2.3.7. Гигиена. Гигиена питания. Состояние здоровья населения в связи с состоянием питания. Оценка качества пищевой продукции и оценка доступа населения к отечественной пищевой продукции, способствующей устранению дефицита макро- и микронутриентов. Методические рекомендации. МР 2.3.7.0153-19

(утв. Главным государственным санитарным врачом РФ 26.09.2019)

ГОСУДАРСТВЕННАЯ СИСТЕМА САНИТАРНО-ЭПИДЕМИОЛОГИЧЕСКОГО НОРМИРОВАНИЯ РОССИЙСКОЙ ФЕДЕРАЦИИ

УТВЕРЖДАЮ
Руководитель Федеральной службы
по надзору в сфере защиты прав
потребителей и благополучия человека,
Главный государственный санитарный
врач Российской Федерации
А.Ю.ПОПОВА
26 сентября 2019 г.

2.3.7. ГИГИЕНА. ГИГИЕНА ПИТАНИЯ. СОСТОЯНИЕ ЗДОРОВЬЯ НАСЕЛЕНИЯ В СВЯЗИ С СОСТОЯНИЕМ ПИТАНИЯ

ОЦЕНКА КАЧЕСТВА ПИЩЕВОЙ ПРОДУКЦИИ И ОЦЕНКА ДОСТУПА НАСЕЛЕНИЯ К ОТЕЧЕСТВЕННОЙ ПИЩЕВОЙ ПРОДУКЦИИ, СПОСОБСТВУЮЩЕЙ УСТРАНЕНИЮ ДЕФИЦИТА МАКРО- И МИКРОНУТРИЕНТОВ

МЕТОДИЧЕСКИЕ РЕКОМЕНДАЦИИ

МР 2.3.7.0153-19

I. Область применения

1.1. Настоящие методические рекомендации (далее - МР) определяют:

- порядок оценки показателей качества, в том числе пищевой ценности пищевой продукции (содержание макро- и микронутриентов), в рамках мониторинговых исследований качества пищевой продукции;

- порядок оценки доступа населения к отечественной пищевой продукции, способствующей устранению дефицита макро- и микронутриентов.

1.2. МР предназначены для специалистов управлений Федеральной службы по надзору в сфере защиты прав потребителей и благополучия человека по Московской области, по Республике Башкортостан, по Самарской области, по Свердловской области, по Омской области и ФБУЗ "Федеральный центр гигиены и эпидемиологии" Роспотребнадзора, ФБУЗ "Центр гигиены и эпидемиологии в Московской области", ФБУЗ "Центр гигиены и эпидемиологии в Республике Башкортостан", ФБУЗ "Центр гигиены и эпидемиологии в Самарской области", ФБУЗ "Центр гигиены и эпидемиологии в Свердловской области", ФБУЗ "Центр гигиены и эпидемиологии в Омской области" и научно-исследовательских учреждений в целях проведения мониторинговых исследований качества пищевой продукции и определения доступа населения к отечественной пищевой продукции, способствующей устранению дефицита макро- и микронутриентов.

II. Общие положения

2.1. Мониторинг качества пищевой продукции и оценка доступа к отечественной пищевой продукции, способствующей устранению дефицита макро- и микронутриентов, являются составной частью социально-гигиенического мониторинга.

2.2. Мониторинг качества пищевой продукции позволяет:

- проводить оценку качества пищевой продукции, находящейся в обращении на территории Российской Федерации;

- выявлять не соответствующие установленным значениям по показателям качества пищевые продукты (этикеточная надпись, результаты исследований);

- выявлять фальсифицированные пищевые продукты;

- вести учет не соответствующей требованиям, установленным для показателей качества пищевой продукции, фальсифицированной пищевой продукции и изготовителей этой продукции и формировать решения о проведении контрольно-надзорных мероприятий;

- провести сравнительную оценку полученных результатов по показателям качества пищевой продукции, что позволит обосновать необходимость проведения дополнительных мероприятий по контролю качества за определенными видами пищевой продукции в данном пилотном регионе;

- обосновывать экономически эффективные программы, направленные на повышение качества пищевой продукции, для принятия управленческих решений разного уровня;

- получать данные по естественной вариабельности энергетической и пищевой ценности и другим показателям качества пищевой продукции;

- получать данные о необходимости разработки новых методик определения показателей качества пищевой продукции.

2.3. Оценка доступа населения к отечественной пищевой продукции, способствующей устранению дефицита макро- и микронутриентов, в том числе пищевой продукции, обогащенной белком, полиненасыщенными жирными кислотами, витаминами, макро- и микроэлементами, пищевыми волокнами, биологически активными веществами, а также к специализированной пищевой продукции и пищевой продукции со сниженным содержанием насыщенных жиров, в том числе трансизомеров жирных кислот, простых сахаров и пищевой соли, позволяет:

- проводить мониторинг наличия пищевой продукции и доступа населения к отечественной пищевой продукции, способствующей устранению дефицита макро- и микронутриентов;

- разрабатывать для пищевой промышленности предложения по расширению ассортимента и объемов производства отечественной пищевой продукции, способствующей устранению дефицита макро- и микронутриентов;

- вести в субъектах Российской Федерации учет предприятий пищевой промышленности, ассортимента и объемов производства обогащенной отечественной пищевой продукции;

- разрабатывать приоритетные направления действий по устранению дефицита макро- и микронутриентов у населения, в том числе путем просвещения населения о принципах здорового питания через средства массовой информации, включая радио-, телекоммуникации и сеть интернет, выпуск буклетов, памяток и другой печатной продукции, реализуемой в школах, средних и высших учебных заведениях, организациях общественного питания, торговых точках;

- разрабатывать предложения по включению в рационы питания для организованных коллективов и предприятий общественного питания отечественной пищевой продукции, обогащенной биологически активными веществами, а также пищевой продукции со сниженным содержанием насыщенных жиров, в том числе трансизомеров жирных кислот, простых сахаров и пищевой соли.

2.4. МР предусматривают:

- алгоритм выборки торговых точек для отбора образцов пищевой продукции с целью проведения исследований по оценке показателей качества и для оценки доступа населения к отечественной пищевой продукции, способствующей устранению дефицита макро- и микронутриентов;

- порядок формирования перечня пищевой продукции для оценки ее качества, а также перечня пищевой продукции, способствующей устранению дефицита макро- и микронутриентов;

- порядок оценки результатов показателей качества пищевой продукции;

- порядок проведения мониторинга наличия пищевой продукции, в том числе отечественного производства, способствующей устранению дефицита макро- и микронутриентов;

- алгоритм оценки обеспеченности доступа населения к пищевой продукции, в том числе отечественного производства, способствующей устранению дефицита макро- и микронутриентов.

III. Алгоритм выборки торговых точек

3.1. Оценка качества пищевой продукции и доступа населения к отечественной пищевой продукции, способствующей ликвидации дефицита макро- и микронутриентов, проводится на федеральном и региональном уровнях.

3.2. Для выборки торговых точек используются данные Федерального реестра юридических лиц и индивидуальных предпринимателей, осуществляющих деятельность на территории Российской Федерации (соответствующего субъекта Российской Федерации), деятельность которых подлежит санитарно-эпидемиологическому надзору, который формируется с учетом видов деятельности, предусмотренных общероссийскими классификаторами - общероссийским классификатором видом экономической деятельности (ОКВЭД) и общероссийским классификатором пищевой продукции по видам экономической деятельности (ОКПД).

3.3. Формирование списка торговых точек проводится ФБУЗ "Центр гигиены и эпидемиологии" в субъектах Российской Федерации и управлениями Федеральной службы по надзору в сфере защиты прав потребителей благополучия человека по субъектам Российской Федерации и корректируется ежегодно. Список согласовывается с ФБУЗ "Федеральный центр гигиены и эпидемиологии".

3.4. Для формирования основы выборки создается база данных, в которую включают все торговые объекты с кодами ОКВЭД:

- 47.11 Торговля розничная преимущественно пищевыми продуктами, включая напитки, и табачными изделиями в неспециализированных магазинах;

- 47.11.1 Торговля розничная замороженными продуктами в неспециализированных магазинах;

- 47.11.2 Торговля розничная незамороженными продуктами, включая напитки и табачные изделия, в неспециализированных магазинах;

- 47.11.3 Деятельность по розничной торговле большим товарным ассортиментом с преобладанием продовольственных товаров в неспециализированных магазинах;

- 47.2 Торговля розничная пищевыми продуктами, напитками и табачными изделиями в специализированных магазинах;

- 47.81 Торговля розничная в нестационарных торговых объектах и на рынках пищевыми продуктами, напитками и табачной продукцией;

- 47.81.1 Торговля розничная в нестационарных торговых объектах напитками и табачной продукцией.

Пример распределения общего количества торговых точек в пилотных регионах представлен в табл. 1.

Таблица 1

Распределение общего количества торговых точек по пилотным регионам

N п/п Пилотный регион Общее количество торговых объектов в регионе Общий объем выборки торговых точек для оценки доступа населения к пищевой продукции Общий объем выборки торговых точек для оценки качества пищевой продукции
1 Московская область 10 664 970 100
2 Омская область 3 828 835 100
3 Республика Башкортостан 11 854 980 100
4 Самарская область 3 251 805 100
5 Свердловская область 6 835 925 100
Итого: 36 432 4 515 500

3.5. Объем выборки торговых объектов для оценки наличия пищевой продукции и доступа населения к пищевой продукции отечественного производства, способствующей снижению дефицита макро- и микронутриентов, в каждом субъекте Российской Федерации должен включать не менее 500 торговых точек из общего перечня торговых точек.

Одновременно формируются два списка торговых точек для оценки наличия пищевой продукции и доступа населения к пищевой продукции: основной и запасной. Оба списка, "основной" и "запасной", нумеруются от первого номера до последнего.

В первую очередь обследуются торговые точки из основного списка. Если по каким-либо причинам объект из основного списка не может быть обследован (например, торговый объект прекратил свою работу, указан ошибочный адрес и т.п.), на замену берется торговая точка с идентичным номером из запасного списка. Если по каким-либо причинам объект из запасного списка не может быть обследован (например, торговый объект прекратил свою работу, указан ошибочный адрес и т.п.), торговая точка на замену не берется.

3.6. Объем выборки торговых объектов для оценки качества пищевой продукции в каждом субъекте Российской Федерации должен включать не менее 100 торговых точек из общего перечня торговых точек.

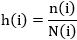
В качестве первой торговой точки для оценки показателей качества в основной список включается объект, идущий в списке торговых точек страты под номером q(i), который сгенерирован при помощи датчика случайных чисел в интервале от 1 до h(i) <1>. В качестве второй торговой точки из данной страты в основной список включается объект, идущий в списке торговых точек страты под номером q(i) + h(i) и т.д., пока не будет отобрано необходимо количество торговых точек из данной страты - 100.

<1> Для выбора 1-й точки - = СЛЧИС()*10 (Выбор точки должен начинаться с 1 по 10 точку - пишется формула = СЛЧИСО* (10 - 1) + 1 т.е. = СЛЧИС()*10).

Шаг отбора (h(i)) <2> рассчитывается по формуле: (1)

<2> Полученный дробный результат округляется до ближайшего целого числа.

, где (1)

n(i) - общее число торговых точек в регионе;

N(i) - объем выборки для оценки качества пищевой продукции в пилотном регионе.

В качестве первой торговой точки для оценки показателей качества в запасной список включается объект, идущий в списке торговых точек страты под номером q(i) + 1. В качестве второй торговой точки из данной страты в запасной список включается объект, идущий в списке торговых точек страты под номером q(i) + h(i) + 1 и т.д., пока не будет отобрано необходимо количество торговых точек из данной страты - 100.

IV. Порядок формирования перечней пищевой продукции

4.1. Формирование списков пищевых продуктов, подлежащих отбору для последующего определения показателей качества, а также для оценки наличия пищевой продукции и доступа населения к пищевой продукции, в том числе отечественного производства, способствующей устранению дефицита макро- и микронутриентов, проводится в первый год и корректируется ежегодно с учетом результатов мониторинга качества пищевых продуктов, проведенного за предыдущий год, результатов анализа наличия пищевых продуктов и доступа населения к пищевым продуктам, в первую очередь, обогащенных пищевых продуктов, и особенностей структуры потребления пищевых продуктов в субъектах Российской Федерации.

4.2. В качестве данных о структуре потреблении пищевой продукции населением используются данные:

- Федеральной службы государственной статистики о среднедушевом годовом потреблении основных групп пищевых продуктов ("Потребление пищевых продуктов в домашних хозяйствах");

- специальных исследований фактического питания населения, основанных на оценке индивидуального потребления пищевых продуктов в рамках мониторинга за структурой питания населения.

4.3. Выбор продуктов формируется исходя из их пищевой ценности и способности обеспечивать потребности организма эссенциальными пищевыми веществами.

Основным источником белка являются мясо и мясопродукты (говядина, курица, свинина нежирная, печень говяжья, колбасы, сосиски, мясные консервы), рыба и морепродукты (треска и другая рыба, кальмары, рыбные консервы), яйца, сыр, молоко и молочная продукция (молоко, кисломолочные продукты, творог нежирный), горох и фасоль, хлеб.

Основными источниками жира являются мясопродукты (колбаса вареная, сосиски, сардельки, варено-копченые и сырокопченые колбасы), молоко и молочные продукты (молоко, сметана, творог), масло сливочное, майонез.

Основными источниками полиненасыщенных жирных кислот являются растительные масла (подсолнечное, оливковое, соевое, рапсовое и др.), сельдь, скумбрия, лосось, форель, рыбный жир.

Основными источниками пищевых волокон являются овсяные отруби, хлеб зерновой, бобовые, овощи, фрукты, крупа гречневая.

Основными источниками витамина C являются шиповник, перец сладкий, капуста брюссельская, цветная, белокочанная (в том числе квашеная), томаты, смородина черная, листовые салаты, цитрусовые.

Основными источниками витамина B1 являются хлеб (особенно из муки грубого помола), бобовые, крупы (гречневая, овсяная, пшенная), свинина, печень говяжья, дрожжи пекарские

Основными источниками витамина B2 являются крупы гречневая и овсяная, молоко, кисломолочные и жидкие молочные продукты, печень говяжья, сыр, творог, яйца, рыба, мясо, птица, пекарские дрожжи.

Основными источниками витамина B6 являются мясо, печень говяжья, птица, рыба, бобовые, крупы, овсяные хлопья, хлеб, пекарские дрожжи.

Основными источниками витамина PP являются крупы гречневая и овсяная, мясо, птица, печень говяжья, рыба, бобовые, хлеб, пекарские дрожжи.

Основными источниками фолиевой кислоты являются салат зеленый, цветная капуста, спаржа, шпинат, печень говяжья, почки, хлеб, сыр, грибы, орехи.

Основными источниками витамина B12 являются печень, субпродукты мясные (почки, сердце), мясо, жидкие молочные продукты, творог, сыр, яйца.

Основными источниками биотина являются яйцо куриное, печень говяжья, сыр, пшеничные отруби, пекарские дрожжи, орехи.

Основными источниками витамина A являются рыбный жир, масло коровье, яйца, печень говяжья.

Основными источниками витамина E являются масла растительные (подсолнечное, оливковое, кукурузное, соевое, хлопковое, рапсовое), майонез, орехи (миндаль, лесной орех, арахис, грецкие орехи), горох, фасоль.

Основными источниками витамина D являются печень трески, рыба, масло коровье, яйца.

Основными источниками кальция являются молоко и кисломолочные продукты, творог, сыр, листовая зелень.

Основными источниками фосфора являются сыр, творог, мясо, птица, рыба, хлеб, крупы (гречневая, овсяная), бобовые, картофель.

Основными источниками калия являются картофель, сухофрукты (изюм, курага, инжир, чернослив), сыр, мясо, бобовые, орехи, яблоки.

Основными источниками магния являются бобовые, гречневая и овсяная крупы, хлеб пшеничный с отрубями, орехи, сухофрукты (курага, чернослив, инжир).

Основными источниками железа являются мясо, печень говяжья, хлеб ржаной, грибы.

Основными источниками цинка являются печень говяжья, мясо, сыр, бобовые, орехи, крупа овсяная, яблоки.

Основными источниками йода являются рыба и морепродукты, морская капуста.

Основными источниками марганца являются овсяная крупа, фасоль, сыр, хлеб пшеничный, орехи, мясо, шпинат.

Основными источниками селена являются мясо, рыба и морепродукты, хлебобулочные изделия, грибы, чеснок.

4.4. Отбор образцов для оценки качества пищевой продукции в торговых точках региона проводится таким образом, чтобы в течение года был произведен отбор образцов из всех торговых точек, определенных на текущий год, и в разные периоды года. План отбора образцов пищевых продуктов из торговых точек утверждается руководителем управления Федеральной службы по надзору в сфере защиты прав потребителей и благополучия человека по субъекту Российской Федерации.

4.5. Отбор образцов разных изготовителей (с акцентом на отечественную региональную продукцию) для оценки качества пищевой продукции в 2019 году проводился по всему ассортименту пищевой продукции, представленному в Приложении 1 к настоящим МР, при наличии данных пищевых продуктов в торговых точках. При этом необязательно в одной торговой точке отбирать все образцы из ассортимента пищевой продукции, представленной в Приложении 1. Важно, чтобы образцы пищевой продукции были отобраны из всех торговых точек, определенных в выборке. При отсутствии в конкретной торговой точке тех или иных видов пищевой продукции, указанных в Приложении 1, они могут отбираться в других торговых точках.

4.6. Для оценки качества пищевой продукции образцы отбираются в соответствии с нормативными документами, устанавливающими порядок отбора пищевой продукции для анализа. Пояснения к выбору отдельных категорий продуктов представлены в Приложении 2.

4.7. Количество образцов для исследования показателей качества пищевой продукции определяется планом на проведение лабораторных исследований в рамках реализации федерального проекта "Укрепление общественного здоровья" национального проекта "Демография".

4.8. Рекомендуемое количество образцов по каждой позиции пищевой продукции, указанной в Приложении 1, для определения показателей качества отбирается из общей выборки торговых точек (на 2019 год - 100 торговых точек):

- для хлеба пшеничного, хлеба ржано-пшеничного - не менее 20 образцов по каждой позиции;

- для готовых завтраков на основе зерновых, макаронных изделий и яиц - не менее 15 образцов по каждой позиции;

- для соков, нектаров, сокосодержащих напитков и консервированных фруктов и ягод - не менее 15 образцов по каждой позиции;

- для свежих груш, огурцов - не менее 8 образцов по каждой позиции;

- для свежих яблок, томатов - не менее 7 образцов по каждой позиции;

- для сосисок, сарделек - не менее 8 образцов по каждой позиции;

- для шпикачек - не менее 4 образцов всего;

- для вареных колбас с видимым жиром и без такового, полуфабрикатов мясных (кусковых, рубленых), полуфабрикатов из мяса птицы (кусковых, рубленых), национальных мясных изделий - не менее 10 образцов по каждой позиции;

- для мясных, мясорастительных и растительно-мясных консервов - не менее 20 образцов всего;

- для молока с м.д.ж. 2,5%, молока с м.д.ж. 3,6 - 4,0%, йогуртов с сахаром с м.д.ж. менее 2,5%, йогуртов с сахаром с м.д.ж. от 2,5% (включительно), сметаны с м.д.ж. менее 15%, сметаны с м.д.ж. от 15% (включительно), творожных сырков, массы творожной, молокосодержащей продукции, изготовленной по технологии сыра, пломбира без добавок, национальной молочной продукции - не менее 10 образцов по каждой позиции;

- для кефира с м.д.ж. 3,2%, сыров, творога, сгущенного молока и сливочного масла - не менее 20 образцов по каждой позиции;

- для рыбы океанической замороженной, рыбы пресноводной замороженной, сельди соленой, рыбных консервов натуральных, рыбных консервов в масле - не менее 10 образцов по каждой позиции;

- для оливкового масла, йодированной соли - не менее 10 образцов по каждой позиции;

- для шоколада молочного без начинки и наполнителей, конфет шоколадных с жировой начинкой, печенья сахарного - не менее 10 образцов по каждой позиции;

- для БАД (источники витаминов и минеральных веществ), БАД (источники полиненасыщенных жирных кислот) - не менее 10 образцов по каждой позиции.

Отбор проб пищевой продукции для оценки показателей качества не допускается производить в магазинах, не включенных в "основной" или "запасной" списки (п. 3.6 данных МР).

4.9. В процессе отбора образцов для оценки показателей качества пищевой продукции особое внимание уделяется оценке маркировки (этикеточной надписи и/или вкладышей для биологически активных добавок к пище) в части ее соответствия требованиям технических регламентов, в том числе по показателям пищевой ценности и ингредиентному составу (включая пищевые добавки), а также условиям хранения и срокам годности пищевой продукции. Эти данные вносятся в акт отбора образцов, а этикеточная надпись прикладывается к акту отбора образцов.

4.10. В рамках проведения мониторинговых лабораторных исследований для оценки качества пищевой продукции во всех испытательных лабораториях, осуществляющих исследования, должен быть обеспечен сквозной контроль качества методик испытаний. Перечень рекомендуемых методов исследований для определения показателей качества пищевой продукции приведен в Приложении 3.

4.11. Перечень пищевых продуктов, способствующих устранению дефицита макро- и микронутриентов. представлен в Приложении 4.

4.12. На основании данных о потреблении пищевой продукции, перечней пищевых продуктов, способствующих устранению дефицита макро- и микронутриентов (Приложение 4), управлениями Федеральной службы по надзору в сфере защиты прав потребителей и благополучия человека по субъектам Российской Федерации совместно с ФБУЗ "Центр гигиены и эпидемиологии" в субъектах Российской Федерации формируется Анкета оценки наличия пищевой продукции, в том числе отечественного производства, способствующей устранению дефицита макро- и микронутриентов (Приложение 5).

4.13. Пояснения к оценке обогащенной и специализированной пищевой продукции и заполнению анкеты по оценке обеспеченности населения доступом к отечественной пищевой продукции, способствующей устранению дефицита макро- и микронутриентов, в отношении этих продуктов представлены в Приложении 6.

4.14. Анкетирование по оценке наличия пищевой продукции, в том числе отечественного производства, проводится во всех торговых объектах, попавших в выборку в каждом субъекте Российской Федерации в течение года. При этом управлениями Федеральной службы по надзору в сфере защиты прав потребителей и благополучия человека по субъектам Российской Федерации совместно с ФБУЗ "Центр гигиены и эпидемиологии" в субъектах Российской Федерации формируется список торговых точек таким образом, чтобы в каждом районе, входящем в субъект Российской Федерации, анкетирование было проведено равномерно в течение года.

Анкетирование по оценке наличия пищевой продукции, в том числе отечественного производства, не допускается проводить в магазинах, не включенных в основной или запасной списки (п. 3.5 данных МР).

V. Оценка результатов мониторинговых исследований показателей качества пищевой продукции

5.1. В соответствии с Приложением 1 образцы пищевой продукции подвергаются органолептическому анализу. Данные по показателям пищевой ценности, указанные на этикетке, заносятся в базу данных и сравниваются с результатами проведенных аналитических исследований по каждому образцу. Если данные по содержанию витаминов, минеральных веществ и пищевых волокон отсутствуют в этикеточной надписи (для необогащенных пищевых продуктов), то результаты проведенных аналитических исследований по этим показателям сравниваются с величинами таблиц химического состава российских пищевых продуктов аналогичного наименования <3>. Для обогащенных пищевых продуктов данные аналитических исследований сравниваются с показателями, вынесенными на этикетку (или вкладыш).

<3> Тутельян В.А. Химический состав и калорийность российских продуктов питания: Справочник. М.: ДеЛи плюс, 2012. 284 с.

5.2. Результаты исследований оцениваются в соответствии с техническими регламентами Таможенного союза и Евразийского экономического союза, действующими в отношении исследуемой категории пищевых продуктов.

5.3. Наличие и количественное содержание пищевых добавок оценивается в соответствии с техническим регламентом Таможенного союза "Требования безопасности пищевых добавок, ароматизаторов и технологических вспомогательных средств" (ТР ТС 029/2012).

5.4. Полученные аналитические данные используются для оценки качества по изученным показателям для каждого вида пищевой продукции.

5.5. При наличии данных, которые позволяют предположить наличие фальсификации пищевой продукции, информация передается в управление Федеральной службы по надзору в сфере защиты прав потребителей и благополучия человека по субъекту Российской Федерации для принятия решения о проведении контрольно-надзорных мероприятий в отношении такой продукции.

5.6. На основании полученных данных рассчитывается доля проб пищевой продукции, не соответствующих установленным требованиям по показателям пищевой ценности, вынесенным на этикетку, или величинам, установленным в таблицах химического состава российских пищевых продуктов (с учетом ошибки метода анализа и естественной вариабельности содержания), а также пищевым добавкам.

5.7. Полученные первичные данные и процент проб пищевой продукции, не соответствующих установленным величинам по показателям пищевой ценности, вынесенным на этикетку, или величинам, установленным в таблицах химического состава российских пищевых продуктов (с учетом ошибки метода анализа и естественной вариабельности содержания), а также пищевым добавкам, направляются в ФБУЗ "Федеральный центр гигиены и эпидемиологии" Роспотребнадзора для обобщения и анализа полученных результатов по субъектам и в целом по Российской Федерации для формирования федерального информационного фонда.

VI. Алгоритм оценки доступа населения к отечественной пищевой продукции, способствующей устранению дефицита макро- и микронутриентов

6.1. Оценка доступа населения к пищевой продукции, способствующей устранению дефицита макро- и микронутриентов, в том числе отечественного производства, проводится в три этапа.

6.2. На первом этапе осуществляется первичная оценка наличия в торговых точках в регионе пищевой продукции, способствующей устранению дефицита макро- и микронутриентов, в соответствии с перечнем, представленным в приложении 4 к данным МР. Первичная оценка осуществляется путем внесения фактических сведений о наличии пищевой продукции в конкретной торговой точке в соответствующую анкету (Приложение 5).

6.3. На втором этапе по анкетным данным (Приложение 5) осуществляется анализ доли пищевой продукции, имеющейся в наличии в торговых точках региона, способствующей снижению дефицита макро- и микронутриентов. Доля пищевой продукции, имеющейся в наличии в торговых точках региона, определяется в процентах как соотношение количества наименований пищевой продукции, имеющейся в наличии в торговых точках региона, к общему количеству наименований пищевой продукции, представленной в анкете (Приложение 5), умноженное на 100.

На этом же этапе проводится анализ доли отечественной пищевой продукции в торговых точках региона, способствующей снижению дефицита макро- и микронутриентов. Доля отечественной пищевой продукции определяется в процентах как соотношение количества наименований отечественной пищевой продукции к общему количеству наименований пищевой продукции, находящейся в наличии в торговых точках региона, умноженное на 100.

Аналогичным образом проводится анализ доли обогащенной пищевой продукции, а также анализ конкретных видов (по наименованиям) пищевой продукции в торговых точках региона.

Сведения, полученные в ходе анализа на втором этапе по региону, усредняются.

6.4. На третьем этапе осуществляется оценка показателя доступа населения к пищевой продукции, в том числе отечественного производства, способствующей снижению дефицита макро- и микронутриентов.

Оценка показателя доступа населения к пищевой продукции выражается в доле населения, имеющего в регионе доступ к необходимому количеству торговых точек, способных обеспечить необходимой продукцией, и определяется как соотношение минимального и фактического количества торговых точек в регионе, умноженное на 100.

Минимальное количество торговых точек определяется с учетом плотности населения:

- при плотности населения до 5 тыс. человек на 1 км2 - 2 торговых объекта;

- при плотности населения от 5 тыс. до 10 тыс. человек на 1 км2 - 4 торговых объекта;

- при плотности населения от 10 тыс. до 15 тыс. человек на 1 км2 - 6 торговых объектов;

- при плотности населения свыше 15 тыс. человек на 1 км2 - 8 торговых объектов.

Фактическое наличие торговых точек в регионе определяется на основании списка торговых точек, сформированного в соответствии с п. 3.3 данных МР.

В качестве данных о плотности населения в пилотном регионе используются данные Федеральной службы государственной статистики о численности и составе населения пилотного региона.

Сведения, полученные в ходе анализа на третьем этапе, усредняются.

6.5. Полученные усредненные данные по наличию пищевой продукции и доступу населения к пищевой продукции иллюстрируют долю населения, имеющего доступ к пищевой продукции, способствующей снижению дефицита макро- и микронутриентов, включая продукцию отечественного производства, обогащенную пищевую продукцию и отдельные виды (по наименованиям) пищевых продуктов.

6.6. Полученные данные могут быть дополнены сведениями о содержании в обогащенной пищевой продукции витаминов, минеральных веществ и макронутриентов, а также информацией об использовании цветовой маркировки критически значимых пищевых веществ на этикетке пищевой продукции.

Приложение 1
к МР 2.3.7.0153-19

АССОРТИМЕНТ ПИЩЕВОЙ ПРОДУКЦИИ ДЛЯ ОПРЕДЕЛЕНИЯ ПОКАЗАТЕЛЕЙ КАЧЕСТВА НА 2019 ГОД

N п/п Наименование продукта Органолептические показатели <1> Жиры Белки Зола Влажность Углеводы (расчетные) Углеводы (моно- и дисахариды) Пищевые волокна (сумма) Витамины Минеральные вещества Консерванты Синтетические красители Органические кислоты Стерины Энергетическая ценность (расчетная) Примечание
1 2 3 4 5 6 7 8 9 10 11 12 13 14 15 16 17 18
Хлебные продукты (хлеб и макаронные изделия, мука, крупа и бобовые)
1 Хлеб пшеничный + + + + + +   +   Na         + Для обогащенной пищевой продукции определяется весь спектр витаминов и минеральных веществ, указанных на этикетке
2 Хлеб ржано-пшеничный + + + + + +   + B1 Na         + Для обогащенной пищевой продукции определяется весь спектр витаминов и минеральных веществ, указанных на этикетке
3 Готовые завтраки на основе зерновых + + + + + + + +   Na         + Моно- и дисахариды: сахароза, глюкоза, фруктоза. Для обогащенной пищевой продукции определяется весь спектр витаминов и минеральных веществ, указанных на этикетке
4 Макаронные изделия + + + + + +   + B1 Na         +  
Фрукты и продукты их переработки
5 Соки +           + + C   + + +     Пищевые волокна определяются только в неосветленных соках.
Моно- и дисахариды: сахароза, глюкоза, фруктоза. Для обогащенной пищевой продукции определяется весь спектр витаминов и минеральных веществ, указанных на этикетке. Консерванты: бензойная, сорбиновая кислоты. Определяется показатель BRIX
6 Нектары +           + + C   + + +     Пищевые волокна определяются только в нектарах с мякотью.
Моно- и дисахариды: сахароза, глюкоза, фруктоза. Для обогащенной пищевой продукции определяется весь спектр витаминов и минеральных веществ, указанных на этикетке. Консерванты: бензойная, сорбиновая кислоты. Определяется показатель BRIX
7 Напитки сокосодержащие +           + +     + + +     Пищевые волокна определяются только в сокосодержащих напитках с мякотью или замутненных. Моно- и дисахариды: сахароза, глюкоза, фруктоза. Для обогащенной пищевой продукции определяется весь спектр витаминов и минеральных веществ, указанных на этикетке. Консерванты: бензойная, сорбиновая кислоты. Определяется показатель BRIX
8 Консервированные фрукты и ягоды +           +       +         Моно- и дисахариды: сахароза, глюкоза, фруктоза
9 Яблоки, груши свежие +             + C K, Fe            
Овощи
10 Огурцы, томаты свежие +             + C K           В томатах определяются каротиноиды (суммарно)
Мясные изделия
11 Сосиски, сардельки, шпикачки + + + + + +       Na, Fe + +     + Определяется видовая принадлежность мясного сырья, входящего в продукцию, при наличии количественного ПЦР-анализа
Определяется жирнокислотный состав, в том числе трансизомеры жирных кислот
12 Вареные колбасы + + + + + +       Na, Fe + +     + Определяется видовая принадлежность мясного сырья, входящего в продукцию, при наличии количественного ПЦР-анализа.
Определяется жирнокислотный состав, в том числе трансизомеры жирных кислот
13 Полуфабрикаты мясные (кусковые, рубленые) + + + + + +       Na, Fe + +   + + Определяется видовая принадлежность мясного сырья, входящего в продукцию, при наличии количественного ПЦР-анализа.
Определяется жирнокислотный состав, в том числе трансизомеры жирных кислот
14 Полуфабрикаты из мяса птицы (кусковые, рубленые) + + + + + +       Na, Fe + +   + + Определяется видовая принадлежность мясного сырья, входящего в продукцию, при наличии количественного ПЦР-анализа.
Определяется жирнокислотный состав, в том числе трансизомеры
15 Мясные, мясорастительные и растительно-мясные консервы + + + + + +       Na, Fe   +     + Определяется видовая принадлежность мясного сырья, входящего в продукцию, при наличии количественного ПЦР-анализа.
Определяется жирнокислотный состав, в том числе трансизомеры жирных кислот
16 Национальные мясные изделия <2> + + + + + +       Na, Fe + +   + + Определяется видовая принадлежность мясного сырья, входящего в продукцию, при наличии количественного ПЦР-анализа. Определяется жирнокислотный состав, в том числе трансизомеры жирных кислот
Яйца и яйцепродукты
17 Яйцо куриное (любой категории) +               A, E Ca, Fe, Zn           Определяется жирнокислотный состав в желтке (ПНЖК)
Молочная продукция
18 Молоко питьевое (с жирностью 2,5% и 3,6 - 4,0%) + + + + + +     B2 Ca       + + Определяется жирнокислотный состав.
Для обогащенной пищевой продукции определяется весь спектр витаминов и минеральных веществ, указанных на этикетке
19 Кисломолочная продукция - йогурты, содержащие сахар + + + + + + +   B2 Ca   +   + + Определяется жирнокислотный состав.
Моно- и дисахариды: сахароза, глюкоза, фруктоза. Определяется заквасочная (технологическая) и пробиотическая микрофлора в зависимости от состава, указанного на этикетке.
Определяется СОМО.
Для обогащенной пищевой продукции определяется весь спектр витаминов и минеральных веществ, указанных на этикетке
20 Кисломолочная продукция - кефир 3,2% жирности (без фруктовых и иных наполнителей) + + + + + + +   B2 Ca       + + Определяется жирнокислотный состав.
Моно- и дисахариды: сахароза, глюкоза, фруктоза.
Определяется заквасочная (технологическая) и пробиотическая микрофлора в зависимости от состава, указанного на этикетке.
Определяется СОМО.
Для обогащенной пищевой продукции определяется весь спектр витаминов и минеральных веществ, указанных на этикетке
21 Сметана разной жирности + + + + + +     B2, A Ca       + + Определяется жирнокислотный состав.
Определяется заквасочная (технологическая) и пробиотическая микрофлора в зависимости от состава, указанного на этикетке
22 Творог (с жирностью 5% и более) + + + + + +     B2, A Ca       + + Определяется жирнокислотный состав, в том числе трансизомеры жирных кислот
23 Сырки творожные глазированные и масса творожная + + + + + + +   B2 Ca   +   + + Определяется жирнокислотный состав, в том числе трансизомеры жирных кислот (отдельно в творожной массе и отдельно в глазури). Моно- и дисахариды: сахароза, глюкоза, фруктоза
24 Сыры (с жирностью >= 40%) + + + + + +     B2 Ca       + + Определяется жирнокислотный состав, в том числе трансизомеры жирных кислот
25 Молокосодержащие продукты, изготовленные по технологии сыра + + + + + +       Ca   +   + + Определяется жирнокислотный состав, в том числе трансизомеры жирных кислот
26 Молочные консервы
(сгущенное молоко)
+ + + + + + +   B2 Ca       + + Определяется жирнокислотный состав, в том числе трансизомеры жирных кислот.
Моно- и дисахариды: сахароза, глюкоза, фруктоза
27 Масло сливочное + + + + + + +   A, D         + + Определяется жирнокислотный состав, в том числе трансизомеры жирных кислот.
Определение белков и углеводов, а также суммарных углеводов (по разнице) и энергетической ценности проводится при жирности сливочного масла < 72%)
28 Пломбир без добавок + + + + + + +   B2 Ca   +   + + Определяется жирнокислотный состав, в том числе трансизомеры жирных кислот (отдельно в пломбире, отдельно в глазури).
Моно- и дисахариды: сахароза, глюкоза, фруктоза
29 Национальная молочная продукция <4> + + + + + + +     Ca       + + Определяется жирнокислотный состав, в том числе трансизомеры жирных кислот
Рыба и продукты ее переработки
30 Рыба океаническая замороженная +                 I, Na           Определяется масса ледяной глазури.
Определяется видовая принадлежность рыбы, при наличии количественного ПЦР-анализа
31 Рыба пресноводная замороженная +                 I, Na           Определяется масса ледяной глазури.
Определяется видовая принадлежность рыбы, при наличии количественного ПЦР-анализа
32 Сельдь соленая (не пресервы)                 D Na           Синтетические красители определяются в окрашенной сельди.
Определяется видовая принадлежность рыбы, при наличии количественного ПЦР-анализа
33 Рыбные консервы натуральные + + + + + +       I, Na   +     + Определяется массовая доля рыбы в общей массе рыбных консервов.
Определяется видовая принадлежность рыбы, при наличии количественного ПЦР-анализа
34 Рыбные консервы в масле + + + + +         I, Na   +     + Определяется доля рыбы в общей массе рыбных консервов.
Определяется видовая принадлежность рыбы, при наличии количественного ПЦР-анализа
Масложировая продукция
35 Оливковое масло + +                           Определяется жирнокислотный состав
Кондитерские изделия
36 Шоколад без начинки и наполнителей молочный + + + + + + +         +     + Определяется жирнокислотный состав, в том числе трансизомеры жирных кислот.
Моно- и дисахариды: сахароза, глюкоза, фруктоза
37 Конфеты шоколадные с жировой начинкой + + + + + + +               + Определяется жирнокислотный состав, в том числе трансизомеры жирных кислот.
Моно- и дисахариды: сахароза, глюкоза, фруктоза
38 Печенье сахарное (типа Курабье) + + + + + + + +             + Определяется жирнокислотный состав, в том числе трансизомеры жирных кислот.
Моно- и дисахариды: сахароза, глюкоза, фруктоза.
Для обогащенной пищевой продукции определяется весь спектр витаминов и минеральных веществ, указанных на этикетке
Биологически активные добавки к пище (БАД)
39 БАД - источники витаминов и минеральных веществ                 + +           Определяется весь спектр витаминов и минеральных веществ, указанных на этикетке
40 БАД - источники полиненасыщенных жирных кислот   +             E         +   Определяется жирнокислотный состав
Йодированная соль
41 Йодированная соль                   I            

<1> При соответствии органолептических показателей исследуемой категории продукции заявленным требованиям (по нормативно-технической документации) - отмечать в протоколе "Соответствует". При несоответствии органолептических показателей исследуемой категории продукции заявленным требованиям (по нормативно-технической документации) - отмечать в протоколе "Не соответствует", с уточненным описанием отдельных не соответствующих показателей.

<2> В зависимости от региона.

Приложение 2
к МР 2.3.7.0153-19

КОММЕНТАРИИ К АССОРТИМЕНТУ ПИЩЕВОЙ ПРОДУКЦИИ (ДЛЯ ОТДЕЛЬНЫХ КАТЕГОРИЙ ПРОДУКТОВ)

1. Хлеб пшеничный и ржано-пшеничный

К данной категории продукции относится продукция, произведенная из обойной муки, муки высшего, первого и второго сорта:

- хлеб пшеничный и ржано-пшеничный (формовый, подовый);

- батон;

- паляница;

- каравай.

2. Готовые завтраки на основе зерновых

К данной категории продукции относятся:

- хлопья (кукурузные, пшеничные и др., в том числе с добавками);

- готовые завтраки (шарики, подушечки и др.).

3. Консервированные фрукты и ягоды

К данной категории продукции относятся:

- варенье;

- джемы;

- фрукты, плоды или ягоды протертые или дробленые.

4. Полуфабрикаты мясные

К данной категории продукции относится продукция, произведенная из мяса говядины, свинины, баранины.

5. Полуфабрикаты из мяса птицы

К данной категории продукции относится продукция, произведенная из мяса сельскохозяйственной птицы - кур, цыплят, цыплят-бройлеров, индеек, индюшат, гусей, гусят, цесарок, цесарят и перепелов:

- натуральная:

- тушки, части тушек и пищевых субпродуктов птицы,

- кусковые полуфабрикаты (бескостные и костные) или продукция,

- фаршированные полуфабрикаты или продукция;

- рубленая:

- формованные изделия или формованная продукция,

- в оболочке.

6. Мясные, мясорастительные и растительно-мясные консервы

К данной категории продукции относится продукция, произведенная из мяса говядины, свинины, баранины с использованием растительных компонентов для мясорастительных и растительно-мясных консервов (крупы бобовые, овощи, макаронные изделия):

- кусковая;

- рубленая;

- фаршевая;

- паштетная;

- ветчинная;

- эмульгированная.

7. Национальные мясные изделия

К данной категории продукции относится продукция (колбасные изделия, продукты из мяса, полуфабрикаты мясные, консервы), произведенная из мяса конины, оленины и др.

8. Национальная молочная продукция

К данной категории продукции относятся: тан, айран, кумыс, мацони, катык, мацун, каймак и др.

Приложение 3
к МР 2.3.7.0153-19

ПЕРЕЧЕНЬ РЕКОМЕНДУЕМЫХ МЕТОДОВ ИССЛЕДОВАНИЙ ДЛЯ ОЦЕНКИ ПОКАЗАТЕЛЕЙ КАЧЕСТВА ПИЩЕВОЙ ПРОДУКЦИИ

Определение органолептических показателей

ГОСТ ISO 8586-2015 Органолептический анализ. Общие руководящие указания по отбору, обучению и контролю за работой отобранных испытателей и экспертов-испытателей

ГОСТ ISO 8586-1-2011 Органолептический анализ. Общее руководство по отбору, обучению и контролю испытателей. Часть 1. Отобранные испытатели

ГОСТ ISO 8589-2014 Органолептический анализ. Общее руководство по проектированию лабораторных помещений

ГОСТ ISO 5492-2014 Органолептический анализ. Словарь

ГОСТ ИСО 7304-94 Крупка и макаронные изделия из твердой пшеницы. Органолептическая оценка кулинарных свойств спагетти

ГОСТ 5667-65 Хлеб и хлебобулочные изделия. Правила приемки, методы отбора образцов, методы определения органолептических показателей и массы изделий

ГОСТ 5897-90 Изделия кондитерские. Методы определения органолептических показателей качества, размеров, массы нетто и составных частей

ГОСТ 7631-2008 Рыба, нерыбные объекты и продукция из них. Методы определения органолептических и физических показателей

ГОСТ 8756.1-2017 Продукты переработки фруктов, овощей и грибов. Методы определения органолептических показателей, массовой доли составных частей, массы нетто или объема

ГОСТ 9959-2015 Мясо и мясные продукты. Общие условия проведения органолептической оценки

ГОСТ 26664-85 Консервы и пресервы из рыбы и морепродуктов. Методы определения органолептических показателей, массы нетто и массовой доли составных частей

ГОСТ 28283-2015 Молоко коровье. Метод органолептической оценки вкуса и запаха

ГОСТ 29128-91 Продукты мясные. Термины и определения по органолептической оценке качества

ГОСТ 29245-91 Консервы молочные. Методы определения физических и органолептических показателей

ГОСТ 31470-2012 Мясо птицы, субпродукты и полуфабрикаты из мяса птицы. Методы органолептических и физико-химических исследований

ГОСТ 31964-2012 Изделия макаронные. Правила приемки и методы определения качества

ГОСТ 32100-2013 Консервы. Продукция соковая. Соки, нектары и сокосодержащие напитки овощные и овощефруктовые. Общие технические условия

ГОСТ 32101-2013 Консервы. Продукция соковая. Соки фруктовые прямого отжима. Общие технические условия

ГОСТ 32103-2013 Консервы. Продукция соковая. Соки фруктовые и фруктово-овощные. Общие технические условия

ГОСТ 32104-2013 Консервы. Продукция соковая. Нектары фруктовые и фруктово-овощные. Общие технические условия

ГОСТ 32105-2013 Консервы. Продукция соковая. Напитки сокосодержащие фруктовые и фруктово-овощные. Общие технические условия

ГОСТ 32261-2013 Масло сливочное. Технические условия

ГОСТ 32876-2014 Продукция соковая. Сок томатный. Технические условия

ГОСТ 32920-2014 Продукция соковая. Соки и нектары для питания детей раннего возраста. Общие технические условия

ГОСТ 33630-2015 Сыры и сыры плавленые. Методы контроля органолептических показателей

ГОСТ 33632-2015 Молочный жир, масло и паста масляная из коровьего молока. Методы контроля органолептических показателей

ГОСТ 33741-2015 Консервы мясные и мясосодержащие. Методы определения органолептических показателей, массы нетто и массовой доли составных частей

ГОСТ 34177-2017 Консервы мясные. Общие технические условия

ГОСТ Р ИСО 22935-2-2011 Молоко и молочные продукты. Органолептический анализ. Часть 2. Рекомендуемые методы органолептической оценки

ГОСТ Р ИСО 22935-3-2011 Молоко и молочные продукты. Органолептический анализ. Часть 3. Руководство по оценке соответствия техническим условиям на продукцию для определения органолептических свойств путем подсчета баллов

ГОСТ Р 54757-2011 Консервы молочные, молочные составные и молокосодержащие сгущенные. Органолептический анализ. Термины и определения.

Определение содержания жира

ГОСТ 5481-2014 Масла растительные. Методы определения нежировых примесей и отстоя

ГОСТ 5668-68 Хлебобулочные изделия. Методы определения массовой доли жира

ГОСТ 5867-90 Молоко и молочные продукты. Методы определения жира

ГОСТ 8756.21-89 Продукты переработки плодов и овощей. Методы определения жира

ГОСТ 15113.9-77 Концентраты пищевые. Методы определения жира

ГОСТ 23042-2015 Мясо и мясные продукты. Методы определения жира

ГОСТ 26183-84 Продукты переработки плодов и овощей, консервы мясные и мясорастительные. Метод определения жира

ГОСТ 26829-86 Консервы и пресервы из рыбы. Методы определения жира

ГОСТ 29247-91 Консервы молочные. Методы определения жира

ГОСТ 31469-2012 Пищевые продукты переработки яиц сельскохозяйственной птицы. Методы физико-химического анализа

ГОСТ 31902-2012 Изделия кондитерские. Методы определения массовой доли жира

ГОСТ Р 55361-2012 Жир молочный, масло и паста масляная из коровьего молока. Правила приемки, отбор проб и методы контроля

Р 4.1.1672-03 Руководство по методам контроля качества и безопасности биологически активных добавок к пище.

Руководство по методам анализа качества и безопасности пищевых продуктов/Под ред. И.М. Скурихина, В.А. Тутельяна. М.: Брандес, Медицина, 1998

Определение жирнокислотного состава

ГОСТ 30418-96 Масла растительные. Метод определения жирнокислотного состава

ГОСТ 31663-2012 Масла растительные и жиры животные. Определение методом газовой хроматографии массовой доли метиловых эфиров жирных кислот

ГОСТ 31665-2012 Масла растительные и жиры животные. Получение метиловых эфиров жирных кислот

ГОСТ 31754-2012 Масла растительные, жиры животные и продукты их переработки. Методы определения массовой доли трансизомеров жирных кислот

ГОСТ 32150-2013 Пищевые продукты переработки яиц сельскохозяйственной птицы. Метод определения жирно-кислотного состава

ГОСТ 32261-2013 Масло сливочное. Технические условия

ГОСТ 32915-2014 Молоко и молочная продукция. Определение жирнокислотного состава жировой фазы методом газовой хроматографии

ГОСТ 34178-2017 Спреды и смеси топленые. Общие технические условия

ГОСТ Р 54686-2011 Кондитерские изделия. Метод определения массовой доли насыщенных жирных кислот

ГОСТ Р 55483-2013 Мясо и мясные продукты. Определение жирнокислотного состава методом газовой хроматографии

Р 4.1.1672-03 Руководство по методам контроля качества и безопасности биологически активных добавок к пище

Руководство по методам анализа качества и безопасности пищевых продуктов/Под ред. И.М. Скурихина. В.А. Тутельяна. М.: Брандес, Медицина, 1998

Определение белка

ГОСТ 7636-85 Рыба, морские млекопитающие, морские беспозвоночные и продукты их переработки. Методы анализа

ГОСТ 10846-91 Зерно и продукты его переработки. Метод определения белка

ГОСТ 23327-98 Молоко и молочные продукты. Метод измерения массовой доли общего азота по Кьельдалю и определение массовой доли белка

ГОСТ 25011-2017 Мясо и мясные продукты. Методы определения белка

ГОСТ 25179-2014 Молоко и молочные продукты. Методы определения массовой доли белка

ГОСТ 31795-2012 Рыба, морепродукты и продукция из них. Метод определения массовой доли белка, жира, воды, фосфора, кальция и золя спектроскопией в ближней инфракрасной области

ГОСТ 34454-2018 Продукция молочная. Определение массовой доли белка методом Кьельдаля

ГОСТ Р 54662-2011 Сыры и сыры плавленые. Определение массовой доли белка методом Кьельдаля

Определение углеводов (моно-, дисахаридов)

ГОСТ 31669-2012 Пищевая продукция. Продукция соковая. Определение сахарозы, глюкозы, фруктозы и сорбита методом высокоэффективной жидкостной хроматографии

ГОСТ 33527-2015 Молочные и молочные составные продукты для детского питания. Определения массовой доли моно- и дисахаридов с использованием капиллярного электрофореза

Р 4.1.1672-03 Руководство по методам контроля качества и безопасности биологически активных добавок к пище

М 04-69-2011 Напитки. Плодоовощная продукция, БАД, мед. Определение фруктозы, глюкозы и сахарозы методом капиллярного электрофореза с использованием системы капиллярного электрофореза "Капель"

Определение пищевых волокон (сумма)

ГОСТ 54014-2010 Продукты пищевые. Определение растворимых и нерастворимых пищевых волокон ферментативно-гравиметрическим методом

Р 4.1.1672-03 Руководство по методам контроля качества и безопасности биологически активных добавок к пище

МИ 01.00282-2008/0174.01.07.13 Продукты пищевые. Методические указания. Определение содержания растворимых и нерастворимых пищевых волокон в пищевых продуктах и БАД к пище

Определение золы

ГОСТ ISO 2171-2016 Культуры зерновые, бобовые и продукты их переработки. Определение золы при сжигании

ГОСТ 5901-2014 Изделия кондитерские. Методы определения массовой доли золя и металломагнитной примеси

ГОСТ 7636-85 Рыба, морские млекопитающие, морские беспозвоночные и продукты их переработки. Методы анализа

ГОСТ 15113.8-77 Концентраты пищевые. Методы определения золы

ГОСТ 25555.4-91 Продукты переработки плодов и овощей. Методы определения золы и щелочности общей и водорастворимой золы

ГОСТ 27494-2016 Мука и отруби. Методы определения зольности

ГОСТ 31727-2012 (ISO 936:1998) Мясо и мясные продукты. Метод определения массовой доли общей золы

ГОСТ 31795-2012 Рыба, морепродукты и продукция из них. Метод определения массовой доли белка, жира, воды, фосфора, кальция и золя спектроскопией в ближней инфракрасной области

ГОСТ 31964-2012 Изделия макаронные. Правила приемки и методы определения качества

ГОСТ 33946-2016 Продукция соковая. Гравиметрический метод определения массовой доли золы

Определение влажности

ГОСТ 5900-2014 Изделия кондитерские. Методы определения влаги и сухих веществ

ГОСТ 9404-88 Мука и отруби. Метод определения влажности

ГОСТ 9793-2016 Мясо и мясные продукты. Методы определения влаги

ГОСТ 15113.4-77 Концентраты пищевые. Методы определения влаги

ГОСТ 21094-75 Хлеб и хлебобулочные изделия. Метод определения влажности

ГОСТ 26808-2017 Консервы из рыбы и морепродуктов. Методы определения сухих веществ

ГОСТ 30305.1-95 Консервы молочные сгущенные. Методики выполнения измерений массовой доли влаги

ГОСТ 31964-2012 Изделия макаронные. Правила приемки и методы определения качества

ГОСТ 33319-2015 Мясо и мясные продукты. Метод определения массовой доли влаги

ГОСТ 33977-2016 Продукты переработки фруктов и овощей. Методы определения общего содержания сухих веществ

ГОСТ 55361-2012 Жир молочный, масло и паста масляная из коровьего молока. Правила приемки, отбор проб и методы контроля

ГОСТ Р 54668-2011 Молоко и продукты переработки молока. Методы определения массовой доли влаги и сухого вещества

Определение витамина E

ГОСТ EN 12822-2014 Продукты пищевые. Определение содержания витамина E (альфа-, бета-, гамма- и дельта-токоферолов) методом высокоэффективной жидкостной хроматографии (предел обнаружения витамина E составляет от 0,1 мг/100 г)

ГОСТ ISO 20633-2018 Смеси адаптированные для искусственного вскармливания детей раннего возраста и смеси для энтерального питания взрослых. Определение содержания витамина E и витамина A с помощью нормально-фазовой высокоэффективной жидкостной хроматографии (предел обнаружения витамина E составляет от 0,1 мг/100 г)

ГОСТ 32043-2012 Премиксы. Методы определения витаминов A, D, E (предел обнаружения витамина E составляет от 0,01 мг/г)

ГОСТ 32307-2013 Мясо и мясные продукты. Определение содержания жирорастворимых витаминов методом высокоэффективной жидкостной хроматографии (предел обнаружения витамина E составляет от 0,1 мг/100 г)

ГОСТ Р 54634-2011 Продукты пищевые функциональные. Метод определения витамина E (предел обнаружения витамина E составляет от 0,5 мг/100 г)

Руководство по методам анализа качества и безопасности пищевых продуктов/Под ред. И.М. Скурихина, В.А. Тутельяна. М.: Брандес, Медицина, 1998. 340 с. (предел обнаружения витамина E составляет от 0,2 мг/100 г)

Р 4.1.1672-03 Руководство по методам контроля качества и безопасности биологически активных добавок к пище

М 04-10-2007 Методика выполнения измерений массовой доли витаминов A (в форме ретинола) и E (в форме альфа-токоферола) в пробах пищевых продуктов, продовольственного сырья и БАД методом ВЭЖХ с флуориметрическим детектированием с использованием жидкостного хроматографа "Люмохром"

Определение витамина A

ГОСТ ISO 12080-1-2016 Молоко обезжиренное сухое. Определение содержания витамина A. Часть 1. Колориметрический метод (предел обнаружения витамина A составляет от 300 мкг/100 г)

ГОСТ ISO 12080-2-2016 Молоко обезжиренное сухое. Определение содержания витамина A. Часть 2. Метод высокоэффективной жидкостной хроматографии (предел обнаружения витамина A составляет от 300 мкг/100 г)

ГОСТ ISO 20633-2018 Смеси адаптированные для искусственного вскармливания детей раннего возраста и смеси для энтерального питания взрослых. Определение содержания витамина E и витамина A с помощью нормально-фазовой высокоэффективной жидкостной хроматографии (предел обнаружения витамина A составляет от 10 мкг/100 г)

ГОСТ 26573.1-93 Премиксы. Методы определения витамина A (предел обнаружения витамина A составляет от 6 мкг/г)

ГОСТ 32043-2012 Премиксы. Методы определения витаминов A, D, E (предел обнаружения витамина A составляет от 3 мкг/г)

ГОСТ 32307-2013 Мясо и мясные продукты. Определение содержания жирорастворимых витаминов методом высокоэффективной жидкостной хроматографии (предел обнаружения витамина A составляет от 10 мкг/100 г)

ГОСТ Р 54635-2011 Продукты пищевые функциональные. Метод определения витамина A (предел обнаружения витамина A составляет от 50 мкг/100 г)

СТБ EN 12823-1-2012 Продукты пищевые. Определение содержания витамина A методом жидкостной хроматографии. Часть 1. Измерение содержания полного- транс-ретинола и 13-цис-ретинола (предел обнаружения витамина A составляет от 30 мкг/100 г)

Руководство по методам анализа качества и безопасности пищевых продуктов/Под ред. И.М. Скурихина, В.А. Тутельяна. М.: Брандес, Медицина, 1998. 340 с. (предел обнаружения витамина A составляет от 10 мкг/100 г)

Р 4.1.1672-03 Руководство по методам контроля качества и безопасности биологически активных добавок к пище

М 04-10-2007 Методика выполнения измерений массовой доли витаминов A (в форме ретинола) и E (в форме альфа-токоферола) в пробах пищевых продуктов, продовольственного сырья и БАД методом ВЭЖХ с флуориметрическим детектированием с использованием жидкостного хроматографа "Люмохром"

Определение витамина D

ГОСТ EN 12821-2014 Продукты пищевые. Определение содержания холекальциферола (витамина D3) и эргокальциферола (витамина D2) методом высокоэффективной жидкостной хроматографии (предел обнаружения витамина D составляет от 0,4 мкг/100 г)

ГОСТ ISO 14892-2016 Молоко сухое обезжиренное. Определение содержания витамина D с использованием высокоэффективной жидкостной хроматографии (предел обнаружения витамина D составляет от 10 мкг/100 г)

ГОСТ 32043-2012 Премиксы. Методы определения витаминов A, D, E (предел обнаружения витамина D составляет от 1 мкг/г)

ГОСТ 32307-2013 Мясо и мясные продукты. Определение содержания жирорастворимых витаминов методом высокоэффективной жидкостной хроматографии (предел обнаружения витамина D составляет от 1 мкг/100 г)

ГОСТ 32916-2014 Молоко и молочная продукция. Определения массовой доли витамина D методом высокоэффективной жидкостной хроматографии (предел обнаружения витамина D составляет от 1 мкг/100 г)

ГОСТ Р 54637-2011 Продукты пищевые функциональные. Метод определения витамина D3 (предел обнаружения витамина D составляет от 10 мкг/100 г)

Определение витамина B1

ГОСТ EN 14122-2013 Продукты пищевые. Определение витамина B1 с помощью высокоэффективной жидкостной хроматографии

ГОСТ 29138-91 Мука, хлеб и хлебобулочные изделия пшеничные витаминизированные. Метод определения витамина B1 (тиамина)

Р 4.1.1672-03 Руководство по методам контроля качества и безопасности биологически активных добавок к пище (предел обнаружения витамина B1 составляет от 0,005 мкг/кг - подходит для определения витамина в обогащенной пищевой продукции и БАД к пище)

Руководство по методам анализа качества и безопасности пищевых продуктов/Под ред. И.М. Скурихина, В.А. Тутельяна. М.: Брандес, Медицина, 1998 (предел обнаружения витамина B1 составляет от 0,5 мкг/см3)

М 04-56-2009 Продукты пищевые и продовольственное сырье, БАД. Методика измерений массовой доли витаминов B1 и В2 флуориметрическим методом на анализаторе жидкости "Флюорат-02"

Определение витамина B2

ГОСТ EN 14152-2013 Продукты пищевые. Определение витамина B(2) с помощью высокоэффективной жидкостной хроматографии

Р 4.1.1672-03 Руководство по методам контроля качества и безопасности биологически активных добавок к пище (предел обнаружения витамина витамина B2 составляет от 0,006 мг/кг - подходит для определения витамина в обогащенной пищевой продукции и БАД к пище)

Руководство по методам анализа качества и безопасности пищевых продуктов/Под ред. И.М. Скурихина, В.А. Тутельяна. М.: Брандес, Медицина, 1998 (предел обнаружения витамина B2 составляет от 0,08 мкг/см3)

М 04-56-2009 Продукты пищевые и продовольственное сырье, БАД. Методика измерений массовой доли витаминов B1 и B2 флуориметрическим методом на анализаторе жидкости "Флюорат-02"

Определение витамина B6

ГОСТ EN 14164-2014 Продукты пищевые. Определение витамина B(6) с помощью высокоэффективной жидкостной хроматографии

ГОСТ EN 14663-2014 Продукция пищевая. Определение витамина B(6) (включая гликозилированные формы) методом высокоэффективной жидкостной хроматографии (предел обнаружения витамина B6 составляет от 0,034 мг/100 г)

Р 4.1.1672-03 Руководство по методам контроля качества и безопасности биологически активных добавок к пище (предел обнаружения витамина B6 составляет от 0,005 мкг/кг - подходит для определения витамина в обогащенной пищевой продукции и БАД к пище)

Определение витамина B9

ФР.1.31.2013.16147 Методика измерений фолиевой кислоты в специализированных пищевых продуктах методом иммуноферментного анализа

Определение витамина C

ГОСТ 24556-89 Продукты переработки плодов и овощей. Методы определения витамина C

ГОСТ 30627.2-98 Продукты молочные для детского питания. Методы измерений массовой доли витамина C (аскорбиновой кислоты) (предел обнаружения аскорбиновой кислоты от 100 мг/кг)

ГОСТ 31643-2012 Продукция соковая. Определение аскорбиновой кислоты методом высокоэффективной жидкостной хроматографии (предел обнаружения аскорбиновой кислоты от 5 до 1 000 мг/дм3)

Р 4.1.1672-03 Руководство по методам контроля качества и безопасности биологически активных добавок к пище

М 04-07-2010 Продукты пищевые и сырье продовольственное. Методика измерений массовой доли витамина C флуориметрическим методом на анализаторе жидкости "Флюорат-02"

Определение каротиноидов

ГОСТ 8756.22-80 Продукты переработки плодов и овощей. Метод определения каротина

ГОСТ Р 54058-2010 Продукты пищевые функциональные. Метод определения каротиноидов

Р 4.1.1672-03 Руководство по методам контроля качества и безопасности биологически активных добавок к пище

Определение минеральных веществ

ГОСТ 9957-2015 Мясо и мясные продукты. Методы определения содержания хлористого натрия

ГОСТ 26928-86 Продукты пищевые. Метод определения железа

ГОСТ 30178-96 Сырье и продукты пищевые. Атомно-адсорбционный метод определения токсичных элементов

ГОСТ 31707-2012 Определение общего мышьяка и селена методом атомно-абсорбционной спектрометрии с генерацией гидридов с предварительной минерализацией пробы под давлением

ГОСТ 33824-2016 Продукты пищевые и продовольственное сырье. Инверсионно-вольтамперометрический метод определения содержания токсичных элементов (кадмия, свинца, меди и цинка)

ГОСТ 34228-2017 Продукция соковая. Определение консервантов методом высокоэффективной жидкостной хроматографии

ГОСТ Р 51575-2000 Соль поваренная пищевая йодированная. Методы определения йода и тиосульфата натрия

Р 4.1.1672-03 Руководство по методам контроля качества и безопасности биологически активных добавок к пище

Руководство по методам анализа качества и безопасности пищевых продуктов/Под ред. И.М. Скурихина, В.А. Тутельяна. М.: Брандес, Медицина, 1998

МУ 31-04/04 Методика выполнения измерений массовых концентраций цинка, кадмия, свинца и меди во всех группах пищевых продуктов и продовольственного сырья, включая алкогольные и безалкогольные напитки, биологически активные добавки к пище, а также в кормах и продуктах их переработки

МУ N 31-07/04 Методика выполнения измерений содержания йода в пищевых продуктах, продовольственном сырье, кормах и продуктах их переработки, лекарственных препаратах, витаминах, БАДах, биологических объектах методом инверсионной вольтамперометрии на анализаторах типа ТА

Определение консервантов

ГОСТ 8558.1-2015 Продукты мясные. Методы определения нитрита

ГОСТ 9794-2015 Продукты мясные. Методы определения общего фосфора

ГОСТ 27001-86 Икра и пресервы из рыбы и морепродуктов. Методы определения консервантов

ГОСТ 31504-2012 Молоко и молочная продукция. Определение содержания консервантов и красителей методом высокоэффективной жидкостной хроматографии

ГОСТ 33332-2015 Продукты переработки фруктов и овощей. Определение массовой доли сорбиновой и бензойной кислот методом высокоэффективной жидкостной хроматографии

ГОСТ 33809-2016 Мясо и мясные продукты. Определение сорбиновой и бензойной кислот методом высокоэффективной жидкостной хроматографии

ГОСТ 34228-2017 Продукция соковая. Определение консервантов методом высокоэффективной жидкостной хроматографии

Р 4.1.1672-03 Руководство по методам контроля качества и безопасности биологически активных добавок к пище

М 04-51-2008 Безалкогольная, соковая, винодельческая, ликероводочная и пивоваренная продукция. Методика измерений массовой концентрации кофеина, аскорбиновой, сорбиновой, бензойной кислот и их солей, сахарина и ацесульфама K методом капиллярного электрофореза

М 04-59-2009 Продовольственное сырье и пищевые продукты, БАД. Методика измерений массовой доли консервантов (сорбиновой, бензойной кислот и их солей) и подсластителей (ацесульфама калия, сахарина и его солей) методом капиллярного электрофореза

Определение синтетических красителей

ГОСТ 31504-2012 Молоко и молочная продукция. Определение содержания консервантов и красителей методом высокоэффективной жидкостной хроматографии

ГОСТ 33278-2015 Консервы фруктовые. Определение массовой доли пищевых синтетических красителей методом тонкослойной хроматографии

ГОСТ 34229-2017 Продукция соковая. Определение синтетических красителей методом высокоэффективной жидкостной хроматографии

ГОСТ 33457-2015 Продукты переработки фруктов и овощей. Метод количественного определения синтетических красителей с применением ион-парного экстрагирования

ГОСТ Р ИСО 13496-2013 Мясо и мясные продукты. Обнаружение красителей. Метод тонкослойной хроматографии

ГОСТ Р 57029-2016 Продукты пищевые специализированные, специи, пряности, продукты их переработки и биологически активные добавки к пище. Определение непищевых красителей Судан I, Судан II, Судан III, Судан IV и Пара Ред (Para-Red)

Р 4.1.672-03 Руководство по методам контроля качества и безопасности биологически активных добавок к пище

М 04-48-2012 Безалкогольная, соковая, винодельческая, ликероводочная и пивоваренная продукция. Методика измерений массовой концентрации синтетических красителей методом капиллярного электрофореза

Определение органических кислот

ГОСТ 32771-2014 Продукция соковая. Определение органических кислот методом обращенно-фазовой высокоэффективной жидкостной хроматографии

ГОСТ 33410-2015 Продукция безалкогольная, слабоалкогольная, винодельческая и соковая. Определение содержания органических кислот методом высокоэффективной жидкостной хроматографии

М 04-47-2012 Продукция винодельческая, соковая, безалкогольная, слабоалкогольная и алкогольная, продукты пивоварения. Методика измерения массовой концентрации органических кислот и солей методом капиллярного электрофореза с использованием системы капиллярного электрофореза "Капель"

Определение стеринов

ГОСТ 31979-2012 Молоко и молочные продукты. Метод обнаружения растительных жиров в жировой фазе газожидкостной хроматографией стеринов

ГОСТ 33490-2015 Молоко и продукция молочная. Обнаружение растительных масел и жиров на растительной основе методом газожидкостной хроматографии с масс-спектрометрическим детектированием

ГОСТ 33608-2015 Мясо и мясные продукты. Идентификация немясных ингредиентов растительного происхождения методом газовой хроматографии с масс-спектрометрическим детектором

ГОСТ 34456-2018 Молоко и продукция молочная. Определение состава стеринов методом высокоэффективной жидкостной хроматографии

Р 4.1.1672-03 Руководство по методам контроля качества и безопасности биологически активных добавок к пище

Определение заквасочной (технической) и пробиотической микрофлоры

ГОСТ ISO 7889-2015 Йогурт. Подсчет характерных микроорганизмов. Методика подсчета колоний микроорганизмов после инкубации при температуре 37 °C

ГОСТ ISO 29981-2013 Продукты молочные. Подсчет презумптивных бифидобактерий. Метод определения количества колоний при температуре 37 °C

ГОСТ 10444.11-2013 (ISO 15214:1998) Микробиология пищевых продуктов и кормов для животных. Методы выявления и подсчета количества мезофильных молочнокислых микроорганизмов

ГОСТ 31981-2013 Йогурты. Общие технические условия

ГОСТ 33491-2015 Продукты кисломолочные, обогащенные бифидобактериями бифидум. Технические условия

ГОСТ 56145-2014 Продукты пищевые функциональные. Методы микробиологического анализа

ГОСТ Р 56139-2014 Продукты пищевые функциональные. Методы определения и подсчета пробиотических микроорганизмов

ГОСТ Р 56201-2014 Продукты пищевые функциональные. Методы определения бифидогенных свойств

МУ 2.3.2.2789-10 Методические указания по санитарно-эпидемиологической оценке безопасности и функционального потенциала пробиотических микроорганизмов, используемых для производства пищевых продуктов

МУК 4.2.999-00 Определение количества бифидобактерий в кисломолочных продуктах

Определение сухого обезжиренного молочного остатка (СОМО)

ГОСТ Р 54761-2011 Молоко и молочная продукция. Методы определения массовой доли сухого обезжиренного молочного остатка

Приложение 4
к МР 2.3.7.0153-19

ПЕРЕЧЕНЬ ПИЩЕВОЙ ПРОДУКЦИИ, СПОСОБСТВУЮЩЕЙ УСТРАНЕНИЮ ДЕФИЦИТА МАКРО- И МИКРОНУТРИЕНТОВ

1. Хлебные продукты (хлеб и макаронные изделия, мука, крупа и бобовые):

- хлеб пшеничный;

- хлеб ржаной;

- хлебобулочные изделия из муки грубого помола или с отрубями;

- хлеб зерновой;

- крупа гречневая

- крупа овсяная (в т.ч. овсяные хлопья "Геркулес", овсяные отруби);

- крупа пшенная;

- крупа манная;

- крупа перловая;

- макаронные изделия;

- пшеничные отруби;

- рис;

- горох (в т.ч. зеленый горошек);

- фасоль;

- соевые продукты;

- дрожжи пекарские.

2. Картофель:

- картофель;

- свекла;

- салат зеленый;

- шпинат;

- петрушка;

- укроп;

- чеснок;

- грибы (в т.ч. шампиньоны, лисички, белые).

4. Фрукты и ягоды и продукты их переработки:

В электронном документе нумерация пунктов соответствует официальному источнику.

- яблоко;

- яблочный сок;

- персик;

- апельсин;

- мандарин;

- лимон;

- цитрусовые соки;

- клубника;

- крыжовник;

- шиповник;

- смородина черная;

- облепиха;

- малина;

- черника;

- айва;

- хурма;

- сухофрукты (в т.ч. курага, изюм, инжир, чернослив).

5. Мясо и мясопродукты

- говядина;

- баранина;

- свинина;

- субпродукты (почки, печень);

- курица;

- индейка;

- колбасы вареные;

- колбасы полукопченые;

- колбасы сырокопченые;

- сосиски, сардельки, шпикачки.

6. Молоко и молочные продукты

- молоко;

- кефир;

- йогурт;

- сметана;

- сыр;

- творог;

- масло сливочное.

7. Яйца

- яйца.

8. Рыба и рыбопродукты

- рыба (в т.ч. лососевые, хек, треска, сельдь, пикша, рыбные палочки);

- печень трески;

- рыбный жир;

- морская капуста.

9. Растительные масла

- подсолнечное масло;

- оливковое масло;

- соевое масло;

- рапсовое масло;

- кукурузное масло;

- хлопковое масло;

- майонез.

10. Отдельные категории пищевой продукции

- обогащенные хлеб и хлебобулочные изделия;

- обогащенные зерновые продукты (в т.ч. экструдированные завтраки);

- обогащенная соковая продукция;

- обогащенные пищевые концентраты;

- обогащенная молочная продукция;

- обогащенная масложировая продукция;

- специализированная пищевая продукция для питания детей раннего возраста;

- специализированная пищевая продукция для питания детей старше 3 лет;

- биологически активные добавки к пище.

Приложение 5
к МР 2.3.7.0153-19

ПРИМЕР АНКЕТЫ ПО ОЦЕНКЕ НАЛИЧИЯ ПИЩЕВОЙ ПРОДУКЦИИ, В ТОМ ЧИСЛЕ ОТЕЧЕСТВЕННОГО ПРОИЗВОДСТВА, НА 2019 ГОД

Вид продукта Количество наименований продуктов общее Отечественное производство (количество наименований продуктов) Источник витаминов (перечень указывается для обогащенной продукции) Источник минеральных веществ (перечень указывается для обогащенной продукции) Источник макронутриентов (перечень указывается для обогащенной продукции) Использование маркировки "светофор" (встречаемость маркировки в данной категории продуктов) Минимальная цена, руб./кг (л) Максимальная цена, руб./кг (л)
1 2 3 4 5 6 7 8 9
Хлебные продукты (хлеб и макаронные изделия, мука, крупа и бобовые)
Хлеб пшеничный                
Хлеб ржаной                
Хлеб зерновой                
Хлебобулочные изделия из муки грубого помола или с отрубями                
Рис                
Крупа манная                
Крупа гречневая                
Крупа овсяная                
Крупа пшенная                
Крупа перловая                
Макаронные изделия                
Соевые продукты                
Обогащенные хлеб и хлебобулочные изделия                
Обогащенные зерновые продукты, в том числе экструдированные завтраки                
Специализированная пищевая продукция для питания детей раннего возраста на зерновой основе                
Специализированная пищевая продукция для питания детей с 3 лет на зерновой основе                
Картофель и продукты его переработки
Картофель                
Замороженный картофель                
Овощи и бахчевые, продукты их переработки
Капуста                
Свекла                
Помидоры                
Квашеная капуста                
Замороженные овощные смеси                
Специализированная пищевая продукция для питания детей раннего возраста на основе овощей                
Фрукты и ягоды и продукты их переработки
Яблоки                
Сухофрукты                
Обогащенная соковая продукция                
Обогащенные пищевые концентраты                
Специализированная пищевая продукция для питания детей раннего возраста на плодово-ягодной основе                
Специализированная пищевая продукция для питания детей старше 3 лет на плодово-ягодной основе                
Мясо и мясопродукты
Говядина                
Баранина                
Свинина                
Мясные субпродукты                
Индейка                
Курица                
Колбаса вареная                
Сосиски                
Специализированная пищевая продукция для питания детей раннего возраста на мясной основе                
Специализированная пищевая продукция для питания детей старше 3 лет на мясной основе                
Молоко и молочные продукты
Молоко                
Кефир                
Йогурт                
Творог                
Сыр                
Обогащенная молочная продукция                
Специализированная пищевая продукция для питания детей раннего возраста на молочной основе                
Специализированная пищевая продукция для питания детей старше трех лет на молочной основе                
Яйца
Яйца                
Рыба и рыбопродукты
Рыба океаническая                
Рыба пресноводная                
Рыбные консервы                
Масла растительные
Масло подсолнечное                
Масло кукурузное                
Обогащенная масложировая продукция                
Отдельные категории специализированной пищевой продукции
Биологически активные добавки к пище                

Приложение 6
к МР 2.3.7.0153-19

ПОЯСНЕНИЯ К ОЦЕНКЕ ДОСТУПА НАСЕЛЕНИЯ К ОБОГАЩЕННОЙ И СПЕЦИАЛИЗИРОВАННОЙ ПИЩЕВОЙ ПРОДУКЦИИ

N п/п Группа пищевой продукции Пояснения к оценке доступа населения к обогащенной и специализированной пищевой продукции
1 2 3
1 Обогащенные пищевые продукты (в т.ч. хлеб и хлебобулочные изделия, зерновые продукты (экструдированные завтраки), соковая продукция, пищевые концентраты, молочная продукция, масложировая продукция) При оценке наличия обогащенной пищевой продукции в торговых точках необходимо обращать внимание на упаковку пищевого продукта. На потребительской упаковке обогащенной пищевой продукции в наименовании такой продукции или в непосредственной близости от него должно быть указанно слово "обогащенный".
Дополнительно указываются наименования внесенных в состав такой продукции макро- и микронутриентов (в том числе белка, пищевых волокон, витаминов, минеральных веществ, пробиотических микроорганизмов и др.), их гарантированное содержание на конец срока годности пищевого продукта в мг (г) на 100 г (мл) или (КОЕ/г) или среднюю суточную порцию продукта, а также содержание, выраженное в процентах от норм физиологической потребности в этих пищевых веществах, и рекомендации по применению или особенности применения таких продуктов, если они установлены
2 Специализированная пищевая продукция для питания детей раннего возраста При оценке наличия специализированной пищевой продукции для питания детей до 3 лет, в том числе для детей 1-го года жизни, в торговых точках необходимо обращать внимание на упаковку пищевого продукта. На потребительской упаковке специализированной пищевой продукции для питания детей раннего возраста необходимо обращать внимание на возраст детей, для которых предназначена данная категория продукции.
Дополнительно указываются наименования внесенных в состав такой продукции витаминов и/или минеральных веществ и/или пробиотических микроорганизмов, их гарантированное содержание на конец срока годности пищевого продукта в мг на 100 г (мл) или (КОЕ/г) или среднюю суточную порцию продукта, а также содержание, выраженное в процентах от норм физиологической потребности детей в зависимости от возраста в этих пищевых веществах, и рекомендации по применению или особенности применения таких продуктов, если они установлены
3 Специализированная пищевая продукция для питания детей старше 3 лет При оценке наличия специализированной пищевой продукции для питания детей старше 3 лет в торговых точках необходимо обращать внимание на индивидуальную упаковку пищевого продукта. На потребительской упаковке специализированной пищевой продукции для питания детей старше 3 лет необходимо обращать внимание на возраст детей, для которых предназначена данная категория продукции.
Дополнительно указываются наименования внесенных в состав такой продукции витаминов и/или минеральных веществ и/или пробиотических микроорганизмов, их гарантированное содержание на конец срока годности пищевого продукта в мг на 100 г (мл) или (КОЕ/г) или среднюю суточную порцию продукта, а также содержание, выраженное в процентах от норм физиологической потребности детей в зависимости от возраста в этих пищевых веществах, и рекомендации по применению или особенности применения таких продуктов, если они установлены
4 Биологически активные добавки к пище При оценке наличия биологически активных добавок к пище в торговых точках в Анкеты по оценке обеспеченности населения доступом к отечественной пищевой продукции на 2019 год не следует вносить данные по наличию натуральных травяных сборов, травяных чаев и фиточаев.
При оценке наличия биологически активных добавок к пище в торговых точках необходимо обращать внимание на индивидуальную упаковку пищевого продукта. На потребительской упаковке биологически активных добавок к пище в области применения указано, для какой возрастной группы предназначена данная продукция.
Дополнительно указываются наименования входящих в состав такой продукции макро- и микронутриентов (в том числе белка, пищевых волокон, витаминов, минеральных веществ, пробиотических микроорганизмов и др.), их гарантированное содержание на конец срока годности пищевого продукта на 100 г (мл) или (КОЕ/г) или среднюю суточную порцию продукта, а также содержание, выраженное в процентах от норм физиологической потребности в этих пищевых веществах в зависимости от половозрастной принадлежности населения, и рекомендации по применению или особенности применения таких продуктов если они установлены

НОРМАТИВНЫЕ ССЫЛКИ

1. Федеральный Закон от 30.03.1999 N 52-ФЗ "О санитарно-эпидемиологическом благополучии населения".

2. Федеральный Закон от 02.01.2000 N 29-ФЗ "О качестве и безопасности пищевых продуктов".

3. Федеральный закон от 27.12.2002 184-ФЗ "О техническом регулировании".

4. Указ Президента Российской Федерации от 30.01.2010 N 120 "Об утверждении Доктрины продовольственной безопасности Российской Федерации".

5. Указ Президента Российской Федерации от 07.05.2018 N 204 "О национальных целях и стратегических задачах развития Российской Федерации на период до 2024 года".

6. Паспорт федерального проекта "Укрепление общественного здоровья" национального проекта "Демография" (утв. Президиумом Совета при Президенте Российской Федерации по стратегическому развитию и национальным проектам (протокол от 24.12.2018 N 16).

7. Постановление Правительства Российской Федерации от 02.02.2006 N 60 "Об утверждении Положения о проведении социально-гигиенического мониторинга".

8. Постановление Правительства Российской Федерации от 22.11.2000 N 883 "Об организации и проведении мониторинга качества, безопасности пищевых продуктов и здоровья населения".

9. Постановление Правительства Российской Федерации от 21.12.2000 N 987 "О государственном надзоре и контроле в области обеспечения качества и безопасности пищевых продуктов".

10. Постановление Правительства Российской Федерации от 09.04.2016 N 291 "Об утверждении Правил установления субъектами Российской Федерации нормативов минимальной обеспеченности населения площадью торговых объектов и методики расчета нормативов минимальной обеспеченности населения площадью торговых объектов, а также о признании утратившим силу постановления Правительства Российской Федерации от 24.09.2010 N 754".

11. Распоряжение Правительства Российской Федерации от 29.06.2016 N 1364-р "Об утверждении Стратегии повышения качества пищевой продукции в Российской Федерации до 2030 года".

12. Распоряжение Правительства Российской Федерации от 19.04.2017 N 738-р "Об утверждении плана мероприятий по реализации Стратегии повышения качества пищевой продукции в Российской Федерации до 2030 г.".

13. Технический регламент Таможенного союза "О безопасности пищевой продукции" (ТР ТС 021/2011).

14. Технический регламент Таможенного союза "Пищевая продукция в части ее маркировки" (ТР ТС 022/2011).

15. Технический регламент Таможенного союза "Технический регламент на соковую продукцию из фруктов и овощей" (ТР ТС 023/2011).

16. Технический регламент Таможенного союза "Технический регламент на масложировую продукцию" (ТР ТС 024/2011).

17. Технический регламент Таможенного союза "О безопасности отдельных видов специализированной пищевой продукции, в том числе диетического лечебного и диетического профилактического питания" (ТР ТС 027/2012).

18. Технический регламент Таможенного союза "Требования безопасности пищевых добавок, ароматизаторов и технологических вспомогательных средств" (ТР ТС 029/2012).

19. Технический регламент Таможенного союза "О безопасности молока и молочной продукции" (ТР ТС 033/2013).

20. Технический регламент Таможенного союза "О безопасности мяса и мясной продукции" (ТР ТС 034/2013).

21. Технический регламент Евразийского экономического союза "О безопасности рыбы и рыбной продукции" (ТР ЕАЭС 040/2016).

22. Приказ Минздрава России от 19.08.2016 N 614 "Об утверждении Рекомендаций по рациональным нормам потребления пищевых продуктов, отвечающих современным требованиям здорового питания".

ТЕРМИНЫ И ОПРЕДЕЛЕНИЯ

База данных - упорядоченная совокупность данных, предназначенных для хранения, накопления и обработки информации.

Доступ населения к пищевой продукции - сопоставление минимального и фактического количества продовольственных торговых объектов, при котором во всех населенных пунктах страны оценивается возможность приобретения населением пищевых продуктов.

Жиры - сложные эфиры глицерина и высших жирных карбоновых кислот.

Качество пищевой продукции - совокупность характеристик безопасной пищевой продукции, отвечающей требованиям нормативных документов и условиям договора (образцу и (или) иным техническим документам), определяющих ее потребительские свойства (пищевая ценность аутентичность, сортность (калибр, категория и пр.), удовлетворяющие потребности человека в пище и при обычных условиях их использования обеспечивающие сохранение и укрепление здоровья человека.

Мониторинг за качеством пищевой продукции - система наблюдения, анализа, оценки качества пищевой продукции, производимой, импортируемой и реализуемой на территории Российской Федерации.

Насыщенные жирные кислоты - алифатические одноосновные карбоновые кислоты с открытой неразветвленной цепью, содержащей четное число атомов углерода, соединенных одинарными связями.

Пилотный регион - региональный участник, отобранный для социально-гигиенического мониторинга на 2019 год.

Пищевая ценность пищевой продукции - потребительское свойство пищевой продукции, характеризующие наличие и количество составляющих ее нутриентов (пищевых веществ) и энергетическую ценность, необходимых для удовлетворения физиологических потребностей организма.

Социально-гигиенический мониторинг - государственная система наблюдения, анализа, оценки и прогноза состояния здоровья, оценки и прогноза состояния здоровья населения и среды обитания человека, а также определения причинно-следственных связей между состоянием здоровья населения и воздействием на него факторов среды обитания человека для принятия мер по устранению вредного воздействия на население факторов среды обитания человека.

Стерины - полициклические спирты, относящиеся к классу стероидов, которые содержатся в животном и растительном пищевом сырье и продукции из них.

Трансизомеры жирных кислот - ненасыщенные жирные кислоты с как минимум одной двойной связью в транс-конфигурации.

Фальсифицированная пищевая продукция - пищевые продукты, умышленно измененные (поддельные) и (или) имеющие скрытые свойства и качество, информация о которых является заведомо неполной, и (или) недостоверной.