
  001                 x x  
  002                  
                     
                     
Итого 900 x x x x x x x x      

<2> Раздел заполняется одновременно с представлением главным распорядителем средств федерального бюджета расчетов распределения межбюджетных трансфертов бюджетам субъектов Российской Федерации в сроки, установленные графиком подготовки и рассмотрения проектов федеральных законов, документов и материалов, разрабатываемых при составлении проекта федерального бюджета и проектов бюджетов государственных внебюджетных фондов Российской Федерации на очередной финансовый год и плановый период.

Форма 0505825 с. 3

4. Сведения о нормативных правовых (правовых) актах, устанавливающих правила предоставления субсидий из федерального бюджета бюджетам субъектов Российской Федерации и (или) их распределения между субъектами Российской Федерации

Нормативный правовой (правовой) акт
вид дата номер наименование статус предполагаемая дата изменения статуса <3>
1 2 3 4 5 6
           
           
           

<3> Для проектов нормативных правовых (правовых) актов указывается предполагаемый срок внесения в Правительство Российской Федерации (утверждения федеральным органом исполнительной власти); для действующих, подлежащих признанию утратившими силу (приостановлению) нормативных правовых (правовых) актов указывается дата прекращения (приостановления) их действия. В случае если срок действия нормативного правового (правового) акта не установлен, в данной графе ставится "01.01.2099".

Руководитель              
(уполномоченное лицо) (должность)   (подпись)   (расшифровка подписи)
               
Исполнитель              
  (должность)   (фамилия, инициалы)   (телефон)

"__" __________ 20__ г.

Приложение N 130
к приказу Министерства финансов
Российской Федерации
от 20.06.2018 N 139н

ОБОСНОВАНИЯ (РАСЧЕТЫ) ПЛАНОВЫХ СМЕТНЫХ ПОКАЗАТЕЛЕЙ НА ПРЕДОСТАВЛЕНИЕ СУБСИДИЙ ИЗ ФЕДЕРАЛЬНОГО БЮДЖЕТА БЮДЖЕТАМ СУБЪЕКТОВ РОССИЙСКОЙ ФЕДЕРАЦИИ НА СОФИНАНСИРОВАНИЕ РАСХОДНЫХ ОБЯЗАТЕЛЬСТВ СУБЪЕКТОВ РОССИЙСКОЙ ФЕДЕРАЦИИ, ВОЗНИКАЮЩИХ ПРИ РЕАЛИЗАЦИИ НАЦИОНАЛЬНОГО ПРОЕКТА "ДЕМОГРАФИЯ", НА ОСУЩЕСТВЛЕНИЕ ЕЖЕМЕСЯЧНОЙ ДЕНЕЖНОЙ ВЫПЛАТЫ, НАЗНАЧАЕМОЙ В СЛУЧАЕ РОЖДЕНИЯ ТРЕТЬЕГО РЕБЕНКА ИЛИ ПОСЛЕДУЮЩИХ ДЕТЕЙ ДО ДОСТИЖЕНИЯ РЕБЕНКОМ ВОЗРАСТА ТРЕХ ЛЕТ НА 20__ ГОД И НА ПЛАНОВЫЙ ПЕРИОД 20__ И 20__ ГОДОВ

Коды
  Форма по ОКУД 0505826
  от "__" ________ 20__ г. Дата  
Получатель бюджетных средств   по Перечню (Реестру)  
Распорядитель средств федерального бюджета   по Перечню (Реестру)  
Главный распорядитель средств федерального бюджета   Глава по БК  
Раздел   по БК  
Подраздел   по БК  
Целевая статья   по БК  
Вид расходов   по БК  
Вид документа      
  (основной документ - код 01; изменения к документу - код 02)    
Единица измерения: руб по ОКЕИ 383

1. Расходы на предоставление субсидий

Наименование субсидии Сумма
на 20__ год
(на очередной финансовый год)
на 20__ год
(на первый год планового периода)
на 20__ год
(на второй год планового периода)
1 2 3 4
       

1.1 Аналитическое распределение по КОСГУ <1>

Наименование показателя Код по КОСГУ Сумма
на 20__ год
(на очередной финансовый год)
на 20__ год
(на первый год планового периода)
на 20__ год
(на второй год планового периода)
1 2 3 4 5
Расходы, всего -      
в том числе:        
перечисления другим бюджетам бюджетной системы Российской Федерации 251      

<1> Раздел заполняется в соответствии с Порядком применения классификации операций сектора государственного управления, утвержденным приказом Министерства финансов Российской Федерации от 29 ноября 2017 г. N 209н (зарегистрирован Министерством юстиции Российской Федерации 12 февраля 2018 г., регистрационный N 50003), с изменениями, внесенными приказами Министерства финансов Российской Федерации от 30 ноября 2018 г. N 246н (зарегистрирован Министерством юстиции Российской Федерации 26 декабря 2018 г., регистрационный N 53186), от 13 мая 2019 г. N 69н (зарегистрирован Министерством юстиции Российской Федерации 24 июля 2019 г., регистрационный N 55372).

2. Распределение общего объема субсидий между субъектами Российской Федерации <2>

Наименование субъекта Российской Федерации Код строки Объем предоставляемых субсидий
на 20__ год
(на очередной финансовый год)
на 20__ год
(на первый год планового периода)
на 20__ год
(на второй год планового периода)
1 2 3 4 5
  001      
  002      
         
Распределяемый объем 700      
Нераспределенный резерв 800      
Итого 900      

3. Расчет распределения общего объема субсидий на софинансирование расходных обязательств субъектов Российской Федерации между субъектами Российской Федерации <2>

3.1 Алгоритм расчета распределения общего объема субсидий на софинансирование расходных обязательств субъектов Российской Федерации между субъектами Российской Федерации в соответствии с правилами предоставления и распределения субсидий бюджетам субъектов Российской Федерации

 

Форма 0505826 с. 2

3.1.1 Показатели, применяемые для расчета распределения общего объема субсидий на софинансирование расходных обязательств субъектов Российской Федерации между субъектами Российской Федерации, в соответствии с правилами предоставления и распределения субсидий бюджетам субъектов Российской Федерации

3.1.1.1 Показатели, применяемые для расчета распределения общего объема субсидий на софинансирование расходных обязательств субъектов Российской Федерации между субъектами Российской Федерации, в соответствии с правилами предоставления и распределения субсидий бюджетам субъектов Российской Федерации на 20__ год (на очередной финансовый год)

Наименование субъекта Российской Федерации Код строки Показатели по субъектам Российской Федерации Единые показатели для всех субъектов Российской Федерации Объем субсидии
()
среднемесячная прогнозная численность детей в субъекте Российской Федерации, на которых предусмотрено предоставление ежемесячной денежной выплаты в текущем финансовом году, чел
()
размер ежемесячной денежной выплаты, установленный в субъекте Российской Федерации
()
предельный уровень софинансирования расходного обязательства субъекта Российской Федерации
()
потребность субъекта Российской Федерации в субсидии, необходимой для выплаты ежемесячной денежной выплаты
()
общий объем затрат, предусмотренный на предоставление субсидий
(О)
1 2 3 4 5 6 1 8 9
  001         x x  
  002          
             
             
Итого 900 x x x x      

3.1.1.2 Показатели, применяемые для расчета распределения общего объема субсидий на софинансирование расходных обязательств субъектов Российской Федерации между субъектами Российской Федерации, в соответствии с правилами предоставления и распределения субсидий бюджетам субъектов Российской Федерации на 20__ год (на первый год планового периода)

Наименование субъекта Российской Федерации Код строки Показатели по субъектам Российской Федерации Единые показатели для всех субъектов Российской Федерации Объем субсидии
()
среднемесячная прогнозная численность детей в субъекте Российской Федерации, на которых предусмотрено предоставление ежемесячной денежной выплаты в текущем финансовом году, чел
()
размер ежемесячной денежной выплаты, установленный в субъекте Российской Федерации
()
предельный уровень софинансирования расходного обязательства субъекта Российской Федерации
()
потребность субъекта Российской Федерации в субсидии, необходимой для выплаты ежемесячной денежной выплаты
()
общий объем затрат, предусмотренный на предоставление субсидий
(О)
1 2 3 4 5 6 1 8 9
  001         x x  
  002          
             
             
Итого 900 x x x x      

3.1.1.3 Показатели, применяемые для расчета распределения общего объема субсидий на софинансирование расходных обязательств субъектов Российской Федерации между субъектами Российской Федерации, в соответствии с правилами предоставления и распределения субсидий бюджетам субъектов Российской Федерации на 20__ год (на второй год планового периода)

Наименование субъекта Российской Федерации Код строки Показатели по субъектам Российской Федерации Единые показатели для всех субъектов Российской Федерации Объем субсидии
()
среднемесячная прогнозная численность детей в субъекте Российской Федерации, на которых предусмотрено предоставление ежемесячной денежной выплаты в текущем финансовом году, чел
()
размер ежемесячной денежной выплаты, установленный в субъекте Российской Федерации
()
предельный уровень софинансирования расходного обязательства субъекта Российской Федерации
()
потребность субъекта Российской Федерации в субсидии, необходимой для выплаты ежемесячной денежной выплаты
()
общий объем затрат, предусмотренный на предоставление субсидий
(О)
1 2 3 4 5 6 1 8 9
  001         x x  
  002          
             
             
Итого 900 x x x x      

<2> Раздел заполняется одновременно с представлением главным распорядителем средств федерального бюджета расчетов распределения межбюджетных трансфертов бюджетам субъектов Российской Федерации в сроки, установленные графиком подготовки и рассмотрения проектов федеральных законов, документов и материалов, разрабатываемых при составлении проекта федерального бюджета и проектов бюджетов государственных внебюджетных фондов Российской Федерации на очередной финансовый год и плановый период.

4. Сведения о нормативных правовых (правовых) актах, устанавливающих правила предоставления субсидий из федерального бюджета бюджетам субъектов Российской Федерации и (или) их распределения между субъектами Российской Федерации

Нормативный правовой (правовой) акт
вид дата номер наименование статус предполагаемая дата изменения статуса <3>
1 2 3 4 5 6
           
           
           

<3> Для проектов нормативных правовых (правовых) актов указывается предполагаемый срок внесения в Правительство Российской Федерации (утверждения федеральным органом исполнительной власти); для действующих, подлежащих признанию утратившими силу (приостановлению) нормативных правовых (правовых) актов указывается дата прекращения (приостановления) их действия. В случае если срок действия нормативного правового (правового) акта не установлен, в данной графе ставится "01.01.2099".

Руководитель              
(уполномоченное лицо) (должность)   (подпись)   (расшифровка подписи)
               
Исполнитель              
  (должность)   (фамилия, инициалы)   (телефон)

"__" __________ 20__ г.

Приложение N 131
к приказу Министерства финансов
Российской Федерации
от 20.06.2018 N 139н

ОБОСНОВАНИЯ (РАСЧЕТЫ) ПЛАНОВЫХ СМЕТНЫХ ПОКАЗАТЕЛЕЙ НА ПРЕДОСТАВЛЕНИЕ СУБСИДИЙ ИЗ ФЕДЕРАЛЬНОГО БЮДЖЕТА БЮДЖЕТАМ СУБЪЕКТОВ РОССИЙСКОЙ ФЕДЕРАЦИИ НА СОФИНАНСИРОВАНИЕ РАСХОДНЫХ ОБЯЗАТЕЛЬСТВ СУБЪЕКТОВ РОССИЙСКОЙ ФЕДЕРАЦИИ, ВОЗНИКАЮЩИХ ПРИ РЕАЛИЗАЦИИ НАЦИОНАЛЬНОГО ПРОЕКТА "ДЕМОГРАФИЯ", НА СОЗДАНИЕ ДОПОЛНИТЕЛЬНЫХ МЕСТ ДЛЯ ДЕТЕЙ В ВОЗРАСТЕ ОТ 1,5 ДО 3 ЛЕТ ЛЮБОЙ НАПРАВЛЕННОСТИ В ОРГАНИЗАЦИЯХ, ОСУЩЕСТВЛЯЮЩИХ ОБРАЗОВАТЕЛЬНУЮ ДЕЯТЕЛЬНОСТЬ (ЗА ИСКЛЮЧЕНИЕМ ГОСУДАРСТВЕННЫХ, МУНИЦИПАЛЬНЫХ), И У ИНДИВИДУАЛЬНЫХ ПРЕДПРИНИМАТЕЛЕЙ, ОСУЩЕСТВЛЯЮЩИХ ОБРАЗОВАТЕЛЬНУЮ ДЕЯТЕЛЬНОСТЬ ПО ОБРАЗОВАТЕЛЬНЫМ ПРОГРАММАМ ДОШКОЛЬНОГО ОБРАЗОВАНИЯ, В ТОМ ЧИСЛЕ АДАПТИРОВАННЫМ, И ПРИСМОТР И УХОД ЗА ДЕТЬМИ НА 20__ ГОД И НА ПЛАНОВЫЙ ПЕРИОД 20__ И 20__ ГОДОВ

Коды
  Форма по ОКУД 0505828
  от "__" ________ 20__ г. Дата  
Получатель бюджетных средств   по Перечню (Реестру)  
Распорядитель средств федерального бюджета   по Перечню (Реестру)  
Главный распорядитель средств федерального бюджета   Глава по БК  
Раздел   по БК  
Подраздел   по БК  
Целевая статья   по БК  
Вид расходов   по БК  
Вид документа      
  (основной документ - код 01; изменения к документу - код 02)    
Единица измерения: руб по ОКЕИ 383

1. Расходы на предоставление субсидий

Наименование субсидии Сумма
на 20__ год
(на очередной финансовый год)
на 20__ год
(на первый год планового периода)
на 20__ год
(на второй год планового периода)
1 2 3 4
       

1.1 Аналитическое распределение по КОСГУ <1>

Наименование показателя Код по КОСГУ Сумма
на 20__ год
(на очередной финансовый год)
на 20__ год
(на первый год планового периода)
на 20__ год
(на второй год планового периода)
1 2 3 4 5
Расходы, всего -      
в том числе:        
перечисления другим бюджетам бюджетной системы Российской Федерации 251      

<1> Раздел заполняется в соответствии с Порядком применения классификации операций сектора государственного управления, утвержденным приказом Министерства финансов Российской Федерации от 29 ноября 2017 г. N 209н (зарегистрирован Министерством юстиции Российской Федерации 12 февраля 2018 г., регистрационный N 50003), с изменениями, внесенными приказами Министерства финансов Российской Федерации от 30 ноября 2018 г. N 246н (зарегистрирован Министерством юстиции Российской Федерации 26 декабря 2018 г., регистрационный N 53186), от 13 мая 2019 г. N 69н (зарегистрирован Министерством юстиции Российской Федерации 24 июля 2019 г., регистрационный N 55372).

2. Распределение общего объема субсидий между субъектами Российской Федерации <2>

Наименование субъекта Российской Федерации Код строки Объем предоставляемых субсидий
на 20__ год
(на очередной финансовый год)
на 20__ год
(на первый год планового периода)
на 20__ год
(на второй год планового периода)
1 2 3 4 5
  001      
  002      
         
Распределяемый объем 700      
Нераспределенный резерв 800      
Итого 900      

3. Расчет распределения общего объема субсидий на софинансирование расходных обязательств субъектов Российской Федерации между субъектами Российской Федерации

3.1 Алгоритм расчета распределения общего объема субсидий на софинансирование расходных обязательств субъектов Российской Федерации между субъектами Российской Федерации в соответствии с правилами предоставления и распределения субсидий бюджетам субъектов Российской Федерации

 

Форма 0505828 с. 2

3.1.1 Показатели, применяемые для расчета распределения общего объема субсидий на софинансирование расходных обязательств субъектов Российской Федерации между субъектами Российской Федерации, в соответствии с правилами предоставления и распределения субсидий бюджетам субъектов Российской Федерации

3.1.1.1 Показатели, применяемые для расчета распределения общего объема субсидий на софинансирование расходных обязательств субъектов Российской Федерации между субъектами Российской Федерации, в соответствии с правилами предоставления и распределения субсидий бюджетам субъектов Российской Федерации на 20__ год (на очередной финансовый год)

Наименование субъекта Российской Федерации Код строки Показатели по субъектам Российской Федерации Единые показатели для всех субъектов Российской Федерации Объем субсидии (с учетом корректирующего коэффициента)
()
количество дошкольных мест для детей в возрасте от 1,5 до 3 лет, создаваемых в субъекте Российской Федерации
()
предельный уровень софинансирования расходного обязательства субъекта Российской Федерации, %
()
расчетный объем субсидии субъекту Российской Федерации
()
стоимость оснащения одного дошкольного места средствами обучения и воспитания в целях осуществления образовательных программ дошкольного образования и присмотра и ухода
(N)
общий объем затрат, предусмотренный на предоставление субсидий
()
корректирующий коэффициент
()
1 2 3 4 5 6 7 8 9
  001       x x x  
  002        
           
           
Итого 900 x x          

3.1.1.2 Показатели, применяемые для расчета распределения общего объема субсидий на софинансирование расходных обязательств субъектов Российской Федерации между субъектами Российской Федерации, в соответствии с правилами предоставления и распределения субсидий бюджетам субъектов Российской Федерации на 20__ год (на первый год планового периода)

Наименование субъекта Российской Федерации Код строки Показатели по субъектам Российской Федерации Единые показатели для всех субъектов Российской Федерации Объем субсидии (с учетом корректирующего коэффициента)
()
количество дошкольных мест для детей в возрасте от 1,5 до 3 лет, создаваемых в субъекте Российской Федерации
()
предельный уровень софинансирования расходного обязательства субъекта Российской Федерации, %
()
расчетный объем субсидии субъекту Российской Федерации
()
стоимость оснащения одного дошкольного места средствами обучения и воспитания в целях осуществления образовательных программ дошкольного образования и присмотра и ухода
(N)
общий объем затрат, предусмотренный на предоставление субсидий
()
корректирующий коэффициент
()
1 2 3 4 5 6 7 8 9
  001       x x x  
  002        
           
           
Итого 900 x x          

3.1.1.3 Показатели, применяемые для расчета распределения общего объема субсидий на софинансирование расходных обязательств субъектов Российской Федерации между субъектами Российской Федерации, в соответствии с правилами предоставления и распределения субсидий бюджетам субъектов Российской Федерации на 20__ год (на второй год планового периода)

Наименование субъекта Российской Федерации Код строки Показатели по субъектам Российской Федерации Единые показатели для всех субъектов Российской Федерации Объем субсидии (с учетом корректирующего коэффициента)
()
количество дошкольных мест для детей в возрасте от 1,5 до 3 лет, создаваемых в субъекте Российской Федерации
()
предельный уровень софинансирования расходного обязательства субъекта Российской Федерации, %
()
расчетный объем субсидии субъекту Российской Федерации
()
стоимость оснащения одного дошкольного места средствами обучения и воспитания в целях осуществления образовательных программ дошкольного образования и присмотра и ухода
(N)
общий объем затрат, предусмотренный на предоставление субсидий
()
корректирующий коэффициент
()
1 2 3 4 5 6 7 8 9
  001       x x x  
  002        
           
           
Итого 900 x x          

<2> Раздел заполняется одновременно с представлением главным распорядителем средств федерального бюджета расчетов распределения межбюджетных трансфертов бюджетам субъектов Российской Федерации в сроки, установленные графиком подготовки и рассмотрения проектов федеральных законов, документов и материалов, разрабатываемых при составлении проекта федерального бюджета и проектов бюджетов государственных внебюджетных фондов Российской Федерации на очередной финансовый год и плановый период.

4. Сведения о нормативных правовых (правовых) актах, устанавливающих правила предоставления субсидий из федерального бюджета бюджетам субъектов Российской Федерации и (или) их распределения между субъектами Российской Федерации

Нормативный правовой (правовой) акт
вид дата номер наименование статус предполагаемая дата изменения статуса <3>
1 2 3 4 5 6
           
           
           

<3> Для проектов нормативных правовых (правовых) актов указывается предполагаемый срок внесения в Правительство Российской Федерации (утверждения федеральным органом исполнительной власти); для действующих, подлежащих признанию утратившими силу (приостановлению) нормативных правовых (правовых) актов указывается дата прекращения (приостановления) их действия. В случае если срок действия нормативного правового (правового) акта не установлен, в данной графе ставится "01.01.2099".

Руководитель              
(уполномоченное лицо) (должность)   (подпись)   (расшифровка подписи)
               
Исполнитель              
  (должность)   (фамилия, инициалы)   (телефон)

"__" __________ 20__ г.

Приложение N 132
к приказу Министерства финансов
Российской Федерации
от 20.06.2018 N 139н

ОБОСНОВАНИЯ (РАСЧЕТЫ) ПЛАНОВЫХ СМЕТНЫХ ПОКАЗАТЕЛЕЙ НА ПРЕДОСТАВЛЕНИЕ СУБСИДИЙ ИЗ ФЕДЕРАЛЬНОГО БЮДЖЕТА БЮДЖЕТАМ СУБЪЕКТОВ РОССИЙСКОЙ ФЕДЕРАЦИИ НА СОФИНАНСИРОВАНИЕ РАСХОДНЫХ ОБЯЗАТЕЛЬСТВ СУБЪЕКТОВ РОССИЙСКОЙ ФЕДЕРАЦИИ, ВОЗНИКАЮЩИХ ПРИ РЕАЛИЗАЦИИ НАЦИОНАЛЬНОГО ПРОЕКТА "ДЕМОГРАФИЯ", НА ПЕРЕОБУЧЕНИЕ И ПОВЫШЕНИЕ КВАЛИФИКАЦИИ ЖЕНЩИН В ПЕРИОД ОТПУСКА ПО УХОДУ ЗА РЕБЕНКОМ В ВОЗРАСТЕ ДО ТРЕХ ЛЕТ, А ТАКЖЕ ЖЕНЩИН, ИМЕЮЩИХ ДЕТЕЙ ДОШКОЛЬНОГО ВОЗРАСТА, НЕ СОСТОЯЩИХ В ТРУДОВЫХ ОТНОШЕНИЯХ И ОБРАТИВШИХСЯ В ОРГАНЫ СЛУЖБЫ ЗАНЯТОСТИ, НА 20__ ГОД И НА ПЛАНОВЫЙ ПЕРИОД 20__ И 20__ ГОДОВ

Коды
  Форма по ОКУД 0505829
  от "__" ________ 20__ г. Дата  
Получатель бюджетных средств   по Перечню (Реестру)  
Распорядитель средств федерального бюджета   по Перечню (Реестру)  
Главный распорядитель средств федерального бюджета   Глава по БК  
Раздел   по БК  
Подраздел   по БК  
Целевая статья   по БК  
Вид расходов   по БК  
Вид документа      
  (основной документ - код 01; изменения к документу - код 02)    
Единица измерения: руб по ОКЕИ 383

1. Расходы на предоставление субсидий

Наименование субсидии Сумма
на 20__ год
(на очередной финансовый год)
на 20__ год
(на первый год планового периода)
на 20__ год
(на второй год планового периода)
1 2 3 4
       

1.1 Аналитическое распределение по КОСГУ <1>

Наименование показателя Код по КОСГУ Сумма
на 20__ год
(на очередной финансовый год)
на 20__ год
(на первый год планового периода)
на 20__ год
(на второй год планового периода)
1 2 3 4 5
Расходы, всего -      
в том числе:        
перечисления другим бюджетам бюджетной системы Российской Федерации 251      

<1> Раздел заполняется в соответствии с Порядком применения классификации операций сектора государственного управления, утвержденным приказом Министерства финансов Российской Федерации от 29 ноября 2017 г. N 209н (зарегистрирован Министерством юстиции Российской Федерации 12 февраля 2018 г., регистрационный N 50003), с изменениями, внесенными приказами Министерства финансов Российской Федерации от 30 ноября 2018 г. N 246н (зарегистрирован Министерством юстиции Российской Федерации 26 декабря 2018 г., регистрационный N 53186), от 13 мая 2019 г. N 69н (зарегистрирован Министерством юстиции Российской Федерации 24 июля 2019 г., регистрационный N 55372).

2. Распределение общего объема субсидий между субъектами Российской Федерации <2>

Наименование субъекта Российской Федерации Код строки Объем предоставляемых субсидий
на 20__ год
(на очередной финансовый год)
на 20__ год
(на первый год планового периода)
на 20__ год
(на второй год планового периода)
1 2 3 4 5
  001      
  002      
         
Распределяемый объем 700      
Нераспределенный резерв 800      
Итого 900      

3. Расчет распределения общего объема субсидий на софинансирование расходных обязательств субъектов Российской Федерации между субъектами Российской Федерации <2>

3.1 Алгоритм расчета распределения общего объема субсидий на софинансирование расходных обязательств субъектов Российской Федерации между субъектами Российской Федерации в соответствии с правилами предоставления и распределения субсидий бюджетам субъектов Российской Федерации

 

Форма 0505829 с. 2

3.1.1 Показатели, применяемые для расчета распределения общего объема субсидий на софинансирование расходных обязательств субъектов Российской Федерации между субъектами Российской Федерации, в соответствии с правилами предоставления и распределения субсидий бюджетам субъектов Российской Федерации

3.1.1.1 Показатели, применяемые для расчета распределения общего объема субсидий на софинансирование расходных обязательств субъектов Российской Федерации между субъектами Российской Федерации, в соответствии с правилами предоставления и распределения субсидий бюджетам субъектов Российской Федерации на 20__ год (на очередной финансовый год)

Наименование субъекта Российской Федерации Код строки Показатели по субъектам Российской Федерации Общий объем затрат, предусмотренный на предоставление субсидий
(S)
Объем субсидии
()
прогнозируемая численность женщин, чел средняя стоимость курса обучения одного человека
()
размер стипендии, выплачиваемой женщинам, имеющим детей дошкольного возраста, в период обучения
()
комиссионное вознаграждение по банковским операциям, возникающим при выплате стипендии
()
средний период обучения, мес
()
размер средств, необходимых бюджету субъекта Российской Федерации на исполнение расходных обязательств субъекта Российской Федерации
()
предельный уровень софинансирования расходного обязательства субъекта Российской Федерации
()
потребность субъекта Российской Федерации в субсидии с учетом предельного уровня софинансирования расходного обязательства субъекта Российской Федерации
()
находящихся в отпуске по уходу за ребенком в возрасте до трех лет
()
имеющих детей дошкольного возраста, не состоящих в трудовых отношениях и обратившихся в органы службы занятости
()
1 2 3 4 5 6 7 8 9 10 11 12 13
  001                   x  
  002                    
                       
                       
Итого 900 x x x x x x x x      

3.1.1.2 Показатели, применяемые для расчета распределения общего объема субсидий на софинансирование расходных обязательств субъектов Российской Федерации между субъектами Российской Федерации, в соответствии с правилами предоставления и распределения субсидий бюджетам субъектов Российской Федерации на 20__ год (на первый год планового периода)

Наименование субъекта Российской Федерации Код строки Показатели по субъектам Российской Федерации Общий объем затрат, предусмотренный на предоставление субсидий
(S)
Объем субсидии
()
прогнозируемая численность женщин, чел средняя стоимость курса обучения одного человека
()
размер стипендии, выплачиваемой женщинам, имеющим детей дошкольного возраста, в период обучения
()
комиссионное вознаграждение по банковским операциям, возникающим при выплате стипендии
()
средний период обучения, мес
()
размер средств, необходимых бюджету субъекта Российской Федерации на исполнение расходных обязательств субъекта Российской Федерации
()
предельный уровень софинансирования расходного обязательства субъекта Российской Федерации
()
потребность субъекта Российской Федерации в субсидии с учетом предельного уровня софинансирования расходного обязательства субъекта Российской Федерации
()
находящихся в отпуске по уходу за ребенком в возрасте до трех лет
()
имеющих детей дошкольного возраста, не состоящих в трудовых отношениях и обратившихся в органы службы занятости
()
1 2 3 4 5 6 7 8 9 10 11 12 13
  001                   x  
  002                    
                       
                       
Итого 900 x x x x x x x x      

3.1.1.3 Показатели, применяемые для расчета распределения общего объема субсидий на софинансирование расходных обязательств субъектов Российской Федерации между субъектами Российской Федерации, в соответствии с правилами предоставления и распределения субсидий бюджетам субъектов Российской Федерации на 20__ год (на второй год планового периода)

Наименование субъекта Российской Федерации Код строки Показатели по субъектам Российской Федерации Общий объем затрат, предусмотренный на предоставление субсидий
(S)
Объем субсидии
()
прогнозируемая численность женщин, чел средняя стоимость курса обучения одного человека
()
размер стипендии, выплачиваемой женщинам, имеющим детей дошкольного возраста, в период обучения
()
комиссионное вознаграждение по банковским операциям, возникающим при выплате стипендии
()
средний период обучения, мес
()
размер средств, необходимых бюджету субъекта Российской Федерации на исполнение расходных обязательств субъекта Российской Федерации
()
предельный уровень софинансирования расходного обязательства субъекта Российской Федерации
()
потребность субъекта Российской Федерации в субсидии с учетом предельного уровня софинансирования расходного обязательства субъекта Российской Федерации
()
находящихся в отпуске по уходу за ребенком в возрасте до трех лет
()
имеющих детей дошкольного возраста, не состоящих в трудовых отношениях и обратившихся в органы службы занятости
()
1 2 3 4 5 6 7 8 9 10 11 12 13
  001                   x  
  002                    
                       
                       
Итого 900 x x x x x x x x      

<2> Раздел заполняется одновременно с представлением главным распорядителем средств федерального бюджета расчетов распределения межбюджетных трансфертов бюджетам субъектов Российской Федерации в сроки, установленные графиком подготовки и рассмотрения проектов федеральных законов, документов и материалов, разрабатываемых при составлении проекта федерального бюджета и проектов бюджетов государственных внебюджетных фондов Российской Федерации на очередной финансовый год и плановый период.

Форма 0505829 с. 3

4. Сведения о нормативных правовых (правовых) актах, устанавливающих правила предоставления субсидий из федерального бюджета бюджетам субъектов Российской Федерации и (или) их распределения между субъектами Российской Федерации

Нормативный правовой (правовой) акт
вид дата номер наименование статус предполагаемая дата изменения статуса <3>
1 2 3 4 5 6
           
           
           

<3> Для проектов нормативных правовых (правовых) актов указывается предполагаемый срок внесения в Правительство Российской Федерации (утверждения федеральным органом исполнительной власти); для действующих, подлежащих признанию утратившими силу (приостановлению) нормативных правовых (правовых) актов указывается дата прекращения (приостановления) их действия. В случае если срок действия нормативного правового (правового) акта не установлен, в данной графе ставится "01.01.2099".

Руководитель              
(уполномоченное лицо) (должность)   (подпись)   (расшифровка подписи)
               
Исполнитель              
  (должность)   (фамилия, инициалы)   (телефон)

"__" __________ 20__ г.

Приложение N 133
к приказу Министерства финансов
Российской Федерации
от 20.06.2018 N 139н

ОБОСНОВАНИЯ (РАСЧЕТЫ) ПЛАНОВЫХ СМЕТНЫХ ПОКАЗАТЕЛЕЙ НА ПРЕДОСТАВЛЕНИЕ СУБСИДИЙ ИЗ ФЕДЕРАЛЬНОГО БЮДЖЕТА БЮДЖЕТАМ СУБЪЕКТОВ РОССИЙСКОЙ ФЕДЕРАЦИИ НА СОФИНАНСИРОВАНИЕ РАСХОДНЫХ ОБЯЗАТЕЛЬСТВ СУБЪЕКТОВ РОССИЙСКОЙ ФЕДЕРАЦИИ, ВОЗНИКАЮЩИХ ПРИ РЕАЛИЗАЦИИ НАЦИОНАЛЬНОГО ПРОЕКТА "ДЕМОГРАФИЯ", НА СОЗДАНИЕ СИСТЕМЫ ДОЛГОВРЕМЕННОГО УХОДА ЗА ГРАЖДАНАМИ ПОЖИЛОГО ВОЗРАСТА И ИНВАЛИДАМИ НА 20__ ГОД И НА ПЛАНОВЫЙ ПЕРИОД 20__ И 20__ ГОДОВ

Коды
  Форма по ОКУД 0505830
  от "__" ________ 20__ г. Дата  
Получатель бюджетных средств   по Перечню (Реестру)  
Распорядитель средств федерального бюджета   по Перечню (Реестру)  
Главный распорядитель средств федерального бюджета   Глава по БК  
Раздел   по БК  
Подраздел   по БК  
Целевая статья   по БК  
Вид расходов   по БК  
Вид документа      
  (основной документ - код 01; изменения к документу - код 02)    
Единица измерения: руб по ОКЕИ 383

1. Расходы на предоставление субсидий

Наименование субсидии Сумма
на 20__ год
(на очередной финансовый год)
на 20__ год
(на первый год планового периода)
на 20__ год
(на второй год планового периода)
1 2 3 4
       

1.1 Аналитическое распределение по КОСГУ <1>

Наименование показателя Код по КОСГУ Сумма
на 20__ год
(на очередной финансовый год)
на 20__ год
(на первый год планового периода)
на 20__ год
(на второй год планового периода)
1 2 3 4 5
Расходы, всего -      
в том числе:        
перечисления другим бюджетам бюджетной системы Российской Федерации 251      

<1> Раздел заполняется в соответствии с Порядком применения классификации операций сектора государственного управления, утвержденным приказом Министерства финансов Российской Федерации от 29 ноября 2017 г. N 209н (зарегистрирован Министерством юстиции Российской Федерации 12 февраля 2018 г., регистрационный N 50003), с изменениями, внесенными приказами Министерства финансов Российской Федерации от 30 ноября 2018 г. N 246н (зарегистрирован Министерством юстиции Российской Федерации 26 декабря 2018 г., регистрационный N 53186), от 13 мая 2019 г. N 69н (зарегистрирован Министерством юстиции Российской Федерации 24 июля 2019 г., регистрационный N 55372).

2. Распределение общего объема субсидий между субъектами Российской Федерации <2>

Наименование субъекта Российской Федерации Код строки Объем предоставляемых субсидий
на 20__ год
(на очередной финансовый год)
на 20__ год
(на первый год планового периода)
на 20__ год
(на второй год планового периода)
1 2 3 4 5
  001      
  002      
         
Распределяемый объем 700      
Нераспределенный резерв 800      
Итого 900      

3. Расчет распределения общего объема субсидий на софинансирование расходных обязательств субъектов Российской Федерации между субъектами Российской Федерации <2>

3.1 Алгоритм расчета распределения общего объема субсидий на софинансирование расходных обязательств субъектов Российской Федерации между субъектами Российской Федерации в соответствии с правилами предоставления и распределения субсидий бюджетам субъектов Российской Федерации

 

Форма 0505830 с. 2

3.1.1 Показатели, применяемые для расчета распределения общего объема субсидий на софинансирование расходных обязательств субъектов Российской Федерации между субъектами Российской Федерации, в соответствии с правилами предоставления и распределения субсидий бюджетам субъектов Российской Федерации

3.1.1.1 Показатели, применяемые для расчета распределения общего объема субсидий на софинансирование расходных обязательств субъектов Российской Федерации между субъектами Российской Федерации, в соответствии с правилами предоставления и распределения субсидий бюджетам субъектов Российской Федерации на 20__ год (на очередной финансовый год)

Наименование субъекта Российской Федерации Код строки Показатели по субъектам Российской Федерации Единые показатели для всех субъектов Российской Федерации Объем субсидии
()
размер средств на внедрение в субъекте Российской Федерации стационарозамещающих технологий в рамках реализации системы долговременного ухода за гражданами пожилого возраста и инвалидами
()
размер средств на реализацию в субъекте Российской Федерации мероприятий по профессиональному образованию и профессиональному обучению, а также по дополнительному профессиональному образованию работников организаций социального обслуживания и медицинских организаций
()
размер средств на реализацию в субъекте Российской Федерации мероприятий, направленных на доукомплектацию штатной численности организаций, оказывающих услуги в сфере социального обслуживания
()
размер средств на предоставление в субъекте Российской Федерации услуг в сфере социального обслуживания в рамках долговременного ухода за гражданами пожилого возраста и инвалидами гражданам, признанным нуждающимися в социальном обслуживании
()
потребность субъекта Российской Федерации в средствах на создание системы долговременного ухода за гражданами пожилого возраста и инвалидами в очередном финансовом году
()
предельный уровень софинансирования расходных обязательств субъектов Российской Федерации
()
общий объем затрат, предусмотренный на предоставление субсидий
(О)
1 2 3 4 5 6 7 8 9 10 11
  001             x x  
  002              
                 
                 
Итого 900 x x x x x x      

3.1.1.2 Показатели, применяемые для расчета распределения общего объема субсидий на софинансирование расходных обязательств субъектов Российской Федерации между субъектами Российской Федерации, в соответствии с правилами предоставления и распределения субсидий бюджетам субъектов Российской Федерации на 20__ год (на первый год планового периода)

Наименование субъекта Российской Федерации Код строки Показатели по субъектам Российской Федерации Единые показатели для всех субъектов Российской Федерации Объем субсидии
()
размер средств на внедрение в субъекте Российской Федерации стационарозамещающих технологий в рамках реализации системы долговременного ухода за гражданами пожилого возраста и инвалидами
()
размер средств на реализацию в субъекте Российской Федерации мероприятий по профессиональному образованию и профессиональному обучению, а также по дополнительному профессиональному образованию работников организаций социального обслуживания и медицинских организаций
()
размер средств на реализацию в субъекте Российской Федерации мероприятий, направленных на доукомплектацию штатной численности организаций, оказывающих услуги в сфере социального обслуживания
()
размер средств на предоставление в субъекте Российской Федерации услуг в сфере социального обслуживания в рамках долговременного ухода за гражданами пожилого возраста и инвалидами гражданам, признанным нуждающимися в социальном обслуживании
()
потребность субъекта Российской Федерации в средствах на создание системы долговременного ухода за гражданами пожилого возраста и инвалидами в очередном финансовом году
()
предельный уровень софинансирования расходных обязательств субъектов Российской Федерации
()
общий объем затрат, предусмотренный на предоставление субсидий
(О)
1 2 3 4 5 6 7 8 9 10 11
  001             x x  
  002              
                 
                 
Итого 900 x x x x x x      

3.1.1.3 Показатели, применяемые для расчета распределения общего объема субсидий на софинансирование расходных обязательств субъектов Российской Федерации между субъектами Российской Федерации, в соответствии с правилами предоставления и распределения субсидий бюджетам субъектов Российской Федерации на 20__ год (на второй год планового периода)

Наименование субъекта Российской Федерации Код строки Показатели по субъектам Российской Федерации Единые показатели для всех субъектов Российской Федерации Объем субсидии
()
размер средств на внедрение в субъекте Российской Федерации стационарозамещающих технологий в рамках реализации системы долговременного ухода за гражданами пожилого возраста и инвалидами
()
размер средств на реализацию в субъекте Российской Федерации мероприятий по профессиональному образованию и профессиональному обучению, а также по дополнительному профессиональному образованию работников организаций социального обслуживания и медицинских организаций
()
размер средств на реализацию в субъекте Российской Федерации мероприятий, направленных на доукомплектацию штатной численности организаций, оказывающих услуги в сфере социального обслуживания
()
размер средств на предоставление в субъекте Российской Федерации услуг в сфере социального обслуживания в рамках долговременного ухода за гражданами пожилого возраста и инвалидами гражданам, признанным нуждающимися в социальном обслуживании
()
потребность субъекта Российской Федерации в средствах на создание системы долговременного ухода за гражданами пожилого возраста и инвалидами в очередном финансовом году
()
предельный уровень софинансирования расходных обязательств субъектов Российской Федерации
()
общий объем затрат, предусмотренный на предоставление субсидий
(О)
1 2 3 4 5 6 7 8 9 10 11
  001             x x  
  002              
                 
                 
Итого 900 x x x x x x      

<2> Раздел заполняется одновременно с представлением главным распорядителем средств федерального бюджета расчетов распределения межбюджетных трансфертов бюджетам субъектов Российской Федерации в сроки, установленные графиком подготовки и рассмотрения проектов федеральных законов, документов и материалов, разрабатываемых при составлении проекта федерального бюджета и проектов бюджетов государственных внебюджетных фондов Российской Федерации на очередной финансовый год и плановый период.

Форма 0505830 с. 3

4. Сведения о нормативных правовых (правовых) актах, устанавливающих правила предоставления субсидий из федерального бюджета бюджетам субъектов Российской Федерации и (или) их распределения между субъектами Российской Федерации

Нормативный правовой (правовой) акт
вид дата номер наименование статус предполагаемая дата изменения статуса <3>
1 2 3 4 5 6
           
           
           

<3> Для проектов нормативных правовых (правовых) актов указывается предполагаемый срок внесения в Правительство Российской Федерации (утверждения федеральным органом исполнительной власти); для действующих, подлежащих признанию утратившими силу (приостановлению) нормативных правовых (правовых) актов указывается дата прекращения (приостановления) их действия. В случае если срок действия нормативного правового (правового) акта не установлен, в данной графе ставится "01.01.2099".

Руководитель              
(уполномоченное лицо) (должность)   (подпись)   (расшифровка подписи)
               
Исполнитель              
  (должность)   (фамилия, инициалы)   (телефон)

"__" __________ 20__ г.

Приложение N 134
к приказу Министерства финансов
Российской Федерации
от 20.06.2018 N 139н

ОБОСНОВАНИЯ (РАСЧЕТЫ) ПЛАНОВЫХ СМЕТНЫХ ПОКАЗАТЕЛЕЙ НА ПРЕДОСТАВЛЕНИЕ СУБСИДИЙ ИЗ ФЕДЕРАЛЬНОГО БЮДЖЕТА БЮДЖЕТАМ СУБЪЕКТОВ РОССИЙСКОЙ ФЕДЕРАЦИИ НА СОФИНАНСИРОВАНИЕ РАСХОДНЫХ ОБЯЗАТЕЛЬСТВ СУБЪЕКТОВ РОССИЙСКОЙ ФЕДЕРАЦИИ, ВОЗНИКАЮЩИХ ПРИ РЕАЛИЗАЦИИ НАЦИОНАЛЬНОГО ПРОЕКТА "ДЕМОГРАФИЯ" НА ОРГАНИЗАЦИЮ ПРОФЕССИОНАЛЬНОГО ОБУЧЕНИЯ И ДОПОЛНИТЕЛЬНОГО ПРОФЕССИОНАЛЬНОГО ОБРАЗОВАНИЯ ЛИЦ В ВОЗРАСТЕ 50-ТИ ЛЕТ И СТАРШЕ, А ТАКЖЕ ЛИЦ ПРЕДПЕНСИОННОГО ВОЗРАСТА НА 20__ ГОД И НА ПЛАНОВЫЙ ПЕРИОД 20__ И 20__ ГОДОВ

Коды
  Форма по ОКУД 0505831
  от "__" ________ 20__ г. Дата  
Получатель бюджетных средств   по Перечню (Реестру)  
Распорядитель средств федерального бюджета   по Перечню (Реестру)  
Главный распорядитель средств федерального бюджета   Глава по БК  
Раздел   по БК  
Подраздел   по БК  
Целевая статья   по БК  
Вид расходов   по БК  
Вид документа      
  (основной документ - код 01; изменения к документу - код 02)    
Единица измерения: руб по ОКЕИ 383

1. Расходы на предоставление субсидий

Наименование субсидии Сумма
на 20__ год
(на очередной финансовый год)
на 20__ год
(на первый год планового периода)
на 20__ год
(на второй год планового периода)
1 2 3 4
       

1.1 Аналитическое распределение по КОСГУ <1>

Наименование показателя Код по КОСГУ Сумма
на 20__ год
(на очередной финансовый год)
на 20__ год
(на первый год планового периода)
на 20__ год
(на второй год планового периода)
1 2 3 4 5
Расходы, всего -      
в том числе:        
перечисления другим бюджетам бюджетной системы Российской Федерации 251      

<1> Раздел заполняется в соответствии с Порядком применения классификации операций сектора государственного управления, утвержденным приказом Министерства финансов Российской Федерации от 29 ноября 2017 г. N 209н (зарегистрирован Министерством юстиции Российской Федерации 12 февраля 2018 г., регистрационный N 50003), с изменениями, внесенными приказами Министерства финансов Российской Федерации от 30 ноября 2018 г. N 246н (зарегистрирован Министерством юстиции Российской Федерации 26 декабря 2018 г., регистрационный N 53186), от 13 мая 2019 г. N 69н (зарегистрирован Министерством юстиции Российской Федерации 24 июля 2019 г., регистрационный N 55372).

2. Распределение общего объема субсидий между субъектами Российской Федерации <2>

Наименование субъекта Российской Федерации Код строки Объем предоставляемых субсидий
на 20__ год
(на очередной финансовый год)
на 20__ год
(на первый год планового периода)
на 20__ год
(на второй год планового периода)
1 2 3 4 5
  001      
  002      
         
Распределяемый объем 700      
Нераспределенный резерв 800      
Итого 900      

3. Расчет распределения общего объема субсидий на софинансирование расходных обязательств субъектов Российской Федерации между субъектами Российской Федерации <2>

3.1 Алгоритм расчета распределения общего объема субсидий на софинансирование расходных обязательств субъектов Российской Федерации между субъектами Российской Федерации в соответствии с правилами предоставления и распределения субсидий бюджетам субъектов Российской Федерации

 

Форма 0505831 с. 2

3.1.1 Показатели, применяемые для расчета распределения общего объема субсидий на софинансирование расходных обязательств субъектов Российской Федерации между субъектами Российской Федерации, в соответствии с правилами предоставления и распределения субсидий бюджетам субъектов Российской Федерации

3.1.1.1 Показателя, применяемые для расчета распределения общего объема субсидий на софинансирование расходных обязательств субъектов Российской Федерации между субъектами Российской Федерации, в соответствии с правилами предоставления и распределения субсидий бюджетам субъектов Российской Федерации на 20__ год (на очередной финансовый год)

Наименование субъекта Российской Федерации Код строки Показатели по субъектам Российской Федерации Единые показатели для всех субъектов Российской Федерации Объем субсидии
()
прогнозируемая в субъекте Российской Федерации численность, предполагаемых к обучению в регионе проживания, чел средняя стоимость курса обучения одного человека
()
размер стипендии, выплачиваемой в период обучения
()
комиссионное вознаграждение по банковским операциям, возникающим при выплате стипендии
()
прогнозируемая в субъекте Российской Федерации численность, предполагаемых к обучению в другой местности, чел расходы на компенсацию стоимости проезда к месту обучения в другую местность и обратно и стоимости провоза багажа
()
расходы по найму жилого помещения за время пребывания в другой местности в течение одного месяца
()
предельный уровень софинансирования расходных обязательств субъектов Российской Федерации
()
размер средств, необходимых бюджету субъекта Российской Федерации на исполнение расходных обязательств субъекта Российской Федерации
()
потребность субъекта Российской Федерации в субсидии с учетом предельного уровня софинансирования расходных обязательств субъектов Российской Федерации
()
средний период обучения
()
расходы на выплату суточных за один месяц обучения в другой местности
()
общий объем затрат, предусмотренный на предоставление субсидий
(S)
работников и ищущих работу граждан в возрасте 50-ти лет и старше, а также работников предпенсионного возраста без выплаты стипендии
()
ищущих работу граждан в возрасте 50-ти лет и старше, а также ищущих работу граждан предпенсионного возраста с выплатой стипендии
()
ищущих работу граждан в возрасте 50-ти лет и старше, а также ищущих работу граждан предпенсионного возраста с выплатой стипендии
()
работников и ищущих работу граждан в возрасте 50-ти лет и старше, а также работников предпенсионного возраста без выплаты стипендии
()
1 2 3 4 5 6 7 8 9 10 11 12 13 14 15 16 17 18
  001                         x x x  
  002       x                  
                             
                             
Итого 900 x x x x x x x x x x x          

3.1.1.2 Показатели, применяемые для расчета распределения общего объема субсидий на софинансирование расходных обязательств субъектов Российской Федерации между субъектами Российской Федерации, в соответствии с правилами предоставления и распределения субсидий бюджетам субъектов Российской Федерации на 20__ год (на первый год планового периода)

Наименование субъекта Российской Федерации Код строки Показатели по субъектам Российской Федерации Единые показатели для всех субъектов Российской Федерации Объем субсидии
()
прогнозируемая в субъекте Российской Федерации численность, предполагаемых к обучению в регионе проживания, чел средняя стоимость курса обучения одного человека
()
размер стипендии, выплачиваемой в период обучения
()
комиссионное вознаграждение по банковским операциям, возникающим при выплате стипендии
()
прогнозируемая в субъекте Российской Федерации численность, предполагаемых к обучению в другой местности, чел расходы на компенсацию стоимости проезда к месту обучения в другую местность и обратно и стоимости провоза багажа
()
расходы по найму жилого помещения за время пребывания в другой местности в течение одного месяца
()
предельный уровень софинансирования расходных обязательств субъектов Российской Федерации
()
размер средств, необходимых бюджету субъекта Российской Федерации на исполнение расходных обязательств субъекта Российской Федерации
()
потребность субъекта Российской Федерации в субсидии с учетом предельного уровня софинансирования расходных обязательств субъектов Российской Федерации
()
средний период обучения
()
расходы на выплату суточных за один месяц обучения в другой местности
()
общий объем затрат, предусмотренный на предоставление субсидий
(S)
работников и ищущих работу граждан в возрасте 50-ти лет и старше, а также работников предпенсионного возраста без выплаты стипендии
()
ищущих работу граждан в возрасте 50-ти лет и старше, а также ищущих работу граждан предпенсионного возраста с выплатой стипендии
()
ищущих работу граждан в возрасте 50-ти лет и старше, а также ищущих работу граждан предпенсионного возраста с выплатой стипендии
()
работников и ищущих работу граждан в возрасте 50-ти лет и старше, а также работников предпенсионного возраста без выплаты стипендии
()
1 2 3 4 5 6 7 8 9 10 11 12 13 14 15 16 17 18
  001                         x x x  
  002       x                  
                             
                             
Итого 900 x x x x x x x x x x x          

3.1.1.3 Показатели, применяемые для расчета распределения общего объема субсидий на софинансирование расходных обязательств субъектов Российской Федерации между субъектами Российской Федерации, в соответствии с правилами предоставления и распределения субсидий бюджетам субъектов Российской Федерации на 20__ год (на второй год планового периода)

Наименование субъекта Российской Федерации Код строки Показатели по субъектам Российской Федерации Единые показатели для всех субъектов Российской Федерации Объем субсидии
()
прогнозируемая в субъекте Российской Федерации численность, предполагаемых к обучению в регионе проживания, чел средняя стоимость курса обучения одного человека
()
размер стипендии, выплачиваемой в период обучения
()
комиссионное вознаграждение по банковским операциям, возникающим при выплате стипендии
()
прогнозируемая в субъекте Российской Федерации численность, предполагаемых к обучению в другой местности, чел расходы на компенсацию стоимости проезда к месту обучения в другую местность и обратно и стоимости провоза багажа
()
расходы по найму жилого помещения за время пребывания в другой местности в течение одного месяца
()
предельный уровень софинансирования расходных обязательств субъектов Российской Федерации
()
размер средств, необходимых бюджету субъекта Российской Федерации на исполнение расходных обязательств субъекта Российской Федерации
()
потребность субъекта Российской Федерации в субсидии с учетом предельного уровня софинансирования расходных обязательств субъектов Российской Федерации
()
средний период обучения
()
расходы на выплату суточных за один месяц обучения в другой местности
()
общий объем затрат, предусмотренный на предоставление субсидий
(S)
работников и ищущих работу граждан в возрасте 50-ти лет и старше, а также работников предпенсионного возраста без выплаты стипендии
()
ищущих работу граждан в возрасте 50-ти лет и старше, а также ищущих работу граждан предпенсионного возраста с выплатой стипендии
()
ищущих работу граждан в возрасте 50-ти лет и старше, а также ищущих работу граждан предпенсионного возраста с выплатой стипендии
()
работников и ищущих работу граждан в возрасте 50-ти лет и старше, а также работников предпенсионного возраста без выплаты стипендии
()
1 2 3 4 5 6 7 8 9 10 11 12 13 14 15 16 17 18
  001                         x x x  
  002       x                  
                             
                             
Итого 900 x x x x x x x x x x x          

<2> Раздел заполняется одновременно с представлением главным распорядителем средств федерального бюджета расчетов распределения межбюджетных трансфертов бюджетам субъектов Российской Федерации в сроки, установленные графиком подготовки и рассмотрения проектов федеральных законов, документов и материалов, разрабатываемых при составлении проекта федерального бюджета и проектов бюджетов государственных внебюджетных фондов Российской Федерации на очередной финансовый год и плановый период.

Форма 0505831 с. 3

4. Сведения о нормативных правовых (правовых) актах, устанавливающих правила предоставления субсидий из федерального бюджета бюджетам субъектов Российской Федерации и (или) их распределения между субъектами Российской Федерации

Нормативный правовой (правовой) акт
вид дата номер наименование статус предполагаемая дата изменения статуса <3>
1 2 3 4 5 6
           
           
           

<3> Для проектов нормативных правовых (правовых) актов указывается предполагаемый срок внесения в Правительство Российской Федерации (утверждения федеральным органом исполнительной власти); для действующих, подлежащих признанию утратившими силу (приостановлению) нормативных правовых (правовых) актов указывается дата прекращения (приостановления) их действия. В случае если срок действия нормативного правового (правового) акта не установлен, в данной графе ставится "01.01.2099".

Руководитель              
(уполномоченное лицо) (должность)   (подпись)   (расшифровка подписи)
               
Исполнитель              
  (должность)   (фамилия, инициалы)   (телефон)

"__" __________ 20__ г.

Приложение N 135
к приказу Министерства финансов
Российской Федерации
от 20.06.2018 N 139н

ОБОСНОВАНИЯ (РАСЧЕТЫ) ПЛАНОВЫХ СМЕТНЫХ ПОКАЗАТЕЛЕЙ НА ПРЕДОСТАВЛЕНИЕ СУБСИДИЙ ИЗ ФЕДЕРАЛЬНОГО БЮДЖЕТА БЮДЖЕТАМ СУБЪЕКТОВ РОССИЙСКОЙ ФЕДЕРАЦИИ НА СОФИНАНСИРОВАНИЕ РАСХОДНЫХ ОБЯЗАТЕЛЬСТВ СУБЪЕКТОВ РОССИЙСКОЙ ФЕДЕРАЦИИ, ВОЗНИКАЮЩИХ ПРИ РЕАЛИЗАЦИИ НАЦИОНАЛЬНОГО ПРОЕКТА "ДЕМОГРАФИЯ", НА РЕАЛИЗАЦИЮ РЕГИОНАЛЬНЫХ ПРОГРАММ ПО ФОРМИРОВАНИЮ ПРИВЕРЖЕННОСТИ ЗДОРОВОМУ ОБРАЗУ ЖИЗНИ С ПРИВЛЕЧЕНИЕМ СОЦИАЛЬНО ОРИЕНТИРОВАННЫХ НЕКОММЕРЧЕСКИХ ОРГАНИЗАЦИЙ И ВОЛОНТЕРСКИХ ДВИЖЕНИЙ НА 20__ ГОД И НА ПЛАНОВЫЙ ПЕРИОД 20__ И 20__ ГОДОВ

Коды
  Форма по ОКУД 0505832
  от "__" ________ 20__ г. Дата  
Получатель бюджетных средств   по Перечню (Реестру)  
Распорядитель средств федерального бюджета   по Перечню (Реестру)  
Главный распорядитель средств федерального бюджета   Глава по БК  
Раздел   по БК  
Подраздел   по БК  
Целевая статья   по БК  
Вид расходов   по БК  
Вид документа      
  (основной документ - код 01; изменения к документу - код 02)    
Единица измерения: руб по ОКЕИ 383

1. Расходы на предоставление субсидий

Наименование субсидии Сумма
на 20__ год
(на очередной финансовый год)
на 20__ год
(на первый год планового периода)
на 20__ год
(на второй год планового периода)
1 2 3 4
       

1.1 Аналитическое распределение по КОСГУ <1>

Наименование показателя Код по КОСГУ Сумма
на 20__ год
(на очередной финансовый год)
на 20__ год
(на первый год планового периода)
на 20__ год
(на второй год планового периода)
1 2 3 4 5
Расходы, всего -      
в том числе:        
перечисления другим бюджетам бюджетной системы Российской Федерации 251      

<1> Раздел заполняется в соответствии с Порядком применения классификации операций сектора государственного управления, утвержденным приказом Министерства финансов Российской Федерации от 29 ноября 2017 г. N 209н (зарегистрирован Министерством юстиции Российской Федерации 12 февраля 2018 г., регистрационный N 50003), с изменениями, внесенными приказами Министерства финансов Российской Федерации от 30 ноября 2018 г. N 246н (зарегистрирован Министерством юстиции Российской Федерации 26 декабря 2018 г., регистрационный N 53186), от 13 мая 2019 г. N 69н (зарегистрирован Министерством юстиции Российской Федерации 24 июля 2019 г., регистрационный N 55372).

2. Распределение общего объема субсидий между субъектами Российской Федерации <2>

Наименование субъекта Российской Федерации Код строки Объем предоставляемых субсидий
на 20__ год
(на очередной финансовый год)
на 20__ год
(на первый год планового периода)
на 20__ год
(на второй год планового периода)
1 2 3 4 5
  001      
  002      
         
Распределяемый объем 700      
Нераспределенный резерв 800      
Итого 900      

3. Расчет распределения общего объема субсидий на софинансирование расходных обязательств субъектов Российской Федерации между субъектами Российской Федерации <2>

3.1 Алгоритм расчета распределения общего объема субсидий на софинансирование расходных обязательств субъектов Российской Федерации между субъектами Российской Федерации в соответствии с правилами предоставления и распределения субсидий бюджетам субъектов Российской Федерации

 

Форма 0505832 с. 2

3.1.1 Показатели, применяемые для расчета распределения общего объема субсидий на софинансирование расходных обязательств субъектов Российской Федерации между субъектами Российской Федерации в соответствии с правилами предоставления и распределения субсидий бюджетам субъектов Российской Федерации

3.1.1.1 Показатели, применяемые для расчета распределения общего объема субсидий на софинансирование расходных обязательств субъектов Российской Федерации между субъектами Российской Федерации, в соответствии с правилами предоставления и распределения субсидий бюджетам субъектов Российской Федерации на 20__ год (на очередной финансовый год)

Наименование субъекта Российской Федерации Код строки Показатели по субъектам Российской Федерации Единые показатели для всех субъектов Российской Федерации Объем субсидии
()
численность населения в субъекте Российской Федерации, чел
()
корректирующий коэффициент
()
предельный уровень софинансирования расходного обязательства субъекта Российской Федерации
()
общая численность населения в субъектах Российской Федерации, являющихся получателями субсидии, чел
()
общий объем затрат, предусмотренный на предоставление субсидий
(S)
1 2 3 4 5 6 7 8
  001       x x  
  002        
           
           
Итого 900 x x x      

3.1.1.2 Показатели, применяемые для расчета распределения общего объема субсидий на софинансирование расходных обязательств субъектов Российской Федерации между субъектами Российской Федерации, в соответствии с правилами предоставления и распределения субсидий бюджетам субъектов Российской Федерации на 20__ год (на первый год планового периода)

Наименование субъекта Российской Федерации Код строки Показатели по субъектам Российской Федерации Единые показатели для всех субъектов Российской Федерации Объем субсидии
()
численность населения в субъекте Российской Федерации, чел
()
корректирующий коэффициент
()
предельный уровень софинансирования расходного обязательства субъекта Российской Федерации
()
общая численность населения в субъектах Российской Федерации, являющихся получателями субсидии, чел
()
общий объем затрат, предусмотренный на предоставление субсидий
(S)
1 2 3 4 5 6 7 8
  001       x x  
  002        
           
           
Итого 900 x x x      

3.1.1.3 Показатели, применяемые для расчета распределения общего объема субсидий на софинансирование расходных обязательств субъектов Российской Федерации между субъектами Российской Федерации, в соответствии с правилами предоставления и распределения субсидий бюджетам субъектов Российской Федерации на 20__ год (на второй год планового периода)

Наименование субъекта Российской Федерации Код строки Показатели по субъектам Российской Федерации Единые показатели для всех субъектов Российской Федерации Объем субсидии
()
численность населения в субъекте Российской Федерации, чел
()
корректирующий коэффициент
()
предельный уровень софинансирования расходного обязательства субъекта Российской Федерации
()
общая численность населения в субъектах Российской Федерации, являющихся получателями субсидии, чел
()
общий объем затрат, предусмотренный на предоставление субсидий
(S)
1 2 3 4 5 6 7 8
  001       x x  
  002        
           
           
Итого 900 x x x      

<2> Раздел заполняется одновременно с представлением главным распорядителем средств федерального бюджета расчетов распределения межбюджетных трансфертов бюджетам субъектов Российской Федерации в сроки, установленные графиком подготовки и рассмотрения проектов федеральных законов, документов и материалов, разрабатываемых при составлении проекта федерального бюджета и проектов бюджетов государственных внебюджетных фондов Российской Федерации на очередной финансовый год и плановый период.

4. Сведения о нормативных правовых (правовых) актах, устанавливающих правила предоставления субсидий из федерального бюджета бюджетам субъектов Российской Федерации и (или) их распределения между субъектами Российской Федерации

Нормативный правовой (правовой) акт
вид дата номер наименование статус предполагаемая дата изменения статуса <3>
1 2 3 4 5 6
           
           
           

<3> Для проектов нормативных правовых (правовых) актов указывается предполагаемый срок внесения в Правительство Российской Федерации (утверждения федеральным органом исполнительной власти); для действующих, подлежащих признанию утратившими силу (приостановлению) нормативных правовых (правовых) актов указывается дата прекращения (приостановления) их действия. В случае если срок действия нормативного правового (правового) акта не установлен, в данной графе ставится "01.01.2099".

Руководитель              
(уполномоченное лицо) (должность)   (подпись)   (расшифровка подписи)
               
Исполнитель              
  (должность)   (фамилия, инициалы)   (телефон)

"__" __________ 20__ г.

Приложение N 136
к приказу Министерства финансов
Российской Федерации
от 20.06.2018 N 139н

ОБОСНОВАНИЯ (РАСЧЕТЫ) ПЛАНОВЫХ СМЕТНЫХ ПОКАЗАТЕЛЕЙ НА ПРЕДОСТАВЛЕНИЕ СУБСИДИЙ ИЗ ФЕДЕРАЛЬНОГО БЮДЖЕТА БЮДЖЕТАМ СУБЪЕКТОВ РОССИЙСКОЙ ФЕДЕРАЦИИ НА СОФИНАНСИРОВАНИЕ РАСХОДНЫХ ОБЯЗАТЕЛЬСТВ СУБЪЕКТОВ РОССИЙСКОЙ ФЕДЕРАЦИИ, ВОЗНИКАЮЩИХ ПРИ РЕАЛИЗАЦИИ НАЦИОНАЛЬНОГО ПРОЕКТА "ДЕМОГРАФИЯ", НА ГОСУДАРСТВЕННУЮ ПОДДЕРЖКУ СПОРТИВНЫХ ОРГАНИЗАЦИЙ, ОСУЩЕСТВЛЯЮЩИХ ПОДГОТОВКУ СПОРТИВНОГО РЕЗЕРВА ДЛЯ СПОРТИВНЫХ СБОРНЫХ КОМАНД, В ТОМ ЧИСЛЕ СПОРТИВНЫХ СБОРНЫХ КОМАНД РОССИЙСКОЙ ФЕДЕРАЦИИ НА 20__ ГОД И НА ПЛАНОВЫЙ ПЕРИОД 20__ И 20__ ГОДОВ

Коды
  Форма по ОКУД 0505834
  от "__" ________ 20__ г. Дата  
Получатель бюджетных средств   по Перечню (Реестру)  
Распорядитель средств федерального бюджета   по Перечню (Реестру)  
Главный распорядитель средств федерального бюджета   Глава по БК  
Раздел   по БК  
Подраздел   по БК  
Целевая статья   по БК  
Вид расходов   по БК  
Вид документа      
  (основной документ - код 01; изменения к документу - код 02)    
Единица измерения: руб по ОКЕИ 383

1. Расходы на предоставление субсидий

Наименование субсидии Сумма
на 20__ год
(на очередной финансовый год)
на 20__ год
(на первый год планового периода)
на 20__ год
(на второй год планового периода)
1 2 3 4
       

1.1 Аналитическое распределение по КОСГУ <1>

Наименование показателя Код по КОСГУ Сумма
на 20__ год
(на очередной финансовый год)
на 20__ год
(на первый год планового периода)
на 20__ год
(на второй год планового периода)
1 2 3 4 5
Расходы, всего -      
в том числе:        
перечисления другим бюджетам бюджетной системы Российской Федерации 251      

<1> Раздел заполняется в соответствии с Порядком применения классификации операций сектора государственного управления, утвержденным приказом Министерства финансов Российской Федерации от 29 ноября 2017 г. N 209н (зарегистрирован Министерством юстиции Российской Федерации 12 февраля 2018 г., регистрационный N 50003), с изменениями, внесенными приказами Министерства финансов Российской Федерации от 30 ноября 2018 г. N 246н (зарегистрирован Министерством юстиции Российской Федерации 26 декабря 2018 г., регистрационный N 53186), от 13 мая 2019 г. N 69н (зарегистрирован Министерством юстиции Российской Федерации 24 июля 2019 г., регистрационный N 55372).

2. Распределение общего объема субсидий между субъектами Российской Федерации <2>

Наименование субъекта Российской Федерации Код строки Объем предоставляемых субсидий
на 20__ год
(на очередной финансовый год)
на 20__ год
(на первый год планового периода)
на 20__ год
(на второй год планового периода)
1 2 3 4 5
  001      
  002      
         
Распределяемый объем 700      
Нераспределенный резерв 800      
Итого 900      

3. Расчет распределения общего объема субсидий на софинансирование расходных обязательств субъектов Российской Федерации между субъектами Российской Федерации <2>

3.1 Алгоритм расчета распределения общего объема субсидий на софинансирование расходных обязательств субъектов Российской Федерации между субъектами Российской Федерации в соответствии с правилами предоставления и распределения субсидий бюджетам субъектов Российской Федерации

 

Форма 0505834 с. 2

3.1.1. Показатели, применяемые для расчета распределения общего объема субсидий на софинансирование расходных обязательств субъектов Российской Федерации между субъектами Российской Федерации, в соответствии с правилами предоставления и распределения субсидий бюджетам субъектов Российской Федерации

3.1.1.1 Показатели, применяемые для расчета распределения общего объема субсидий на софинансирование расходных обязательств субъектов Российской Федерации между субъектами Российской Федерации, в соответствии с правилами предоставления и распределения субсидий бюджетам субъектов Российской Федерации на 20__ год (на очередной финансовый год)

Наименование субъекта Российской Федерации Код строки Показатели по субъектам Российской Федерации Единые показатели для всех субъектов Российской Федерации Объем субсидии
()
количество организаций ведомственной принадлежности органов управления в сфере физической культуры и спорта субъекта Российской Федерации, ед
()
предельный уровень софинансирования расходного обязательства субъекта Российской Федерации, % () коэффициент вклада в подготовку спортивного резерва для спортивных сборных команд Российской Федерации по базовым видам спорта
()
региональный коэффициент
()
коэффициент финансового обеспечения
()
общий объем затрат, предусмотренный на предоставление субсидий ()
1 2 3 4 5 6 7 8 9 10
  001           x x  
  002            
               
               
Итого 900 x x x x x      

3.1.1.2 Показатели, применяемые для расчета распределения общего объема субсидий на софинансирование расходных обязательств субъектов Российской Федерации между субъектами Российской Федерации, в соответствии с правилами предоставления и распределения субсидий бюджетам субъектов Российской Федерации на 20__ год (на первый год планового периода)

Наименование субъекта Российской Федерации Код строки Показатели по субъектам Российской Федерации Единые показатели для всех субъектов Российской Федерации Объем субсидии
()
количество организаций ведомственной принадлежности органов управления в сфере физической культуры и спорта субъекта Российской Федерации, ед
()
предельный уровень софинансирования расходного обязательства субъекта Российской Федерации, % () коэффициент вклада в подготовку спортивного резерва для спортивных сборных команд Российской Федерации по базовым видам спорта
()
региональный коэффициент
()
коэффициент финансового обеспечения
()
общий объем затрат, предусмотренный на предоставление субсидий ()
1 2 3 4 5 6 7 8 9 10
  001           x x  
  002            
               
               
Итого 900 x x x x x      

3.1.1.3 Показатели, применяемые для расчета распределения общего объема субсидий на софинансирование расходных обязательств субъектов Российской Федерации между субъектами Российской Федерации, в соответствии с правилами предоставления и распределения субсидий бюджетам субъектов Российской Федерации на 20__ год (на второй год планового периода)

Наименование субъекта Российской Федерации Код строки Показатели по субъектам Российской Федерации Единые показатели для всех субъектов Российской Федерации Объем субсидии
()
количество организаций ведомственной принадлежности органов управления в сфере физической культуры и спорта субъекта Российской Федерации, ед
()
предельный уровень софинансирования расходного обязательства субъекта Российской Федерации, % () коэффициент вклада в подготовку спортивного резерва для спортивных сборных команд Российской Федерации по базовым видам спорта
()
региональный коэффициент
()
коэффициент финансового обеспечения
()
общий объем затрат, предусмотренный на предоставление субсидий ()
1 2 3 4 5 6 7 8 9 10
  001           x x  
  002            
               
               
Итого 900 x x x x x      

<2> Раздел заполняется одновременно с представлением главным распорядителем средств федерального бюджета расчетов распределения межбюджетных трансфертов бюджетам субъектов Российской Федерации в сроки, установленные графиком подготовки и рассмотрения проектов федеральных законов, документов и материалов, разрабатываемых при составлении проекта федерального бюджета и проектов бюджетов государственных внебюджетных фондов Российской Федерации на очередной финансовый год и плановый период.

4. Сведения о нормативных правовых (правовых) актах, устанавливающих правила предоставления субсидий из федерального бюджета бюджетам субъектов Российской Федерации и (или) их распределения между субъектами Российской Федерации

Нормативный правовой (правовой) акт
вид дата номер наименование статус предполагаемая дата изменения статуса <3>
1 2 3 4 5 6
           
           
           

<3> Для проектов нормативных правовых (правовых) актов указывается предполагаемый срок внесения в Правительство Российской Федерации (утверждения федеральным органом исполнительной власти); для действующих, подлежащих признанию утратившими силу (приостановлению) нормативных правовых (правовых) актов указывается дата прекращения (приостановления) их действия. В случае если срок действия нормативного правового (правового) акта не установлен, в данной графе ставится "01.01.2099".

Руководитель              
(уполномоченное лицо) (должность)   (подпись)   (расшифровка подписи)
               
Исполнитель              
  (должность)   (фамилия, инициалы)   (телефон)

"__" __________ 20__ г.

Приложение N 137
к приказу Министерства финансов
Российской Федерации
от 20.06.2018 N 139н

ОБОСНОВАНИЯ (РАСЧЕТЫ) ПЛАНОВЫХ СМЕТНЫХ ПОКАЗАТЕЛЕЙ НА ПРЕДОСТАВЛЕНИЕ СУБСИДИЙ ИЗ ФЕДЕРАЛЬНОГО БЮДЖЕТА БЮДЖЕТАМ СУБЪЕКТОВ РОССИЙСКОЙ ФЕДЕРАЦИИ НА СОФИНАНСИРОВАНИЕ РАСХОДНЫХ ОБЯЗАТЕЛЬСТВ СУБЪЕКТОВ РОССИЙСКОЙ ФЕДЕРАЦИИ, ВОЗНИКАЮЩИХ ПРИ РЕАЛИЗАЦИИ НАЦИОНАЛЬНОГО ПРОЕКТА "ДЕМОГРАФИЯ", НА ОСНАЩЕНИЕ ОБЪЕКТОВ СПОРТИВНОЙ ИНФРАСТРУКТУРЫ СПОРТИВНО-ТЕХНОЛОГИЧЕСКИМ ОБОРУДОВАНИЕМ НА 20__ ГОД И НА ПЛАНОВЫЙ ПЕРИОД 20__ И 20__ ГОДОВ

Коды
  Форма по ОКУД 0505835
  от "__" ________ 20__ г. Дата  
Получатель бюджетных средств   по Перечню (Реестру)  
Распорядитель средств федерального бюджета   по Перечню (Реестру)  
Главный распорядитель средств федерального бюджета   Глава по БК  
Раздел   по БК  
Подраздел   по БК  
Целевая статья   по БК  
Вид расходов   по БК  
Вид документа      
  (основной документ - код 01; изменения к документу - код 02)    
Единица измерения: руб по ОКЕИ 383

1. Расходы на предоставление субсидий

Наименование субсидии Сумма
на 20__ год
(на очередной финансовый год)
на 20__ год
(на первый год планового периода)
на 20__ год
(на второй год планового периода)
1 2 3 4
       

1.1 Аналитическое распределение по КОСГУ <1>

Наименование показателя Код по КОСГУ Сумма
на 20__ год
(на очередной финансовый год)
на 20__ год
(на первый год планового периода)
на 20__ год
(на второй год планового периода)
1 2 3 4 5
Расходы, всего -      
в том числе:        
перечисления другим бюджетам бюджетной системы Российской Федерации 251      

<1> Раздел заполняется в соответствии с Порядком применения классификации операций сектора государственного управления, утвержденным приказом Министерства финансов Российской Федерации от 29 ноября 2017 г. N 209н (зарегистрирован Министерством юстиции Российской Федерации 12 февраля 2018 г., регистрационный N 50003), с изменениями, внесенными приказами Министерства финансов Российской Федерации от 30 ноября 2018 г. N 246н (зарегистрирован Министерством юстиции Российской Федерации 26 декабря 2018 г., регистрационный N 53186), от 13 мая 2019 г. N 69н (зарегистрирован Министерством юстиции Российской Федерации 24 июля 2019 г., регистрационный N 55372).

2. Распределение общего объема субсидий между субъектами Российской Федерации <2>

Наименование субъекта Российской Федерации Код строки Объем предоставляемых субсидий
на 20__ год
(на очередной финансовый год)
на 20__ год
(на первый год планового периода)
на 20__ год
(на второй год планового периода)
1 2 3 4 5
  001      
  002      
         
Распределяемый объем 700      
Нераспределенный резерв 800      
Итого 900      

3. Расчет распределения общего объема субсидий на софинансирование расходных обязательств субъектов Российской Федерации между субъектами Российской Федерации <2>

3.1 Алгоритм расчета распределения общего объема субсидий на софинансирование расходных обязательств субъектов Российской Федерации между субъектами Российской Федерации в соответствии с правилами предоставления и распределения субсидий бюджетам субъектов Российской Федерации

 

Форма 0505835 с. 2

3.1.1 Показатели, применяемые для расчета распределения общего объема субсидий на софинансирование расходных обязательств субъектов Российской Федерации между субъектами Российской Федерации, в соответствии с правилами предоставления и распределения субсидий бюджетам субъектов Российской Федерации

3.1.1.1 Показатели, применяемые для расчета распределения общего объема субсидий на софинансирование расходных обязательств субъектов Российской Федерации между субъектами Российской Федерации, в соответствии с правилами предоставления и распределения субсидий бюджетам субъектов Российской Федерации на 20__ год (на очередной финансовый год)

Наименование субъекта Российской Федерации Код строки Показатели по субъектам Российской Федерации Единые показатели для всех субъектов Российской Федерации Объем субсидии
()
количество муниципальных районов в субъекте Российской Федерации
()
предельный уровень софинансирования расходного обязательства субъекта Российской Федерации
()
объем затрат, предусмотренный на закупку и монтаж спортивно-технологического оборудования для создания малых спортивных площадок, монтируемых на открытых площадках или в закрытых помещениях () заявленное субъектом Российской Федерации количество физкультурно-оздоровительных комплексов открытого типа
()
объем затрат, предусмотренный на закупку и монтаж спортивно-технологического оборудования для создания или модернизации физкультурно-оздоровительных комплексов открытого типа и (или) физкультурно-оздоровительных комплексов для центров развития внешкольного спорта
()
объем затрат, предусмотренный на закупку и монтаж спортивно-технологического оборудования для создания или модернизации физкультурно-оздоровительных комплексов открытого типа и (или) физкультурно-оздоровительных комплексов для центров развития внешкольного спорта
()
(не более 25 млн руб на 1 физкультурно-оздоровительный комплекс открытого типа)
объем затрат, предусмотренный на предоставление субсидий на закупку и монтаж спортивно-технологического оборудования для создания или модернизации футбольных полей с искусственным покрытием () объем затрат, предусмотренный на закупку и монтаж спортивно-технологического оборудования для создания или модернизации футбольных полей с искусственным покрытием
()
(не более 40 млн руб на одно футбольное поле)
объем затрат, предусмотренный на предоставление субсидий в части закупки и монтажа спортивно-технологического оборудования для создания малых спортивных площадок, монтируемых на открытых площадках или в закрытых помещениях (СБ1) объем затрат, предусмотренный на предоставление субсидий в части закупки и монтажа спортивно-технологического оборудования для создания или модернизации физкультурно-оздоровительных комплексов открытого типа и (или) физкультурно-оздоровительных комплексов для центров развития внешкольного спорта
(V)
объем затрат, предусмотренный на предоставление субсидий в части закупки и монтажа спортивно-технологического оборудования для создания или модернизации футбольных полей с искусственным покрытием
(СБ3)
1 2 3 4 5 6 7 8 9 10 11 12 13 14 15 16 17
  001                 x x x x x x  
  002                  
                     
                     
Итого 900 x x x x x x x x              

3.1.1.2 Показатели, применяемые для расчета распределения общего объема субсидий на софинансирование расходных обязательств субъектов Российской Федерации между субъектами Российской Федерации, в соответствии с правилами предоставления и распределения субсидий бюджетам субъектов Российской Федерации на 20__ год (на первый год планового периода)

Наименование субъекта Российской Федерации Код строки Показатели по субъектам Российской Федерации Единые показатели для всех субъектов Российской Федерации Объем субсидии
()
количество муниципальных районов в субъекте Российской Федерации
()
предельный уровень софинансирования расходного обязательства субъекта Российской Федерации
()
объем затрат, предусмотренный на закупку и монтаж спортивно-технологического оборудования для создания малых спортивных площадок, монтируемых на открытых площадках или в закрытых помещениях () заявленное субъектом Российской Федерации количество физкультурно-оздоровительных комплексов открытого типа
()
объем затрат, предусмотренный на закупку и монтаж спортивно-технологического оборудования для создания или модернизации физкультурно-оздоровительных комплексов открытого типа и (или) физкультурно-оздоровительных комплексов для центров развития внешкольного спорта
()
объем затрат, предусмотренный на закупку и монтаж спортивно-технологического оборудования для создания или модернизации физкультурно-оздоровительных комплексов открытого типа и (или) физкультурно-оздоровительных комплексов для центров развития внешкольного спорта
()
(не более 25 млн руб на 1 физкультурно-оздоровительный комплекс открытого типа)
объем затрат, предусмотренный на предоставление субсидий на закупку и монтаж спортивно-технологического оборудования для создания или модернизации футбольных полей с искусственным покрытием () объем затрат, предусмотренный на закупку и монтаж спортивно-технологического оборудования для создания или модернизации футбольных полей с искусственным покрытием
()
(не более 40 млн руб на одно футбольное поле)
объем затрат, предусмотренный на предоставление субсидий в части закупки и монтажа спортивно-технологического оборудования для создания малых спортивных площадок, монтируемых на открытых площадках или в закрытых помещениях (СБ1) объем затрат, предусмотренный на предоставление субсидий в части закупки и монтажа спортивно-технологического оборудования для создания или модернизации физкультурно-оздоровительных комплексов открытого типа и (или) физкультурно-оздоровительных комплексов для центров развития внешкольного спорта
(V)
объем затрат, предусмотренный на предоставление субсидий в части закупки и монтажа спортивно-технологического оборудования для создания или модернизации футбольных полей с искусственным покрытием
(СБ3)
1 2 3 4 5 6 7 8 9 10 11 12 13 14 15 16 17
  001                 x x x x x x  
  002                  
                     
                     
Итого 900 x x x x x x x x              

Форма 0505835 с. 3

3.1.1.3 Показатели, применяемые для расчета распределения общего объема субсидий на софинансирование расходных обязательств субъектов Российской Федерации между субъектами Российской Федерации, в соответствии с правилами предоставления и распределения субсидий бюджетам субъектов Российской Федерации на 20__ год (на второй год планового периода)

Наименование субъекта Российской Федерации Код строки Показатели по субъектам Российской Федерации Единые показатели для всех субъектов Российской Федерации Объем субсидии
()
количество муниципальных районов в субъекте Российской Федерации
()
предельный уровень софинансирования расходного обязательства субъекта Российской Федерации
()
объем затрат, предусмотренный на закупку и монтаж спортивно-технологического оборудования для создания малых спортивных площадок, монтируемых на открытых площадках или в закрытых помещениях () заявленное субъектом Российской Федерации количество физкультурно-оздоровительных комплексов открытого типа
()
объем затрат, предусмотренный на закупку и монтаж спортивно-технологического оборудования для создания или модернизации физкультурно-оздоровительных комплексов открытого типа и (или) физкультурно-оздоровительных комплексов для центров развития внешкольного спорта
()
объем затрат, предусмотренный на закупку и монтаж спортивно-технологического оборудования для создания или модернизации физкультурно-оздоровительных комплексов открытого типа и (или) физкультурно-оздоровительных комплексов для центров развития внешкольного спорта
()
(не более 25 млн руб на 1 физкультурно-оздоровительный комплекс открытого типа)
объем затрат, предусмотренный на предоставление субсидий на закупку и монтаж спортивно-технологического оборудования для создания или модернизации футбольных полей с искусственным покрытием () объем затрат, предусмотренный на закупку и монтаж спортивно-технологического оборудования для создания или модернизации футбольных полей с искусственным покрытием
()
(не более 40 млн руб на одно футбольное поле)
объем затрат, предусмотренный на предоставление субсидий в части закупки и монтажа спортивно-технологического оборудования для создания малых спортивных площадок, монтируемых на открытых площадках или в закрытых помещениях (СБ1) объем затрат, предусмотренный на предоставление субсидий в части закупки и монтажа спортивно-технологического оборудования для создания или модернизации физкультурно-оздоровительных комплексов открытого типа и (или) физкультурно-оздоровительных комплексов для центров развития внешкольного спорта
(V)
объем затрат, предусмотренный на предоставление субсидий в части закупки и монтажа спортивно-технологического оборудования для создания или модернизации футбольных полей с искусственным покрытием
(СБ3)
1 2 3 4 5 6 7 8 9 10 11 12 13 14 15 16 17
  001                 x x x x x x  
  002                  
                     
                     
Итого 900 x x x x x x x x              

<2> Раздел заполняется одновременно с представлением главным распорядителем средств федерального бюджета расчетов распределения межбюджетных трансфертов бюджетам субъектов Российской Федерации в сроки, установленные графиком подготовки и рассмотрения проектов федеральных законов, документов и материалов, разрабатываемых при составлении проекта федерального бюджета и проектов бюджетов государственных внебюджетных фондов Российской Федерации на очередной финансовый год и плановый период.

4. Сведения о нормативных правовых (правовых) актах, устанавливающих правила предоставления субсидий из федерального бюджета бюджетам субъектов Российской Федерации и (или) их распределения между субъектами Российской Федерации

Нормативный правовой (правовой) акт
вид дата номер наименование статус предполагаемая дата изменения статуса <3>
1 2 3 4 5 6
           
           
           

<3> Для проектов нормативных правовых (правовых) актов указывается предполагаемый срок внесения в Правительство Российской Федерации (утверждения федеральным органом исполнительной власти); для действующих, подлежащих признанию утратившими силу (приостановлению) нормативных правовых (правовых) актов указывается дата прекращения (приостановления) их действия. В случае если срок действия нормативного правового (правового) акта не установлен, в данной графе ставится "01.01.2099".

Руководитель              
(уполномоченное лицо) (должность)   (подпись)   (расшифровка подписи)
               
Исполнитель              
  (должность)   (фамилия, инициалы)   (телефон)

"__" __________ 20__ г.

Приложение N 138
к приказу Министерства финансов
Российской Федерации
от 20.06.2018 N 139н

ОБОСНОВАНИЯ (РАСЧЕТЫ) ПЛАНОВЫХ СМЕТНЫХ ПОКАЗАТЕЛЕЙ НА ПРЕДОСТАВЛЕНИЕ СУБСИДИЙ ИЗ ФЕДЕРАЛЬНОГО БЮДЖЕТА БЮДЖЕТАМ СУБЪЕКТОВ РОССИЙСКОЙ ФЕДЕРАЦИИ НА СОФИНАНСИРОВАНИЕ РАСХОДНЫХ ОБЯЗАТЕЛЬСТВ СУБЪЕКТОВ РОССИЙСКОЙ ФЕДЕРАЦИИ, ВОЗНИКАЮЩИХ ПРИ РЕАЛИЗАЦИИ НАЦИОНАЛЬНОГО ПРОЕКТА "ДЕМОГРАФИЯ", НА ПРИОБРЕТЕНИЕ СПОРТИВНОГО ОБОРУДОВАНИЯ И ИНВЕНТАРЯ ДЛЯ ПРИВЕДЕНИЯ ОРГАНИЗАЦИЙ СПОРТИВНОЙ ПОДГОТОВКИ В НОРМАТИВНОЕ СОСТОЯНИЕ НА 20__ ГОД И НА ПЛАНОВЫЙ ПЕРИОД 20__ И 20__ ГОДОВ

Коды
  Форма по ОКУД 0505836
  от "__" ________ 20__ г. Дата  
Получатель бюджетных средств   по Перечню (Реестру)  
Распорядитель средств федерального бюджета   по Перечню (Реестру)  
Главный распорядитель средств федерального бюджета   Глава по БК  
Раздел   по БК  
Подраздел   по БК  
Целевая статья   по БК  
Вид расходов   по БК  
Вид документа      
  (основной документ - код 01; изменения к документу - код 02)    
Единица измерения: руб по ОКЕИ 383

1. Расходы на предоставление субсидий

Наименование субсидии Сумма
на 20__ год
(на очередной финансовый год)
на 20__ год
(на первый год планового периода)
на 20__ год
(на второй год планового периода)
1 2 3 4
       

1.1 Аналитическое распределение по КОСГУ <1>

Наименование показателя Код по КОСГУ Сумма
на 20__ год
(на очередной финансовый год)
на 20__ год
(на первый год планового периода)
на 20__ год
(на второй год планового периода)
1 2 3 4 5
Расходы, всего -      
в том числе:        
перечисления другим бюджетам бюджетной системы Российской Федерации 251      

<1> Раздел заполняется в соответствии с Порядком применения классификации операций сектора государственного управления, утвержденным приказом Министерства финансов Российской Федерации от 29 ноября 2017 г. N 209н (зарегистрирован Министерством юстиции Российской Федерации 12 февраля 2018 г., регистрационный N 50003), с изменениями, внесенными приказами Министерства финансов Российской Федерации от 10 ноября 2018 г. N 246н (зарегистрирован Министерством юстиции Российской Федерации 26 декабря 2018 г., регистрационный N 53186), от 13 мая 2019 г. N 69н (зарегистрирован Министерством юстиции Российской Федерации 24 июля 2019 г., регистрационный N 55372).

2. Распределение общего объема субсидий между субъектами Российской Федерации <2>

Наименование субъекта Российской Федерации Код строки Объем предоставляемых субсидий
на 20__ год
(на очередной финансовый год)
на 20__ год
(на первый год планового периода)
на 20__ год
(на второй год планового периода)
1 2 3 4 5
  001      
  002      
         
Распределяемый объем 700      
Нераспределенный резерв 800      
Итого 900      

3. Расчет распределения общего объема субсидий на софинансирование расходных обязательств субъектов Российской Федерации между субъектами Российской Федерации <2>

3.1 Алгоритм расчета распределения общего объема субсидий на софинансирование расходных обязательств субъектов Российской Федерации между субъектами Российской Федерации в соответствии с правилами предоставления и распределения субсидий бюджетам субъектов Российской Федерации

 

Форма 0505836 с. 2

3.1.1 Показатели, применяемые для расчета распределения общего объема субсидий на софинансирование расходных обязательств субъектов Российской Федерации между субъектами Российской Федерации, в соответствии с правилами предоставления и распределения субсидий бюджетам субъектов Российской Федерации

3.1.1.1 Показатели, применяемые для расчета распределения общего объема субсидий на софинансирование расходных обязательств субъектов Российской Федерации между субъектами Российской Федерации, в соответствии с правилами предоставления и распределения субсидий бюджетам субъектов Российской Федерации на 20__ год (на очередной финансовый год)

Наименование субъекта Российской Федерации Код строки Показатели по субъектам Российской Федерации Единые показатели для всех субъектов Российской Федерации Объем субсидии ()
фактический уровень финансового обеспечения спортивных школ олимпийского резерва в субъекте Российской Федерации
()
уровень финансового обеспечения спортивных школ олимпийского резерва в субъекте Российской Федерации в соответствии с требованиями федеральных стандартов спортивной подготовки
()
уровень обеспеченности спортивных школ олимпийского резерва в субъекте Российской Федерации () предельный уровень софинансирования расходного обязательства субъекта Российской Федерации
()
расчетный размер затрат, предусмотренных на предоставление субсидий с учетом уровня обеспеченности спортивных школ олимпийского резерва в субъекте Российской Федерации
()
количество спортивных школ олимпийского резерва в субъекте Российской Федерации, ед
()
минимальный размер затрат, предусмотренных на предоставление субсидий с учетом количества спортивных школ олимпийского резерва в субъекте Российской Федерации () объем затрат, предусмотренный на предоставление субсидий на развитие материально-технической базы спортивных школ олимпийского резерва
()
объем затрат, предусмотренный на предоставление субсидий на развитие материально-технической базы спортивных школ олимпийского резерва с учетом корректировки
()
(не более 9 млн руб на 1 спортивную школу олимпийского резерва)
объем затрат, предусмотренный на предоставление субсидий на совершенствование спортивной подготовки по хоккею () объем затрат, предусмотренный на предоставление субсидий на совершенствование спортивной подготовки по хоккею с учетом корректировки ()
(не более 25 млн руб.)
общий объем затрат, предусмотренный на предоставление субсидий на совершенствование спортивной подготовки по хоккею () общий объем затрат, предусмотренный на предоставление субсидий на развитие материально-технической базы спортивных школ олимпийского резерва
()
минимальный размер субсидии бюджету субъекта Российской Федерации
()

если
,
то
;
если
,
то
1 2 3 4 5 6 7 8 9 10 11 12 13 14 15 16 17 18
  001                       x x x x  
  002                        
                           
                           
Итого 900 x x x   x x x x x x x          

3.1.1.2 Показатели, применяемые для расчета распределения общего объема субсидий на софинансирование расходных обязательств субъектов Российской Федерации между субъектами Российской Федерации, в соответствии с правилами предоставлении и распределения субсидий бюджетам субъектов Российской Федерации на 20__ год (на первый год планового периода)

Наименование субъекта Российской Федерации Код строки Показатели по субъектам Российской Федерации Единые показатели для всех субъектов Российской Федерации Объем субсидии ()
фактический уровень финансового обеспечения спортивных школ олимпийского резерва в субъекте Российской Федерации
()
уровень финансового обеспечения спортивных школ олимпийского резерва в субъекте Российской Федерации в соответствии с требованиями федеральных стандартов спортивной подготовки
()
уровень обеспеченности спортивных школ олимпийского резерва в субъекте Российской Федерации () предельный уровень софинансирования расходного обязательства субъекта Российской Федерации
()
расчетный размер затрат, предусмотренных на предоставление субсидий с учетом уровня обеспеченности спортивных школ олимпийского резерва в субъекте Российской Федерации
()
количество спортивных школ олимпийского резерва в субъекте Российской Федерации, ед
()
минимальный размер затрат, предусмотренных на предоставление субсидий с учетом количества спортивных школ олимпийского резерва в субъекте Российской Федерации () объем затрат, предусмотренный на предоставление субсидий на развитие материально-технической базы спортивных школ олимпийского резерва
()
объем затрат, предусмотренный на предоставление субсидий на развитие материально-технической базы спортивных школ олимпийского резерва с учетом корректировки
()
(не более 9 млн руб на 1 спортивную школу олимпийского резерва)
объем затрат, предусмотренный на предоставление субсидий на совершенствование спортивной подготовки по хоккею () объем затрат, предусмотренный на предоставление субсидий на совершенствование спортивной подготовки по хоккею с учетом корректировки ()
(не более 25 млн руб.)
общий объем затрат, предусмотренный на предоставление субсидий на совершенствование спортивной подготовки по хоккею () общий объем затрат, предусмотренный на предоставление субсидий на развитие материально-технической базы спортивных школ олимпийского резерва
()
минимальный размер субсидии бюджету субъекта Российской Федерации
()

если
,
то
;
если
,
то
1 2 3 4 5 6 7 8 9 10 11 12 13 14 15 16 17 18
  001                       x x x x  
  002                        
                           
                           
Итого 900 x x x   x x x x x x x          

3.1.1.3 Показатели, применяемые для расчета распределения общего объема субсидий на софинансирование расходных обязательств субъектов Российской Федерации между субъектами Российской Федерации, в соответствии с правилами предоставления и распределения субсидий бюджетам субъектов Российской Федерации на 20__ год (на второй год планового периода)

Наименование субъекта Российской Федерации Код строки Показатели по субъектам Российской Федерации Единые показатели для всех субъектов Российской Федерации Объем субсидии ()
фактический уровень финансового обеспечения спортивных школ олимпийского резерва в субъекте Российской Федерации
()
уровень финансового обеспечения спортивных школ олимпийского резерва в субъекте Российской Федерации в соответствии с требованиями федеральных стандартов спортивной подготовки
()
уровень обеспеченности спортивных школ олимпийского резерва в субъекте Российской Федерации () предельный уровень софинансирования расходного обязательства субъекта Российской Федерации
()
расчетный размер затрат, предусмотренных на предоставление субсидий с учетом уровня обеспеченности спортивных школ олимпийского резерва в субъекте Российской Федерации
()
количество спортивных школ олимпийского резерва в субъекте Российской Федерации, ед
()
минимальный размер затрат, предусмотренных на предоставление субсидий с учетом количества спортивных школ олимпийского резерва в субъекте Российской Федерации () объем затрат, предусмотренный на предоставление субсидий на развитие материально-технической базы спортивных школ олимпийского резерва
()
объем затрат, предусмотренный на предоставление субсидий на развитие материально-технической базы спортивных школ олимпийского резерва с учетом корректировки
()
(не более 9 млн руб на 1 спортивную школу олимпийского резерва)
объем затрат, предусмотренный на предоставление субсидий на совершенствование спортивной подготовки по хоккею () объем затрат, предусмотренный на предоставление субсидий на совершенствование спортивной подготовки по хоккею с учетом корректировки ()
(не более 25 млн руб.)
общий объем затрат, предусмотренный на предоставление субсидий на совершенствование спортивной подготовки по хоккею () общий объем затрат, предусмотренный на предоставление субсидий на развитие материально-технической базы спортивных школ олимпийского резерва
()
минимальный размер субсидии бюджету субъекта Российской Федерации
()

если
,
то
;
если
,
то
1 2 3 4 5 6 7 8 9 10 11 12 13 14 15 16 17 18
  001                       x x x x  
  002                        
                           
                           
Итого 900 x x x   x x x x x x x          

<2> Раздел заполняется одновременно с представлением главным распорядителем средств федерального бюджета расчетов распределения межбюджетных трансфертов бюджетам субъектов Российской Федерации в сроки, установленные графиком подготовки и рассмотрения проектов федеральных законов, документов и материалов, разрабатываемых при составлении проекта федерального бюджета и проектов бюджетов государственных внебюджетных фондов Российской Федерации на очередной финансовый год и плановый период.

Форма 0505836 с. 3

4. Сведения о нормативных правовых (правовых) актах, устанавливающих правила предоставления субсидий из федерального бюджета бюджетам субъектов Российской Федерации и (или) их распределения между субъектами Российской Федерации

Нормативный правовой (правовой) акт
вид дата номер наименование статус предполагаемая дата изменения статуса <3>
1 2 3 4 5 6
           
           
           

<3> Для проектов нормативных правовых (правовых) актов указывается предполагаемый срок внесения в Правительство Российской Федерации (утверждения федеральным органом исполнительной власти); для действующих, подлежащих признанию утратившими силу (приостановлению) нормативных правовых (правовых) актов указывается дата прекращения (приостановления) их действия. В случае если срок действия нормативного правового (правового) акта не установлен, в данной графе ставится "01.01.2099".

Руководитель              
(уполномоченное лицо) (должность)   (подпись)   (расшифровка подписи)
               
Исполнитель              
  (должность)   (фамилия, инициалы)   (телефон)

"__" __________ 20__ г.

Приложение N 139
к приказу Министерства финансов
Российской Федерации
от 20.06.2018 N 139н

ОБОСНОВАНИЯ (РАСЧЕТЫ) ПЛАНОВЫХ СМЕТНЫХ ПОКАЗАТЕЛЕЙ НА ПРЕДОСТАВЛЕНИЕ СУБСИДИЙ ИЗ ФЕДЕРАЛЬНОГО БЮДЖЕТА БЮДЖЕТАМ СУБЪЕКТОВ РОССИЙСКОЙ ФЕДЕРАЦИИ НА СОФИНАНСИРОВАНИЕ РАСХОДНЫХ ОБЯЗАТЕЛЬСТВ СУБЪЕКТОВ РОССИЙСКОЙ ФЕДЕРАЦИИ, ВОЗНИКАЮЩИХ ПРИ РЕАЛИЗАЦИИ НАЦИОНАЛЬНОГО ПРОЕКТА "МЕЖДУНАРОДНАЯ КООПЕРАЦИЯ И ЭКСПОРТ", НА ГОСУДАРСТВЕННУЮ ПОДДЕРЖКУ АККРЕДИТАЦИИ ВЕТЕРИНАРНЫХ ЛАБОРАТОРИЙ В НАЦИОНАЛЬНОЙ СИСТЕМЕ АККРЕДИТАЦИИ НА 20__ ГОД И НА ПЛАНОВЫЙ ПЕРИОД 20__ И 20__ ГОДОВ

Коды
  Форма по ОКУД 0505837
  от "__" ________ 20__ г. Дата  
Получатель бюджетных средств   по Перечню (Реестру)  
Распорядитель средств федерального бюджета   по Перечню (Реестру)  
Главный распорядитель средств федерального бюджета   Глава по БК  
Раздел   по БК  
Подраздел   по БК  
Целевая статья   по БК  
Вид расходов   по БК  
Вид документа      
  (основной документ - код 01; изменения к документу - код 02)    
Единица измерения: руб по ОКЕИ 383

1. Расходы на предоставление субсидий

Наименование субсидии Сумма
на 20__ год
(на очередной финансовый год)
на 20__ год
(на первый год планового периода)
на 20__ год
(на второй год планового периода)
1 2 3 4
       

1.1 Аналитическое распределение по КОСГУ <1>

Наименование показателя Код по КОСГУ Сумма
на 20__ год
(на очередной финансовый год)
на 20__ год
(на первый год планового периода)
на 20__ год
(на второй год планового периода)
1 2 3 4 5
Расходы, всего -      
в том числе:        
перечисления другим бюджетам бюджетной системы Российской Федерации 251      

<1> Раздел заполняется в соответствии с Порядком применения классификации операций сектора государственного управления, утвержденным приказом Министерства финансов Российской Федерации от 29 ноября 2017 г. N 209н (зарегистрирован Министерством юстиции Российской Федерации 12 февраля 2018 г., регистрационный N 50003), с изменениями, внесенными приказами Министерства финансов Российской Федерации от 30 ноября 2018 г. N 246н (зарегистрирован Министерством юстиции Российской Федерации 26 декабря 2018 г., регистрационный N 53186), от 13 мая 2019 г. N 69н (зарегистрирован Министерством юстиции Российской Федерации 24 июля 2019 г., регистрационный N 55372).

2. Распределение общего объема субсидий между субъектами Российской Федерации <2>

Наименование субъекта Российской Федерации Код строки Объем предоставляемых субсидий
на 20__ год
(на очередной финансовый год)
на 20__ год
(на первый год планового периода)
на 20__ год
(на второй год планового периода)
1 2 3 4 5
  001      
  002      
         
Распределяемый объем 700      
Нераспределенный резерв 800      
Итого 900      

3. Расчет распределения общего объема субсидий на софинансирование расходных обязательств субъектов Российской Федерации между субъектами Российской Федерации <2>

3.1 Алгоритм расчета распределения общего объема субсидий на софинансирование расходных обязательств субъектов Российской Федерации между субъектами Российской Федерации в соответствии с правилами предоставления и распределения субсидий бюджетам субъектов Российской Федерации

 

Форма 0505837 с. 2

3.1.1 Показатели, применяемые для расчета распределения общего объема субсидий на софинансирование расходных обязательств субъектов Российской Федерации между субъектами Российской Федерации, в соответствии с правилами предоставления и распределения субсидий бюджетам субъектов Российской Федерации

3.1.1.1 Показатели, применяемые для расчета распределения общего объема субсидий на софинансирование расходных обязательств субъектов Российской Федерации между субъектами Российской Федерации, в соответствии с правилами предоставления и распределения субсидий бюджетам субъектов Российской Федерации на 20__ год (на очередной финансовый год)

Наименование субъекта Российской Федерации Код строки Показатели по субъектам Российской Федерации Единые показатели для всех субъектов Российской Федерации Объем субсидии
()
количество ветеринарных лабораторий на территории субъекта Российской Федерации, ед
()
предельный уровень софинансирования расходного обязательства субъекта Российской Федерации, %
()
общий объем затрат, предусмотренный на предоставление субсидий
(W)
1 2 3 4 5 6 7
  001     x x  
  002      
         
         
Итого 900          

3.1.1.2 Показатели, применяемые для расчета распределения общего объема субсидий на софинансирование расходных обязательств субъектов Российской Федерации между субъектами Российской Федерации, в соответствии с правилами предоставления и распределения субсидий бюджетам субъектов Российской Федерации на 20__ год (на первый год планового периода)

Наименование субъекта Российской Федерации Код строки Показатели по субъектам Российской Федерации Единые показатели для всех субъектов Российской Федерации Объем субсидии
()
количество ветеринарных лабораторий на территории субъекта Российской Федерации, ед
()
предельный уровень софинансирования расходного обязательства субъекта Российской Федерации, %
()
общий объем затрат, предусмотренный на предоставление субсидий
(W)
1 2 3 4 5 6 7
  001     x x  
  002      
         
         
Итого 900          

3.1.1.3 Показатели, применяемые для расчета распределения общего объема субсидий на софинансирование расходных обязательств субъектов Российской Федерации между субъектами Российской Федерации, в соответствии с правилами предоставления и распределения субсидий бюджетам субъектов Российской Федерации на 20__ год (на второй год планового периода)

Наименование субъекта Российской Федерации Код строки Показатели по субъектам Российской Федерации Единые показатели для всех субъектов Российской Федерации Объем субсидии
()
количество ветеринарных лабораторий на территории субъекта Российской Федерации, ед
()
предельный уровень софинансирования расходного обязательства субъекта Российской Федерации, %
()
общий объем затрат, предусмотренный на предоставление субсидий
(W)
1 2 3 4 5 6 7
  001     x x  
  002      
         
         
Итого 900          

<2> Раздел заполняется одновременно с представлением главным распорядителем средств федерального бюджета расчетов распределения межбюджетных трансфертов бюджетам субъектов Российской Федерации в сроки, установленные графиком подготовки и рассмотрения проектов федеральных законов, документов и материалов, разрабатываемых при составлении проекта федерального бюджета и проектов бюджетов государственных внебюджетных фондов Российской Федерации на очередной финансовый год и плановый период.

4. Сведения о нормативных правовых (правовых) актах, устанавливающих правила предоставления субсидий из федерального бюджета бюджетам субъектов Российской Федерации и (или) их распределения между субъектами Российской Федерации

Нормативный правовой (правовой) акт
вид дата номер наименование статус предполагаемая дата изменения статуса <3>
1 2 3 4 5 6
           
           
           

<3> Для проектов нормативных правовых (правовых) актов указывается предполагаемый срок внесения в Правительство Российской Федерации (утверждения федеральным органом исполнительной власти); для действующих, подлежащих признанию утратившими силу (приостановлению) нормативных правовых (правовых) актов указывается дата прекращения (приостановления) их действия. В случае если срок действия нормативного правового (правового) акта не установлен, в данной графе ставится "01.01.2099".

Руководитель              
(уполномоченное лицо) (должность)   (подпись)   (расшифровка подписи)
               
Исполнитель              
  (должность)   (фамилия, инициалы)   (телефон)

"__" __________ 20__ г.

Приложение N 140
к приказу Министерства финансов
Российской Федерации
от 20.06.2018 N 139н

ОБОСНОВАНИЯ (РАСЧЕТЫ) ПЛАНОВЫХ СМЕТНЫХ ПОКАЗАТЕЛЕЙ НА ПРЕДОСТАВЛЕНИЕ СУБСИДИЙ ИЗ ФЕДЕРАЛЬНОГО БЮДЖЕТА БЮДЖЕТАМ СУБЪЕКТОВ РОССИЙСКОЙ ФЕДЕРАЦИИ НА СОФИНАНСИРОВАНИЕ РАСХОДНЫХ ОБЯЗАТЕЛЬСТВ СУБЪЕКТОВ РОССИЙСКОЙ ФЕДЕРАЦИИ, ВОЗНИКАЮЩИХ ПРИ РЕАЛИЗАЦИИ НАЦИОНАЛЬНОГО ПРОЕКТА "МЕЖДУНАРОДНАЯ КООПЕРАЦИЯ И ЭКСПОРТ", НА ГОСУДАРСТВЕННУЮ ПОДДЕРЖКУ ПРОИЗВОДСТВА МАСЛИЧНЫХ КУЛЬТУР НА 20__ ГОД И НА ПЛАНОВЫЙ ПЕРИОД 20__ И 20__ ГОДОВ

Коды
  Форма по ОКУД 0505838
  от "__" ________ 20__ г. Дата  
Получатель бюджетных средств   по Перечню (Реестру)  
Распорядитель средств федерального бюджета   по Перечню (Реестру)  
Главный распорядитель средств федерального бюджета   Глава по БК  
Раздел   по БК  
Подраздел   по БК  
Целевая статья   по БК  
Вид расходов   по БК  
Вид документа      
  (основной документ - код 01; изменения к документу - код 02)    
Единица измерения: руб по ОКЕИ 383

1. Расходы на предоставление субсидий

Наименование субсидии Сумма
на 20__ год
(на очередной финансовый год)
на 20__ год
(на первый год планового периода)
на 20__ год
(на второй год планового периода)
1 2 3 4
       

1.1 Аналитическое распределение по КОСГУ <1>

Наименование показателя Код по КОСГУ Сумма
на 20__ год
(на очередной финансовый год)
на 20__ год
(на первый год планового периода)
на 20__ год
(на второй год планового периода)
1 2 3 4 5
Расходы, всего -      
в том числе:        
перечисления другим бюджетам бюджетной системы Российской Федерации 251      

<1> Раздел заполняется в соответствии с Порядком применения классификации операций сектора государственного управления, утвержденным приказом Министерства финансов Российской Федерации от 29 ноября 2017 г. N 209н (зарегистрирован Министерством юстиции Российской Федерации 12 февраля 2018 г., регистрационный N 50003), с изменениями, внесенными приказами Министерства финансов Российской Федерации от 30 ноября 2018 г. N 246н (зарегистрирован Министерством юстиции Российской Федерации 26 декабря 2018 г., регистрационный N 53186), от 13 мая 2019 г. N 69н (зарегистрирован Министерством юстиции Российской Федерации 24 июля 2019 г., регистрационный N 55372).

2. Распределение общего объема субсидий между субъектами Российской Федерации <2>

Наименование субъекта Российской Федерации Код строки Объем предоставляемых субсидий
на 20__ год
(на очередной финансовый год)
на 20__ год
(на первый год планового периода)
на 20__ год
(на второй год планового периода)
1 2 3 4 5
  001      
  002      
         
Распределяемый объем 700      
Нераспределенный резерв 800      
Итого 900      

3. Расчет распределения общего объема субсидий на софинансирование расходных обязательств субъектов Российской Федерации между субъектами Российской Федерации <2>

3.1 Алгоритм расчета распределения общего объема субсидий на софинансирование расходных обязательств субъектов Российской Федерации между субъектами Российской Федерации в соответствии с правилами предоставления и распределения субсидий бюджетам субъектов Российской Федерации

 

Форма 0505838 с. 2

3.1.1 Показатели, применяемые для расчета распределения общего объема субсидий на софинансирование расходных обязательств субъектов Российской Федерации между субъектами Российской Федерации, в соответствии с правилами предоставления и распределения субсидий бюджетам субъектов Российской Федерации

3.1.1.1 Показатели, применяемые для расчета распределения общего объема субсидий на софинансирование расходных обязательств субъектов Российской Федерации между субъектами Российской Федерации, в соответствии с правилами предоставления и распределения субсидий бюджетам субъектов Российской Федерации на 20__ год (на очередной финансовый год)

Наименование субъекта Российской Федерации Код строки Показатели по субъектам Российской Федерации Единые показатели для всех субъектов Российской Федерации Объем субсидии ()
коэффициент увеличения показателя субъекта Российской Федерации
()
плановый показатель по валовому сбору масличных культур в субъекте Российской Федерации () плановый показатель по размеру посевных площадей, занятых масличными культурами
()
средний показатель по валовому сбору масличных культур в субъекте Российской Федерации за 5 лет, предшествующих текущему финансовому году () доля планового объема производства масличных культур в субъекте Российской Федерации в общем плановом объеме производства масличных культур
()
доля плановой площади, занятой масличными культурами в субъекте Российской Федерации, в общей плановой площади, занятой масличными культурами
()
доля неотрицательного прироста планового объема производства масличных культур к среднему приросту производства продукции масличных культур в субъекте Российской Федерации в общем приросте планового объема производства масличных культур
()
предельный уровень софинансирования расходного обязательства субъекта Российской Федерации () общий объем затрат, предусмотренный на предоставление субсидий (W)
1 2 3 4 5 6 7 8 9 10 11 12 13 14 15 16
  001                 x X x X x  
  002                  
                     
                     
Итого 900 x x x x x x x x            

3.1.1.2 Показатели, применяемые для расчета распределения общего объема субсидий на софинансирование расходных обязательств субъектов Российской Федерации между субъектами Российской Федерации, в соответствии с правилами предоставления и распределения субсидий бюджетам субъектов Российской Федерации на 20__ год (на первый год планового периода)

Наименование субъекта Российской Федерации Код строки Показатели по субъектам Российской Федерации Единые показатели для всех субъектов Российской Федерации Объем субсидии ()
коэффициент увеличения показателя субъекта Российской Федерации
()
плановый показатель по валовому сбору масличных культур в субъекте Российской Федерации () плановый показатель по размеру посевных площадей, занятых масличными культурами
()
средний показатель по валовому сбору масличных культур в субъекте Российской Федерации за 5 лет, предшествующих текущему финансовому году () доля планового объема производства масличных культур в субъекте Российской Федерации в общем плановом объеме производства масличных культур
()
доля плановой площади, занятой масличными культурами в субъекте Российской Федерации, в общей плановой площади, занятой масличными культурами
()
доля неотрицательного прироста планового объема производства масличных культур к среднему приросту производства продукции масличных культур в субъекте Российской Федерации в общем приросте планового объема производства масличных культур
()
предельный уровень софинансирования расходного обязательства субъекта Российской Федерации () общий объем затрат, предусмотренный на предоставление субсидий (W)
1 2 3 4 5 6 7 8 9 10 11 12 13 14 15 16
  001                 x X x X x  
  002                  
                     
                     
Итого 900 x x x x x x x x            

Форма 0505838 с. 3

3.1.1.3 Показатели, применяемые для расчета распределения общего объема субсидии на софинансирование расходных обязательств субъектов Российской Федерации между субъектами Российской Федерации, в соответствии с правилами предоставления и распределения субсидий бюджетам субъектов Российской Федерации на 20__ год (на второй год планового периода)

Наименование субъекта Российской Федерации Код строки Показатели по субъектам Российской Федерации Единые показатели для всех субъектов Российской Федерации Объем субсидии ()
коэффициент увеличения показателя субъекта Российской Федерации
()
плановый показатель по валовому сбору масличных культур в субъекте Российской Федерации () плановый показатель по размеру посевных площадей, занятых масличными культурами
()
средний показатель по валовому сбору масличных культур в субъекте Российской Федерации за 5 лет, предшествующих текущему финансовому году () доля планового объема производства масличных культур в субъекте Российской Федерации в общем плановом объеме производства масличных культур
()
доля плановой площади, занятой масличными культурами в субъекте Российской Федерации, в общей плановой площади, занятой масличными культурами
()
доля неотрицательного прироста планового объема производства масличных культур к среднему приросту производства продукции масличных культур в субъекте Российской Федерации в общем приросте планового объема производства масличных культур
()
предельный уровень софинансирования расходного обязательства субъекта Российской Федерации () общий объем затрат, предусмотренный на предоставление субсидий (W)
1 2 3 4 5 6 7 8 9 10 11 12 13 14 15 16
  001                 x X x X x  
  002                  
                     
                     
Итого 900 x x x x x x x x            

<2> Раздел заполняется одновременно с представлением главным распорядителем средств федерального бюджета расчетов распределения межбюджетных трансфертов бюджетам субъектов Российской Федерации в сроки, установленные графиком подготовки и рассмотрения проектов федеральных законов, документов и материалов, разрабатываемых при составлении проекта федерального бюджета и проектов бюджетов государственных внебюджетных фондов Российской Федерации на очередной финансовый год и плановый период.

4. Сведения о нормативных правовых (правовых) актах, устанавливающих правила предоставления субсидий из федерального бюджета бюджетам субъектов Российской Федерации и (или) их распределения между субъектами Российской Федерации

Нормативный правовой (правовой) акт
вид дата номер наименование статус предполагаемая дата изменения статуса <3>
1 2 3 4 5 6
           
           
           

<3> Для проектов нормативных правовых (правовых) актов указывается предполагаемый срок внесения в Правительство Российской Федерации (утверждения федеральным органом исполнительной власти); для действующих, подлежащих признанию утратившими силу (приостановлению) нормативных правовых (правовых) актов указывается дата прекращения (приостановления) их действия. В случае если срок действия нормативного правового (правового) акта не установлен, в данной графе ставится "01.01.2099".

Руководитель              
(уполномоченное лицо) (должность)   (подпись)   (расшифровка подписи)
               
Исполнитель              
  (должность)   (фамилия, инициалы)   (телефон)

"__" __________ 20__ г.

Приложение N 141
к приказу Министерства финансов
Российской Федерации
от 20.06.2018 N 139н

ОБОСНОВАНИЯ (РАСЧЕТЫ) ПЛАНОВЫХ СМЕТНЫХ ПОКАЗАТЕЛЕЙ НА ЗАКУПКУ ТОВАРОВ, РАБОТ И УСЛУГ В ЦЕЛЯХ СОДЕРЖАНИЯ АВТОМОБИЛЬНЫХ ДОРОГ ОБЩЕГО ПОЛЬЗОВАНИЯ ФЕДЕРАЛЬНОГО ЗНАЧЕНИЯ НА 20__ ГОД И НА ПЛАНОВЫЙ ПЕРИОД 20__ И 20__ ГОДОВ

Коды
  Форма по ОКУД 0505839
  от "__" ________ 20__ г. Дата  
Получатель бюджетных средств   по Перечню (Реестру)  
Распорядитель средств федерального бюджета   по Перечню (Реестру)  
Главный распорядитель средств федерального бюджета   Глава по БК  
Раздел   по БК  
Подраздел   по БК  
Целевая статья   по БК  
Вид расходов   по БК  
Вид документа      
  (основной документ - код 01; изменения к документу - код 02)    
Единица измерения: руб по ОКЕИ 383

1. Расходы на закупку товаров, работ и услуг для обеспечения федеральных нужд

Наименование показателя Код строки Сумма
на 20__ год
(на очередной финансовый год)
на 20__ год
(на первый год планового периода)
на 20__ год
(на второй год планового периода)
1 2 3 4 5
Закупки федеральных органов исполнительной власти, а также подведомственных казенных учреждений:        
на капитальный ремонт автомобильных дорог федерального значения <1> 001      
на ремонт автомобильных дорог федерального значения <2> 002      
на содержание автомобильных дорог федерального значения <2> 003      
Корректировка в связи с округлением 004      
Итого 100      

<1> Указывается объем расходов в случае заполнения обоснований (расчетов) плановых сметных показателей по коду вида расходов 243 классификации расходов бюджетов.

<2> Указывается объем расходов в случае заполнения обоснований (расчетов) плановых сметных показателей по коду вида расходов 244 классификации расходов бюджетов.

1.1 Аналитическое распределение по КОСГУ <3>

Наименование показателя Код по КОСГУ Сумма
на 20__ год
(на очередной финансовый год)
на 20__ год
(на первый год планового периода)
на 20__ год
(на второй год планового периода)
1 2 3 4 5
         
         
         

<3> Раздел заполняется в соответствии с Порядком применения классификации операций сектора государственного управления, утвержденным приказом Министерства финансов Российской Федерации от 29 ноября 2017 г. N 209н (зарегистрирован Министерством юстиции Российской Федерации 12 февраля 2018 г., регистрационный N 50003), с изменениями, внесенными приказами Министерства финансов Российской Федерации от 30 ноября 2018 г. N 246н (зарегистрирован Министерством юстиции Российской Федерации 26 декабря 2018 г., регистрационный N 53186), от 13 мая 2019 г. N 69н (зарегистрирован Министерством юстиции Российской Федерации 24 июля 2019 г., регистрационный N 55372).

Форма 0505839 с. 2

2. Показатели, используемые при расчете объема затрат на капитальный ремонт, ремонт и содержание автомобильных дорог федерального значения

2.1 Коэффициенты и иные нормативные показатели, применяемые при расчете объема затрат на капитальный ремонт, ремонт и содержание автомобильных дорог федерального значения

Категории автомобильных дорог в оперативном управлении Код строки Норматив финансовых затрат, тыс руб/км Коэффициент, учитывающий дифференциацию стоимости (по категориям автомобильных дорог федерального значения) Коэффициент, учитывающий дифференциацию стоимости (по количеству полос движения автомобильных дорог федерального значения) Нормативные межремонтные сроки, лет
на капитальный ремонт автомобильных дорог федерального значения V категории на ремонт автомобильных дорог федерального значения V категории на содержание автомобильных дорог федерального значения V категории капитального ремонта автомобильных дорог ремонта автомобильных дорог содержания автомобильных дорог капитального ремонта автомобильных дорог ремонта автомобильных дорог содержания автомобильных дорог капитального ремонта автомобильных дорог ремонта автомобильных дорог
1 2 3 4 5 6 7 8 9 10 11 12 13
001 x x x 10,52 9,98 5,94 x x x 24 12
IА (8 полос) 002 x x x 10,52 9,98 5,94 1,63 1,63 1,49 24 12
IА (6 полос) 003 x x x 10,52 9,98 5,94 1,32 1,32 1,23 24 12
IА (4 полос) 004 x x x 10,52 9,98 5,94 0,98 0,98 0,98 24 12
005 x x x 9,97 9,58 5,68 x x x 24 12
IБ (8 полос) 006 x x x 9,97 9,58 5,68 1,62 1,62 1,46 24 12
IБ (6 полос) 007 x x x 9,97 9,58 5,68 1,31 1,31 1,22 24 12
IБ (4 полос) 008 x x x 9,97 9,58 5,68 0,98 0,98 0,98 24 12
009 x x x 9,84 9,51 5,32 x x x 24 12
IВ (8 полос) 010 x x x 9,84 9,51 5,32 1,62 1,62 1,42 24 12
IВ (6 полос) 011 x x x 9,84 9,51 5,32 1,31 1,31 1,2 24 12
IВ (4 полос) 012 x x x 9,84 9,51 5,32 0,98 0,98 0,97 24 12
II 013 x x x 5,58 5,54 2,55 x x x 24 12
II (4 полосы) 014 x x x 5,58 5,54 2,55 1,47 1,47 1,37 24 12
II (2 полосы) 015 x x x 5,58 5,54 2,55 0,98 0,98 0,98 24 12
III 016 x x x 3,58 3,59 1,51       24 12
IV 017 x x x 2,49 2,6 1,15       24 12
V 018 x x x 1 1 1       10 5
IА, IБ, IВ, II, III, IV, V 019 12 008,00 4 738,00 806,00 x x x x x x x x

2.2 Территориальные коэффициенты, учитывающие дифференциацию стоимости капитального ремонта, ремонта и содержания автомобильных дорог федерального значения по федеральным округам

Наименование федерального округа Код строки Коэффициент в соответствии с видом работ
капитальный ремонт ремонт содержание
1 2 3 4 5
Центральный федеральный округ 01 1 1 1
Северо-Западный федеральный округ 02 1,2 1,17 1,35
Южный федеральный округ 03 1,01 0,96 0,83
Северо-Кавказский федеральный округ 04 1,03 1 0,77
Приволжский федеральный округ 05 0,82 0,84 1,01
Уральский федеральный округ 06 0,98 0,93 0,99
Сибирский федеральный округ 07 0,98 0,95 1,07
Дальневосточный федеральный округ 08 1,68 1,68 1,59

2.3 Индексы-дефляторы, учтенные при расчете объема затрат

Наименование показателя Код строки Значение индекса-дефлятора
на 20__ год
(на очередной финансовый год)
на 20__ год
(на первый год планового периода)
на 20__ год
(на второй год планового периода)
1 2 3 4 5
Индекс-дефлятор инвестиций в основной капитал 01      
Индекс-дефлятор потребительских цен 02      

Форма 0505839 с. 3

3. Расчет показателей протяженности автомобильных дорог федерального значения, применяемых при расчете объема затрат на капитальный ремонт, ремонт и содержание автомобильных дорог федерального значения

Федеральный округ Категории автомобильных дорог в оперативном управлении Код строки Протяженность автомобильных дорог федерального значения, км Расчетная протяженность автомобильных дорог федерального значения, км
на 1 января года планирования с учетом изменения протяженности в результате ввода объектов строительства и реконструкции, а также приема-передачи автомобильных дорог намеченных к реконструкции подлежащих капитальному ремонту подлежащих ремонту
на 20__ год
(на очередной финансовый год)
на 20__ год
(на первый год планового периода)
на 20__ год
(на второй год планового периода)
на 20__ год
(на очередной финансовый год)
на 20__ год
(на первый год планового периода)
на 20__ год
(на второй год планового периода)
на 20__ год
(на очередной финансовый год) (гр. 4 / гр. 12 (р. 2.1) - гр. 7)
на 20__ год
(на первый год планового периода) (гр. 5 / гр. 12 (р. 2.1) - гр. 8)
на 20__ год
(на второй год планового периода) (гр. 6 / гр. 12 (р. 2.1) - гр. 9)
на 20__ год
(на очередной финансовый год) (гр. 4 / гр. 13 (р. 2.1) - гр. 7 - гр. 10)
на 20__ год
(на первый год планового периода) (гр. 5 / гр. 13 (р. 2.1) - гр. 8 - гр. 11)
на 20__ год
(на второй год планового периода) (гр. 6 / гр. 13 (р. 2.1) - гр. 9 - гр. 12)
1 2 3 4 5 6 7 8 9 10 11 12 13 14 15
  IА (8 полос) 001                        
IА (6 полос) 002                        
IА (4 полос) 003                        
IБ (8 полос) 004                        
IБ (6 полос) 005                        
IБ (4 полос) 006                        
IВ (8 полос) 007                        
IВ (6 полос) 008                        
IВ (4 полос) 009                        
II (4 полосы) 010                        
II (2 полосы) 011                        
III 012                        
IV 013                        
V 014                        
Итого по федеральному округу 020                        
Всего 100                        

4. Расчет объема затрат на капитальный ремонт, ремонт и содержание автомобильных дорог федерального значения

4.1 Расчет объема затрат на капитальный ремонт

Федеральный округ Категории автомобильных дорог в оперативном управлении Код строки Сумма
на 20__ год
(на очередной финансовый год)
(гр. 3 (р. 2.1) х гр. 6 (р. 2.1) х гр. 9 (р. 2.1) х гр. 3 (р. 2.2) х гр. 3 стр. 01 (р. 2.3) - гр. 10 (р. 3))
на 20__ год
(на первый год планового периода)
(гр. 3 (р. 2.1) х гр. 6 (р. 2.1) х гр. 9 (р. 2.1) х гр. 3 (р. 2.2) х гр. 4 стр. 01 (р. 2.3) х гр. 11 (р. 3))
на 20__ год
(на второй год планового периода)
(гр. 3 (р. 2.1) х гр. 6 (р. 2.1) х гр. 9 (р. 2.1) х гр. 3 (р. 2.2) х гр. 5 стр. 01 (р. 2.3) х гр. 12 (р. 3))
1 2 3 4 5 6
  IА (8 полос) 001      
IА (6 полос) 002      
IА (4 полос) 003      
IБ (8 полос) 004      
IБ (6 полос) 005      
IБ (4 полос) 006      
IВ (8 полос) 007      
IВ (6 полос) 008      
IВ (4 полос) 009      
II (4 полосы) 010      
II (2 полосы) 011      
III 012      
IV 013      
V 014      
Итого по федеральному округу 020      
Всего 100      

Форма 0505839 с. 4

4.2 Расчет объема затрат на ремонт

Федеральный округ Категории автомобильных дорог в оперативном управлении Код строки Сумма
на 20__ год
(на очередной финансовый год)
(гр. 4 (р. 2.1) х гр. 7 (р. 2.1) х гр. 10 (р. 2.1) х гр. 4 (р. 2.2) х гр. 3 стр. 01 (р. 2.3) х гр. 13 (р. 3))
на 20__ год
(на первый год планового периода)
(гр. 4 (р. 2.1) х гр. 7 (р. 2.1) х гр. 10 (р. 2.1) х гр. 4 (р. 2.2) х гр. 4 стр. 01 (р. 2.3) х гр. 14 (р. 3))
на 20__ год
(на второй год планового периода)
(гр. 4 (р. 2.1) х гр. 7 (р. 2.1) х гр. 10 (р. 2.1) х гр. 4 (р. 2.2) х гр. 5 стр. 01 (р. 2.3) х гр. 15 (р. 3))
1 2 3 4 5 6
  IА (8 полос) 001      
IА (6 полос) 002      
IА (4 полос) 003      
IБ (8 полос) 004      
IБ (6 полос) 005      
IБ (4 полос) 006      
IВ (8 полос) 007      
IВ (6 полос) 008      
IВ (4 полос) 009      
II (4 полосы) 010      
II (2 полосы) 011      
III 012      
IV 013      
V 014      
Итого по федеральному округу 020      
Всего 100      

4.3 Расчет объема затрат на содержание

Федеральный округ Категории автомобильных дорог в оперативном управлении Код строки Сумма
на 20__ год
(на очередной финансовый год)
(гр. 5 (р. 2.1) х гр. 8 (р. 2.1) х гр. 11 (р. 2.1) х гр. 5 (р. 2.2) х гр. 3 стр. 02 (р. 2.3) х гр. 4 (р. 3))
на 20__ год
(на первый год планового периода)
(гр. 5 (р. 2.1) х гр. 8 (р. 2.1) х гр. 11 (р. 2.1) х гр. 5 (р. 2.2) х гр. 4 стр. 02 (р. 2.3) х гр. 5 (р. 3))
на 20__ год
(на второй год планового периода)
(гр. 5 (р. 2.1) х гр. 8 (р. 2.1) х гр. 11 (р. 2.1) х гр. 5 (р. 2.2) х гр. 5 стр. 02 (р. 2.3) х гр. 6 (р. 3))
1 2 3 4 5 6
  IА (8 полос) 001      
IА (6 полос) 002      
IА (4 полос) 003      
IБ (8 полос) 004      
IБ (6 полос) 005      
IБ (4 полос) 006      
IВ (8 полос) 007      
IВ (6 полос) 008      
IВ (4 полос) 009      
II (4 полосы) 010      
II (2 полосы) 011      
III 012      
IV 013      
V 014      
Итого по федеральному округу 020      
Всего 100      

Форма 0505839 с. 5

5. Сведения о нормативных правовых (правовых) актах Российской Федерации, устанавливающих требования к определению нормативов финансовых затрат и (или) правил расчета размера объема затрат на капитальный ремонт, ремонт и содержание автомобильных дорог федерального значения

Нормативный правовой (правовой) акт
вид дата номер наименование статус предполагаемая дата изменения статуса <4>
1 2 3 4 5 6
           
           
           
           

6. СПРАВОЧНО: Расчет расходов на закупку товаров, работ и услуг для обеспечения федеральных нужд

6.1 Объем затрат на закупку товаров, работ и услуг для обеспечения федеральных нужд по закупкам федеральных органов исполнительной власти и иных государственных органов, а также подведомственных казенных учреждений

Наименование объекта закупки Подгруппа нормативных затрат Товары, работы и услуги по ОКПД2 Код по КОСГУ Дополнительный аналитический признак Год (планируемый год) размещения извещения об осуществлении закупки, направления приглашения принять участие в определении поставщика (подрядчика, исполнителя), заключения контракта с единственным поставщиком (подрядчиком, исполнителем) Код строки Сумма Объем принятых бюджетных обязательств, подлежащих исполнению за пределами планового периода
код
(класс, подкласс, группа)
наименование на 20__ год
(на очередной финансовый год)
на 20__ год
(на первый год планового периода)
на 20__ год
(на второй год планового периода)
1 2 3 4 5 6 7 8 9 10 11 12
              000001        
      000002        
               
Итого по объекту закупки 001000        
                       
               
               
Итого по объекту закупки          
Всего 900000        

6.2 Сведения о нормативных правовых (правовых) актах Российской Федерации, устанавливающих требования к отдельным видам товаров, работ, услуг (в том числе предельные цены товаров, работ, услуг) и (или) к определению нормативных затрат на обеспечение функций, полномочий государственных органов, в том числе подведомственных указанным органам казенных учреждений

Наименование объекта закупки Подгруппа нормативных затрат Код строки Нормативный правовой (правовой) акт
вид дата номер наименование статус предполагаемая дата изменения статуса <4>
1 2 3 4 5 6 7 8 9
    000001            
             
                 
             

<4> Для проектов нормативных правовых (правовых) актов указывается предполагаемый срок внесения в Правительство Российской Федерации (утверждения федеральным органом исполнительной власти); для действующих, подлежащих признанию утратившими силу (приостановлению) нормативных правовых (правовых) актов указывается дата прекращения (приостановления) их действия. В случае если срок действия нормативного правового (правового) акта не установлен, в данной графе ставится "01.01.2099".

Руководитель              
(уполномоченное лицо) (должность)   (подпись)   (расшифровка подписи)
               
Исполнитель              
  (должность)   (фамилия, инициалы)   (телефон)

"__" __________ 20__ г.