Ресурсосбережение. Эффективное управление ресурсами. Основные положения. ГОСТ р 55103-2012

(утв. Приказом Росстандарта от 14.11.2012 N 804-СТ)
Редакция от 14.11.2012 — Действует с 01.01.2014

Данный документ не поддерживается в сервисе Норматив.


НАЦИОНАЛЬНЫЙ СТАНДАРТ РОССИЙСКОЙ ФЕДЕРАЦИИ

РЕСУРСОСБЕРЕЖЕНИЕ

ЭФФЕКТИВНОЕ УПРАВЛЕНИЕ РЕСУРСАМИ

ОСНОВНЫЕ ПОЛОЖЕНИЯ

Resource saving. Efficient control of resources. Basic regulation

ГОСТ Р 55103-2012

Дата введения
1 января 2014 года

Предисловие

1. Разработан Федеральным государственным унитарным предприятием "Всероссийским научно-исследовательским центром стандартизации, информации и сертификации сырья, материалов и веществ" (ФГУП "ВНИЦСМВ").

2. Внесен Техническим комитетом по стандартизации ТК 349 "Обращение с отходами".

3. Утвержден и введен в действие Приказом Федерального агентства по техническому регулированию и метрологии от 14 ноября 2012 г. N 804-ст.

4. Введен впервые.

Правила применения настоящего стандарта установлены в ГОСТ Р 1.0-2012 (раздел 8). Информация об изменениях к настоящему стандарту публикуется в ежегодном (по состоянию на 1 января текущего года) информационном указателе "Национальные стандарты", а официальный текст изменений и поправок - в ежемесячном информационном указателе "Национальные стандарты". В случае пересмотра (замены) или отмены настоящего стандарта соответствующее уведомление будет опубликовано в ближайшем выпуске ежемесячного информационного указателя "Национальные стандарты". Соответствующая информация, уведомление и тексты размещаются также в информационной системе общего пользования - на официальном сайте Федерального агентства по техническому регулированию и метрологии в сети Интернет (gost.ru).

Введение

В настоящее время для Российской Федерации эффективное управление материально-сырьевыми (далее - материальными) ресурсами на предприятиях и в организациях любых форм собственности в условиях вступления ВТО и ОЭСР, а также реализации требований Таможенного союза является одним из наиболее приоритетных направлений хозяйственной деятельности, охватываемой стратегическими системами менеджмента качества, экологичности, безопасности, энергоэффективности.

В этих условиях стандартизация в сфере управления ресурсами играет решающую роль.

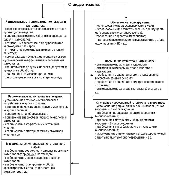
Состояние нормативной базы, научная обоснованность норм расхода материальных ресурсов, методическое, организационное и техническое совершенствование расчета норм расхода являются одновременно факторами и источниками экономии сырья и материалов, топлива и энергии, решением проблемы качества на всех стадиях жизненного цикла продукции. Доля расходов на сырье, материалы и энергию, как было отмечено ранее, в стране велика, и экономия этих ресурсов чрезвычайно важна. В решении комплекса проблем ресурсосбережения важная роль отведена стандартизации (рисунок 1).

Рисунок 1. Основные направления влияния стандартизации на обеспечение экономии сырья, материалов и энергии

Ресурсосбережение в современных рыночных условиях хозяйствования возможно и необходимо на всех стадиях жизненного цикла товаров, под которыми понимаются работа, услуга, изделие, продукция, произведение, энергия, подлежащие реализации, в том числе в формах дарения и/или продажи. В свою очередь, можно привести упрощенные понятия употребленных при определении товара терминов:

работа - целенаправленное (по отношению к объекту) действие;

услуга - адресное (по отношению к субъекту) действие;

изделие - результат работы или услуги;

продукция - результат хозяйственной деятельности;

произведение - интеллектуальный результат творческого действия;

энергия - движущая сила любого действия.

Настоящий стандарт соответствует законодательству Российской Федерации. При его разработке учтены положения Федеральных законов от 27 декабря 2002 г. N 184-ФЗ "О техническом регулировании" [1], от 24 июня 1998 г. N 89-ФЗ "Об отходах производства и потребления" [2], модельного закона "Об отходах производства и потребления", принятого Постановлением N 29-15 Межпарламентской ассамблеи государств - участников СНГ от 30.10.2007 [3], а также нормы международных конвенций, к которым присоединилась Российская Федерация.

При разработке настоящего стандарта учтено, что в Российской Федерации действуют почти 80 стандартов комплекса "Ресурсосбережения", которые подготовлены путем гармонизации с международными стандартами (EN, ISO, ASTM и др.), с использованием европейских справочников по наилучшим доступным технологиям (НДТ), на основе Решений-рекомендаций комитета ОЭСР, учитываются современные зарубежные концепции "бережливого производства" и "экономного производства"; а также среди разработанных стандартов есть принципиально новые в сфере обеспечения ресурсосбережения, взаимосвязанные с проблемами энергосбережения, энергоэффективности, сохранения и защиты окружающей среды. В этой связи показательно, что, например, ГОСТ Р 52104 "устанавливает термины и определения основных понятий по организации, проведению и нормативно-техническому обеспечению работ в сфере ресурсосбережения при обращении с ресурсами биосферы и техносферы и распространяется на материальные и энергетические ресурсы, включая материальные ресурсы, используемые в народно-хозяйственных целях".

Актуальность настоящего стандарта состоит в том, что он интегрирует и упорядочивает разнородные представления о возможностях и состоянии документирования процессов ресурсосбережения на стадиях жизненного цикла продукции и на этапах технологического цикла отходов, а также является своеобразным техническим путеводителем с рекомендациями по эффективному применению комплекса соответствующих стандартов в сфере ресурсосбережения, действующих в настоящее время на территории Российской Федерации.

1. Область применения

Настоящий стандарт устанавливает основные положения по направлениям и мерам эффективного управления ресурсами путем сбережения первичных и вторичных материальных и энергетических ресурсов (далее - ресурсосбережение) на стадиях жизненного цикла продукции и на этапах технологического цикла отходов.

Настоящий стандарт распространяется на первичные материально-сырьевые и на топливно-энергетические ресурсы, используемые при изготовлении продукции, а также на обращение с отходами, на вторичные материальные и энергетические ресурсы, получаемые из отходов производства в процессах хозяйственной деятельности.

Настоящий стандарт не распространяется на инфраструктуру предприятий и организаций, на проведение технического обслуживания и ремонта техники, а также на медицинские, биологические и ядерные отходы.

2. Нормативные ссылки

В настоящем стандарте использованы нормативные ссылки на следующие стандарты:

ГОСТ 17.0.0.01-76 Система стандартов в области охраны природы и улучшения использования природных ресурсов. Основные положения

ГОСТ ISO 9000-2011 Системы менеджмента качества. Основные положения и словарь

ГОСТ ISO 9001-2011 Системы менеджмента качества. Требования

ГОСТ 30166-95 Ресурсосбережение. Основные положения

ГОСТ 30167-95 Ресурсосбережение. Порядок установления показателей в документации на продукцию

ГОСТ 30772-2001 Ресурсосбережение. Обращение с отходами. Термины и определения

ГОСТ 30775-2001 Ресурсосбережение. Обращение с отходами. Классификация, идентификация и кодирование отходов. Основные положения

ГОСТ Р 1.15-2009 Стандартизация в Российской Федерации. Службы стандартизации в организациях. Правила создания и функционирования

ГОСТ Р 15.000-94 Система разработки и постановки продукции на производство. Основные положения

ГОСТ Р 15.201-2000 Система разработки и постановки продукции на производство. Продукция производственно-технического назначения. Порядок разработки и постановки продукции на производство

В связи с утратой силы ГОСТа Р 15.201-2000 следует руководствоваться принятым взамен ГОСТом Р 15.301-2016.

ГОСТ Р ИСО 9004-2010 Менеджмент для достижения устойчивого успеха организации. Подход на основе менеджмента качества

ГОСТ Р ИСО 10007-2007 Менеджмент организации. Руководящие указания по управлению конфигурацией

ГОСТ Р ИСО 14015-2007 Экологический менеджмент. Экологическая оценка участков и организаций

ГОСТ Р ИСО 14050-2009 Менеджмент окружающей среды. Словарь

ГОСТ Р ИСО/ТУ 22004-2008 Система менеджмента безопасности пищевых продуктов. Рекомендации по применению ИСО 22000:2005

ГОСТ Р ИСО 26000-2012 Руководство по социальной ответственности

ГОСТ Р МЭК 61160-2006 Менеджмент рисков. Формальный анализ проекта

ГОСТ Р 51379-99 Энергосбережение. Энергетический паспорт промышленного потребителя топливно-энергетических ресурсов. Основные положения. Типовые формы

ГОСТ Р 51380-99 Энергосбережение. Методы подтверждения соответствия показателей энергетической эффективности энергопотребляющей продукции их нормативным значениям. Общие требования

ГОСТ Р 51387-99 Энергосбережение. Нормативно-методическое обеспечение. Основные положения

ГОСТ Р 51388-99 Энергосбережение. Информирование потребителей об энергоэффективности изделий бытового и коммунального назначения. Общие требования

ГОСТ Р 51541-99 Энергосбережение. Энергетическая эффективность. Состав показателей. Общие положения

ГОСТ Р 51565-2012 Энергетическая эффективность. Приборы холодильные бытовые и аналогичные. Показатели энергетической эффективности и методы определения

ГОСТ Р 51749-2001 Энергосбережение. Энергопотребляющее оборудование общепромышленного применения. Виды. Типы. Группы. Показатели энергетической эффективности. Идентификация

ГОСТ Р 51750-2001 Энергосбережение. Методика определения энергоемкости при производстве продукции и оказании услуг в технологических энергетических системах

ГОСТ Р 51768-2001 Ресурсосбережение. Обращение с отходами. Определение ртути в ртутьсодержащих отходах производства и потребления. Основные положения

ГОСТ Р 51769-2001 Ресурсосбережение. Обращение с отходами. Документирование и регулирование деятельности по обращению с отходами производства и потребления. Основные положения

ГОСТ Р 52104-2003 Ресурсосбережение. Термины и определения

ГОСТ Р 52105-2003 Ресурсосбережение. Обращение с отходами. Классификация и методы переработки ртутьсодержащих отходов

ГОСТ Р 52106-2003 Ресурсосбережение. Основные положения

ГОСТ Р 52107-2003 Ресурсосбережение. Классификация и определение показателей

ГОСТ Р 52108-2003 Ресурсосбережение. Обращение с отходами. Основные положения

ГОСТ Р 52806-2007 Менеджмент рисков проектов. Общие положения

ГОСТ Р 52807-2007 Руководство по оценке компетентности менеджеров проектов

ГОСТ Р 53106-2008 Услуги общественного питания. Метод расчета отходов и потерь сырья и пищевых продуктов при производстве продуктов общественного питания

ГОСТ Р 53691-2009 Ресурсосбережение. Обращение с отходами. Паспорт отхода I - IV класса опасности. Основные требования

ГОСТ Р 53692-2009 Ресурсосбережение. Обращение с отходами. Этапы технологического цикла отходов

ГОСТ Р 53719-2009 (ЕН 14182:2002) Ресурсосбережение. Упаковка. Термины и определения

ГОСТ Р 53740-2009 (ЕН 13428:2004) Ресурсосбережение. Упаковка. Специальные требования к минимизации, составу, изготовлению упаковки

ГОСТ Р 53741-2009 (ЕН 13431:2004) Ресурсосбережение. Упаковка. Требования к отработавшей упаковке для ее переработки в качестве вторичных энергетических ресурсов

ГОСТ Р 53742-2009 (ЕН 13430:2004) Ресурсосбережение. Упаковка. Требования к отработавшей упаковке для ее переработки в качестве вторичных материальных ресурсов

ГОСТ Р 53744-2009 (ЕН 13427:2004) Ресурсосбережение. Упаковка. Требования к применению европейских стандартов в области упаковки и упаковочных отходов

ГОСТ Р 53754-2009 (ЕН 13440:2003) Ресурсосбережение. Упаковка. Показатели и методы расчета результативности переработки отработавшей упаковки в качестве вторичных материальных ресурсов

ГОСТ Р 53756-2009 (ЕН 13437:2003) Ресурсосбережение. Упаковка. Критерии выбора методов и процессов переработки отработавшей упаковки в качестве вторичных материальных ресурсов с учетом материальных потоков

ГОСТ Р 53759-2009 (ЕН 13429:2004) Ресурсосбережение. Упаковка. Повторное использование

ГОСТ Р 53790-2010 Нетрадиционные технологии. Энергетика биоотходов. Общие технические требования к биогазовым установкам

ГОСТ Р 53791-2010 Ресурсосбережение. Стадии жизненного цикла изделий производственно-технического назначения. Общие положения

ГОСТ Р 53905-2010 Энергосбережение. Термины и определения

ГОСТ Р 54003-2010 Экологический менеджмент. Оценка прошлого накопленного в местах дислокации организаций экологического ущерба. Общие положения

ГОСТ Р 54095-2010 Ресурсосбережение. Требования к экобезопасной утилизации отработавших шин

ГОСТ Р 54096-2010 Ресурсосбережение. Обращение с отходами. Взаимосвязь требований Федерального классификационного каталога отходов и Общероссийского классификатора продукции

ГОСТ Р 54097-2010 Ресурсосбережение. Наилучшие доступные технологии. Методология идентификации

ГОСТ Р 54098-2010 Ресурсосбережение. Вторичные материальные ресурсы. Термины и определения

ГОСТ Р 54100-2010 Нетрадиционные технологии. Возобновляемые источники энергии. Основные положения

ГОСТ Р 54193-2010 Ресурсосбережение. Производство энергии. Руководство по применению наилучших доступных технологий для повышения энергоэффективности при выработке тепловой энергии

ГОСТ Р 54194-2010 Ресурсосбережение. Производство цемента. Наилучшие доступные технологии повышения энергоэффективности

ГОСТ Р 54195-2010 Ресурсосбережение. Промышленное производство. Руководство по определению показателей (индикаторов) энергоэффективности

ГОСТ Р 54196-2010 Ресурсосбережение. Промышленное производство. Руководство по идентификации аспектов энергоэффективности

ГОСТ Р 54197-2010 Ресурсосбережение. Промышленное производство. Руководство по планированию показателей (индикаторов) энергоэффективности

ГОСТ Р 54198-2010 Ресурсосбережение. Промышленное производство. Руководство по применению наилучших доступных технологий для повышения энергоэффективности

ГОСТ Р 54199-2010 Ресурсосбережение. Производство энергии. Руководство по применению наилучших доступных технологий для повышения энергоэффективности при выработке электрической энергии

ГОСТ Р 54200-2010 Ресурсосбережение. Производство энергии. Руководство по применению наилучших доступных технологий для повышения энергоэффективности при сжигании различных видов топлив

ГОСТ Р 54201-2010 Ресурсосбережение. Производство сортового и тарного стекла. Наилучшие доступные технологии повышения энергоэффективности

ГОСТ Р 54202-2010 Ресурсосбережение. Газообразные топлива. Наилучшие доступные технологии сжигания

ГОСТ Р 54203-2010 Ресурсосбережение. Каменные и бурые угли. Наилучшие доступные технологии предотвращения выбросов, образуемых в процессе разгрузки, хранения и транспортирования

ГОСТ Р 54204-2010 Ресурсосбережение. Каменные и бурые угли. Наилучшие доступные технологии сжигания

ГОСТ Р 54205-2010 Ресурсосбережение. Обращение с отходами. Наилучшие доступные технологии повышения энергоэффективности при сжигании

ГОСТ Р 54206-2010 Ресурсосбережение. Производство извести. Наилучшие доступные технологии повышения энергоэффективности

ГОСТ Р 54207-2010 Ресурсосбережение. Кожевенная промышленность. Наилучшие доступные технологии использования энергоресурсов

ГОСТ Р 54258-2010 Ресурсосбережение. Обращение с отходами и производство энергии. Стандартный метод определения качества топлива, полученного из отходов, на основе испытания объединенной выборки образцов

ГОСТ Р 54259-2010 Ресурсосбережение. Обращение с отходами. Стандартное руководство по сокращению количества отходов, восстановлению ресурсов и использованию утилизированных полимерных материалов и продуктов

ГОСТ Р 54260-2010 Ресурсосбережение. Обращение с отходами. Стандартное руководство по использованию топлива, полученного из отходов шин

ГОСТ Р 54261-2010 Ресурсосбережение. Обращение с отходами и производство энергии. Стандартный метод определения высшей теплотворной способности и зольности отходов материалов

ГОСТ Р 54262-2010 Ресурсосбережение. Обращение с отходами и производство энергии. Стандартный метод определения термических характеристик макрообразцов топлива, полученного из отходов

ГОСТ Р 54529-2011 (ЕН 13193:2000) Ресурсосбережение. Упаковка в окружающей среде. Термины и определения

ГОСТ Р 54530-2011 (ЕН 13432:2000) Ресурсосбережение. Упаковка. Требования, критерии и схема утилизации упаковки посредством компостирования и биологического разложения

ГОСТ Р 54531-2011 Нетрадиционные технологии. Возобновляемые и альтернативные источники энергии. Термины и определения

ГОСТ Р 55086-2012 Ресурсосбережение. Обращение с отходами. Базовые показатели для обеспечения экологической безопасности при ликвидации отходов

ГОСТ Р 55087-2012 Ресурсосбережение. Обращение с отходами. Требования к контролю трансграничного перемещения отходов, предназначенных для операций по утилизации

ГОСТ Р 55088-2012 Ресурсосбережение. Обращение с отходами. Принципы рационального обращения с отходами

ГОСТ Р 55089-2012 Ресурсосбережение. Обращение с отходами. Принципы трансграничного перемещения опасных отходов

ГОСТ Р 55090-2012 Ресурсосбережение. Обращение с отходами. Рекомендации по утилизации отходов бумаги

ГОСТ Р 55091-2012 Ресурсосбережение. Обращение с отходами. Рекомендации по утилизации и повторному использованию упаковки для напитков

ГОСТ Р 55092-2012 Ресурсосбережение. Обращение с отходами. Требования к контролю опасных отходов при их экспорте

ГОСТ Р 55093-2012 Ресурсосбережение. Обращение с отходами. Требования к обмену информацией при авариях на опасных объектах, способных нанести трансграничный ущерб

ГОСТ Р 55094-2012 Ресурсосбережение. Обращение с отходами. Принципы классификации и характеристики опасных отходов, подлежащих трансграничному перемещению

ГОСТ Р 55095-2012 Ресурсосбережение. Обращение с отходами. Принципы в отношении сокращения трансграничного перемещения опасных отходов

ГОСТ Р 55096-2012 Ресурсосбережение. Наилучшие доступные технологии. Обработка отходов в целях получения вторичных материальных ресурсов

ГОСТ Р 55097-2012 Ресурсосбережение. Наилучшие доступные технологии. Обработка отходов в целях получения вторичных энергетических ресурсов

ГОСТ Р 55098-2012 Ресурсосбережение. Наилучшие доступные технологии обращения с отходами в известковой промышленности. Аспекты эффективного применения

ГОСТ Р 55099-2012 Ресурсосбережение. Наилучшие доступные технологии обращения с отходами в цементной промышленности. Аспекты эффективного применения

ГОСТ Р 55100-2012 Ресурсосбережение. Наилучшие доступные технологии обращения с отходами в горнодобывающей промышленности. Аспекты эффективного применения

Примечание. При пользовании настоящим стандартом целесообразно проверить действие ссылочных стандартов в информационной системе общего пользования - на официальном сайте Федерального агентства по техническому регулированию и метрологии по стандартизации в сети Интернет или по ежегодно издаваемому информационному указателю "Национальные стандарты", который опубликован по состоянию на 1 января текущего года, и по выпускам ежемесячного информационного указателя "Национальные стандарты" за текущий год. Если заменен ссылочный стандарт, на который дана недатированная ссылка, то рекомендуется использовать действующую версию этого стандарта с учетом всех внесенных в данную версию изменений. Если заменен ссылочный стандарт, на который дана датированная ссылка, то рекомендуется использовать версию этого стандарта с указанным выше годом утверждения (принятия). Если после утверждения настоящего стандарта в ссылочный стандарт, на который дана датированная ссылка, внесено изменение, затрагивающее положение, на которое дана ссылка, то это положение рекомендуется применять без учета данного изменения. Если ссылочный стандарт отменен без замены, то положение, в котором дана ссылка на него, рекомендуется применять в части, не затрагивающей эту ссылку.

3. Термины, определения и сокращения

3.1. В настоящем стандарте применены термины по ГОСТ 30772, ГОСТ ISO 9000, ГОСТ ISO 9001, ГОСТ Р ИСО 10007, ГОСТ Р ИСО 14050, ГОСТ Р МЭК 61160, ГОСТ Р 51387, ГОСТ Р 52104, ГОСТ Р 52106, ГОСТ Р 53719, ГОСТ Р 54097, ГОСТ Р 54098, ГОСТ Р 54529, ГОСТ Р 54530, ГОСТ Р 54531, а также термины с соответствующими определениями:

3.1.1.

Ресурсы: используемые и потенциальные источники удовлетворения потребностей общества.
Примечания.
1. Совокупность веществ и материалов, являющихся сырьевой базой хозяйственной деятельности.
2. Понятие "ресурсы" является первичным (родовым) по отношению ко вторичному (видовому) понятию "сырье".
3. Различают первичные ресурсы, образуемые и накапливаемые в биоестественных (природных) условиях, и вторичные ресурсы, образуемые в техногенных (антропогенных) условиях хозяйственной деятельности.
4. Ресурсами вторичного сырья являются количества ежегодно образующихся и накопленных вторичных материальных ресурсов.

[ГОСТ Р 54098-2010, статья 3.1.1]

3.1.2.

Материально-сырьевые ресурсы: совокупность первичных (добываемых в природе) видов материалов, веществ и вторичных материальных ресурсов (из отходов производства и потребления), из которых получают сырье для хозяйственной деятельности.
Примечание. Допускается использовать термин "ресурсно-сырьевая база".

[ГОСТ Р 54098-2010, статья 3.1.2]

3.1.3.

Топливно-энергетические ресурсы: совокупность традиционных и альтернативных видов топлива, возобновляемых и невозобновляемых источников энергии, других запасов энергетических ресурсов, используемых в хозяйственных целях.
Примечание. К альтернативным видам топлива относятся вторичные энергетические ресурсы.

[ГОСТ Р 54098-2010, статья 3.1.3]

3.1.4.

Сырье: природные или вторичные ресурсы, которые могут быть использованы или уже используются в каком-либо производственном процессе.
Примечания.
1. Материалы, вещества, получаемые из запасов ресурсов в соответствии с потребностями хозяйствующих субъектов.
2. Различают первичное сырье, получаемое из биоестественных природных ресурсов, и вторичное сырье, получаемое из вторичных техногенных ресурсов.
3. Первичным сырьем является материал, который прежде не перерабатывался ни в какую форму конечного полезного продукта.

[ГОСТ Р 54098-2010, статья 3.1.4]

3.1.5.

Ресурсосбережение: фундаментальная составляющая хозяйственного развития, определяющая его устойчивость в комплексе со стратегиями обеспечения качества объектов, сохранения и защиты окружающей среды, поддержания условий социальной ответственности, согласно ГОСТ Р ИСО 26000 и безопасности труда.
Примечания.
1. Деятельность (организационная, экономическая техническая, научная, практическая, информационная), методы, процессы, комплекс организационно-технических мер и мероприятий, сопровождающих все стадии жизненного цикла продукции, этапы технологического цикла отходов и направленных на рациональное использование и экономное расходование ресурсов.
2. Различают материалосбережение и энергосбережение.

3.1.6.

Энергосбережение: реализация правовых, организационных, научных, производственных и экономических мер, направленных на эффективное (рациональное) использование (и экономное расходование) ТЭР и на вовлечение в хозяйственный оборот возобновляемых источников энергии.

[ГОСТ Р 51387-99, статья 14 из Приложения А]

Примечания.

1. Энергосбережение сопряжено также с мероприятиями по снижению потребления, расходования, потерь ТЭР и на вовлечение в хозяйственный оборот альтернативных (свойственных конкретной местности) источников энергии, вторичных энергетических ресурсов с соблюдением требований к безопасности людей и охране окружающей среды.

2. Энергосбережение, как правило, сопряжено с установлением и реализацией нормативов, ориентированных на локальные (местные) условия и на конкретные энергопотребляющие объекты.

3. Энергосбережение, наряду с материалосбережением, входит в состав комплекса мер и мероприятий по ресурсосбережению.

4. Рациональное использование и экономное расходование ТЭР реализуется с минимальным воздействием на окружающую среду.

3.1.7. Материалосбережение: меры и мероприятия по уменьшению использования материальных ресурсов на стадиях жизненного цикла продукции.

3.1.8. Показатели ресурсосбережения: выраженные в количественной форме и устанавливаемые в НД требования рационального использования и экономного расходования ресурсов на стадиях жизненного цикла изделий и этапах технологического цикла отходов.

Примечание. Показатели ресурсоиспользования и ресурсосбережения относят к группам показателей технического уровня.

3.1.9. Материалосодержание: показатель ресурсосбережения, характеризуемый количеством сырья, материалов, веществ, содержащихся в проектируемом и в готовом изделии, используемых при оказании услуги и выполнения работы.

3.1.10. Материалоемкость: показатель ресурсосбережения, характеризуемый количеством материальных ресурсов, используемых при изготовлении изделия, оказании услуги, проведении работы.

Примечание. Как правило, пользуются более емким показателем "удельная материалоемкость продукции", определяемая количеством материальных ресурсов, потребляемых на создание единицы продукции (на одно изделие).

3.1.11. Материалоэффективность: показатель ресурсосбережения, характеризуемый количеством материальных ресурсов, используемых на стадии функционирования изделия.

Примечание. Например, в случае автомобиля определяют его материалоэффективность при функционировании в соответствии с документированным назначением, учитывая расход топлива, смазочных масел, жидкостей на 100 км пробега.

3.1.12. Эффективное управление материальными ресурсами: деятельность по своевременному и полному обеспечению всего производственного цикла на предприятии, в организации снабжения сырьем, материалами, веществами и комплектующими изделиями в соответствии с установленными в документах по стандартизации и технологической документации нормами и нормативами.

Примечание. При этом должны быть разработаны, документированы и внедрены достижимые на конкретном предприятии требования по уменьшению количества образуемых в технологическом цикле отходов, а также порядок рационального обращения с отходами на этапах их технологического цикла.

3.1.13. Энергоиспользование (энергопотребление): целенаправленное использование, потребление, расходование топливно-энергетических ресурсов различных видов в процессах человеческой деятельности.

3.1.14. Эффективное использование топливно-энергетических ресурсов (энергоэффективность): показатели достижения экономически оправданного в конкретных регламентированных условиях работы и эффективного потребления, расходования топливно-энергетических ресурсов энергопотребляющим объектом при существующем уровне развития техники и технологии с соблюдением требований к технике безопасности труда людей, снижением техногенного воздействия на окружающую среду и других требований общества.

3.1.15. Потери: любая деятельность, которая потребляет ресурсы, но не создает ценности.

Примечание. Медленные процессы также способствуют появлению потерь из-за накопления незавершенности производства, по вине которой отвлекаются финансовые ресурсы и генерируются скрытые затраты в накладных расходах, переделке, браке и несвоевременном удовлетворении запросов потребителей.

3.2. В настоящем стандарте использованы следующие сокращения:

БП - Lean Production, бережливое производство;

ВМР - вторичные материальные ресурсы;

ВЭР - вторичные энергетические ресурсы;

ЕС - European Community, Европейское сообщество;

НДТ - наилучшая доступная технология;

НИР - научно-исследовательские работы;

ОКР - опытно-конструкторские работы;

ОЭСР - Организация экономического сотрудничества и развития;

СЖЦ - стадия жизненного цикла;

СКОВИО - снижение количества отходов в источнике их образования;

СРПП - система разработки и постановки продукции на производство;

ТЭР - топливно-энергетические ресурсы;

ЭП - экономное производство.

4. Эффективное управление использованием материальных ресурсов при разработке изделий и постановке продукции на производство

4.1. Согласно п. 4.3 ГОСТ Р 15.000 к числу основных задач СРПП относится установление положений, направленных на разработку, производство продукции высокого технического уровня и качества, отвечающей современным достижениям научно-технического прогресса с учетом новых технологий, безопасности для жизни и здоровья людей, охраны окружающей среды, совместимости и взаимозаменяемости, экономии материально-технических, энергетических ресурсов.

4.2. В соответствии с п. 4.6 ГОСТ Р 15.201 разработчик продукции проводит необходимые НИР, ОКР и технологические работы с учетом обеспечения следующих требований:

- безопасности, охраны здоровья и окружающей среды (в том числе их сохранения в процессе эксплуатации продукции);

- ресурсосбережения;

- значений показателей, определяющих ее технический уровень, в т.ч. конфигурацию (ГОСТ Р ИСО 10007), и установленных с учетом условий использования продукции;

- устойчивости к внешним воздействиям в соответствии с ГОСТ Р МЭК 61160;

- взаимозаменяемости и совместимости составных частей и продукции в целом.

4.3. Совершенствование конструкции изделия на основе достижений науки, техники, технологии и передового производственного опыта, обеспечивающее выполнение мероприятий по снижению материалосодержания на стадиях жизненного цикла изделий производственно-технического назначения производится с учетом положений ГОСТ Р 53791.

4.4. Эффективное управление использованием материальных и энергетических ресурсов при проектировании и постановке продукции на производство, а также на всех остальных стадиях жизненного цикла продукции от разработки концепции до ликвидации изделий.

4.4.1. При выборе каждого элемента конфигурации изделия, определяющей в т.ч. технический уровень продукции, необходимо руководствоваться критериями с учетом того, что функциональные и физические характеристики должны способствовать достижению выполнения конечной функции элемента в соответствии с его назначением.

4.4.2. При выборе критериев необходимо учитывать положения ГОСТ Р ИСО 10007:

- установленные законодательные и обязательные требования;

- критичность элементов конфигурации по отношению к риску и безопасности;

- применение новых и модифицированных технологий, в т.ч. нанотехнологий, проектирования или разработки;

- взаимосвязи с другими элементами конфигурации;

- условия приобретения элементов конфигурации;

- сопровождения и обслуживание продукции.

Число выбранных элементов конфигурации должно быть оптимальным для управления продукцией на СЖЦ.

4.4.3. Проверку деятельности по управлению конфигурацией и издержками (ресурсов) проводят по ГОСТ Р 52807.

4.5. Рекомендации по выполнению процедур анализа проекта в качестве средства стимулирования совершенствования продукции и процессов установлены в ГОСТ Р МЭК 61160.

4.5.1. В ГОСТ Р МЭК 61160 установлены детальное описание процедур участия в анализе проекта специалистов по надежности, техническому обслуживанию, ремонту и обеспечению работоспособности, а также положения об участии в анализе специалистов в других предметных областях, таких как качество, окружающая среда, безопасность, человеческий фактор и правовые вопросы.

4.5.2. Анализируемые проекты призваны (ГОСТ Р МЭК 61160) способствовать тому, чтобы продукция была способной переносить воздействия окружающей среды (пыли, температуры, вибрации, коррозии, плесневых грибков и др.) и других факторов (воздействие человека и его деятельности). Идентификация различных свойств продукции поможет проектировщикам при планировании. Дополнительно должно быть исследовано воздействие продукции на окружающую среду при эксплуатации. Должны также быть исследованы показатели безотказной работы и сопротивления внешним воздействующим факторам, что опосредованно влияет на показатели ресурсосбережения.

4.5.3. Формальный анализ проекта предусматривает следующие стадии жизненного цикла:

- концепция и определение (предварительный и детальный анализ);

- проектирование и разработка (детальный и заключительный анализ);

- производство и инсталляция (установка, монтаж) (производственный и установочный анализ);

- эксплуатация и техническое обслуживание (эксплуатационный анализ);

- распоряжение (стадия жизненного цикла, на которой использование продукции закончено, она изъята из эксплуатации, демонтирована, переработана или помещена на хранение).

4.5.4. В ГОСТ Р МЭК 61160 указано, что самостоятельный анализ стадии распоряжения продукцией обычно не применяют. Элементы анализа проекта на этой стадии могут быть разработаны на предыдущих стадиях.

4.5.5. Руководство по менеджменту рисков, возникающих при выполнении проектов, установлено ГОСТ Р 52806.

5. Основные положения политики ресурсосбережения на предприятии, производящем продукцию

5.1. Деятельность по управлению ресурсами на предприятии с целью материало-, энергосбережения может быть эффективной только в том случае, если она направлена на восприятие общего материально-энергетического потока как целостного объекта управления с координацией всех процессов товародвижения, начиная от закупки необходимых материальных, топливно-энергетических ресурсов, для эффективной организации производства и завершая отгрузкой готовой продукции потребителю.

5.2. Важным условием работы предприятия является полная и своевременная обеспеченность потребности в материальных и топливно-энергетических ресурсах, для чего необходимо:

- осуществлять контроль за состоянием складских запасов сырья и материалов, проверять соответствие фактических размеров запасов, необходимых для производственного цикла видов сырья, материалов и веществ, установленным в документации нормативам;

- проверять качество поступающих сырья, материалов и веществ в соответствии с положениями действующих нормативных (нормативно-правовых и нормативно-технических) документов;

- отслеживать выполнение плана по срокам поставки сырья, материалов и веществ, ТЭР.

5.3. Разрабатываемые, документируемые и поддерживаемые на предприятии (с учетом ГОСТ Р 1.15) нормативы гармонизируют с положениями, установленными в основополагающих (ГОСТ 30166, ГОСТ 30167, ГОСТ Р 52106, ГОСТ Р 52107) и профильных национальных стандартах Российской Федерации комплекса "Ресурсосбережение" (см. раздел 2 настоящего стандарта), стандартах Таможенного союза.

5.4. На предприятии разрабатывают и актуализируют меры и мероприятия по управлению материало-, энергосбережением, выявляют внутрипроизводственные резервы для снижения материалоемкости и энергоемкости выпускаемой продукции, обеспечивая уменьшение издержек производства и повышение конкурентоспособности продукции за счет поддержания качества по функциональному назначению и снижения ее рыночной стоимости.

5.5. Деятельность по материало- и энергосбережению становится экономически эффективной и экологически состоятельной при всестороннем обосновании и ответственном внедрении на предприятии наилучших доступных технологий (НДТ) (см. раздел 6 настоящего стандарта).

5.6. Выполнение запланированных мероприятий по материало-, энергосбережению, создание действующей на предприятии политики в области ресурсосбережения возможно на основе обучения и воспитания в каждом работнике моральной ответственности за рациональное использование результатов производственной деятельности предприятия. При проектировании изделий значительную роль играет ответственность специалистов различных областей деятельности (ГОСТ Р МЭК 61160).

5.7. Руководство предприятия организует и постоянно поддерживает деятельность отдела или лиц, ответственных за работы по ресурсосбережению.

5.8. Руководству предприятия целесообразно ознакомиться и дополнить действующую на производстве структуру в области материалосбережения приемлемыми элементами новых концепций и направлений (например, бережливое производство" (БП), или "экономное производство").

6. Направления эффективного управления материальными и энергетическими ресурсами при изготовлении изделий с минимизацией образования отходов и негативного воздействия на окружающую среду

6.1. Нормирование расхода всех видов сырья, материалов и веществ (далее - материалов) в составе показателей использования материалов проводится с целью установления их планового количества, необходимого для изготовления изделий и обеспечения наиболее рационального и эффективного использования материалов в производстве (ГОСТ 14.322).

6.1.1. Нормирование расхода материалов включает решение следующих задач (ГОСТ 14.322):

- анализ производственных условий потребления материалов и данные о передовых отечественных и зарубежных предприятий, выпускающих аналогичные изделия;

- установление норм расхода материалов на основе научно обоснованных нормативов;

- внедрение норм расхода материалов;

- контроль целесообразности общих норм расхода материалов и соблюдения конкретных технологических нормативов расхода материалов в производстве, при планировании, учете материальных затрат в материально-техническом обеспечении производства;

- выполнение технических и организационных мероприятий, обеспечивающих более рациональное и эффективное использование материалов;

- периодический пересмотр норм расхода материалов в направлении снижения удельной материалоемкости производства изделия на основе обязательного внедрения практически безотходных (технологические отходы до 1,5%) и малоотходных технологических процессов (технологические отходы от 1,5% до 10%) при изготовлении изделий.

6.2. Организация и осуществление производственной деятельности в сфере эффективного управления ресурсами основывается на следующих принципах:

- рациональное расположение зданий, сооружений, производственных и складских помещений с точки зрения рационализации движения общего материального потока внутри предприятия;

- использование соответствующего оборудования, позволяющего реализовывать наилучшие доступные технологии преобразования материальных и энергетических ресурсов;

- рациональная организация транспортных потоков внутри и вне предприятия;

- эффективное и документированное управление процессами образования и обращения с отходами на предприятии;

- транспортирование, хранение и использование материальных ресурсов с учетом соблюдения санитарно-эпидемиологических норм (в т.ч. по ГОСТ Р ИСО/ТУ 22004 для изготовителей пищевой продукции) и требований обеспечения экологической безопасности (с оценкой организации на основе положений ГОСТ Р ИСО 14015);

- оптимизация дизайна упаковки и организация мероприятий по ее утилизации и ликвидации в соответствии с действующими стандартами.

6.3. В части стандартизации упаковки на стадиях жизненного цикла и на этапах технологического цикла отходов от нее целесообразно руководствоваться действующими на территории Российской Федерации стандартами, модифицированными по отношению к соответствующим европейским стандартам:

- в части терминологии - ГОСТ Р 53719 и ГОСТ Р 54529;

- в части специальных требований к минимизации, составу, изготовлению упаковки - ГОСТ Р 53740;

- в части рекомендаций по повторному использованию упаковки - ГОСТ Р 53759;

- в части требований к отработанной упаковке для ее переработки в качестве вторичных энергетических ресурсов - ГОСТ Р 53741;

- в части требований, критериев и схемы утилизации упаковки посредством компостирования и биологического разложения - ГОСТ Р 54530;

- в части требований к отработавшей упаковке для ее переработки в качестве вторичных материальных ресурсов - ГОСТ Р 53742;

- в части критериев выбора методов и процессов переработки отработанной упаковки в качестве вторичных материальных ресурсов с учетом материальных потоков - ГОСТ Р 53756;

- в части определения показателей и методов расчета результативности переработки отработанной упаковки в качестве вторичных материальных ресурсов - ГОСТ Р 53754;

- в части установления требований к применению европейских и соответствующих стандартов, действующих на территории Российской Федерации, в области упаковки и упаковочных отходов - ГОСТ Р 53744.

6.4. Эффективное управление материальными и энергетическими ресурсами во взаимосвязи с мерами по сохранению и защите окружающей среды стало возможно в настоящее время на основе применения концепции наилучших доступных технологий, положения которой установлены в ГОСТ Р 54097.

6.5. В Российской Федерации действуют разработанные в составе комплекса "Ресурсосбережение" стандарты на НДТ, учитывающие отдельные положения европейских справочников, взаимоувязанные с действующей терминологией в области ресурсосбережения, а также учитывающие возможность применения НДТ при их адаптации к условиям хозяйственной деятельности.

6.5.1. НДТ для обработки отходов в целях получения вторичных материальных ресурсов установлены в ГОСТ Р 55096.

6.5.2. НДТ с аспектами эффективного обращения с отходами в горнодобывающей промышленности установлены в ГОСТ Р 55100.

6.5.3. НДТ для повышения энергоэффективности при производстве извести установлены ГОСТ Р 54206, ГОСТ Р 55098.

6.5.4. НДТ для сжигания газообразного топлива установлены ГОСТ Р 54202.

6.5.5. НДТ для сжигания каменных и бурых углей с предотвращением выбросов, образуемых в процессах разгрузки, хранения и транспортирования, установлены ГОСТ Р 54203 и ГОСТ Р 54204.

6.5.6. НДТ для производства тепловой и электрической энергии при сжигании различных видов топлив установлены ГОСТ Р 54193, ГОСТ Р 54199, ГОСТ Р 54200, а при сжигании отходов - ГОСТ Р 54205, ГОСТ Р 55097.

6.5.7. НДТ для повышения энергоэффективности при производстве цемента установлены ГОСТ Р 54194, ГОСТ Р 55099.

6.5.8. НДТ для повышения энергоэффективности при производстве сортового и тарного стекла установлены ГОСТ Р 54201.

6.5.9. НДТ для повышения эффективности использования энергоресурсов в кожевенной промышленности установлены ГОСТ Р 54207.

6.5.10. Показатели (индикаторы) НДТ для повышения эффективности, а также принципы и положения по их планированию и идентификации в промышленном производстве установлены ГОСТ Р 54195, ГОСТ Р 54196, ГОСТ Р 54197, ГОСТ Р 54198.

6.6. Рекомендации ОЭСР приведены в ГОСТ Р 55086, ГОСТ Р 55087, ГОСТ Р 55088, ГОСТ Р 55089, ГОСТ Р 55090, ГОСТ Р 55091, ГОСТ Р 55092, ГОСТ Р 55093, ГОСТ Р 55094, ГОСТ Р 55095.

6.7. При организации работ по ресурсосбережению сотрудников предприятия целесообразно учитывать положения ГОСТ Р ИСО 26000.

6.8. Роль специалистов во всех сферах анализа проекта установлена в ГОСТ Р МЭК 61160.

6.9. Метод расчета отходов и потерь сырья и пищевых продуктов при производстве продуктов общественного питания установлен ГОСТ Р 53106.

6.10. Минимизация образованных и накапливаемых отходов и сбросов производства и потребления возможна с применением нетрадиционных технологий путем использования этих отходов и сбросов в качестве возобновляемых источников энергии (ГОСТ Р 54100) с применением биогазовых установок (ГОСТ Р 53790) и комплексной технологии утилизации отходов агропромышленного комплекса.

6.11. В ГОСТ Р ИСО 9000 установлена модель системы менеджмента качества, основанная на процессном подходе, включающая процессы жизненного цикла продукции с учетом ресурсосберегающей составляющей.

7. Эффективное обращение с отходами производства на этапах их технологического цикла

7.1. В настоящее время при решении задач экологически безопасного и ресурсосберегающего обращения с отходами необходимо учитывать следующее:

- образование отходов во всех сферах деятельности и отраслях промышленности;

- большую часть отходов на территории Российской Федерации составляют упаковочные отходы;

- низкий уровень использования отходов в качестве вторичных материальных и энергетических ресурсов;

- необходимость учета экономических, экологических и социальных аспектов при использовании отходов в различных целях;

- складирование, захоронение или уничтожение отходов I - III класса опасности требуют значительных капитальных и эксплуатационных затрат.

7.2. Согласно международным директивам и документам все характеристики отхода подлежат полному документированию. На территории Российской Федерации в соответствии с ГОСТ 30772 применяются технический паспорт отходов и паспорт опасности отходов.

7.3. Основные аспекты управления отходами производства.

7.3.1. В основу деятельности по управлению отходами производства положена их классификация, установленная в ГОСТ 30775 и распределяющая отходы по трем иерархическим уровням (группы, подгруппы, позиции). Полный классификационный код отходов состоит из 11 кодовых групп, разделяемых косыми чертами. Полный код отхода отображает (с учетом Европейского классификатора отходов, документов ОЭСР, общероссийских классификаторов) следующие группы:

1 - наименование (N);

2 - вид экономической деятельности, в результате которой образованы отходы (P);

3 - предприятие, на котором образованы отходы (M);

4 - организация, в чьей собственности/владении находятся отходы в настоящий момент (B);

5 - количество отходов (K);

6 - причины перевода материала (изделия) в отходы (Q);

7 - агрегатное состояние отходов (W);

8 - идентификатор класса опасности отходов (T);

9 - идентификатор опасных составляющих отходов (C);

10 - свойства, определяющие опасность отходов (H);

11 - реализованный способ обращения с отходами (D, R).

Классификатор построен так, что по мере необходимости количество кодовых блоков и объемы информации в них можно увеличивать при наличии достоверных данных и конкретных потребностей субъектов деятельности по обращению с отходами.

7.3.2. Снижение количества отходов в источнике их образования (СКОВИО) как наилучшая стратегия управления отходами производства, т.е. в производственном цикле изготовления продукции с идентификацией источников и видов всех технологических операций, - одно из важнейших направлений ресурсосбережения. К этим направлениям относятся также:

- мероприятия, уменьшающие, предотвращающие образование или ликвидирующие уже образовавшиеся отходы производства;

- повторное использование отходов производства в технологическом цикле;

- перевод периодического производства в непрерывное, в ходе которого образуется, как правило, меньше отходов на единицу конечного продукта;

- учет негативного влияния отходов на все элементы окружающей среды. При этом следует считать нежелательным метод управления отходами I - III класса опасности в твердом и жидком состояниях путем их закачки в подземные горизонты (даже ниже уровня грунтовых вод).

7.3.3. При оценке опасности негативных воздействий исходных веществ, материалов и конечных отходов производства на здоровье человека и окружающую среду необходимо учитывать их:

- канцерогенность;

- эмбриональную токсичность (включая тератогенность);

- возможность наследственной генетической и хромосомной мутации;

- воздействие на репродуктивные органы;

- острую токсичность;

- хроническую токсичность;

- нейротоксичность;

- опасность для окружающей среды;

- бионакопление;

- устойчивость в окружающей среде.

7.3.4. Предприятие должно стремиться к максимальному уменьшению образования любых отходов с минимизацией существующих и возможных опасностей их для здоровья человека с сохранением и защитой окружающей среды.

7.3.5. При реализации на предприятии стратегии СКОВИО необходимо:

- обеспечить ответственное планирование работ;

- собрать данные об отходах производства и предусмотреть финансирование мероприятий по обращению с отходами;

- установить последовательность действий по управлению отходами;

- создать эффективную систему ответственности руководства;

- развить стимулирование работ по обращению с отходами.

7.4. При планировании работ и учете затрат, в т.ч. на экобезопасное и ресурсосберегающее обращение с отходами, как правило, нужно учитывать факторы и соответствующие аспекты, влияющие на себестоимость продукции.

7.5. На основе международного (ИСО), регионального (ЕС) опыта разработаны национальные стандарты Российской Федерации комплекса "Ресурсосбережение" применительно к обращению с отходами производства и потребления. В комплексе "Ресурсосбережение", кроме 6.3 - 6.6, 6.10, предусмотрено, что:

- основные положения установлены в ГОСТ Р 52108;

- этапы технологического цикла отходов установлены в ГОСТ Р 53692;

- основные положения, классификация, идентификация и кодирование отходов установлены в ГОСТ 30775;

- основные требования к паспорту отхода I - IV класса опасности установлены в ГОСТ Р 53691;

- взаимосвязь требований Федерального классификационного каталога отходов и Общероссийского классификатора продукции установлена в ГОСТ Р 54096;

- классификация и методы переработки ртутьсодержащих отходов установлена ГОСТ Р 52105;

- основные положения по определению ртути в ртутьсодержащих отходах производства и потребления установлены ГОСТ Р 51768;

- основные положения по документированию и регулированию деятельности по обращению с отходами производства и потребления установлены ГОСТ Р 51769;

- требования к экобезопасной утилизации отработавших шин установлены ГОСТ Р 54095;

- стандартный метод определения качества топлива, полученного из отходов, на основе испытания объединенной выборки образцов установлен ГОСТ Р 54258;

- стандартное руководство по сокращению количества отходов, восстановлению ресурсов и использованию утилизированных полимерных материалов и продуктов установлено ГОСТ Р 54259;

- стандартное руководство по использованию топлива, полученного из отходов шин, установлено ГОСТ Р 54260;

- стандартный метод определения высшей теплотворной способности и зольности отходов материалов установлен ГОСТ Р 54261;

- стандартный метод определения термических характеристик макрообразцов топлива, полученного из отходов, установлен ГОСТ Р 54262.

7.6. Общие положения по оценке прошлого экологического ущерба, накопленного в местах дислокации организаций, установлены ГОСТ Р 54003.

БИБЛИОГРАФИЯ

[1] Федеральный закон "О техническом регулировании" от 27.12.2002 N 184-ФЗ

[2] Федеральный закон "Об отходах производства и потребления" от 24 июня 1998 г. N 89-ФЗ

[3] Модельный закон "Об отходах производства и потребления". Принят Постановлением N 29-15 от 31.10.2007 Межпарламентской Ассамблеей государств - участников Содружества Независимых Государств